当前位置:首页>文档>第07讲端点效应(先猜后证-必要性探索)在导数中的应用(教师版)_2025年新高考资料_一轮复习_备战2025年高考数学一轮复习考点帮_第二部分专项讲义_第三章一元函数的导数及其应用

第07讲端点效应(先猜后证-必要性探索)在导数中的应用(教师版)_2025年新高考资料_一轮复习_备战2025年高考数学一轮复习考点帮_第二部分专项讲义_第三章一元函数的导数及其应用

  • 2026-04-17 10:05:03 2026-04-17 09:55:21

文档预览

第07讲端点效应(先猜后证-必要性探索)在导数中的应用(教师版)_2025年新高考资料_一轮复习_备战2025年高考数学一轮复习考点帮_第二部分专项讲义_第三章一元函数的导数及其应用
第07讲端点效应(先猜后证-必要性探索)在导数中的应用(教师版)_2025年新高考资料_一轮复习_备战2025年高考数学一轮复习考点帮_第二部分专项讲义_第三章一元函数的导数及其应用
第07讲端点效应(先猜后证-必要性探索)在导数中的应用(教师版)_2025年新高考资料_一轮复习_备战2025年高考数学一轮复习考点帮_第二部分专项讲义_第三章一元函数的导数及其应用
第07讲端点效应(先猜后证-必要性探索)在导数中的应用(教师版)_2025年新高考资料_一轮复习_备战2025年高考数学一轮复习考点帮_第二部分专项讲义_第三章一元函数的导数及其应用
第07讲端点效应(先猜后证-必要性探索)在导数中的应用(教师版)_2025年新高考资料_一轮复习_备战2025年高考数学一轮复习考点帮_第二部分专项讲义_第三章一元函数的导数及其应用
第07讲端点效应(先猜后证-必要性探索)在导数中的应用(教师版)_2025年新高考资料_一轮复习_备战2025年高考数学一轮复习考点帮_第二部分专项讲义_第三章一元函数的导数及其应用
第07讲端点效应(先猜后证-必要性探索)在导数中的应用(教师版)_2025年新高考资料_一轮复习_备战2025年高考数学一轮复习考点帮_第二部分专项讲义_第三章一元函数的导数及其应用
第07讲端点效应(先猜后证-必要性探索)在导数中的应用(教师版)_2025年新高考资料_一轮复习_备战2025年高考数学一轮复习考点帮_第二部分专项讲义_第三章一元函数的导数及其应用
第07讲端点效应(先猜后证-必要性探索)在导数中的应用(教师版)_2025年新高考资料_一轮复习_备战2025年高考数学一轮复习考点帮_第二部分专项讲义_第三章一元函数的导数及其应用
第07讲端点效应(先猜后证-必要性探索)在导数中的应用(教师版)_2025年新高考资料_一轮复习_备战2025年高考数学一轮复习考点帮_第二部分专项讲义_第三章一元函数的导数及其应用
第07讲端点效应(先猜后证-必要性探索)在导数中的应用(教师版)_2025年新高考资料_一轮复习_备战2025年高考数学一轮复习考点帮_第二部分专项讲义_第三章一元函数的导数及其应用
第07讲端点效应(先猜后证-必要性探索)在导数中的应用(教师版)_2025年新高考资料_一轮复习_备战2025年高考数学一轮复习考点帮_第二部分专项讲义_第三章一元函数的导数及其应用
第07讲端点效应(先猜后证-必要性探索)在导数中的应用(教师版)_2025年新高考资料_一轮复习_备战2025年高考数学一轮复习考点帮_第二部分专项讲义_第三章一元函数的导数及其应用
第07讲端点效应(先猜后证-必要性探索)在导数中的应用(教师版)_2025年新高考资料_一轮复习_备战2025年高考数学一轮复习考点帮_第二部分专项讲义_第三章一元函数的导数及其应用
第07讲端点效应(先猜后证-必要性探索)在导数中的应用(教师版)_2025年新高考资料_一轮复习_备战2025年高考数学一轮复习考点帮_第二部分专项讲义_第三章一元函数的导数及其应用
第07讲端点效应(先猜后证-必要性探索)在导数中的应用(教师版)_2025年新高考资料_一轮复习_备战2025年高考数学一轮复习考点帮_第二部分专项讲义_第三章一元函数的导数及其应用
第07讲端点效应(先猜后证-必要性探索)在导数中的应用(教师版)_2025年新高考资料_一轮复习_备战2025年高考数学一轮复习考点帮_第二部分专项讲义_第三章一元函数的导数及其应用
第07讲端点效应(先猜后证-必要性探索)在导数中的应用(教师版)_2025年新高考资料_一轮复习_备战2025年高考数学一轮复习考点帮_第二部分专项讲义_第三章一元函数的导数及其应用
第07讲端点效应(先猜后证-必要性探索)在导数中的应用(教师版)_2025年新高考资料_一轮复习_备战2025年高考数学一轮复习考点帮_第二部分专项讲义_第三章一元函数的导数及其应用
第07讲端点效应(先猜后证-必要性探索)在导数中的应用(教师版)_2025年新高考资料_一轮复习_备战2025年高考数学一轮复习考点帮_第二部分专项讲义_第三章一元函数的导数及其应用
第07讲端点效应(先猜后证-必要性探索)在导数中的应用(教师版)_2025年新高考资料_一轮复习_备战2025年高考数学一轮复习考点帮_第二部分专项讲义_第三章一元函数的导数及其应用
第07讲端点效应(先猜后证-必要性探索)在导数中的应用(教师版)_2025年新高考资料_一轮复习_备战2025年高考数学一轮复习考点帮_第二部分专项讲义_第三章一元函数的导数及其应用
第07讲端点效应(先猜后证-必要性探索)在导数中的应用(教师版)_2025年新高考资料_一轮复习_备战2025年高考数学一轮复习考点帮_第二部分专项讲义_第三章一元函数的导数及其应用
第07讲端点效应(先猜后证-必要性探索)在导数中的应用(教师版)_2025年新高考资料_一轮复习_备战2025年高考数学一轮复习考点帮_第二部分专项讲义_第三章一元函数的导数及其应用
第07讲端点效应(先猜后证-必要性探索)在导数中的应用(教师版)_2025年新高考资料_一轮复习_备战2025年高考数学一轮复习考点帮_第二部分专项讲义_第三章一元函数的导数及其应用
第07讲端点效应(先猜后证-必要性探索)在导数中的应用(教师版)_2025年新高考资料_一轮复习_备战2025年高考数学一轮复习考点帮_第二部分专项讲义_第三章一元函数的导数及其应用
第07讲端点效应(先猜后证-必要性探索)在导数中的应用(教师版)_2025年新高考资料_一轮复习_备战2025年高考数学一轮复习考点帮_第二部分专项讲义_第三章一元函数的导数及其应用
第07讲端点效应(先猜后证-必要性探索)在导数中的应用(教师版)_2025年新高考资料_一轮复习_备战2025年高考数学一轮复习考点帮_第二部分专项讲义_第三章一元函数的导数及其应用
第07讲端点效应(先猜后证-必要性探索)在导数中的应用(教师版)_2025年新高考资料_一轮复习_备战2025年高考数学一轮复习考点帮_第二部分专项讲义_第三章一元函数的导数及其应用
第07讲端点效应(先猜后证-必要性探索)在导数中的应用(教师版)_2025年新高考资料_一轮复习_备战2025年高考数学一轮复习考点帮_第二部分专项讲义_第三章一元函数的导数及其应用
第07讲端点效应(先猜后证-必要性探索)在导数中的应用(教师版)_2025年新高考资料_一轮复习_备战2025年高考数学一轮复习考点帮_第二部分专项讲义_第三章一元函数的导数及其应用
第07讲端点效应(先猜后证-必要性探索)在导数中的应用(教师版)_2025年新高考资料_一轮复习_备战2025年高考数学一轮复习考点帮_第二部分专项讲义_第三章一元函数的导数及其应用
第07讲端点效应(先猜后证-必要性探索)在导数中的应用(教师版)_2025年新高考资料_一轮复习_备战2025年高考数学一轮复习考点帮_第二部分专项讲义_第三章一元函数的导数及其应用
第07讲端点效应(先猜后证-必要性探索)在导数中的应用(教师版)_2025年新高考资料_一轮复习_备战2025年高考数学一轮复习考点帮_第二部分专项讲义_第三章一元函数的导数及其应用
第07讲端点效应(先猜后证-必要性探索)在导数中的应用(教师版)_2025年新高考资料_一轮复习_备战2025年高考数学一轮复习考点帮_第二部分专项讲义_第三章一元函数的导数及其应用
第07讲端点效应(先猜后证-必要性探索)在导数中的应用(教师版)_2025年新高考资料_一轮复习_备战2025年高考数学一轮复习考点帮_第二部分专项讲义_第三章一元函数的导数及其应用
第07讲端点效应(先猜后证-必要性探索)在导数中的应用(教师版)_2025年新高考资料_一轮复习_备战2025年高考数学一轮复习考点帮_第二部分专项讲义_第三章一元函数的导数及其应用

文档信息

文档格式
docx
文档大小
1.862 MB
文档页数
33 页
上传时间
2026-04-17 09:55:21

文档内容

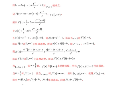
第 07 讲 端点效应 (先猜后证-必要性探索)在导数中的应用 (2 类核心考点精讲精练) 1. 5年真题考点分布 5年考情 考题示例 考点分析 关联考点 证明函数的对称性 利用导数证明不等式 2024年新I卷,第18题,17分 端点效应 利用导数研究不等式恒成立问题 利用不等式求取值范围 求已知函数的极值 2023年全国甲卷理数,第21题,12分 端点效应 利用导数研究不等式恒成立问题 利用导数求函数的单调区间(不含参) 2023年全国甲卷理数,第21题,12分 端点效应 利用导数研究不等式恒成立问题 用导数判断或证明已知函数的单调性 2021年全国甲卷文数,第20题,12分 端点效应 利用导数研究不等式恒成立问题 用导数判断或证明已知函数的单调性 2021年全国Ⅰ卷理数,第21题,12分 端点效应 利用导数研究不等式恒成立问题 2. 命题规律及备考策略 【命题规律】本节内容是新高考卷的载体内容,设题稳定,难度较大,分值为15-17分 【备考策略】1能用导数解决函数基本问题 2能求解含参不等式的基本问题 3能利用端点效应解决含参不等式恒成立问题 【命题预测】求解含参不等式恒成立问题中参数的取值范围是高考中的常考题型,解决这类问题的基本方 法有三种: 1.分离参数、构造函数求参数取值范围;2.构造含参函数,通过讨论参数取值范围将问题转化为 求函数最值问题;3.通过所构造函数在定义域端点处满足的条件,缩小参数的取值范围,求出使不等式恒 成立的必要条件,再证明充分条件,得出参数的取值范围,即所谓的“端点效应”,其中端点效应需要学 生重点复习掌握,也是高考热点问题知识讲解 1. 端点效应的定义 恒成立问题中, 我们常常能见到类似的命题: “对于任意的 , 都有 恒成立”,这里的 端点 , 往往是使结论成立的临界条件, 因此, 如果能利用好这两个值, 能方便解题,比如对于上述的命 题,观察 和 的取值,这种观察区间端点值来解决问题的做法, 我们称之为端点效应 2. 端点效应的核心思想 利用端点处所需满足的必要条件缩小参数的取值范围, 而在很多情况下, 该范围即为所求. 3. 端点效应的解题思路 端点效应问题中,可以通过取所构造函数定义域内的某些特殊的值使不等式成立进而得出恒成立的一个必 要条件,初步获得所求参数的范围再在该范围内讨论,进而缩小了参数的讨论范围,使问题得以顺利的解 决。 利用“端点效应”解决问题的一般步骤可分为以下几步 (1) 利用端点处函数值或导数值满足的条件,初步获得参数的取值范围,这个范围是不等式恒成立的必要 条件 (2) 利用所得出的参数范围判断函数在定义域内是否单调 (3) 若函数在限定参数范围内单调,则必要条件即为充要条件,问题解决.若不单调,则需进一步讨论,直 至得到使不等式恒成立的充要条件 4. 端点效应的类型 1.如果函数 在区间 上, 恒成立,则 或 . 2.如果函数 在区问 上, 恒成立,且 (或 ),则 或 . 3.如果函数 在区问 上, 恒成立,且 (或 , 则 或 .考点 一 、 端点效应(先猜后证 - 必要性探索)的初步应用 1.若 对 恒成立,则实数m的取值范围是 . 【答案】 【方法一】解:因为 对 恒成立, 即 对 恒成立, 记 , , 所以 , 令 , 令 , ,则 ,所以当 时 , 所以 在 上单调递增,所以 ,即 , , 则 所以 在 上是增函数,所以 当 ,即 时, 在 上是增函数,所以 符合题意; 当 时 ,且当 时 , 所以 ,使得 , 即当 时 , 单调递减,此时 , 所以 不符合题意, 综上可得 ,即 故答案为: 【方法二-端点效应】 因为 对 恒成立,即 对 恒成立, 记 , , 因为 , 欲在 恒成立,则 要在 单调递增 即 在 恒成立,则 ,解得 , 再证明充分性,当 ,能否有 对 恒成立(证明略) 综上可得 ,即 1.已知函数 .若 在 上恒成立,则a的取值范围为 . 【答案】 【分析】由题意可知 在 上恒成立,将问题转化为求函数f(x)的最小值. 【方法一】∵ 在 上恒成立,且 , 故 . 当 时, 在 上恒成立,即 在 上为增函数, 所以, ,合乎题意; 当 时,由 ,可得 ;当 时,可得 . 即 在 上为减函数,在 上为增函数, 所以, , 又因为 ,所以 ,不合乎题意. 综上所述, . 故答案为: . 【方法二-端点效应】 因为 ,所以 ,解得 ,结合已知条件, 考点 二 、 端点效应(先猜后证 - 必要性探索)在导数中的应用1.(2024·全国新Ⅰ卷第18题·高考真题)已知函数 (1)若 ,且 ,求 的最小值; (2)证明:曲线 是中心对称图形; (3)若 当且仅当 ,求 的取值范围. 【详解】(1) 时, ,其中 , 则 , 因为 ,当且仅当 时等号成立, 故 ,而 成立,故 即 , 所以 的最小值为 ., (2) 的定义域为 , 设 为 图象上任意一点, 关于 的对称点为 , 因为 在 图象上,故 , 而 , , 所以 也在 图象上, 由 的任意性可得 图象为中心对称图形,且对称中心为 . (3)【方法一:换元法】 因为 当且仅当 ,故 为 的一个解, 所以 即 , 先考虑 时, 恒成立. 此时 即为 在 上恒成立,设 ,则 在 上恒成立, 设 , 则 , 当 , , 故 恒成立,故 在 上为增函数, 故 即 在 上恒成立. 当 时, , 故 恒成立,故 在 上为增函数, 故 即 在 上恒成立. 当 ,则当 时, 故在 上 为减函数,故 ,不合题意,舍; 综上, 在 上恒成立时 . 而当 时, 而 时,由上述过程可得 在 递增,故 的解为 , 即 的解为 . 综上, . 【方法二:端点效应一】 (3)由(1)知, a≥−2. 因为 f(1)=a≤−2, 否则解集中含有 x=1. 故 a=−2. x f(x)=ln −2x+b(x−1) 3. 2−x 2 2(x−1) 2 [ 2 ] f′ (x)= −2+3b(x−1) 2= +3b(x−1) 2=(x−1) 2 +3b . x(2−x) x(2−x) x(2−x) 2 [ 2 ] (a)若 2+3b≥0, 即 b≥− 时, f′ (x)=(x−1) 2 +3b 3 x(2−x)即 ≥(x−1) 2[ 2 +3b ] =(x−1) 2 (2+3b)≥0, (x+2−x) 2 2 即f′ (x)≥0,f(x) 是 (1,2) 上的单调递增函数, f(x)>f(1)=−2, 符合题意; 2 (b)若 2+3b<0, 即 b<− 时,令 f′ (x)=0 得 3 b+√b2+2b b−√b2+2b x= <0, (舍),或 x= >1. b b b−√b2+2b 当 1−2 恒成立,仅需 [f(x)+2] >0, min 1 1 令ℎ(x)=f(x)+2,ℎ ′ (x)= + −2+3b(1−x) 2 x 2−x 2(x−1) 2 [ 2 ] = +3b(1−x) 2=(1−x) 2 +3b , x(2−x) x(2−x) 2 令 g(x)= +3b。 发现: ℎ ′ (1)=0,ℎ ′ (1)=0, 当且仅当 ℎ ′′′ (1)≥0 时,若 g(1)≥0, 即 x(2−x) 2 b≥− 。 3 2 2 易证当 b≥− 时,由 ≥2 知, h′ (x)≥0, 所以 h(x) 在 (1,2) 上单调递增, 3 x(2−x) 2 2 h(x)>h(1)=0, 所以b≥- 2成立。 3另一方面,当 b<− 时, +3b=0 在 (1,2) 必定有解, 3 x(2−x) 2 2 令− =m(2−m), 则 ℎ(x) 在 (1,2) 上必存在 m, 使得 m0 在 (1,2) 恒 2 成立矛盾,故 b<− 舍去 3 2.(2023·全国·统考高考真题)已知函数 (1)当 时,讨论 的单调性; (2)若 恒成立,求a的取值范围.【答案】(1)答案见解析. (2) 【分析】(1)求导,然后令 ,讨论导数的符号即可; (2)构造 ,计算 的最大值,然后与0比较大小,得出 的分界点,再对 讨论即可. 【详解】(1) 令 ,则 则 当 当 ,即 . 当 ,即 . 所以 在 上单调递增,在 上单调递减 (2) 【法一】设 设 所以 . 若 , 即 在 上单调递减,所以 . 所以当 ,符合题意. 若当 ,所以 . . 所以 ,使得 ,即 ,使得 . 当 ,即当 单调递增. 所以当 ,不合题意. 综上, 的取值范围为 . 【法二】端点效应 (2) 由于 , 且的 , 注意到当 , 即 时, 使 在 成立, 故此时 单 调递减 , 不成立. 另一方面, 当 时, , 下证它小于等于 0 . 单调递减, . 特上所述: . 【点睛】关键点点睛:本题采取了换元,注意复合函数的单调性 在定义域内是减函数,若 ,当 ,对应当 . 3.(2023·全国·统考高考真题)已知函数 . (1)当 时,讨论 的单调性;(2)若 ,求 的取值范围. 【答案】(1) 在 上单调递减 (2) 【分析】(1)代入 后,再对 求导,同时利用三角函数的平方关系化简 ,再利用换元法判 断得其分子与分母的正负情况,从而得解; (2)法一:构造函数 ,从而得到 ,注意到 ,从而得到 ,进而 得到 ,再分类讨论 与 两种情况即可得解; 法二:先化简并判断得 恒成立,再分类讨论 , 与 三种情况,利用零点存在 定理与隐零点的知识判断得 时不满足题意,从而得解. 【详解】(1)因为 ,所以 , 则 , 令 ,由于 ,所以 , 所以 , 因为 , , , 所以 在 上恒成立, 所以 在 上单调递减. (2)法一: 构建 , 则 , 若 ,且 , 则 ,解得 ,当 时,因为 , 又 ,所以 , ,则 , 所以 ,满足题意; 当 时,由于 ,显然 , 所以 ,满足题意; 综上所述:若 ,等价于 , 所以 的取值范围为 . 法二: 因为 , 因为 ,所以 , , 故 在 上恒成立, 所以当 时, ,满足题意; 当 时,由于 ,显然 , 所以 ,满足题意; 当 时,因为 , 令 ,则 , 注意到 , 若 , ,则 在 上单调递增, 注意到 ,所以 ,即 ,不满足题意; 若 , ,则 , 所以在 上最靠近 处必存在零点 ,使得 ,此时 在 上有 ,所以 在 上单调递增, 则在 上有 ,即 ,不满足题意; 综上: . 【点睛】关键点睛:本题方法二第2小问讨论 这种情况的关键是,注意到 ,从而分类讨论 在 上的正负情况,得到总存在靠近 处的一个区间,使得 ,从而推得存在 ,由此得解. 1.(2020·全国·统考高考真题)已知函数 . (1)当a=1时,讨论f(x)的单调性; (2)当x≥0时,f(x)≥ x3+1,求a的取值范围. 【答案】(1)当 时, 单调递减,当 时, 单调递增. (2) 【分析】(1)由题意首先对函数二次求导,然后确定导函数的符号,最后确定原函数的单调性即可. (2)方法一:首先讨论x=0的情况,然后分离参数,构造新函数,结合导函数研究构造所得的函数的最大值 即可确定实数a的取值范围. 【详解】(1)当 时, , , 由于 ,故 单调递增,注意到 ,故: 当 时, 单调递减, 当 时, 单调递增. (2) [方法一]【最优解】:分离参数 由 得, ,其中 , ①.当x=0时,不等式为: ,显然成立,符合题意; ②.当 时,分离参数a得, , 记 , ,令 , 则 , , 故 单调递增, , 故函数 单调递增, , 由 可得: 恒成立, 故当 时, , 单调递增; 当 时, , 单调递减; 因此, , 综上可得,实数a的取值范围是 . [方法二]:特值探路 当 时, 恒成立 . 只需证当 时, 恒成立. 当 时, . 只需证明 ⑤式成立. ⑤式 , 令 , 则 , 所以当 时, 单调递减; 当 单调递增; 当 单调递减. 从而 ,即 ,⑤式成立.所以当 时, 恒成立. 综上 . [方法三]:指数集中 当 时, 恒成立 , 记 , , ①.当 即 时, ,则当 时, , 单调递增,又 , 所以当 时, ,不合题意; ②.若 即 时,则当 时, , 单调递减,当 时, , 单调递增,又 , 所以若满足 ,只需 ,即 ,所以当 时, 成立; ③当 即 时, ,又由②可知 时, 成立,所以 时, 恒成立, 所以 时,满足题意. 综上, . 【整体点评】导数是研究函数的单调性、极值(最值)最有效的工具,而函数是高中数学中重要的知识点, 本题主要考查利用导数解决恒成立问题,常用方法技巧有: 方法一,分离参数,优势在于分离后的函数是具体函数,容易研究; 方法二,特值探路属于小题方法,可以快速缩小范围甚至得到结果,但是解答题需要证明,具有风险性; 方法三,利用指数集中,可以在求导后省去研究指数函数,有利于进行分类讨论,具有一定的技巧性! 2.(2024·全国甲卷·高考真题)已知函数 . (1)当 时,求 的极值; (2)当 时, ,求 的取值范围.【答案】(1)极小值为 ,无极大值. (2) 【分析】(1)求出函数的导数,根据导数的单调性和零点可求函数的极值. (2)求出函数的二阶导数,就 、 、 分类讨论后可得参数的取值范围. 【详解】(1)当 时, , 故 , 因为 在 上为增函数, 故 在 上为增函数,而 , 故当 时, ,当 时, , 故 在 处取极小值且极小值为 ,无极大值. (2) , 设 , 则 , 当 时, ,故 在 上为增函数, 故 ,即 , 所以 在 上为增函数,故 . 当 时,当 时, , 故 在 上为减函数,故在 上 , 即在 上 即 为减函数, 故在 上 ,不合题意,舍. 当 ,此时 在 上恒成立, 同理可得在 上 恒成立,不合题意,舍;综上, . 【点睛】思路点睛:导数背景下不等式恒成立问题,往往需要利用导数判断函数单调性,有时还需要对导 数进一步利用导数研究其符号特征,处理此类问题时注意利用范围端点的性质来确定如何分类. 3.(全国·高考真题)已知函数f(x)=2sinx-xcosx-x,f′(x)为f(x)的导数. (1)证明:f′(x)在区间(0,π)存在唯一零点; (2)若x∈[0,π]时,f(x)≥ax,求a的取值范围. 【答案】(1)见解析; (2) . 【分析】(1)求导得到导函数后,设为 进行再次求导,可判断出当 时, ,当 时, ,从而得到 单调性,由零点存在定理可判断出唯一零点所处的位置,证得结 论;(2)构造函数 ,通过二次求导可判断出 , ;分别在 , , 和 的情况下根据导函数的 符号判断 单调性,从而确定 恒成立时 的取值范围. 【详解】(1) 令 ,则 当 时,令 ,解得: 当 时, ;当 时, 在 上单调递增;在 上单调递减 又 , , 即当 时, ,此时 无零点,即 无零点 ,使得 又 在 上单调递减 为 ,即 在 上的唯一零点 综上所述: 在区间 存在唯一零点 (2)若 时, ,即 恒成立令 则 , 由(1)可知, 在 上单调递增;在 上单调递减 且 , , , ①当 时, ,即 在 上恒成立 在 上单调递增 ,即 ,此时 恒成立 ②当 时, , , ,使得 在 上单调递增,在 上单调递减 又 , 在 上恒成立,即 恒成立 ③当 时, , ,使得 在 上单调递减,在 上单调递增 时, ,可知 不恒成立 ④当 时, 在 上单调递减 可知 不恒成立 综上所述: 【点睛】本题考查利用导数讨论函数零点个数、根据恒成立的不等式求解参数范围的问题.对于此类端点值 恰为恒成立不等式取等的值的问题,通常采用构造函数的方式,将问题转变成函数最值与零之间的比较,进而通过导函数的正负来确定所构造函数的单调性,从而得到最值. 1.(2024·浙江宁波·模拟预测)已知函数 . (1)讨论 的单调性; (2)若对任意的 恒成立,求 的范围. 【答案】(1)答案见解析 (2) 【分析】(1)求导后分 和 讨论导数的正负即可; (2)当 时,代入函数求出 ,当 时,分离参数并构造函数 ,求导后再次构造函 数 ,再求导分析单调性,最终求出 即可; 【详解】(1) , 当 时, 恒成立,故 在 上单调递增, 当 时,令 ,解得 , 所以当 时, , 单调递增;当 时, , 单调递减; 综上,当 时, 在 上单调递增;当 时, 在 上单调递增,在 上单调 递减; (2)当 时, ,符合题意,此时 ; 当 时,因为 恒成立,即 恒成立, 令 ,则 , 再令 ,则 恒成立, 则 在 单调递增, 所以 , 所以 在 上单调递增,所以当 时, , 所以 2.(2024·河南·模拟预测)已知函数 . (1)讨论 的单调性; (2) , ,求 的取值范围. 【答案】(1)答案见解析 (2) 【分析】(1)求导得 ,分 是否小于0进行讨论即可求解; (2)显然 时,不等式恒成立,所以原题条件等价于 ,在 上恒成立,构造函数 , ,利用导数求得其最大值即可得解. 【详解】(1) 的定义域为 , , 当 时, ,所以 在 上单调递增; 当 时,当 时, ,当 时, , 所以 在 上单调递减,在 上单调递增. (2)当 时, 显然成立,此时 可为任意实数; 当 时,由 , 在 上恒成立,得 , 令 , , 则 , 设 ,由(1)可知, 在 上单调递增,所以 , 当 时, ,当 时, , 所以 在 上单调递增,在 上单调递减; 则 ,所以 ,综上,实数 的取值范围为 . 3.(2024·广西·三模)已知函数 . (1)求函数 的极值; (2)若对任意 ,求 的取值范围. 【答案】(1) 的极小值为 ,无极大值. (2) 【分析】(1)求导函数 的零点,即为 的极值点,然后解不等式 , ,确定极 大值和极小值; (2)构造函数,将恒成立问题转化为最值问题,在求最值过程中,注意对参数a的分类讨论. 【详解】(1) ,得 , 当 时, ,函数 在 单调递减, 当 时, ,函数 在 单调递增, 所以 的极小值为 ,无极大值. (2)对任意 ,即 , 设 , ①当 时, 在 单调递增, 单调递增, ,成立; ②当 时,令 在 单调递增, 在 单调递增, ,成立; ③当 时,当 时, 单调递减, 单调递减, ,不成立. 综上可知 . 4.(2024·四川绵阳·模拟预测)已知函数 . (1)当 时,求函数 在区间 上零点的个数;(2)若 时,不等式 恒成立,求实数 的取值范围. 【答案】(1)1个零点 (2) 【分析】(1)根据题意,求导可得 在 单调递减,结合零点存在定理即可得到结果; (2)根据题意,由端点效应可得 ,然后证明当 时, ,均有 即可. 【详解】(1)当 时, ,令 , 则 , 当 时, , 在 单调递减,即 在 单调递减, 且 , , ,使 , 在 单调递增, 单调递减; , , 在 有1个零点; (2) ,注意到 ,要使 ,则须满足 ,即 ,得 . 下证:当 时, ,均有 . 当 时, 此时 在 单调递减, 此时 . 当 时, ,必存在 ,使 在 单调递增,那么 均有 ,矛盾. 综上所述:要使 成立的 的取值范围为: .5.(2024·云南昆明·一模)已知函数 . (1)求曲线 在点 处的切线方程; (2)当 时, ,求a的取值范围. 【答案】(1) (2) 【分析】(1)根据导数的几何意义即可求解; (2)由题意,将问题转化为 ( )恒成立,利用导数讨论函数 的单 调性,即可求解. 【详解】(1)由于 ,则切点坐标为 , 因为 ,所以切线斜率为 , 故切线方程为 ,即 . (2)当 时, 等价于 , 令 , , 恒成立,则 恒成立, , 当 时, ,函数 在 上单调递减, ,不符合题意; 当 时,由 ,得 , 时, ,函数 单调递减, ,不符合题意; 当 时, ,因为 ,所以 ,则 , 所以函数 在 上单调递增, ,符合题意. 综上所述, . 6.(2024·安徽池州·模拟预测)设函数 .(1)当 时,求曲线 在点 处的切线方程; (2)当 时,若 恒成立,求实数 的取值范围. 【答案】(1) (2) 【分析】(1)直接根据导数的几何意义即得切线方程; (2)先将不等式变形,将条件转化为 对 恒成立,再通过导数研究 的单调 性即知 的取值范围. 【详解】(1)当 时, , 可得 , 所以 , , 所以曲线 在点 处的切线方程为 ,即 . (2)由条件知 ,即 ,即 ,即 , 当 时,不等式恒成立; 当 时,我们有 . 所以命题等价于 对 恒成立, 令 ,则: , 而当 时, ,故, 当 时, ,故 在区间 上单调递增; 当 时, ,故 在区间 上单调递减,所以 . 综上所述,实数 的取值范围为 . 7.(2024·山西·三模)已知函数 (1)当 时,求曲线 在点 处的切线与两坐标轴围成的三角形的面积; (2)当 时, 恒成立,求 的取值范围 【答案】(1) (2) 【分析】(1)直接代入求导,计算出切线方程,求出截距计算面积即可; (2)首先研究函数 在 上的最小值大于0,再分离参数得 ,最后设新函数研 究其最大值即可. 【详解】(1)当 时, , 曲线 在点 处的切线方程为 , 即 , 直线 在 轴, 轴上的截距分别为 , 因此所求三角形的面积为 . (2)当 时,不等式 恒成立,即 恒成立. 令 , 则 ,设 令 ,解得 . 当 时, 单调递减;当 时, 单调递增; 所以 . 所以 在 上单调递增,且 , 所以当 时, 恒成立. 所以当 时, 恒成立.令 ,则 . 由于 时, 恒成立,即 ,所以 ,则 , 当 时, 单调递增;当 , 单调递减; 因此当 时, 取得极大值也是最大值,则 , 所以 ,所以,实数 的取值范围是 . 8.(2024·四川遂宁·二模)已知函数 . (1)若 在区间 存在极值,求 的取值范围; (2)若 , ,求 的取值范围. 【答案】(1) (2) 【分析】(1)对 分类讨论研究单调性后,结合极值的定义计算即可得; (2)设 ,原问题即为 在 时恒成立,多次求导后,对 时及 时分类讨论,结合零点的存在性定理与函数的单调性即可得解. 【详解】(1)由 ,得 , 当 时, ,则 单调递增, 不存在极值, 当 时,令 ,则 , 若 ,则 , 单调递减; 若 ,则 , 单调递增, 所以 是 的极小值点, 因为 在区间 存在极值,则 ,即 , 所以, 在区间 存在极值时, 的取值范围是 ; (2)由 在 时恒成立, 即 在 时恒成立, 设 ,则 在 时恒成立, 则 ,令 ,则 , 令 ,则 , 时, ,则 , 时, ,则 , 所以 时, ,则 即 单调递增, 所以 ,则 即 单调递增, 所以 , ①当 时, ,故 , ,则 单调递增, 所以 , 所以 在 时恒成立, ②当 时, , , 故在区间 上函数 存在零点 ,即 , 由于函数 在 上单调递增,则 时, , 故函数 在区间 上单调递减, 所以,当 时,函数 ,不合题意, 综上所述,的取值范围为 . 【点睛】关键点点睛:最后一问关键点在于多次求导后,得到 ,从而通过对 及 进行分类讨论. 9.(2024高三·全国·专题练习)已知函数 , . (1)当 时,讨论函数 的单调性; (2)若 , 恒成立,求 的取值范围. 【答案】(1) 在 上单调递增. (2) 【分析】(1)求导,根据导函数的正负确定函数单调性, (2)将问题转化为 恒成立,构造函数,求导确定函数单调性,结合分类讨论即可求解. 【详解】(1)当 时, ,所以 , 令 ,所以 , 当 时, ,当 时, , 所以 在 上单调递减,在 上单调递增, 所以 ,即 , 从而函数 在 上单调递增. (2)因为 ,所以 , 又 , 恒成立等价于 恒成立. 记 ,所以 . 令 ,所以 . 设 ,从而 , 则 在 上单调递增, 故有 ,则 在 上单调递增, 即 在 上单调递增,故有 . 当 时, ,此时 单调递增, 从而 ,满足题意. 当 时, ,且 在 上单调递增, , , 故存在 满足 , 当 ,则 在 上单调递减, 所以当 时, ,不满足题意. 综上, 的取值范围为 . 【点睛】方法点睛: 1. 导函数中常用的两种常用的转化方法:一是利用导数研究含参函数的单调性,常化为不等式恒成立问题. 注意分类讨论与数形结合思想的应用;二是函数的零点、不等式证明常转化为函数的单调性、极(最)值问 题处理.2.利用导数解决含参函数的单调性问题时,一般将其转化为不等式恒成立问题,解题过程中要注意分类讨 论和数形结合思想的应用. 3.证明不等式,构造一个适当的函数,利用它的单调性进行解题,是一种常用技巧.许多问题,如果运用这 种思想去解决,往往能获得简洁明快的思路,有着非凡的功效. 10.(2024·陕西咸阳·三模)已知函数 . (1)当 时,求函数 极值; (2)若对任意 , 恒成立,求实数 的取值范围. 【答案】(1)极大值 ,无极小值; (2) . 【分析】(1)把 代入,并求出函数 ,再利用导数探讨极值即可得解. (2)变形给定不等式,证明 并分离参数,构造函数 ,利用导数求出最小值即得. 【详解】(1)函数 的定义域为 ,当 时, , 求导得 ,由 ,得 ,由 ,得 ,由 ,得 , 因此 在 上单调递增,在 上单调递减, 所以 在 处取得极大值 ,无极小值. (2)函数 , , , 设 , ,求导得 ,函数 在 上单调递减, 则 ,即 ,因此 , 令 , ,求导得 , 令 , ,求导得 ,当 时, , 当 时, ,即 在 上单调递减,在 上单调递增, 则 ,即 ,因此函数 在 上是增函数, , 所以 ,即实数 的取值范围为 . 【点睛】关键点点睛:涉及不等式恒成立问题,将给定不等式等价转化,构造函数,利用导数探求函数单调性、最值是解决问题的关键. 1.(全国·高考真题)已知函数f(x)=ex(ex-a)-a2x,其中参数a≤0. (1)讨论f(x)的单调性; (2)若f(x)≥0,求a的取值范围. 【答案】(1) f(x)在 上单调递减,在区间 上单调递增. (2) 【分析】(1)求f(x)的导函数为f′(x)=(2ex+a)(ex-a),通过讨论a,求函数的单调区间即可. (2)因为f(x)≥0, 所以即求f(x)的最小值大于等于0,由第(1)的结果求的f(x)的最小值,解关于a的不等式即可求出a的范围. 【详解】(1)函数f(x)的定义域为(-∞,+∞),且a≤0. f′(x)=2e2x-aex-a2=(2ex+a)(ex-a). ①若a=0,则f(x)=e2x,在(-∞,+∞)上单调递增. ②若a<0,则由f′(x)=0,得x=ln . 当x∈ 时,f′(x)<0; 当x∈ 时,f′(x)>0. 故f(x)在 上单调递减,在区间 上单调递增. (2)①当a=0时,f(x)=e2x≥0恒成立. ②若a<0,则由(1)得,当x=ln 时,f(x)取得最小值,最小值为f =a2 , 故当且仅当a2 ≥0, 即0>a≥ 时,f(x)≥0. 综上a的取值范围是[ ,0]. 【点睛】本题考查利用导数求函数的单调区间,考查函数的恒成立问题,同时考查了分类讨论的思想和学 生的计算能力,属于中档题. 2.(山东·高考真题)设函数 ,其中 .(Ⅰ)讨论函数 极值点的个数,并说明理由; (Ⅱ)若 成立,求 的取值范围. 【答案】(Ⅰ)见解析(Ⅱ) 的取值范围是 . 【详解】试题分析:(Ⅰ)先求 ,令 通过对 的取值的讨论,结合二次函数的知识,由导数的符号得到函数 的单调区间;(Ⅱ)根据 (1)的结果 这一特殊性,通过对参数的讨论确定 的取值范围. 试题解析:函数 的定义域为 令 , (1)当 时, , 在 上恒成立 所以,函数 在 上单调递增无极值; (2)当 时, ①当 时, , 所以, ,函数 在 上单调递增无极值; ②当 时, 设方程 的两根为 因为 所以, 由 可得: 所以,当 时, ,函数 单调递增; 当 时, ,函数 单调递减; 当 时, ,函数 单调递增; 因此函数 有两个极值点. (3)当 时, 由 可得:当 时, ,函数 单调递增; 当 时, ,函数 单调递减; 因此函数 有一个极值点. 综上: 当 时,函数 在 上有唯一极值点; 当 时,函数 在 上无极值点; 当 时,函数 在 上有两个极值点; (Ⅱ)由(Ⅰ)知, (1)当 时,函数 在 上单调递增, 因为 所以, 时, ,符合题意; (2)当 时,由 ,得 所以,函数 在 上单调递增, 又 ,所以, 时, ,符合题意; (3)当 时,由 ,可得 所以 时,函数 单调递减; 又 所以,当 时, 不符合题意; (4)当 时,设 因为 时, 所以 在 上单调递增, 因此当 时, 即: 可得: 当 时, 此时, 不合题意.综上所述, 的取值范围是 考点:1、导数在研究函数性质中的应用;2、分类讨论的思想. 3.(全国·高考真题)设函数 (1)求证: 的导数 ; (2)若对任意 都有 求a的取值范围. 【答案】(1)见解析;(2)(﹣∞,2] 【分析】(1)先求出f(x)的导函数,利用a+b≥2 当且仅当a=b时取等号.得到f'(x)≥2; (2)把不等式变形令g(x)=f(x)﹣ax并求出导函数令其=0得到驻点,在x≥0上求出a的取值范围 即可. 【详解】解:(1)f(x)的导数f'(x)=ex+e﹣x. 由于 ,故f'(x)≥2. (当且仅当x=0时,等号成立). (2)令g(x)=f(x)﹣ax,则g'(x)=f'(x)﹣a=ex+e﹣x﹣a, (ⅰ)若a≤2,当x>0时,g'(x)=ex+e﹣x﹣a>2﹣a≥0, 故g(x)在(0,+∞)上为增函数, 所以,x≥0时,g(x)≥g(0),即f(x)≥ax. (ⅱ)若a>2,方程g'(x)=0的正根为 , 此时,若x (0,x),则g'(x)<0,故g(x)在该区间为减函数. 1 所以,x (0,x)时,g(x)<g(0)=0,即f(x)<ax,与题设f(x)≥ax相矛盾. ∈ 1 综上,满足条件的a的取值范围是(﹣∞,2]. ∈ 【点睛】考查学生利用导数运算的能力,利用导数求闭区间上函数的最值的能力. 4.(全国·高考真题)设函数 (Ⅰ)若a= ,求 的单调区间; (Ⅱ)若当 ≥0时 ≥0,求a的取值范围 【答案】 在 , 单调增加,在(-1,0)单调减少, 【分析】试题分析:(I)(II) 令 若 若a>1,则当 为减函数,而 从而当 综合得a的取值范围为 考点:本小题主要考查利用导数考查函数的单调性和单调性的应用. 点评:导数是研究函数性质是有力工具,利用导数研究函数单调性的前提是要注意函数的定义域,而且解 决此类问题一般离不开分类讨论,讨论时要做到不重不漏. 【详解】请在此输入详解!