当前位置:首页>文档>易错点05三角函数-备战2023年高考数学考试易错题(解析版)(全国通用)_2.2025数学总复习_赠品通用版(老高考)复习资料_专项复习_备战2023年高考数学考试易错题(全国通用)

易错点05三角函数-备战2023年高考数学考试易错题(解析版)(全国通用)_2.2025数学总复习_赠品通用版(老高考)复习资料_专项复习_备战2023年高考数学考试易错题(全国通用)

  • 2026-04-06 18:40:43 2026-03-22 00:01:13

文档预览

易错点05三角函数-备战2023年高考数学考试易错题(解析版)(全国通用)_2.2025数学总复习_赠品通用版(老高考)复习资料_专项复习_备战2023年高考数学考试易错题(全国通用)
易错点05三角函数-备战2023年高考数学考试易错题(解析版)(全国通用)_2.2025数学总复习_赠品通用版(老高考)复习资料_专项复习_备战2023年高考数学考试易错题(全国通用)
易错点05三角函数-备战2023年高考数学考试易错题(解析版)(全国通用)_2.2025数学总复习_赠品通用版(老高考)复习资料_专项复习_备战2023年高考数学考试易错题(全国通用)
易错点05三角函数-备战2023年高考数学考试易错题(解析版)(全国通用)_2.2025数学总复习_赠品通用版(老高考)复习资料_专项复习_备战2023年高考数学考试易错题(全国通用)
易错点05三角函数-备战2023年高考数学考试易错题(解析版)(全国通用)_2.2025数学总复习_赠品通用版(老高考)复习资料_专项复习_备战2023年高考数学考试易错题(全国通用)
易错点05三角函数-备战2023年高考数学考试易错题(解析版)(全国通用)_2.2025数学总复习_赠品通用版(老高考)复习资料_专项复习_备战2023年高考数学考试易错题(全国通用)
易错点05三角函数-备战2023年高考数学考试易错题(解析版)(全国通用)_2.2025数学总复习_赠品通用版(老高考)复习资料_专项复习_备战2023年高考数学考试易错题(全国通用)
易错点05三角函数-备战2023年高考数学考试易错题(解析版)(全国通用)_2.2025数学总复习_赠品通用版(老高考)复习资料_专项复习_备战2023年高考数学考试易错题(全国通用)
易错点05三角函数-备战2023年高考数学考试易错题(解析版)(全国通用)_2.2025数学总复习_赠品通用版(老高考)复习资料_专项复习_备战2023年高考数学考试易错题(全国通用)
易错点05三角函数-备战2023年高考数学考试易错题(解析版)(全国通用)_2.2025数学总复习_赠品通用版(老高考)复习资料_专项复习_备战2023年高考数学考试易错题(全国通用)
易错点05三角函数-备战2023年高考数学考试易错题(解析版)(全国通用)_2.2025数学总复习_赠品通用版(老高考)复习资料_专项复习_备战2023年高考数学考试易错题(全国通用)
易错点05三角函数-备战2023年高考数学考试易错题(解析版)(全国通用)_2.2025数学总复习_赠品通用版(老高考)复习资料_专项复习_备战2023年高考数学考试易错题(全国通用)
易错点05三角函数-备战2023年高考数学考试易错题(解析版)(全国通用)_2.2025数学总复习_赠品通用版(老高考)复习资料_专项复习_备战2023年高考数学考试易错题(全国通用)
易错点05三角函数-备战2023年高考数学考试易错题(解析版)(全国通用)_2.2025数学总复习_赠品通用版(老高考)复习资料_专项复习_备战2023年高考数学考试易错题(全国通用)
易错点05三角函数-备战2023年高考数学考试易错题(解析版)(全国通用)_2.2025数学总复习_赠品通用版(老高考)复习资料_专项复习_备战2023年高考数学考试易错题(全国通用)
易错点05三角函数-备战2023年高考数学考试易错题(解析版)(全国通用)_2.2025数学总复习_赠品通用版(老高考)复习资料_专项复习_备战2023年高考数学考试易错题(全国通用)

文档信息

文档格式
docx
文档大小
0.853 MB
文档页数
16 页
上传时间
2026-03-22 00:01:13

文档内容

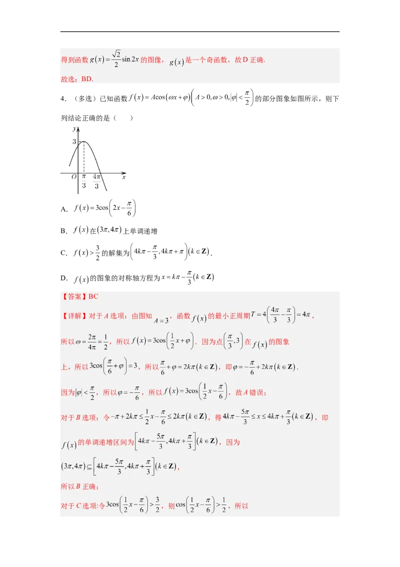
易错点 05 三角函数 易错点1:三角函数的定义 此类题主要考查三角函数的符号,二倍角公式,特殊角的三角函数值等知识,意在考 查学生的转化能力和计算求解能力.所以要求考生要熟记公式,并懂得灵活应用。 易错点2:三角函数图象变换 函数图象的平移变换解题策略: (1)对函数y=sin x,y=Asin(ωx+φ)或y=Acos(ωx+φ)的图象,无论是先平移再伸缩,还是 先伸缩再平移,只要平移|φ|个单位,都是相应的解析式中的x变为x±|φ|,而不是ωx变 为ωx±|φ|. (2)注意平移前后两个函数的名称是否一致,若不一致,应用诱导公式化为同名函数再平 移. 易错点3:由三角函数图像求解析式 结合图象及性质求解析式y=Asin(ωx+φ)+B(A>0,ω>0)的方法 (1)求A,B,已知函数的最大值M和最小值m,则 . (2)求ω,已知函数的周期T,则 . (3)求φ,常用方法有: ①代入法:把图象上的一个已知点代入(此时,A,ω,B已知). ②确定φ值时,往往以寻找“五点法”中的第一个零点 作为突破口,具体如 下: “第一点”(即图象上升时与x轴的交点中距原点最近的交点)为ωx+φ=0; “第二点”(即图象的“峰点”)为ωx+φ= ; “第三点”(即图象下降时与x轴的交点)为ωx+φ=π; “第四点”(即图象的“谷点”)为ωx+φ= ; “第五点”为ωx+φ=2π. 易错点4: 给值(式)求角(值) 解三角函数的给值求值问题的基本步骤 (1)先化简所求式子或所给条件; (2)观察已知条件与所求式子之间的联系; (3)将已知条件代入所求式子,化简求值. 易错点5:三角形中边角关系 此类题考查解三角形的相关知识,涉及到正弦定理角化边的应用、余弦定理的应用、 三角形周长最大值的求解问题;求解周长最大值的关键是能够在余弦定理构造的等式中, 结合基本不等式构造不等关系求得最值.1.(单选)已知函数 ,将函数 的图象向左 平移 个单位长度,得到函数 的部分图象如图所示,则 ( ) A. B. C. D. 【答案】A 【详解】平移不改变振幅和周期,所以由图象可知 , ,解得: , 函数 的图象向左平移 个单位长度,得 当 时, ,且 , 得 所以 , . 故选:A 2.(单选)把函数 的图象向右平移 个单位长度,再把横坐标压缩到 原来的 倍,纵坐标不变,得到函数 的图象,则 ( ) A.最小正周期为 B.奇函数 C.偶函数 D. 【答案】D【详解】解:把函数 的图象向右平移 个单位长度, 得 , 再把横坐标压缩到原来的 倍,纵坐标不变, 得 ,即 , 则最小正周期为 ,故A错误; 因为 ,所以函数 是非奇非偶函数,故BC错误; ,故D正确. 故选:D. 3.(多选)已知函数 ,则下列说法正确的是( ) A.函数 的最小正周期为 B. 的最大值为 C. 的图像关于直线 对称 D.将 的图像向右平移 个单位长度, 再向上平移 个单位长度后所得图像对应的函数为奇函数 【答案】BD 【详解】 ,故 的最小正周期为 ,最大值为 ,故A错误,B正确; 对称轴方程为 , ,即 , ,当 时, 不为整数, 故C错误; 对于选项D,将 的图像向右平移 个单位长度后得到 , 然后将此图像向上平移 个单位长度,得到函数 的图像, 是一个奇函数,故D正确. 故选:BD. 4.(多选)已知函数 的部分图象如图所示,则下 列结论正确的是( ) A. B. 在 上单调递增 C. 的解集为 . D. 的图象的对称轴方程为 【答案】BC 【详解】对于A选项:由图知 ,函数 的最小正周期 , 所以 ,所以 .因为点 在 的图象 上,所以 ,所以 ,即 . 因为 ,所以 ,所以 ,故A错误; 对于B选项:令 ,得 ,即 的单调递增区间为 ,因为 , 所以B正确; 对于C选项:令 ,则 ,所以,解得 , 所以 的解集为 ,故C正确; 对于D:令 ,解得 ,所以 的图象 的对称轴方程为 ,故D错误. 故选:BC. 5.(多选)已知函数 的图象关于直线 对称,则 ( ) A. 是奇函数 B. 的最小正周期是π C. 的一个对称中心是 D. 的一个递增区间是 【答案】BD 【详解】B. 的最小正周期是 ,B正确; A.由于 的图象关于直线 对称,且最小正周期是 ,因此 的图象也关于直 线 对称,故 是偶函数,A错误; C.因为是偶函数,且最小正周期是π,则 或 ,根据 可得解析式为前者. 的对称中心为 , ,C错误; D.由于 , 在 单调递增,D正确. 故选:BD. 1.(单选)已知有恒等式 ,则 ( ) A.1 B. C.2 D. 【答案】B【详解】因为 所以 故选:B 2.(单选)若 ,则 ( ) A. B. C. D. 【答案】C 【详解】令 可得 ,故 ,则 故选:C 3.(多选)若函数 ,则下列说法正确的是( ) A.函数 的图象可由函数 的图象向右平移 个单位长度得到 B.函数 的图象关于直线 对称 C.函数 的图象关于点 对称 D.函数 在 上为增函数 【答案】BD 【详解】由题意,. 函数 的图象向右平移 个单位长度可得到 ,故A错误; ,所以函数 的图象关于直线 对称,故B 正确,C错误; 函数 在 上为增函数, 时, ,故函数 在 上 单调递增,所以函数 在 上为增函数,故D正确. 故选:BD. 4.(多选)函数 的部分图像如图所示,则( ) A. B. C.函数 在 上单调递增 D.函数 图像的对称轴方程为 【答案】AD 【详解】由图像知函数的周期 ,解得: ,所以A对; 由五点对应法得 ,因为 ,所以 ,所以B错误,所以 . 当 时,函数 单调递减.取 ,得 的一个单调递减 区间为 ,所以C错, 函数 图像的对称轴方程为 ,即 ,所以D对. 故选:AD 5.(多选)已知函数 图像的一条对称轴和一个对称中心的最小 距离为 ,则( ) A.函数 的最小正周期为 B.将函数 的图像向左平移 个单位长度后所得图像关于原点对称 C.函数 在 上为增函数 D.设 ,则 在 内有20个极值点 【答案】ABD 【详解】根据题意可得 ,则 ,即 ,A正确; 将函数 的图像向左平移 个单位长度得 ∵ 为奇函数,其图像关于原点对称,B正确; ∵ ,则 ∴ 在 上为减函数,C错误; ,则 ∴ 为奇函数当 时, ,则 令 ,则 ,即 ∴ ∵ ,即 ,则 ∴ 共10个 则 在 内有20个极值点,D正确; 故选:ABD. 一、单选题 1.若 ,则 =( ) A.- B. C.- D. 【答案】C 【详解】依题意, ,所以 . 故选:C 2.已知 , ,则 ( ) A. B. C. D. 【答案】A 【详解】 ,所以 ,因为 , 所以 ,所以 . 故选:A.3.若 ,则 ( ) A. B. C. D. 【答案】A 【详解】由已知可得 , 则原式 . 故选:A. 4.函数 的部分图象如图所示,若把 的图象向 左平移 个单位长度后得到函数 的图象,则m的值可能为( ) A. B. C. D. 【答案】C 【详解】由图可知, ,因为图像过 , ,所以 , 解得 ,则 , 根据图像可知 且 ,解得 , 所以 , ; 把 的图象向左平移 个单位长度后得到函数 , 根据诱导公式可得 ,解得 ,当 时, . 故选:C. 5.下列函数中,以 为周期且在区间 上单调递增的是( ) A. B. C. D. 【答案】B 【详解】对于A, 的周期为 , 时,当 时,函数 不 单调,故错误; 对于B, 的周期为 , 时,当 时,函数 单调递增, 故正确; 对于C, 的周期为 ,故错误; 对于D, 的周期为 , 时,当 时,函数 单调递 增,故 单调递减,故错误. 故选:B 6.函数 的最小正周期是( ) A. B. C. D. 【答案】D 【详解】 , 因为 , 所以 的最小正周期为 . 故选:D. 二、多选题 7.已知函数 ,则下列说法正确的是( ) A.直线 为函数f(x)图像的一条对称轴 B.函数f(x)图像横坐标缩短为原来的一半,再向左平移 后得到C.函数f(x)在[- , ]上单调递增 D.函数 的值域为[-2, ] 【答案】AD 【详解】解:对于A: ,选项A 正确; 对于B:函数f(x)图像横坐标缩短为原来的一半,得到 ,再向左平 移 后得到 ,选项B错误; 对于C:当 时, ,其中 ,不妨令 为锐角, 当 即, 时,f(x)单调递增, 当 ,即 时,f(x)单调递减,选项C错误; 对于D:2π是函数的周期,可取一个周期[- , ]探究f(x)值域. 而函数f(x)的对称轴为: . 因此:可取区间[- , ]探究f(x)值域, 当 时, ,其中 , 即: ,选项D正确. 故选:AD. 8.设函数 ,则下列结论中正确的是( ) A. 的图象关于点 对称 B. 的图象关于直线 对称 C. 在 上单调递减 D. 在 上的最小值为0 【答案】ABC【详解】当 时, ,所以 的图象关于点 对称,A正确; 当 时, ,所以 的图象关于直线 对称,B正确; 当 时, , 在 上单调递减,故C正确; 当 时, , 在 上的最小值为 ,D错 误. 故选:ABC 三、解答题 9.已知函数 (1)求函数 的最小正周期及对称轴方程; (2)将函数 的图象向左平移 个单位,再将所得图象上各点的纵坐标不变、横坐标 伸长为原来的2倍,得到函数 的图象,求 在[0,2π]上的单调递减区间. 【答案】(1) , , 所以函数 的最小正周期为 , 令 , ,得函数 的对称轴方程为 , (2) 将函数 的图象向左平移 个单位后所得图象的解析式为 , 所以 ,令 , 所以 .又 , 所以 在 上的单调递减区间为 . 10.已知函数 ,其中 (1)若 且直线 是 的一条对称轴,求 的递减区间和周期; (2)若 ,求函数 在 上的最小值; 【答案】 (1) 可知 , 因为直线 是 图象的一条对称轴,故 , 解得 ,而 ,故 ,则 , 则周期 , 再令 ,则 , 故 的递减区间为 . (2) 可知 因为 ,故 ,则在 即 取 最小值,其最小值为 .