当前位置:首页>文档>中考数学几何专项练习:相似模型--旋转“手拉手”模型(解析版)_02中考总复习(2026版更新中)_02-数学-中考总复习_2024年中考复习资料_专项复习资料_2024年中考数学几何专项练习_解析版

中考数学几何专项练习:相似模型--旋转“手拉手”模型(解析版)_02中考总复习(2026版更新中)_02-数学-中考总复习_2024年中考复习资料_专项复习资料_2024年中考数学几何专项练习_解析版

  • 2026-04-07 01:33:14 2026-04-07 01:33:14

文档预览

中考数学几何专项练习:相似模型--旋转“手拉手”模型(解析版)_02中考总复习(2026版更新中)_02-数学-中考总复习_2024年中考复习资料_专项复习资料_2024年中考数学几何专项练习_解析版
中考数学几何专项练习:相似模型--旋转“手拉手”模型(解析版)_02中考总复习(2026版更新中)_02-数学-中考总复习_2024年中考复习资料_专项复习资料_2024年中考数学几何专项练习_解析版
中考数学几何专项练习:相似模型--旋转“手拉手”模型(解析版)_02中考总复习(2026版更新中)_02-数学-中考总复习_2024年中考复习资料_专项复习资料_2024年中考数学几何专项练习_解析版
中考数学几何专项练习:相似模型--旋转“手拉手”模型(解析版)_02中考总复习(2026版更新中)_02-数学-中考总复习_2024年中考复习资料_专项复习资料_2024年中考数学几何专项练习_解析版
中考数学几何专项练习:相似模型--旋转“手拉手”模型(解析版)_02中考总复习(2026版更新中)_02-数学-中考总复习_2024年中考复习资料_专项复习资料_2024年中考数学几何专项练习_解析版
中考数学几何专项练习:相似模型--旋转“手拉手”模型(解析版)_02中考总复习(2026版更新中)_02-数学-中考总复习_2024年中考复习资料_专项复习资料_2024年中考数学几何专项练习_解析版
中考数学几何专项练习:相似模型--旋转“手拉手”模型(解析版)_02中考总复习(2026版更新中)_02-数学-中考总复习_2024年中考复习资料_专项复习资料_2024年中考数学几何专项练习_解析版
中考数学几何专项练习:相似模型--旋转“手拉手”模型(解析版)_02中考总复习(2026版更新中)_02-数学-中考总复习_2024年中考复习资料_专项复习资料_2024年中考数学几何专项练习_解析版
中考数学几何专项练习:相似模型--旋转“手拉手”模型(解析版)_02中考总复习(2026版更新中)_02-数学-中考总复习_2024年中考复习资料_专项复习资料_2024年中考数学几何专项练习_解析版
中考数学几何专项练习:相似模型--旋转“手拉手”模型(解析版)_02中考总复习(2026版更新中)_02-数学-中考总复习_2024年中考复习资料_专项复习资料_2024年中考数学几何专项练习_解析版
中考数学几何专项练习:相似模型--旋转“手拉手”模型(解析版)_02中考总复习(2026版更新中)_02-数学-中考总复习_2024年中考复习资料_专项复习资料_2024年中考数学几何专项练习_解析版
中考数学几何专项练习:相似模型--旋转“手拉手”模型(解析版)_02中考总复习(2026版更新中)_02-数学-中考总复习_2024年中考复习资料_专项复习资料_2024年中考数学几何专项练习_解析版
中考数学几何专项练习:相似模型--旋转“手拉手”模型(解析版)_02中考总复习(2026版更新中)_02-数学-中考总复习_2024年中考复习资料_专项复习资料_2024年中考数学几何专项练习_解析版
中考数学几何专项练习:相似模型--旋转“手拉手”模型(解析版)_02中考总复习(2026版更新中)_02-数学-中考总复习_2024年中考复习资料_专项复习资料_2024年中考数学几何专项练习_解析版
中考数学几何专项练习:相似模型--旋转“手拉手”模型(解析版)_02中考总复习(2026版更新中)_02-数学-中考总复习_2024年中考复习资料_专项复习资料_2024年中考数学几何专项练习_解析版
中考数学几何专项练习:相似模型--旋转“手拉手”模型(解析版)_02中考总复习(2026版更新中)_02-数学-中考总复习_2024年中考复习资料_专项复习资料_2024年中考数学几何专项练习_解析版
中考数学几何专项练习:相似模型--旋转“手拉手”模型(解析版)_02中考总复习(2026版更新中)_02-数学-中考总复习_2024年中考复习资料_专项复习资料_2024年中考数学几何专项练习_解析版
中考数学几何专项练习:相似模型--旋转“手拉手”模型(解析版)_02中考总复习(2026版更新中)_02-数学-中考总复习_2024年中考复习资料_专项复习资料_2024年中考数学几何专项练习_解析版
中考数学几何专项练习:相似模型--旋转“手拉手”模型(解析版)_02中考总复习(2026版更新中)_02-数学-中考总复习_2024年中考复习资料_专项复习资料_2024年中考数学几何专项练习_解析版
中考数学几何专项练习:相似模型--旋转“手拉手”模型(解析版)_02中考总复习(2026版更新中)_02-数学-中考总复习_2024年中考复习资料_专项复习资料_2024年中考数学几何专项练习_解析版
中考数学几何专项练习:相似模型--旋转“手拉手”模型(解析版)_02中考总复习(2026版更新中)_02-数学-中考总复习_2024年中考复习资料_专项复习资料_2024年中考数学几何专项练习_解析版
中考数学几何专项练习:相似模型--旋转“手拉手”模型(解析版)_02中考总复习(2026版更新中)_02-数学-中考总复习_2024年中考复习资料_专项复习资料_2024年中考数学几何专项练习_解析版
中考数学几何专项练习:相似模型--旋转“手拉手”模型(解析版)_02中考总复习(2026版更新中)_02-数学-中考总复习_2024年中考复习资料_专项复习资料_2024年中考数学几何专项练习_解析版
中考数学几何专项练习:相似模型--旋转“手拉手”模型(解析版)_02中考总复习(2026版更新中)_02-数学-中考总复习_2024年中考复习资料_专项复习资料_2024年中考数学几何专项练习_解析版
中考数学几何专项练习:相似模型--旋转“手拉手”模型(解析版)_02中考总复习(2026版更新中)_02-数学-中考总复习_2024年中考复习资料_专项复习资料_2024年中考数学几何专项练习_解析版
中考数学几何专项练习:相似模型--旋转“手拉手”模型(解析版)_02中考总复习(2026版更新中)_02-数学-中考总复习_2024年中考复习资料_专项复习资料_2024年中考数学几何专项练习_解析版
中考数学几何专项练习:相似模型--旋转“手拉手”模型(解析版)_02中考总复习(2026版更新中)_02-数学-中考总复习_2024年中考复习资料_专项复习资料_2024年中考数学几何专项练习_解析版
中考数学几何专项练习:相似模型--旋转“手拉手”模型(解析版)_02中考总复习(2026版更新中)_02-数学-中考总复习_2024年中考复习资料_专项复习资料_2024年中考数学几何专项练习_解析版
中考数学几何专项练习:相似模型--旋转“手拉手”模型(解析版)_02中考总复习(2026版更新中)_02-数学-中考总复习_2024年中考复习资料_专项复习资料_2024年中考数学几何专项练习_解析版
中考数学几何专项练习:相似模型--旋转“手拉手”模型(解析版)_02中考总复习(2026版更新中)_02-数学-中考总复习_2024年中考复习资料_专项复习资料_2024年中考数学几何专项练习_解析版
中考数学几何专项练习:相似模型--旋转“手拉手”模型(解析版)_02中考总复习(2026版更新中)_02-数学-中考总复习_2024年中考复习资料_专项复习资料_2024年中考数学几何专项练习_解析版
中考数学几何专项练习:相似模型--旋转“手拉手”模型(解析版)_02中考总复习(2026版更新中)_02-数学-中考总复习_2024年中考复习资料_专项复习资料_2024年中考数学几何专项练习_解析版
中考数学几何专项练习:相似模型--旋转“手拉手”模型(解析版)_02中考总复习(2026版更新中)_02-数学-中考总复习_2024年中考复习资料_专项复习资料_2024年中考数学几何专项练习_解析版
中考数学几何专项练习:相似模型--旋转“手拉手”模型(解析版)_02中考总复习(2026版更新中)_02-数学-中考总复习_2024年中考复习资料_专项复习资料_2024年中考数学几何专项练习_解析版
中考数学几何专项练习:相似模型--旋转“手拉手”模型(解析版)_02中考总复习(2026版更新中)_02-数学-中考总复习_2024年中考复习资料_专项复习资料_2024年中考数学几何专项练习_解析版
中考数学几何专项练习:相似模型--旋转“手拉手”模型(解析版)_02中考总复习(2026版更新中)_02-数学-中考总复习_2024年中考复习资料_专项复习资料_2024年中考数学几何专项练习_解析版
中考数学几何专项练习:相似模型--旋转“手拉手”模型(解析版)_02中考总复习(2026版更新中)_02-数学-中考总复习_2024年中考复习资料_专项复习资料_2024年中考数学几何专项练习_解析版
中考数学几何专项练习:相似模型--旋转“手拉手”模型(解析版)_02中考总复习(2026版更新中)_02-数学-中考总复习_2024年中考复习资料_专项复习资料_2024年中考数学几何专项练习_解析版
中考数学几何专项练习:相似模型--旋转“手拉手”模型(解析版)_02中考总复习(2026版更新中)_02-数学-中考总复习_2024年中考复习资料_专项复习资料_2024年中考数学几何专项练习_解析版
中考数学几何专项练习:相似模型--旋转“手拉手”模型(解析版)_02中考总复习(2026版更新中)_02-数学-中考总复习_2024年中考复习资料_专项复习资料_2024年中考数学几何专项练习_解析版
中考数学几何专项练习:相似模型--旋转“手拉手”模型(解析版)_02中考总复习(2026版更新中)_02-数学-中考总复习_2024年中考复习资料_专项复习资料_2024年中考数学几何专项练习_解析版
中考数学几何专项练习:相似模型--旋转“手拉手”模型(解析版)_02中考总复习(2026版更新中)_02-数学-中考总复习_2024年中考复习资料_专项复习资料_2024年中考数学几何专项练习_解析版
中考数学几何专项练习:相似模型--旋转“手拉手”模型(解析版)_02中考总复习(2026版更新中)_02-数学-中考总复习_2024年中考复习资料_专项复习资料_2024年中考数学几何专项练习_解析版
中考数学几何专项练习:相似模型--旋转“手拉手”模型(解析版)_02中考总复习(2026版更新中)_02-数学-中考总复习_2024年中考复习资料_专项复习资料_2024年中考数学几何专项练习_解析版
中考数学几何专项练习:相似模型--旋转“手拉手”模型(解析版)_02中考总复习(2026版更新中)_02-数学-中考总复习_2024年中考复习资料_专项复习资料_2024年中考数学几何专项练习_解析版
中考数学几何专项练习:相似模型--旋转“手拉手”模型(解析版)_02中考总复习(2026版更新中)_02-数学-中考总复习_2024年中考复习资料_专项复习资料_2024年中考数学几何专项练习_解析版
中考数学几何专项练习:相似模型--旋转“手拉手”模型(解析版)_02中考总复习(2026版更新中)_02-数学-中考总复习_2024年中考复习资料_专项复习资料_2024年中考数学几何专项练习_解析版
中考数学几何专项练习:相似模型--旋转“手拉手”模型(解析版)_02中考总复习(2026版更新中)_02-数学-中考总复习_2024年中考复习资料_专项复习资料_2024年中考数学几何专项练习_解析版
中考数学几何专项练习:相似模型--旋转“手拉手”模型(解析版)_02中考总复习(2026版更新中)_02-数学-中考总复习_2024年中考复习资料_专项复习资料_2024年中考数学几何专项练习_解析版
中考数学几何专项练习:相似模型--旋转“手拉手”模型(解析版)_02中考总复习(2026版更新中)_02-数学-中考总复习_2024年中考复习资料_专项复习资料_2024年中考数学几何专项练习_解析版
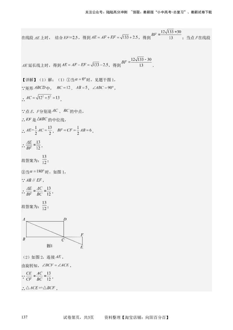
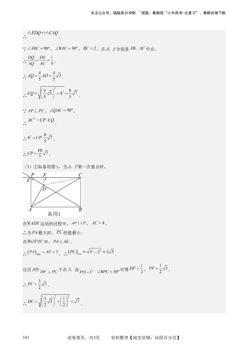
中考数学几何专项练习:相似模型--旋转“手拉手”模型(解析版)_02中考总复习(2026版更新中)_02-数学-中考总复习_2024年中考复习资料_专项复习资料_2024年中考数学几何专项练习_解析版
中考数学几何专项练习:相似模型--旋转“手拉手”模型(解析版)_02中考总复习(2026版更新中)_02-数学-中考总复习_2024年中考复习资料_专项复习资料_2024年中考数学几何专项练习_解析版
中考数学几何专项练习:相似模型--旋转“手拉手”模型(解析版)_02中考总复习(2026版更新中)_02-数学-中考总复习_2024年中考复习资料_专项复习资料_2024年中考数学几何专项练习_解析版
中考数学几何专项练习:相似模型--旋转“手拉手”模型(解析版)_02中考总复习(2026版更新中)_02-数学-中考总复习_2024年中考复习资料_专项复习资料_2024年中考数学几何专项练习_解析版
中考数学几何专项练习:相似模型--旋转“手拉手”模型(解析版)_02中考总复习(2026版更新中)_02-数学-中考总复习_2024年中考复习资料_专项复习资料_2024年中考数学几何专项练习_解析版
中考数学几何专项练习:相似模型--旋转“手拉手”模型(解析版)_02中考总复习(2026版更新中)_02-数学-中考总复习_2024年中考复习资料_专项复习资料_2024年中考数学几何专项练习_解析版
中考数学几何专项练习:相似模型--旋转“手拉手”模型(解析版)_02中考总复习(2026版更新中)_02-数学-中考总复习_2024年中考复习资料_专项复习资料_2024年中考数学几何专项练习_解析版
中考数学几何专项练习:相似模型--旋转“手拉手”模型(解析版)_02中考总复习(2026版更新中)_02-数学-中考总复习_2024年中考复习资料_专项复习资料_2024年中考数学几何专项练习_解析版
中考数学几何专项练习:相似模型--旋转“手拉手”模型(解析版)_02中考总复习(2026版更新中)_02-数学-中考总复习_2024年中考复习资料_专项复习资料_2024年中考数学几何专项练习_解析版
中考数学几何专项练习:相似模型--旋转“手拉手”模型(解析版)_02中考总复习(2026版更新中)_02-数学-中考总复习_2024年中考复习资料_专项复习资料_2024年中考数学几何专项练习_解析版
中考数学几何专项练习:相似模型--旋转“手拉手”模型(解析版)_02中考总复习(2026版更新中)_02-数学-中考总复习_2024年中考复习资料_专项复习资料_2024年中考数学几何专项练习_解析版
中考数学几何专项练习:相似模型--旋转“手拉手”模型(解析版)_02中考总复习(2026版更新中)_02-数学-中考总复习_2024年中考复习资料_专项复习资料_2024年中考数学几何专项练习_解析版
中考数学几何专项练习:相似模型--旋转“手拉手”模型(解析版)_02中考总复习(2026版更新中)_02-数学-中考总复习_2024年中考复习资料_专项复习资料_2024年中考数学几何专项练习_解析版
中考数学几何专项练习:相似模型--旋转“手拉手”模型(解析版)_02中考总复习(2026版更新中)_02-数学-中考总复习_2024年中考复习资料_专项复习资料_2024年中考数学几何专项练习_解析版
中考数学几何专项练习:相似模型--旋转“手拉手”模型(解析版)_02中考总复习(2026版更新中)_02-数学-中考总复习_2024年中考复习资料_专项复习资料_2024年中考数学几何专项练习_解析版
中考数学几何专项练习:相似模型--旋转“手拉手”模型(解析版)_02中考总复习(2026版更新中)_02-数学-中考总复习_2024年中考复习资料_专项复习资料_2024年中考数学几何专项练习_解析版
中考数学几何专项练习:相似模型--旋转“手拉手”模型(解析版)_02中考总复习(2026版更新中)_02-数学-中考总复习_2024年中考复习资料_专项复习资料_2024年中考数学几何专项练习_解析版
中考数学几何专项练习:相似模型--旋转“手拉手”模型(解析版)_02中考总复习(2026版更新中)_02-数学-中考总复习_2024年中考复习资料_专项复习资料_2024年中考数学几何专项练习_解析版
中考数学几何专项练习:相似模型--旋转“手拉手”模型(解析版)_02中考总复习(2026版更新中)_02-数学-中考总复习_2024年中考复习资料_专项复习资料_2024年中考数学几何专项练习_解析版
中考数学几何专项练习:相似模型--旋转“手拉手”模型(解析版)_02中考总复习(2026版更新中)_02-数学-中考总复习_2024年中考复习资料_专项复习资料_2024年中考数学几何专项练习_解析版
中考数学几何专项练习:相似模型--旋转“手拉手”模型(解析版)_02中考总复习(2026版更新中)_02-数学-中考总复习_2024年中考复习资料_专项复习资料_2024年中考数学几何专项练习_解析版
中考数学几何专项练习:相似模型--旋转“手拉手”模型(解析版)_02中考总复习(2026版更新中)_02-数学-中考总复习_2024年中考复习资料_专项复习资料_2024年中考数学几何专项练习_解析版
中考数学几何专项练习:相似模型--旋转“手拉手”模型(解析版)_02中考总复习(2026版更新中)_02-数学-中考总复习_2024年中考复习资料_专项复习资料_2024年中考数学几何专项练习_解析版
中考数学几何专项练习:相似模型--旋转“手拉手”模型(解析版)_02中考总复习(2026版更新中)_02-数学-中考总复习_2024年中考复习资料_专项复习资料_2024年中考数学几何专项练习_解析版
中考数学几何专项练习:相似模型--旋转“手拉手”模型(解析版)_02中考总复习(2026版更新中)_02-数学-中考总复习_2024年中考复习资料_专项复习资料_2024年中考数学几何专项练习_解析版
中考数学几何专项练习:相似模型--旋转“手拉手”模型(解析版)_02中考总复习(2026版更新中)_02-数学-中考总复习_2024年中考复习资料_专项复习资料_2024年中考数学几何专项练习_解析版
中考数学几何专项练习:相似模型--旋转“手拉手”模型(解析版)_02中考总复习(2026版更新中)_02-数学-中考总复习_2024年中考复习资料_专项复习资料_2024年中考数学几何专项练习_解析版
中考数学几何专项练习:相似模型--旋转“手拉手”模型(解析版)_02中考总复习(2026版更新中)_02-数学-中考总复习_2024年中考复习资料_专项复习资料_2024年中考数学几何专项练习_解析版
中考数学几何专项练习:相似模型--旋转“手拉手”模型(解析版)_02中考总复习(2026版更新中)_02-数学-中考总复习_2024年中考复习资料_专项复习资料_2024年中考数学几何专项练习_解析版
中考数学几何专项练习:相似模型--旋转“手拉手”模型(解析版)_02中考总复习(2026版更新中)_02-数学-中考总复习_2024年中考复习资料_专项复习资料_2024年中考数学几何专项练习_解析版
中考数学几何专项练习:相似模型--旋转“手拉手”模型(解析版)_02中考总复习(2026版更新中)_02-数学-中考总复习_2024年中考复习资料_专项复习资料_2024年中考数学几何专项练习_解析版
中考数学几何专项练习:相似模型--旋转“手拉手”模型(解析版)_02中考总复习(2026版更新中)_02-数学-中考总复习_2024年中考复习资料_专项复习资料_2024年中考数学几何专项练习_解析版
中考数学几何专项练习:相似模型--旋转“手拉手”模型(解析版)_02中考总复习(2026版更新中)_02-数学-中考总复习_2024年中考复习资料_专项复习资料_2024年中考数学几何专项练习_解析版
中考数学几何专项练习:相似模型--旋转“手拉手”模型(解析版)_02中考总复习(2026版更新中)_02-数学-中考总复习_2024年中考复习资料_专项复习资料_2024年中考数学几何专项练习_解析版
中考数学几何专项练习:相似模型--旋转“手拉手”模型(解析版)_02中考总复习(2026版更新中)_02-数学-中考总复习_2024年中考复习资料_专项复习资料_2024年中考数学几何专项练习_解析版
中考数学几何专项练习:相似模型--旋转“手拉手”模型(解析版)_02中考总复习(2026版更新中)_02-数学-中考总复习_2024年中考复习资料_专项复习资料_2024年中考数学几何专项练习_解析版
中考数学几何专项练习:相似模型--旋转“手拉手”模型(解析版)_02中考总复习(2026版更新中)_02-数学-中考总复习_2024年中考复习资料_专项复习资料_2024年中考数学几何专项练习_解析版
中考数学几何专项练习:相似模型--旋转“手拉手”模型(解析版)_02中考总复习(2026版更新中)_02-数学-中考总复习_2024年中考复习资料_专项复习资料_2024年中考数学几何专项练习_解析版
中考数学几何专项练习:相似模型--旋转“手拉手”模型(解析版)_02中考总复习(2026版更新中)_02-数学-中考总复习_2024年中考复习资料_专项复习资料_2024年中考数学几何专项练习_解析版
中考数学几何专项练习:相似模型--旋转“手拉手”模型(解析版)_02中考总复习(2026版更新中)_02-数学-中考总复习_2024年中考复习资料_专项复习资料_2024年中考数学几何专项练习_解析版
中考数学几何专项练习:相似模型--旋转“手拉手”模型(解析版)_02中考总复习(2026版更新中)_02-数学-中考总复习_2024年中考复习资料_专项复习资料_2024年中考数学几何专项练习_解析版
中考数学几何专项练习:相似模型--旋转“手拉手”模型(解析版)_02中考总复习(2026版更新中)_02-数学-中考总复习_2024年中考复习资料_专项复习资料_2024年中考数学几何专项练习_解析版
中考数学几何专项练习:相似模型--旋转“手拉手”模型(解析版)_02中考总复习(2026版更新中)_02-数学-中考总复习_2024年中考复习资料_专项复习资料_2024年中考数学几何专项练习_解析版
中考数学几何专项练习:相似模型--旋转“手拉手”模型(解析版)_02中考总复习(2026版更新中)_02-数学-中考总复习_2024年中考复习资料_专项复习资料_2024年中考数学几何专项练习_解析版
中考数学几何专项练习:相似模型--旋转“手拉手”模型(解析版)_02中考总复习(2026版更新中)_02-数学-中考总复习_2024年中考复习资料_专项复习资料_2024年中考数学几何专项练习_解析版
中考数学几何专项练习:相似模型--旋转“手拉手”模型(解析版)_02中考总复习(2026版更新中)_02-数学-中考总复习_2024年中考复习资料_专项复习资料_2024年中考数学几何专项练习_解析版
中考数学几何专项练习:相似模型--旋转“手拉手”模型(解析版)_02中考总复习(2026版更新中)_02-数学-中考总复习_2024年中考复习资料_专项复习资料_2024年中考数学几何专项练习_解析版
中考数学几何专项练习:相似模型--旋转“手拉手”模型(解析版)_02中考总复习(2026版更新中)_02-数学-中考总复习_2024年中考复习资料_专项复习资料_2024年中考数学几何专项练习_解析版
中考数学几何专项练习:相似模型--旋转“手拉手”模型(解析版)_02中考总复习(2026版更新中)_02-数学-中考总复习_2024年中考复习资料_专项复习资料_2024年中考数学几何专项练习_解析版
中考数学几何专项练习:相似模型--旋转“手拉手”模型(解析版)_02中考总复习(2026版更新中)_02-数学-中考总复习_2024年中考复习资料_专项复习资料_2024年中考数学几何专项练习_解析版
中考数学几何专项练习:相似模型--旋转“手拉手”模型(解析版)_02中考总复习(2026版更新中)_02-数学-中考总复习_2024年中考复习资料_专项复习资料_2024年中考数学几何专项练习_解析版
中考数学几何专项练习:相似模型--旋转“手拉手”模型(解析版)_02中考总复习(2026版更新中)_02-数学-中考总复习_2024年中考复习资料_专项复习资料_2024年中考数学几何专项练习_解析版
中考数学几何专项练习:相似模型--旋转“手拉手”模型(解析版)_02中考总复习(2026版更新中)_02-数学-中考总复习_2024年中考复习资料_专项复习资料_2024年中考数学几何专项练习_解析版
中考数学几何专项练习:相似模型--旋转“手拉手”模型(解析版)_02中考总复习(2026版更新中)_02-数学-中考总复习_2024年中考复习资料_专项复习资料_2024年中考数学几何专项练习_解析版
中考数学几何专项练习:相似模型--旋转“手拉手”模型(解析版)_02中考总复习(2026版更新中)_02-数学-中考总复习_2024年中考复习资料_专项复习资料_2024年中考数学几何专项练习_解析版
中考数学几何专项练习:相似模型--旋转“手拉手”模型(解析版)_02中考总复习(2026版更新中)_02-数学-中考总复习_2024年中考复习资料_专项复习资料_2024年中考数学几何专项练习_解析版
中考数学几何专项练习:相似模型--旋转“手拉手”模型(解析版)_02中考总复习(2026版更新中)_02-数学-中考总复习_2024年中考复习资料_专项复习资料_2024年中考数学几何专项练习_解析版
中考数学几何专项练习:相似模型--旋转“手拉手”模型(解析版)_02中考总复习(2026版更新中)_02-数学-中考总复习_2024年中考复习资料_专项复习资料_2024年中考数学几何专项练习_解析版
中考数学几何专项练习:相似模型--旋转“手拉手”模型(解析版)_02中考总复习(2026版更新中)_02-数学-中考总复习_2024年中考复习资料_专项复习资料_2024年中考数学几何专项练习_解析版
中考数学几何专项练习:相似模型--旋转“手拉手”模型(解析版)_02中考总复习(2026版更新中)_02-数学-中考总复习_2024年中考复习资料_专项复习资料_2024年中考数学几何专项练习_解析版
中考数学几何专项练习:相似模型--旋转“手拉手”模型(解析版)_02中考总复习(2026版更新中)_02-数学-中考总复习_2024年中考复习资料_专项复习资料_2024年中考数学几何专项练习_解析版
中考数学几何专项练习:相似模型--旋转“手拉手”模型(解析版)_02中考总复习(2026版更新中)_02-数学-中考总复习_2024年中考复习资料_专项复习资料_2024年中考数学几何专项练习_解析版
中考数学几何专项练习:相似模型--旋转“手拉手”模型(解析版)_02中考总复习(2026版更新中)_02-数学-中考总复习_2024年中考复习资料_专项复习资料_2024年中考数学几何专项练习_解析版
中考数学几何专项练习:相似模型--旋转“手拉手”模型(解析版)_02中考总复习(2026版更新中)_02-数学-中考总复习_2024年中考复习资料_专项复习资料_2024年中考数学几何专项练习_解析版
中考数学几何专项练习:相似模型--旋转“手拉手”模型(解析版)_02中考总复习(2026版更新中)_02-数学-中考总复习_2024年中考复习资料_专项复习资料_2024年中考数学几何专项练习_解析版
中考数学几何专项练习:相似模型--旋转“手拉手”模型(解析版)_02中考总复习(2026版更新中)_02-数学-中考总复习_2024年中考复习资料_专项复习资料_2024年中考数学几何专项练习_解析版
中考数学几何专项练习:相似模型--旋转“手拉手”模型(解析版)_02中考总复习(2026版更新中)_02-数学-中考总复习_2024年中考复习资料_专项复习资料_2024年中考数学几何专项练习_解析版
中考数学几何专项练习:相似模型--旋转“手拉手”模型(解析版)_02中考总复习(2026版更新中)_02-数学-中考总复习_2024年中考复习资料_专项复习资料_2024年中考数学几何专项练习_解析版
中考数学几何专项练习:相似模型--旋转“手拉手”模型(解析版)_02中考总复习(2026版更新中)_02-数学-中考总复习_2024年中考复习资料_专项复习资料_2024年中考数学几何专项练习_解析版
中考数学几何专项练习:相似模型--旋转“手拉手”模型(解析版)_02中考总复习(2026版更新中)_02-数学-中考总复习_2024年中考复习资料_专项复习资料_2024年中考数学几何专项练习_解析版
中考数学几何专项练习:相似模型--旋转“手拉手”模型(解析版)_02中考总复习(2026版更新中)_02-数学-中考总复习_2024年中考复习资料_专项复习资料_2024年中考数学几何专项练习_解析版
中考数学几何专项练习:相似模型--旋转“手拉手”模型(解析版)_02中考总复习(2026版更新中)_02-数学-中考总复习_2024年中考复习资料_专项复习资料_2024年中考数学几何专项练习_解析版
中考数学几何专项练习:相似模型--旋转“手拉手”模型(解析版)_02中考总复习(2026版更新中)_02-数学-中考总复习_2024年中考复习资料_专项复习资料_2024年中考数学几何专项练习_解析版
中考数学几何专项练习:相似模型--旋转“手拉手”模型(解析版)_02中考总复习(2026版更新中)_02-数学-中考总复习_2024年中考复习资料_专项复习资料_2024年中考数学几何专项练习_解析版
中考数学几何专项练习:相似模型--旋转“手拉手”模型(解析版)_02中考总复习(2026版更新中)_02-数学-中考总复习_2024年中考复习资料_专项复习资料_2024年中考数学几何专项练习_解析版
中考数学几何专项练习:相似模型--旋转“手拉手”模型(解析版)_02中考总复习(2026版更新中)_02-数学-中考总复习_2024年中考复习资料_专项复习资料_2024年中考数学几何专项练习_解析版
中考数学几何专项练习:相似模型--旋转“手拉手”模型(解析版)_02中考总复习(2026版更新中)_02-数学-中考总复习_2024年中考复习资料_专项复习资料_2024年中考数学几何专项练习_解析版
中考数学几何专项练习:相似模型--旋转“手拉手”模型(解析版)_02中考总复习(2026版更新中)_02-数学-中考总复习_2024年中考复习资料_专项复习资料_2024年中考数学几何专项练习_解析版
中考数学几何专项练习:相似模型--旋转“手拉手”模型(解析版)_02中考总复习(2026版更新中)_02-数学-中考总复习_2024年中考复习资料_专项复习资料_2024年中考数学几何专项练习_解析版
中考数学几何专项练习:相似模型--旋转“手拉手”模型(解析版)_02中考总复习(2026版更新中)_02-数学-中考总复习_2024年中考复习资料_专项复习资料_2024年中考数学几何专项练习_解析版
中考数学几何专项练习:相似模型--旋转“手拉手”模型(解析版)_02中考总复习(2026版更新中)_02-数学-中考总复习_2024年中考复习资料_专项复习资料_2024年中考数学几何专项练习_解析版
中考数学几何专项练习:相似模型--旋转“手拉手”模型(解析版)_02中考总复习(2026版更新中)_02-数学-中考总复习_2024年中考复习资料_专项复习资料_2024年中考数学几何专项练习_解析版
中考数学几何专项练习:相似模型--旋转“手拉手”模型(解析版)_02中考总复习(2026版更新中)_02-数学-中考总复习_2024年中考复习资料_专项复习资料_2024年中考数学几何专项练习_解析版
中考数学几何专项练习:相似模型--旋转“手拉手”模型(解析版)_02中考总复习(2026版更新中)_02-数学-中考总复习_2024年中考复习资料_专项复习资料_2024年中考数学几何专项练习_解析版
中考数学几何专项练习:相似模型--旋转“手拉手”模型(解析版)_02中考总复习(2026版更新中)_02-数学-中考总复习_2024年中考复习资料_专项复习资料_2024年中考数学几何专项练习_解析版
中考数学几何专项练习:相似模型--旋转“手拉手”模型(解析版)_02中考总复习(2026版更新中)_02-数学-中考总复习_2024年中考复习资料_专项复习资料_2024年中考数学几何专项练习_解析版
中考数学几何专项练习:相似模型--旋转“手拉手”模型(解析版)_02中考总复习(2026版更新中)_02-数学-中考总复习_2024年中考复习资料_专项复习资料_2024年中考数学几何专项练习_解析版
中考数学几何专项练习:相似模型--旋转“手拉手”模型(解析版)_02中考总复习(2026版更新中)_02-数学-中考总复习_2024年中考复习资料_专项复习资料_2024年中考数学几何专项练习_解析版
中考数学几何专项练习:相似模型--旋转“手拉手”模型(解析版)_02中考总复习(2026版更新中)_02-数学-中考总复习_2024年中考复习资料_专项复习资料_2024年中考数学几何专项练习_解析版
中考数学几何专项练习:相似模型--旋转“手拉手”模型(解析版)_02中考总复习(2026版更新中)_02-数学-中考总复习_2024年中考复习资料_专项复习资料_2024年中考数学几何专项练习_解析版
中考数学几何专项练习:相似模型--旋转“手拉手”模型(解析版)_02中考总复习(2026版更新中)_02-数学-中考总复习_2024年中考复习资料_专项复习资料_2024年中考数学几何专项练习_解析版
中考数学几何专项练习:相似模型--旋转“手拉手”模型(解析版)_02中考总复习(2026版更新中)_02-数学-中考总复习_2024年中考复习资料_专项复习资料_2024年中考数学几何专项练习_解析版
中考数学几何专项练习:相似模型--旋转“手拉手”模型(解析版)_02中考总复习(2026版更新中)_02-数学-中考总复习_2024年中考复习资料_专项复习资料_2024年中考数学几何专项练习_解析版
中考数学几何专项练习:相似模型--旋转“手拉手”模型(解析版)_02中考总复习(2026版更新中)_02-数学-中考总复习_2024年中考复习资料_专项复习资料_2024年中考数学几何专项练习_解析版
中考数学几何专项练习:相似模型--旋转“手拉手”模型(解析版)_02中考总复习(2026版更新中)_02-数学-中考总复习_2024年中考复习资料_专项复习资料_2024年中考数学几何专项练习_解析版
中考数学几何专项练习:相似模型--旋转“手拉手”模型(解析版)_02中考总复习(2026版更新中)_02-数学-中考总复习_2024年中考复习资料_专项复习资料_2024年中考数学几何专项练习_解析版

文档信息

文档格式
docx
文档大小
9.088 MB
文档页数
142 页
上传时间
2026-04-07 01:33:14

文档内容

关注公众号:陆陆高分冲刺 ~领取:最新版“小中高考-总复习”、最新试卷下载 中考数学几何专项练习: 相似模型--旋转“手拉手”模型(基础+培优) 一、单选题 1.如图,在 中, ,以 , 为边分别向外作正方形 和正方形 , 交 于点 , 交 于点 .若 ,则 ( ) A. B. C. D. 【答案】D 【分析】设 , ,由“ ”可证 ,可得 , ,利 用勾股定理分别求出 , 的长,即可求解. 【详解】解:如图,过点 作 ,交 的延长线于点 ,交 的延长线于点 , , , , 设 , , , , , 1 试卷第页,共3页 资料整理【淘宝店铺:向阳百分百】 学科网(北京)股份有限公司关注公众号:陆陆高分冲刺 ~领取:最新版“小中高考-总复习”、最新试卷下载 , , , , 在 和 中, , , , , , . 故选:D. 【点睛】本题考查了相似三角形的判定和性质,正方形的性质,全等三角形的判定和性质,添加恰当辅助 线构造相似三角形是解题的关键. 2.如图, 与 中, , , , 交 于D,给出下列结论:① ;② ;③ ;④ .其中正确的结论有( )个 A.4 B.3 C.2 D.1 【答案】C 【分析】通过证明 ,可判断①;根据 , ,得出 , 即可判断②;根据 ,得出 ,则 ,即可判断③;根据 , 得出 ,进而得出 ,即可判断④. 【详解】解:∵ , , , ∴ , ∴ ,故①不正确; 2 试卷第页,共3页 资料整理【淘宝店铺:向阳百分百】 学科网(北京)股份有限公司关注公众号:陆陆高分冲刺 ~领取:最新版“小中高考-总复习”、最新试卷下载 ∵ , , ∴ ,故②正确; ∵ , ∴ , ∴ , ∵ , ∴ ,故③正确; ∵ , ∴ , ∵ , ∴ ,故④不正确, 综上:正确的有②③,共2个, 故选:C. 【点睛】本题主要考查了全等三角形的判定和性质,相似三角形的判定,解题的关键是掌握相关性质定理, 并熟练运用. 3.如图,已知 ,添加一个条件后,仍不能判定 与 相似的是( ) A. B. C. D. 【答案】C 【分析】根据相似三角形的判定逐项分析即可得到答案. 【详解】解: , ,即 , A、 , , 故此选项不符合题意; B、 , , 故此选项不符合题意; 3 试卷第页,共3页 资料整理【淘宝店铺:向阳百分百】 学科网(北京)股份有限公司关注公众号:陆陆高分冲刺 ~领取:最新版“小中高考-总复习”、最新试卷下载 C、由 , 不能得到 , 故此选项符合题意; D、 , , 故此选项不符合题意; 故选:C. 【点睛】本题考查了相似三角形的判定,如果两个三角形的三组对应边的比相等,那么这两个三角形相似; 如果两个三角形的两条对应边的比相等,且夹角相等,那么这两个三角形相似;如果两个三角形的两个角 对应角相等,那么这两个三角形相似. 4.如图,在矩形 中, , ,将矩形 绕着点A逆时针旋转45°,得矩形 , 其中 交 于点E,延长 交 于点F,连接 , , ,则 的值为( ) A. B. C. D. 【答案】A 【分析】根据矩形的性质可得 ,根据旋转的性质可得 , ,根据等腰直角三角形的判定和性质可得 , ,根 据相似三角形的判定和性质可得 ,求得 , , , 根据全等三角形的判定和性质可得 ,根据勾股定理可得 ,即可求得. 【详解】∵四边形 是矩形, , , ∴ , 4 试卷第页,共3页 资料整理【淘宝店铺:向阳百分百】 学科网(北京)股份有限公司关注公众号:陆陆高分冲刺 ~领取:最新版“小中高考-总复习”、最新试卷下载 ∵矩形 绕着点A逆时针旋转45°,得矩形 , ∴ , ∵ , ∴ ∴ 为等腰直角三角形 ∴ 同理 为等腰直角三角形 ∴ ∴ ∴ 又∵ , , , ∴ ∴ ∴ , ∴ ∴ 在 中, ∴ 故 故选:A. 【点睛】本题考查了矩形的性质,旋转的性质,等腰直角三角形的判定和性质,全等三角形的判定和性质, 相似三角形的判定和性质,勾股定理,熟练掌握以上判定和性质是解题的关键. 二、填空题 5.如图,已知 和 有公共顶点 ,且 , , ,则 度. 5 试卷第页,共3页 资料整理【淘宝店铺:向阳百分百】 学科网(北京)股份有限公司关注公众号:陆陆高分冲刺 ~领取:最新版“小中高考-总复习”、最新试卷下载 【答案】 【分析】根据等腰三角形的性质及三角形内角和求出 ,根据题意证明 ,得到 ,得到 ,从而证明 ,进而得到 . 【详解】解: , , , , , , , ,即 , ,且 , , , 故答案为: . 【点睛】本题考查了等腰三角形的判定与性质,相似三角形的判定与性质,三角形内角和定理,结合图形 找到相似三角形并证明是解答本题的关键. 6.如图,Rt△ABC,∠ACB=90°,AC=BC=3,以C为顶点的正方形CDEF(C、D、E、F四个顶点按逆时针 方向排列)可以绕点C自由转动,且CD=2,连接AF,BD,在正方形CDEF旋转过程中,BD+ AD的最小值 为 . 6 试卷第页,共3页 资料整理【淘宝店铺:向阳百分百】 学科网(北京)股份有限公司关注公众号:陆陆高分冲刺 ~领取:最新版“小中高考-总复习”、最新试卷下载 【答案】 / 【分析】在AC上截取一点M,使得CM= .利用相似三角形的性质证明DM= AD,推出BD+ AD=BD+DM,推 出当B,D,M共线时,BD+ AD的值最小,即可解决问题; 【详解】解:如图,在AC上截取一点M,使得CM= .连接DM,BM. ∵CD=2,CM= ,CA=3, ∴CD2=CM•CA, ∴ , ∵∠DCM=∠ACD, ∴△DCM∽△ACD, ∴ , ∴DM= AD, ∴BD+ AD=BD+DM, 7 试卷第页,共3页 资料整理【淘宝店铺:向阳百分百】 学科网(北京)股份有限公司关注公众号:陆陆高分冲刺 ~领取:最新版“小中高考-总复习”、最新试卷下载 ∴当B,D,M共线时,BD+ AD的值最小, ∴最小值= . 故答案为: . 【点睛】本题考查正方形的性质、相似三角形的判定和性质、两点之间线段最短、勾股定理等知识,解题 的关键是学会由转化的思想思考问题. 7.如图,在 和 中, ,E为 的中点, 将 绕点O旋转,直线 , 交于点F,连接 ,则 的最小值是 . 【答案】 【分析】取 的中点 ,连接 ,则 ,当 三点共线时, 最小,证明 ,进而推出 ,进而得到 ,根据三角形中位线定理以及斜边上的中 线等于斜边的一半,求出 ,进而求出 的最小值. 【详解】解:取 的中点 ,连接 , 8 试卷第页,共3页 资料整理【淘宝店铺:向阳百分百】 学科网(北京)股份有限公司关注公众号:陆陆高分冲刺 ~领取:最新版“小中高考-总复习”、最新试卷下载 则 , ∴当 三点共线时, 最小, ∵ , ∴ , ∴ , ∴ , ∵ , ∴ , ∴ , ∴ , ∵ , ∴ , ∴ , ∴ , ∵ , ∴ , ∵ 是 的中点, 为 的中点, ∴ , ∴ 的最小值为: ; 故答案为: . 【点睛】本题考查相似三角形的判定和性质,中位线定理,斜边上的中线.熟练掌握相似三角形的判定方 法,证明三角形相似,是解题的关键. 三、解答题 8.若 绕点 逆时针旋转 后,与 构成位似图形,则我们称 与 互为“旋转位似图 形”. 9 试卷第页,共3页 资料整理【淘宝店铺:向阳百分百】 学科网(北京)股份有限公司关注公众号:陆陆高分冲刺 ~领取:最新版“小中高考-总复习”、最新试卷下载 (1)知识理解: 如图①, 与 互为“旋转位似图形”. ①若 , , ,则 ; ②若 , , ,则 ; (2)知识运用: 如图②,在四边形 中, , 于点 , ,求证: 与 互为“旋转位似图形”; (3)拓展提高: 如图③, 为等边三角形,点 为 的中点,点 是 边上的一点,点 为 延长线上的一点, 点 在线段 上, ,且 与 互为“旋转位似图形”.若 , ,求 . 【答案】(1)①27°;② (2)见解析 (3) 【分析】(1)①依据 和 互为“旋转位似图形”,可得 ,依据相似三角形的 对应角相等,即可得到 ; ②依据 ,可得 ,根据 , , ,即可得出 ; (2)依据 ,即可得到 ,进而得到 ,再根据 , ,即可得到 ,进而得出 和 互为“旋转位似图形”; (3)利用直角三角形的性质和勾股定理解答即可. 【详解】(1)① 和 互为“旋转位似图形”, 10 试卷第页,共3页 资料整理【淘宝店铺:向阳百分百】 学科网(北京)股份有限公司关注公众号:陆陆高分冲刺 ~领取:最新版“小中高考-总复习”、最新试卷下载 , , 又 , , ; ② , , , , , , , 故答案为: ; ; (2) , , , ,即 , 又 , , , 又 , , , , , 绕点 逆时针旋转 的度数后与 构成位似图形, 和 互为“旋转位似图形”; (3) 点 为 的中点, , 由题意得: , , , 11 试卷第页,共3页 资料整理【淘宝店铺:向阳百分百】 学科网(北京)股份有限公司关注公众号:陆陆高分冲刺 ~领取:最新版“小中高考-总复习”、最新试卷下载 , , 由勾股定理可得 , , . 【点睛】本题是相似形综合题,主要考查了相似三角形的判定及性质,等腰直角三角形的判定及性质,勾 股定理的综合运用.在解答时添加辅助线等腰直角三角形,利用相似形的对应边成比例是关键. 9.某校数学活动小组在一次活动中,对一个数学问题作如下探究: (1)问题发现:如图1,在等边 中,点P是边 上任意一点,连接 ,以 为边作等边 , 连接 .求证: . (2)变式探究:如图2,在等腰 中, ,点P是边 上任意一点,以 为腰作等腰 , 使 , ,连接 .判断 和 的数量关系,并说明理由; (3)解决问题:如图3,在正方形 中,点P是边 上一点,以 为边作正方形 ,Q是正方形 的中心,连接 .若正方形 的边长为12, ,求正方形 的边长. 【答案】(1)证明见解答过程 (2) 和 的数量关系为: ;理由见解答过程 (3) 【分析】(1)证明 ,即可得到结论; 12 试卷第页,共3页 资料整理【淘宝店铺:向阳百分百】 学科网(北京)股份有限公司关注公众号:陆陆高分冲刺 ~领取:最新版“小中高考-总复习”、最新试卷下载 (2)证明 ,则 ,由 得到 ,则 ,即可证明结论; (3)连接 ,证明 ,得到 ,求出 ,设 ,则 ,在 中, ,则 ,求出 , 即可得到答案. 【详解】(1)证明:∵ 与 都是等边三角形, ∴ , ∴ , ∴ , 在 和 中, , ∴ , ∴ ; (2)解: 和 的数量关系为: ; 理由如下: 在等腰 中, , ∴ , 在等腰 中, , ∴ , ∵ , ∴ , 13 试卷第页,共3页 资料整理【淘宝店铺:向阳百分百】 学科网(北京)股份有限公司关注公众号:陆陆高分冲刺 ~领取:最新版“小中高考-总复习”、最新试卷下载 ∴ , ∴ , ∵ , ∴ , ∴ , ∴ ; (3)解:连接 ,如图3所示: ∵四边形 是正方形, ∴ , , ∵Q是正方形 的中心, ∴ , , ∴ , ∴ , ∵ , ∴ , ∴ , ∵ , 14 试卷第页,共3页 资料整理【淘宝店铺:向阳百分百】 学科网(北京)股份有限公司关注公众号:陆陆高分冲刺 ~领取:最新版“小中高考-总复习”、最新试卷下载 ∴ , 设 ,则 , 在 中, , 即 , 解得: , ∵ , ∴ , ∴正方形 的边长 . 【点睛】此题考查了相似三角形的判定和性质、全等三角形的判定和性质、正方形的性质、等腰三角形的 性质、等边三角形的性质等知识,熟练掌握相似三角形的判定和性质、全等三角形的判定和性质是解题的 关键. 10.如图1, 中, , , ,将 绕点 顺时针旋转得到 ,其 中 是点 的对应点,且 ,连接 , . (1)求证: ; (2)如图2,当点 在线段 上时,求 的面积; 【答案】(1)见详解 (2) 【分析】(1)可证 ,从而可证 ,可得 ,可求 ,即可得证; 15 试卷第页,共3页 资料整理【淘宝店铺:向阳百分百】 学科网(北京)股份有限公司关注公众号:陆陆高分冲刺 ~领取:最新版“小中高考-总复习”、最新试卷下载 (2)过 作 交 于 ,可求 ,可证 ,可得 ,可求 ,即可求解. 【详解】(1)证明: 将 绕点 顺时针旋转得到 , , , , , , , , , 在 中: , , . (2)解:如图,过 作 交 于 , 由旋转得: , , , , 16 试卷第页,共3页 资料整理【淘宝店铺:向阳百分百】 学科网(北京)股份有限公司关注公众号:陆陆高分冲刺 ~领取:最新版“小中高考-总复习”、最新试卷下载 , , 由(1)同理可证 , , , , , , 在 中: , , , , , . 【点睛】本题考查了旋转的性质,相似三角形的判定及性质,勾股定理,面积转化,掌握性质及判定方法 是解题的关键. 11.(1)问题发现,如图1,在 中, ,点 是边 上一动点(不与点 重 合), ,连接 . 17 试卷第页,共3页 资料整理【淘宝店铺:向阳百分百】 学科网(北京)股份有限公司关注公众号:陆陆高分冲刺 ~领取:最新版“小中高考-总复习”、最新试卷下载 (1)①求 的值; ②求 的度数. (2)拓展探究,如图2,在 中, .点 是边 上一动点(不与点 重合), ,连接 ,请判断 与 的数量关系以及 与 之间的数量关系,并 说明理由. 【答案】(1)①1;② (2) , ,理由见解析 【分析】(1)根据已知条件推出 ,根据全等三角形的性质得到 , ,于是得到 ; (2)根据已知条件得到 ,由相似三角形的性质得到 ,得到 ,根 据相似三角形的性质得到结论; 【详解】(1) , , , , , , , , 在 与 中, , 18 试卷第页,共3页 资料整理【淘宝店铺:向阳百分百】 学科网(北京)股份有限公司关注公众号:陆陆高分冲刺 ~领取:最新版“小中高考-总复习”、最新试卷下载 , , , , 故答案为:1, ; (2) , ; 理由是: , , , , , , , , . 【点睛】本题考查了等腰直角三角形的性质,全等三角形的判定和性质,相似三角形的判定和性质,勾股 定理,熟练掌握相似三角形的判定和性质是解题的关键. 12.如图,点A在线段 上,在 的同侧作等腰 和等腰 , 与 、 分别交于 点P、M.求证: (1) ; (2) . 【答案】(1)证明见解析 (2)证明见解析 【分析】(1)由题意可得 , , ,即可证 ; 19 试卷第页,共3页 资料整理【淘宝店铺:向阳百分百】 学科网(北京)股份有限公司关注公众号:陆陆高分冲刺 ~领取:最新版“小中高考-总复习”、最新试卷下载 (2)由 可得 ,即可证 ,可得 . 【详解】(1)证明:∵等腰 和等腰 , ∴ , , , ∴ , , , ∴ , ∴ , (2)∵ , ∴ ,且 , ∴ , ∴ , ∴ . 【点睛】本题考查了相似三角形的判定和性质,等腰直角三角形性质,勾股定理的应用,熟练运用相似三 角形的判定是本题的关键. 13.(1)如图①在 内, , ,D是 内一点,将 绕点B顺时针旋 转,点C恰好与点A重合.D旋转到点E,连接 、 ,判断 与 的位置关系,并说明理由. (2)在(1)的条件下,如图②,当 ,延长 交 于点F,若 , 时,求 的长. (3)如图③,在 和 中, , ,连接 、 填 空: ①线段 与 的数量关系是______________; ②当 时,点E到 的距离 的长为2,则线段 的长为__________. 【答案】(1) ,理由见解析(2) ;(3)① ;② 【分析】(1)由旋转的性质得到 ,进一步证明 即可证明 20 试卷第页,共3页 资料整理【淘宝店铺:向阳百分百】 学科网(北京)股份有限公司关注公众号:陆陆高分冲刺 ~领取:最新版“小中高考-总复习”、最新试卷下载 ; (2)要求 的长,根据矩形的判定定理可得四边形 是矩形,则 ,在 中根据 勾股定理可求得 的长,根据 , , 即可求解; (3)①要求线段 与 的数量关系,根据两边对应成比例且夹角相等可得 ,再根据相 似三角形的性质即可求解;②要求线段 的长,在 中求出 的长,再根据 即可求 解. 【详解】解:(1) ,理由如下: 由旋转的性质可得 ∵ , ∴ , ∴ . (2)解:设 与 交于点 , 由旋转的性质可知 , , ∵ , ∴ ,即 . ∵ , ∴ . ∴ , ∴四边形 是矩形, ∴ , ∵在 中, , , , ∴ , ∴ ; (3)①∵ , , 21 试卷第页,共3页 资料整理【淘宝店铺:向阳百分百】 学科网(北京)股份有限公司关注公众号:陆陆高分冲刺 ~领取:最新版“小中高考-总复习”、最新试卷下载 ∴ , , ∴ . ∵ , ∴ , ∴ , ∴ , ∴ , 故答案为: . ②∵在 中, , , , ∴ , ∴ , ∵ , ∴ . 【点睛】本题主要考查了相似三角形的性质与判定,勾股定理,矩形的性质与判定,旋转的性质,含30度 角的直角三角形的性质等等,灵活运用所学知识是解题的关键. 14.在 中, , .点 是平面内不与点 , 重合的任意一点,连接 ,将线段 绕点 逆时针旋转 得到线段 ,连接 , , . 22 试卷第页,共3页 资料整理【淘宝店铺:向阳百分百】 学科网(北京)股份有限公司关注公众号:陆陆高分冲刺 ~领取:最新版“小中高考-总复习”、最新试卷下载 (1)【猜想观察】如图①,若 , 交 于点 ,则 的值是______,直线 与直线 相交 所成的较小角的度数是______; (2)【类比探究】如图②,若 , 与 , 分别相交于点 , ,求 的值及 的度 数; (3)【解决问题】如图③,当 时,若 , , 三点在同一直线上,且 , 交 于点 , ,求 的长. 【答案】(1) , (2) ; (3) 【分析】(1)延长 交 于 ,根据 证 ,即可得出 ,然后根据角相等得出 即可; (2)先证 ,根据线段比例关系得出 的值,然后根据角的等量代换得出 ,即可, (3)设 ,则 ,证 ,根据比例关系得出方程求解即可. 【详解】(1)解:延长 交 于 , , 23 试卷第页,共3页 资料整理【淘宝店铺:向阳百分百】 学科网(北京)股份有限公司关注公众号:陆陆高分冲刺 ~领取:最新版“小中高考-总复习”、最新试卷下载 , , , , 即 , 在 和 中, , , , 在 和 中, 且 , , 故答案为: , ; (2) 线段 绕 点逆时针旋转 得到线段 , 是等腰直角三角形, , , , , , 又 , 即 , , 24 试卷第页,共3页 资料整理【淘宝店铺:向阳百分百】 学科网(北京)股份有限公司关注公众号:陆陆高分冲刺 ~领取:最新版“小中高考-总复习”、最新试卷下载 , , ; (3)设 ,则 , , , , , , , 又 , , 即 , 解得 或 (舍去), . 【点睛】本题考查了全等三角形的性质与判定,相似三角形的性质与判定,旋转的性质,熟练掌握相似三 角形的性质与判定是解题的关键. 15.已知 和 都是等腰三角形, , . (1)当 时, 25 试卷第页,共3页 资料整理【淘宝店铺:向阳百分百】 学科网(北京)股份有限公司关注公众号:陆陆高分冲刺 ~领取:最新版“小中高考-总复习”、最新试卷下载 ①如图1,当点 在边 上时,请直接写出 和 的数量关系: ; ②如图2,当点 不在边 上时,判断线段 和 的数量关系,并说明理由; (2)如图3,当 时,请直接写出 和 的数量关系: ; (3)在(1)的条件下,将 绕点 逆时针旋转 ,当 时,请直接写出 的长 度. 【答案】(1)① ;② ,见解析 (2) (3) 或 【分析】(1)①根据题意可得 , ,进而得出答案; ②运用“ ”证明 即可得出结论; (2)证明 即可得出结论; (3)分两种情况进行讨论即可:①点D在 的上方;②点D在 的下方;进行讨论求解即可. 【详解】(1)解:①∵ 和 都是等边三角形, ∴ , , ∴ . 故答案为: ; ② . 理由如下: ∵ 和 都是等边三角形, ∴ , , ∵ , ∴ , 在 和 中, , ∴ , ∴ ; 26 试卷第页,共3页 资料整理【淘宝店铺:向阳百分百】 学科网(北京)股份有限公司关注公众号:陆陆高分冲刺 ~领取:最新版“小中高考-总复习”、最新试卷下载 (2) , 在等腰直角三角形 中: , 在等腰直角三角形 中: , , ∴ , , ∴ , ∴ , ∴ , ∴ ; (3)分两种情况讨论:①如图(1),点D在 的上方, 延长 交 于点H, ∵ , , ∴ 为 的中垂线, ∴ , ∴ , , ∴ , 由(1)可知 ; ②如图(2),点D在 的下方. 27 试卷第页,共3页 资料整理【淘宝店铺:向阳百分百】 学科网(北京)股份有限公司关注公众号:陆陆高分冲刺 ~领取:最新版“小中高考-总复习”、最新试卷下载 同理可得 , ∴ . 综上所述,AD的长为 或 . 【点睛】本题考查了等边三角形的判定与性质,全等三角形的判定与性质,相似三角形的判定与性质,熟 练掌握手拉手模型是解本题的关键. 16.某校数学兴趣小组在一次学习活动中,对一些特殊几何图形具有的性质进行了如下探究: (1)发现问题∶如图1,在等腰 中, ,点M是边 上任意一点,连接 ,以 为腰作 等腰 ,使 , ,连接 ,求证: . (2)类比探究:如图2,在等腰 中, , , ,点M是边 上任意一点,以 为腰作等腰 ,使 , ,在点M运动过程中, 是否存在最小值?若存在, 求出最小值,若不存在,请说明理由. (3)拓展应用:如图3,在正方形 中,点E是边 上一点,以 为边作正方形 ,M是正方形 的中心,连接 ,若正方形 的边长为12, ,求 的面积. 【答案】(1)详见解析 (2) 存在最小值,5 28 试卷第页,共3页 资料整理【淘宝店铺:向阳百分百】 学科网(北京)股份有限公司关注公众号:陆陆高分冲刺 ~领取:最新版“小中高考-总复习”、最新试卷下载 (3) 【分析】(1)由 ,推证 进而证得 ,从而 . (2)连接 ,易证 ,得 ,再证 ,从而 , 得 ,确定点N的运动路径,即N在 的边 上运动,由垂线段最短及直角三角 形性质知 时, 最小, 的最小值= =5; (3)连接 ,过点M作 于点P,如图,由正方形性质可证得 , ,所以 ,于是 , ;设 由勾股定理 求得 ,在 中, ,进一步求得三角形面积. 【详解】(1)解:∵ ∴ ∴ ∵ . ∴ . ∴ . (2) 存在最小值. 理由:连接 ,在等腰 与等腰 中 ∴ 29 试卷第页,共3页 资料整理【淘宝店铺:向阳百分百】 学科网(北京)股份有限公司关注公众号:陆陆高分冲刺 ~领取:最新版“小中高考-总复习”、最新试卷下载 ∴ ∴ ∵ ∴ ∴ ∴ ∴点N在 的边 上运动, ∴当 时, 最小, 的最小值= =5 (3)连接 ,过点M作 于点P如图, ∵M为正方形 的中心, ∴ . ∵四边形 为正方形 ∴ . ∴ . ∴ ∵ ∴ ∴ , 设 30 试卷第页,共3页 资料整理【淘宝店铺:向阳百分百】 学科网(北京)股份有限公司关注公众号:陆陆高分冲刺 ~领取:最新版“小中高考-总复习”、最新试卷下载 ∵ 由勾股定理得: 解得: , (舍去) ∴ 在 中, , ∴ 【点睛】本题考查全等三角形的判定和性质、相似三角形的判定和性质、垂线段最短、正方形性质、直角 三角形的性质、勾股定理等;能够灵活根据题设条件求证三角形相似,进而得到线段、角的数量关系是解 题的关键. 17.数学课上,李老师提出了一个问题:在矩形 中, , ,在 边上取一点M使 ,将 绕点A顺时针旋转 度到 ,以 为边作矩形 (如图1所示), ,连接 、 交于点N. (1)求证: .小明经过思考后,很快得到了解题思路:先用“两边对应成比例且夹角相等”证明 ,然后根据“直角三角形两锐角互余”可证明 ,从而得到 .请 你按照他的思路完成证明过程. (2)连接 ,当旋转角 时(如图2),求 的值. (3)连接 (如图3),当 时,小明发现 是一个定值,请求出这个值. 【答案】(1)见解析 (2) ; (3) 是一个定值,定值为325. 31 试卷第页,共3页 资料整理【淘宝店铺:向阳百分百】 学科网(北京)股份有限公司关注公众号:陆陆高分冲刺 ~领取:最新版“小中高考-总复习”、最新试卷下载 【分析】(1)利用“两边对应成比例且夹角相等”证明 ,推出 ,再利用“直 角三角形两锐角互余”可证明 ,即可证明; (2)分别过点B、D作直线 的垂线,垂足分别为Q、P,利用含30度角的直角三角形的性质有勾股定理 求得 、 的长,根据三角形的面积公式求解即可; (3)由(1)得 ,利用勾股定理推出 等于 ,据此即可求解. 【详解】(1)证明:∵四边形 和 都是矩形, ∴ , ∴ , ∵ , , ∴ , ∴ ; ∴ , ∵ , ∴ , ∴ ; (2)解:分别过点B、D作直线 的垂线,垂足分别为Q、P, ∵ , ∴ , ∴ , 32 试卷第页,共3页 资料整理【淘宝店铺:向阳百分百】 学科网(北京)股份有限公司关注公众号:陆陆高分冲刺 ~领取:最新版“小中高考-总复习”、最新试卷下载 ∵ , , ∴ , , ∴ , ∴ ; (3)解:连接 , ∵ , , , , ∴ , , 由(1)得 , ∴ , ∴ 是一个定值,定值为325. 【点睛】本题考查矩形中的旋转变换,涉及三角形相似的判定与性质,含30度角的直角三角形的性质有勾 股定理等知识,解题的关键是作辅助线,构造直角三角形求解. 18.在数学活动课上,老师让同学们以“三角形纸片的折叠、旋转”为主题开展数学活动,探究与角的度 数、线段长度有关的问题.对直角三角形纸片 进行如下操作: 33 试卷第页,共3页 资料整理【淘宝店铺:向阳百分百】 学科网(北京)股份有限公司关注公众号:陆陆高分冲刺 ~领取:最新版“小中高考-总复习”、最新试卷下载 【初步探究】如图1,折叠三角形纸片 ,使点C与点A重合,得到折痕 ,然后展开铺平,则 与 位置关系为_______, 与 的数量关系为_______; 【再次探究】如图2,将 绕点C顺时针旋转得到 ,连接 ,若 ,求 的值; 【拓展提升】在(2)的条件下,在顺时针旋转一周的过程中,当 时,求 的长. 【答案】(1) ;(2) ;(3) 或 【分析】(1)先由折叠的性质得到 ,进而证明 ,进一步证明 , 即可得到 ; (2)由勾股定理得 ,由旋转的性质可得 , ,则 ,证明 ,即可得到 ; (3)分如图3-1和图3-2两种情况讨论求解即可. 【详解】解:(1)∵折叠三角形纸片 ,使点C与点A重合,得到折痕 , ∴点A与点C关于 对称, ∴ , ∴ , ∴ , ∴ , ∴ , ∴ , 34 试卷第页,共3页 资料整理【淘宝店铺:向阳百分百】 学科网(北京)股份有限公司关注公众号:陆陆高分冲刺 ~领取:最新版“小中高考-总复习”、最新试卷下载 故答案为: ; (2)在 中,由勾股定理得 , 由(1)可得 , ∴ , 由旋转的性质可得 , , ∴ , ∵ , ∴ , ∴ ; (3)如图3-1所示,当 时,延长 交 于T, ∵ , ∴ , 又∵ , ∴四边形 是矩形, ∴ , , , ∴ , 在 中,由勾股定理得: ; 如图3-2所示,当 时,过点M作 于H, ∵ , ∴ , 35 试卷第页,共3页 资料整理【淘宝店铺:向阳百分百】 学科网(北京)股份有限公司关注公众号:陆陆高分冲刺 ~领取:最新版“小中高考-总复习”、最新试卷下载 又∵ , ∴四边形 是矩形, ∴ , ∴ , 在 中,由勾股定理得: , 综上所述, 的长为 或 . 【点睛】本题主要考查了相似三角形的性质与判定,矩形的性质与判定,旋转的性质,勾股定理等等,灵 活运用所学知识是解题的关键. 19.如图,在 中, , ,点D在射线 上,连接 ,将 绕点D逆时针旋转 ,得到线段 ,连接 . (1)当点D落在线段 上时, ①如图1,当 时,请直接写出线段 与线段 的数量关系是______, ______°; ②如图2,当 时,请判断线段 与 的数量关系,并给出证明; 36 试卷第页,共3页 资料整理【淘宝店铺:向阳百分百】 学科网(北京)股份有限公司关注公众号:陆陆高分冲刺 ~领取:最新版“小中高考-总复习”、最新试卷下载 (2)当 时,过点A作 交 于点N,若 ,猜想 与 的数量关系并说明理由. 【答案】(1)① , ;② ,理由见解析 (2) ,理由见解析 【分析】(1)①首先根据题意证明 和 是等边三角形,然后证明出 ,最后 利用全等三角形的性质求解即可; ②首先证明出 和 是等腰直角三角形,然后证明出 ,根据相似三角形的性质求 解即可; (2)设 ,则 , ,然后根据勾股定理求出 ,然后利用等面积法求出 ,进而求解即可. 【详解】(1)①∵将 绕点D逆时针旋转 , ∴ , ∵ , ∴ , ∴ 是等边三角形, ∴ , , ∵ , , ∴ 是等边三角形, ∴ , , ∴ , ∴ , ∴在 和 中, , ∴ , 37 试卷第页,共3页 资料整理【淘宝店铺:向阳百分百】 学科网(北京)股份有限公司关注公众号:陆陆高分冲刺 ~领取:最新版“小中高考-总复习”、最新试卷下载 ∴ , , ∴ , 故答案为: , ; ②∵ , ∴ , ∵ , ∴ 和 是等腰直角三角形, ∴ , ∴ , ∴ , ∵ , ∴ , ∴ ; (2)如图所示, ∵ , ∴ , 设 , ∴ , ∴ , ∴在 中, , 38 试卷第页,共3页 资料整理【淘宝店铺:向阳百分百】 学科网(北京)股份有限公司关注公众号:陆陆高分冲刺 ~领取:最新版“小中高考-总复习”、最新试卷下载 ∴ , ∴ ,即 , ∴解得 , ∴ . 【点睛】此题考查了旋转的性质,相似三角形的性质和判定,全等三角形的性质和判定,勾股定理等知识, 解题的关键是熟练掌握以上知识点. 20.如图,在 和 中, . (1)求证: ; (2)若 ,求 的长. 【答案】(1)见解析 (2) 【分析】(1)由 ,可得出 ,结合 ,可证出 ; (2)由 ,利用相似三角形的性质可得出 ,结合 ,可求出 的长. 【详解】(1)证明: , , , 又 , 39 试卷第页,共3页 资料整理【淘宝店铺:向阳百分百】 学科网(北京)股份有限公司关注公众号:陆陆高分冲刺 ~领取:最新版“小中高考-总复习”、最新试卷下载 ; (2)解: , , , . 【点睛】本题考查了相似三角形的判定与性质,解题的关键是:(1)牢记“两角对应相等的两个三角形 相似”;(2)牢记“相似三角形面积的比等于相似比的平方”. 21.问题背景:如图(1),已知 ,求证: ; 尝试应用:如图(2),在 和 中, , , 与 相 交于点 ,点 在 边上, ,求 ; 拓展创新:如图(3), 是 内一点, , , ,请直接写出 的值. 【答案】问题背景:见解析 尝试应用:3 拓展创新:4 【分析】问题背景:由题意得出 , ,则 ,可证得结论; 尝试应用:连接 ,证明 ,由(1)知 ,由相似三角形的性质得出 , ,可证明 ,得出 ,则可求出答案; 拓展创新:过点 作 的垂线,两垂线交于点 ,连接 ,由直角三角形的性质求得 ,由勾股定 理求得 ,证明 ,由相似三角形的性质得出 ,证明 ,得出 40 试卷第页,共3页 资料整理【淘宝店铺:向阳百分百】 学科网(北京)股份有限公司关注公众号:陆陆高分冲刺 ~领取:最新版“小中高考-总复习”、最新试卷下载 ,求出 ,再根据勾股定理即可求得 . 【详解】问题背景:证明: , , , , , ; 尝试应用:解:如图1,连接 , , , , 由(1)知 , , , 在 中, , , , , , , ; 拓展创新:解:如图2,过点 作 的垂线,两垂线交于点 ,连接 , 41 试卷第页,共3页 资料整理【淘宝店铺:向阳百分百】 学科网(北京)股份有限公司关注公众号:陆陆高分冲刺 ~领取:最新版“小中高考-总复习”、最新试卷下载 , , , , , , , , , 又 , ,即 , , , , , 在 中, . 【点睛】此题考查相似形的综合应用,掌握直角三角形的性质,勾股定理,相似三角形的判定与性质等知 识是解题的关键. 22.已知正方形 ,动点 在 上运动,过点 作 射线 于点 ,连接 . 42 试卷第页,共3页 资料整理【淘宝店铺:向阳百分百】 学科网(北京)股份有限公司关注公众号:陆陆高分冲刺 ~领取:最新版“小中高考-总复习”、最新试卷下载 (1)如图1,在 上取一点 ,使 ,连接 ,求证: ; (2)如图2,点 在 延长线上,求证: ; (3)如图3,若把正方形 改为矩形 ,且 ,其他条件不变,请猜想 和 的数 量关系,直接写出结论,不必证明. 【答案】(1)证明过程见详解 (2)证明过程见详解 (3) ,理由见详解 【分析】(1)先判断出 ,利用等角的余角相等判断出 ,进而判断出 ,即可得出结论; (2)利用四边形的内角和定理和邻补角的定义判 ,进而判断出 ,再判断 出 ,即可得出结论; (3)先判断出 ,同(1)的方法得, ,得出 ,得出比例式, 进而得出 ,再用勾股定理得出 ,即可得出结论. 【详解】(1)证明:∵四边形 是正方形, ∴ , , ∴ , ∵ , ∴ , ∵ , ∴ , ∴ , 43 试卷第页,共3页 资料整理【淘宝店铺:向阳百分百】 学科网(北京)股份有限公司关注公众号:陆陆高分冲刺 ~领取:最新版“小中高考-总复习”、最新试卷下载 ∴ ,且 , ∴ , ∴ . (2)证明:如图所示,过点 作 交 的延长线于点 , ∴ , ∵四边形 是正方形, ∴ , ∵ , ∴ , ∴ , ∵ , ∴ , ∵ , ∴ , ∴ , ∴ , ∴ , ∵ , ∴ . (3)解: ,理由如下, 如图所示,过点 作 交 于点 , 44 试卷第页,共3页 资料整理【淘宝店铺:向阳百分百】 学科网(北京)股份有限公司关注公众号:陆陆高分冲刺 ~领取:最新版“小中高考-总复习”、最新试卷下载 ∴ , ∵四边形 是矩形, ∴ , ∴ , 同(1)的证明方法得, , ∴ , ∴ , ∵四边形 是矩形, ∴ , ∵ , ∴ , ∴ , 在 中, , ∴ , ∴ , ∴ . 【点睛】本题主要考查正方形、矩形、直角三角形的综合,掌握正方形的性质,矩形的性质,直角三角形 的勾股定理,全等三角形的判定和性质,相似三角形的判定和性质等知识的综合运用是解题的关键. 23.原题再现:小百合特别喜欢探究数学问题,一天万老师给她这样一个几何问题: 和 都是等边三角形,将 绕着点 旋转到图 位置,求证: 小百合很快就通过 ≌ ,论证了 . 45 试卷第页,共3页 资料整理【淘宝店铺:向阳百分百】 学科网(北京)股份有限公司关注公众号:陆陆高分冲刺 ~领取:最新版“小中高考-总复习”、最新试卷下载 (1)请你帮助小百合写出证明过程; 迁移应用:小百合想,把等边 和等边 都换成等腰直角三角形,将 绕着点 旋转到图 位置,其中 ,那么 和 有什么数量关系呢? (2)请你帮助小百合写出结论,并给出证明; (3)如图 ,如果把等腰直角三角形换成正方形,将正方形 绕点 旋转 ,若 , , 在旋转过程中,当 , , 三点共线时,请直接写出 的长度. 【答案】(1)证明见解析 (2) ,证明见解析 (3) 或 【分析】(1)证明 ,由全等三角形的性质得出 ; (2)证明 ,由相似三角形的性质得出 ,则可得出结论; (3)分两种情况画出图形,证明 ,根据相似三角形的判定和性质以及勾股定理即可得出 答案. 【详解】(1)证明: 和 分别是等边三角形, , , , , 即 , 在 和 中, 46 试卷第页,共3页 资料整理【淘宝店铺:向阳百分百】 学科网(北京)股份有限公司关注公众号:陆陆高分冲刺 ~领取:最新版“小中高考-总复习”、最新试卷下载 , ≌ , ; (2) , 证明: , 都是等腰直角三角形, , , , , , ∽ , , ; (3) 如图,连接 , 由 知 ∽ , , , 四边形 是正方形, 47 试卷第页,共3页 资料整理【淘宝店铺:向阳百分百】 学科网(北京)股份有限公司关注公众号:陆陆高分冲刺 ~领取:最新版“小中高考-总复习”、最新试卷下载 , , 四边形 是正方形, , , , , 三点共线. , , ; 如图,连接 , 由 知 ∽ , , , 四边形 是正方形, , , 四边形 是正方形, , , 48 试卷第页,共3页 资料整理【淘宝店铺:向阳百分百】 学科网(北京)股份有限公司关注公众号:陆陆高分冲刺 ~领取:最新版“小中高考-总复习”、最新试卷下载 , , 三点共线. , , ; 综上,当 , , 三点共线时, 的长度为 或 . 【点睛】本题属于四边形综合题,考查了旋转的性质,等腰直角三角形的性质,等边三角形的性质,正方 形的性质,相似三角形的判定和性质,全等三角形的判定与性质等知识,解题的关键是正确寻找相似三角 形解决问题,学会添加常用辅助线,构造全等三角形解决问题. 24.问题情境: 如图①,正方形 的边长为 ,点 在对角线 上, ,过点 作 ,分别 交 , 于点 , . 数学思考: (1)试判断四边形 的形状,并说明理由. (2)将图一中的四边形 绕点 顺时针旋转一定的角度得到图②连接 , ,猜想 与 之间的 数量关系,并说明理由. 【答案】(1)四边形 是正方形,理由见解析 (2) 【分析】(1)根据正方形的性质可得 , ,根据已知条 件证明四边形 是矩形, 是等腰直角三角形,进而即可得出结论; (2)根据正方形的性质可得 , ,进而可得 ,然后得出 ,即可 49 试卷第页,共3页 资料整理【淘宝店铺:向阳百分百】 学科网(北京)股份有限公司关注公众号:陆陆高分冲刺 ~领取:最新版“小中高考-总复习”、最新试卷下载 证明 ,根据相似三角形的性质即可求解. 【详解】(1)四边形 是正方形,理由如下, ∵四边形 是正方形, ∴ , , ∵ ∴ , ∴ 是等腰直角三角形,四边形 是矩形, ∴ , ∴四边形 是正方形; (2)∵四边形 是正方形,四边形 是正方形; ∴ , , ∴ , ∵ ∴ , ∴ , ∴ , 即 . 【点睛】本题考查了正方形的性质与判定,相似三角形的性质与判定,熟练掌握以上知识是解题的关键. 25.综合与实践 问题情境:如图1,在 中, , , .点 , 分别是边 , 的中点,连 接 (1)特例分析:在图1中, 的长为 , 的值为 . (2)拓展探究:将图1中的 绕点C顺时针方向旋转. 50 试卷第页,共3页 资料整理【淘宝店铺:向阳百分百】 学科网(北京)股份有限公司关注公众号:陆陆高分冲刺 ~领取:最新版“小中高考-总复习”、最新试卷下载 ①当点 和点 分别在 和 的延长线上时, 的值为 ; ②当点 和点 旋转到 的外部时,得到图2,判断此时 的值是否变化,请说明理由; (3)问题解决:当 旋转到点 , , 三点在同一直线时,直接写出 的长. 【答案】(1) , (2)① ;②见解析 (3) 或 【分析】(1)先根据勾股定理求得 的长,然后根据中位线的性质得出 , ,根 据平行线分线段成比例即可求解. (2)①证明 ,根据旋转的性质以及相似三角形的性质得出 ,则 ,进而可得 ,代入数据即可求解;②证明 ,根据相似三角形 的性质即可求解; (3)分点 在线段 上时,当点 在线段 上时,证明 ,根据相似三角形的性质即可 求解. 【详解】(1)解:∵在 中, , , . ∴ , 分别是边 , 的中点, ; ∴ ∴ , ; 故答案为: , . (2)①如图所示, 51 试卷第页,共3页 资料整理【淘宝店铺:向阳百分百】 学科网(北京)股份有限公司关注公众号:陆陆高分冲刺 ~领取:最新版“小中高考-总复习”、最新试卷下载 当点 和点 分别在 和 的延长线上时, 的大小没有变化, ∵ , ∴ ∴ ,则 , ∴ 故答案为: ②如图2, 当点 和点 旋转到 的外部时, 的大小没有变化, , , 又 , , . (3)如图所示,当点 在线段 上时, ∵ , 52 试卷第页,共3页 资料整理【淘宝店铺:向阳百分百】 学科网(北京)股份有限公司关注公众号:陆陆高分冲刺 ~领取:最新版“小中高考-总复习”、最新试卷下载 在 中, ,则 , ∵ ∴ 又∵ , ∴ ∴ , ∴ ; ②当点 在线段 上时,如图所示, 同理可得 , , ∴ . 【点睛】本题考查了相似三角形的性质与判定,旋转的性质,熟练掌握相似三角形的性质与判定是解题的 关键. 26.已知:四边形 和 都是正方形. 53 试卷第页,共3页 资料整理【淘宝店铺:向阳百分百】 学科网(北京)股份有限公司关注公众号:陆陆高分冲刺 ~领取:最新版“小中高考-总复习”、最新试卷下载 (1)如图1,若点C在对角线 上,则 的值为 ;(直接写结果) (2)将正方形 绕点A逆时针旋转 . ①如图2,连接 . 的值是否改变?若不改变,写出理由;若改变,写出新的值及理由; ②当 , 时, 交 于点M, 交 于点N,且 ,求 的长. 【答案】(1) (2)①不变,理由见解析;② 54 试卷第页,共3页 资料整理【淘宝店铺:向阳百分百】 学科网(北京)股份有限公司关注公众号:陆陆高分冲刺 ~领取:最新版“小中高考-总复习”、最新试卷下载 【分析】(1)根据正方形的性质得到 ,由勾股定理得到 , ,则 ,又由 ,即可得到 的值; (2)①正方形的性质得到 ,又由 即可 ,则 ,即可得到解答; ②当 时,即 ,可证明B、A、F三点在同一直线上,C、A、G三点在同一 直线上.证明 ,得到 ,得到 ,则 .连接 ,过点G作 延长线的垂线,垂足为点O.则 ,可证 是等腰直角三角形,证明 ,则 , ,则 ,可证明 是等腰直角三角形, 则 .则 ,得到 .则 ,由勾股定理 即可得到 的长. 【详解】(1)解:∵四边形 和 都是正方形, ∴ , ∴ , , ∴ , ∵ , ∴ , 故答案为: (2)①不变.理由如下: 55 试卷第页,共3页 资料整理【淘宝店铺:向阳百分百】 学科网(北京)股份有限公司关注公众号:陆陆高分冲刺 ~领取:最新版“小中高考-总复习”、最新试卷下载 ∵四边形 和 都是正方形, ∴ , ∴ , ∴ , 即 , 由(1)可知 , , ∴ , ∴ , ∴ , 即 的值不改变; ②如图:当 时,即 , ∵四边形 和 都是正方形, ∴ , , , ∴ , , ∵ , ∴B、A、F三点在同一直线上,C、A、G三点在同一直线上. ∵ , ∴ , ∵ , ∴ , ∵ , 56 试卷第页,共3页 资料整理【淘宝店铺:向阳百分百】 学科网(北京)股份有限公司关注公众号:陆陆高分冲刺 ~领取:最新版“小中高考-总复习”、最新试卷下载 ∴ , ∴ , ∵ , ∴ , ∴ . 连接 ,过点G作 延长线的垂线,垂足为点O.则 , ∵ , ∴ , ∴ 是等腰直角三角形, ∵ , , ∴ . ∴ . , ∴ . ∴ , ∵ , ∴ , ∴ 是等腰直角三角形,. ∴ . ∴ . ∴ . ∴ , 在 中, . 【点睛】此题考查了相似三角形的判定和性质、正方形的性质、旋转的性质、勾股定理、等腰直角三角形 的判定和性质等知识,熟练掌握相似三角形的判定和性质、等腰直角三角形的判定和性质是解题的关键. 27.如图①,正方形 和正方形 ,连接 , . 57 试卷第页,共3页 资料整理【淘宝店铺:向阳百分百】 学科网(北京)股份有限公司关注公众号:陆陆高分冲刺 ~领取:最新版“小中高考-总复习”、最新试卷下载 (1)发现:当正方形 绕点A旋转,如图②,①线段 与 之间的数量关系是________;②直线 与直线 之间的位置关系是________. (2)探究:如图③,若四边形 与四边形 都为矩形,且 , ,证明:直线 . (3)应用:在(2)情况下,连接 (点 在 上方),若 ,且 , ,则线段 是多少?(直接写出结论) 【答案】(1) , (2)见解析 (3) 【分析】(1)先判断出 ,进而得出 , ,再利用等角的余角 相等即可得出结论; (2)先利用两边对应成比例夹角相等判断出 ,得出 ,再利用等角的余角 相等即可得出结论; (3)先求出 ,进而得出 ,即可得出四边形 是平行四边形,进而得出 ,求 出 ,借助(2)得出的相似,即可得出结论. 【详解】(1)①∵四边形 和四边形 是正方形, ∴ , ∴ , 在 和 中, , 58 试卷第页,共3页 资料整理【淘宝店铺:向阳百分百】 学科网(北京)股份有限公司关注公众号:陆陆高分冲刺 ~领取:最新版“小中高考-总复习”、最新试卷下载 ∴ , ∴ ; ②如图2,延长 交 于M,交 于H, 由①知, , ∴ , ∵ , ∴ , ∵ , ∴ , ∴ , ∴ (2)∵四边形 和四边形 都为矩形, ∴ , ∴ , ∵ , ∴ , ∴ , ∴ , ∵ , ∴ , ∵ , ∴ , ∴ , 59 试卷第页,共3页 资料整理【淘宝店铺:向阳百分百】 学科网(北京)股份有限公司关注公众号:陆陆高分冲刺 ~领取:最新版“小中高考-总复习”、最新试卷下载 ∴ ; (3)如图4,(为了说明点B,E,F在同一条线上,特意画的图形) ∵ , ∴ 在 中, , ∴ , ∴ , ∵ , ∴ , ∵ , ∴四边形 是平行四边形, ∴ , ∵ , ∴点B,E,F在同一条直线上如图5, ∴ , 在 中,根据勾股定理得, , 由(2)知, , 60 试卷第页,共3页 资料整理【淘宝店铺:向阳百分百】 学科网(北京)股份有限公司关注公众号:陆陆高分冲刺 ~领取:最新版“小中高考-总复习”、最新试卷下载 ∴ , ∴ , ∴ . 【点睛】此题是四边形综合题,主要考查了正方形的性质,矩形的性质,全等三角形的判定和性质,相似 三角形的判定和性质,平行四边形的判定和性质,旋转的性质,判断出三角形全等和相似是解本题的关键. 28.如图,已知 中, ,点D是边 上一点,且 . (1)求证: ; (2)求证: . 【答案】(1)见解析 (2)见解析 【分析】(1)可证 , ,从而可得 ,即可得证; (2)可得 , ,从而可证 ,即可得证. 【详解】(1)证明: , ∴ , , , , , . (2)证明: , , 由(1)知: , , 61 试卷第页,共3页 资料整理【淘宝店铺:向阳百分百】 学科网(北京)股份有限公司关注公众号:陆陆高分冲刺 ~领取:最新版“小中高考-总复习”、最新试卷下载 , , . 【点睛】本题主要考查了三角形相似的判定及性质,掌握判定方法及性质是解题的关键. 29.如图,在 和 中, , . (1)求证: . (2)若点H、G分别是 的中点,且 ,连接 ,求 的值. (3)若在 和 中, ,点H、G分别是 的中点, 且 ,连接 ,求 的值. 【答案】(1)见解析 (2) (3) 【分析】(1)先利用等式的性质得到 ,再证明 ,得到 , 再利用两边成比例且夹角相等的两三角形相似即可求证. (2)利用两边成比例且夹角相等的两三角形相似证明 ,利用对应边成比例即可求解. (3)先证明 ,再证明 都是等腰直角三角形,接着得到 ,即可 求解. 【详解】(1)证明:∵ , ∴ , ∵在 和 中, , , 62 试卷第页,共3页 资料整理【淘宝店铺:向阳百分百】 学科网(北京)股份有限公司关注公众号:陆陆高分冲刺 ~领取:最新版“小中高考-总复习”、最新试卷下载 ∴ , ∴ , ∴ , ∴ . (2)∵ , ∴ , ∵ , ∴ , ∴ , ∴ 都是等边三角形, ∴它们的每个内角都是 , ∵点H、G分别是 的中点, ∴ , , , ∴ , , ∵ , ∴ , 即 , ∴ , ∴ . (3)∵在 和 中, , ∴ , ∴ , ∵ , , ∴ ∴ 都是等腰直角三角形, ∴ , ∵点H、G分别是 的中点, 63 试卷第页,共3页 资料整理【淘宝店铺:向阳百分百】 学科网(北京)股份有限公司关注公众号:陆陆高分冲刺 ~领取:最新版“小中高考-总复习”、最新试卷下载 ∴ , ∴ , , ∴ , ∵ , ∴ ,即 又∵ , ∴ , ∴ . 【点睛】本题考查了相似三角形的判定与性质、全等三角形的判定与性质、等边三角形的判定与性质、等 腰直角三角形的判定与性质,解题关键是正确判定相似三角形. 30.【问题提出】 某数学兴趣小组展示项目式学习的研究主题:已知四边形 ,点 为 上的一点, ,交 于点 .将 绕点 顺时针旋转 得到 ,探究 与 的数量关系. 【问题探究】 探究一:若四边形 为正方形 (1)如图1,正方形 中,点 为 上的一点, 交 于点 .则 的值为______; (2)如图2,将图1中的 绕点 顺时针旋转 得到 ,连接 、 ,试求 的值; 探究二:若四边形 为矩形 如图3,矩形 中,点 为 上的一点, 交 于点 , . (3)将图3中的 绕点 顺时针旋转 得到 ,连接 、 ,请在图4中补 全图形,并探究此时 的值; 【联系拓广】 64 试卷第页,共3页 资料整理【淘宝店铺:向阳百分百】 学科网(北京)股份有限公司关注公众号:陆陆高分冲刺 ~领取:最新版“小中高考-总复习”、最新试卷下载 (4)如图3,矩形 中,若 ,其它条件都不变,将 绕点 顺时针旋转 得到 ,连接 、 ,请直接写出 的值. 【答案】(1) ;(2) ;(3) ;(4) . 【分析】(1)根据正方形的性质可知 , , ,再根据锐角三角函数可知 进而可知 , ,最后利用线段的和差关系即可解答; (2)根据正方形的性质可知 , , ,再根据锐角三角函数可知 进而可得 ,最后利用相似三角形的判定与性质即可解答; (3)根据矩形的性质可知 ,再根据相似三角形的判定与性质即可解答; (4)根据矩形的性质可知 ,再根据相似三角形的判定与性质即可解答. 【详解】解:(1)∵ 是正方形 的对角线, ∴ , , , ∴ , ∵ , ∴ , 65 试卷第页,共3页 资料整理【淘宝店铺:向阳百分百】 学科网(北京)股份有限公司关注公众号:陆陆高分冲刺 ~领取:最新版“小中高考-总复习”、最新试卷下载 ∴ , ∴ , , ∴ , , ∴ , 故答案为 ; (2)∵ 是正方形 的对角线, ∴ , , , ∴ , ∵ , ∴ , ∴ , ∴ , 由旋转的性质可知: , ∴ , ∴ , 即 ; (3)补全图形后如图 , ∵四边形 是矩形, ∴ , ∴ , ∵ , ∴ , , 66 试卷第页,共3页 资料整理【淘宝店铺:向阳百分百】 学科网(北京)股份有限公司关注公众号:陆陆高分冲刺 ~领取:最新版“小中高考-总复习”、最新试卷下载 ∴ , ∴ , ∴ , ∵ 绕点 顺时针旋转 得到 , ∴ , , , ∴ , 即 , 即 ; (4)∵四边形 是矩形, ∴ , ∵ , ∴ , ∴ , ∴ , 由旋转的性质可得: , , , ∴ , ∴ , ∴ , 即 . 67 试卷第页,共3页 资料整理【淘宝店铺:向阳百分百】 学科网(北京)股份有限公司关注公众号:陆陆高分冲刺 ~领取:最新版“小中高考-总复习”、最新试卷下载 【点睛】本题考查了正方形的性质,矩形的性质,旋转的性质,相似三角形的判定与性质,掌握正方形的 性质及矩形的性质是解题的关键. 31.【初步感知】如图①, 和 都是等边三角形,连结 , .易知: (不用证 朋); 【深入探究】如图②, 和 是形状相同,大小不同的两个直角三角尺,其中 , ,连结 、 . (1)求 的值; (2)延长 交 于点 ,交 于点 ,则 ______°; (3)【拓展提升】如图③, 和 都是直角三角形, ,且 ,连 结 , .延长 交 于点 ,交 于点 ,若 ,则 ______.(用含 的式子 表示) 【答案】(1) (2)60 (3) 【分析】(1)证明 ,即可得出结论; (2)由 可得 ,再根据 ,即可得出结论; (3)先证 可得 ,再根据 ,即可得出结论. 【详解】(1)证明:在 中, , ,即 , 同理, , 68 试卷第页,共3页 资料整理【淘宝店铺:向阳百分百】 学科网(北京)股份有限公司关注公众号:陆陆高分冲刺 ~领取:最新版“小中高考-总复习”、最新试卷下载 , 又 , , 即 , , ; (2)解: , , , , ; 故答案为:60; (3)解: , , , , , , , , . 故答案为: . 【点睛】本题考查了相似三角形的判定和性质,解题关键是熟练掌握“手拉手”模型及其变形. 32.如图,正方形 中,点E是 边上一点,连结 ,以 为对角线作正方形 ,边 与正 方形 的对角线 相交于点H,连结 . (1)写出 和 的数量关系,并证明. (2)求证: 69 试卷第页,共3页 资料整理【淘宝店铺:向阳百分百】 学科网(北京)股份有限公司关注公众号:陆陆高分冲刺 ~领取:最新版“小中高考-总复习”、最新试卷下载 (3)连接 ,若正方形 的边长为6,求出 的最小值. 【答案】(1) ,详见解析 (2)详见解析 (3) 【分析】(1)根据正方形的性质可得 , ,可证明 ,即 可; (2)根据正方形的性质可得 ,再证明 ,可得 ,即可; (3)证明 ,可得 ,从而得到A,F,C三点共线,连接 交 于点 O,当E与C重合时,F与O重合,此时 最小,再由勾股定理求出 ,即可. 【详解】(1)解:结论: , 证明:∵四边形 ,四边形 是正方形, ∴ , ∴ , ∵ , ∴ , ∴ ; (2)证明:∵四边形 ,四边形 是正方形, ∴ , , ∵ , ∴ , ∴ , ∴ , ∵ , ∴ ; (3)解:∵四边形 ,四边形 是正方形, 70 试卷第页,共3页 资料整理【淘宝店铺:向阳百分百】 学科网(北京)股份有限公司关注公众号:陆陆高分冲刺 ~领取:最新版“小中高考-总复习”、最新试卷下载 ∴ , , , ∴ , , ∴ , ∴ , ∴ , ∴A,F,C三点共线, 连接 交 于点O,当E与C重合时,F与O重合,此时 最小, ∵正方形 的边长为6, ∴ , ∴ 最小值 . 【点睛】本题主要考查了相似三角形的判定和性质,正方形的性质,全等三角形的判定和性质,熟练掌握 相似三角形的判定和性质,正方形的性质,全等三角形的判定和性质是解题的关键. 33.矩形 中, , 是边 上一点,以 为边在矩形在 内部构造矩形 . (1)特例发现 如图 ,当 时, ; (2)类比探究 71 试卷第页,共3页 资料整理【淘宝店铺:向阳百分百】 学科网(北京)股份有限公司关注公众号:陆陆高分冲刺 ~领取:最新版“小中高考-总复习”、最新试卷下载 如图 ,如图,将矩形 绕点 顺时针旋转 度 ,连接 ,当 时,求 的值; (3)拓展运用 如图 ,矩形 在旋转的过程中, 落在 边上时,若 、 、 三点共线, 时,当 时,则 的长为 . 【答案】(1) (2) (3) 【分析】(1)由正方形的性质可得 ,由矩形的性质可得 , , 由线段和差关系可求 ,即可求解; (2)通过证明 ,可得 ; (3)由相似三角形的性质可求 , 的长,由勾股定理可求 的长,通过证明 ,可 求解. 【详解】(1)解:如图,延长 交 于 , , , , 矩形 和矩形 是正方形, , 四边形 是矩形, , , 72 试卷第页,共3页 资料整理【淘宝店铺:向阳百分百】 学科网(北京)股份有限公司关注公众号:陆陆高分冲刺 ~领取:最新版“小中高考-总复习”、最新试卷下载 , , , , 故答案为: ; (2)解:如图,连接 , , , , , 矩形 和矩形 是正方形, , , , , , ∴ ; (3)解: , , 设 , , , , , , , 73 试卷第页,共3页 资料整理【淘宝店铺:向阳百分百】 学科网(北京)股份有限公司关注公众号:陆陆高分冲刺 ~领取:最新版“小中高考-总复习”、最新试卷下载 又 , , , , , , , , , , 又 , , , , 故答案为: . 【点睛】本题是相似形综合题,考查了正方形的性质,矩形的性质,相似三角形的判定和性质,勾股定理 等知识,证明三角形相似是解题的关键. 34.如图,四边形ABCD和四边形AEFG都是正方形,C,F,G三点在一直线上,连接AF并延长交边CD于点 M. (1)求证:△MFC∽△MCA; (2)求 的值, (3)若DM=1,CM=2,求正方形AEFG的边长. 74 试卷第页,共3页 资料整理【淘宝店铺:向阳百分百】 学科网(北京)股份有限公司关注公众号:陆陆高分冲刺 ~领取:最新版“小中高考-总复习”、最新试卷下载 【答案】(1)见解析;(2) ;(3) . 【分析】(1)由正方形的性质得∠ACD=∠AFG=45°,进而根据对顶角的性质得∠CFM=∠ACM,再结合公共 角,根据相似三角形的判定得结论; (2)根据正方形的性质得 ,再证明其夹角相等,便可证明△ACF∽△ABE,由相似三角形的性质 得出结果; (3)由已知条件求得正方形ABCD的边长,进而由勾股定理求得AM的长度,再由△MFC∽△MCA,求得 FM,进而求得正方形AEFG的对角线长,便可求得其边长. 【详解】(1)∵四边形ABCD是正方形,四边形AEFG是正方形, ∴∠ACD=∠AFG=45°, ∵∠CFM=∠AFG, ∴∠CFM=∠ACM=45°, ∵∠CMF=∠AMC, ∴△MFC∽△MCA; (2)∵四边形ABCD是正方形, ∴∠ABC=90°,∠BAC=45°, ∴AC= AB, 同理可得AF= , ∴ , ∵∠EAF=∠BAC=45°, ∴∠CAF+∠CAE=∠BAE+∠CAE=45°, ∴∠CAF=∠BAE, ∴△ACF∽△ABE, ∴ ; (3)∵DM=1,CM=2, ∴AD=CD=1+2=3, ∴AM= , ∵△MFC∽△MCA, 75 试卷第页,共3页 资料整理【淘宝店铺:向阳百分百】 学科网(北京)股份有限公司关注公众号:陆陆高分冲刺 ~领取:最新版“小中高考-总复习”、最新试卷下载 ∴ ,即 , ∴FM= , ∴AF=AM﹣FM= , ∴ AF= , 即正方形AEFG的边长为 . 【点睛】本题主要考查了正方形的性质,相似三角形的性质与判定,等腰直角三角形的判定和性质,勾股 定理,关键是综合应用这些知识解决问题. 35.如图1,在 中, ,在斜边 上取一点D,过点D作 ,交 于 点E.现将 绕点A旋转一定角度到如图2所示的位置(点D在 的内部),使得 . (1)①求证: ; ②若 ,求 的长; (2)如图3,将原题中的条件“ ”去掉,其它条件不变, 设,若 , ,求k的值; (3)如图4,将原题中的条件“ ”去掉,其它条件不变,若 ,设 , ,试探究 三者之间满足的等量关系.(直接写出结果,不必写出解答过程) 76 试卷第页,共3页 资料整理【淘宝店铺:向阳百分百】 学科网(北京)股份有限公司关注公众号:陆陆高分冲刺 ~领取:最新版“小中高考-总复习”、最新试卷下载 【答案】(1)①见解析;② ;(2) ;(3)4p2=9m2+4n2. 【分析】(1)①先利用平行线分线段成比例定理得 ,进而得出结论; ②利用①得出的比例式求出CE,再判断出∠DCE=90°,利用勾股定理即可得出结论; (2)同(1)的方法判断出△ABD∽△ACE,即可得出AE=4k,CE=3k,同(1)的方法得出∠DCE=90°,利 用勾股定理得出DE的平方,用DE的平方建立方程求解即可; (3)同(2)的方法得出 , 即可得出结论; 【详解】解:(1)①∵DE∥BC, ∴ , 由旋转知,∠EAC=∠DAB, ∴△ABD∽△ACE, ②在Rt△ABC中,AC=BC, ∴ , 由①知,△ABD∽△ACE, ∴∠ABD=∠ACE, ∵∠ACD+∠ABD=90°, ∴∠ACE+∠ACD=90°, ∴∠DCE=90°, ∵△ABD∽△ACE, , ∴ , ∵ ∴ 在Rt△CDE中, 根据勾股定理得,DE=2, 在Rt△ADE中,AE=DE, 77 试卷第页,共3页 资料整理【淘宝店铺:向阳百分百】 学科网(北京)股份有限公司关注公众号:陆陆高分冲刺 ~领取:最新版“小中高考-总复习”、最新试卷下载 ∴ (2)由旋转知,∠EAC=∠DAB, , ∴△ABD∽△ACE, ∵AD=4,BD=3, ∴AE=kAD=4k,CE=kBD=3k, ∵△ABD∽△ACE, ∴∠ABD=∠ACE, ∵∠ACD+∠ABD=90°, ∴∠ACE+∠ACD=90°, ∴∠DCE=90°, 在Rt△CDE中,DE2=CD2+CE2=1+9k2, 在Rt△ADE中,DE2=AD2-AE2=16-16k2, ∴1+9k2=16-16k2, ∴ 或 (舍), (3)由旋转知,∠EAC=∠DAB, ∴△ABD∽△ACE, ∵AD=p,BD=n, ∴ , ∵△ABD∽△ACE, ∴∠ABD=∠ACE, ∵∠ACD+∠ABD=90°, ∴∠ACE+∠ACD=90°, 78 试卷第页,共3页 资料整理【淘宝店铺:向阳百分百】 学科网(北京)股份有限公司关注公众号:陆陆高分冲刺 ~领取:最新版“小中高考-总复习”、最新试卷下载 ∴∠DCE=90°, 在Rt△CDE中, , ∵ , , ∴4p2=9m2+4n2. 【点睛】此题是相似三角形综合题,主要考查了旋转的性质,相似三角形的判定和性质,勾股定理,直角 三角形的判定,解本题的关键是得出∠DCE=90°和利用两边对应成比例夹角相等来判断两三角形相似的方 法应用. 36.在△ABC中,AB=AC,∠BAC=α,点P是△ABC外一点,连接BP,将线段BP绕点P逆时针旋转α得 到线段PD,连接BD,CD,AP. 观察猜想: (1)如图1,当α=60°时, 的值为 ,直线CD与 AP所成的较小角的度数为 °; 类比探究: (2)如图2,当α=90°时,求出 的值及直线CD与AP所成的较小角的度数; 拓展应用: (3)如图3,当α=90°时,点E,F分别为AB,AC的中点,点P在线段FE的延长线上,点A,D,P三点 在一条直线上,BD交PF于点G,CD交AB于点H. 若CD=2+ ,求BD的长. 【答案】(1)1,60;(2) ,直线CD与AP所成的较小角的度数为45°;(3)BD= . 【分析】(1)根据α=60°时,△ABC是等边三角形,再证明△PBA≌△DBC,即可求解,再得到直线CD 与 AP所成的度数; 79 试卷第页,共3页 资料整理【淘宝店铺:向阳百分百】 学科网(北京)股份有限公司关注公众号:陆陆高分冲刺 ~领取:最新版“小中高考-总复习”、最新试卷下载 (2)根据等腰直角三角形的性质证明△PBA∽△DBC,再得到 = ,再根据相似三角形的性质求出直 线CD与 AP所成的度数; (3)延长CA,BD相交于点K, 根据直角三角形斜边上的中线性质及中位线定理证得∠BCD=∠KCD,由 (2)的结论求出AP的长,再利用在Rt△PBD中,设PB=PD=x,由勾股定理可得BD= x=AD,再列出 方程即可求出x,故可得到BD的长. 【详解】(1)∵α=60°,AB=AC, ∴△ABC是等边三角形, ∴AB=CB ∵将线段BP绕点P逆时针旋转α得到线段PD, ∴△BDP是等边三角形, ∴BP=BD ∵∠PBA=∠PBD-∠ABD=60°-∠ABD,∠DBC=∠ABC-∠ABD=60°-∠ABD, ∴∠PBA=∠DBC ∴△PBA≌△DBC, ∴AP=CD ∴ =1 如图,延长CD交AB,AP分别于点G,H,则∠AHC为直线CD与AP所成的较小角, ∵△PBA≌△DBC ∴∠PAB=∠DCB ∵∠HGA=∠BGC ∴∠AHC=∠ABC=60° 故答案为:1,60; 80 试卷第页,共3页 资料整理【淘宝店铺:向阳百分百】 学科网(北京)股份有限公司关注公众号:陆陆高分冲刺 ~领取:最新版“小中高考-总复习”、最新试卷下载 (2)解:如图,延长CD交AB,AP分别于点M,N,则∠ANC为直线CD与AP所成的较小角, ∵AB=AC,∠BAC=90°, ∴∠ABC=45°. 在Rt△ABC中, =cos∠ABC=cos45°= . ∵PB=PD,∠BPD=90°, ∴∠PBD=∠PDB=45°. 在Rt△PBD中, =cos∠PBD=cos45°= . ∴ = ,∠ABC=∠PBD. ∴∠ABC-∠ABD=∠PBD-∠ABD. 即∠PBA=∠DBC. ∴△PBA∽△DBC. ∴ = = ,∠PAB=∠DCB. ∵∠AMN=∠CMB,∴∠ANC=∠ABC=45°. 81 试卷第页,共3页 资料整理【淘宝店铺:向阳百分百】 学科网(北京)股份有限公司关注公众号:陆陆高分冲刺 ~领取:最新版“小中高考-总复习”、最新试卷下载 即 = ,直线CD与AP所成的较小角的度数为45°. (3)延长CA,BD相交于点K,如图. ∵∠APB=90°,E为AB的中点,∴EP=EA=EB. ∴∠EAP=∠EPA,∠EBP=∠EPB. ∵点E,F为AB,AC的中点, ∴PF BC. ∴∠AFP=∠ACB=∠PBD=45°. ∵∠BGP=∠FGK, ∴∠BPE=∠K. ∴∠K=∠EBP, ∵∠EBP=∠PEB,∠PEB=∠DBC, ∴∠K=∠CBD. ∴CB=CK. ∴∠BCD=∠KCD. 由(2)知∠ADC=∠PDB=45°,△PBA∽△DBC, ∴∠PAB=∠DCB. ∴∠BDC=180°-45°-45°=90°=∠BAC. ∵∠BHD=∠CHA, ∴∠DBA=∠DCA. ∴∠DBA=∠PAB. ∴AD=BD. 由(2)知DC= AP, 82 试卷第页,共3页 资料整理【淘宝店铺:向阳百分百】 学科网(北京)股份有限公司关注公众号:陆陆高分冲刺 ~领取:最新版“小中高考-总复习”、最新试卷下载 ∴AP= . 在Rt△PBD中,PB=PD=x,由勾股定理可得BD= = x=AD. ∴AD+PD=x+ x=AP=1+ . ∴x=1. ∴BD= . 【点睛】此题主要考查四边形综合,解题的关键熟知旋转的性质、全等三角形的判定与性质、相似三角形 的判定与性质及解直角三角形的方法. 37.在△ABC中,AB=AC,∠BAC=α,点P为线段CA延长线上一动点,连接PB,将线段PB绕点P逆时针 旋转,旋转角为α,得到线段PD,连接DB,DC. (1)如图1,当α=60°时,求证:PA=DC; (2)如图2,当α=120°时,猜想PA和DC的数量关系并说明理由. (3)当α=120°时,若AB=6,BP= ,请直接写出点D到CP的距离. 【答案】(1)见解析;(2) ;(3) 或 【分析】(1)当α=60°时,△ABC和△PBD为等边三角形,根据三角形全等即可求证; (2)过点 作 ,求得 ,根据题意可得 ,可得 ,再根据 ,判定 ,得到 ,即可求解; (3)过点 作 于点 ,过点 作 于点 ,分两种情况进行讨论,当 在线段 或当 83 试卷第页,共3页 资料整理【淘宝店铺:向阳百分百】 学科网(北京)股份有限公司关注公众号:陆陆高分冲刺 ~领取:最新版“小中高考-总复习”、最新试卷下载 在线段 延长线上时,设 根据勾股定理求解即可. 【详解】解:(1)当α=60°时,∵AB=AC ∴△ABC为等边三角形, ∴ , 由旋转的性质可得: , ∴△PBD为等边三角形 ∴ , ∴ 在 和 中 ∴ ∴ (2)过点 作 ,如下图: ∵当α=120°时, ∴ , ∴ 由勾股定理得 ∴ ∴ 由旋转的性质可得: , 84 试卷第页,共3页 资料整理【淘宝店铺:向阳百分百】 学科网(北京)股份有限公司关注公众号:陆陆高分冲刺 ~领取:最新版“小中高考-总复习”、最新试卷下载 ∴ , 又∵ ∴ 又∵ , ∴ ∴ ∴ ∴ (3)过点 作 于点 ,过点 作 于点 ,则点D到CP的距离就是 的长度 当 在线段 上时,如下图: 由题意可得: ∵α=120°, ∴ 在 中, , ∴ , 在 中, , ,∴ ∴ , 由(2)得 由旋转的性质可得: 设 ,则 由勾股定理可得: 85 试卷第页,共3页 资料整理【淘宝店铺:向阳百分百】 学科网(北京)股份有限公司关注公众号:陆陆高分冲刺 ~领取:最新版“小中高考-总复习”、最新试卷下载 即 ,解得 则 当 在线段 延长线上,如下图: 则 , 由(2)得, 设 ,则 由勾股定理可得: 即 ,解得 则 综上所述:点D到CP的距离为 或 【点睛】此题考查了旋转的性质、全等三角形的判定及性质、相似三角形的判定及性质、等腰三角形的性 质以及勾股定理,综合性比较强,熟练掌握相关基本性质是解题的关键. 38.如图1,在Rt△ABC中,∠C=90°,∠A=30°,BC=1,点D,E分别为AC,BC的中点.△CDE绕点C 顺时针旋转,设旋转角为α(0°≤α≤360°),记直线AD与直线BE的交点为点P. 86 试卷第页,共3页 资料整理【淘宝店铺:向阳百分百】 学科网(北京)股份有限公司关注公众号:陆陆高分冲刺 ~领取:最新版“小中高考-总复习”、最新试卷下载 (1)如图1,当α=0°时,AD与BE的数量关系为______,AD与BE的位置关系为______; (2)当0°<α≤360°时,上述结论是否成立?若成立,请仅就图2的情形进行证明;若不成立,请说明 理由; (3)△CDE绕点C顺时针旋转一周,请直接写出运动过程中P点运动轨迹的长度和P点到直线BC距离的最大 值. 【答案】(1)AD= BE,AD⊥BE (2)结论仍然成立,证明见解析 (3)P点运动轨迹的长度是 π;P点到直线BC距离的最大值是 【分析】(1)分别求出AD、BE的长即可解答; (2)先证明△BCE∽△ACD ,可得 = ,∠CBO=∠CAD即可解答; (3)利用锐角三角函数可求∠EBC=30°,由弧长公式可求P点运动轨迹的长度,由直角三角形的性质可求 P点到直线BC距离的最大值即可. 【详解】(1)解:在Rt△ABC中,∠C=90°,∠A=30°,BC=1, ∴AC= BC= ,AB=2BC=2,AD⊥BE ∵点D,E分别为AC,BC的中点 ∴AD=CD= AC= ,BE=EC= BC= ∴ AD= BE. 故答案为:AD= BE,AD⊥BE. 87 试卷第页,共3页 资料整理【淘宝店铺:向阳百分百】 学科网(北京)股份有限公司关注公众号:陆陆高分冲刺 ~领取:最新版“小中高考-总复习”、最新试卷下载 (2)解:结论仍然成立,理由如下: ∵AC= ,BC=1,CD= ,EC= , ∴ , = , ∴ , ∵△CDE绕点C顺时针旋转, ∴∠BCE=∠ACD, ∴△BCE∽△ACD, ∴ = ,∠CBO=∠CAD, ∴AD= BE, ∵∠CBO+∠BOC=90°, ∴∠CAD+∠AOP=90°, ∴∠APO=90°, ∴BE⊥AD. (3)解:∵∠APB=90°, ∴点P在以AB为直径的圆上, 如图3,取AB的中点G,作⊙G,以点C为圆心,CE为半径作⊙C,当BE是⊙C切线时,点P到BC的距离最 大,过点P作PH⊥BC,交BC的延长线于H,连接GP, ∵BE是⊙C切线, ∴CE⊥BE, 88 试卷第页,共3页 资料整理【淘宝店铺:向阳百分百】 学科网(北京)股份有限公司关注公众号:陆陆高分冲刺 ~领取:最新版“小中高考-总复习”、最新试卷下载 ∵ = , ∴∠EBC=30°, ∴∠GBP=30°, ∵GB=GP, ∴∠GBP=∠GPB=30°, ∴∠BGP=120°, ∵点P的运动轨迹为点C→点P→点C→点B→点C, ∴P点运动轨迹的长度= ×2= π, ∵∠ABP=30°,BP⊥AP, ∴AP= AB=1,BP= AP= , ∵∠CBP=30°,PH⊥BH, ∴PH= BP= . ∴P点到直线BC距离的最大值 . 【点睛】本题是几何变换综合题,主要考查了直角三角形的性质、相似三角形的判定和性质、旋转的性质、 锐角三角函数等知识点,灵活应用相关知识是解答本题的关键. 39.已知,在矩形 中, , ,点 在边 上,且 ,过点 作 的垂线,并在 垂线上矩形外侧截取点F,使 ,连接 , ,将 绕点 按顺时针方向旋转,记旋转角为 . . (1)如图(1),当 ,求 的值. (2)如图2,若 ,求m关于n的数量关系. (3)若 旋转至A,E,F三点共线,求m的值. 89 试卷第页,共3页 资料整理【淘宝店铺:向阳百分百】 学科网(北京)股份有限公司关注公众号:陆陆高分冲刺 ~领取:最新版“小中高考-总复习”、最新试卷下载 【答案】(1) (2) (3) 或 . 【分析】(1)如图1,过 作 ,交 的延长线于 ,先证明四边形 是矩形,然后根据 矩形的性质和勾股定理分别求出m、n的值,即可求解; (2)如图2,连接 ,先后利用两边对应成比例且夹角相等证明 、 ,利用相 似三角形的性质即可得出结论; (3)分两种情况,分别画出图形,利用相似三角形的判定和性质结合勾股定理求解即可. 【详解】(1)当 时,如图1,过 作 ,交 的延长线于 , 四边形 是矩形, , , , , 四边形 是矩形, , , , , , 在 中,由勾股定理得: , 在 中,由勾股定理得: , , 90 试卷第页,共3页 资料整理【淘宝店铺:向阳百分百】 学科网(北京)股份有限公司关注公众号:陆陆高分冲刺 ~领取:最新版“小中高考-总复习”、最新试卷下载 故答案为: ; (2)如图2,连接 , 在 中,由勾股定理得: , 在 中, , , , , , , , , , , , , , 即 ; (3)当 旋转至 , , 三点共线时,存在两种情况: ①如图3,连接 , 91 试卷第页,共3页 资料整理【淘宝店铺:向阳百分百】 学科网(北京)股份有限公司关注公众号:陆陆高分冲刺 ~领取:最新版“小中高考-总复习”、最新试卷下载 在 中,由勾股定理得: , 在 中, , , , , , , , , , , , , , 在 中, , , ; ②如图4,连接 , 92 试卷第页,共3页 资料整理【淘宝店铺:向阳百分百】 学科网(北京)股份有限公司关注公众号:陆陆高分冲刺 ~领取:最新版“小中高考-总复习”、最新试卷下载 同理得: , , , , 综上, 或 . 【点睛】本题考查了矩形的性质、旋转的性质、勾股定理以及相似三角形的判定和性质等知识,熟练掌握 相关图形的性质定理、证明三角形相似是解题关键. 40.综合与实践 问题情境 在综合实践课上,老师组织兴趣小组开展数学活动,探究正方形的旋转问题.在正方形 和正方形 中,点G,A,B在一条直线上,连接 , (如图1). 操作发现 (1)图1中线段 和 的数量关系是______,位置关系是______. (2)在图1的基础上,将正方形 绕着点A沿顺时针方向旋转,如图2所示,(1)中的结论是否成立? 请仅就图2的情况说明理由. 类比探究 93 试卷第页,共3页 资料整理【淘宝店铺:向阳百分百】 学科网(北京)股份有限公司关注公众号:陆陆高分冲刺 ~领取:最新版“小中高考-总复习”、最新试卷下载 (3)如图3,若将图2中的正方形 和正方形 中都变为矩形,且 , , 请仅就图3的情况探究 与 之间的数量关系. 拓展探索 (4)在(3)的条件下,若 , ,矩形 在顺时针旋转过程中,当点D,E,F在同一直线 时,请直接写出 的值. 【答案】(1) ; ;(2)成立;理由见解析;(3) ;(4) 或 【分析】(1)延长 交 于点H,证明 ,得出 , ,求出 ,即可证明结论; (2)延长 交 于点H,交 于点T,证明 ,得出 , ,求出 ,即可证明结论; (3)延长 交 于点H,交 于点T,证明 ,得出 ,求出 即 可; (4)分两种情况讨论,当 在线段 上时,当 在线段 上时,分别画出图形,根据勾股定理,求出 结果即可. 【详解】解:(1)延长 交 于点H,如图所示: ∵四边形 和 都是正方形, ∴ , , , ∴ , ∴ , , ∵ , ∴ , ∴ , ∴ . 故答案为: ; . (2)成立;理由如下: 94 试卷第页,共3页 资料整理【淘宝店铺:向阳百分百】 学科网(北京)股份有限公司关注公众号:陆陆高分冲刺 ~领取:最新版“小中高考-总复习”、最新试卷下载 延长 交 于点H,交 于点T,如图所示: ∵四边形 和 都是正方形, ∴ , , , ∴ , ∴ , ∴ , ∴ , , ∵ , , ∴ , ∴ , ∴ . 故答案为: ; . (3)延长 交 于点H,交 于点T,如图所示: ∵四边形 和 都是矩形, ∴ , ∴ , ∴ , ∵ , , ∴ , 95 试卷第页,共3页 资料整理【淘宝店铺:向阳百分百】 学科网(北京)股份有限公司关注公众号:陆陆高分冲刺 ~领取:最新版“小中高考-总复习”、最新试卷下载 ∴ , ∴ , 即 . (4)当 在线段 上时,如图所示: ∵四边形 为矩形, ∴ , , , ∴ , ∴ , ∵ , ∴ , ∴ , ∴ , 根据解析(3)可知, , ∴ ; 当 在线段 上时,如图所示: 96 试卷第页,共3页 资料整理【淘宝店铺:向阳百分百】 学科网(北京)股份有限公司关注公众号:陆陆高分冲刺 ~领取:最新版“小中高考-总复习”、最新试卷下载 ∵四边形 为矩形, ∴ , , , ∴ , ∴ , ∴ , ∴ , 根据解析(3)可知, , ∴ ; 综上分析可知, 或 . 【点睛】本题主要考查了全等三角形的判定和性质,矩形的性质,正方形的性质,三角形相似的判定和性 质,勾股定理,余角的性质,解题的关键是作出辅助线,熟练掌握三角形全等和三角形相似的判定方法, 注意进行分类讨论. 41.转化是解决数学问题常用的思想方法之一,它可以在数与数、数与形、形与形之间灵活应用. 如图1,已知在 中, , , .请解答下面的问题: 97 试卷第页,共3页 资料整理【淘宝店铺:向阳百分百】 学科网(北京)股份有限公司关注公众号:陆陆高分冲刺 ~领取:最新版“小中高考-总复习”、最新试卷下载 (1)基础巩固 如图1,将 绕点 按顺时针方向旋转 得到 ,连接 ,则 与 之间的数量关系是 __________; (2)拓展探究 如图2,点 , 分别是 , 的中点,连接 ,将 绕点 按顺时针方向旋转 得到 . ①求证: ; ②用等式表示 与 之间的数量关系,并说明理由; (3)问题解决 点 , 分别是 , 的中点,连接 ,将 绕点 旋转得到 ,请直接写出点 , , 在同一直线上时 的长. 【答案】(1) (2)①见解析;② ,理由见解析 (3) 的长为 或 . 【分析】(1)证明 是等边三角形,即可得到结论 ; (2)①利用两边对应成比例,且夹角相等,可证明 ;②证明 是等边三角形,在 中,利用勾股定理求得 的长,再利用相似三角形的性质求解即可; (3)分两种情况分析,A、M、N三点所在直线与 不相交和与 相交,然后利用勾股定理以及相似三 角形的判定和性质分别求解即可求得答案. 【详解】(1)解:根据旋转的性质得 , , ∴ 是等边三角形, ∴ ; 98 试卷第页,共3页 资料整理【淘宝店铺:向阳百分百】 学科网(北京)股份有限公司关注公众号:陆陆高分冲刺 ~领取:最新版“小中高考-总复习”、最新试卷下载 故答案为: ; (2)①证明: 点 , 分别是 , 的中点, 绕点 按顺时针方向旋转 得到 , , , . . ; ②解: . 理由如下:如图,连接 , , , . , 是等边三角形. , . . . 在 中,由勾股定理得 . . 由①得, . . 99 试卷第页,共3页 资料整理【淘宝店铺:向阳百分百】 学科网(北京)股份有限公司关注公众号:陆陆高分冲刺 ~领取:最新版“小中高考-总复习”、最新试卷下载 ; (3)解:①如图所示, ∵ , , , ∴ , , , , , , ∴ , , ∵ , , ∴ , ∴ , ∴ , ∴ ; ②如图所示, 同理, , ∴ , 100 试卷第页,共3页 资料整理【淘宝店铺:向阳百分百】 学科网(北京)股份有限公司关注公众号:陆陆高分冲刺 ~领取:最新版“小中高考-总复习”、最新试卷下载 ∴ ; 综上所述, 的长为 或 . 【点睛】此题主要考查了几何变换综合题,相似三角形的判定和性质,勾股定理,解题的关键是灵活运用 所学知识解决问题. 42.综合与实践 综合与实践课上,数学老师让同学们以“矩形的旋转”为主题开展教学活动. 【操作判断】 如图①,在矩形 中, ,点M,P分别在边 , 上(均不与端点重合)且 , 以 和 为邻边作矩形 ,连接 , . (1)如图②,当 时, 与 的数量关系为 , 与 的数量关系为 . 【迁移探究】 (2)如图③,当 时,天天先将矩形 绕点A 顺时针旋转,再连接 ,则CN与 之间的数量 关系是 . 【拓展应用】 (3)在(2)的条件下,已知 , ,当矩形 旋转至C,N,M三点共线时,求线段 的 长. 【答案】(1) , ;(2) ;(3)线段 的长为 或 【分析】(1)当 时, , ,则 ,所以 ,再证明 , , 三点在同一条直线上,由勾股定理得 , ,所以 , 于是得到问题的答案; (2)先证明 ,得 , ,则 101 试卷第页,共3页 资料整理【淘宝店铺:向阳百分百】 学科网(北京)股份有限公司关注公众号:陆陆高分冲刺 ~领取:最新版“小中高考-总复习”、最新试卷下载 , ,即可证明 ,再根据勾股定理求得 ,则 ,所以 ; (3)分两种情况,一是 , , 三点共线,且点 在线段 上,由勾股定理求得 ,则 ;二是 , , 三点共线,且点 在线段 的延长线上,由勾股定理求得 ,则 . 【详解】解:(1)当 时, , , , , 四边形 和四边形 都是正方形, , , , , , , , , 三点在同一条直线上, , , , , , 故答案为: , ; (2)发生变化, , 理由:如图3,连接 ,当 时,则 , , 102 试卷第页,共3页 资料整理【淘宝店铺:向阳百分百】 学科网(北京)股份有限公司关注公众号:陆陆高分冲刺 ~领取:最新版“小中高考-总复习”、最新试卷下载 , , , , , , , , , , , , ; (3) , , , , , , 如图4, , , 三点共线,且点 在线段 上, , , , 如图5, , , 三点共线,且点 在线段 的延长线上, 103 试卷第页,共3页 资料整理【淘宝店铺:向阳百分百】 学科网(北京)股份有限公司关注公众号:陆陆高分冲刺 ~领取:最新版“小中高考-总复习”、最新试卷下载 , , 综上所述,线段 的长是 或 . 【点睛】本题重点考查矩形的性质、正方形的性质、旋转的性质、相似三角形的判定与性质、勾股定理、 数形结合与分类讨论思想的运用等知识与方法,本题综合性强,难度较大,正确地作出所需要的辅助线是 解题关键. 43.在 中, , ,点 是平面内不与点 , 重合的任意一点,连接 ,将线段 绕点 旋转 得到线段 ,连接 、 、 . (1)当 时, ①如图1,当点 在 的边 上时,线段 绕点 顺时针旋转 得到线段 ,则 与 的数量 关系是_______________; ②如图2,当点 在 内部时,线段 绕点 顺时针旋转 得到线段 ,①中 与 的数量关系 还成立吗?若成立,请证明结论,若不成立,说明理由; (2)当 时, ①如图3,线段 绕点 顺时针旋转 得到线段 .试判断 与 的数量关系,并说明理由; ②若点 , , 在一条直线上,且 ,线段 绕点 逆时针旋转 得到线段 ,求 的值. 【答案】(1)① ;②成立,证明见解析; 104 试卷第页,共3页 资料整理【淘宝店铺:向阳百分百】 学科网(北京)股份有限公司关注公众号:陆陆高分冲刺 ~领取:最新版“小中高考-总复习”、最新试卷下载 (2)① ,理由见解析;② 或 【分析】(1)①根据旋转的性质和等边三角形的判定,易证 和 是等边三角形,得到 , , ,再利用“ ”证明 ,即可得到 与 的数量关系; ②由①可知, 和 是等边三角形,进而证明 ,得到 ,即可证明结论; (2)①根据旋转的性质和等腰直角三角形的判定,易证 和 是等腰直角三角形,得到 , , ,进而得到 , ,易证 ,从而得到 ,即可得到 与 的数量关系; ②设 ,则 ,根据等腰直角的性质,得到 , ,分两种情况讨论:点 在 上和点 在 的延长线上,利用旋转的性质,等腰直角三角形的性质以及勾股定理分别求解,即 可求出, 的值. 【详解】(1)解:① , , 是等边三角形, , , 线段 绕点 旋转 得到线段 , , , 是等边三角形, , , , 在 和 中, , , , 故答案为: ; 105 试卷第页,共3页 资料整理【淘宝店铺:向阳百分百】 学科网(北京)股份有限公司关注公众号:陆陆高分冲刺 ~领取:最新版“小中高考-总复习”、最新试卷下载 ②成立,理由如下: 由①可知, 和 是等边三角形, , , , , , 在 和 中, , , ; (2)解:① ,理由如下: , , 是等腰直角三角形, , , 线段 绕点 旋转 得到线段 , , , 是等腰直角三角形, , , , , , , , ; ② , 设 ,则 , , , 106 试卷第页,共3页 资料整理【淘宝店铺:向阳百分百】 学科网(北京)股份有限公司关注公众号:陆陆高分冲刺 ~领取:最新版“小中高考-总复习”、最新试卷下载 是等腰直角三角形, , , 如图,当点 在 上时,此时 , 由旋转的性质可知, 是等腰直角三角形, , , , , 由勾股定理得: , ; 如图,当点 在 的延长线上时,此时 , 同理可知, , , 由勾股定理得: , , 综上可知, 的值为 或 . 【点睛】本题考查了旋转的性质,全等三角形的判定和性质,相似三角形的判定和性质,等边三角形的判 定和性质,等腰直角三角形的判定和性质,勾股定理等知识,利用分类讨论的思想,熟练掌握手拉手—旋 转型全等是解题关键. 44.【问题呈现】 (1)如图1, 和 都是等边三角形,连接 .求证: . 107 试卷第页,共3页 资料整理【淘宝店铺:向阳百分百】 学科网(北京)股份有限公司关注公众号:陆陆高分冲刺 ~领取:最新版“小中高考-总复习”、最新试卷下载 【类比探究】 (2)如图2, 和 都是等腰直角三角形, ,连接 .请直接写出 的值. 【拓展提升】 (3)如图3, 和 都是直角三角形, ,且 .连接 . ①求 的值; ②延长 交 于点 ,交 于点 .求 的值. 【答案】(1)见解析;(2) ;(3) ; 【分析】(1)由等边三角形的性质可得 ,从而得到 ,由 证明 ,即可得到 ; 108 试卷第页,共3页 资料整理【淘宝店铺:向阳百分百】 学科网(北京)股份有限公司关注公众号:陆陆高分冲刺 ~领取:最新版“小中高考-总复习”、最新试卷下载 (2)由等腰直角三角形的性质可得 ,从而得到 ,证 明 ,最后根据相似三角形的性质即可得到答案; (3) 由 是直角三角形, 可得 ,通过证明 得到 ,从而得到 ,即可推出 ,最后由相似三角形的性 质即可得到答案; 由 得, , ,得到 ,由三角形内角和 定理和对顶角相等可得 ,从而得到 . 【详解】(1)证明: 和 都是等边三角形, , , , 在 和 中, , , ; (2)解: 和 都是等腰直角三角形, , , , , , , (3) 是直角三角形, , 109 试卷第页,共3页 资料整理【淘宝店铺:向阳百分百】 学科网(北京)股份有限公司关注公众号:陆陆高分冲刺 ~领取:最新版“小中高考-总复习”、最新试卷下载 令 ,则 , , 和 都是直角三角形, ,且 , , , , , , , 由 得, , , , , , , , ,即 , . 【点睛】本题主要考查了等边三角形的性质、等腰直角三角形的性质、三角形全等的判定与性质、三角形 相似的判定与性质、三角形内角和定理、勾股定理,熟练掌握等边三角形的性质、等腰直角三角形的性质、 三角形全等的判定与性质、三角形相似的判定与性质、三角形内角和定理、勾股定理,是解题的关键. 45.【感受与猜想】 (1)如图 ,四边形 和四边形 均为正方形,点 正好落在对角线 上.试猜想 与 的数 量关系: __. 110 试卷第页,共3页 资料整理【淘宝店铺:向阳百分百】 学科网(北京)股份有限公司关注公众号:陆陆高分冲刺 ~领取:最新版“小中高考-总复习”、最新试卷下载 【探究与证明】 (2)如图 ,四边形 和四边形 均为正方形,正方形 绕点 顺时针旋转 角( ), 连结 , .( )中的结论是否还成立,若成立,请给出证明. 【拓展与延伸】 (3)如图3,在平面直角坐标系中,直线 分别交 轴, 轴于 , 两点,点 为线段 上 一点,以 为底边向下作等腰直角三角形 . ①若 ,求点 的坐标. ②若点 落在边 的中点处, 与 交于点 ,已知 ,求 的长. 【答案】(1) ;(2)成立,证明见解析;(3)① ;② 【分析】(1)由四边形 和四边形 均为正方形,得 , ,即可得 ; (2)连接 , ,由四边形 和四边形 均为正方形,可得 , , ,即可证明 ,根据相似三角形的性质,即可求解; (3)①连接 ,过 作 轴于 ,求出 , ,知 是等腰直角三角形,而 是等腰直角三角形,可得 ,进而可得 ,再根据 的等腰直角三角形,可 得 ,即可求解; ②连接 ,过 作 轴于 ,同①得出 的坐标,进而可得直线 函数表达式,把 即可求解. 【详解】解:(1) 四边形 和四边形 均为正方形, , , , 111 试卷第页,共3页 资料整理【淘宝店铺:向阳百分百】 学科网(北京)股份有限公司关注公众号:陆陆高分冲刺 ~领取:最新版“小中高考-总复习”、最新试卷下载 即 ; 故答案为: ; (2)(1)中的结论还成立,证明如下: 连接 , ,如图: 四边形 和四边形 均为正方形, , , , , , (3)①连接 ,过 作 轴于 ,如图: 在 中,令 得 ,令 得 , , , , 是等腰直角三角形, , 112 试卷第页,共3页 资料整理【淘宝店铺:向阳百分百】 学科网(北京)股份有限公司关注公众号:陆陆高分冲刺 ~领取:最新版“小中高考-总复习”、最新试卷下载 是等腰直角三角形, , , , , , , , , , , , 的等腰直角三角形, , , ②连接 ,过 作 轴于 ,如图: 为 的中点, , , 同①可得 , , 113 试卷第页,共3页 资料整理【淘宝店铺:向阳百分百】 学科网(北京)股份有限公司关注公众号:陆陆高分冲刺 ~领取:最新版“小中高考-总复习”、最新试卷下载 , , , , 的等腰直角三角形, , , 设 的解析式为 , , 解得: , 直线 表达式为 , 把 , 代入得 , 解得: , . 【点睛】本题考查一次函数的综合应用,涉及待定系数法,相似三角形判定与性质,等腰直角三角形三边 的关系等知识,解题的关键是作辅助线,构造相似三角形解决问题. 46.如图1所示,矩形 中,点E,F分别为边 , 的中点,将 绕点A逆时针旋转 ,直线 , 相交于点P. (1)若 ,将 绕点A逆时针旋至如图2所示的位置上,则线段 与 的位置关系是 114 试卷第页,共3页 资料整理【淘宝店铺:向阳百分百】 学科网(北京)股份有限公司关注公众号:陆陆高分冲刺 ~领取:最新版“小中高考-总复习”、最新试卷下载 ______,数量关系是______. (2)若 将 绕点A逆时针旋转,则(1)中的结论是否仍然成立?若成立,请就图3 所示的情况加以证明;若不成立,请写出正确结论,并说明理由. (3)若 , ,将 旋转至 时,请直接写出 的长. 【答案】(1)BE=DF,BE⊥DF; (2)结论:DF=nBE,BE⊥DF,证明见祥解; (3)满足条件的PD的值为6 ﹣5或6 +5. 【分析】(1)如图2中,结论:BE=DF,BE⊥DF.证明△ABE≌△ADF(SAS),利用全等三角形的性质可 得结论; (2)结论:DF=nBE,BE⊥DF,证明△ABE∽△ADF(SAS),利用相似三角形的性质可得结论; (3)分两种情形画出图形,利用相似三角形的性质以及勾股定理求解即可. 【详解】解:(1)如图2中,结论:BE=DF,BE⊥DF, 理由:∵四边形ABCD是矩形,AB=AD, ∴四边形ABCD是正方形, AE= AB,AF= AD, ∴AE=AF, ∵∠DAB=∠EAF=90°, ∴∠BAE=∠DAF, ∴△ABE≌△ADF(SAS), ∴BE=DF,∠ABE=∠ADF, ∵∠ABE+∠AHB=90°,∠AHB=∠DHP, ∴∠ADF+∠PHD=90°, ∴∠DPH=90°, ∴BE⊥DF, 故答案为:BE=DF,BE⊥DF; 115 试卷第页,共3页 资料整理【淘宝店铺:向阳百分百】 学科网(北京)股份有限公司关注公众号:陆陆高分冲刺 ~领取:最新版“小中高考-总复习”、最新试卷下载 (2)如图3中,结论不成立,结论:DF=nBE,BE⊥DF, ∵AE= AB,AF= AD,AD=nAB, ∴ AD=n AB,即AF=nAE, ∴AF∶AE= AD∶AB, ∴AF∶AE=AD∶AB, ∵∠DAB=∠EAF=90°, ∴ ∴∠BAE=∠DAF, ∴△BAE∽△DAF, ∴DF∶BE=AF∶AE=n:1,∠ABE=∠ADF, ∴DF=nBE, ∵∠ABE+∠AHB=90°,∠AHB=∠DHP, ∴∠ADF+∠PHD=90°, ∴∠DPH=90°, ∴BE⊥DF; (3)如图4﹣1中,当点P在BE的延长线上时, 116 试卷第页,共3页 资料整理【淘宝店铺:向阳百分百】 学科网(北京)股份有限公司关注公众号:陆陆高分冲刺 ~领取:最新版“小中高考-总复习”、最新试卷下载 在Rt△AEB中, ∵∠AEB=90°,AB=10,AE=5, ∴BE= =5 , ∵△ABE∽△ADF, ∴ = , ∴ = , ∴DF=6 , ∵四边形AEPF是矩形, ∴AE=PF=5, ∴PD=DF﹣PF=6 ﹣5; 如图4﹣2中,当点P在线段BE上时, 在Rt△AEB中, ∵∠AEB=90°,AB=10,AE=5, ∴BE= =5 , ∵△ABE∽△ADF, ∴ = , ∴ = , ∴DF=6 , PF=AE=5, ∴PD=DF+PF=6 +5, 综上所述,满足条件的PD的值为6 ﹣5或6 +5. 117 试卷第页,共3页 资料整理【淘宝店铺:向阳百分百】 学科网(北京)股份有限公司关注公众号:陆陆高分冲刺 ~领取:最新版“小中高考-总复习”、最新试卷下载 【点睛】此题考查了矩形的性质,全等三角形的判定及性质,旋转的性质,相似三角形的判定及性质,勾 股定理,注意应用分类思想解决问题, 是一道较难的几何综合题. 47.如图1,正方形 的边长为5,点E、F分别是边 、 上一点,且四边形 为边长为2的 正方形,连接 . (1)在图1中,求 的值; (2)将图1中的正方形 绕点B旋转一周,探究 的值是否变化?若不变,请利用图2求出该值; 若变化请说明理由; (3)当正方形 旋转至D,G,E三点共线时,求 的长. 【答案】(1) ;(2)不变, ;(3) 或 【分析】(1)延长EG交AD于H,解直角三角形求出DH,GD即可解决问题; (2)连接BD,BG,证明△CBE∽△DBG即可求解; (3)分两种情况:①当点G落在DE的延长线上时,利用勾股定理及(2)的结论即可解答,②当点G落在 DE上时,同法可求解. 【详解】解:(1)延长 交 于点H; ∵四边形ABCD,四边形BEGF为正方形, 118 试卷第页,共3页 资料整理【淘宝店铺:向阳百分百】 学科网(北京)股份有限公司关注公众号:陆陆高分冲刺 ~领取:最新版“小中高考-总复习”、最新试卷下载 ∴AB=BC=CD=AD=5,BE=EG=GF=FB=2,AB∥EG,AD∥BC∥FG, ∴AH=BE=2,DH=CE=BC=BE=3,GH=AF=AB=BF=3,GH⊥AD, 在Rt△DGH中, ; ∴ ; ∴ (2)连接 , ; ∵四边形ABCD,四边形BEGF为正方形, ∴∠DBC=∠DBA=45°,∠GBE=45°, ; ∴∠DBC+∠EBD=∠GBE+∠EBD,即∠CBE=∠DBG, ∵BC=5,BE=2, ∴ , ; ∴ ; ∴ ∴ ∴ , ∴ 即 的值不变, 119 试卷第页,共3页 资料整理【淘宝店铺:向阳百分百】 学科网(北京)股份有限公司关注公众号:陆陆高分冲刺 ~领取:最新版“小中高考-总复习”、最新试卷下载 (3)①当点G在线段 延长线上时,(如图1) 由(2)知: ,∴ . 在 中, , , ∴ , ∴ ②当点G在线段 上时,(如图2) 120 试卷第页,共3页 资料整理【淘宝店铺:向阳百分百】 学科网(北京)股份有限公司关注公众号:陆陆高分冲刺 ~领取:最新版“小中高考-总复习”、最新试卷下载 由(2)知:∴ ,∴ . 在 中, , , ∴ , ∴ 综上: 或 【点睛】本题考查四边形综合题,考查了正方形的性质,旋转变换,相似三角形的判定和性质等知识,解 题的关键是正确寻找相似三角形解决问题,学会用分类讨论的思想思考问题,属于中考常考题型. 48.如图,在 中, ,将 绕点C旋转得到 ,连接AD. (1)如图1,点E恰好落在线段AB上. ①求证: ; ②猜想 和 的关系,并说明理由; (2)如图2,在旋转过程中,射线BE交线段AC于点F,若 , ,求CF的长. 121 试卷第页,共3页 资料整理【淘宝店铺:向阳百分百】 学科网(北京)股份有限公司关注公众号:陆陆高分冲刺 ~领取:最新版“小中高考-总复习”、最新试卷下载 【答案】(1)①见解析;② ,理由见解析 (2)3或 【分析】(1)①由旋转的性质得 , , ,根据相似的判定定理即可得证; ②由旋转和相似三角形的性质得 ,由 得 ,故 ,代换即可得出结果; (2)设 ,作 于H,射线BE交线段AC于点F,则 ,由旋转可证 ,由相似三角形的性质得 , 即 ,由此可证 ,故 ,求得 ,分情况讨论:①当线段BE交AC于F时、当射线 BE交AC于F时,根据相似比求出x的值,再根据勾股定理即可求出CF的长. 【详解】(1)①∵将 绕点C旋转得到 , ∴ , , , ∴ , , ∴ ; ② ,理由如下: ∵将 绕点C旋转得到 , ∴ , ∵ , , , ∴ , ∵ , ∴ , ∴ , ∴ ; 122 试卷第页,共3页 资料整理【淘宝店铺:向阳百分百】 学科网(北京)股份有限公司关注公众号:陆陆高分冲刺 ~领取:最新版“小中高考-总复习”、最新试卷下载 (2) 设 ,作 于H,射线BE交线段AC于点F,则 , ∵将 绕点C旋转得到 , ∴ , , , ∴ , , ∴ , ∴ , ,即 , ∵ , ∴ , ∴ , ∵ , , ∴ ①当线段BE交AC于F时 , 123 试卷第页,共3页 资料整理【淘宝店铺:向阳百分百】 学科网(北京)股份有限公司关注公众号:陆陆高分冲刺 ~领取:最新版“小中高考-总复习”、最新试卷下载 解得 , (舍), ∴ , ②当射线BE交AC于F时 , 解得 (舍), , ∴ , 综上,CF的长为3或 . 【点睛】本题考查相似三角形的判定与性质以及旋转的性质,掌握相似三角形的判定定理以及性质是解题 的关键. 49.△ABC中,∠BAC=90°,AB=AC,点D在边BC上,BD BC,将线段DB绕点D顺时针旋转α至DE, 连接BE,CE,以CE为斜边在其一侧作等腰直角三角形CEF,连接AF. (1)如图1,当α=180°时,请直接写出线段AF与线段BE的数量关系; (2)当0°<α<180°时, ①如图2,(1)中线段AF与线段BE的数量关系是否仍然成立?请说明理由; 124 试卷第页,共3页 资料整理【淘宝店铺:向阳百分百】 学科网(北京)股份有限公司关注公众号:陆陆高分冲刺 ~领取:最新版“小中高考-总复习”、最新试卷下载 ②如图3,当BC=10,且点B,E,F三点共线时,求线段AF的长. 【答案】(1) ; (2)①仍然成立,理由见解析;②2 . 【分析】(1)根据题意得BD=DE=EC= BC,进而可得△ABC∽△FEC,得出 ,由BC= AC, 推出 ,即可得出答案; (2)①可证得△ACF∽△BCE,从而得出结果; ②作DG⊥BF于G,可推出△BDG∽△BCF,进而得出BG= BF,DG= CF,进一步得出DG= BG,进而在 Rt△BDG中根据勾股定理求得BG,进一步求得结果. 【详解】(1)当α=180°时,点E在线段BC上, ∵BD= BC, ∴DE=BD= BC, ∴BD=DE=EC, ∵△CEF是等腰直角三角形, ∴∠CFE=∠BAC=90°, ∵∠ECF=∠BCA=45°, ∴△ABC∽△FEC, ∴ , ∴ , ∵BC= AC, ∴ , 125 试卷第页,共3页 资料整理【淘宝店铺:向阳百分百】 学科网(北京)股份有限公司关注公众号:陆陆高分冲刺 ~领取:最新版“小中高考-总复习”、最新试卷下载 ∴ ,即 , ∴ ; (2)① 仍然成立, 理由如下: 如图2,∵△CEF是等腰直角三角形, ∴∠ECF=45°, , ∵在△ABC中,∠BAC=90°,AB=AC, ∴∠BCA=45°, = , ∴∠ECF=∠BCA, , ∴∠ACF+∠ACE=∠BCE+∠ACE, ∴∠ACF=∠BCE, ∵ , ∴△CAF∽△CBE, ∴ , ∴ 仍然成立. ②如图, 作DG⊥BF于G, 126 试卷第页,共3页 资料整理【淘宝店铺:向阳百分百】 学科网(北京)股份有限公司关注公众号:陆陆高分冲刺 ~领取:最新版“小中高考-总复习”、最新试卷下载 ∴∠BGD=90°, ∵∠CFE=90°, ∴DG∥CF, ∴△BDG∽△BCF, ∴ , ∴BG= BF,DG= CF, ∵BD=DE, ∴BG=GE, ∴EF=GE=BG, ∵EF=CF, ∴DG= BG, 在Rt△BDG中, BG2+DG2=BD2, ∴BG2+( BG)2=( )2, ∴BG= , ∴BE=2 , 由(2)得:AF= BE, ∴AF=2 × =2 . 【点睛】本题考查了相似三角形的判定和性质,等腰直角三角形的性质,勾股定理等知识,解决问题的关 键是作辅助线,构造相似三角形. 50.如图,四边形ABCD和四边形AEFG是矩形且 ,点E线段BD上. 127 试卷第页,共3页 资料整理【淘宝店铺:向阳百分百】 学科网(北京)股份有限公司关注公众号:陆陆高分冲刺 ~领取:最新版“小中高考-总复习”、最新试卷下载 (1)连接DG,求证:∠BDG=90°; (2)连接DF,当AB=AE时,求证:DF=FG; (3)在(2)的条件下,连接EG,若∠DGE=45°,AB=2,求AD的长. 【答案】(1)见解析 (2)见解析 (3) 【分析】(1)利用两边成比例且夹角相等,可证明△ABE∽△ADG,得∠AEB=∠AGD,再利用EF∥AG,得 ∠EMD=∠AGD,则∠EMD=∠AEB,从而解决问题; (2)由SAS可证明△DEF≌△EDA,得DF=EA,即可证明结论; (3)由∠EDG=∠EFG=90°,得D,E,F,G四点共圆,证明△ANE是等腰直角三角形,得NE=AE=AB= 2,AN= AE=2 ,从而求出答案. 【详解】(1)证明:∵∠BAE+∠EAD=∠BAD=90°, ∠DAG+∠EAD=∠EAG=90°, ∴∠BAE=∠DAG, 又∵ , ∴△ABE∽△ADG, ∴∠AEB=∠AGD, 设EF交DG于M, 128 试卷第页,共3页 资料整理【淘宝店铺:向阳百分百】 学科网(北京)股份有限公司关注公众号:陆陆高分冲刺 ~领取:最新版“小中高考-总复习”、最新试卷下载 ∵EF∥AG, ∴∠EMD=∠AGD, ∴∠EMD=∠AEB, ∵∠AEF=90°, ∴∠AEB+∠DEM=180°﹣∠AEF=90°, 即∠EMD+∠DEM=90°, ∴∠BDG=∠EDM=180°﹣(∠DEM+∠DME)=90°; (2)证明:∵ ,AB=AE, ∴AD=AG,∠ADG=∠AGD, ∵AG=FE, ∴FE=AD, ∵△ABE∽△ADG, ∴∠AEB=∠AGD=∠ADG, ∵∠DEF=90°﹣∠AEB,∠EDA=∠EDG﹣∠ADG=90°﹣∠ADG, ∴∠DEF=∠EDA, 在△DEF与△EDA中, , ∴△DEF≌△EDA(SAS), ∴DF=EA, ∵EA=FG, ∴DF=FG; (3)解:∵∠EDG=∠EFG=90°, 129 试卷第页,共3页 资料整理【淘宝店铺:向阳百分百】 学科网(北京)股份有限公司关注公众号:陆陆高分冲刺 ~领取:最新版“小中高考-总复习”、最新试卷下载 ∴D,E,F,G四点共圆, 设EF交AD于N, ∵∠DGE=45°, ∴∠DFE=45°, ∵△DEF≌△EDA, ∴∠EAD=∠DFE=45°, ∵∠AEN=90°, ∴△ANE是等腰直角三角形, ∴NE=AE=AB=2,AN= AE=2 , ∵△DEF≌△EDA, ∴∠FED=∠ADE, ∴ND=NE=2, ∴AD=AN+ND=2 +2. 【点睛】本题是相似形综合题,主要考查了矩形的性质,相似三角形的判定与性质,全等三角形的判定与 性质,等腰直角三角形的判定与性质等知识,利用四点共圆得出∠DFE=45°是解题的关键. 51.如图,在矩形 中, ,点G为边 上一点,过点G作 ,且 , 交 于点F,连接 . (1)求证: ; (2)连接 ,求证: ; (3)当点E正好在BD的延长线上时,求BG的长. 【答案】(1)见解析 (2)见解析 130 试卷第页,共3页 资料整理【淘宝店铺:向阳百分百】 学科网(北京)股份有限公司关注公众号:陆陆高分冲刺 ~领取:最新版“小中高考-总复习”、最新试卷下载 (3) 的长为 【分析】(1)根据两个角对应相等的三角形相似进行判定即可; (2)连接 ,交 于M点,由 得 ,进一步证得 和 ,得到 ,最终根据余角性质推出 ,即可得证; (3)作 的延长线于H点,设 ,根据 ,分别表示出 , ,再通过 建立方程求解并检验即可. 【详解】(1)证明:∵四边形 为矩形, ∴ , ∵ , ∴ , ∴ , ∴ , ∴ (2)证明:连接 ,交 于M点,如图所示: ∵四边形 为矩形, ∴ , ∵ , , ∴ , 又∵ , ∴ , , ∵ , ∴ , ∴ , 又∵ , 131 试卷第页,共3页 资料整理【淘宝店铺:向阳百分百】 学科网(北京)股份有限公司关注公众号:陆陆高分冲刺 ~领取:最新版“小中高考-总复习”、最新试卷下载 ∴ , ∴ , 即: , ∴ , ∴ . (3)解:如图,作 的延长线于H点,设 , , , , , , , ∵ , , ∴ , , 则 , ∵ , , ∵ , ∴ , ∴ , 解得: , 经检验, 是原分式方程的解, ∴ 的长为 . 【点睛】本题主要考查相似三角形的判定与性质综合,矩形的性质,余角的性质,熟练掌握并灵活运用相 似三角形的各种判定方法是解题关键. 52.图形的旋转变换是研究数学相关问题的重要手段之一,小华和小芳对等腰直角三角形的旋转变换进行 132 试卷第页,共3页 资料整理【淘宝店铺:向阳百分百】 学科网(北京)股份有限公司关注公众号:陆陆高分冲刺 ~领取:最新版“小中高考-总复习”、最新试卷下载 了研究.如图(1),已知 和 均为等腰直角三角形,点 , 分别在线段 , 上,且 . (1)观察猜想 小华将 绕点 逆时针旋转,连接 , ,如图(2),当 的延长线恰好经过点 时: ① 的值为________; ② 的度数为________度; (2)类比探究 如图(3),小芳在小华的基础上继续旋转 ,连接 , ,设 的延长线交 于点 ,(1) 中的两个结论是否仍然成立?请说明理由. (3)拓展延伸 若 , ,当 所在的直线垂直于 时,请你直接写出 的长. 【答案】(1)① ;②45 (2)成立,理由见解析 (3) 或 【分析】(1)如图(2)中,设 交 于点 .证明 ,推出 , ,再证明 ,可得结论. (2)如图(3)中,设 交 于点 .证明 ,可得结论. (3)分两种情形:如图(4) 中,当 于 时,如图(4) 中,当 时,延长 交 于 .分别求出 ,可得结论. 【详解】(1)如图(2)中,设 交 于点 . 133 试卷第页,共3页 资料整理【淘宝店铺:向阳百分百】 学科网(北京)股份有限公司关注公众号:陆陆高分冲刺 ~领取:最新版“小中高考-总复习”、最新试卷下载 , 都是等腰直角三角形, , , , , , , , , , , 故答案为: ,45. (2)如图(3)中,设 交 于点 . , 都是等腰直角三角形, , , , , , , , , , , 134 试卷第页,共3页 资料整理【淘宝店铺:向阳百分百】 学科网(北京)股份有限公司关注公众号:陆陆高分冲刺 ~领取:最新版“小中高考-总复习”、最新试卷下载 , . (3)如图(4) 中,当 于 时, , , , , , , , , , . 如图(4) 中,当 时,延长 交 于 . 同法可得 , , , , 综上所述, 的长为 或 . 【点睛】本题属于几何变换综合题,考查了等腰直角三角形的性质,相似三角形的判定和性质等知识,解 题的关键是正确寻找相似三角形解决问题,属于中考压轴题. 135 试卷第页,共3页 资料整理【淘宝店铺:向阳百分百】 学科网(北京)股份有限公司关注公众号:陆陆高分冲刺 ~领取:最新版“小中高考-总复习”、最新试卷下载 53.如图1,在矩形 中,已知 . ,点E、F分别是 、 的中点,连接 .将 绕点C按顺时针方向旋转,记旋转角为α. (1)问题发现: ①当 时, = ;②当 时, = ; (2)拓展探究: 将 绕点C按顺时针方向旋转到如图2的位置,求此时 的值; (3)问题解决: 当 旋转至A、F、E三点共线时,求线段 的长(写出必要的解题过程). 【答案】(1) ; (2) (3) 或 【分析】(1)①根据矩形 中, . , ,运用勾股定理得到 ,当 时,根据E、F分别是 、 的中点,得到 , ,即可求得 ;②当 时,由 ,得到 ; (2)连接 ,根据旋转性质得到 ,结合 ,推出 ,推出 ; (3)根据 ,求出 ,根据 ,得到 ,当点F 136 试卷第页,共3页 资料整理【淘宝店铺:向阳百分百】 学科网(北京)股份有限公司关注公众号:陆陆高分冲刺 ~领取:最新版“小中高考-总复习”、最新试卷下载 在线段 上时, 结合 ,得到 ,得到 ;当点F在线段 延长线上时,得到 ,得到 . 【详解】(1)解:(1)①当 时,见题干图1, ∵矩形 中, . , , ∴ , ∵点E、F分别是 、 的中点, ∴ 是 的中位线, ∴ , , ∴ , 故答案为: ; ②当 时,如图1, ∵ , ∴ , 故答案为: ; (2)如图2,连接 , 由旋转知, , ∵ , ∴ , 137 试卷第页,共3页 资料整理【淘宝店铺:向阳百分百】 学科网(北京)股份有限公司关注公众号:陆陆高分冲刺 ~领取:最新版“小中高考-总复习”、最新试卷下载 ∴ ; (3)A、F、E三点共线时, , ∵ , , ∴ , ∵ , ∴ , 当点F在线段 上时,如图3, ∵ , ∴ , ∴ ; 当点F在线段 延长线上时,如图4, , ∴ ; 138 试卷第页,共3页 资料整理【淘宝店铺:向阳百分百】 学科网(北京)股份有限公司关注公众号:陆陆高分冲刺 ~领取:最新版“小中高考-总复习”、最新试卷下载 故 的长度为 或 . 【点睛】本题主要考查了四边形和三角形旋转的综合.解决问题的关键是熟练掌握旋转的性质,相似三角 形的判定与性质,勾股定理解直角三角形.注意分类讨论. 54.如图1,在 中, , , ,点D,E分别是 中点,连接 .在同一平面内,将 绕点A逆时针旋转,射线 相交于点P. (1)如图2,在旋转过程中, 的角度是否不变?若不变,请求出 的度数. (2)如图2,当 时,求线段 的长. (3)连接 ,当线段 取得最小值时,求线段 的值. 【答案】(1)不变, (2) (3) 或 【分析】(1)首先证明出 ,然后根据三角形内角和证明即可; (2)连接 .首先证明出 ,进而得到 ,然后证明出 和 ,利用相似三角形的性质得到 ,然后利用勾股定理求出 139 试卷第页,共3页 资料整理【淘宝店铺:向阳百分百】 学科网(北京)股份有限公司关注公众号:陆陆高分冲刺 ~领取:最新版“小中高考-总复习”、最新试卷下载 ,最后利用相似三角形的性质求解即可; (3)根据题意分两种情况讨论,当E,P第一次重合时和当E,P第二次重合时,分别根据勾股定理和相似 三角形的性质求解即可. 【详解】(1)不变,理由如下: ∵点D,E分别为 中点, ∴ . ∵ , ∴ . ∴ , ∴ . ∵ , ∴ . (2)连接 . ∵ , , ∴ , ∴ . ∵ , ∴ . ∴ , ∴ . ∵ , , ∴ , ∴ , 140 试卷第页,共3页 资料整理【淘宝店铺:向阳百分百】 学科网(北京)股份有限公司关注公众号:陆陆高分冲刺 ~领取:最新版“小中高考-总复习”、最新试卷下载 ∴ . ∵ , , ,点D,E分别是 中点, ∴ , ∴ . ∴ . ∵ , , ∴ . ∴ , ∴ . (3)①如备用图1,当E,P第一次重合时, 在 运动的过程中, , , ∴当 最大时, 的值最小. 在 中, , ∴ ,∴ . 过点D作 于点F,由 , 可得 , . ∴ . ∴ . 141 试卷第页,共3页 资料整理【淘宝店铺:向阳百分百】 学科网(北京)股份有限公司关注公众号:陆陆高分冲刺 ~领取:最新版“小中高考-总复习”、最新试卷下载 ②如备用图2,当E,P第二次重合时, 与①同理, , 可证 ,可得 , ∴ . 连接 ,则 . 综上所述, 或 . 【点睛】此题考查了旋转综合题,相似三角形的性质和判定,勾股定理等知识,解题的关键是熟练掌握以 上知识点. 142 试卷第页,共3页 资料整理【淘宝店铺:向阳百分百】 学科网(北京)股份有限公司