当前位置:首页>文档>重难点突破03原函数与导函数混合还原问题(十三大题型)(原卷版)_02高考数学_新高考复习资料_2024年新高考资料_一轮复习资料_第三章一元函数的导数及其应用

重难点突破03原函数与导函数混合还原问题(十三大题型)(原卷版)_02高考数学_新高考复习资料_2024年新高考资料_一轮复习资料_第三章一元函数的导数及其应用

  • 2026-04-21 06:03:09 2026-04-21 05:59:29

文档预览

重难点突破03原函数与导函数混合还原问题(十三大题型)(原卷版)_02高考数学_新高考复习资料_2024年新高考资料_一轮复习资料_第三章一元函数的导数及其应用
重难点突破03原函数与导函数混合还原问题(十三大题型)(原卷版)_02高考数学_新高考复习资料_2024年新高考资料_一轮复习资料_第三章一元函数的导数及其应用
重难点突破03原函数与导函数混合还原问题(十三大题型)(原卷版)_02高考数学_新高考复习资料_2024年新高考资料_一轮复习资料_第三章一元函数的导数及其应用
重难点突破03原函数与导函数混合还原问题(十三大题型)(原卷版)_02高考数学_新高考复习资料_2024年新高考资料_一轮复习资料_第三章一元函数的导数及其应用
重难点突破03原函数与导函数混合还原问题(十三大题型)(原卷版)_02高考数学_新高考复习资料_2024年新高考资料_一轮复习资料_第三章一元函数的导数及其应用
重难点突破03原函数与导函数混合还原问题(十三大题型)(原卷版)_02高考数学_新高考复习资料_2024年新高考资料_一轮复习资料_第三章一元函数的导数及其应用
重难点突破03原函数与导函数混合还原问题(十三大题型)(原卷版)_02高考数学_新高考复习资料_2024年新高考资料_一轮复习资料_第三章一元函数的导数及其应用
重难点突破03原函数与导函数混合还原问题(十三大题型)(原卷版)_02高考数学_新高考复习资料_2024年新高考资料_一轮复习资料_第三章一元函数的导数及其应用
重难点突破03原函数与导函数混合还原问题(十三大题型)(原卷版)_02高考数学_新高考复习资料_2024年新高考资料_一轮复习资料_第三章一元函数的导数及其应用
重难点突破03原函数与导函数混合还原问题(十三大题型)(原卷版)_02高考数学_新高考复习资料_2024年新高考资料_一轮复习资料_第三章一元函数的导数及其应用
重难点突破03原函数与导函数混合还原问题(十三大题型)(原卷版)_02高考数学_新高考复习资料_2024年新高考资料_一轮复习资料_第三章一元函数的导数及其应用
重难点突破03原函数与导函数混合还原问题(十三大题型)(原卷版)_02高考数学_新高考复习资料_2024年新高考资料_一轮复习资料_第三章一元函数的导数及其应用
重难点突破03原函数与导函数混合还原问题(十三大题型)(原卷版)_02高考数学_新高考复习资料_2024年新高考资料_一轮复习资料_第三章一元函数的导数及其应用
重难点突破03原函数与导函数混合还原问题(十三大题型)(原卷版)_02高考数学_新高考复习资料_2024年新高考资料_一轮复习资料_第三章一元函数的导数及其应用
重难点突破03原函数与导函数混合还原问题(十三大题型)(原卷版)_02高考数学_新高考复习资料_2024年新高考资料_一轮复习资料_第三章一元函数的导数及其应用
重难点突破03原函数与导函数混合还原问题(十三大题型)(原卷版)_02高考数学_新高考复习资料_2024年新高考资料_一轮复习资料_第三章一元函数的导数及其应用
重难点突破03原函数与导函数混合还原问题(十三大题型)(原卷版)_02高考数学_新高考复习资料_2024年新高考资料_一轮复习资料_第三章一元函数的导数及其应用
重难点突破03原函数与导函数混合还原问题(十三大题型)(原卷版)_02高考数学_新高考复习资料_2024年新高考资料_一轮复习资料_第三章一元函数的导数及其应用
重难点突破03原函数与导函数混合还原问题(十三大题型)(原卷版)_02高考数学_新高考复习资料_2024年新高考资料_一轮复习资料_第三章一元函数的导数及其应用
重难点突破03原函数与导函数混合还原问题(十三大题型)(原卷版)_02高考数学_新高考复习资料_2024年新高考资料_一轮复习资料_第三章一元函数的导数及其应用
重难点突破03原函数与导函数混合还原问题(十三大题型)(原卷版)_02高考数学_新高考复习资料_2024年新高考资料_一轮复习资料_第三章一元函数的导数及其应用

文档信息

文档格式
docx
文档大小
1.333 MB
文档页数
17 页
上传时间
2026-04-21 05:59:29

文档内容

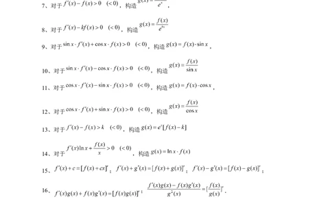
重难点突破03 原函数与导函数混合还原问题 目录 1、对于 ,构造 , 2、对于 ,构造 学学科科网网((北北京京))股股份份有有限限公公司司 13、对于 ,构造 , 4、对于 ,构造 5、对于 ,构造 , 6、对于 ,构造 7、对于 ,构造 , 8、对于 ,构造 9、对于 ,构造 , 10、对于 ,构造 11、对于 ,构造 , 12、对于 ,构造 13、对于 ,构造 14、对于 ,构造 15、 ; ; ; 16、 ; . 题型一:利用 构造型 例1.(安徽省马鞍山第二中学2022-2023学年高三上学期10月段考数学试题)已知 的定义域为 , 为 的导函数,且满足 ,则不等式 的解集是 ( ) A. B. C. D. 学学科科网网((北北京京))股股份份有有限限公公司司 2例2.(河南省温县第一高级中学2022-2023学年高三上学期12月月考数学试题)已知函数 的定义域 为 ,且满足 ( 是 的导函数),则不等式 的解 集为( ) A. B. C. D. 例3.(黑龙江省大庆实验中学2023届高三下学期5月考前得分训练(三)数学试题)已知函数 的定 义域为 , 为函数 的导函数,若 , ,则不等式 的解 集为( ) A. B. C. D. 变式1.(2023届高三第七次百校大联考数学试题(新高考))已知定义在 上的偶函数 的导函 数为 ,当 时, ,且 ,则不等式 的解集为( ) A. B. C. D. 变式2.(四川省绵阳市盐亭中学2023届高三第二次模拟考试数学试题)已知定义在 上的函数 满足 , ,则关于 的不等式 的解集为( ) A. B. C. D. 变式3.(河南省豫北重点高中2022-2023学年高三下学期4月份模拟考试文科数学试题)已知函数 的定义域为 ,其导函数是 ,且 .若 ,则不等式 的 解集是( ) A. B. C. D. 学学科科网网((北北京京))股股份份有有限限公公司司 3变式4.(广西15所名校大联考2023届高三高考精准备考原创模拟卷(一)数学试题)已知 是定义 在R上的偶函数,其导函数为 ,且 ,则不等式 的解集为 ( ) A. B. C. D. 【解题方法总结】 1、对于 ,构造 , 2、对于 ,构造 题型二:利用 构造型 例4.(河南省信阳市息县第一高级中学2022-2023学年高三上学期9月月考数学试题)已知定义在 的函数 满足: ,其中 为 的导函数,则不等式 的解集为( ) A. B. C. D. 例5.已知定义域为{x|x≠0}的偶函数f(x),其导函数为f′(x),对任意正实数x满足xf′(x)>2f(x),若g(x)= ,则不等式g(x)