当前位置:首页>文档>专题01圆锥曲线中的轨迹方程问题(典型题型归类训练)(解析版)_02高考数学_2025年新高考资料_专项复习_解题思路训练2025年高考数学复习解答题提优秘籍(新高考专用)_平面解析几何

专题01圆锥曲线中的轨迹方程问题(典型题型归类训练)(解析版)_02高考数学_2025年新高考资料_专项复习_解题思路训练2025年高考数学复习解答题提优秘籍(新高考专用)_平面解析几何

  • 2026-04-07 08:26:37 2026-04-07 07:51:24

文档预览

专题01圆锥曲线中的轨迹方程问题(典型题型归类训练)(解析版)_02高考数学_2025年新高考资料_专项复习_解题思路训练2025年高考数学复习解答题提优秘籍(新高考专用)_平面解析几何
专题01圆锥曲线中的轨迹方程问题(典型题型归类训练)(解析版)_02高考数学_2025年新高考资料_专项复习_解题思路训练2025年高考数学复习解答题提优秘籍(新高考专用)_平面解析几何
专题01圆锥曲线中的轨迹方程问题(典型题型归类训练)(解析版)_02高考数学_2025年新高考资料_专项复习_解题思路训练2025年高考数学复习解答题提优秘籍(新高考专用)_平面解析几何
专题01圆锥曲线中的轨迹方程问题(典型题型归类训练)(解析版)_02高考数学_2025年新高考资料_专项复习_解题思路训练2025年高考数学复习解答题提优秘籍(新高考专用)_平面解析几何
专题01圆锥曲线中的轨迹方程问题(典型题型归类训练)(解析版)_02高考数学_2025年新高考资料_专项复习_解题思路训练2025年高考数学复习解答题提优秘籍(新高考专用)_平面解析几何
专题01圆锥曲线中的轨迹方程问题(典型题型归类训练)(解析版)_02高考数学_2025年新高考资料_专项复习_解题思路训练2025年高考数学复习解答题提优秘籍(新高考专用)_平面解析几何
专题01圆锥曲线中的轨迹方程问题(典型题型归类训练)(解析版)_02高考数学_2025年新高考资料_专项复习_解题思路训练2025年高考数学复习解答题提优秘籍(新高考专用)_平面解析几何
专题01圆锥曲线中的轨迹方程问题(典型题型归类训练)(解析版)_02高考数学_2025年新高考资料_专项复习_解题思路训练2025年高考数学复习解答题提优秘籍(新高考专用)_平面解析几何
专题01圆锥曲线中的轨迹方程问题(典型题型归类训练)(解析版)_02高考数学_2025年新高考资料_专项复习_解题思路训练2025年高考数学复习解答题提优秘籍(新高考专用)_平面解析几何
专题01圆锥曲线中的轨迹方程问题(典型题型归类训练)(解析版)_02高考数学_2025年新高考资料_专项复习_解题思路训练2025年高考数学复习解答题提优秘籍(新高考专用)_平面解析几何
专题01圆锥曲线中的轨迹方程问题(典型题型归类训练)(解析版)_02高考数学_2025年新高考资料_专项复习_解题思路训练2025年高考数学复习解答题提优秘籍(新高考专用)_平面解析几何
专题01圆锥曲线中的轨迹方程问题(典型题型归类训练)(解析版)_02高考数学_2025年新高考资料_专项复习_解题思路训练2025年高考数学复习解答题提优秘籍(新高考专用)_平面解析几何
专题01圆锥曲线中的轨迹方程问题(典型题型归类训练)(解析版)_02高考数学_2025年新高考资料_专项复习_解题思路训练2025年高考数学复习解答题提优秘籍(新高考专用)_平面解析几何
专题01圆锥曲线中的轨迹方程问题(典型题型归类训练)(解析版)_02高考数学_2025年新高考资料_专项复习_解题思路训练2025年高考数学复习解答题提优秘籍(新高考专用)_平面解析几何
专题01圆锥曲线中的轨迹方程问题(典型题型归类训练)(解析版)_02高考数学_2025年新高考资料_专项复习_解题思路训练2025年高考数学复习解答题提优秘籍(新高考专用)_平面解析几何
专题01圆锥曲线中的轨迹方程问题(典型题型归类训练)(解析版)_02高考数学_2025年新高考资料_专项复习_解题思路训练2025年高考数学复习解答题提优秘籍(新高考专用)_平面解析几何
专题01圆锥曲线中的轨迹方程问题(典型题型归类训练)(解析版)_02高考数学_2025年新高考资料_专项复习_解题思路训练2025年高考数学复习解答题提优秘籍(新高考专用)_平面解析几何
专题01圆锥曲线中的轨迹方程问题(典型题型归类训练)(解析版)_02高考数学_2025年新高考资料_专项复习_解题思路训练2025年高考数学复习解答题提优秘籍(新高考专用)_平面解析几何
专题01圆锥曲线中的轨迹方程问题(典型题型归类训练)(解析版)_02高考数学_2025年新高考资料_专项复习_解题思路训练2025年高考数学复习解答题提优秘籍(新高考专用)_平面解析几何
专题01圆锥曲线中的轨迹方程问题(典型题型归类训练)(解析版)_02高考数学_2025年新高考资料_专项复习_解题思路训练2025年高考数学复习解答题提优秘籍(新高考专用)_平面解析几何
专题01圆锥曲线中的轨迹方程问题(典型题型归类训练)(解析版)_02高考数学_2025年新高考资料_专项复习_解题思路训练2025年高考数学复习解答题提优秘籍(新高考专用)_平面解析几何
专题01圆锥曲线中的轨迹方程问题(典型题型归类训练)(解析版)_02高考数学_2025年新高考资料_专项复习_解题思路训练2025年高考数学复习解答题提优秘籍(新高考专用)_平面解析几何
专题01圆锥曲线中的轨迹方程问题(典型题型归类训练)(解析版)_02高考数学_2025年新高考资料_专项复习_解题思路训练2025年高考数学复习解答题提优秘籍(新高考专用)_平面解析几何
专题01圆锥曲线中的轨迹方程问题(典型题型归类训练)(解析版)_02高考数学_2025年新高考资料_专项复习_解题思路训练2025年高考数学复习解答题提优秘籍(新高考专用)_平面解析几何
专题01圆锥曲线中的轨迹方程问题(典型题型归类训练)(解析版)_02高考数学_2025年新高考资料_专项复习_解题思路训练2025年高考数学复习解答题提优秘籍(新高考专用)_平面解析几何
专题01圆锥曲线中的轨迹方程问题(典型题型归类训练)(解析版)_02高考数学_2025年新高考资料_专项复习_解题思路训练2025年高考数学复习解答题提优秘籍(新高考专用)_平面解析几何
专题01圆锥曲线中的轨迹方程问题(典型题型归类训练)(解析版)_02高考数学_2025年新高考资料_专项复习_解题思路训练2025年高考数学复习解答题提优秘籍(新高考专用)_平面解析几何
专题01圆锥曲线中的轨迹方程问题(典型题型归类训练)(解析版)_02高考数学_2025年新高考资料_专项复习_解题思路训练2025年高考数学复习解答题提优秘籍(新高考专用)_平面解析几何
专题01圆锥曲线中的轨迹方程问题(典型题型归类训练)(解析版)_02高考数学_2025年新高考资料_专项复习_解题思路训练2025年高考数学复习解答题提优秘籍(新高考专用)_平面解析几何
专题01圆锥曲线中的轨迹方程问题(典型题型归类训练)(解析版)_02高考数学_2025年新高考资料_专项复习_解题思路训练2025年高考数学复习解答题提优秘籍(新高考专用)_平面解析几何

文档信息

文档格式
docx
文档大小
1.412 MB
文档页数
26 页
上传时间
2026-04-07 07:51:24

文档内容

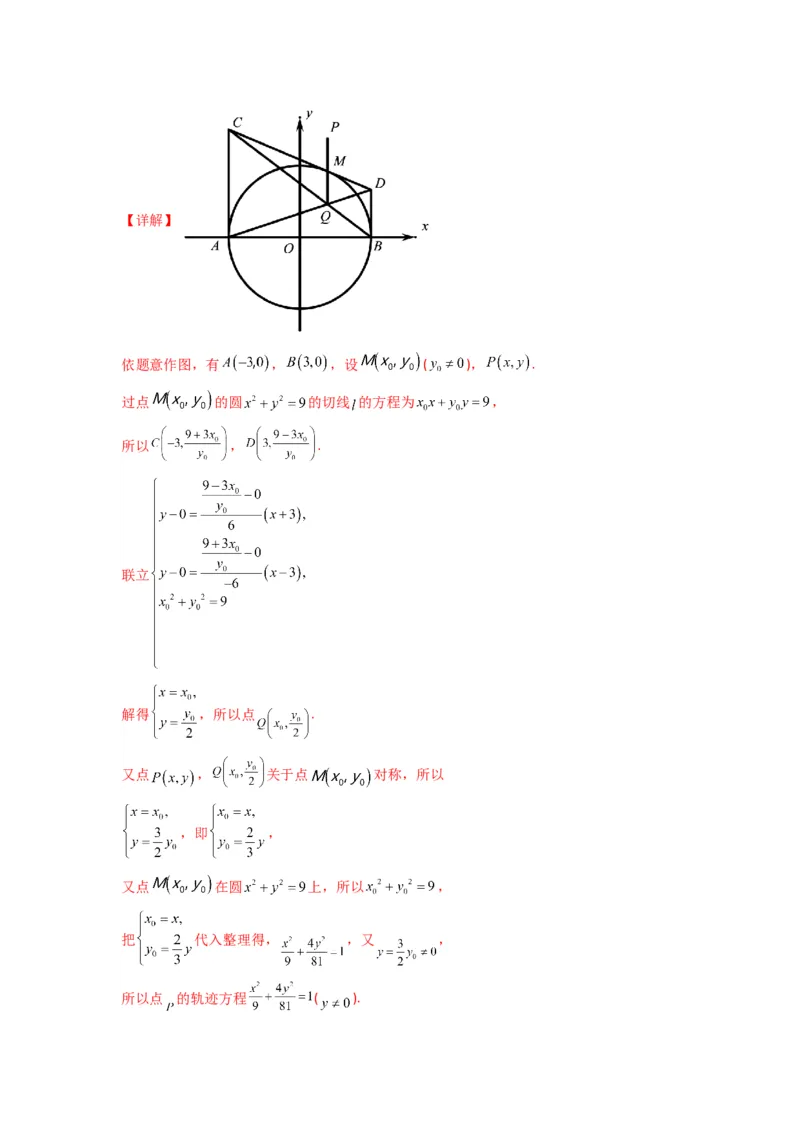
专题 01 圆锥曲线中的轨迹方程问题(典型题型归类训练) 目录 一、必备秘籍.......................................................................................1 二、典型题型.......................................................................................2 题型一:定义法求轨迹方程...........................................................2 题型二:直接法..............................................................................5 题型三:代入法(相关点法).......................................................8 题型四:点差法............................................................................14 三、专项训练.....................................................................................18 一、必备秘籍 1、曲线方程的定义 一般地,如果曲线 与方程 之间有以下两个关系: ①曲线 上的点的坐标都是方程 的解; ②以方程 的解为坐标的点都是曲线 上的点. 此时,把方程 叫做曲线 的方程,曲线 叫做方程 的曲线. 2、求曲线方程的一般步骤: (1)建立适当的直角坐标系(如果已给出,本步骤省略); (2)设曲线上任意一点的坐标为 ; (3)根据曲线上点所适合的条件写出等式; x、y (4)用坐标 表示这个等式,并化简; (5)确定化简后的式子中点的范围. 上述五个步骤可简记为:求轨迹方程的步骤:建系、设点、列式、化简、确定点的范围. 3、求轨迹方程的方法: 3.1定义法: 如果动点 的运动规律合乎我们已知的某种曲线(如圆、椭圆、双曲线、抛物线)的定义,则可先设出轨迹方程,再根据已知条件,待定方程中的常数,即可得到轨迹方程。 3.2直接法: 如果动点 的运动规律是否合乎我们熟知的某些曲线的定义难以判断,但点 满足的等量 关系易于建立,则可以先表示出点 所满足的几何上的等量关系,再用点 的坐标 表示该等量关系式,即可得到轨迹方程。 3.3代入法(相关点法): 如果动点 的运动是由另外某一点 的运动引发的,而该点的运动规律已知,(该点坐标 满足某已知曲线方程),则可以设出 ,用 表示出相关点 的坐标,然后把 的坐标代入已知曲线方程,即可得到动点 的轨迹方程。 3.4点差法: 圆锥曲线中与弦的中点有关的轨迹问题可用点差法,其基本方法是把弦的两端点 的坐标代入圆锥曲线方程,然而相减,利用平方差公式可得 , , , 等关系式,由于弦 的中点 的坐标满足 , 且直线 的斜率为 ,由此可求得弦 中点的轨迹方程. 二、典型题型 题型一:定义法求轨迹方程 1.(23-24高二上·安徽芜湖·阶段练习)已知动圆过定点 ,并且在定圆B: 的内部与其相切,则动圆圆心的轨迹方程是( ) A. B. C. D. 【答案】A 【分析】设 ,动圆 的半径为 ,由圆与圆的位置关系可得 ,判断 出 的轨迹为以 为焦点,长轴长为8 的椭圆,即可求出 的轨迹方程. 【详解】设动圆圆心为 ,动圆 的半径为 ,则 , 因为动圆 在定圆 : 的内部与其相内切, 所以 ,所以 ,即 ,因为 , ,所以 , 由椭圆的定义可知: 的轨迹为以 为焦点,长轴长为8 的椭圆, 所以 , 所以动圆圆心 的轨迹方程为 . 故选:A 2.(23-24高二上·河南洛阳·阶段练习)已知动圆 过动点 ,并且在定圆 : 的内部与其相内切,则动圆圆心 的轨迹方程为( ) A. B. C. D. 【答案】A 【分析】设 ,动圆 的半径为 ,由圆与圆的位置关系可得 ,判断 出 的轨迹为以 为焦点,长轴长为8 的椭圆,即可求出 的轨迹方程. 【详解】设 ,动圆 的半径为 ,则 , 因为动圆 在定圆 : 的内部与其相内切, 所以 , 所以 ,即 , 因为 , ,所以 , 由椭圆的定义可知: 的轨迹为以 为焦点,长轴长为8 的椭圆, 所以 , 所以动圆圆心 的轨迹方程为 . 故选:A 3.(24-25高二上·上海·课堂例题)已知动圆P与圆M: ,圆N: 均外切,记圆心P的运动轨迹为曲线C,则C的方程为( ) A. B. C. D.【答案】B 【分析】设圆P的半径为r,外切关系可得 , ,进而得 ,从而利用双曲线的定义即可求解. 【详解】由圆M: ,得圆心 ,半径 , 由圆N: ,得圆心 ,半径 . 设圆P的半径为r,则有 , . 两式相减得 , 所以圆心P的运动轨迹为以 、 为焦点的双曲线的左支, 又 ,所以C的方程为 . 故选:B. 4.(23-24高二上·新疆乌鲁木齐·期末)一动圆 过定点 ,且与已知圆 : 相切,则动圆圆心P的轨迹方程是( ) A. B. C. D. 【答案】D 【分析】根据两圆相切,得 ,结合 ,得动点 的轨迹是以 、 为焦点的双曲线,再根据 求出 ,可得结果. 【详解】圆 : 的圆心 ,半径为 , 当动圆 与圆 相外切时, 则 ,即 当动圆 与圆 相内切时,因为定点 在圆 外,所以只能是圆 内切于动圆 , 所以 ,即 综上所述: ,又 , 所以动点 的轨迹是以 、 为焦点的双曲线, 因为 , ,所以 , , 所以 , 所以动圆圆心P的轨迹方程是 . 故选:D 5.(23-24高二上·宁夏石嘴山·阶段练习)一个动圆与定圆 : 相内切,且与定直线 相切,则此动圆的圆心M的轨迹方程是( ) A. B. C. D. 【答案】D 【分析】先利用圆与圆的位置关系,直线与圆的位置关系找到动点M的几何条件,再根据 抛物线的定义确定动点M的轨迹,最后利用抛物线的标准方程写出轨迹方程. 【详解】设动圆M的半径为r,依题意: , 点M到定直线 的距离为 , 所以动点M到定点 的距离等于到定直线 的距离, 即M的轨迹为以F为焦点, 为准线的抛物线, 所以此动圆的圆心M的轨迹方程是 . 故选:D. 6.(23-24高二上·全国·课前预习)已知动圆M与直线y=2相切,且与定圆 外切,则动圆圆心M的轨迹方程为( ) A. B. C. D. 【答案】A 【分析】根据动圆M与直线y=2相切,且与定圆 外切,可得动点M到C (0,-3)的距离与到直线y=3的距离相等,由抛物线的定义知,点M的轨迹是抛物线,由 此易得轨迹方程. 【详解】设动圆圆心为M(x,y),半径为r,由题意可得M到C(0,-3)的距离与到直线y= 3的距离相等, 由抛物线的定义可知,动圆圆心的轨迹是以C(0,-3)为焦点,以y=3为准线的一条抛物 线, 所以 ,其方程为 , 故选:A题型二:直接法 1.(23-24高二上·广东深圳·期末)已知 ,若动点P满足直线 与直线 的斜率之积为 ,则动点P的轨迹方程为( ) A. B. C. D. 【答案】C 【分析】设出动点 ,利用条件直接建立关系 ,化简得出 ,从而得出结论. 【详解】设 ,因为 ,所以 , 又因为直线 与直线 的斜率之积为 ,所以 , 整理得 . 故选:C. 2.(23-24高一上·安徽六安·期末)已知点 的坐标分别为 ,直线 相交于点 ,且直线 的斜率与直线 的斜率的差是1,则点 的轨迹方程为( ) A. B. C. D. 【答案】B 【分析】设 ,分别求出直线 的斜率,结合题意列出方程,整理即可得解. 【详解】解:设 ,直线 的斜率为 ,直线 的斜率为 ,有 直线 的斜率与直线 的斜率的差是1,所以 , 通分得: ,整理得: ,即点 的轨迹方程为 . 故选:B. 3.(23-24高二上·河北邯郸·期末)在平面直角坐标系中,已知定点 , , 直线 与直线 的斜率之积为-4,则动点 的轨迹方程为 A. B. C. D. 【答案】A 【详解】设动点P的坐标为(x,y),则由条件得 即 (x≠0). 所以动点P的轨迹C的方程为 故选A. 4.(23-24高二上·浙江金华·期末)已知在平面直角坐标系xOy中, ,动点 P满足 则P点的轨迹Γ为圆 ,过点A的直线交圆Γ于两点C,D,且 ,则 . 【答案】 【分析】设 ,根据 可得圆的方程,利用垂径定理可求 . 【详解】设 ,则 ,整理得到 , 即 . 因为 ,故 为 的中点,过圆心 作 的垂线,垂足为 , 则 为 的中点,则 ,故 , 解得 , 故答案为: , .5.(2024高三·全国·专题练习)已知点 , ,直线PM,PN的斜率乘积 为 ,P点的轨迹为曲线C,则曲线C的方程为 . 【答案】 【分析】有已知条件结合斜率公式求解即可 【详解】设P点坐标为 , ∵ , ∴ , ∴ , ∴ , ∴曲线C的方程为 . 故答案为: . 题型三:代入法(相关点法) 1.(23-24高三上·湖南娄底·期末)已知双曲线 的两个焦点分别为 ,离心 率等于 ,设双曲线的两条渐近线分别为直线 ;若点 分别在 上,且满足 ,则线段 的中点 的轨迹 的方程为 A. B.C. D. 【答案】A 【分析】根据离心率得到双曲线方程,渐近线方程为 .设 , ,线段 的中点 ,根据 得到轨迹方程. 【详解】由已知 ,求得 ,得双曲线方程为 , 从而其渐近线方程为 . 设 , ,线段 的中点 , 由已知不妨设 , , 从而 , , 由 得 , 所以 ,即 , 则M的轨迹C的方程为 . 【点睛】本题考查了轨迹方程,意在考查学生的计算能力和综合应用能力. 2.(23-24高二下·江西宜春·期中)已知圆 与 轴交于点 、 ,过圆上动点 ( 不与 、 重合)作圆 的切线 ,过点 、 分别作 轴的垂线,与切线 分别交于 点 ,直线 与 交于点 , 关于 的对称点为 ,则点 的轨迹方程为 【答案】 【分析】相关点法求轨迹方程:设 ,先根据条件,求出 , 两点的坐标,再联立 直线 和 求出交点 ,根据 , 两点关于 对称,确定用 , 表示点 的坐 标,再由点 在圆上,列方程整理即可.【详解】 依题意作图,有 , ,设 ( ), . 过点 的圆 的切线 的方程为 , 所以 , . 联立 解得 ,所以点 . 又点 , 关于点 对称,所以 ,即 , 又点 在圆 上,所以 , 把 代入整理得, ,又 , 所以点 的轨迹方程 ( ).故答案为: ( ). 3.(23-24高二下·江西上饶·期末)已知椭圆 的左右焦点为 、 ,点 为椭 圆上任意一点,过 作 的外角平分线的垂线,垂足为点 ,过点 作 轴的垂线, 垂足为 ,线段 的中点为 ,则点 的轨迹方程为 . 【答案】 【分析】先利用椭圆的几何性质得到 的轨迹方程为: ,再根据 的坐标与 的坐标关系可得 的轨迹方程. 【详解】 如图,延长 交 的延长线于 ,连接 . 因为 为 的平分线且 , 故 为等腰三角形且 , , 所以 . 在 中,因为 ,所以 , 故 的轨迹方程为: . 令 ,则 ,所以 即 , 故答案为: 【点睛】本题考查椭圆的几何性质以及动点的轨迹方程,注意遇到与焦点三角形有关的轨 迹问题或计算问题时,要利用好椭圆的定义,另外,求动点的轨迹,注意把要求的动点的 轨迹转移到已知的动点的轨迹上去. 4.(23-24高二上·四川成都·期中)点M为椭圆 上一点, 为椭圆的两个焦 点,则 的内心轨迹方程为 .【答案】 【分析】设 的内心为 ,连接 交 轴于点 ,由内角平分线性质定理得到 ,设 ,再由焦半径公式及内角平分线定理得到 ,则 ,然后利用向量关系把 的坐标用 的坐标表示出来,代入椭圆方程求解. 【详解】如图,设 的内心为 ,连接 交 轴于点 ,连接 在 中 是 的角平分线. 根据内角平分线性质定理得到 . 同理可得 . 所以 ,根据等比定理得: 在椭圆 中, 所以 设 ,则 同理 又 ,则 ,可得 所有 由 ,得 , 所以 ,代入椭圆 方程.得 ,由 ,则 . 所以 的内心轨迹方程为: 故答案为: 【点睛】本题考查椭圆的简单性质,考查焦半径公式,内角平分线定理的应用,属于难题. 5.(22-23高二上·广东·阶段练习)已知圆 上的动点M在x轴上的投影为N, 点C满足 . (1)求动点C的轨迹方程C; 【答案】(1) 【分析】(1)设出点,根据已知列式得出点 与点 坐标的关系,即可根据点 是圆 上的动点,代入化简即可得出答案; 【详解】(1)设 , ,则 , 则 , , , ,即 , 点 是圆 上的动点, ,整理得 , 则动点C的轨迹方程C为: . 6.(2024·全国·模拟预测)在平面直角坐标系中,△ABC的两个顶点A,B的坐标分别为 , ,平面内两点G,M同时满足以下3个条件:①G是△ABC三条边中线的交 点:②M是△ABC的外心;③ (1)求△ABC的顶点C的轨迹方程;【答案】(1) ; 【分析】(1)设出点的坐标,利用两点间的距离公式即可求得轨迹方程; 【详解】(1)设C(x,y),G( , ),M( , ), 因为M是△ABC的外心,所以 所以M在线段AB的中垂线上,所以 , 因为 ,所以 , 又G是△ABC三条边中线的交点,所以G是△ABC的重心, 所以 , 所以 , 又 , 所以 , 化简得 , 所以顶点C的轨迹方程为 ; 题型四:点差法 1.(2024·贵州·模拟预测)已知椭圆 的右焦点为 ,过点 且斜率为1的直线交椭圆于 两点.若 的中点坐标为 ,则 的方程为( ) A. B. C. D. 【答案】D 【分析】设 ,利用点差法可得 的关系,从而可求得 ,即可的解. 【详解】设 ,则 ,由已知有, , 作差得 , 则 , 所以 ,解得 , 则 的方程为 . 故选:D. 2.(2024·四川巴中·模拟预测)已知椭圆 四个顶点构成的四边形的 面积为 ,直线 与椭圆C交于A,B两点,且线段 的中点为 , 则椭圆C的方程是( ) A. B. C. D. 【答案】A 【分析】设 代入椭圆方程相减,利用 , , , 得出 等量关系,即可求解. 【详解】设 , ,则 , ,两式作差并化简整理得 ,因为线段AB的中点为 ,所以 , , 所以 ,由 ,得 ,又因为 ,解得 , , 所以椭圆C的方程为 . 故选:A. 3.(23-24高二上·浙江杭州·阶段练习)焦距为 ,并且截直线 所得弦的中点 的横坐标是 的椭圆的标准方程为( )A. B. C. D. 或 【答案】A 【分析】设椭圆方程为 ,且 ,及交点 ,将两 点代入椭圆方程可得 ,根据弦中点坐标关系可得 ,结合直线方程得 ,再由椭圆的焦距求得 的值,即可得椭圆标准方 程. 【详解】解:设椭圆方程为 ,且 设直线 与椭圆相交的两点坐标为 ,由题意可知 ,即 , 所以 , 又 在椭圆上,可得: ,两式相减得 , 整理得: ,则 ,所以 , 又直线 的斜率为 ,所以 ,即 ,所以 椭圆 的焦距为 ,所以 ,则 , 故可得: 解得 ,故椭圆的标准方程为: . 故选:A. 4.(2024·陕西宝鸡·模拟预测)已知双曲线 : 的右焦点为 ,过点 的直线交双曲线E于A、B两点.若 的中点坐标为 ,则E的方程为( ) A. B. C. D. 【答案】D 【分析】设 ,由 ,利用点差法求解. 【详解】解:设 , 则 ,两式相减得 , 即 ,化简得 , 又 ,解得 , 所以双曲线的方程为: . 故选:D. 5.(23-24高二上·广东广州·阶段练习)已知双曲线 的中心为原点, 是 的焦 点,过 的直线 与 相交于 , 两点,且 的中点为 ,则 的方程为 ( ) A. B. C. D. 【答案】B 【解析】先根据 , , 的关系得出 ,设出 , 两点的坐标,代入双曲线方 程,两式相减利用中点坐标公式,求出 ,再根据直线过点 , 求出 ,即可得出 ,进而求出 , 得出双曲线的标准方程. 【详解】解:设双曲线 的标准方程为: , 由题意知: , 即 ① 设 , ,的中点为 , , , 又 , 在双曲线上, 则 , 两式作差得: , 即 , 即 , 又 , 即 , 解得: ②, 由①②解得: , , 双曲线的标准方程为: . 故选:B. 【点睛】方法点睛:解决双曲线有关弦以及弦中点的问题,常利用根与系数的关系以及 “点差法”,但前提必须保证直线与双曲线有两个不同的交点. 6.(23-24高二·全国·课后作业)过抛物线 的焦点作直线交抛物线于 、 两点, 则线段 的中点的轨迹方程为( ) A. B. C. D. 【答案】D 【分析】分析可知直线 不与 轴重合,设点 、 ,设直线 的方程为 ,将直线 的方程与抛物线的方程联立,列出韦达定理,求出线段 的中点坐 标,进而可得出线段 的中点的轨迹方程. 【详解】抛物线 的焦点为 ,设点 、 ,若直线 与 轴重合,则直线 与抛物线 只有一个交点,不合乎题意, 设直线 的方程为 ,联立 可得 , ,由韦达定理可得 ,所以, , 设线段 的中点为 ,则 , ,则 , 所以, ,化简可得 . 因此,线段 的中点的轨迹方程为 . 故选:D. 三、专项训练 1.(23-24高三下·重庆·期中)长为2的线段 的两个端点 和 分别在 轴和 轴上滑 动,则点 关于点 的对称点 的轨迹方程为( ) A. B. C. D. 【答案】D 【分析】设出 、 、 点坐标,由题意可得 、 两点坐标间的关系,用 点的横纵坐 标替换 、 点坐标代入计算即可得. 【详解】设 、 , , 则有 , ,即 , , 由题意可得 ,即 ,即 . 故选:D. 2.(23-24高三下·江西·开学考试)已知面积为 的正方形 的顶点 、 分别在 轴 和 轴上滑动, 为坐标原点, ,则动点 的轨迹方程是( ) A. B. C. D.【答案】C 【分析】设点 、 、 ,由平面向量的坐标运算可得出 ,由 正方形的面积公式可得出 ,将 代入等式 整理可得出点 的轨 迹方程. 【详解】设点 、 、 , 由 , 所以, ,可得 , 因为正方形 的面积为 ,即 ,即 , 整理可得 ,因此,动点 的轨迹方程为 . 故选:C. 3.(23-24高二上·广东佛山·期末)长为 的线段 的两个端点 和 分别在 轴和 轴 上滑动,则点 关于点 的对称点 的轨迹方程为( ) A. B. C. D. 【答案】C 【分析】设点 、 、 ,由已知条件可得出 ,分析可知, 为 的中点,可得出 ,代入等式 化简可得出点 的轨迹方程. 【详解】设点 、 、 ,则 ,可得 , 因为点 关于点 的对称点为 ,则 为 的中点, 所以, ,可得 ,将 代入 可得 ,即 , 因此,点 的轨迹方程为 . 故选:C. 4.(23-24高二上·安徽合肥·阶段练习)平面上动点 到定点 的距离比点 到 轴 的距离大 ,则动点 的轨迹方程为( ) A. B. C. 或 D. 或 【答案】D 【分析】设点 ,可得出 ,分 、 两种情况讨论,化简 可得出点 的轨迹方程. 【详解】设点 ,因为平面上动点 到定点 的距离比点 到 轴的距离大 , 则 , 当 时,则有 ,即 , 等式 两边平方整理可得 ; 当 时,则有 ,即 , 等式 两边平方可得 . 综上所述,点 的轨迹方程为 或 . 故选:D. 5.(23-24高二上·河南·期中)已知动点P在曲线 上,则点 与点P连线的 中点的轨迹方程是( ) A. B. C. D. 【答案】C 【分析】设 的中点为 ,根据中点坐标公式可得 ,进而将 点的坐标 代入曲线方程即可求解. 【详解】设 的中点为 , 因为 ,则 ,因为点P在曲线 上, 所以将 代入曲线 , 则 ,即 , 所以 的中点的轨迹方程是 . 故选:C. 6.(23-24高二上·河南南阳·阶段练习)已知点P是圆 上的动点,作 轴于点H,则线段PH的中点M的轨迹方程为( ) A. B. C. D. 【答案】D 【分析】设出中点 ,利用几何关系建立与点P坐标的关系,代入圆方程即可整理 出轨迹方程. 【详解】如下图所示: 不妨设 ,则满足 ; 易知 , 又线段 的中点为 ,可得 ; 即 ,代入方程 可得 , 整理得 . 故选:D 7.(23-24高二上·安徽六安·期末)已知直线 交抛物线 : 于 轴异侧两点 , ,且 ,过 向 作垂线,垂足为 ,则点 的轨迹方程为( ) A. ( ) B. ( ) C. ( ) D. ( ) 【答案】B【分析】设直线方程 ,代入抛物线消去x,由 和韦达定理,解得 可 得直线 经过定点 ,由 可知 在以 为直径的圆上,可求轨迹方程. 【详解】设直线 ,将它与抛物线方程联立得: , 则 , 设 ,则 , 所以 ,故 或 , 当 时, 在直线 上,故舍去,所以 , 所以直线 经过定点 ,由 可知 在以 为直径的圆 (原点 除外)上. 故选:B. 8.(23-24高二·辽宁沈阳·阶段练习)已知圆的方程为 ,若抛物线过点A(﹣1, 0),B(1,0),且以圆的切线为准线,则抛物线的焦点轨迹方程为( ) A. B. C. D. 【答案】C 【分析】设出切线方程,设出焦点坐标,根据抛物线的定义求得点A,B到准线的距离等 于其到焦点的距离,然后两式平方后消去a求得x和y的关系式即可. 【详解】设切点为(a,b),∴ , 则切线为: ,即 ,当 时也成立, 设焦点(x,y),由抛物线定义可得: ①, ②, ②-①得 ,代入②得 化简可得抛物线的焦点轨迹方程为 ,(依题意焦点不能与A,B共线, ∴y≠0.) 故选:C9.(24-25高二上·上海·课堂例题)已知 , , ,第三个顶点C在曲 线 上移动,则 的重心的轨迹方程是 . 【答案】 【分析】设 ,由题可得重心坐标为: ,后由横纵坐标间关系 可得答案. 【详解】设 ,因 ,则 . 因 , ,则重心坐标为 . 设 ,则 ,则 . 故重心轨迹方程为: . 故答案为: . 10.(23-24高二上·上海·期末)已知椭圆 上有一点 , 是 轴上的定 点,若有一点 满足 ,则 的轨迹方程为 . 【答案】 【分析】设 , ,根据题意,得到 ,代入椭圆方程,即可求 解. 【详解】解:设 是所求轨迹上的一点,且 , 因为 ,且 ,可得 , 即 ,可得 , 代入椭圆 ,可得 ,整理得 , 所以点 的轨迹方程为 . 故答案为: . 11.(23-24高二·全国·课后作业)已知点 是曲线 上任意一点, ,连接 并延长至 ,使得 ,求动点Q的轨迹方程 . 【答案】【分析】设出动点 和相关点 ,再根据条件 , ,再代入即可 得出结果. 【详解】设动点 的坐标 ,点P坐标 , , 因为 ,所以 , , 可得 , , 代入 ,得 ,整理得 , 所以动点Q的轨迹方程为 . 故答案为: 12.(23-24高二上·全国·课后作业)设圆 的圆心为A,点P在圆 上,则PA的中点M的轨迹方程是 . 【答案】 【分析】设 ,P(x,y),利用中点坐标公式得出 ,然后结合点 在圆 0 0 上即可求解. 【详解】圆 可化为 , 则 ,设 ,P(x,y),所以 0 0 整理得 ,即 , 将点 代入圆的方程得 , 即为 . 故答案为: .