当前位置:首页>文档>专题01集合与常用逻辑用语(5大易错点分析+解题模板+举一反三+易错题通关)-备战2024年高考数学考试易错题(新高考专用)(原卷版)_02高考数学_新高考复习资料_2024年新高考资料

专题01集合与常用逻辑用语(5大易错点分析+解题模板+举一反三+易错题通关)-备战2024年高考数学考试易错题(新高考专用)(原卷版)_02高考数学_新高考复习资料_2024年新高考资料

  • 2026-04-07 09:39:49 2026-04-07 09:38:41

文档预览

专题01集合与常用逻辑用语(5大易错点分析+解题模板+举一反三+易错题通关)-备战2024年高考数学考试易错题(新高考专用)(原卷版)_02高考数学_新高考复习资料_2024年新高考资料
专题01集合与常用逻辑用语(5大易错点分析+解题模板+举一反三+易错题通关)-备战2024年高考数学考试易错题(新高考专用)(原卷版)_02高考数学_新高考复习资料_2024年新高考资料
专题01集合与常用逻辑用语(5大易错点分析+解题模板+举一反三+易错题通关)-备战2024年高考数学考试易错题(新高考专用)(原卷版)_02高考数学_新高考复习资料_2024年新高考资料
专题01集合与常用逻辑用语(5大易错点分析+解题模板+举一反三+易错题通关)-备战2024年高考数学考试易错题(新高考专用)(原卷版)_02高考数学_新高考复习资料_2024年新高考资料
专题01集合与常用逻辑用语(5大易错点分析+解题模板+举一反三+易错题通关)-备战2024年高考数学考试易错题(新高考专用)(原卷版)_02高考数学_新高考复习资料_2024年新高考资料
专题01集合与常用逻辑用语(5大易错点分析+解题模板+举一反三+易错题通关)-备战2024年高考数学考试易错题(新高考专用)(原卷版)_02高考数学_新高考复习资料_2024年新高考资料
专题01集合与常用逻辑用语(5大易错点分析+解题模板+举一反三+易错题通关)-备战2024年高考数学考试易错题(新高考专用)(原卷版)_02高考数学_新高考复习资料_2024年新高考资料
专题01集合与常用逻辑用语(5大易错点分析+解题模板+举一反三+易错题通关)-备战2024年高考数学考试易错题(新高考专用)(原卷版)_02高考数学_新高考复习资料_2024年新高考资料
专题01集合与常用逻辑用语(5大易错点分析+解题模板+举一反三+易错题通关)-备战2024年高考数学考试易错题(新高考专用)(原卷版)_02高考数学_新高考复习资料_2024年新高考资料
专题01集合与常用逻辑用语(5大易错点分析+解题模板+举一反三+易错题通关)-备战2024年高考数学考试易错题(新高考专用)(原卷版)_02高考数学_新高考复习资料_2024年新高考资料
专题01集合与常用逻辑用语(5大易错点分析+解题模板+举一反三+易错题通关)-备战2024年高考数学考试易错题(新高考专用)(原卷版)_02高考数学_新高考复习资料_2024年新高考资料
专题01集合与常用逻辑用语(5大易错点分析+解题模板+举一反三+易错题通关)-备战2024年高考数学考试易错题(新高考专用)(原卷版)_02高考数学_新高考复习资料_2024年新高考资料
专题01集合与常用逻辑用语(5大易错点分析+解题模板+举一反三+易错题通关)-备战2024年高考数学考试易错题(新高考专用)(原卷版)_02高考数学_新高考复习资料_2024年新高考资料
专题01集合与常用逻辑用语(5大易错点分析+解题模板+举一反三+易错题通关)-备战2024年高考数学考试易错题(新高考专用)(原卷版)_02高考数学_新高考复习资料_2024年新高考资料
专题01集合与常用逻辑用语(5大易错点分析+解题模板+举一反三+易错题通关)-备战2024年高考数学考试易错题(新高考专用)(原卷版)_02高考数学_新高考复习资料_2024年新高考资料
专题01集合与常用逻辑用语(5大易错点分析+解题模板+举一反三+易错题通关)-备战2024年高考数学考试易错题(新高考专用)(原卷版)_02高考数学_新高考复习资料_2024年新高考资料
专题01集合与常用逻辑用语(5大易错点分析+解题模板+举一反三+易错题通关)-备战2024年高考数学考试易错题(新高考专用)(原卷版)_02高考数学_新高考复习资料_2024年新高考资料

文档信息

文档格式
docx
文档大小
0.668 MB
文档页数
13 页
上传时间
2026-04-07 09:38:41

文档内容

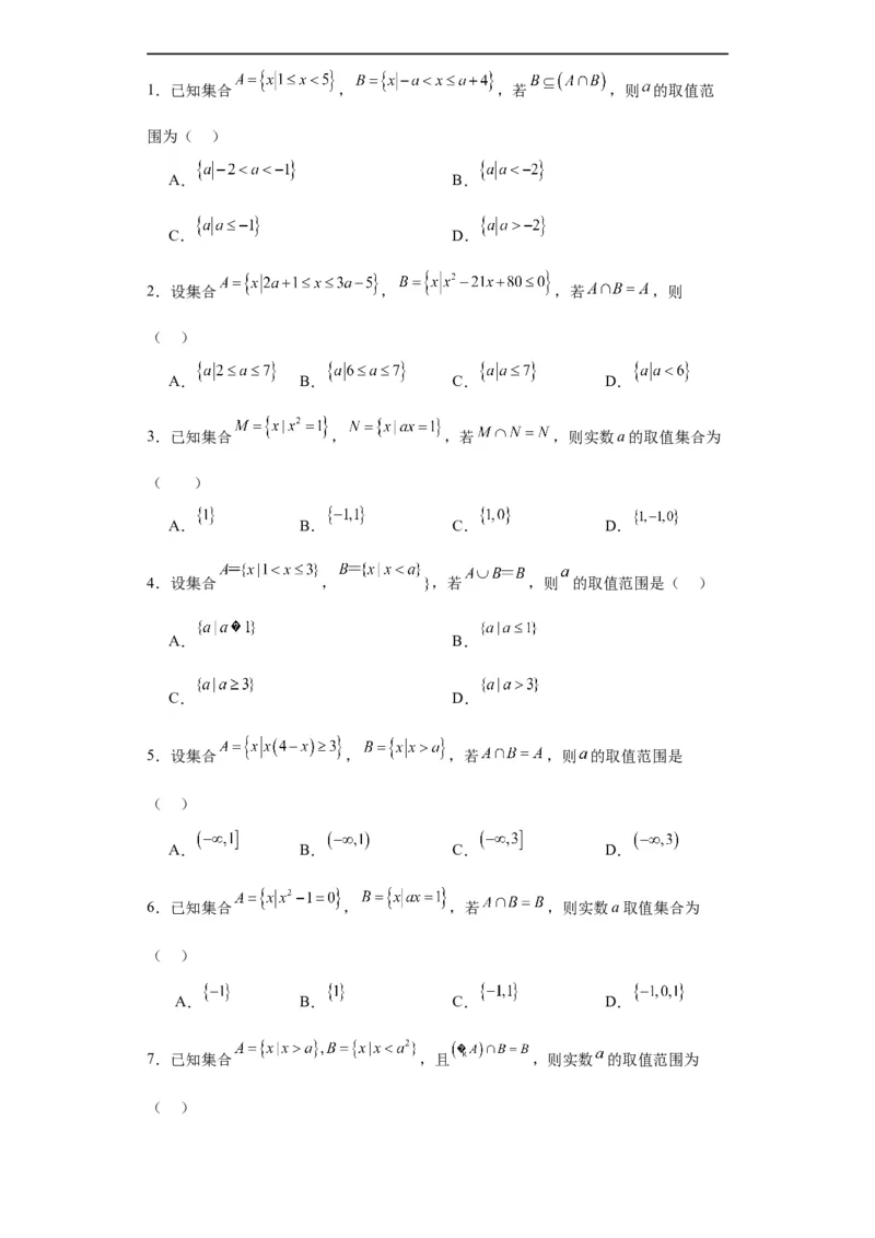
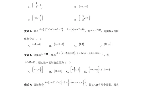
专题 01 集合与常用逻辑用语 易错点一:对集合表示方法的理解存在偏差(集合运算问题 两种解题方法) 方法一:列举法 列举法就是通过枚举集合中的所有元素,然后根据集合基本运算的定义求解的方法。 其解题具体步骤如下: 第一步定元素:确定已知集合中的所有元素,利用列举法或画数轴写出所有元素或范 围; 第二步定运算:利用常见不等式或等式解未知集合; 第三步:定结果。 方法二:赋值法 高考对集合的基本运算的考查以选择题为主,所以我们可以利用特值法解题,即根据选项 之间的明显差异,选择一些特殊元素进行检验排除,从而得到正确选项. 其解题具体步骤如下: 第一步:辨差异:分析各选项,辨别各选项的差异; 第二步:定特殊:根据选项的差异,选定一些特殊的元素; 第三步:验排除:将特殊的元素代入进行验证,排除干扰项; 第四步:定结果:根据排除的结果确定正确的选项。 易错提醒:对集合表示法的理解先观察研究对象(丨前),研究对象是点集还是数集, 故要对本质进行剖析,需要明确集合中的代表元素类型及代表元素的含义.例 已知集合 , ,则集合 ( ) A. B. C. D. 变式1:已知集合 ,则 ( ) A. B. C. D. 变式2:已知集合 , ,则 ( ) A. B. C. D. 变式3:已知集合 , ,则 ( ) A. B. C. D. 1.集合 , ,则 ( ) A. B. C. D. 2.已知集合 ,集合 ,则 ( ) A. B. C. D. 3.设全集 ,集合 , ,则 等于 ( )A. B. C. D. 4.已知集合 , ,则 ( ) A. B. C. D. 5.已知集合 ,则 ( ) A. B. C. D. 或 6.已知集合 , ,则 ( ) A. B. C. D. 7.下列表示正确的个数是( ) (1) ;(2) ;(3) ;(4)若 , 则 .(5) A.4 B.3 C.2 D.1 易错点二:忽视(漏)空集导致错误(集合中的含参问题) 1.利用两个集合之间的关系确定参数的取值范围解题时务必注意:由于∅是任意集合的 子集,若已知非空集合B,集合A满足A⊆B或A⊂B,则对集合A分两种情中的含参问题 况讨论: (1)当A= 时,若集合A是以不等式为载体的集合,则该不等式无解;(2)当A≠ 时,要利用子 集的概念把子集关系转化为两个集合对应区间的端点值的大小关系,从而构造关于参数 ∅ ∅ 的不等式(组)求解. 2.利用两集合的运算求参数的值或取值范围解决此类问题的步骤一般为: 第一步:化简所给集合; 第二步:用数轴表示所给集合; 第三步:根据集合端点间关系列出不等式(组);(4)解不等式(组);第四步:检验,通过返回代入验证端点是否能够取到. 第五步:解决此类问题多利用数形结合的方法,结合数轴或Venn图进行求解. 易错提醒:勿忘空集和集合本身.由于∅是任意集合的子集,是任何集合的真子集,任 何集合的本身是该集合的子集,所以在进行列举时千万不要忘记。 例 已知集合 , .若 ,则 的取值范 围为( ) A. B. C. D. 变式1:集合 , ,若 ,则实数a的取 值集合为( ) A. B. C. D. 变式2:设集合 ,集合 ,若 ,则实数 的取值范围为( ) A. B. C. D. 变式3:已知集合 ,若 有两个元素,则实 数 的取值范围是( ) A. B. C. 或 D.1.已知集合 , ,若 ,则 的取值范 围为( ) A. B. C. D. 2.设集合 , ,若 ,则 ( ) A. B. C. D. 3.已知集合 , ,若 ,则实数a的取值集合为 ( ) A. B. C. D. 4.设集合 , },若 ,则 的取值范围是( ) A. B. C. D. 5.设集合 , ,若 ,则 的取值范围是 ( ) A. B. C. D. 6.已知集合 , ,若 ,则实数a取值集合为 ( ) A. B. C. D. 7.已知集合 ,且 ,则实数 的取值范围为 ( )A. B. C. D. 8.已知集合 ,若 ,则实数a的取值 范围是( ) A. B. C. D. 9.已知集合 , ,若 ,则 ( ) A.1 B.2 C.3 D.4 10.已知集合 , ,若 ,则实数 的 取值范围为( ) A. B. C. D. 11.已知集合 ,若 ,则实数 的 取值范围是( ) A. B. C. D. 易错点三:忽视集合元素的互异性(利用集合元素三性解决 元素与集合关系问题) 类型1 有限集中元素与集合间关系的判断 (1)待确定元素与已知集合无关:如果待确定元素的值只与自身有关,只需将元素化简、求值,再与该有限集内的元素进行逐个对照,确定是否存在与其相等的元素.若存在,则属 于(∈);若不存在,则不属于∉. (2)待确定元素与已知集合有关:当一个待定集合中的元素与一个已知集合有关,确定元 素与待定集合的关系(或待定集合中元素个数)时,应先将待定集合中的元素根据题中限 定条件求出(常会用到列举法和分类讨论思想),然后根据题目信息进行分析判断(常依据 集合中元素的互异性进行检验). 类型2 无限集中元素与集合间关系的判断 (1)将待确定元素进行变形,看能否表示成无限集合中元素的形式,如果可以,则属于;否则 不属于. (2)假设法:假设该对象是集合中的元素,代人看是否与集合限定条件相矛盾,若不矛盾,则 属于;否则不属于. 易错提醒:利用集合元素的“三性”尤其是互异性是解题的关键,求解过程中务必注意: 用描述法表示的集合,要先认清代表元素的含义和集合的类型,是数集、点集,还是其他 {y丨y=2x},{x丨y=2x},{(x,y)丨y=2x} 类型的集合,如 表示不同的集合.如果是根据已 知列方程求参数值,一定要将参数值代入集合中检验是否满足元素的互异性. 例 已知集合 , ,则集合 中元素的个数为( ) A.30 B.28 C.26 D.24 变式1:设集合 ,若 ,则实数m=( ) A.0 B. C.0或 D.0或1 变式2:已知集合 , ,则集合B中元素个数为( ) A.5 B.6 C.8 D.9 变式3:若 ,则 的可能取值有( ) A.0 B.0,1 C.0,3 D.0,1,31.对于复数 ,若集合 具有性质“对任意 ,必有 ”, 则当 时, 等于( ) A.1 B.-1 C.0 D. 2.已知集合 , ,若 ,则实数 的值为 A. B. C.1 D.0 3.已知集合 ,若 ,则实数 =( ) A.1 B.-1 C.0 D.±1 4.已知集合 , ,若 ,则实数x的取值集合为 ( ) A. B. C. D. 5.已知 , ,若集合 ,则 的值为( ) A.-2 B.-1 C.1 D.2 6.已知集合 ,若 ,则实数 的值为( ). A. B. C. 或 D. 或 7.已知 为实数, ,集合 中有一个元素恰为另一个元素的 倍,则实数 的个数为( ) A. B. C. D. 8.已知集合 , ,则 ( ) A. B. 或1 C.1 D.5 易错点四: 判断充分性必要性位置颠倒1.充分条件与必要条件的相关概念 (1)如果p⇒q,则p是q的充分条件,同时q是p的必要条件; (2)如果p⇒q,但q⇏p,则p是q的充分不必要条件; (3)如果p⇒q,且q⇒p,则p是q的充要条件; (4)如果q⇒p,且p⇏q,则p是q的必要不充分条件; (5)如果p⇏q,且q⇏p,则p是q的既不充分又不必要条件 2.从集合角度理解充分条件与必要条件 若p以集合A的形式出现,q以集合B的形式出现,即A={p(x)},B={q(x)},则关于充分条件、 必要条件又可以叙述为: (1) 若A⊆B,则p是q的充分条件; (2)若B⊆A,则p是q的必要条件; (3)若A=B,则p是q的充要条件; (4)若A B,则p是q的充分不必要条件; ≨ (5)若A B,则p是q的必要不充分条件; ≩ (6)若A B且A B,则p是q的既不充分又不必要条件. ⊈ ⊉ 易错提醒:(1)A是B的充分不必要条件是指:A⇒B且B⇏A; (2)A的充分不必要条件是B是指:B⇒A且A⇏B,在解题中要弄清它们的区别,以免出现 错误. 例 命题“ ”为真命题的一个充分不必要条件是( ) A. B. C. D. 变式1:已知命题 : , ,则 为真命题的一个充分不必要条件 是() A. B. C. D.变式2:记方程①: ,方程②: ,方程③: , 其中 是正实数.若 成等比数列,则“方程③无实根”的一个充分条件是 ( ) A.方程①有实根,且②有实根 B.方程①有实根,且②无实根 C.方程①无实根,且②有实根 D.方程①无实根,且②无实根 变式3:若 ,则“ ”的一个充分不必要条件可以是( ) A. B. C. D. 1.设 为实数,则“ ”的一个充分非必要条件是( ) A. B. C. D. 2.使“ ”成立的一个充分不必要条件是( ) A. , B. , C. , D. , 3.若不等式 的一个充分条件为 ,则实数 的取值范围是 ( ) A. B. C. D. 4.命题“ , ”为真命题的一个充分不必要条件是( ) A. B. C. D. 5.如果不等式 成立的充分不必要条件是 ;则实数 的取值范围是 ( )A. B. C. D. 6.命题“ ”为真命题的一个充分不必要条件是( ) A. B. C. D. 7.函数 有两个零点的一个充分不必要条件是( ) A.a=3 B.a=2 C.a=1 D.a=0 8.已知a, ,则“ ”的一个必要条件是( ) A. B. C. D. 易错点五: 由含有逻辑联结词的命题的真假求参数的取值 范围 根据命题的真假求参数的取值范围的方法步骤: 第一步:求出当命题p,q为真命题时所含参数的取值范围; 第二步:根据复合命题的真假判断命题p,q的真假性; 第三步:根据命题p,q的真假情况,利用集合的交集和补集的运算,求解参数的取值范围. 易错提醒:此类题目一般会出现“p或q”为真,“p或q”为假,“p且q"为真,“p且q”为假 等条件,解题时应先将这些条件转化为 p,q的真假.p,q的真假有时是不确定的,需要讨论, 但无论哪种情况,一般都是先假设p,q为真,求出参数的取值范围,当它们为假时取补集即 可。 例 已知 , , , ,若“p且q”是真命 题,则实数a的取值范围是( ) A. B. C. 或 D. 且变式1:若命题“ , ”为真命题,则实数 的取值范围为( ) A. B. C. D. 变式2:已知命题 ,命题 ,若p假q真, 则实数a的取值范围为( ) A. B. C. D. 变式3:命题“ ”为假命题,则实数 的取值范围是 ( ) A. 或 B. C. D. 1.已知命题 : , ,则“ ”是“ 是真命题”的( ) A.充分不必要条件 B.必要不充分条件 C.充要条件 D.既不充分也不必要条件 2.已知命题 ;命题 ,若命题 均为假命题,则实数 的取值范围为( ) A. B. C. D. 3.若命题“ ”是真命题,则实数 的取值范围是( ) A. B. C. D. 4.若命题“ ”为假命题,则实数 的取值范围是( ) A. B. C. D. 5.若“ , ”是假命题,则实数 的取值范围为( ) A. B. C. D. 6.已知 , , , ,若 为假命题,则实 数m的取值范围是( ) A. B. C. D.7.已知命题“ , ”是假命题,则实数 的取值范围是( ) A. B. C. D. 8.已知命题p: , ;命题q: , ,若p、q都为真 命题,则实数m的取值范围是( ) A. B. C. D. 9.若命题“ , ”是真命题,则实数a的取值范围为( ) A. B. C. D. 10.已知命题,命题 若 是真命题, 则a的取值范围是( ). A. B. C.(0, ] D.[0, ]