当前位置:首页>文档>中考数学几何专项练习:相似模型--平行线构造“A、X”型相似三角形(解析版)_02中考总复习(2026版更新中)_02-数学-中考总复习_2024年中考复习资料_专项复习资料_解析版

中考数学几何专项练习:相似模型--平行线构造“A、X”型相似三角形(解析版)_02中考总复习(2026版更新中)_02-数学-中考总复习_2024年中考复习资料_专项复习资料_解析版

  • 2026-05-02 05:54:42 2026-04-07 01:27:54

文档预览

中考数学几何专项练习:相似模型--平行线构造“A、X”型相似三角形(解析版)_02中考总复习(2026版更新中)_02-数学-中考总复习_2024年中考复习资料_专项复习资料_解析版
中考数学几何专项练习:相似模型--平行线构造“A、X”型相似三角形(解析版)_02中考总复习(2026版更新中)_02-数学-中考总复习_2024年中考复习资料_专项复习资料_解析版
中考数学几何专项练习:相似模型--平行线构造“A、X”型相似三角形(解析版)_02中考总复习(2026版更新中)_02-数学-中考总复习_2024年中考复习资料_专项复习资料_解析版
中考数学几何专项练习:相似模型--平行线构造“A、X”型相似三角形(解析版)_02中考总复习(2026版更新中)_02-数学-中考总复习_2024年中考复习资料_专项复习资料_解析版
中考数学几何专项练习:相似模型--平行线构造“A、X”型相似三角形(解析版)_02中考总复习(2026版更新中)_02-数学-中考总复习_2024年中考复习资料_专项复习资料_解析版
中考数学几何专项练习:相似模型--平行线构造“A、X”型相似三角形(解析版)_02中考总复习(2026版更新中)_02-数学-中考总复习_2024年中考复习资料_专项复习资料_解析版
中考数学几何专项练习:相似模型--平行线构造“A、X”型相似三角形(解析版)_02中考总复习(2026版更新中)_02-数学-中考总复习_2024年中考复习资料_专项复习资料_解析版
中考数学几何专项练习:相似模型--平行线构造“A、X”型相似三角形(解析版)_02中考总复习(2026版更新中)_02-数学-中考总复习_2024年中考复习资料_专项复习资料_解析版
中考数学几何专项练习:相似模型--平行线构造“A、X”型相似三角形(解析版)_02中考总复习(2026版更新中)_02-数学-中考总复习_2024年中考复习资料_专项复习资料_解析版
中考数学几何专项练习:相似模型--平行线构造“A、X”型相似三角形(解析版)_02中考总复习(2026版更新中)_02-数学-中考总复习_2024年中考复习资料_专项复习资料_解析版
中考数学几何专项练习:相似模型--平行线构造“A、X”型相似三角形(解析版)_02中考总复习(2026版更新中)_02-数学-中考总复习_2024年中考复习资料_专项复习资料_解析版
中考数学几何专项练习:相似模型--平行线构造“A、X”型相似三角形(解析版)_02中考总复习(2026版更新中)_02-数学-中考总复习_2024年中考复习资料_专项复习资料_解析版
中考数学几何专项练习:相似模型--平行线构造“A、X”型相似三角形(解析版)_02中考总复习(2026版更新中)_02-数学-中考总复习_2024年中考复习资料_专项复习资料_解析版
中考数学几何专项练习:相似模型--平行线构造“A、X”型相似三角形(解析版)_02中考总复习(2026版更新中)_02-数学-中考总复习_2024年中考复习资料_专项复习资料_解析版
中考数学几何专项练习:相似模型--平行线构造“A、X”型相似三角形(解析版)_02中考总复习(2026版更新中)_02-数学-中考总复习_2024年中考复习资料_专项复习资料_解析版
中考数学几何专项练习:相似模型--平行线构造“A、X”型相似三角形(解析版)_02中考总复习(2026版更新中)_02-数学-中考总复习_2024年中考复习资料_专项复习资料_解析版
中考数学几何专项练习:相似模型--平行线构造“A、X”型相似三角形(解析版)_02中考总复习(2026版更新中)_02-数学-中考总复习_2024年中考复习资料_专项复习资料_解析版
中考数学几何专项练习:相似模型--平行线构造“A、X”型相似三角形(解析版)_02中考总复习(2026版更新中)_02-数学-中考总复习_2024年中考复习资料_专项复习资料_解析版
中考数学几何专项练习:相似模型--平行线构造“A、X”型相似三角形(解析版)_02中考总复习(2026版更新中)_02-数学-中考总复习_2024年中考复习资料_专项复习资料_解析版
中考数学几何专项练习:相似模型--平行线构造“A、X”型相似三角形(解析版)_02中考总复习(2026版更新中)_02-数学-中考总复习_2024年中考复习资料_专项复习资料_解析版
中考数学几何专项练习:相似模型--平行线构造“A、X”型相似三角形(解析版)_02中考总复习(2026版更新中)_02-数学-中考总复习_2024年中考复习资料_专项复习资料_解析版
中考数学几何专项练习:相似模型--平行线构造“A、X”型相似三角形(解析版)_02中考总复习(2026版更新中)_02-数学-中考总复习_2024年中考复习资料_专项复习资料_解析版
中考数学几何专项练习:相似模型--平行线构造“A、X”型相似三角形(解析版)_02中考总复习(2026版更新中)_02-数学-中考总复习_2024年中考复习资料_专项复习资料_解析版
中考数学几何专项练习:相似模型--平行线构造“A、X”型相似三角形(解析版)_02中考总复习(2026版更新中)_02-数学-中考总复习_2024年中考复习资料_专项复习资料_解析版
中考数学几何专项练习:相似模型--平行线构造“A、X”型相似三角形(解析版)_02中考总复习(2026版更新中)_02-数学-中考总复习_2024年中考复习资料_专项复习资料_解析版
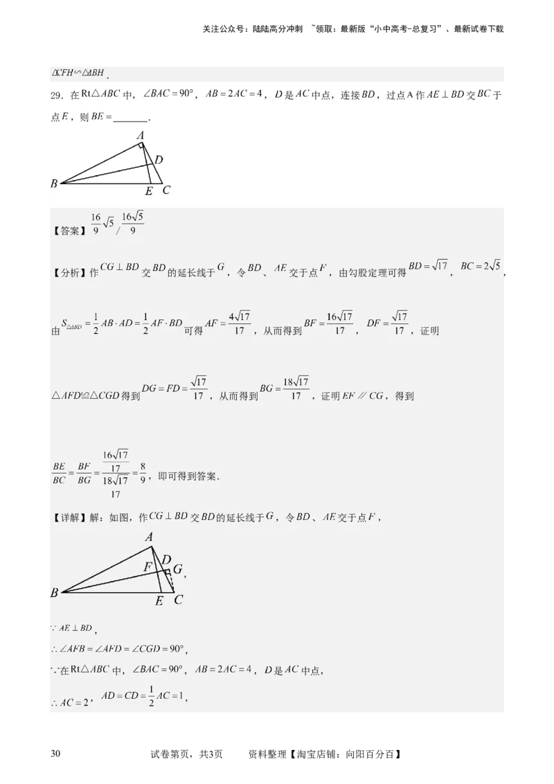
中考数学几何专项练习:相似模型--平行线构造“A、X”型相似三角形(解析版)_02中考总复习(2026版更新中)_02-数学-中考总复习_2024年中考复习资料_专项复习资料_解析版
中考数学几何专项练习:相似模型--平行线构造“A、X”型相似三角形(解析版)_02中考总复习(2026版更新中)_02-数学-中考总复习_2024年中考复习资料_专项复习资料_解析版
中考数学几何专项练习:相似模型--平行线构造“A、X”型相似三角形(解析版)_02中考总复习(2026版更新中)_02-数学-中考总复习_2024年中考复习资料_专项复习资料_解析版
中考数学几何专项练习:相似模型--平行线构造“A、X”型相似三角形(解析版)_02中考总复习(2026版更新中)_02-数学-中考总复习_2024年中考复习资料_专项复习资料_解析版
中考数学几何专项练习:相似模型--平行线构造“A、X”型相似三角形(解析版)_02中考总复习(2026版更新中)_02-数学-中考总复习_2024年中考复习资料_专项复习资料_解析版
中考数学几何专项练习:相似模型--平行线构造“A、X”型相似三角形(解析版)_02中考总复习(2026版更新中)_02-数学-中考总复习_2024年中考复习资料_专项复习资料_解析版
中考数学几何专项练习:相似模型--平行线构造“A、X”型相似三角形(解析版)_02中考总复习(2026版更新中)_02-数学-中考总复习_2024年中考复习资料_专项复习资料_解析版
中考数学几何专项练习:相似模型--平行线构造“A、X”型相似三角形(解析版)_02中考总复习(2026版更新中)_02-数学-中考总复习_2024年中考复习资料_专项复习资料_解析版
中考数学几何专项练习:相似模型--平行线构造“A、X”型相似三角形(解析版)_02中考总复习(2026版更新中)_02-数学-中考总复习_2024年中考复习资料_专项复习资料_解析版
中考数学几何专项练习:相似模型--平行线构造“A、X”型相似三角形(解析版)_02中考总复习(2026版更新中)_02-数学-中考总复习_2024年中考复习资料_专项复习资料_解析版
中考数学几何专项练习:相似模型--平行线构造“A、X”型相似三角形(解析版)_02中考总复习(2026版更新中)_02-数学-中考总复习_2024年中考复习资料_专项复习资料_解析版
中考数学几何专项练习:相似模型--平行线构造“A、X”型相似三角形(解析版)_02中考总复习(2026版更新中)_02-数学-中考总复习_2024年中考复习资料_专项复习资料_解析版
中考数学几何专项练习:相似模型--平行线构造“A、X”型相似三角形(解析版)_02中考总复习(2026版更新中)_02-数学-中考总复习_2024年中考复习资料_专项复习资料_解析版
中考数学几何专项练习:相似模型--平行线构造“A、X”型相似三角形(解析版)_02中考总复习(2026版更新中)_02-数学-中考总复习_2024年中考复习资料_专项复习资料_解析版
中考数学几何专项练习:相似模型--平行线构造“A、X”型相似三角形(解析版)_02中考总复习(2026版更新中)_02-数学-中考总复习_2024年中考复习资料_专项复习资料_解析版
中考数学几何专项练习:相似模型--平行线构造“A、X”型相似三角形(解析版)_02中考总复习(2026版更新中)_02-数学-中考总复习_2024年中考复习资料_专项复习资料_解析版
中考数学几何专项练习:相似模型--平行线构造“A、X”型相似三角形(解析版)_02中考总复习(2026版更新中)_02-数学-中考总复习_2024年中考复习资料_专项复习资料_解析版
中考数学几何专项练习:相似模型--平行线构造“A、X”型相似三角形(解析版)_02中考总复习(2026版更新中)_02-数学-中考总复习_2024年中考复习资料_专项复习资料_解析版
中考数学几何专项练习:相似模型--平行线构造“A、X”型相似三角形(解析版)_02中考总复习(2026版更新中)_02-数学-中考总复习_2024年中考复习资料_专项复习资料_解析版
中考数学几何专项练习:相似模型--平行线构造“A、X”型相似三角形(解析版)_02中考总复习(2026版更新中)_02-数学-中考总复习_2024年中考复习资料_专项复习资料_解析版
中考数学几何专项练习:相似模型--平行线构造“A、X”型相似三角形(解析版)_02中考总复习(2026版更新中)_02-数学-中考总复习_2024年中考复习资料_专项复习资料_解析版
中考数学几何专项练习:相似模型--平行线构造“A、X”型相似三角形(解析版)_02中考总复习(2026版更新中)_02-数学-中考总复习_2024年中考复习资料_专项复习资料_解析版
中考数学几何专项练习:相似模型--平行线构造“A、X”型相似三角形(解析版)_02中考总复习(2026版更新中)_02-数学-中考总复习_2024年中考复习资料_专项复习资料_解析版
中考数学几何专项练习:相似模型--平行线构造“A、X”型相似三角形(解析版)_02中考总复习(2026版更新中)_02-数学-中考总复习_2024年中考复习资料_专项复习资料_解析版
中考数学几何专项练习:相似模型--平行线构造“A、X”型相似三角形(解析版)_02中考总复习(2026版更新中)_02-数学-中考总复习_2024年中考复习资料_专项复习资料_解析版
中考数学几何专项练习:相似模型--平行线构造“A、X”型相似三角形(解析版)_02中考总复习(2026版更新中)_02-数学-中考总复习_2024年中考复习资料_专项复习资料_解析版
中考数学几何专项练习:相似模型--平行线构造“A、X”型相似三角形(解析版)_02中考总复习(2026版更新中)_02-数学-中考总复习_2024年中考复习资料_专项复习资料_解析版
中考数学几何专项练习:相似模型--平行线构造“A、X”型相似三角形(解析版)_02中考总复习(2026版更新中)_02-数学-中考总复习_2024年中考复习资料_专项复习资料_解析版
中考数学几何专项练习:相似模型--平行线构造“A、X”型相似三角形(解析版)_02中考总复习(2026版更新中)_02-数学-中考总复习_2024年中考复习资料_专项复习资料_解析版
中考数学几何专项练习:相似模型--平行线构造“A、X”型相似三角形(解析版)_02中考总复习(2026版更新中)_02-数学-中考总复习_2024年中考复习资料_专项复习资料_解析版
中考数学几何专项练习:相似模型--平行线构造“A、X”型相似三角形(解析版)_02中考总复习(2026版更新中)_02-数学-中考总复习_2024年中考复习资料_专项复习资料_解析版
中考数学几何专项练习:相似模型--平行线构造“A、X”型相似三角形(解析版)_02中考总复习(2026版更新中)_02-数学-中考总复习_2024年中考复习资料_专项复习资料_解析版
中考数学几何专项练习:相似模型--平行线构造“A、X”型相似三角形(解析版)_02中考总复习(2026版更新中)_02-数学-中考总复习_2024年中考复习资料_专项复习资料_解析版
中考数学几何专项练习:相似模型--平行线构造“A、X”型相似三角形(解析版)_02中考总复习(2026版更新中)_02-数学-中考总复习_2024年中考复习资料_专项复习资料_解析版
中考数学几何专项练习:相似模型--平行线构造“A、X”型相似三角形(解析版)_02中考总复习(2026版更新中)_02-数学-中考总复习_2024年中考复习资料_专项复习资料_解析版
中考数学几何专项练习:相似模型--平行线构造“A、X”型相似三角形(解析版)_02中考总复习(2026版更新中)_02-数学-中考总复习_2024年中考复习资料_专项复习资料_解析版
中考数学几何专项练习:相似模型--平行线构造“A、X”型相似三角形(解析版)_02中考总复习(2026版更新中)_02-数学-中考总复习_2024年中考复习资料_专项复习资料_解析版
中考数学几何专项练习:相似模型--平行线构造“A、X”型相似三角形(解析版)_02中考总复习(2026版更新中)_02-数学-中考总复习_2024年中考复习资料_专项复习资料_解析版
中考数学几何专项练习:相似模型--平行线构造“A、X”型相似三角形(解析版)_02中考总复习(2026版更新中)_02-数学-中考总复习_2024年中考复习资料_专项复习资料_解析版
中考数学几何专项练习:相似模型--平行线构造“A、X”型相似三角形(解析版)_02中考总复习(2026版更新中)_02-数学-中考总复习_2024年中考复习资料_专项复习资料_解析版
中考数学几何专项练习:相似模型--平行线构造“A、X”型相似三角形(解析版)_02中考总复习(2026版更新中)_02-数学-中考总复习_2024年中考复习资料_专项复习资料_解析版
中考数学几何专项练习:相似模型--平行线构造“A、X”型相似三角形(解析版)_02中考总复习(2026版更新中)_02-数学-中考总复习_2024年中考复习资料_专项复习资料_解析版
中考数学几何专项练习:相似模型--平行线构造“A、X”型相似三角形(解析版)_02中考总复习(2026版更新中)_02-数学-中考总复习_2024年中考复习资料_专项复习资料_解析版
中考数学几何专项练习:相似模型--平行线构造“A、X”型相似三角形(解析版)_02中考总复习(2026版更新中)_02-数学-中考总复习_2024年中考复习资料_专项复习资料_解析版
中考数学几何专项练习:相似模型--平行线构造“A、X”型相似三角形(解析版)_02中考总复习(2026版更新中)_02-数学-中考总复习_2024年中考复习资料_专项复习资料_解析版
中考数学几何专项练习:相似模型--平行线构造“A、X”型相似三角形(解析版)_02中考总复习(2026版更新中)_02-数学-中考总复习_2024年中考复习资料_专项复习资料_解析版
中考数学几何专项练习:相似模型--平行线构造“A、X”型相似三角形(解析版)_02中考总复习(2026版更新中)_02-数学-中考总复习_2024年中考复习资料_专项复习资料_解析版
中考数学几何专项练习:相似模型--平行线构造“A、X”型相似三角形(解析版)_02中考总复习(2026版更新中)_02-数学-中考总复习_2024年中考复习资料_专项复习资料_解析版
中考数学几何专项练习:相似模型--平行线构造“A、X”型相似三角形(解析版)_02中考总复习(2026版更新中)_02-数学-中考总复习_2024年中考复习资料_专项复习资料_解析版
中考数学几何专项练习:相似模型--平行线构造“A、X”型相似三角形(解析版)_02中考总复习(2026版更新中)_02-数学-中考总复习_2024年中考复习资料_专项复习资料_解析版
中考数学几何专项练习:相似模型--平行线构造“A、X”型相似三角形(解析版)_02中考总复习(2026版更新中)_02-数学-中考总复习_2024年中考复习资料_专项复习资料_解析版
中考数学几何专项练习:相似模型--平行线构造“A、X”型相似三角形(解析版)_02中考总复习(2026版更新中)_02-数学-中考总复习_2024年中考复习资料_专项复习资料_解析版
中考数学几何专项练习:相似模型--平行线构造“A、X”型相似三角形(解析版)_02中考总复习(2026版更新中)_02-数学-中考总复习_2024年中考复习资料_专项复习资料_解析版
中考数学几何专项练习:相似模型--平行线构造“A、X”型相似三角形(解析版)_02中考总复习(2026版更新中)_02-数学-中考总复习_2024年中考复习资料_专项复习资料_解析版
中考数学几何专项练习:相似模型--平行线构造“A、X”型相似三角形(解析版)_02中考总复习(2026版更新中)_02-数学-中考总复习_2024年中考复习资料_专项复习资料_解析版
中考数学几何专项练习:相似模型--平行线构造“A、X”型相似三角形(解析版)_02中考总复习(2026版更新中)_02-数学-中考总复习_2024年中考复习资料_专项复习资料_解析版
中考数学几何专项练习:相似模型--平行线构造“A、X”型相似三角形(解析版)_02中考总复习(2026版更新中)_02-数学-中考总复习_2024年中考复习资料_专项复习资料_解析版
中考数学几何专项练习:相似模型--平行线构造“A、X”型相似三角形(解析版)_02中考总复习(2026版更新中)_02-数学-中考总复习_2024年中考复习资料_专项复习资料_解析版
中考数学几何专项练习:相似模型--平行线构造“A、X”型相似三角形(解析版)_02中考总复习(2026版更新中)_02-数学-中考总复习_2024年中考复习资料_专项复习资料_解析版
中考数学几何专项练习:相似模型--平行线构造“A、X”型相似三角形(解析版)_02中考总复习(2026版更新中)_02-数学-中考总复习_2024年中考复习资料_专项复习资料_解析版
中考数学几何专项练习:相似模型--平行线构造“A、X”型相似三角形(解析版)_02中考总复习(2026版更新中)_02-数学-中考总复习_2024年中考复习资料_专项复习资料_解析版
中考数学几何专项练习:相似模型--平行线构造“A、X”型相似三角形(解析版)_02中考总复习(2026版更新中)_02-数学-中考总复习_2024年中考复习资料_专项复习资料_解析版
中考数学几何专项练习:相似模型--平行线构造“A、X”型相似三角形(解析版)_02中考总复习(2026版更新中)_02-数学-中考总复习_2024年中考复习资料_专项复习资料_解析版
中考数学几何专项练习:相似模型--平行线构造“A、X”型相似三角形(解析版)_02中考总复习(2026版更新中)_02-数学-中考总复习_2024年中考复习资料_专项复习资料_解析版
中考数学几何专项练习:相似模型--平行线构造“A、X”型相似三角形(解析版)_02中考总复习(2026版更新中)_02-数学-中考总复习_2024年中考复习资料_专项复习资料_解析版
中考数学几何专项练习:相似模型--平行线构造“A、X”型相似三角形(解析版)_02中考总复习(2026版更新中)_02-数学-中考总复习_2024年中考复习资料_专项复习资料_解析版
中考数学几何专项练习:相似模型--平行线构造“A、X”型相似三角形(解析版)_02中考总复习(2026版更新中)_02-数学-中考总复习_2024年中考复习资料_专项复习资料_解析版
中考数学几何专项练习:相似模型--平行线构造“A、X”型相似三角形(解析版)_02中考总复习(2026版更新中)_02-数学-中考总复习_2024年中考复习资料_专项复习资料_解析版
中考数学几何专项练习:相似模型--平行线构造“A、X”型相似三角形(解析版)_02中考总复习(2026版更新中)_02-数学-中考总复习_2024年中考复习资料_专项复习资料_解析版
中考数学几何专项练习:相似模型--平行线构造“A、X”型相似三角形(解析版)_02中考总复习(2026版更新中)_02-数学-中考总复习_2024年中考复习资料_专项复习资料_解析版
中考数学几何专项练习:相似模型--平行线构造“A、X”型相似三角形(解析版)_02中考总复习(2026版更新中)_02-数学-中考总复习_2024年中考复习资料_专项复习资料_解析版
中考数学几何专项练习:相似模型--平行线构造“A、X”型相似三角形(解析版)_02中考总复习(2026版更新中)_02-数学-中考总复习_2024年中考复习资料_专项复习资料_解析版
中考数学几何专项练习:相似模型--平行线构造“A、X”型相似三角形(解析版)_02中考总复习(2026版更新中)_02-数学-中考总复习_2024年中考复习资料_专项复习资料_解析版
中考数学几何专项练习:相似模型--平行线构造“A、X”型相似三角形(解析版)_02中考总复习(2026版更新中)_02-数学-中考总复习_2024年中考复习资料_专项复习资料_解析版
中考数学几何专项练习:相似模型--平行线构造“A、X”型相似三角形(解析版)_02中考总复习(2026版更新中)_02-数学-中考总复习_2024年中考复习资料_专项复习资料_解析版
中考数学几何专项练习:相似模型--平行线构造“A、X”型相似三角形(解析版)_02中考总复习(2026版更新中)_02-数学-中考总复习_2024年中考复习资料_专项复习资料_解析版
中考数学几何专项练习:相似模型--平行线构造“A、X”型相似三角形(解析版)_02中考总复习(2026版更新中)_02-数学-中考总复习_2024年中考复习资料_专项复习资料_解析版
中考数学几何专项练习:相似模型--平行线构造“A、X”型相似三角形(解析版)_02中考总复习(2026版更新中)_02-数学-中考总复习_2024年中考复习资料_专项复习资料_解析版
中考数学几何专项练习:相似模型--平行线构造“A、X”型相似三角形(解析版)_02中考总复习(2026版更新中)_02-数学-中考总复习_2024年中考复习资料_专项复习资料_解析版
中考数学几何专项练习:相似模型--平行线构造“A、X”型相似三角形(解析版)_02中考总复习(2026版更新中)_02-数学-中考总复习_2024年中考复习资料_专项复习资料_解析版
中考数学几何专项练习:相似模型--平行线构造“A、X”型相似三角形(解析版)_02中考总复习(2026版更新中)_02-数学-中考总复习_2024年中考复习资料_专项复习资料_解析版
中考数学几何专项练习:相似模型--平行线构造“A、X”型相似三角形(解析版)_02中考总复习(2026版更新中)_02-数学-中考总复习_2024年中考复习资料_专项复习资料_解析版

文档信息

文档格式
docx
文档大小
6.123 MB
文档页数
103 页
上传时间
2026-04-07 01:27:54

文档内容

关注公众号:陆陆高分冲刺 ~领取:最新版“小中高考-总复习”、最新试卷下载 中考数学几何专项练习: 相似模型--平行线构造“A、X”型相似三角形(基础+培优) 一、单选题 1.如图,点 分别在 的边 上,且 , , ,则 的值是 ( ) A. B. C. D. 【答案】D 【分析】根据平行可判定两个三角形相似,根据相似三角形的性质即可求解. 【详解】解:∵ , ∴ , ∴ , ∴ , ∴根据相似三角形的面积比等于相似比的平方,即 , 故选: . 【点睛】本题主要考查相似三角形的性质,掌握相似三角形的判定和性质是解题的关键. 2.如图,在 中,F是 上一点, 交 于点E, 的延长线交 的延长线于点G, , ,则 的长为( ) 1 试卷第页,共3页 资料整理【淘宝店铺:向阳百分百】 学科网(北京)股份有限公司关注公众号:陆陆高分冲刺 ~领取:最新版“小中高考-总复习”、最新试卷下载 A.4 B.6 C.8 D.10 【答案】C 【分析】由平行四边形的性质可得 , ,设 为x可得 ,解之即可. 【详解】∵四边形 为平行四边形, ∴ , , ∴ , , 设 为x, ∵ , , ∴ , , ∴ , , ∴ , 即 , 得 , ∴ . 故选:C. 【点睛】本题考查了平行四边形的性质,平行线分线段成比例的性质,熟练掌握其性质是解题的关键. 3.如图,D、E分别是 的边 上的点, ,若 ,则 的值为 ( ) 2 试卷第页,共3页 资料整理【淘宝店铺:向阳百分百】 学科网(北京)股份有限公司关注公众号:陆陆高分冲刺 ~领取:最新版“小中高考-总复习”、最新试卷下载 A. B. C. D. 【答案】D 【分析】由已知条件易求得 ,由 可证 , ,可得 的值,再利用相似三角形的性质即可解决问题. 【详解】解:∵ , ∴ , ∴ , ∵ , ∴ , , ∴ , ∴ , 故选:D. 【点睛】本题考查了等高的两个三角形的面积之间的关系和相似三角形的判定和性质,属于基本题型,熟 练掌握相似三角形的判定和性质是关键. 4.如图,在 中, 为 上一点,连接 , ,且 与 相交于点 , , 则 ( ) A. B. C. D. 3 试卷第页,共3页 资料整理【淘宝店铺:向阳百分百】 学科网(北京)股份有限公司关注公众号:陆陆高分冲刺 ~领取:最新版“小中高考-总复习”、最新试卷下载 【答案】D 【分析】根据平行四边形的性质得到 ,得到 ,根据相似三角形的性质计 算即可. 【详解】解: 四边形 是平行四边形, , , , ∴ , , ∴ , 故选:D. 【点睛】本题考查的是相似三角形的性质、平行四边形的性质,掌握相似三角形的面积比等于相似比的平 方是解题的关键. 5.如下图,如果 ,若 , , ,则 ( ) A.6 B.8 C.9 D.10 【答案】C 【分析】根据平行线所截线段成比例可进行求解. 【详解】解:∵ , ∴ , ∵ , , , ∴ , ∴ ; 故选C. 4 试卷第页,共3页 资料整理【淘宝店铺:向阳百分百】 学科网(北京)股份有限公司关注公众号:陆陆高分冲刺 ~领取:最新版“小中高考-总复习”、最新试卷下载 【点睛】本题主要考查平行线所截线段成比例,熟练掌握平行线所截线段成比例是解题的关键. 6.如图,在 中, ,D、E分别为 中点,连接 相交于点F, 点G在 上,且 ,则四边形 的面积为( ) A. B. C. D. 【答案】B 【分析】连接 ,首先得到 , ,然后证明出 ,进而得到 ,然后利用三角形面积公式求出 ,最后利用 求解即可. 【详解】如图所示,连接 , ∵D、E分别为 中点, ∴ , , ∴ , , , ∴ , ∴ , ∵ , , 5 试卷第页,共3页 资料整理【淘宝店铺:向阳百分百】 学科网(北京)股份有限公司关注公众号:陆陆高分冲刺 ~领取:最新版“小中高考-总复习”、最新试卷下载 ∴ , ∴ , ∵ , ∴ , ∴ . 故选:B. 【点睛】此题考查了相似三角形的性质和判定,三角形中位线的性质,三角形面积公式等知识,解题的关 键是熟练掌握以上知识点. 7.如图,在 中,点D、E为边 的三等分点,点F、G在边 上, ,点H为 与 的交点.若 ,则 的长为( ) A.1 B. C.2 D.3 【答案】C 【分析】由三等分点的定义与平行线的性质得出 , , , 是 的中位线,易证 ,得 ,解得 ,则 . 【详解】解: 、 为边 的三等分点, , , , , , 是 的中位线, , , , 6 试卷第页,共3页 资料整理【淘宝店铺:向阳百分百】 学科网(北京)股份有限公司关注公众号:陆陆高分冲刺 ~领取:最新版“小中高考-总复习”、最新试卷下载 ,即 , 解得: , , 故选:C. 【点睛】本题考查了三等分点的定义、平行线的性质、相似三角形的判定与性质、三角形中位线定理等知 识;熟练掌握相似三角形的判定与性质是解题的关键. 8.如图 中, ,点D,E分别是边 , 的中点,点G,F在 边上,四边形 是 正方形. 若 ,则 的长为 ( ) A.2cm B. cm C.4cm D.8cm 【答案】B 【分析】首先过点 作 于点 ,由三角形中位线的性质,可求得 的长,由于四边形 是 正方形,易求得 的长,然后由勾股定理求得 的长. 【详解】解:过点 作 于点 , 点D,E分别是边 , 的中点, , , , 四边形 是正方形, , , , 7 试卷第页,共3页 资料整理【淘宝店铺:向阳百分百】 学科网(北京)股份有限公司关注公众号:陆陆高分冲刺 ~领取:最新版“小中高考-总复习”、最新试卷下载 , , 在 中, , 故选:B. 【点睛】此题考查了相似三角形的判定与性质、正方形的性质以及勾股定理.此题难度适中,注意掌握数 形结合思想与方程思想的应用. 二、填空题 9.如图,在平行四边形 中,E是线段 上一点,连结 交于点F.若 ,则 . 【答案】 【分析】四边形 是平行四边形,则 ,可证明 ,得到 , 由 进一步即可得到答案. 【详解】解:∵四边形 是平行四边形, ∴ , ∴ , 8 试卷第页,共3页 资料整理【淘宝店铺:向阳百分百】 学科网(北京)股份有限公司关注公众号:陆陆高分冲刺 ~领取:最新版“小中高考-总复习”、最新试卷下载 ∴ , ∴ , ∵ , ∴ , ∴ . 故答案为: 【点睛】此题考查了平行四边形的性质、相似三角形的判定和性质等知识,证明 是解题的关 键. 10.如图,矩形 中, ,E是 上一点, 与 交于点F.则 的长为 . 【答案】4 【分析】先利用勾股定理求出 ,再证明 ,得到 ,则 . 【详解】解:∵四边形 是矩形, ∴ , ∴ , ∵ , ∴ , ∴ , ∴ , 故答案为:4. 9 试卷第页,共3页 资料整理【淘宝店铺:向阳百分百】 学科网(北京)股份有限公司关注公众号:陆陆高分冲刺 ~领取:最新版“小中高考-总复习”、最新试卷下载 【点睛】本题主要考查了矩形的性质,勾股定理,相似三角形的性质与判定,证明 ,得到 是解题的关键. 11.如图,在矩形 中,若 , , ,则 的长为 . 【答案】2 【分析】根据矩形的性质得 , ,即可得出 ,并根据勾股定理求出 , 再根据 ,得出 ,然后根据相似三角形对应边相等得出比例式,代入数值得出答 案. 【详解】∵四边形 是矩形, ∴ , , ∴ . 在 中, . ∵ , ∴ , ∴ , 即 , 解得 . 故答案为:2. 【点睛】本题主要考查了矩形的性质,勾股定理,相似三角形的性质和判定等,相似三角形的对应边成比 例是求线段长的常用方法. 12.如图, 与 位似,位似中心为点O.已知 ,若 的周长等于4,则 的周长等于 . 10 试卷第页,共3页 资料整理【淘宝店铺:向阳百分百】 学科网(北京)股份有限公司关注公众号:陆陆高分冲刺 ~领取:最新版“小中高考-总复习”、最新试卷下载 【答案】 【分析】利用相似三角形的性质求解即可. 【详解】解:∵ 与 位似,点O为位似中心, , ∴ , ∴ 的周长: 的周长 , ∵ 的周长为4, ∴ 的周长为 , 故答案为: . 【点睛】本题考查位似变换,相似三角形的性质等知识,解题的关键是理解题意,灵活运用所学知识解决 问题. 13.如图, , , 交于点E,若 , ,则 的长为 . 【答案】7 【分析】由平行线的性质求出 , ,得 ,再由相似三角形的性质求出线 段 即可. 【详解】∵ , ∴ , , ∴ , . 故答案为:7 【点睛】本题主要考查了相似三角形的判定与性质,解题的关键是熟练掌握相似三角形的判定与性质. 11 试卷第页,共3页 资料整理【淘宝店铺:向阳百分百】 学科网(北京)股份有限公司关注公众号:陆陆高分冲刺 ~领取:最新版“小中高考-总复习”、最新试卷下载 14.如图,在 中,点D,E分别在 上,若 , , ,则 的长为 . 【答案】 【分析】证明 ,根据相似三角形的性质得到 ,据此即可得到答案. 【详解】解:∵ , ∴ , ∴ , ∵ , ∴ , ∴ 的长为 , 故答案为: . 【点睛】本题主要考查了相似三角形的性质与判定,熟知相似三角形对应边成比例是解题的关键. 15.如图,点F在平行四边形 的边上,延长 交 的延长线于点E,交 于点O,若 , 则 = . 【答案】2 12 试卷第页,共3页 资料整理【淘宝店铺:向阳百分百】 学科网(北京)股份有限公司关注公众号:陆陆高分冲刺 ~领取:最新版“小中高考-总复习”、最新试卷下载 【分析】根据平行四边形 中, 可得, ,再根据 ,得出 , 从而得出 ,再利用 ,求出 的值. 【详解】解:在平行四边形 中, ∵ . ∴ , ∴ , ∴ , ∴ , ∵ , ∴ , ∵ , ∴ , ∴ , 故答案为:2. 【点睛】本题考查了相似三角形的判定与性质,熟练掌握相似三角形的判定与性质是解题的关键. 16.如图,在矩形 中,若 , , ,则 的长为 . 【答案】 【分析】由勾股定理求得 的长度,再根据三角形相似得到 的长度,最后再次根据勾股定理求得 的长度. 13 试卷第页,共3页 资料整理【淘宝店铺:向阳百分百】 学科网(北京)股份有限公司关注公众号:陆陆高分冲刺 ~领取:最新版“小中高考-总复习”、最新试卷下载 【详解】解:由勾股定理可得: =4, 根据矩形的性质可得: , ∴ , ∴ , ∴ , ∴ = , 故答案为 . 【点睛】本题考查相似三角形的综合应用,熟练掌握相似三角形的判定和性质、勾股定理的应用是解题关 键. 17.如图,在 中,D,E分别是边 , 的中点, , 相交于点F,则 . 【答案】 【分析】连接 ,利用三角形的中位线定理,得到 ,得到 ,得到 ,进一步求解即可. 【详解】解:连接 , ∵D,E分别是边 , 的中点, 14 试卷第页,共3页 资料整理【淘宝店铺:向阳百分百】 学科网(北京)股份有限公司关注公众号:陆陆高分冲刺 ~领取:最新版“小中高考-总复习”、最新试卷下载 则: , ∴ , ∴ , ∴ ; 故答案为: . 【点睛】本题考查相似三角形的判定和性质.解题的关键是添加辅助线,利用三角形的中位线定理,证明 三角形相似. 18.如图,在矩形 中,E、F分别为边 的中点, 与 分别交于点P、Q.已知 , ,则 的长为 . 【答案】 【分析】延长 交于T,根据勾股定理求出 ,根据全等三角形的性 质得出 ,根据平行得比例线段,求出 的长. 【详解】解:延长 交于T,如图, ∵四边形 是矩形, , , ∴ , ∵F为 中点, ∴ , 在 中,由勾股定理得: , 15 试卷第页,共3页 资料整理【淘宝店铺:向阳百分百】 学科网(北京)股份有限公司关注公众号:陆陆高分冲刺 ~领取:最新版“小中高考-总复习”、最新试卷下载 ∵ , ∴ , ∵E为 的中点, ∴ , 在 和 中, , ∴ , ∴ , 即 , ∵ , ∴ , ∴ . 故答案为: . 【点睛】本题考查了矩形的性质,全等三角形的性质和判定,勾股定理,相似三角形的性质和判定,能综 合运用定理进行推理是解此题的关键. 19.如图,点D、E是 边 上的点, ,连接 ,交点为F, ,那么 的值是 . 【答案】 / 【分析】过 作 ,交 于 ,依据平行线分线段成比例定理,即可得到 , ,进而可得 的值. 16 试卷第页,共3页 资料整理【淘宝店铺:向阳百分百】 学科网(北京)股份有限公司关注公众号:陆陆高分冲刺 ~领取:最新版“小中高考-总复习”、最新试卷下载 【详解】解:如图所示,过 作 ,交 于 , 则 ,即: , , ,即: , ∴ . 故答案为: . 【点睛】本题考查的是平行线分线段成比例定理,平行于三角形一边的直线截其他两边(或两边的延长 线),所得的对应线段成比例.灵活运用定理、找准对应关系是解题的关键. 20.如图,△ABC是等腰三角形,AB=AC=3,BC=1. 点D在AB边上,点E在CB的延长线上,已知AD=1, BE=1,连接ED并延长交AC于点F,则线段AF的长为 . 【答案】 【分析】取CF的中点G,连接BG,证出BG是△CEF的中位线,由三角形中位线定理得出BG∥EF,证出 △ADF∽△ABG,得出比例式 ,因此AF= AG,∴FG=CG=2AF,得出AC=AF+FG+CG=5AF=3,即可得 出AF的长. 【详解】取CF的中点G,连接BG,如图所示: ∵BC=1,BE=1, ∴点B为EC的中点, 17 试卷第页,共3页 资料整理【淘宝店铺:向阳百分百】 学科网(北京)股份有限公司关注公众号:陆陆高分冲刺 ~领取:最新版“小中高考-总复习”、最新试卷下载 ∴BG是△CEF的中位线, ∴BG∥EF, ∴ , ∴AF= AG, ∴FG=CG=2AF, ∴AC=AF+FG+CG=5AF=3, ∴AF= ; 故答案为 【点睛】本题考查了平行线分线段成比例定理、三角形中位线定理;熟练掌握平行线分线段成比例定理, 由三角形中位线定理得出BG∥EF是解决问题的关键. 21.如图,已知 , , 是三个全等的等腰三角形,底边 , , 在同一直线上, 且 , , 分别交 , , 于 , , ,则 的长为 . 【答案】 /0.5 【分析】过点F作 于点H,根据等腰三角形的性质和勾股定理求出 , , ,根据平行线的判定得出 ,得出 ,根据 ,结合 ,得出 ,根据平行线的判定得出 ,得出 ,从而求出 ,即可求出结果. 【详解】解:过点F作 于点H, 18 试卷第页,共3页 资料整理【淘宝店铺:向阳百分百】 学科网(北京)股份有限公司关注公众号:陆陆高分冲刺 ~领取:最新版“小中高考-总复习”、最新试卷下载 ∵ , , 是三个全等的等腰三角形, ∴ , , , ∵ , ∴ , ∴ , ∴ , ∴ , ∵ , ∴ , 同理可得: , ∴ , ∴ , ∵ , ∴ , ∵ , ∴ , ∵ , , 又∵ , ∴ , ∴ , ∴ , ∴ , ∴ . 故答案为: . 19 试卷第页,共3页 资料整理【淘宝店铺:向阳百分百】 学科网(北京)股份有限公司关注公众号:陆陆高分冲刺 ~领取:最新版“小中高考-总复习”、最新试卷下载 【点睛】本题主要考查了平行线的判定和性质,等腰三角形的性质,全等三角形的性质,平行线分线段成 比例定理,勾股定理,解题的关键是作出辅助线,求出 , . 22.如图,线段AB,AC是两条绕点A可以自由旋转的线段(但点A,B,C始终不在同一条直线上),已知 AB=5,AC=7,点D,E分别是AB,BC的中点,则四边形BEFD面积的最大值是 . 【答案】 【分析】根据题意得DE∥AC,2AC=DE,可得AF=2DF,可得S = S ,由D,E为中点可得S = △DEF △ADE △ADB S ,S =S = S ,可求出四边形BEFD的面积和三角形ABC面积关系,可得四边形BEFD面积的最 △ABC △ADE △ADEB △ABD 大值. 【详解】解:连接DE ∵D,E是中点 ∴DE∥AC,DE= AC 20 试卷第页,共3页 资料整理【淘宝店铺:向阳百分百】 学科网(北京)股份有限公司关注公众号:陆陆高分冲刺 ~领取:最新版“小中高考-总复习”、最新试卷下载 ∴ ∴AF=2DF ∵D,E是中点 ∴S =S = S △ACD △ADB △ABC S =S = S = S △ADE △DEB △ADB △ABC ∵AF=2DF ∴S = S = S △EDF △ADE △ABC ∴S =S +S = S 四边形DBEF △EDF △DEB △ABC ∴当△ABC面积最大,四边形BEFD面积的最大. ∴当AB⊥AC时,△ABC最大面积为 . ∴四边形BEFD面积的最大值为 . 故答案为: 【点睛】本题考查了旋转的性质,中位线定理,关键是利用面积法得到四边形BEFD的面积和三角形ABC面 积关系,从而解决问题. 23.如图, 中, , 分别在边 , 上, , 相交于点 , ,点 为 中点, 则 的值是 . 【答案】 【分析】如图:延长 、 交于点 ,由平行线等分线段定理可得 ,进而可得 , 21 试卷第页,共3页 资料整理【淘宝店铺:向阳百分百】 学科网(北京)股份有限公司关注公众号:陆陆高分冲刺 ~领取:最新版“小中高考-总复习”、最新试卷下载 再证 可得 ,进而得到 ,再证 ,根据相似三角形的 性质即可解答. 【详解】解:如图:延长 、 交于点 , , , , 四边形 为平行四边形, , , , , , ,即 , , , 点 为 中点, , , , , ,即 . 故答案为: . 22 试卷第页,共3页 资料整理【淘宝店铺:向阳百分百】 学科网(北京)股份有限公司关注公众号:陆陆高分冲刺 ~领取:最新版“小中高考-总复习”、最新试卷下载 【点睛】本题主要考查了平行线等分线段定理、相似三角形的判定与性质等知识点,掌握平行线等分线段 定理是解答本题的关键. 24.如图, 是 的中线,点E在 上, 交 于点F.若 ,则 . 【答案】 /0.2 【分析】如图,作辅助线,由 得到 ,故 ;再证明 ,即可解决问 题. 【详解】解:如图,过点D作 ,交 于点G, , , , , , , 是 的中线, , , , 23 试卷第页,共3页 资料整理【淘宝店铺:向阳百分百】 学科网(北京)股份有限公司关注公众号:陆陆高分冲刺 ~领取:最新版“小中高考-总复习”、最新试卷下载 , , 故答案为: . 【点睛】本题考查平行线分线段成比例,解题的关键是正确作出辅助线. 25.如图所示,在 中, , 、 分别是 、 的中点,动点 在射线 上, 交 于 , 的平分线交 于 ,当 时, . 【答案】 【分析】延长 交射线 于 ,三角形的中位线定理得到 ,推出 , , 得到 ,进而推出 ,即可得出结论. 【详解】解:如图,延长 交射线 于 , 、 分别是 、 的中点, , , 是 的平分线, , , , , 24 试卷第页,共3页 资料整理【淘宝店铺:向阳百分百】 学科网(北京)股份有限公司关注公众号:陆陆高分冲刺 ~领取:最新版“小中高考-总复习”、最新试卷下载 , , 由 得, , , , 即 . 故答案为: . 【点睛】本题考查三角形的中位线定理,等腰三角形的判定和性质,相似三角形的判定和性质.解题的关 键是构造等腰三角形和相似三角形. 26.如图矩形 中, ,点 分别在 边上,且 ,连 与 分别交于点 .则 . 【答案】 【分析】作 ,得到多个相似三角形,由 得出 ,再由 得出 ,最后由 得出 , 所以可计算出 . 【详解】解:作 交AF于点I,则 , ∵四边形 是矩形, 25 试卷第页,共3页 资料整理【淘宝店铺:向阳百分百】 学科网(北京)股份有限公司关注公众号:陆陆高分冲刺 ~领取:最新版“小中高考-总复习”、最新试卷下载 ∴ , , ∴ , ∴ , ∵ , ∴ , ∴ , ∴ , ∵ , ∴ , ∴ , ∵ , ∴ , ∴ , ∴ , ∴ , ∴ , 故答案为: . 【点睛】本题考查了矩形的性质、相似三角形的性质,解题的关键是利用相似三角形的性质将线段 都用 表示出来,从而求解. 27.如图,在矩形 中, ,E,F分别为 , 边的中点.动点P从点E出发沿 向 点A运动,同时,动点Q从点F出发沿 向点C运动,连接 ,过点B作 于点H,连接 . 若点P的速度是点Q的速度的2倍,在点P从点E运动至点A的过程中,线段 长度的最小值为 . 26 试卷第页,共3页 资料整理【淘宝店铺:向阳百分百】 学科网(北京)股份有限公司关注公众号:陆陆高分冲刺 ~领取:最新版“小中高考-总复习”、最新试卷下载 【答案】 【分析】连接 交 于M,连接 ,取 的中点O,连接 ,过点O作 于N,易得四 边形 为矩形, ,推出 和 的长,根据 ,得到当O,H,D共线时, 最小,进行求解即可. 【详解】解:连接 交 于M,连接 ,取 的中点O,连接 ,过点O作 于N. 则: , ∵矩形 , ,E,F分别为 , 边的中点, ∴ , , , , ∴四边形 为矩形, , , ∴ , , , ∴ , ∴ , , ∴ , ∵ , ∴ , ∵ , 27 试卷第页,共3页 资料整理【淘宝店铺:向阳百分百】 学科网(北京)股份有限公司关注公众号:陆陆高分冲刺 ~领取:最新版“小中高考-总复习”、最新试卷下载 ∴ , ∵ , ∴ ,由于M和B点都是定点,所以其中点O也是定点,当O,H,D共线时,此时 最小, ∴DH的最小值为 , 故答案为: . 【点睛】本题考查矩形的判定和性质,相似三角形的判定和性质,勾股定理,斜边上的中线.解题的关键 是条件辅助线,构造相似三角形和直角三角形,利用两点之间线段最短得到线段的最小值. 28.如图, 为矩形 的对角线, 平分 交 于点 , 为 边的中点,连接 分别 交 , 于点 , .若 , ,则线段 的长为 . 【答案】 【分析】根据矩形的性质由勾股定理求出 , 的长,证明 ,求出 , ,过点 作 , 于点 , ,根据角平分线的性质可得 ,然后利用三角形的面积即可解决问 题. 【详解】解: 四边形 是矩形, , , , , , 为 边的中点, , , , , 28 试卷第页,共3页 资料整理【淘宝店铺:向阳百分百】 学科网(北京)股份有限公司关注公众号:陆陆高分冲刺 ~领取:最新版“小中高考-总复习”、最新试卷下载 , , , , , , , 如图,过点 作 , 于点 , , 平分 , , , , , , , , 线段 的长为 . 故答案为: . 【点睛】本题考查矩形的性质,角平分线的性质,相似三角形的判定与性质,解决本题的关键是得到 29 试卷第页,共3页 资料整理【淘宝店铺:向阳百分百】 学科网(北京)股份有限公司关注公众号:陆陆高分冲刺 ~领取:最新版“小中高考-总复习”、最新试卷下载 . 29.在 中, , , 是 中点,连接 ,过点 作 交 于 点 ,则 . 【答案】 / 【分析】作 交 的延长线于 ,令 、 交于点 ,由勾股定理可得 , , 由 可得 ,从而得到 , ,证明 得到 ,从而得到 ,证明 ,得到 ,即可得到答案. 【详解】解:如图,作 交 的延长线于 ,令 、 交于点 , , , , 在 中, , , 是 中点, , , 30 试卷第页,共3页 资料整理【淘宝店铺:向阳百分百】 学科网(北京)股份有限公司关注公众号:陆陆高分冲刺 ~领取:最新版“小中高考-总复习”、最新试卷下载 , , , , , , , 在 和 中, , , , , , , , , , 31 试卷第页,共3页 资料整理【淘宝店铺:向阳百分百】 学科网(北京)股份有限公司关注公众号:陆陆高分冲刺 ~领取:最新版“小中高考-总复习”、最新试卷下载 故答案为: . 【点睛】本题考查了三角形全等的判定与性质、平行线分线段成比例定理、勾股定理、三角形面积的计算, 熟练掌握以上知识点,添加适当的辅助线是解题的关键. 30.如图,在 中, ,延长 到点D, ,点E是 的中点, 交 于点F,则 的面积为 . 【答案】 【分析】利用三角形的面积公式求出 的面积,进而求出 的面积,利用中线平分面积,得到 的面积,取 的中点 ,连接 ,得到 ,推出 ,求出 的 值,利用同高三角形点面积比等于底边比,进行求解即可. 【详解】解:∵ , , ∴ , ∵点E是 的中点, ∴ , 取 的中点 ,连接 ,则: , ∴ , 32 试卷第页,共3页 资料整理【淘宝店铺:向阳百分百】 学科网(北京)股份有限公司关注公众号:陆陆高分冲刺 ~领取:最新版“小中高考-总复习”、最新试卷下载 ∴ , ∴ , ∴ , ∴ ; 故答案为: . 【点睛】本题考查三角形的中位线定理,相似三角形的判定和性质,解题的关键是添加辅助线,构造三角 形的中位线和相似三角形. 三、解答题 31.如图,在 中,对角线 和 相交于点O,在 的延长线上取一点E,连接 交 于点 F, ,求 的长度. 【答案】 【分析】如图,过 作 ,交 于 ,则 , ,由平行四边形的性 质可得 ,解得 , ,则 ,证明 ,则 ,计算求解即可. 【详解】解:如图,过 作 ,交 于 , 33 试卷第页,共3页 资料整理【淘宝店铺:向阳百分百】 学科网(北京)股份有限公司关注公众号:陆陆高分冲刺 ~领取:最新版“小中高考-总复习”、最新试卷下载 ∴ , ∴ , ∵ , ∴ ,解得 , , ∴ , ∵ , ∴ , ∵ , , , ∴ , ∴ , ∴ 的长为 . 【点睛】本题考查了平行四边形的性质,相似三角形的判定与性质,平行线的性质,全等三角形的判定与 性质.解题的关键在于对知识的熟练掌握与灵活运用. 32.教材呈现:如图是华师版九年级上册数学教材第78页的部分内容. 例2如图,在 中, 、 分别是边 、 的中点, 、 相交于点 . 求证: . 证明:连接 . 请根据教材提示,结合图①,写出完整的证明过程. 34 试卷第页,共3页 资料整理【淘宝店铺:向阳百分百】 学科网(北京)股份有限公司关注公众号:陆陆高分冲刺 ~领取:最新版“小中高考-总复习”、最新试卷下载 证明:连接 . 结论应用: (1)如图②,在 中, , , 、 分别是边 、 的中点, 、 相交 于点 .若 ,则 . (2)如图③,在 中, 、 分别是边 、 的中点, 、 相交于点 .过点G作 交AB于点F,如果 的面积是9,那么 的面积是 . 【答案】证明:见解析;结论应用:(1)8;(2)2 【分析】如图①,连接 ,根据三角形中位线的性质得出 ,进而根据相似三角形的性质, 即可得出结论; (1)如图②,连接 ,证明 ,根据相似三角形的性质得出 ,进而根据直角三角形 斜边上的中线以及勾股定理,即可求解; (2)如图③,连接 ,证明 ,得出 ,进而根据 ,即可求解. 【详解】证明:如图①,连接 . 在 中, , 分别是边 , 的中点, , , , , , ; 结论应用: 35 试卷第页,共3页 资料整理【淘宝店铺:向阳百分百】 学科网(北京)股份有限公司关注公众号:陆陆高分冲刺 ~领取:最新版“小中高考-总复习”、最新试卷下载 (1)如图②,连接 , 在 中, , 分别是边 , 的中点, , , ∴ ∴ ∵ , ∴ ∴ , 在 中, , , 是 的中点, 则 ∴ ; 故答案为: . (2)如图③,连接 , 在 中, , 分别是边 , 的中点, , , ∴ ∴ 36 试卷第页,共3页 资料整理【淘宝店铺:向阳百分百】 学科网(北京)股份有限公司关注公众号:陆陆高分冲刺 ~领取:最新版“小中高考-总复习”、最新试卷下载 ∴ ∵ ∴ ∴ , ∵ 是 的中点, 的面积是9, ∴ ∴ 故答案为: . 【点睛】本题考查了相似三角形的性质与判定,三角形中位线的性质,熟练掌握相似三角形的性质与判定 是解题的关键. 33.已知:如图,在 中,点 , 分别在 , 上, ,点 在边 上, , 与 相交于点 . (1)求证: . (2)当点 为 的中点时,求证: . 【答案】(1)见解析 (2)见解析 【分析】(1)由 , 可判断 ,再由 可判断 ,所以 ; 37 试卷第页,共3页 资料整理【淘宝店铺:向阳百分百】 学科网(北京)股份有限公司关注公众号:陆陆高分冲刺 ~领取:最新版“小中高考-总复习”、最新试卷下载 (2)作 交 的延长线于 ,易得 从而可证 ,得到 ,由点 为 的中点得 ,再利用 可判定 ,则根据相似三角形的性质得 然后利用等线段代换即可得到 . 【详解】(1)证明: , , , , , , ; (2)如图,作 交 的延长线于 , , , , 点 为 的中点, , , , , 38 试卷第页,共3页 资料整理【淘宝店铺:向阳百分百】 学科网(北京)股份有限公司关注公众号:陆陆高分冲刺 ~领取:最新版“小中高考-总复习”、最新试卷下载 . 【点睛】本题考查了相似三角形的判定与性质,在判定两个三角形相似时,应注意利用图形中已有的公共 角、公共边等隐含条件,以充分发挥基本图形的作用,寻找相似三角形的一般方法是通过作平行线构造相 似三角形,在运用相似三角形的性质时,主要通过相似比得到线段之间的关系. 34.阅读材料:三角形的三条中线必交于一点,这个交点称为三角形的重心. (1)特例感知:如图(1),已知边长为2的等边 的重心为点 ,则 的面积为______; (2)性质探究:如图(2),已知 的重心为点 ,对于任意形状的 , 是不是定值,如果是, 请求出定值为多少,如果不是,请说明理由; (3)性质应用:如图(3),在任意矩形 中,点 是 的中点,连接 交对角线 于点 , 的值是不是定值,如果是,请求出定值为多少,如果不是,请说明理由. 【答案】(1) (2)是, (3)是,12 【分析】(1)连接 ,利用相似三角形证明 ,运用勾股定理求出 的长,运用三角形面积公 式求解即可; (2)根据(1)的证明可求解; (3)由 得到 ,即可求得答案. 【详解】(1)解:连接 ,如图一, 39 试卷第页,共3页 资料整理【淘宝店铺:向阳百分百】 学科网(北京)股份有限公司关注公众号:陆陆高分冲刺 ~领取:最新版“小中高考-总复习”、最新试卷下载 点 是 的重心, , 是 , 边上的中线, , 为 , 边上的中点, 为 的中位线, , , , , , , , , , , ; 故答案为: ; (2)由(1)同理可得, ,是定值; (3) 矩形 ,点 是 的中点, , , , , , 40 试卷第页,共3页 资料整理【淘宝店铺:向阳百分百】 学科网(北京)股份有限公司关注公众号:陆陆高分冲刺 ~领取:最新版“小中高考-总复习”、最新试卷下载 定值为12. 【点睛】本题是一道相似形综合题目,主要考查的是三角形重心的性质、全等三角形的判定与性质、勾股 定理及相似三角形的判定与性质,解答此题的关键是明确题意,找出所求问题需要的条件,利用数形结合 的思想解答. 35.如图, 中, 为 边上的高, 的平分线 分别交 于点F,E. (1)求证: ; (2)若 ,求 的面积; (3)若 ,求 的值. 【答案】(1)证明见解析 (2) (3) 【分析】(1)证明 ,即可求证; (2)过点E作 于点M,根据角平分线的性质可得 ,设 ,则 ,再根 据 ,可得 ,从而得到 .然后由 ,即可求解; (3)由(2)知, , ,再根据 ,可得 ,从而得到 ,即可求解. 【详解】(1)证明:∵ 为 边上的高, ∴ , ∴ , ∴ . ∵ 平分 , 41 试卷第页,共3页 资料整理【淘宝店铺:向阳百分百】 学科网(北京)股份有限公司关注公众号:陆陆高分冲刺 ~领取:最新版“小中高考-总复习”、最新试卷下载 ∴ , ∴ . (2)解:如图,过点E作 于点M, 在 中, , ∴ . ∵ 平分 , , ∴ . 设 ,则 , ∵ , , ∴ , ∴ . ∴ ,解得 , ∴ . 由(1)知 , ∴ , ∴ ; (3)解:由(2)知, , , ∴ . ∵ , ∴ , ∴ . ∵ , 42 试卷第页,共3页 资料整理【淘宝店铺:向阳百分百】 学科网(北京)股份有限公司关注公众号:陆陆高分冲刺 ~领取:最新版“小中高考-总复习”、最新试卷下载 ∴ , ∴ , ∴ . 【点睛】本题主要考查了相似三角形的判定和性质,角平分线的性质,熟练掌握相似三角形的判定和性质 是解题的关键. 36.如图,在平行四边形ABCD中,对角线AC,BD交于点O.M为AD中点,连接CM交BD于点N,且ON=1 (1)求证: ; (2)求BD的长, 【答案】(1)见解析 (2)6 【分析】(1)由四边形ABCD是平行四边形,可知 ,得 , ,根据 相似三角形的判定定理可求解; (2)根据相似三角形的性质,可得 ,由M是中点,易证即 ,设 ,列方 程即可求解. 【详解】(1)证明:∵四边形ABCD是平行四边形, , , , ; 43 试卷第页,共3页 资料整理【淘宝店铺:向阳百分百】 学科网(北京)股份有限公司关注公众号:陆陆高分冲刺 ~领取:最新版“小中高考-总复习”、最新试卷下载 (2)解: , , 为AD中点, , 即 , , 即 , 设 ,则有 , , , , 解得: , 【点睛】本题考查了相似三角形的判定与性质,熟练掌握相似三角形的判定与性质定理是解题的关键. 37.如图,已知四边形ABCD是平行四边形,E、F是CD上的点. (1)求证:△MEF∽△MBA; (2)若AF、BE分别是∠DAB,∠CBA的平分线,求证:DF=EC. 【答案】解:(1)见解析;(2)见解析. 【分析】(1)由平行四边形的性质得出角相等,再根据相似三角形的判定得出答案; (2)由AB∥CD,得∠DFA=∠FAB,再由角平分线的定义得出∠DAF=∠FAB,从而得出∠DAF=∠DFA,即 DA=DF,同理得出CE=CB,由平行四边形的性质得出DF=EC. 【详解】证明:(1)∵四边形ABCD是平行四边形, ∴AB CD, ∴∠EFM=∠MAB,∠FEM=∠MBA, ∴△MEF∽△MBA; (2)∵AB∥CD, ∴∠DFA=∠FAB, 44 试卷第页,共3页 资料整理【淘宝店铺:向阳百分百】 学科网(北京)股份有限公司关注公众号:陆陆高分冲刺 ~领取:最新版“小中高考-总复习”、最新试卷下载 ∵AF、BE分别是∠DAB,∠CBA的平分线, ∴∠DAF=∠FAB, ∴∠DAF=∠DFA, ∴DA=DF, 同理得出CE=CB, ∵AD=BC, ∴DF=EC. 【点睛】本题考查了相似三角形的判定以及平行四边形的性质,是基础知识要熟练掌握. 38.如图,在 中,点E在 上, , 和 相交于点F,过点F作 ,交 于点G. (1)求 的值. (2)若 , ①求证: . ②求证: . 【答案】(1) (2)①详见解析;②详见解析 【分析】(1)结合题意,根据平行线的性质,通过证明 ,得 ;再结合 , 根据平行线性质,通过证明 ,根据相似比的性质计算,即可得到答案; (2)① ,根据题意计算得 ;结合(1)的结论,得 ,从而推导得 ,通过证 明 ,即可完成证明; ②根据(2)①的结论以及平行线的性质,证明 ,根据相似三角形的性质计算,即可完成证 明. 【详解】(1)解:∵ , ∴ , 45 试卷第页,共3页 资料整理【淘宝店铺:向阳百分百】 学科网(北京)股份有限公司关注公众号:陆陆高分冲刺 ~领取:最新版“小中高考-总复习”、最新试卷下载 ∴ , ∵ , ∴ , ∴ , ∵ , , ∴ ,即 , ∵ , ∴ , ∵ , ∴ , ∴ ,即 ; (2)证明:①设 , ∵ , ∴ , ∴ , 由(1)的结论,得: , ∴ , ∴ , 即: , ∵ , ∴ , ∴ ; ②∵ , ∴ , 46 试卷第页,共3页 资料整理【淘宝店铺:向阳百分百】 学科网(北京)股份有限公司关注公众号:陆陆高分冲刺 ~领取:最新版“小中高考-总复习”、最新试卷下载 ∵ , ∴ , ∵ , ∴ , ∴ , ∵ , ∴ , ∴ , ∴ . 【点睛】本题考查了平行四边形、平行线、相似三角形的知识;解题的关键是熟练掌握平行线、相似三角 形的性质,从而完成求解. 39.如图,菱形 的对角线 、 相交于点 ,过点 作 ,且 ,连接 、 . (1)求证:四边形 为矩形. (2)若菱形 中, , ,求 的长. 【答案】(1)证明见解析 (2) . 【分析】(1)先证四边形 是平行四边形,再由 ,即可得出结论; (2)利用菱形与矩形的性质先求解 ,再证明 ,可得 ,从而可得答案. 【详解】(1)证明:∵四边形 是菱形, 47 试卷第页,共3页 资料整理【淘宝店铺:向阳百分百】 学科网(北京)股份有限公司关注公众号:陆陆高分冲刺 ~领取:最新版“小中高考-总复习”、最新试卷下载 ∴ , ∴ , ∵ , ∴ , ∴四边形 是平行四边形, 又∵ , ∴平行四边形 是矩形; (2)解:∵四边形 是菱形, , , ∴ , ∵平行四边形 是矩形; ∴ , ∴ , ∵ , ∴ , ∴ , ∴ . 【点睛】本题考查了矩形的判定与性质、平行四边形的判定与性质、菱形的性质、勾股定理,相似三角形 的判定与性质等知识,熟练掌握菱形的性质,证明四边形 为矩形是解题的关键. 40.在 中,点 , 分别在边 , 上,连接 , 交于点 ,且 , (1)求证: : (2)当 为边 的中点时,且 , ①若 ,求 ; ②若 为等腰直角三角形,且 ,求四边形 的面积. 48 试卷第页,共3页 资料整理【淘宝店铺:向阳百分百】 学科网(北京)股份有限公司关注公众号:陆陆高分冲刺 ~领取:最新版“小中高考-总复习”、最新试卷下载 【答案】(1)见解析 (2)① ;② 【分析】(1)根据三角形的外角定理可得 , ,证得 ,根据相似三角形 的性质即可得出结论; (2)①过点 做 ,设 ,则 ,根据中位线的性质得 ,得出相似比,求 得各边,再根据(1)的结论,列方程求解即可; ②过点 做 ,垂足为点 ,由等腰直角三角形的性质得 且 ,推出 ,根据相似三角形对应边成比例和中点的性质,求得各边,再根据 代入求解即可. 【详解】(1)证明: , , 又 , 且 , , , 即: ; (2)解:①过点 做 , 设 ,则 , 又 为 中点且 , . 49 试卷第页,共3页 资料整理【淘宝店铺:向阳百分百】 学科网(北京)股份有限公司关注公众号:陆陆高分冲刺 ~领取:最新版“小中高考-总复习”、最新试卷下载 , , , , 又 , , 解得: ; ②过点 做 ,垂足为点 , 为等腰直角三角形, 且 , , , 又 , , 在 中, , , , , , , 50 试卷第页,共3页 资料整理【淘宝店铺:向阳百分百】 学科网(北京)股份有限公司关注公众号:陆陆高分冲刺 ~领取:最新版“小中高考-总复习”、最新试卷下载 , . 【点睛】本题考查了相似三角形的判定和性质,等腰直角三角形的性质,中线、中点的性质,正确作出辅 助线,熟练掌握知识点是解题的关键. 41.如图,四边形 为边长为8的正方形,点 为边 中点, , 分别为边 , 上两动点, 于 . (1)求证: ; (2)若点 为 中点,连接 并延长交 于点 ,求 的长. 【答案】(1)见解析 (2) 【分析】(1)过点 作 ,垂足为点 ,证明 即可; (2)延长 交 的延长线于点 ,由点 为 中点且 ,可得 ,又由点 为 中点,得 ,即 . 【详解】(1)(1)证明:过点 作 ,垂足为点 , ∵ , ∴ , ∴ , ∵四边形 为正方形, ∴ , 51 试卷第页,共3页 资料整理【淘宝店铺:向阳百分百】 学科网(北京)股份有限公司关注公众号:陆陆高分冲刺 ~领取:最新版“小中高考-总复习”、最新试卷下载 ∴ , ∴ . ∵四边形 为正方形, , ∴ , ∴四边形 是矩形, ∴ , 在 与 中, ∵ , ∴ , ∴ . (2)解:(2)延长 交 的延长线于点 , ∵点 为 中点且 , ∴ , 又∵点 为 中点, ∴ , ∴ . 52 试卷第页,共3页 资料整理【淘宝店铺:向阳百分百】 学科网(北京)股份有限公司关注公众号:陆陆高分冲刺 ~领取:最新版“小中高考-总复习”、最新试卷下载 【点睛】本题考查了正方形的性质,全等三角形的判定及性质,平行线分线段成比例定理,综合运用以上 知识是解题的关键. 42.如图, 中,点E是 的中点,连接 并延长交 的延长线于点F. (1)求证: ; (2)点G是线段 上一点,满足 , 交 于点H,若 ,求 的长. 【答案】(1)见解析 (2) 【分析】(1)根据平行四边形的性质可得 , ,证明 ,推出 ,即可解答; (2)通过平行四边形的性质证明 ,再通过(1)中的结论得到 ,最后证明 ,利用对应线段比相等,列方程即可解答. 【详解】(1)证明: 四边形 是平行四边形, , , , 是 的中点, , , , ∴ , ; (2)解: 四边形 是平行四边形, , , , , , , 53 试卷第页,共3页 资料整理【淘宝店铺:向阳百分百】 学科网(北京)股份有限公司关注公众号:陆陆高分冲刺 ~领取:最新版“小中高考-总复习”、最新试卷下载 , , , , 设 ,则 , 可得方程 , 解得 , 即 的长为 . 【点睛】本题考查了平行四边形的性质,等腰三角形的判定和性质,相似三角形的判定和性质,熟练运用 上述性质证明三角形相似是解题的关键. 43.如图,在 中, 为 的中点, , 与 分别相交于点 , . (1)求 的值; (2)若 ,且 , .求 的长. 【答案】(1) (2) 【分析】(1)根据 为 的中点,得出 ,根据平行四边形的性质得出 ,证 明 ,根据相似三角形的性质即可求解; (2)连接 ,则 ,根据(1)的结论得出 ,根据已知条件得出 是直角三角形, 且 ,勾股定理求得 , ,根据直角三角形斜边上的中线等于斜边的一半得出 ,根据 54 试卷第页,共3页 资料整理【淘宝店铺:向阳百分百】 学科网(北京)股份有限公司关注公众号:陆陆高分冲刺 ~领取:最新版“小中高考-总复习”、最新试卷下载 (1)中 ,利用相似三角形的性质即可求解. 【详解】(1)解:∵四边形 是平行四边形, ∴ , , ∵ 为 的中点, ∴ , ∵ , ∴ , ∴ (2)解:如图,连接 , ∵在 中 与 分别相交于点 , , ∴ , ∵ , , ,则 ∴ ,解得: , 又∵ 为 的中点, ∴ , ∵ ∴ , ∵ , , ∴ , ∴ 是直角三角形,且 , ∴ 又∵ 为 的中点, ∴ 55 试卷第页,共3页 资料整理【淘宝店铺:向阳百分百】 学科网(北京)股份有限公司关注公众号:陆陆高分冲刺 ~领取:最新版“小中高考-总复习”、最新试卷下载 ∵ ∴ 在 中, , ∴ , 在 中, , ∴ , 由(1)可得 , ∴ , ∴ . 【点睛】本题考查了相似三角形的性质与判定,平行四边形的性质,勾股定理及其逆定理,直角三角形斜 边上的中线等于斜边的一半,综合运用以上知识是解题的关键. 44.已知 是等边三角形, 是直线 上的一点. (1)问题背景:如图 ,点 , 分别在边 , 上,且 , 与 交于点 ,求证: ; (2)点 , 分别在边 , 上, 与 交于点 ,且 . ①尝试运用:如图 ,点 在边 上,且 ,求 的值; ②类比拓展:如图3,点 在 的延长线上,且 ,直接写出 的值. 【答案】(1)见解析 (2)① ;② 或 56 试卷第页,共3页 资料整理【淘宝店铺:向阳百分百】 学科网(北京)股份有限公司关注公众号:陆陆高分冲刺 ~领取:最新版“小中高考-总复习”、最新试卷下载 【分析】(1)根据等边三角形的性质得出 , ,进而证明 ,得出 ,根据三角形外角的性质即可得证; (2)①在 上截取 ,连接 交 于点 ,过点 作 交 于点 ,证明 , ,证明 ,设 , ,则 , 证明 得出 ,即可求解; ②延长 至 ,使 ,连接 交 于点 ,过点 作 交 于点 ,证明 , ,设 , ,则 ,证明 , ,根据相似三角形的性质列出比例式,继而即可求解. 【详解】(1)证明: 是等边三角形, , , , , , ; (2)①在 上截取 ,连接 交 于点 ,过点 作 交 于点 , 由(1)可知 , , , ∴ , , ∴ , , 57 试卷第页,共3页 资料整理【淘宝店铺:向阳百分百】 学科网(北京)股份有限公司关注公众号:陆陆高分冲刺 ~领取:最新版“小中高考-总复习”、最新试卷下载 ∴ , ∵ , ∴ , 设 , ,则 , , ,即 , , , , , , 解得 或 (舍), ∴ ; ②延长 至 ,使 ,连接 交 于点 ,过点 作 交 于点 , 由(1)可知 , 58 试卷第页,共3页 资料整理【淘宝店铺:向阳百分百】 学科网(北京)股份有限公司关注公众号:陆陆高分冲刺 ~领取:最新版“小中高考-总复习”、最新试卷下载 , , , ∴ , , 设 , ,则 , ∵ , ∴ , ∵ , , , ∴ , ∴ ∴ , 解得 或 , ∴ 或 . 【点睛】本题考查了全等三角形的性质与判定,相似三角形的性质与判定,构造相似三角形是解题的关键. 45.[基础巩固] (1)如图①,在 中, , 于点 ,求证: . [尝试应用] (2)如图②,在矩形 中, ,点 在 上, , 于点 ,求 的长. [拓展提高] (3)如图③,在矩形 中,点 在边 上, 与 关于直线 对称,点 的对称点 在 59 试卷第页,共3页 资料整理【淘宝店铺:向阳百分百】 学科网(北京)股份有限公司关注公众号:陆陆高分冲刺 ~领取:最新版“小中高考-总复习”、最新试卷下载 边 上, 为 中点,连接 交 于点 , ,若 ,求 的长. 【答案】(1)证明见解析 (2) (3) 【分析】(1)由 , 得到 ,再由 ,得到 ,从而得到 ,变形即可得到答案; (2)由矩形的性质得, ,从而得到 ,即 ,由(1)中 ,得到 ,计算即可得到答案; (3)由 与 关于直线 对称,得 ,从而得到 , ,再通过证明 得到 ,由(1)可得, ,设 , 则 , ,解方程求出 的值即可. 【详解】(1)证明: , , , , , , , , ; (2)解: , , 在矩形 中, , , , , 60 试卷第页,共3页 资料整理【淘宝店铺:向阳百分百】 学科网(北京)股份有限公司关注公众号:陆陆高分冲刺 ~领取:最新版“小中高考-总复习”、最新试卷下载 , , , , 由(1)可知 , ,解得 ; (3)解:在矩形 中, , , 与 关于直线 对称, , , , , , , , , , 是 的中点, , 由(1)可知 ,设 ,则 , ,解得 , (负值,舍去), 的长为 . 【点睛】本题考查相似三角形的判定与性质、全等三角形的判定与性质及矩形的性质,熟练掌握相似三角 形的判定与性质,全等三角形的判定与性质,矩形的性质是解题的关键. 46.如图,矩形 的对角线 、 相交于点 ,延长 到点 ,使 ,连接 ,连接 交 于点 ,交 于点 . 61 试卷第页,共3页 资料整理【淘宝店铺:向阳百分百】 学科网(北京)股份有限公司关注公众号:陆陆高分冲刺 ~领取:最新版“小中高考-总复习”、最新试卷下载 (1)求证:四边形 是平行四边形; (2)求证: ; (3)若 , ,求线段 的长度. 【答案】(1)证明见解析; (2)证明见解析; (3) . 【分析】(1)根据矩形的性质和平行四边形的判定定理即可得到结论; (2)由已知可证得 , ,根据相似三角形的对应边成比例即可得到 ; (3)由已知可得到 , 的长,又因为 ,从而求得 的长,则根据 ﹣ 就得到了线段 的长度. 【详解】(1)证明:∵四边形 是矩形, , , 延长 到点 ,使 , , , 四边形 是平行四边形; (2)证明: 是矩形,且 , , , 四边形 是平行四边形, , , , , 62 试卷第页,共3页 资料整理【淘宝店铺:向阳百分百】 学科网(北京)股份有限公司关注公众号:陆陆高分冲刺 ~领取:最新版“小中高考-总复习”、最新试卷下载 ; (3)解: 四边形 为平行四边形, , 相交点 , , , 在 中, , , 在 中, , , , ∴ , , , , - . 【点睛】本题考查相似三角形的判定和性质、矩形的性质、平行四边形的判定定理,正确寻找相似三角形, 利用相似三角形的性质是解题的关键. 47.如图,在 中, , , 是线段 上的一点,连接 ,过点 作 ,分别交 , 于点 , ,与过点A且垂直于 的直线相交于点 ,连接 (1)求证: (2)若 是 的中点,求 的值. (3)若 ,求 的值. 63 试卷第页,共3页 资料整理【淘宝店铺:向阳百分百】 学科网(北京)股份有限公司关注公众号:陆陆高分冲刺 ~领取:最新版“小中高考-总复习”、最新试卷下载 【答案】(1)证明见解析 (2) (3) 的值为12 【分析】(1)先证明 ,再利用相似三角形的性质进行证明. (2)先证明 ,求出 ,再利用相似三角形的性质即可求解. (3)利用全等和相似进行线段之间的关系转化,先求出 ,再求出 ,即可求 解. 【详解】(1)证明:∵ , ∴ , ∴ , ∴ , ∵ , ∴ , (2)∵ , ∴ , ∵ , ∴ , ∴ , ∵ 是 的中点, ∴ , ∴ , ∴ , ∵ 64 试卷第页,共3页 资料整理【淘宝店铺:向阳百分百】 学科网(北京)股份有限公司关注公众号:陆陆高分冲刺 ~领取:最新版“小中高考-总复习”、最新试卷下载 ∴ , ∴ . (3)∵ , ∴ , ∵ , ∴ , ∴ , 若 , ∴ , 即 ∵ ∴ , ∴ ∴ ; ∴ . 【点睛】本题主要考查了全等三角形的判定与性质、相似三角形的判定与性质等知识,解题关键是发现全 等三角形和相似三角形,能利用它们的性质进行线段之间的关系转化. 48.【教材呈现】下图是华师版九年级上册数学教材64页的部分内容. 如图,在 中,D是边 的四等分点, , , , .求四边形 的 周长. 问题解决:请结合图1给出解题过程. 65 试卷第页,共3页 资料整理【淘宝店铺:向阳百分百】 学科网(北京)股份有限公司关注公众号:陆陆高分冲刺 ~领取:最新版“小中高考-总复习”、最新试卷下载 问题探究 (1)如图2,在 中,D是边 上的一点,过点D作 ,交 于点F,过点D作 , 交 于点E,延长 至H,使 ,连接 交 于G.若 . 的面积为2,则 的面积为______. (2)如图3,在 中,D是边 上的一点,且 ,连接 ,E为 上一点,连接 交 于点F,若F为 的中点, 的面积为m,则 的面积为______(含m的代数式表示). 【答案】问题解决:18;问题探究:(1) ;(2) 【分析】问题解决;先得到 ,再证明 ,求出 , ;进一步证明四边形 是平行四边形.得到 ,由此即可得到答案; 问题探究:(1)首先证明 ,得 ,推出 ,则 ,证明 ,得到 ,再由 ,得到 ,则 ,进而得到 ,则 ; (2)连接 ,过点D作 ,交 于G,先得到 ,证明 ,推出 , ,设 ,则 ,则 , ,证明 ,推出 ,得到 ,则 ,即可得到 ,则 66 试卷第页,共3页 资料整理【淘宝店铺:向阳百分百】 学科网(北京)股份有限公司关注公众号:陆陆高分冲刺 ~领取:最新版“小中高考-总复习”、最新试卷下载 . 【详解】解:问题解决:∵D是 的四等分点, ∴ , ∵ , , ∴ , ∴ , ∴ , , ∴ , . ∵ , ∴四边形 是平行四边形. ∴ , ∴四边形 周长 ; 问题探究:(1)连接 , 由问题解决同理可得:四边形 是平行四边形, ∴ , ∵ , ∴ , ∵ , ∴ , 又∵ , ∴ , ∴ , ∵ 的面积为2, ∴ , ∴ , ∵ , ∴ , 67 试卷第页,共3页 资料整理【淘宝店铺:向阳百分百】 学科网(北京)股份有限公司关注公众号:陆陆高分冲刺 ~领取:最新版“小中高考-总复习”、最新试卷下载 ∴ , ∵ , ∴ , ∵ , ∴ , ∴ , ∴ , ∴ , 故答案为: ; (2)连接 ,过点D作 ,交 于G, ∵点F为 的中点, ∴ , ∵ , ∴ , ∴ ∴ , , 设 ,则 , 68 试卷第页,共3页 资料整理【淘宝店铺:向阳百分百】 学科网(北京)股份有限公司关注公众号:陆陆高分冲刺 ~领取:最新版“小中高考-总复习”、最新试卷下载 ∵ 的面积为m, ∴ , ∴ , ∵ , ∴ , ∴ , ∵ , ∴ , ∴ ∴ , ∴ , ∴ , ∴ , 故答案为: . 【点睛】本题主要考查了相似三角形的判定与性质,平行四边形的判定与性质,全等三角形的判定与性质 等知识,正确作出辅助线构造全等三角形,构造相似三角形是解题的关键. 49.探究题: (1)特例感知:如图①,在 中, ,点D是 边上的中点, ,交 的延长线于 69 试卷第页,共3页 资料整理【淘宝店铺:向阳百分百】 学科网(北京)股份有限公司关注公众号:陆陆高分冲刺 ~领取:最新版“小中高考-总复习”、最新试卷下载 点E, , ,则 度; 的长为 ; (2)数学思考:如图②,在 中, ,点D是 边上的一点,且 , , 交 的延长线于点E, , .求 的度数和 的长. (3)拓展应用:如图③,在四边形 中, , ,对角线 相交于点E, 且 , , .求 的长. 【答案】(1) ; (2) , (3) 【分析】(1)根据直角三角形斜边上的中线等于斜边的一半得到 ,再根据含30角的直 角三角形的性质求得 ,然后根据勾股定理和平行线的性质求解 和 即可; (2)先根据平行线的性质求得 ,进而利用等角对等边证得 ,证明 求得 ,即可求解; (3)过D作 于H,则 ,可证得 ,利用相似三角形的性质得到 , ,进而有 ,然后根据含30度角的直角三角形的性质求得 ,进而有 , ,再根据等角对等边证得 ,最后利用勾股 定理求解即可. 【详解】(1)解:如图①,∵在 中, ,点D是 边上的中点, , ∴ ,则 , ∵ ,∴ , 70 试卷第页,共3页 资料整理【淘宝店铺:向阳百分百】 学科网(北京)股份有限公司关注公众号:陆陆高分冲刺 ~领取:最新版“小中高考-总复习”、最新试卷下载 ∴ ,则 , ∵ , , ∴ , 故答案为: , ; (2)解:如图②,∵ , , , ∴ , , ∴ , ∴ , ∵ , ∴ , ∴ ,又 , , ∴ ,则 , ∴ ; (3)解:如图③,过D作 于H, ∵ , ∴ , ∴ , ∴ , ∴ ,又 , , ∴ , , ∴ , ∵ , ∴ , ∴ ,又 , ∴ , ∴ , , ∵ , , 71 试卷第页,共3页 资料整理【淘宝店铺:向阳百分百】 学科网(北京)股份有限公司关注公众号:陆陆高分冲刺 ~领取:最新版“小中高考-总复习”、最新试卷下载 ∴ , ∴ , ∴ , ∴在 中, . 【点睛】本题考查了直角三角形斜边上的中线性质、含30角的直角三角形的性质、相似三角形的判定与性 质、等腰三角形的判定、勾股定理、三角形的内角和定理、平行线的性质等知识,熟练掌握相关知识的联 系与运用,灵活添加辅助线,利用相似三角形的性质求解是解答的关键. 50.如图1,在正方形 中, 是 上一点,作 ,垂足为点 ,交 于点 . (1)求证: ; (2)如图2,延长 交 的延长线于点 ; ①如果 是 的中点,求 的值; ②如果 ,求 的长度. 【答案】(1)见解析 (2)① ;② 【分析】(1)证明 ,根据全等三角形的性质即可得证; 72 试卷第页,共3页 资料整理【淘宝店铺:向阳百分百】 学科网(北京)股份有限公司关注公众号:陆陆高分冲刺 ~领取:最新版“小中高考-总复习”、最新试卷下载 (2)设正方形 的边长为 , ,由 ,可得 , , ,根据相似三角形的性质得出比例式,分别求得 ,得出 ,进而根据 建立方程,解方程即可求解. 【详解】(1)证明:∵在正方形 中, , , , , , , , 在 和 中, , , ; (2)①解:∵ 是 的中点, , ∴ , ∵四边形 是正方形, ∴ , ∴ , , 在 和 中, , , , , ∵ , , 73 试卷第页,共3页 资料整理【淘宝店铺:向阳百分百】 学科网(北京)股份有限公司关注公众号:陆陆高分冲刺 ~领取:最新版“小中高考-总复习”、最新试卷下载 , , , , ∴ 的值为 ; ②∵ , ∴ , , 设正方形 的边长为 , , 则 , , ∵ , , , , , , 即 , , , ∴ , ∴ , , , 74 试卷第页,共3页 资料整理【淘宝店铺:向阳百分百】 学科网(北京)股份有限公司关注公众号:陆陆高分冲刺 ~领取:最新版“小中高考-总复习”、最新试卷下载 , 即 , ∵ , ∴ , ∴ , , , , 解得: . 【点睛】本题考查了正方形的性质,全等三角形的性质与判定,相似三角形的性质与判定,熟练掌握相似 三角形的性质与判定是解题的关键. 51.如图,矩形 中, . 是边 上一动点(不与点 重合),延长 到 ,使 , , 交于点 ,连接 并延长交 于点 . (1)若 ,求证: ; (2)探究:当点 运动时,点 的位置是否发生变化?请说明理由; 【答案】(1)见解析 (2)不发生变化,理由见解析 【分析】(1)先利用矩形的性质证得 , ,再利用 ,求得 ,最后即可证得 . 75 试卷第页,共3页 资料整理【淘宝店铺:向阳百分百】 学科网(北京)股份有限公司关注公众号:陆陆高分冲刺 ~领取:最新版“小中高考-总复习”、最新试卷下载 (2)点F的位置不发生变化.先利用 ,求得 ,再利用矩形的性质证得 , ,利用相似三角形的性质可求得 即可得到 ,证得当点P运动时, 点F的位置是不发生变化. 【详解】(1)∵四边形 是矩形, , ∴ , , ∴ , , ∵ , ∴ , ∴ , ∴ , 在 与 中, ∴ . (2)解;点F的位置不发生变化. 理由为:∵ , ∴ , ∵四边形 是矩形, ∴ , ∴ , , 又∵ , , ∴ , , 76 试卷第页,共3页 资料整理【淘宝店铺:向阳百分百】 学科网(北京)股份有限公司关注公众号:陆陆高分冲刺 ~领取:最新版“小中高考-总复习”、最新试卷下载 ∴ , , ∴ ,即 , ∵ , ∴ , ∴当点P运动时,点F的位置是不发生变化. 【点睛】本题考查了矩形的性质,全等三角形的判定和性质以及相似三角形的判定和性质,解题的关键是 掌握相关定理,进行推理论证. 52.已知 是等边三角形,D是直线 上的一点. (1)问题背景:如图1,点D,E分别在边 , 上,且 , 与 交于点 ,求证: ; (2)点G,H分别在边 , 上, 与 交于点 ,且 . ①尝试运用:如图2,点D在边 上,且 ,求 的值; ②类比拓展:如图3,点D在 的延长线上,且 ,直接写出 的值. 【答案】(1)见解析 (2)①3;② 或 【分析】(1)利用 证明 ,再由等量代换证明 ; (2)①在 上截取 ,连接 交 于点 ,过点 作 交 于点 ,由(1)可知 77 试卷第页,共3页 资料整理【淘宝店铺:向阳百分百】 学科网(北京)股份有限公司关注公众号:陆陆高分冲刺 ~领取:最新版“小中高考-总复习”、最新试卷下载 ,则 ,再由平行线的性质可得 ,即 设 , , 则 ,由 ,可得 , ,从而得到等式 ,求出 , 即可求 ;②延长 至 ,使 ,连接 交 于点 ,过点 作 交 于点 , 由(1)可知 ,则 ,可得 ,设 , ,则 ,可知 ,再由 ,分别得到 , ,从 而得到方程 ,求出 或 ,即可求 或 . 【详解】(1)解:证明: 是等边三角形, , , , , , ; (2)①在 上截取 ,连接 交 于点 ,过点 作 交 于点 , 由(1)可知 , , , 78 试卷第页,共3页 资料整理【淘宝店铺:向阳百分百】 学科网(北京)股份有限公司关注公众号:陆陆高分冲刺 ~领取:最新版“小中高考-总复习”、最新试卷下载 , , , , , 设 , ,则 , , ,即 , , , , , 解得 或 (舍), ; ②延长 至 ,使 ,连接 交 于点 ,过点 作 交 于点 , 79 试卷第页,共3页 资料整理【淘宝店铺:向阳百分百】 学科网(北京)股份有限公司关注公众号:陆陆高分冲刺 ~领取:最新版“小中高考-总复习”、最新试卷下载 由(1)可知 , , , 设 , ,则 , , , , , , , , 解得 或 , 或 . 【点睛】本题考查了等边三角形的性质,三角形全等的判定及性质,平行分线段,熟练掌握性质定理是解 题的关键. 53.综合与探究 (1)如图1,在正方形 中,点E,F分别在边 上,且 ,则线段 与 的之间的数 量关系为______; (2)【类比探究】如图2,在矩形 中, , ,点E,F分别在边 上,且 , 请写出线段 与 的数量关系,并证明你的结论. (3)【拓展延伸】如图3,在 中, , , ,D为 上一点,且 , 连接 ,过点B作 于点F,交 于点E,求 的长. 80 试卷第页,共3页 资料整理【淘宝店铺:向阳百分百】 学科网(北京)股份有限公司关注公众号:陆陆高分冲刺 ~领取:最新版“小中高考-总复习”、最新试卷下载 【答案】(1) (2) .证明见解析 (3) . 【分析】(1)由“ ”可证 ,可得 ; (2)通过证明 ,利用相似三角形的性质,即可求解; (3)过点 作 的垂线,过点 作 的垂线,两垂线交于点 ,延长 交 于点 ,勾股定理求得 ,根据(2)知 ,求得 ,证明 ,利用相似三角形的性质,即可求解. 【详解】(1)解:设 与 相交于点 ,如图, ∵正方形 , ∴ , , ∵ , ∴ , ∵ , ∴ , 在 和 中, , ∴ , ∴ ; 故答案为: ; 81 试卷第页,共3页 资料整理【淘宝店铺:向阳百分百】 学科网(北京)股份有限公司关注公众号:陆陆高分冲刺 ~领取:最新版“小中高考-总复习”、最新试卷下载 (2)解: . 证明:∵ , ∴ . 在矩形ABCD中, , ∴ , ∴ , ∴ , ∴ , ∴ . (3)解:如图,过点 作 的垂线,过点 作 的垂线,两垂线交于点 ,延长 交 于点 . ∴四边形 是矩形. ∵ , , ∴ . ∴ . 由(2)知 , ∴ . 在 中, , ∵ ∴ , ∴ , 82 试卷第页,共3页 资料整理【淘宝店铺:向阳百分百】 学科网(北京)股份有限公司关注公众号:陆陆高分冲刺 ~领取:最新版“小中高考-总复习”、最新试卷下载 即 , 解得 . 【点睛】本题考查了矩形的性质,正方形的性质,相似三角形的判定和性质,全等三角形的判定和性质, 添加恰当辅助线构造相似三角形是本题的关键. 54.【教材呈现】如图是苏科版版数学教材第86页的部分内容. 猜想:如图,在 中,点D、E分别是 与 的中点,根据画出的图形,可以猜想: ,且 . 对此,我们可以用演绎推理给出证明. (1)【定理证明】请根据教 材内容,结合图①,写出证明过程. (2)【定理应用】如图②,四边形 中,M、N、P分别为 的中点,边 延长线交于 点E, ,则 ______. (3)如图③,在 中, , ,E、F分别为 上一点,M、N分别为 的 中点.当 时, ______. 【答案】(1)证明过程见解析 (2) (3) 83 试卷第页,共3页 资料整理【淘宝店铺:向阳百分百】 学科网(北京)股份有限公司关注公众号:陆陆高分冲刺 ~领取:最新版“小中高考-总复习”、最新试卷下载 【分析】(1)由中点性质得到 ,根据 ,推出 ,据此即可证明结论 成立; (2)根据(1)的结论推出 , ,根据 即可求解; (3)取AB的中点G,求得 , ,根据(1)的结论得到 ,利用勾股定理即可求解. 【详解】(1)证明:∵点D、E分别是 与 的中点, ∴ , ∴ , ∵ , ∴ , ∴ , , ∴ ,且 ; (2)解:∵M、N、P分别为 的中点, ∴ , , ∴ , , ∵ , , ∴ , ∴ , 故答案为: ; (3)解:如图③,取AB的中点G,连结 , ∵ , , 84 试卷第页,共3页 资料整理【淘宝店铺:向阳百分百】 学科网(北京)股份有限公司关注公众号:陆陆高分冲刺 ~领取:最新版“小中高考-总复习”、最新试卷下载 ∴ , , ∴M、N分别为 的中点, ∴ , , , , ∵ , ∴ , ∴ , , ∴ , ∴MN= , 故答案为: . 【点睛】此题重点考查等腰直角三角形的性质、相似三角形的判定与性质、平行线的判定、三角形的外角 等于与它不个邻的两个内角的和、三角形的中位线定理、勾股定理等知识,属于考试压轴题. 55.某数学兴趣小组在数学课外活动中,对多边形内两条互相垂直的线段做了如下探究: 【观察与猜想】 (1)如图①,在正方形 中,点 , 分别是 、 上的两点,连接 , , ,求证 . 【类比探究】 (2)如图②,在矩形 中, , ,点 是边 上一点,连接 , ,且 ,求 的值. 【拓展延伸】 (3)如图③,在 中, ,点 在 边上,连接 ,过点 作 于点 , 的延长线交 边于点 若 , , ,求 的值. 85 试卷第页,共3页 资料整理【淘宝店铺:向阳百分百】 学科网(北京)股份有限公司关注公众号:陆陆高分冲刺 ~领取:最新版“小中高考-总复习”、最新试卷下载 【答案】(1)见解析 (2) (3) 【分析】(1)根据同角的余角相等,利用 证明 即可; (2)根据同角的余角的相等,得 ,证明 ∽ ,则 ; (3)过点 作 ,延长 交 于点 ,首先根据 ,可得 ,则 ,再由 同理得 ,得 ,进而解决问题. 【详解】(1)证明:如图 ,设 与 的交点为 , 四边形 是正方形, , , , , , , , 在 和 中, , ; 86 试卷第页,共3页 资料整理【淘宝店铺:向阳百分百】 学科网(北京)股份有限公司关注公众号:陆陆高分冲刺 ~领取:最新版“小中高考-总复习”、最新试卷下载 (2)解:如图 ,设 与 交于点 , 四边形 是矩形, , , , , , , , , ; (3)解:如图3,过点 作 ,延长 交 于点 , 在 中, , , , , , , , , , 87 试卷第页,共3页 资料整理【淘宝店铺:向阳百分百】 学科网(北京)股份有限公司关注公众号:陆陆高分冲刺 ~领取:最新版“小中高考-总复习”、最新试卷下载 , , , , 又 , , , , . 【点睛】本题是相似形综合题,主要考查了矩形的性质,全等三角形的判定与性质,相似三角形的判定与 性质等知识,熟练掌握矩形中十字架模型是解题的关键. 56.请阅读下列材料,非完成相应的任务. 利用辅助平行线求线段的比 三角形的中位线定理是三角形的中位线平行于第三边,且等于第三边的一半.平行线分线段成比例定理是 两条平行线被两条直线所截,截得的线段对应成比例.有些几何题,若题中出现了平行线,我们可以直接 利用这两个定理求出两线段的比值,而有些几何题,题中没有平行线这样的条件,那么我们可以通过作辅 助平行线,然后再利用这两个定理加以解决. 举例:如图1, 是 的中线, , 的延长线交 于点F. 求 的值. 下面是该题的部分解题过程: 解:如图2,过点D作 交 于点H. ∵ 是 的中线, ∴ . ∵ , ∴ , ∴ . ∵ , … 88 试卷第页,共3页 资料整理【淘宝店铺:向阳百分百】 学科网(北京)股份有限公司关注公众号:陆陆高分冲刺 ~领取:最新版“小中高考-总复习”、最新试卷下载 任务: (1)请补充材料中剩余部分的解答过程. (2)上述解题过程主要用的数学思想是______.(单选) A.方程思想 B.转化思想 C.分类思想 D.整体思想 (3)请你换一种思路求 的值,直接写出辅助线的作法即可. 【答案】(1)见解析 (2)B (3)见解析 【分析】(1)通过过点D作 交 于点H.根据 的中线的定义即可得到 ,根据平 行线分线段成比例即可得到 与 ,根据 即可得到 ,进一步 即可求出答案;D (2)由上述解题过程即可得到求 的值转化为了求 与 的值,通过转化即可求出答案,即可判断 出答案; (3)通过过点D作 交 于点M,根据 的中线的定义即可得到 ,进一步得到 ,根据平行线分线段成比例即可得到 与 ,根据 ,即可得到 , 进一步即可求出答案. 【详解】(1)∴ , ∵ , ∴ , 89 试卷第页,共3页 资料整理【淘宝店铺:向阳百分百】 学科网(北京)股份有限公司关注公众号:陆陆高分冲刺 ~领取:最新版“小中高考-总复习”、最新试卷下载 ∴ , ∵ , ∴ (2)上述解题过程主要用的数学思想是转化思想 故选B (3)解:如图,过点 作 交 于点 . ∵ 是 的中线, ∴ , , ∵ , ∴ , ∵ , ∴ , ∵ , ∴ , ∴ , ∴ 【点睛】本题考查利用辅助平行线求线段的比,作出辅助线,利用平行线分线段成比例进行转化是解题关 键. 90 试卷第页,共3页 资料整理【淘宝店铺:向阳百分百】 学科网(北京)股份有限公司关注公众号:陆陆高分冲刺 ~领取:最新版“小中高考-总复习”、最新试卷下载 57.如图①在 中; 、 分别是边 、 的中点, 、 相交于点 . (1)结论应用:连接 ,结合图①,求证: . (2)在平行四边形 中,对角线 、 交于点 , 为边 的中点 、 交于点 .如图②, 若平行四边形 为菱形, ,且 ,求 的长. (3)如图③,连接 交 于点 ,若四边形 的面积为 ,求平行四边形 的面积. 【答案】(1)见解析 (2) (3) 【分析】(1)如图①,连接 ,根据三角形的中位线定理可得 , ,进而可得 ,然后根据相似三角形的性质和比例的性质即可证得结论; (2)根据正方形的性质可得 , , ,进而可得 ,于 是 ,进一步即可推得 与 的关系,即可求解; (3)如图③,连接 ,由 题的结论可推出 ,进而可得 与 的面积比为 ,同理可 得 与 的面积比,进一步即可求出 的面积,而 ,即可求解. 【详解】(1)证明:如图①,连接 , 在 中, , 分别是边 , 的中点, , , , 91 试卷第页,共3页 资料整理【淘宝店铺:向阳百分百】 学科网(北京)股份有限公司关注公众号:陆陆高分冲刺 ~领取:最新版“小中高考-总复习”、最新试卷下载 , , ; (2)解:如图②. 四边形 为正方形, 为边 的中点, , , , , , , . 正方形 中, , , ; (3)如图③,连接OE. 92 试卷第页,共3页 资料整理【淘宝店铺:向阳百分百】 学科网(北京)股份有限公司关注公众号:陆陆高分冲刺 ~领取:最新版“小中高考-总复习”、最新试卷下载 由 题知, , , . 与 的高相同, 与 的面积比为 , 同理, 与 的面积比 , ∴ , ∴ , ∴ . 【点睛】本题考查了三角形的中位线定理、平行四边形和正方形的性质、相似三角形的判定和性质、比例 的性质和三角形的面积等知识,熟练掌握上述基本知识是解题的关键. 58.如图,在 中,直线 与边 相交于点D,与边 相交于点E,与线段 延长线相交于点 F. (1)若 , ,求 的值. (2)若 , ,其中 ,求 的值. (3)请根据上述(1)(2)的结论,猜想 = (直接写出答案,不需要证明). 93 试卷第页,共3页 资料整理【淘宝店铺:向阳百分百】 学科网(北京)股份有限公司关注公众号:陆陆高分冲刺 ~领取:最新版“小中高考-总复习”、最新试卷下载 【答案】(1)2 (2) (3)1 【分析】(1)过点D作 交 于点M,利用 得出 , ,结 合 得出 ,从而得到 , ,继而得到 , ; (2)过点D作 交 于点M,利用 , 得出 , ,结合 得出 ,从而得到 , ,继而得到 , ; (3)根据(1)(2)的情况,分别计算 , ,并计算它们的乘积 ,从而得解. 【详解】(1)解:如图所示,过点D作 交 于点M, , ∴ . 94 试卷第页,共3页 资料整理【淘宝店铺:向阳百分百】 学科网(北京)股份有限公司关注公众号:陆陆高分冲刺 ~领取:最新版“小中高考-总复习”、最新试卷下载 , . , , , . , . , , , . , , . (2)解:如题所示,过点D作 交 于点N, , 95 试卷第页,共3页 资料整理【淘宝店铺:向阳百分百】 学科网(北京)股份有限公司关注公众号:陆陆高分冲刺 ~领取:最新版“小中高考-总复习”、最新试卷下载 . , . , , , . , . , , , , , ; (3)由(1) 可知, , , . 由 (2) 可知, , , . 综上所述: . 故答案是:1. 96 试卷第页,共3页 资料整理【淘宝店铺:向阳百分百】 学科网(北京)股份有限公司关注公众号:陆陆高分冲刺 ~领取:最新版“小中高考-总复习”、最新试卷下载 【点睛】本题考查相似三角形的判定和形式,作平行线构造相似三角形求解是解题的关键. 59.【模型启迪】 (1)如图1,在 中, 为 边的中点,连接 并延长至点 ,使 ,连接 ,则 与 的数量关系为______,位置关系为______; 【模型探索】 (2)如图2,在 中, 为 边的中点,连接 , 为 边上一点,连接 交 于点 ,且 .求证: ; 【模型应用】 (3)如图3,在(2)的条件下,延长 至点 ,使 ,连接 ,交 的延长线于点 .若 , , ,求线段 的长. 【答案】(1) ;(2)见解析;(3) 【分析】(1)根据 证明 ,得到 , ,得到 ,以此即 可解答; (2)延长 至点 ,使 ,连接 ,利用 中方法同理可证 ,得到 , ,由 可得 ,根据等边对等角可得和对顶角相等可得 ,进而可得 ,以此即可证明 ; (3)延长 至点 ,使 ,连接 ,由 可知 ,可得 , ,进而可得 ,易得 ,由相似三角形的性质得 ,设 ,表示出 ,建立方程,解方程,即可求解. 【详解】(1)解:∵ 为 边的中点, , 97 试卷第页,共3页 资料整理【淘宝店铺:向阳百分百】 学科网(北京)股份有限公司关注公众号:陆陆高分冲刺 ~领取:最新版“小中高考-总复习”、最新试卷下载 在 和 中, , , , , ∴ , 故答案为: , ; (2)证明:延长 至点 ,使 ,连接 , 由(1)同理可得: , , , , , , ,即 , ; (3)解:延长 至点 ,使 ,连接 , 98 试卷第页,共3页 资料整理【淘宝店铺:向阳百分百】 学科网(北京)股份有限公司关注公众号:陆陆高分冲刺 ~领取:最新版“小中高考-总复习”、最新试卷下载 由(2)可知, , , , , , 设 , , , 整理得: , 解得: , 经检验, 是原方程的解, . 【点睛】本题主要考查全等三角形的判定与性质、平行线的判定与性质、等腰三角形的判定与性质、相似 三角形的判定与性质,熟练掌握等腰三角形的判定与性质,证明三角形全等和三角形相似是解题的关键. 60.阅读下面材料,完成以下两问: 数学课上,老师出示了这样一道题.如图, 中,D为 中点,且 ,M为 中点,连接 并延长交 于N.探究线段 之间的数量关系,并证明. 同学们经过思考后,交流了自己的想法: 小明:“通过观察和度量,发现线段 之间存在某种数量关系”. 小强:“通过倍长不同的中线,可以得到不同的结论,但都是正确的”. 99 试卷第页,共3页 资料整理【淘宝店铺:向阳百分百】 学科网(北京)股份有限公司关注公众号:陆陆高分冲刺 ~领取:最新版“小中高考-总复习”、最新试卷下载 小伟:“通过构造、证明相似三角形、全等三角形,就可以将问题解决”. (1)小伟在探索时,做法为:过B作 交 延长线于Q,构造 . 请你按照他的做法,判断 与 之间的数量关系为: ________ (2)如图(2):延长 至H,使 ,连接 ,则结论: 是否成立?请说明理由; (3)如图(3),证明: . 【答案】(1) (2)成立,见解析 (3)见解析 【分析】(1)过B作 交 延长线于Q,构造出全等三角形 、相似三角形 ,再利用全等和相似的性质即可得出结论 ; (2)延长 至H,使 ,连接 ,可得 ,进一步可证得 , 得到 ,然后证明 ,即可得到结论: ; (3)延长 至 ,使 ,连接 ,延长 至 ,使 ,可得 、 100 试卷第页,共3页 资料整理【淘宝店铺:向阳百分百】 学科网(北京)股份有限公司关注公众号:陆陆高分冲刺 ~领取:最新版“小中高考-总复习”、最新试卷下载 四边形 为平行四边形,进一步可证得 ,即可得到结论 . 【详解】(1)解:过B作 交 延长线于Q,如图: ∴ , ∵D为 中点, , ∴ , ∴ , ∵M为 中点, ∴ , ∵ , ∴ , ∴ , ∴ ; (2)证明:延长 至H,使 ,连接 ,如图: ∵D为 中点, , ∴ , ∴ , 101 试卷第页,共3页 资料整理【淘宝店铺:向阳百分百】 学科网(北京)股份有限公司关注公众号:陆陆高分冲刺 ~领取:最新版“小中高考-总复习”、最新试卷下载 ∴ , 设 ,则 , , ∴ , , ∴ ; ∴ , , ∴ , ∴ , ∴ , ∵ , ∴ , ∴ , ∴ ; (3)证明:延长 至 ,使 ,连接 , 延长 至 ,使 ,连接 ,如图: ∵在 和 中, , ∴ , ∴ , , ∴ , , ∴四边形 为平行四边形, ∴ , 102 试卷第页,共3页 资料整理【淘宝店铺:向阳百分百】 学科网(北京)股份有限公司关注公众号:陆陆高分冲刺 ~领取:最新版“小中高考-总复习”、最新试卷下载 ∴ , ∵ , ∴ , ∴ , ∵ , ∴ , ∴ , ∵ , ∴ , , ∴ , ∴ , , ∴ , ∴ ; 【点睛】本题考查了全等三角形的判定和性质、相似三角形的判定和性质、平行四边形的判定与性质、等 腰三角形的判定与性质,合理的添加辅助线是解题的关键. 103 试卷第页,共3页 资料整理【淘宝店铺:向阳百分百】 学科网(北京)股份有限公司