当前位置:首页>文档>专题05三角函数(5大易错点分析+解题模板+举一反三+易错题通关)-备战2024年高考数学考试易错题(新高考专用)(解析版)_02高考数学_新高考复习资料_2024年新高考资料_专项复习资料

专题05三角函数(5大易错点分析+解题模板+举一反三+易错题通关)-备战2024年高考数学考试易错题(新高考专用)(解析版)_02高考数学_新高考复习资料_2024年新高考资料_专项复习资料

  • 2026-04-08 03:07:17 2026-04-08 02:44:39

文档预览

专题05三角函数(5大易错点分析+解题模板+举一反三+易错题通关)-备战2024年高考数学考试易错题(新高考专用)(解析版)_02高考数学_新高考复习资料_2024年新高考资料_专项复习资料
专题05三角函数(5大易错点分析+解题模板+举一反三+易错题通关)-备战2024年高考数学考试易错题(新高考专用)(解析版)_02高考数学_新高考复习资料_2024年新高考资料_专项复习资料
专题05三角函数(5大易错点分析+解题模板+举一反三+易错题通关)-备战2024年高考数学考试易错题(新高考专用)(解析版)_02高考数学_新高考复习资料_2024年新高考资料_专项复习资料
专题05三角函数(5大易错点分析+解题模板+举一反三+易错题通关)-备战2024年高考数学考试易错题(新高考专用)(解析版)_02高考数学_新高考复习资料_2024年新高考资料_专项复习资料
专题05三角函数(5大易错点分析+解题模板+举一反三+易错题通关)-备战2024年高考数学考试易错题(新高考专用)(解析版)_02高考数学_新高考复习资料_2024年新高考资料_专项复习资料
专题05三角函数(5大易错点分析+解题模板+举一反三+易错题通关)-备战2024年高考数学考试易错题(新高考专用)(解析版)_02高考数学_新高考复习资料_2024年新高考资料_专项复习资料
专题05三角函数(5大易错点分析+解题模板+举一反三+易错题通关)-备战2024年高考数学考试易错题(新高考专用)(解析版)_02高考数学_新高考复习资料_2024年新高考资料_专项复习资料
专题05三角函数(5大易错点分析+解题模板+举一反三+易错题通关)-备战2024年高考数学考试易错题(新高考专用)(解析版)_02高考数学_新高考复习资料_2024年新高考资料_专项复习资料
专题05三角函数(5大易错点分析+解题模板+举一反三+易错题通关)-备战2024年高考数学考试易错题(新高考专用)(解析版)_02高考数学_新高考复习资料_2024年新高考资料_专项复习资料
专题05三角函数(5大易错点分析+解题模板+举一反三+易错题通关)-备战2024年高考数学考试易错题(新高考专用)(解析版)_02高考数学_新高考复习资料_2024年新高考资料_专项复习资料
专题05三角函数(5大易错点分析+解题模板+举一反三+易错题通关)-备战2024年高考数学考试易错题(新高考专用)(解析版)_02高考数学_新高考复习资料_2024年新高考资料_专项复习资料
专题05三角函数(5大易错点分析+解题模板+举一反三+易错题通关)-备战2024年高考数学考试易错题(新高考专用)(解析版)_02高考数学_新高考复习资料_2024年新高考资料_专项复习资料
专题05三角函数(5大易错点分析+解题模板+举一反三+易错题通关)-备战2024年高考数学考试易错题(新高考专用)(解析版)_02高考数学_新高考复习资料_2024年新高考资料_专项复习资料
专题05三角函数(5大易错点分析+解题模板+举一反三+易错题通关)-备战2024年高考数学考试易错题(新高考专用)(解析版)_02高考数学_新高考复习资料_2024年新高考资料_专项复习资料
专题05三角函数(5大易错点分析+解题模板+举一反三+易错题通关)-备战2024年高考数学考试易错题(新高考专用)(解析版)_02高考数学_新高考复习资料_2024年新高考资料_专项复习资料
专题05三角函数(5大易错点分析+解题模板+举一反三+易错题通关)-备战2024年高考数学考试易错题(新高考专用)(解析版)_02高考数学_新高考复习资料_2024年新高考资料_专项复习资料
专题05三角函数(5大易错点分析+解题模板+举一反三+易错题通关)-备战2024年高考数学考试易错题(新高考专用)(解析版)_02高考数学_新高考复习资料_2024年新高考资料_专项复习资料
专题05三角函数(5大易错点分析+解题模板+举一反三+易错题通关)-备战2024年高考数学考试易错题(新高考专用)(解析版)_02高考数学_新高考复习资料_2024年新高考资料_专项复习资料
专题05三角函数(5大易错点分析+解题模板+举一反三+易错题通关)-备战2024年高考数学考试易错题(新高考专用)(解析版)_02高考数学_新高考复习资料_2024年新高考资料_专项复习资料
专题05三角函数(5大易错点分析+解题模板+举一反三+易错题通关)-备战2024年高考数学考试易错题(新高考专用)(解析版)_02高考数学_新高考复习资料_2024年新高考资料_专项复习资料
专题05三角函数(5大易错点分析+解题模板+举一反三+易错题通关)-备战2024年高考数学考试易错题(新高考专用)(解析版)_02高考数学_新高考复习资料_2024年新高考资料_专项复习资料
专题05三角函数(5大易错点分析+解题模板+举一反三+易错题通关)-备战2024年高考数学考试易错题(新高考专用)(解析版)_02高考数学_新高考复习资料_2024年新高考资料_专项复习资料
专题05三角函数(5大易错点分析+解题模板+举一反三+易错题通关)-备战2024年高考数学考试易错题(新高考专用)(解析版)_02高考数学_新高考复习资料_2024年新高考资料_专项复习资料
专题05三角函数(5大易错点分析+解题模板+举一反三+易错题通关)-备战2024年高考数学考试易错题(新高考专用)(解析版)_02高考数学_新高考复习资料_2024年新高考资料_专项复习资料
专题05三角函数(5大易错点分析+解题模板+举一反三+易错题通关)-备战2024年高考数学考试易错题(新高考专用)(解析版)_02高考数学_新高考复习资料_2024年新高考资料_专项复习资料
专题05三角函数(5大易错点分析+解题模板+举一反三+易错题通关)-备战2024年高考数学考试易错题(新高考专用)(解析版)_02高考数学_新高考复习资料_2024年新高考资料_专项复习资料
专题05三角函数(5大易错点分析+解题模板+举一反三+易错题通关)-备战2024年高考数学考试易错题(新高考专用)(解析版)_02高考数学_新高考复习资料_2024年新高考资料_专项复习资料
专题05三角函数(5大易错点分析+解题模板+举一反三+易错题通关)-备战2024年高考数学考试易错题(新高考专用)(解析版)_02高考数学_新高考复习资料_2024年新高考资料_专项复习资料
专题05三角函数(5大易错点分析+解题模板+举一反三+易错题通关)-备战2024年高考数学考试易错题(新高考专用)(解析版)_02高考数学_新高考复习资料_2024年新高考资料_专项复习资料
专题05三角函数(5大易错点分析+解题模板+举一反三+易错题通关)-备战2024年高考数学考试易错题(新高考专用)(解析版)_02高考数学_新高考复习资料_2024年新高考资料_专项复习资料
专题05三角函数(5大易错点分析+解题模板+举一反三+易错题通关)-备战2024年高考数学考试易错题(新高考专用)(解析版)_02高考数学_新高考复习资料_2024年新高考资料_专项复习资料
专题05三角函数(5大易错点分析+解题模板+举一反三+易错题通关)-备战2024年高考数学考试易错题(新高考专用)(解析版)_02高考数学_新高考复习资料_2024年新高考资料_专项复习资料
专题05三角函数(5大易错点分析+解题模板+举一反三+易错题通关)-备战2024年高考数学考试易错题(新高考专用)(解析版)_02高考数学_新高考复习资料_2024年新高考资料_专项复习资料
专题05三角函数(5大易错点分析+解题模板+举一反三+易错题通关)-备战2024年高考数学考试易错题(新高考专用)(解析版)_02高考数学_新高考复习资料_2024年新高考资料_专项复习资料
专题05三角函数(5大易错点分析+解题模板+举一反三+易错题通关)-备战2024年高考数学考试易错题(新高考专用)(解析版)_02高考数学_新高考复习资料_2024年新高考资料_专项复习资料
专题05三角函数(5大易错点分析+解题模板+举一反三+易错题通关)-备战2024年高考数学考试易错题(新高考专用)(解析版)_02高考数学_新高考复习资料_2024年新高考资料_专项复习资料
专题05三角函数(5大易错点分析+解题模板+举一反三+易错题通关)-备战2024年高考数学考试易错题(新高考专用)(解析版)_02高考数学_新高考复习资料_2024年新高考资料_专项复习资料
专题05三角函数(5大易错点分析+解题模板+举一反三+易错题通关)-备战2024年高考数学考试易错题(新高考专用)(解析版)_02高考数学_新高考复习资料_2024年新高考资料_专项复习资料
专题05三角函数(5大易错点分析+解题模板+举一反三+易错题通关)-备战2024年高考数学考试易错题(新高考专用)(解析版)_02高考数学_新高考复习资料_2024年新高考资料_专项复习资料
专题05三角函数(5大易错点分析+解题模板+举一反三+易错题通关)-备战2024年高考数学考试易错题(新高考专用)(解析版)_02高考数学_新高考复习资料_2024年新高考资料_专项复习资料
专题05三角函数(5大易错点分析+解题模板+举一反三+易错题通关)-备战2024年高考数学考试易错题(新高考专用)(解析版)_02高考数学_新高考复习资料_2024年新高考资料_专项复习资料
专题05三角函数(5大易错点分析+解题模板+举一反三+易错题通关)-备战2024年高考数学考试易错题(新高考专用)(解析版)_02高考数学_新高考复习资料_2024年新高考资料_专项复习资料
专题05三角函数(5大易错点分析+解题模板+举一反三+易错题通关)-备战2024年高考数学考试易错题(新高考专用)(解析版)_02高考数学_新高考复习资料_2024年新高考资料_专项复习资料
专题05三角函数(5大易错点分析+解题模板+举一反三+易错题通关)-备战2024年高考数学考试易错题(新高考专用)(解析版)_02高考数学_新高考复习资料_2024年新高考资料_专项复习资料
专题05三角函数(5大易错点分析+解题模板+举一反三+易错题通关)-备战2024年高考数学考试易错题(新高考专用)(解析版)_02高考数学_新高考复习资料_2024年新高考资料_专项复习资料
专题05三角函数(5大易错点分析+解题模板+举一反三+易错题通关)-备战2024年高考数学考试易错题(新高考专用)(解析版)_02高考数学_新高考复习资料_2024年新高考资料_专项复习资料
专题05三角函数(5大易错点分析+解题模板+举一反三+易错题通关)-备战2024年高考数学考试易错题(新高考专用)(解析版)_02高考数学_新高考复习资料_2024年新高考资料_专项复习资料
专题05三角函数(5大易错点分析+解题模板+举一反三+易错题通关)-备战2024年高考数学考试易错题(新高考专用)(解析版)_02高考数学_新高考复习资料_2024年新高考资料_专项复习资料
专题05三角函数(5大易错点分析+解题模板+举一反三+易错题通关)-备战2024年高考数学考试易错题(新高考专用)(解析版)_02高考数学_新高考复习资料_2024年新高考资料_专项复习资料
专题05三角函数(5大易错点分析+解题模板+举一反三+易错题通关)-备战2024年高考数学考试易错题(新高考专用)(解析版)_02高考数学_新高考复习资料_2024年新高考资料_专项复习资料
专题05三角函数(5大易错点分析+解题模板+举一反三+易错题通关)-备战2024年高考数学考试易错题(新高考专用)(解析版)_02高考数学_新高考复习资料_2024年新高考资料_专项复习资料
专题05三角函数(5大易错点分析+解题模板+举一反三+易错题通关)-备战2024年高考数学考试易错题(新高考专用)(解析版)_02高考数学_新高考复习资料_2024年新高考资料_专项复习资料
专题05三角函数(5大易错点分析+解题模板+举一反三+易错题通关)-备战2024年高考数学考试易错题(新高考专用)(解析版)_02高考数学_新高考复习资料_2024年新高考资料_专项复习资料
专题05三角函数(5大易错点分析+解题模板+举一反三+易错题通关)-备战2024年高考数学考试易错题(新高考专用)(解析版)_02高考数学_新高考复习资料_2024年新高考资料_专项复习资料
专题05三角函数(5大易错点分析+解题模板+举一反三+易错题通关)-备战2024年高考数学考试易错题(新高考专用)(解析版)_02高考数学_新高考复习资料_2024年新高考资料_专项复习资料
专题05三角函数(5大易错点分析+解题模板+举一反三+易错题通关)-备战2024年高考数学考试易错题(新高考专用)(解析版)_02高考数学_新高考复习资料_2024年新高考资料_专项复习资料
专题05三角函数(5大易错点分析+解题模板+举一反三+易错题通关)-备战2024年高考数学考试易错题(新高考专用)(解析版)_02高考数学_新高考复习资料_2024年新高考资料_专项复习资料
专题05三角函数(5大易错点分析+解题模板+举一反三+易错题通关)-备战2024年高考数学考试易错题(新高考专用)(解析版)_02高考数学_新高考复习资料_2024年新高考资料_专项复习资料
专题05三角函数(5大易错点分析+解题模板+举一反三+易错题通关)-备战2024年高考数学考试易错题(新高考专用)(解析版)_02高考数学_新高考复习资料_2024年新高考资料_专项复习资料
专题05三角函数(5大易错点分析+解题模板+举一反三+易错题通关)-备战2024年高考数学考试易错题(新高考专用)(解析版)_02高考数学_新高考复习资料_2024年新高考资料_专项复习资料
专题05三角函数(5大易错点分析+解题模板+举一反三+易错题通关)-备战2024年高考数学考试易错题(新高考专用)(解析版)_02高考数学_新高考复习资料_2024年新高考资料_专项复习资料
专题05三角函数(5大易错点分析+解题模板+举一反三+易错题通关)-备战2024年高考数学考试易错题(新高考专用)(解析版)_02高考数学_新高考复习资料_2024年新高考资料_专项复习资料
专题05三角函数(5大易错点分析+解题模板+举一反三+易错题通关)-备战2024年高考数学考试易错题(新高考专用)(解析版)_02高考数学_新高考复习资料_2024年新高考资料_专项复习资料
专题05三角函数(5大易错点分析+解题模板+举一反三+易错题通关)-备战2024年高考数学考试易错题(新高考专用)(解析版)_02高考数学_新高考复习资料_2024年新高考资料_专项复习资料
专题05三角函数(5大易错点分析+解题模板+举一反三+易错题通关)-备战2024年高考数学考试易错题(新高考专用)(解析版)_02高考数学_新高考复习资料_2024年新高考资料_专项复习资料
专题05三角函数(5大易错点分析+解题模板+举一反三+易错题通关)-备战2024年高考数学考试易错题(新高考专用)(解析版)_02高考数学_新高考复习资料_2024年新高考资料_专项复习资料
专题05三角函数(5大易错点分析+解题模板+举一反三+易错题通关)-备战2024年高考数学考试易错题(新高考专用)(解析版)_02高考数学_新高考复习资料_2024年新高考资料_专项复习资料
专题05三角函数(5大易错点分析+解题模板+举一反三+易错题通关)-备战2024年高考数学考试易错题(新高考专用)(解析版)_02高考数学_新高考复习资料_2024年新高考资料_专项复习资料
专题05三角函数(5大易错点分析+解题模板+举一反三+易错题通关)-备战2024年高考数学考试易错题(新高考专用)(解析版)_02高考数学_新高考复习资料_2024年新高考资料_专项复习资料
专题05三角函数(5大易错点分析+解题模板+举一反三+易错题通关)-备战2024年高考数学考试易错题(新高考专用)(解析版)_02高考数学_新高考复习资料_2024年新高考资料_专项复习资料
专题05三角函数(5大易错点分析+解题模板+举一反三+易错题通关)-备战2024年高考数学考试易错题(新高考专用)(解析版)_02高考数学_新高考复习资料_2024年新高考资料_专项复习资料
专题05三角函数(5大易错点分析+解题模板+举一反三+易错题通关)-备战2024年高考数学考试易错题(新高考专用)(解析版)_02高考数学_新高考复习资料_2024年新高考资料_专项复习资料
专题05三角函数(5大易错点分析+解题模板+举一反三+易错题通关)-备战2024年高考数学考试易错题(新高考专用)(解析版)_02高考数学_新高考复习资料_2024年新高考资料_专项复习资料
专题05三角函数(5大易错点分析+解题模板+举一反三+易错题通关)-备战2024年高考数学考试易错题(新高考专用)(解析版)_02高考数学_新高考复习资料_2024年新高考资料_专项复习资料
专题05三角函数(5大易错点分析+解题模板+举一反三+易错题通关)-备战2024年高考数学考试易错题(新高考专用)(解析版)_02高考数学_新高考复习资料_2024年新高考资料_专项复习资料
专题05三角函数(5大易错点分析+解题模板+举一反三+易错题通关)-备战2024年高考数学考试易错题(新高考专用)(解析版)_02高考数学_新高考复习资料_2024年新高考资料_专项复习资料
专题05三角函数(5大易错点分析+解题模板+举一反三+易错题通关)-备战2024年高考数学考试易错题(新高考专用)(解析版)_02高考数学_新高考复习资料_2024年新高考资料_专项复习资料
专题05三角函数(5大易错点分析+解题模板+举一反三+易错题通关)-备战2024年高考数学考试易错题(新高考专用)(解析版)_02高考数学_新高考复习资料_2024年新高考资料_专项复习资料
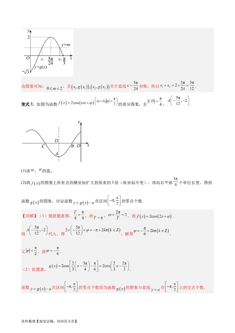
专题05三角函数(5大易错点分析+解题模板+举一反三+易错题通关)-备战2024年高考数学考试易错题(新高考专用)(解析版)_02高考数学_新高考复习资料_2024年新高考资料_专项复习资料
专题05三角函数(5大易错点分析+解题模板+举一反三+易错题通关)-备战2024年高考数学考试易错题(新高考专用)(解析版)_02高考数学_新高考复习资料_2024年新高考资料_专项复习资料
专题05三角函数(5大易错点分析+解题模板+举一反三+易错题通关)-备战2024年高考数学考试易错题(新高考专用)(解析版)_02高考数学_新高考复习资料_2024年新高考资料_专项复习资料
专题05三角函数(5大易错点分析+解题模板+举一反三+易错题通关)-备战2024年高考数学考试易错题(新高考专用)(解析版)_02高考数学_新高考复习资料_2024年新高考资料_专项复习资料
专题05三角函数(5大易错点分析+解题模板+举一反三+易错题通关)-备战2024年高考数学考试易错题(新高考专用)(解析版)_02高考数学_新高考复习资料_2024年新高考资料_专项复习资料
专题05三角函数(5大易错点分析+解题模板+举一反三+易错题通关)-备战2024年高考数学考试易错题(新高考专用)(解析版)_02高考数学_新高考复习资料_2024年新高考资料_专项复习资料

文档信息

文档格式
docx
文档大小
3.490 MB
文档页数
80 页
上传时间
2026-04-08 02:44:39

文档内容

专题 05 三角函数 易错点一:三角函数值正负判断不清导致错误(任意角、弧度制及任意角 的三角函数) 1.角的概念 (1)任意角:①定义:角可以看成平面内一条射线绕着端点从一个位置旋转到另一个位置所成的图 形;②分类:角按旋转方向分为正角、负角和零角. (2)所有与角α终边相同的角,连同角α在内,构成的角的集合是 S={β|β=k⋅360°+α,k∈Z} . (3)象限角:使角的顶点与原点重合,角的始边与x轴的非负半轴重合,那么,角的终边在第几象限, 就说这个角是第几象限角;如果角的终边在坐标轴上,就认为这个角不属于任何一个象限. (4)象限角的集合表示方法: 2.弧度制 (1)定义:把长度等于半径长的弧所对的圆心角叫做1弧度的角,用符号rad表示,读作弧度.正角 的弧度数是一个正数,负角的弧度数是一个负数,零角的弧度数是0. π 180° (2)角度制和弧度制的互化: ,1°= rad ,1rad= . 180°=πrad 180 π 资料整理【淘宝店铺:向阳百分百】1 1 (3)扇形的弧长公式:l=|α|⋅r,扇形的面积公式:S= lr= |α|⋅r2 . 2 2 3.任意角的三角函数 y (1)定义:任意角 α 的终边与单位圆交于点 P(x,y) 时,则sinα=y , cosα=x , tanα= x (x≠0). (2)推广:三角函数坐标法定义中,若取点PP(x,y)是角α终边上异于顶点的任一点,设点P到原 y x y 点 的距离为 ,则 sinα= , cosα= , tanα= (x≠0) O r r x r 三角函数的性质如下表: 第一象 第二象限 第三象 第四象限符 三角函数 定义域 限符号 符号 限符号 号 sinα R + + - - cosα R + - - + π tanα {α|α≠kπ+ ,k∈Z} + - + - 2 记忆口诀:三角函数值在各象限的符号规律:一全正、二正弦、三正切、四余弦. 4.三角函数线 如下图,设角α的终边与单位圆交于点P,过P作PM⊥x轴,垂足为M,过A(1,0)作单位圆的切 线与α的终边或终边的反向延长线相交于点T. 三角函 数线 有向线段MP为正弦线;有向线段OM为余弦线;有向线段AT为正 切线 易错提醒:(1)利用终边相同的角的集合可以求适合某些条件的角,方法是先写出与这个角的终边相同 的所有角的集合,然后通过对集合中的参数 赋值来求得所需的角. (2)确定 的终边位置的方法 先写出 或 的范围,然后根据 的可能取值确定 或 的终边所在位置. (3)利用三角函数的定义,已知角 终边上一点 的坐标可求 的三角函数值;已知角 的三角函数值, 也可以求出角 终边的位置. (4)判断三角函数值的符号,关键是确定角的终边所在的象限,然后结合三角函数值在各象限的符号确 定所求三角函数值的符号,特别要注意不要忽略角的终边在坐标轴上的情况. 资料整理【淘宝店铺:向阳百分百】例 如图,已知两质点A,B同时从点P出发,绕单位圆逆时针做匀速圆周运动,质点A,B运动的角速度 分别为3rad/s和5rad/s,设两质点运动 时这两质点间的距离为 . (1)求 的解析式; (2)求这两质点从点P出发后第n次相遇的时间 (单位:s). 【详解】(1)由质点A,B运动的角速度分别为3rad/s和5rad/s,得 时质点A,B的坐标分别为 , , 则 , 所以 的解析式为 . (2)因为两质点从点P出发后每相遇一次即对应函数 的一个零点, 因此 为 在区间 上第n个零点,由 ,得 ,解得 , 所以两质点从点P出发后第n次相遇的时间 . 变式1.如图,在平面直角坐标系 中,锐角 的顶点与原点重合,始边与 轴的非负半轴重合,终边 资料整理【淘宝店铺:向阳百分百】与单位圆交于点 , . (1)求 的值; (2)射线 绕坐标原点 按逆时针方向旋转 后与单位圆交于点 ,点 与 关于 轴对称,求 的值. 【详解】(1)解:因为锐角 的终边与单位圆交于点 , , 所以 . (2)设单位圆与x轴负半轴交点为Q,则 , 设 ,则 , 所以 , 资料整理【淘宝店铺:向阳百分百】所以 . 变式2.角α的终边与单位圆交于点 ,分别写出点P关于x轴、y轴和原点对称的点的坐标, 并求角 , , , 的正弦函数值、余弦函数值. 【详解】 点P关于x轴对称的点的坐标 ,点P关于y轴对称的点的坐标 ,点P关于原点对 称的点的坐标 . 易知角 的终边经过点 ,根据三角函数的定义可知, , ; 角 的终边经过点 ,根据三角函数的定义可知, , ; 角 的终边经过点 ,根据三角函数的定义可知, , ; 资料整理【淘宝店铺:向阳百分百】角 的终边经过点 ,根据三角函数的定义可知, , . 变式3.如图,已知 是半径为1,圆心角为 的扇形, 是扇形弧上的动点, 是扇 形的内接矩形,设 . (1)若 ,求线段 的长; (2)已知当 时,矩形 的面积 最大.求圆心角 的大小,并求此时矩形 面积 的最大值是 多少? 【详解】(1) , , . (2)由题意知 , , 资料整理【淘宝店铺:向阳百分百】, , 所以当 ,即 时,面积 最大,最大值为 . 1.已知角 的始边为 轴的非负半轴,终边经过点 ,则 ( ) A.2 B. C. 或2 D. 【答案】D 【分析】先确定 所在的象限,再根据三角函数的定义及二倍角的正切公式求出 ,再根据商数关系 化弦为切即可得解. 【详解】由题意,得角 是第二象限角,则 , 故 , 当 时, , 为第一象限角, 当 时, , 为第三象限角, 所以 是第一象限角或第三象限角,则 , 资料整理【淘宝店铺:向阳百分百】又因为 ,所以 或 (舍去), 所以 . 故选:D. 2.在平面直角坐标系中,角 的顶点为坐标原点,始边在x轴的正半轴上,终边过点 ,且 ,则 ( ) A. B. C. D. 【答案】B 【分析】用终边经过的点求出 即可求解. 【详解】因为角 的终边经过点 ,且 , 所以 ,解得 , 所以 . 故选:B 3.在平面直角坐标系xOy中,若角 以坐标原点为顶点,x轴非负半轴为始边,且终边过点 ,则 取最小值时x的可能取值为( ) A. B. C. D. 【答案】A 【分析】利用三角函数的定义可得 ,再结合三角函数的性质计算即可. 资料整理【淘宝店铺:向阳百分百】【详解】∵角θ的终边经过点 , ∴ , ,∴ , , 由正弦函数的性质可知在 取最小值时. , , 即 , 时A正确; 对于B, ,不符合; 对于C, ,不符合; 对于D, ,不符合; 故选:A. 4.已知 是第三象限角,则点 位于( ) A.第一象限 B.第二象限 C.第三象限 D.第四象限 【答案】B 【分析】根据角所在象限结合二倍角正弦公式即可判断答案. 【详解】因为 是第三象限角,故 , 则 , 故 在第二象限, 故选:B 5.已知角 终边上有一点 ,则 为( ) A.第一象限角 B.第二象限角 C.第三象限角 D.第四象限角 【答案】C 【分析】根据终边相同角的定义即可求解. 资料整理【淘宝店铺:向阳百分百】【详解】已知角 终边上有一点 ,即点 , , 为第三象限角. 故选:C. 6.已知角 , 终边上有一点 ,则 ( ) A.2 B. C. D. 【答案】C 【分析】根据弦切互化,结合正切和差角公式,即可得 ,结合角的范围即可求解. 【详解】 , 故 , . 又 , , 故 在第三象限,故 , . 故选:C. 7.已知角 的顶点为坐标原点,始边与 轴的非负半轴重合,终边上有两个点 , ,且 ,则 ( ) A. B. C. 或 D. 或 【答案】C 资料整理【淘宝店铺:向阳百分百】【分析】根据三角函数的定义式可得 ,又结合二倍角的余弦公式及齐次式的原因可得 ,接方程组即可. 【详解】由已知可得 , , 又 , , ,即 , 联立得 ,解得 或 , ,故选:C. 8.已知角 的终边落在直线 上,则 的值为( ) A. B.1 C. D. 【答案】B 【分析】利用三角函数的定义以及同角三角函数关系和二倍角公式即可解决. 【详解】因为角 的终边落在直线 上,所以 . 则 . 故选:B 资料整理【淘宝店铺:向阳百分百】9.已知角 的终边与单位圆的交点为 ,则 ( ) A. B. C. D. 【答案】B 【分析】先求出 ,利用三角函数定义求出 的值,再利用二倍角余弦公式求解即可.【详解】由题得 ,所以 ,所以 或 , 所以 . 故选:B 10.下列说法正确的是( ) A.若 ,则 与 是终边相同的角 B.若角 的终边过点 ,则 C.若扇形的周长为3,半径为1,则其圆心角的大小为1弧度 D.若 ,则角 的终边在第一象限或第三象限 【答案】CD 【分析】举反例 判断A;由三角函数的定义判断B;由弧长公式判断C;由 与 同号判 断D. 【详解】对于A:当 时, ,但终边不同,故A错误; 对于B: ,当 时, ,故B错误; 对于C:由 ,得 ,故C正确; 对于D: ,即 与 同号,则角 的终边在第一象限或第三象限,故D正确; 故选:CD 资料整理【淘宝店铺:向阳百分百】11.如图所示,角 的终边与单位圆 交于点 ,将 绕原点 按逆时针方向旋转 后与圆 交 于点 . (1)求 ; (2)若 的内角 , , 所对的边分别为 , , , , , ,求 . 【答案】(1) (2) 或 . 【分析】(1)根据三角函数的定义及诱导公式直接得解; (2)由已知可得 ,再利用余弦定理可得 ,进而可得面积. 【详解】(1)由题知 , , 所以 ; (2)由题知 , , , ,且 ,所以 , 而 ,则 ,故 , 由正弦定理可知 ,整理得 , 解得 , 资料整理【淘宝店铺:向阳百分百】故 ,或 . 易错点二:诱导公式认识不清导致变形错误(同角三角函数的基本关系与 诱导公式求值问题) 1.同角三角函数的基本关系 (1)平方关系:sin2α+cos2α=1. sinα π (2)商数关系: =tanα(α≠ +kπ); cosα 2 2.三角函数诱导公式 公式 一 二 三 四 五 六 π π 角 2kπ+α(k∈Z) π+α −α π−α −α +α 2 2 正弦 sinα −sinα −sinα sinα cosα cosα 余弦 cosα −cosα cosα −cosα sinα −sinα 正切 tanα tanα −tanα −tanα 口诀 函数名不变,符号看象限 函数名改变,符号看象限 题型1.同角三角函数关系齐次化 (1)利用方程思想,对于 ,由公式 ,可以“知一求 二”.对于 ,由下面三个关系式 ,可以“知一求二”. (2) 的齐次式的应用:分式中分子与分母是关于 的齐次式,或含有 及 的式子求值时,可将所求式子的分母看作“1”,利用“ ”代 换后转化为“切”求解. 题型2.利用诱导公式化简及其计算 资料整理【淘宝店铺:向阳百分百】(1)诱导公式的两个应用 ①求值:负化正,大化小,化到锐角为终了; ②化简:统一名,统一角,同角名少为终了. (2)学会诱导公式的逆用,如 等,再如 ,能将 中 的系数由负变正,且不改变“正弦”前面的符号. (3)学会观察两角之间的关系,看看它们的和或差是否为 的整数倍. sinα 技巧:1.利用 sin2α+cos2α=1 可以实现角 α 的正弦、余弦的互化,利用 cosα =tanα可以实现角 α 的弦 切互化. 2.“ sinα+cosα,sinαcosα,sinα−cosα”方程思想知一求二. 易错提醒:奇变偶不变,符号看象限,说明:(1)先将诱导三角函数式中的角统一写作 ;(2) 无论有多大,一律视为锐角,判断 所处的象限,并判断题设三角函数在该象限的正负;(3)当 为奇数是,“奇变”,正变余,余变正;当 为偶数时,“偶不变”函数名保持不变即可。 例 .已知 . (1)求 的值. (2)求 的值. 【详解】(1) ; 资料整理【淘宝店铺:向阳百分百】(2) . 变式1.已知 均为锐角,且 . (1)求 的值; (2)求 的值. 【详解】(1) , , 又 , , , . (2) 为锐角, , . . 变式2.已知 ,且 ,化简并求 的值. 【详解】解:因为 ,且 ,则 , 所以, , 故 . 资料整理【淘宝店铺:向阳百分百】变式3.已知角 的顶点与原点 重合,始边与 轴的非负半轴重合,它的终边过点 . (1)求 的值; (2)若锐角 满足 ,求 的值. 【详解】(1)由题设知: ,则 , 又 , ; (2)由(1)知: ,且 , 又 为锐角, 为第四象限角,所以 为第四象限角或第一象限角. 当 为第一象限角时 ,则 , 当 为第四象限角时 ,则 . 1.若 ,则 ( ) A. B. C. D. 资料整理【淘宝店铺:向阳百分百】【答案】A 【分析】根据题意,结合正弦、余弦的倍角公式和三角函数的基本关系式,化为“齐次式”,代入即可求 解. 【详解】由 ,则 . 故选:A. 2.已知 ,则 ( ) A. B. C. D. 【答案】B 【分析】将所求角通过拆角、变角,利用两角和的余弦公式求解即可. 【详解】 ,所以 , , 因为 ,所以 , 因为 ,所以 , , 故选:B. 3.在平面直角坐标系中,角 的顶点为坐标原点,始边在x轴的正半轴上,终边过点 ,且 ,则 ( ) A. B. C. D. 【答案】B 【分析】用终边经过的点求出 即可求解. 【详解】因为角 的终边经过点 ,且 , 资料整理【淘宝店铺:向阳百分百】所以 ,解得 , 所以 . 故选:B 4.已知 ,则 ( ) A. B. C. D. 【答案】D 【分析】方法一:根据平方关系、二倍角公式化简已知可得 ,结合诱导公式化简可得所求;方法 二:利用辅助角公式化简已知可得 ,再根据二倍角公式化简可得所求. 【详解】方法一: , , ,即 , . 方法二 ,即 , , , . 故选:D. 5.已知 为锐角, ,则 ( ) 资料整理【淘宝店铺:向阳百分百】A. B. C. D. 【答案】C 【分析】根据两角和差的正弦公式求解即可. 【详解】因为 所以 , 当 时, , 为锐角,不合题意,舍去; 当 时, ,满足题意; 所以 . 故选:C 6.已知 ,且 ,则 ( ) A. B. C. D. 【答案】C 资料整理【淘宝店铺:向阳百分百】【分析】根据给定条件,利用诱导公式、二倍角的正余弦公式求解即得. 【详解】由 ,得 , 而 ,则 , ,因此 , 即有 ,所以 . 故选:C 7.若 ,且 ,则 ( ) A. B. C. D. 【答案】D 【分析】先左右两边平方,得出 ,再应用弦化切,最后结合角的范围可得求出正切值. 【详解】∵ ,∴ ,即 ,∴ , ∴ ,得 ,∴ , ∴ 或 , ∵ ,且 ,∴由三角函数定义知 , ∴ ,故 . 故选:D. 8.已知 , ,则( ) A. B. C. D. 资料整理【淘宝店铺:向阳百分百】【答案】BC 【分析】先将 两边平方,结合 ,得出 ,结合 得出 ,再计算出 ,即可求出 和 ,根据同角三角函数的商数关系,二倍角的 余弦公式和正切公式,两角的余弦公式分别计算即可判断各选项. 【详解】由 得, ,则 , 因为 , , 所以 ,所以 , 由 ,解得 , 对于A, ,故A错误; 对于B, ,故B正确; 对于C,因为 ,所以 ,则 , ,即 , 解得 或 (舍去),故C正确; 对于D, ,故D错误, 故选:BC. 9.已知 ,则 . 资料整理【淘宝店铺:向阳百分百】【答案】 【分析】利用弦切互化和两角和的正切公式求解即可. 【详解】因为 ,所以 ,所以 , 所以 ,即 ,所以 . 故答案为: . 10.已知 是第四象限角,且满足 ,则 . 【答案】 【分析】根据得到 ,利用三角函数的基本关系式,求得 ,进而求得 ,联立方程组,求得 的值,即可求解. 【详解】由 是第四象限角,可得 ,则 , 因为 ,可得 , 可得 , 又由 , 因为 ,可得 , 联立方程组,可得 ,所以 . 故答案为: . 11.若 ,且 ,则 . 【答案】 / 资料整理【淘宝店铺:向阳百分百】【分析】结合角的范围和同角三角函数的基本关系,先求出 角的正弦与余弦,再将所求式子利用二倍角 公式转化为 角的正余弦,代入求值即可. 【详解】因为 , 联立 ,解得 , 则 . 故答案为: . 易错点三:忽视三角函数图象变换研究对象选取(三角函数的图象和性 质) 1.用五点法作正弦函数和余弦函数的简图 y=sinx x∈[0,2π] (1)在正弦函数 , 的图象中,五个关键点是: . y=cosx x∈[0,2π] (2)在余弦函数 , 的图象中,五个关键点是: . 函数 y=sinx y=cosx y=tanx 图象 资料整理【淘宝店铺:向阳百分百】π 定义域 R R {x|x∈R,x≠kπ+ } 2 值域 [−1,1] [−1,1] R 周期性 2π 2π π 奇偶性 奇函数 偶函数 奇函数 π π π π 递增区间 [2kπ− ,2kπ+ ] [−π+2kπ,2kπ] (kπ− ,kπ+ ) 2 2 2 2 π 3π 递减区间 [2kπ+ ,2kπ+ ] [2kπ,π+2kπ] 无 2 2 π kπ 对称中心 (kπ,0) (kπ+ ,0) ( ,0) 2 2 π 对称轴方程 x=kπ+ x=kπ 无 2 2.正弦、余弦、正切函数的图象与性质(下表中k∈Z) T T 注:正(余)弦曲线相邻两条对称轴之间的距离是 ;正(余)弦曲线相邻两个对称中心的距离是 ; 2 2 T 正(余)弦曲线相邻两条对称轴与对称中心距离 ; 4 y=Asin(wx+ϕ) y=Acos(wx+ϕ)(A>0,w>0) 3. 与 的图像与性质 2π T= (1)最小正周期: w . y=Asin(wx+ϕ) y=Acos(wx+ϕ) (2)定义域与值域: , 的定义域为R,值域为[-A,A]. (3)最值 A>0,w>0 假设 . y=Asin(wx+ϕ) ①对于 , π { 当wx+ϕ= +2kπ(k∈Z)时,函数取得最大值A; 2 π 当wx+ϕ=− +2kπ(k∈Z)时,函数取得最小值−A; 2 y=Acos(wx+ϕ) ②对于 , 资料整理【淘宝店铺:向阳百分百】{ 当wx+ϕ=2kπ(k∈Z)时,函数取得最大值A; 当wx+ϕ=2kπ+π(k∈Z)时,函数取得最小值−A; (4)对称轴与对称中心. A>0,w>0 假设 . y=Asin(wx+ϕ) ①对于 , π {当wx +ϕ=kπ+ (k∈Z),即sin(wx +ϕ) 0 2 0 ¿±1时,y=sin(wx+ϕ)的对称轴为x=x 0 当wx +ϕ=kπ(k∈Z),即sin(wx +ϕ)=0 0 0 时,y=sin(wx+ϕ)的对称中心为(x ,0). 0 y=Acos(wx+ϕ) ②对于 , 当wx +ϕ=kπ(k∈Z),即cos(wx +ϕ)=±1 { 0 0 时,y=cos(wx+ϕ)的对称轴为x=x 0 π 当wx +ϕ=kπ+ (k∈Z),即cos(wx +ϕ) 0 2 0 ¿0时,y=cos(wx+ϕ)的对称中心为(x ,0). 0 正、余弦曲线的对称轴是相应函数取最大(小)值的位置.正、余弦的对称中心是相应函数与x轴交 点的位置. (5)单调性. A>0,w>0 假设 . y=Asin(wx+ϕ) ①对于 , π π {wx+ϕ∈[− +2kπ, +2kπ](k∈Z)⇒增区间; 2 2 π 3π wx+ϕ∈[ +2kπ, +2kπ](k∈Z)⇒减区间. 2 2 y=Acos(wx+ϕ) ②对于 , {wx+ϕ∈[−π+2kπ,2kπ](k∈Z)⇒增区间; wx+ϕ∈[2kπ,2kπ+π](k∈Z)⇒减区间. 资料整理【淘宝店铺:向阳百分百】(6)平移与伸缩 π y=2sin(2x+ )+3 由函数y=sinx的图像变换为函数 3 的图像的步骤; π π (x→x+ →2x+ ) 方法一: 2 3 .先相位变换,后周期变换. π y=sinx的图像⃗ 向左平移 π 个单位 y=sin(x+ )的图像 3 3 π π y=sin(2x+ )的图像 y=2sin(2x+ )的图像 3 3 π y=2sin(2x+ )+3 ⃗向上平移3个单位 3 π π (x→x+ →2x+ ) 方法二: 2 3 .先周期变换,后相位变换,再振幅变换. y=sinx的图像 y=sin2x的图像⃗ 向左平移 π 6 个单位 π π y=sin2(x+ )=sin(2x+ )的图像 6 2 π π y=2sin(2x+ )的图像⃗向上平移3各单位 y=2sin(2x+ )+3 3 3 结论:关于三角函数对称的几个重要结论; (1)函数 的对称轴为 ,对称中心为 ; (2)函数 的对称轴为 ,对称中心为 ; (3)函数 函数无对称轴,对称中心为 ; (4)求函数 的对称轴的方法;令 ,得 ;对称中心的求取方法;令 ,得 ,即对称中心为 . 资料整理【淘宝店铺:向阳百分百】y=Acos(wx+ϕ)+b(w≠0) wx+ϕ=kπ(k∈Z) (5)求函数 的对称轴的方法;令 得 π π +kπ−ϕ +kπ−ϕ 2 ,即对称中心为 2 x= ( ,b)(k∈Z) w w 题型1.研究三角函数的性质(如周期性、单调性、最值、奇偶性、对称性等)的前提是用公式把已 给函数化成同一个角同一种类型的三角函数形式(简称:同角同函) 或 , 常见方法有: (1)用同角三角函数基本关系式或诱导公式将已给函数化成同函; (2)用倍角公式(升幂或降幂)将已给函数化成同角; (3)用两角和、差公式或辅助角公式 将已给函数化成同函. 题型2.研究三角函数的性质(如周期性、单调性、最值、奇偶性、对称性等)时,一般是把已给函 数化成同同角同函型,但未必所有三角函数都能化成上述 或 的形式,有 时会化简为二次函数型: 或 ,这时需要借助二次函数知识求 解,但要注意 的取值范围. 若将已给函数化简为更高次的函数,如 ,则换元后可通过导数 求 解 . 如 : 解 析 式 中 同 时 含 有 和 , 令 , 由 关 系 式 得到 关于 的函数表达式. 题型3.求三角函数的值域(最值),通常利用正余弦函数的有界性,一般通过三角变换化为下列基 本类型: (1) ,令 ,则 ; (2) ,引入辅助角 ,化为 ; (3) ,令 ,则 ; (4) ,令 , 则 ,所以 ; (5) ,根据正弦函数的有界性,既可用分析法求最值,也可用不等式法求最值,更可用数 形结合法求最值. 易错提醒:在进行图像变换时,提倡先平移后伸缩,但先伸缩后平移(先周期后相位)在题目中也经常出 现,所以必须熟练掌握,无论哪种变化,切记每一个变换总是对变量x而言的,即图像变换要看“变量x 资料整理【淘宝店铺:向阳百分百】”发生多大变化,而不是“角 wx+ϕ”变化多少. 例 .定义在 上的函数 满足在区间 内恰有两个零点和一个极值点, 则下列说法不正确的是( ) A. 的最小正周期为 B.将 的图象向右平移 个单位长度后关于原点对称 C. 图象的一个对称中心为 D. 在区间 上单调递增 【详解】依题可知 ,于是 ,于是 , ∴ ,又 , ∴ ,∴ , 对于A,由 ,则 的最小正周期为 ,故A错误; 对于B,因为 , 所以将 的图象向右平移 个单位长度后得 , 资料整理【淘宝店铺:向阳百分百】则 ,所以 不关于原点对称,故B错误; 对于C,由 ,所以 不是 图象的一个对称中心,故C错误; 对于D,由 ,则 ,所以 在区间 上单调递增,故D正确.故选: ABC. 变式1.已知函数 ,把函数的图象向右平移 个单位长度,得到函数 的图象, 若 时,方程 有实根,则实数 的取值可以为( ) A. B. C. D. 【详解】因为 , 将函数 的图象向右平移 个单位长度,得到函数 的图象, 则 , 当 时, ,则 , 由 得 ,可得 ,所以, ,解得 , 故选:CD. 资料整理【淘宝店铺:向阳百分百】变式2.已知函数 的初相为 ,则下列结论正确的是( ) A. 的图象关于直线 对称 B.函数 的一个单调递减区间为 C.若把函数 的图象向右平移 个单位长度得到函数 的图象,则 为偶函数 D.若函数 在区间 上的值域为 【详解】由题意知 ,所以 . 对于选项A, ,所以 的图象关于直线 对称,故A项正确; 对于选项B,由 , ,得 , , 则当 时,函数 的一个单调递减区间为 ,故B项正确; 对于选项C, 的图象向右平移 个单位长度得到函数 的图象, 所以 为奇函数,故C项错误; 对于选项D,因为 ,所以 , 所以 , 所以 , 即: 在区间 上的值域为 ,故D项错误.故选:AB. 资料整理【淘宝店铺:向阳百分百】变式3.已知函数 ,则下列说法正确的是( ) A. B.函数 的最小正周期为 C.函数 的图象的对称轴方程为 D.函数 的图象可由 的图象向左平移 个单位长度得到 【详解】 ,故A正确; 函数 的最小正周期为 ,故B正确; 由 ,得 ,故C错误; 由 的图象向左平移 个单位长度, 得 ,故D错误.故选:AB 1.为了得到函数 的图象,可将函数 的图象( ) A.向右平移 个单位长度 B.向左平移 个单位长度 C.向右平移 个单位长度 D.向左平移 个单位长度 资料整理【淘宝店铺:向阳百分百】【答案】D 【分析】将函数 变为 的同名函数,然后利用函数图象的平移变换法则即可得解. 【详解】 , 所以将函数 的图象向左平移 个单位长度后得到 的图象. 故选:D. 2.要得到函数 的图象,可以将函数 的图象( ) A.向右平移 个单位长度 B.向左平移 个单位长度 C.向右平移 个单位长度 D.向左平移 个单位长度 【答案】A 【分析】利用诱导公式化简得到 ,然后根据图象的平移变换判断即可. 【详解】 , , , 所以 的图象向右平移 得到 的图象. 故选:A. 3.函数 在区间 上为单调函数,且图象关于直线 对称,则( ) A.将函数 的图象向右平移 个单位长度,所得图象关于y轴对称 B.函数 在 上单调递减 C.若函数 在区间 上没有最小值,则实数 的取值范围是 资料整理【淘宝店铺:向阳百分百】D.若函数 在区间 上有且仅有2个零点,则实数a的取值范围是 【答案】AB 【分析】根据函数单调性及对称轴求出函数解析式,由函数的平移判断A,根据单调性判断B,由函数的 图象与性质可判断CD. 【详解】由题意 且 , 可得 , , 故当 时, , . 对A,函数 的图象向右平移 个单位长度可得 ,故函数图 象关于y轴对称,故A正确; 对B,当 时, ,所以函数 单调递减,故B正确; 对C,当 时, ,函数 在区间 上没有最小值,则需 ,即 ,故C错误; 对D,由C,函数 在区间 上有且仅有2个零点,则 ,即 ,故D错误. 故选:AB 4.已知函数 的最小正周期是 ,把它图象向右平移 个单位后得到的图 象所对应的函数为奇函数,下列正确的是( ) A.函数 的图象关于直线 对称B.函数 的图象关于点 对称 资料整理【淘宝店铺:向阳百分百】C.函数 在区间 上单调递减 D.函数 在 上有3个零点 【答案】AC 【分析】根据周期及奇函数的性质求出 ,再利用正弦函数性质逐项判断即可. 【详解】因为函数 的最小正周期是 ,所以 , 则 , 把它图象向右平移 个单位后得到的图象所对应的函数为 , 因为 为奇函数,所以 , ,即 , , 因为 ,所以 , ,所以 , 对于A, ,所以函数 的图象关于直线 对称,故A正确; 对于B, , 所以函数 的图象不关于点 对称,故B错误; 对于C,当 时, , 函数 在 上单调递减, 所以函数 在区间 上单调递减,故C正确; 资料整理【淘宝店铺:向阳百分百】对于D,由 ,得 ,即 , 令 ,解得 ,又 ,所以 或 , 所以函数 在 上有2个零点,分别为 , ,故D错误. 故选:AC. 5.已知函数 ,且对 ,都有 ,且把 图象上所有 点的横坐标变为原来的 (纵坐标不变),再把图象右移 ,得到函数 的图像,则下列说法正确的是 ( ) A. B. C. 为奇函数 D. 在 上有两个零点 【答案】AB 【分析】对于A,求导得 ,由 可得 关于直线 对称,从 而可得 ,结合 求得 即可判断;对于B,由题意 ,计算 即可判断;对于C,计算 ,从而可判断;对于D,由 可得 ,从而可判断零点的个数,从而可判断. 资料整理【淘宝店铺:向阳百分百】【详解】对于A, , 关于直线 对称, , , 又 当 时, ,故A为正确; 对于B, ,由题意 , 当 时, , ∴ 关于点 对称,满足 ,B正确; 对于C,∵ 为偶函数,C不正确; 对于D,当 时, ,则 在 上只有一个零点,D不正确. 故选:AB. 6.将函数 的图象向右平移 个单位长度,再将得到的曲线上所有点的横坐标变为原来的 ( ),纵坐标不变,得到函数 的图象,若在 上有且仅有两个不同实数 满足 ,则 的取值可以是( ) A.5 B.6 C.7 D.8 【答案】ABC 【分析】由图象变换得到 解析式,再根据三角函数的有界性,将 条件转化为 在 资料整理【淘宝店铺:向阳百分百】上最值的取值情况,将 看作整体角,根据函数图象得到不等关系求解即可. 【详解】由题意得 , , 由 ,得 或 , 由已知在 上有且仅有两个不同实数 满足 , 则 在 上只取得一次最大值和一次最小值, ,令 ,则 , 由 图象可知, ,解得 , 即 的取值范围是 , 故选:ABC. 7.已知函数 , ,其中 ,则( ) A. 与 的图像关于直线 对称 B. 与 的图像关于点 对称 资料整理【淘宝店铺:向阳百分百】C.当 与 在区间 上单调性相反时, 的最大值为1 D.当 与 在区间 上单调性相同时, 的最大值为 【答案】ABD 【分析】根据余弦函数的单调性、对称性、图象变换逐项判断即可. 【详解】 ,所以 与 的图像关于直线 对称,故A正确; , 与 的图 像关于点 对称,故B正确; 如图, 函数 的图像为函数 的图像向左平移 得到,函数 的图像为函数 的图像 向右平 得到,所以 与 的图像关于 轴对称, 且 的每一个极值点对应 的一个零点,易知 在 轴右侧的第一个极大值点为 ; 若 与 在区间 上单调性相反,则有 ,即 ,故C不正确; 资料整理【淘宝店铺:向阳百分百】若函数 在 轴右侧的第一个极小值点为 上单若 与 在区间 上单调性相同,则有 ,且 ,即 ,故D正确. 故选 :ABD. 8.已知函数 ,以下说法中,正确的是( ) A.函数 关于点 对称 B.函数 在 上单调递增 C.当 时, 的取值范围为 D.将函数 的图像向左平移 个单位长度,所得图像的解析式为 【答案】BCD 【分析】利用二倍角公式及两角差的正弦公式化简,再根据正弦函数的性质一一判断即可. 【详解】因为 , 对于A,由 ,即 ,所以对称中心为 , 令 ,得到一个对称中心为 ,所以A错误; 对于B,当 时, ,由 的图像与性质知, 在 上单调递增, 所以B正确; 对于C,当 时, ,所以 , 资料整理【淘宝店铺:向阳百分百】所以 ,所以C正确; 对于D,将函数 的图像向右平移 个单位长度,得到图像对应的解析式为 ,所以D正确. 故选:BCD. 9.已知 ,下列结论正确的是( ) A. 的最小正周期为 B.把 的图象向左平移 个单位长度,得到的图象关于 轴对称 C.若 在区间 上的最大值是 ,则 的最小值为 D.若 ,则 【答案】BD 【分析】先化简函数,得 ,根据正弦型函数的图像性质研究周期性、平移、值域等 问题. 【详解】 , 所以 的最小正周期为 ,故A错误; 把 的图象向左平移 个单位长度,所得函数为 ,是偶函数, 所以图象关于y轴对称,故B正确; 当 时, , 资料整理【淘宝店铺:向阳百分百】当 ,即 时, 最大值为 , 所以m的最小值为 ,故C错误; 令 ,解得 , 当 时, 的一个对称中心为 , 故 时,有 ,故D正确. 故选:BD. 10.已知函数 ,下列结论中正确的有( ) A.若 ,则 是 的整数倍 B.函数 的图象可由函数 的图象上所有点的纵坐标不变,横坐标变为原来的 , 再向左平移 单位得到 C.函数 的图象关于点 对称 D.函数 在 上单调递增 【答案】CD 【分析】利用诱导公式可判断A选项;利用三角函数图象变换可判断B选项;利用正弦型函数的对称性可 判断C选项;利用正弦型函数的单调性可判断D选项. 【详解】对于A选项,若 , 则 或 , 资料整理【淘宝店铺:向阳百分百】可得 或 ,A错; 对于B选项,因为 , 所以,函数 的图象可由函数 的图象上所有点的纵坐标不变, 横坐标变为原来的 ,再向左平移 个单位得到,B错; 对于C选项,因为 , 所以,函数 的图象关于点 对称,C对; 对于D选项,当 时, , 所以,函数 在 上单调递增,D对. 故选:CD. 11.已知 是 的导函数( ) A. 是由 图象上的点横坐标缩短到原来的 倍,纵坐标不变,再把得到的曲线向左平移 得到的 B. 是由 图象上的点横坐标缩短到原来的 倍,纵坐标不变,再把得到的曲线向右平移 得 到的 C. 的对称中心坐标是 D. 是 的一条切线方程. 【答案】BC 资料整理【淘宝店铺:向阳百分百】【分析】由三角函数的平移和伸缩变换可判断A,B;由三角函数的性质可判断C;由导数的几何意义可 判断D. 【详解】 , 是由 横坐标缩短到原来的 倍,纵坐标伸长2倍,再把得到的曲线向左平移 ,故A错误; 函数 图象将横坐标缩短为原来的 倍(纵坐标不变),得 , 再向右平移 个长度单位,得 ,即 ,故B正确; 因为 ,令 , 则 ,则 的对称中心坐标是 ,故C正确; 因为 ,所以 , 由导数的几何意义令 ,可得: , 即 ,解得: ,所以切点为 , 而 不在 上,故D错误. 故选:BC. 易错点四: 求φ时忽略升降零点的区别(函数y=Asin(ωx+φ)的图象及其 应用) 资料整理【淘宝店铺:向阳百分百】函数 的物理意义 简谐运动的图象所对应的函数解析式 ,其中 .在物理中,描述简谐 运动的物理量,如振幅、周期和频率等都与这个解析式中的常数有关: 就是这个简谐运动的振幅,它是 做简谐运动的物体离开平衡位置的最大距离;这个简谐运动的周期是 ,这是做简谐运动的物体往复 运动一次所需要的时间;这个简谐运动的频率由公式 给出,它是做简谐运动的物体在单位时间内往 复运动的次数; 称为相位; 时的相位 称为初相. 题型1.已知 的部分图象求 的方法: (1)利用极值点的纵坐标求 ;(2)把某点的坐标代入求 . 题型2.已知 的部分图象求 的方法: 由 ,即可求出 .常用结论:(1)相邻两个极大(小)值点之间的距离为 ;(2)相邻两个 零点之间的距离为 (3)极值点到相邻的零点,自变量取值区间长度为 . 题型3.已知 的部分图象求 的方法: 求 的值时最好选用最值点求. 峰点: ;谷点: . 也可用零点求,但要区分该零点是升零点,还是降零点. 升零点(图象上升时与 轴的交点): ; 降零点(图象下降时与 轴的交点): (以上 ). 易错提醒:求 的值时若用零点求时一定要明确该零点是升零点,还是降零点. 资料整理【淘宝店铺:向阳百分百】例 .已知函数 满足 . (1)求函数 的解析式及最小正周期; (2)函数 的图象是由函数 的图象向左平移 个单位长度得到,若 ,求 的最小值. 【详解】(1)∵ , ∴ ,而 , ∴ ,即 , ∴ 的最小正周期为: ; (2)由题意, , ∵ , ∴ , ∴ Z, ∴ ,∴ 的最小值为 . 变式1.已知函数 的最小正周期为 . (1)求 的值,并写出 的对称轴方程; 资料整理【淘宝店铺:向阳百分百】(2)在 中角 的对边分别是 满足 ,求函数 的取值范围. 【详解】(1) . , . 故 令 ,解得 , 故对称轴方程为: (2)由 得 , . , , , . , , , 变式2.已知函数 的部分图象如图所示. (1) 求函数 的解析式; (2)若函数 在区间 上恰有两个零点 ,求 的值. 资料整理【淘宝店铺:向阳百分百】【详解】(1)设 的最小正周期为 ,则 ,可得 , 且 ,解得 , 由图象可知:当 时, 取到最大值, 且 ,则 , 可得 ,解得 , 又因为 ,可得 ,则 , 且 的图象过点 ,则 ,解得 , 所以 . (2)令 , 由 ,可得 , 可知 的零点等价于 与 的图象交点横坐标, 且 , 作出 在 内的图象,不妨设 ,如图所示: 资料整理【淘宝店铺:向阳百分百】由图象可知: ,且 关于直线 对称,所以 . 变式3.如图为函数 的部分图象,且 , . (1)求 , 的值; (2)将 的图象上所有点的横坐标扩大到原来的3倍(纵坐标不变),再向右平移 个单位长度,得到 函数 的图象,讨论函数 在区间 的零点个数. 【详解】(1)根据题意得, ,故 , ,故 . 将 代入,得 ,解得 , 又 ,故 . (2)依题意, . 函数 在区间 的零点个数即为函数 的图象与直线 在 上的交点个数. 资料整理【淘宝店铺:向阳百分百】当 时, ,结合余弦函数图象可知, 当 时, 单调递减,当 时, 单调递增, 且 , , , 作出函数 在 上的大致图象如图所示. 观察可知,当 或 时, 有 个零点; 当 时, 有 个零点; 当 或 时, 有 个零点. 1.将函数 图象上所有点的横坐标变为原来的 ,纵坐标不变,所得图象在区间 上恰有两个零点,且在 上单调递减,则 的取值范围为( ) A. B. C. D. 【答案】C 资料整理【淘宝店铺:向阳百分百】【分析】先根据题目的要求伸缩变换得到解析式,然后结合函数在 上恰有两个零点以及在 上单调递减,列出不等式组,即可求得本题答案. 【详解】依题意可得 , 因为 ,所以 , 因为 在 恰有2个零点,且 , , 所以 ,解得 , 令 , ,得 , , 令 ,得 在 上单调递减, 所以 , 所以 ,又 ,解得 . 综上所述, ,故 的取值范围是 . 故选:C. 2.已知函数 的部分图象如图所示,下列说法正确的是( ) 资料整理【淘宝店铺:向阳百分百】A. B.函数 的图象关于 对称 C.函数 在 的值域为 D.要得到函数 的图象,只需将函数 的图象向左平移 个单位 【答案】ACD 【分析】先由图象信息求出 表达式,从而即可判断A;注意到 是 的对称 中心当且仅当 ,由此即可判断B;直接由换元法结合函数单调性求值域对比即 可判断C;直接按题述方式平移函数图象,求出新的函数解析式,对比即可判断. 【详解】如图所示: 由图可知 ,又 , 所以 ,所以 , 资料整理【淘宝店铺:向阳百分百】又函数图象最高点为 , 所以 ,即 , 所以 ,解得 , 由题意 ,所以只能 ,故A选项正确; 由A选项分析可知 ,而 是 的对称中心当且仅当 , 但 ,从而函数 的图象不关于 对称,故B选项错误; 当 时, , , 而函数 在 上单调递减,在 上单调递增, 所以当 时, , 所以函数 在 的值域为 ,故C选项正确; 若将函数 的图象向左平移 个单位, 则得到的新的函数解析式为 ,故 D选项正确. 资料整理【淘宝店铺:向阳百分百】故选:ACD. 3.函数 的部分图像如图所示, 在 上的极小值 和极大值分别为. ., ,下列说法正确的是( ) A. 的最小正周期为 B. C. 的图像关于点 对称 D. 在 上单调递减 【答案】BC 【分析】AB选项,根据图象得到振幅和周期,求出 ;C选项,根据 分别为极小值点和极大 值点,由对称性得到C正确;D选项,由图象得到函数在 上单调递减,在 上单调递增. 【详解】A选项,由题图可知 , ,则 ,故A错误. B选项, ,所以 . 又 在极小值和极大值分别为 , ,所以 ,故B正确. C选项,因为 分别为极小值点和极大值点, 资料整理【淘宝店铺:向阳百分百】故点 为函数 的图像的对称中心,故C正确. D选项, ,从图象可以看出函数 在 上单调递减, 在 上单调递增,故D错误. 故选:BC. 4.已知函数 ,把 的图象向左平移 个单位长度得到函数 的图象,则 ( ) A. 是奇函数 B. 的图象关于直线 对称 C. 在 上单调递增 D.不等式 的解集为 【答案】AB 【分析】A选项,由左加右减得到 的解析式,从而判断出奇偶性;B选项, ,故B正确; C选项,整体法判断函数的单调性;D选项,由 得到 ,求出不等式的解集. 【详解】A选项, , 由于 的定义域为R,且 , 故 为奇函数,A正确; 资料整理【淘宝店铺:向阳百分百】B选项, ,故 的图象关于直线 对称,B正确; C选项, 时, ,其中 在 上不单调, 故 在 上不单调,故C错误; D选项, ,则 ,则 , 故 ,D错误. 故选:AB 5.将函数 的图象向左平移 个单位长度得到函数 的图象,且 ,则下列结论中正确的是( ) A. 为奇函数 B.当 时, 的值域是 C. 的图象关于点 对称 D. 在 上单调递增 【答案】BD 【分析】根据三角函数的平移变换求出 的表达式,然后依次判断各个选项即可. 【详解】因为 , 所以 . 由 ,得 , , 资料整理【淘宝店铺:向阳百分百】则 ,又 ,所以 , 所以 . 对于A: ,所以 不是奇函数,A错误; 对于B:当 时, , 则 ,B正确; 对于C:因为 , 所以 的图象不关于点 对称, C错误; 对于D:当 时, , 根据正弦函数的图象与性质可知, 在 上单调递增,D正确. 故选:BD 6.已知函数 向左平移 个单位长度,得到函数 的图像,若 是偶函 数,则( ) A. 的最小正周期为 B.点 是 图像的一个对称中心 资料整理【淘宝店铺:向阳百分百】C. 在 的值域为 D.函数 在 上单调递增 【答案】BC 【分析】A选项,根据 为偶函数及 ,得到 ,进而得到A错误;B选项,计算出 ,B正确;C选项,由 得到 ,从而结合图象求出值域;D选项,由 得到 ,结合图象得到答案. 【详解】由题意得 , , 解得 , 因为 ,所以只有当 , 满足题意, A选项, ,故最小正周期 ,A错误; B选项, ,故 , 故点 是 图像的一个对称中心,B正确; C选项, ,则 ,故 ,C正确; D选项, ,则 ,由于 在 上不单调, 资料整理【淘宝店铺:向阳百分百】故 在 上不单调递增,D错误.故选:BC 7.已知函数 的最小正周期为 ,则( ) A. B. 的图象在区间 上存在对称轴 C. 在区间 上单调递增 D.将 的图象向左平移 个单位长度可得到 的图象 【答案】AB 【分析】先由函数的最小正周期,求出 ;根据余弦函数的性质可判断B,C选项,再由三角函数图像平移 后可判断D选项. 【详解】由 ,得 ,故选项A正确; 令 , ,解得 , ,当 时, ,所以 是 图象的一条对称轴, 故选项B正确; 当 时, ,余弦函数在此区间不单调,故选项C错误; 依题意平移后的解析式为 ,故选项D错误.故选: AB. 8.已知函数 在 轴上的截距为 ,若函数 在区间 内有零点, 无极值点,则 的取值范围是 . 【答案】 【分析】先根据在 轴上的截距得到方程,求出 ,进而由 得到 资料整理【淘宝店铺:向阳百分百】,根据有零点,无极值点,得到不等式,求出答案. 【详解】由题意知 ,则 ,结合 ,得 , 所以 . 当 时, , 因为函数 在区间 内有零点,无极值点, 所以 ,(建立不等式时,要注意是否能取等号), 解得 , 当 时, ; 当 时, ,所以 , 所以不等式组无解, 当 时, ,所以 , 所以不等式组无解, 当 或 时,不满足条件. 所以 的取值范围是 . 故答案为: 9.已知函数 在区间 上有且仅有3个对称中心,给出下列四个结论: ① 的值可能是3; ② 的最小正周期可能是 ; 资料整理【淘宝店铺:向阳百分百】③ 在区间 上单调递减; ④ 图象的对称轴可能是 . 其中所有正确结论的序号是 . 【答案】①②③ 【分析】由题意,结合角的范围可得 ,求出 的范围可判断①,利用三角函数的周期公 式可判断②,利用三角函数的性质可判断③④. 【详解】函数 , , , 函数 在区间 上有且仅有3个对称中心, 则 , ,即 的取值范围是 , 而 ,故①正确; 周期 ,由 , 得 , , 的最小正周期可能是 ,故②正确; , , , , 资料整理【淘宝店铺:向阳百分百】又 , 在区间 上单调递减,故③正确; 当 ,即 , 又 , , 当 时, , 当 时, ,故④不正确.故答案为:①②③. 10.已知函数 的部分图象如图所示. (1)求函数 的解析式; (2)将函数 的图象向右平移 个单位长度,得到 的图象,求函数 在 上的单调递 减区间. 【答案】(1) (2) 资料整理【淘宝店铺:向阳百分百】【分析】(1)根据函数图象求出 , ,进而得出 .根据“五点法”,即可求出 的值; (2)先求出 ,根据已知得出 .结合正弦函数的单调性,解 ,即可得出答案. 【详解】(1)由图易知 , , 所以 , . 易知 ,故函数 的图象经过点 , 所以 . 又 ,∴ . ∴ . (2)由题意,易知 , 因为 时,所以 . 解 可得, , 此时 单调递减,故函数 的单调递减区间为 . 11.已知函数 ( 且 )的两个相邻的对称中心的距 离为 . (1)求 在R上的单调递增区间; 资料整理【淘宝店铺:向阳百分百】(2)将 图象纵坐标不变,横坐标伸长到原来的2倍,得到函数 ,若 , ,求 的值. 【答案】(1) (2) 【分析】(1)先化简函数得 ,再根据单调性求解即可; (2)先由平移伸缩得出 ,再结合二倍角余弦公式计算即得. 【详解】(1) , 由题意知, 的最小正周期为 ,所以 ,解得 , ∴ , 令 , ,解得 , 所以 在R上的单调递增区间为 (2) , ,得 , ∵ ,∴ , 资料整理【淘宝店铺:向阳百分百】∴ , ∴ 12.已知函数 的最小值周期为 . (1)求 的值与 的单调递增区间; (2)若 且 ,求 的值. 【答案】(1) ,单调递增区间为 (2) 【分析】(1)利用三角恒等变换化简得出 ,利用正弦型函数的周期公式可求出 的 值,再利用正弦型函数的单调性可求出函数 的增区间; (2)由已知条件可得出 ,利用同角三角函数的基本关系求出 的值,再利用 两角和的余弦公式可求出 的值. 【详解】(1)解: , 因为函数 的最小正周期为 ,且 。所以 ,解得 , 所以 ,令 , 资料整理【淘宝店铺:向阳百分百】得 ,所以 的单调递增区间为 . (2)解:由(1)知 ,则 , 因为 ,所以 , 因为 ,所以 , 所以 , 所以 . 易错点五: 遗忘非特殊角其实也是一种特殊角(三角恒等变换) 1.两角和与差的正余弦与正切 ① ; ② ; ③ ; 2.二倍角公式 ① ; ② ; ③ ; 3.降次(幂)公式 资料整理【淘宝店铺:向阳百分百】4.半角公式 5.辅助角公式 (其中 ). 结论:1.两角和与差正切公式变形 ; . 2.降幂公式与升幂公式 ; . 3.其他常用变式 . 3.拆分角问题:① ; ;② ;③ ; ④ ;⑤ . 注意特殊的角也看成已知角,如 . 易错提醒:1.给角求值给角求值中一般所给出的角都是非特殊角,从表面上来看是很难的,但仔细 观察会发现非特殊角与特殊角之间总有一定的关系.解题时,要利用观察得到的关系,结合公式将非特殊 角的三角函数转化为特殊角的三角函数,从而得解. 2.给值求值:已知三角函数值,求其他三角函数式的值的一般思路: (1)先化简所求式子. (2)观察已知条件与所求式子之间的联系(从三角函数名及角入手). (3)将已知条件代入所求式子,化简求值. 资料整理【淘宝店铺:向阳百分百】3.给值求角 通过求角的某种三角函数值来求角,在选取函数时,有以下原则: (1)已知正切函数值,则选正切函数. (2)已知正、余弦函数值,则选正弦或余弦函数.若角的范围是 ,则选正、余弦皆可;若角的 范围是 ,则选余弦较好;若角的范围为 ,则选正弦较好. 4.与三角函数的图象及性质相结合的综合问题 (1)利用三角恒等变换及辅助角公式把三角函数关系式转化成 或 的形式. (2)利用公式 求周期. (3)根据自变量的范围确定 的范围,根据相应的正弦曲线或余弦曲线求值域或最值,另外求 最值时,根据所给关系式的特点,也可换元转化为二次函数的最值. (4)根据正、余弦函数的单调区间列不等式求函数 或 的单调 区间. 例 .下列各式计算正确的有( ) A. B. C. D. 【详解】对于A, ,故A错误; 对于B, ,故B正确; 对于C, ,故C正确; 资料整理【淘宝店铺:向阳百分百】对于D, ,故D错误. 故选:BC. 变式1.已知 ,下列说法正确的是( ) A. B. C. D. 【详解】因为 ,所以 ,所以 为第一象限角或第三象限角. 当 为第一象限角时, , ;当 为第三象限角时, , ,所 以 ,故A项正确; ;故B项错误; ,故C项正确; , 当 为第一象限角时,原式 ; 当 为第三象限角时,原式 ,故D项错误.故选:AC 资料整理【淘宝店铺:向阳百分百】变式2.下列各式的值是方程 的根的为( ). A. B. C. D. 【详解】方程 的根为2或 , ,A错误; ,B正确; , C正确; ,D正确.故选:BCD 变式3.下列选项中,与 的值相等的是( ) A. B. C. D. 【详解】由题意有 , 对于A选项:因为 ,故A选项不符合题意; 对于B选项:因为 ,故B选项符合题意; 资料整理【淘宝店铺:向阳百分百】对于C选项:因为 ,故C选项符合题意; 对于D选项:因为 ,故D选项不符合题意;故选:BC. 1.已知 ,则( ) A. ,使得 B.若 ,则 C.若 ,则 D.若 , ,则 的最大值为 【答案】BD 【分析】根据方程 无解,可判定A错误;根据题意求得 ,结合两角差的正 弦公式,可判定B正确;结合两角和的正弦公式,求得 ,利用余弦的倍角公式,可判定C错 误;化简 ,结合基本不等式,可判定D正确. 【详解】对于A中,若 ,可得 因为 ,可得 ,解得 , 又因为 时, ,所以方程无解,所以A错误; 资料整理【淘宝店铺:向阳百分百】对于B中,因为 ,可得 ,所以 , 又因为 ,所以 , 则 ,所以B正确; 对于C中,由 , 则 ,所以C错误; 对于D中,因为 ,可得 ,且 , 则 , 当且仅当 时,即 时,等号成立, 所以 的最大值为 ,所以D正确. 故选:BD. 2.已知 ,且 , , ,则( ) A. 的取值范围为 B.存在 , ,使得 C.当 时, D.t的取值范围为 【答案】AD 【分析】由 可得 范围,从而判断A,由正弦、余弦函数性 质求得 判断B,利用 消去 后可求得 判断C,由上面推导得出 随 资料整理【淘宝店铺:向阳百分百】的增大而增大,从而可得 的范围,判断D. 【详解】因为 ,所以 ,即 ,若 ,则 ,又 ,所以 不能同时成立,所以 ,故A正确; 由A可知 ,所以 ,又 ,所以 ,所以 ,故B错误; 当 时, 整理,得 所以 ,又 ,对上式整理得 ,所以 ,解得 (舍去负 根),故C错误; 因为 ,且 ,所以 随着 的增大而增大,所以 随着 的增大而增大,又 ,所以 , ,即D正确. 故选:AD. 资料整理【淘宝店铺:向阳百分百】3.下列化简正确的是( ) A. B. C. D. 【答案】CD 【分析】利用余弦的二倍角公式化简可判断A;利用正弦的两角和展开式化简可判断B;利用正弦的二倍 角公式化简可判断C;利用两角和的正切展开式化简可判断D. 【详解】对于A, , 故A错误; 对于B, , 故B错误; 对于C, , 故C正确; 对于D, ,故D正确. 故选:CD. 4.下列化简正确的是( ) A. B. 资料整理【淘宝店铺:向阳百分百】C. D. 【答案】BCD 【分析】根据两角和差正切公式计算判断A选项,根据两角和差正弦公式计算判断B选项,应用同角三角 函数结合诱导公式计算可得C选项,根据两角和差正弦公式结合二倍角正弦公式判断D选项. 【详解】对于A, ,故A错误. 对于B,由 ,故B正确; 对于C,∵设 , 则 , 而 ,故 即 ,故C正确. 对于D, ,所以D正确. 故选:BCD. 5.下列等式中正确的是( ) A. B. C. D. 【答案】AC 【分析】A选项,逆用正弦倍角公式进行求解;B选项,逆用余弦二倍角公式计算;C选项,逆用正切差 角公式进行求解;D选项,逆用正弦和角公式计算. 资料整理【淘宝店铺:向阳百分百】【详解】A选项, ,A正确; B选项, ,B错误; C选项, ,C正确; D选项, ,D错误. 故选:AC 6.已知 , , ,下列选项正确的有( ) A. B. C. D. 【答案】BD 【分析】根据同角关系以及诱导公式可得可得 ,进而可判断A,根据和差角公司以及二倍角公 式即可代入求解BCD. 【详解】由于 且 ,所以 , 又 , , 故 或 ,当 时, 显然不满足,故 ,所以 , 故A错误, 对于B, ,故B正确, 对于C, ,故C错误, 资料整理【淘宝店铺:向阳百分百】对于D,由B可知 ,所以 ,故D正确, 故选:BD 7.下列化简结果正确的是( ) A. B. C. D. 【答案】AB 【分析】根据题意,由三角函数的和差角公式,代入计算,对选项逐一判断,即可得到结果. 【详解】 ,所以A正确; ,所以B正确; ,所以C错误; ,所以D错误. 故选:AB. 8.下列等式成立的有( ) A. B. C. D. 【答案】BC 【分析】应用三角恒等变换化简求值,逐个判断即可. 【详解】对A, ,A错误; 资料整理【淘宝店铺:向阳百分百】对B, ,B正确; 对C, ,C正确; 对D, ,D错误. 故选:BC 9.下列计算或化简结果正确的是( ) A. =2 B.若 ,则 C.若 ,则 =1 D. 【答案】AB 【分析】直接通过“切化弦”的思想即可判断AB;通过对分式齐次式化简可判断C;通过同角三角函数 关系的平方关系可判断D. 【详解】对于A, ,故A正确; 对于B,因为 , 所以 ,故B正确; 对于C,因为 , 所以 ,故C错误; 对于D, ,所以 , 资料整理【淘宝店铺:向阳百分百】,所以 所以 ,故D错误; 故选:AB 10.下列各式中,值为 的是( ) A. B. C. D. 【答案】AC 【分析】诱导公式结合和角余弦公式计算判断A;诱导公式结合倍角余弦公式计算判断B;凑特殊角并结合 差角的余弦计算判断C;切化弦并利用辅助角公式、二倍角公式计算判断D. 【详解】对于A, ,A是; 对于B, ,B不是; 对于C, ,C是; 对于D, ,D不是. 故选:AC 11.下列化简正确的是( ) A. B. C. 资料整理【淘宝店铺:向阳百分百】D. 【答案】BCD 【分析】由 即可判断A;根据诱导公式,先将 转化为 ,再根据两角的差的正弦公式,即可判断B;根据诱导公式及同角三角函数的平方关系即可判断 C;先通分,再根据二倍角公式和辅助角公式化简,即可判断D. 【详解】对于A,因为 , 所以 , 所以 ,故A错误; 对于B,因为 , 所以 ,故B正确; 对于C,设 , 因为 , 所以 , 因为 , 所以 , 所以 ,故C正确; 对于D, ,故D正确,故选:BCD. 资料整理【淘宝店铺:向阳百分百】