当前位置:首页>文档>专题11圆锥曲线(4大易错点分析+解题模板+举一反三+易错题通关)-备战2024年高考数学考试易错题(新高考专用)(解析版)_02高考数学_新高考复习资料_2024年新高考资料_专项复习资料

专题11圆锥曲线(4大易错点分析+解题模板+举一反三+易错题通关)-备战2024年高考数学考试易错题(新高考专用)(解析版)_02高考数学_新高考复习资料_2024年新高考资料_专项复习资料

  • 2026-04-10 10:28:46 2026-04-10 09:31:20

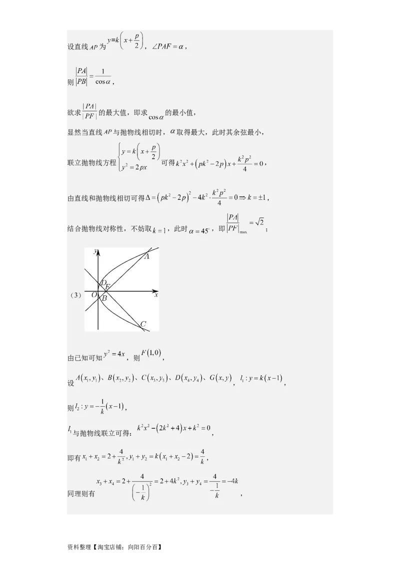
文档预览

专题11圆锥曲线(4大易错点分析+解题模板+举一反三+易错题通关)-备战2024年高考数学考试易错题(新高考专用)(解析版)_02高考数学_新高考复习资料_2024年新高考资料_专项复习资料
专题11圆锥曲线(4大易错点分析+解题模板+举一反三+易错题通关)-备战2024年高考数学考试易错题(新高考专用)(解析版)_02高考数学_新高考复习资料_2024年新高考资料_专项复习资料
专题11圆锥曲线(4大易错点分析+解题模板+举一反三+易错题通关)-备战2024年高考数学考试易错题(新高考专用)(解析版)_02高考数学_新高考复习资料_2024年新高考资料_专项复习资料
专题11圆锥曲线(4大易错点分析+解题模板+举一反三+易错题通关)-备战2024年高考数学考试易错题(新高考专用)(解析版)_02高考数学_新高考复习资料_2024年新高考资料_专项复习资料
专题11圆锥曲线(4大易错点分析+解题模板+举一反三+易错题通关)-备战2024年高考数学考试易错题(新高考专用)(解析版)_02高考数学_新高考复习资料_2024年新高考资料_专项复习资料
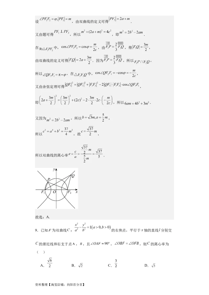
专题11圆锥曲线(4大易错点分析+解题模板+举一反三+易错题通关)-备战2024年高考数学考试易错题(新高考专用)(解析版)_02高考数学_新高考复习资料_2024年新高考资料_专项复习资料
专题11圆锥曲线(4大易错点分析+解题模板+举一反三+易错题通关)-备战2024年高考数学考试易错题(新高考专用)(解析版)_02高考数学_新高考复习资料_2024年新高考资料_专项复习资料
专题11圆锥曲线(4大易错点分析+解题模板+举一反三+易错题通关)-备战2024年高考数学考试易错题(新高考专用)(解析版)_02高考数学_新高考复习资料_2024年新高考资料_专项复习资料
专题11圆锥曲线(4大易错点分析+解题模板+举一反三+易错题通关)-备战2024年高考数学考试易错题(新高考专用)(解析版)_02高考数学_新高考复习资料_2024年新高考资料_专项复习资料
专题11圆锥曲线(4大易错点分析+解题模板+举一反三+易错题通关)-备战2024年高考数学考试易错题(新高考专用)(解析版)_02高考数学_新高考复习资料_2024年新高考资料_专项复习资料
专题11圆锥曲线(4大易错点分析+解题模板+举一反三+易错题通关)-备战2024年高考数学考试易错题(新高考专用)(解析版)_02高考数学_新高考复习资料_2024年新高考资料_专项复习资料
专题11圆锥曲线(4大易错点分析+解题模板+举一反三+易错题通关)-备战2024年高考数学考试易错题(新高考专用)(解析版)_02高考数学_新高考复习资料_2024年新高考资料_专项复习资料
专题11圆锥曲线(4大易错点分析+解题模板+举一反三+易错题通关)-备战2024年高考数学考试易错题(新高考专用)(解析版)_02高考数学_新高考复习资料_2024年新高考资料_专项复习资料
专题11圆锥曲线(4大易错点分析+解题模板+举一反三+易错题通关)-备战2024年高考数学考试易错题(新高考专用)(解析版)_02高考数学_新高考复习资料_2024年新高考资料_专项复习资料
专题11圆锥曲线(4大易错点分析+解题模板+举一反三+易错题通关)-备战2024年高考数学考试易错题(新高考专用)(解析版)_02高考数学_新高考复习资料_2024年新高考资料_专项复习资料
专题11圆锥曲线(4大易错点分析+解题模板+举一反三+易错题通关)-备战2024年高考数学考试易错题(新高考专用)(解析版)_02高考数学_新高考复习资料_2024年新高考资料_专项复习资料
专题11圆锥曲线(4大易错点分析+解题模板+举一反三+易错题通关)-备战2024年高考数学考试易错题(新高考专用)(解析版)_02高考数学_新高考复习资料_2024年新高考资料_专项复习资料
专题11圆锥曲线(4大易错点分析+解题模板+举一反三+易错题通关)-备战2024年高考数学考试易错题(新高考专用)(解析版)_02高考数学_新高考复习资料_2024年新高考资料_专项复习资料
专题11圆锥曲线(4大易错点分析+解题模板+举一反三+易错题通关)-备战2024年高考数学考试易错题(新高考专用)(解析版)_02高考数学_新高考复习资料_2024年新高考资料_专项复习资料
专题11圆锥曲线(4大易错点分析+解题模板+举一反三+易错题通关)-备战2024年高考数学考试易错题(新高考专用)(解析版)_02高考数学_新高考复习资料_2024年新高考资料_专项复习资料
专题11圆锥曲线(4大易错点分析+解题模板+举一反三+易错题通关)-备战2024年高考数学考试易错题(新高考专用)(解析版)_02高考数学_新高考复习资料_2024年新高考资料_专项复习资料
专题11圆锥曲线(4大易错点分析+解题模板+举一反三+易错题通关)-备战2024年高考数学考试易错题(新高考专用)(解析版)_02高考数学_新高考复习资料_2024年新高考资料_专项复习资料
专题11圆锥曲线(4大易错点分析+解题模板+举一反三+易错题通关)-备战2024年高考数学考试易错题(新高考专用)(解析版)_02高考数学_新高考复习资料_2024年新高考资料_专项复习资料
专题11圆锥曲线(4大易错点分析+解题模板+举一反三+易错题通关)-备战2024年高考数学考试易错题(新高考专用)(解析版)_02高考数学_新高考复习资料_2024年新高考资料_专项复习资料
专题11圆锥曲线(4大易错点分析+解题模板+举一反三+易错题通关)-备战2024年高考数学考试易错题(新高考专用)(解析版)_02高考数学_新高考复习资料_2024年新高考资料_专项复习资料
专题11圆锥曲线(4大易错点分析+解题模板+举一反三+易错题通关)-备战2024年高考数学考试易错题(新高考专用)(解析版)_02高考数学_新高考复习资料_2024年新高考资料_专项复习资料
专题11圆锥曲线(4大易错点分析+解题模板+举一反三+易错题通关)-备战2024年高考数学考试易错题(新高考专用)(解析版)_02高考数学_新高考复习资料_2024年新高考资料_专项复习资料
专题11圆锥曲线(4大易错点分析+解题模板+举一反三+易错题通关)-备战2024年高考数学考试易错题(新高考专用)(解析版)_02高考数学_新高考复习资料_2024年新高考资料_专项复习资料
专题11圆锥曲线(4大易错点分析+解题模板+举一反三+易错题通关)-备战2024年高考数学考试易错题(新高考专用)(解析版)_02高考数学_新高考复习资料_2024年新高考资料_专项复习资料
专题11圆锥曲线(4大易错点分析+解题模板+举一反三+易错题通关)-备战2024年高考数学考试易错题(新高考专用)(解析版)_02高考数学_新高考复习资料_2024年新高考资料_专项复习资料
专题11圆锥曲线(4大易错点分析+解题模板+举一反三+易错题通关)-备战2024年高考数学考试易错题(新高考专用)(解析版)_02高考数学_新高考复习资料_2024年新高考资料_专项复习资料
专题11圆锥曲线(4大易错点分析+解题模板+举一反三+易错题通关)-备战2024年高考数学考试易错题(新高考专用)(解析版)_02高考数学_新高考复习资料_2024年新高考资料_专项复习资料
专题11圆锥曲线(4大易错点分析+解题模板+举一反三+易错题通关)-备战2024年高考数学考试易错题(新高考专用)(解析版)_02高考数学_新高考复习资料_2024年新高考资料_专项复习资料
专题11圆锥曲线(4大易错点分析+解题模板+举一反三+易错题通关)-备战2024年高考数学考试易错题(新高考专用)(解析版)_02高考数学_新高考复习资料_2024年新高考资料_专项复习资料
专题11圆锥曲线(4大易错点分析+解题模板+举一反三+易错题通关)-备战2024年高考数学考试易错题(新高考专用)(解析版)_02高考数学_新高考复习资料_2024年新高考资料_专项复习资料
专题11圆锥曲线(4大易错点分析+解题模板+举一反三+易错题通关)-备战2024年高考数学考试易错题(新高考专用)(解析版)_02高考数学_新高考复习资料_2024年新高考资料_专项复习资料
专题11圆锥曲线(4大易错点分析+解题模板+举一反三+易错题通关)-备战2024年高考数学考试易错题(新高考专用)(解析版)_02高考数学_新高考复习资料_2024年新高考资料_专项复习资料
专题11圆锥曲线(4大易错点分析+解题模板+举一反三+易错题通关)-备战2024年高考数学考试易错题(新高考专用)(解析版)_02高考数学_新高考复习资料_2024年新高考资料_专项复习资料
专题11圆锥曲线(4大易错点分析+解题模板+举一反三+易错题通关)-备战2024年高考数学考试易错题(新高考专用)(解析版)_02高考数学_新高考复习资料_2024年新高考资料_专项复习资料
专题11圆锥曲线(4大易错点分析+解题模板+举一反三+易错题通关)-备战2024年高考数学考试易错题(新高考专用)(解析版)_02高考数学_新高考复习资料_2024年新高考资料_专项复习资料
专题11圆锥曲线(4大易错点分析+解题模板+举一反三+易错题通关)-备战2024年高考数学考试易错题(新高考专用)(解析版)_02高考数学_新高考复习资料_2024年新高考资料_专项复习资料
专题11圆锥曲线(4大易错点分析+解题模板+举一反三+易错题通关)-备战2024年高考数学考试易错题(新高考专用)(解析版)_02高考数学_新高考复习资料_2024年新高考资料_专项复习资料
专题11圆锥曲线(4大易错点分析+解题模板+举一反三+易错题通关)-备战2024年高考数学考试易错题(新高考专用)(解析版)_02高考数学_新高考复习资料_2024年新高考资料_专项复习资料
专题11圆锥曲线(4大易错点分析+解题模板+举一反三+易错题通关)-备战2024年高考数学考试易错题(新高考专用)(解析版)_02高考数学_新高考复习资料_2024年新高考资料_专项复习资料
专题11圆锥曲线(4大易错点分析+解题模板+举一反三+易错题通关)-备战2024年高考数学考试易错题(新高考专用)(解析版)_02高考数学_新高考复习资料_2024年新高考资料_专项复习资料
专题11圆锥曲线(4大易错点分析+解题模板+举一反三+易错题通关)-备战2024年高考数学考试易错题(新高考专用)(解析版)_02高考数学_新高考复习资料_2024年新高考资料_专项复习资料
专题11圆锥曲线(4大易错点分析+解题模板+举一反三+易错题通关)-备战2024年高考数学考试易错题(新高考专用)(解析版)_02高考数学_新高考复习资料_2024年新高考资料_专项复习资料
专题11圆锥曲线(4大易错点分析+解题模板+举一反三+易错题通关)-备战2024年高考数学考试易错题(新高考专用)(解析版)_02高考数学_新高考复习资料_2024年新高考资料_专项复习资料
专题11圆锥曲线(4大易错点分析+解题模板+举一反三+易错题通关)-备战2024年高考数学考试易错题(新高考专用)(解析版)_02高考数学_新高考复习资料_2024年新高考资料_专项复习资料
专题11圆锥曲线(4大易错点分析+解题模板+举一反三+易错题通关)-备战2024年高考数学考试易错题(新高考专用)(解析版)_02高考数学_新高考复习资料_2024年新高考资料_专项复习资料
专题11圆锥曲线(4大易错点分析+解题模板+举一反三+易错题通关)-备战2024年高考数学考试易错题(新高考专用)(解析版)_02高考数学_新高考复习资料_2024年新高考资料_专项复习资料
专题11圆锥曲线(4大易错点分析+解题模板+举一反三+易错题通关)-备战2024年高考数学考试易错题(新高考专用)(解析版)_02高考数学_新高考复习资料_2024年新高考资料_专项复习资料
专题11圆锥曲线(4大易错点分析+解题模板+举一反三+易错题通关)-备战2024年高考数学考试易错题(新高考专用)(解析版)_02高考数学_新高考复习资料_2024年新高考资料_专项复习资料
专题11圆锥曲线(4大易错点分析+解题模板+举一反三+易错题通关)-备战2024年高考数学考试易错题(新高考专用)(解析版)_02高考数学_新高考复习资料_2024年新高考资料_专项复习资料
专题11圆锥曲线(4大易错点分析+解题模板+举一反三+易错题通关)-备战2024年高考数学考试易错题(新高考专用)(解析版)_02高考数学_新高考复习资料_2024年新高考资料_专项复习资料
专题11圆锥曲线(4大易错点分析+解题模板+举一反三+易错题通关)-备战2024年高考数学考试易错题(新高考专用)(解析版)_02高考数学_新高考复习资料_2024年新高考资料_专项复习资料
专题11圆锥曲线(4大易错点分析+解题模板+举一反三+易错题通关)-备战2024年高考数学考试易错题(新高考专用)(解析版)_02高考数学_新高考复习资料_2024年新高考资料_专项复习资料
专题11圆锥曲线(4大易错点分析+解题模板+举一反三+易错题通关)-备战2024年高考数学考试易错题(新高考专用)(解析版)_02高考数学_新高考复习资料_2024年新高考资料_专项复习资料
专题11圆锥曲线(4大易错点分析+解题模板+举一反三+易错题通关)-备战2024年高考数学考试易错题(新高考专用)(解析版)_02高考数学_新高考复习资料_2024年新高考资料_专项复习资料
专题11圆锥曲线(4大易错点分析+解题模板+举一反三+易错题通关)-备战2024年高考数学考试易错题(新高考专用)(解析版)_02高考数学_新高考复习资料_2024年新高考资料_专项复习资料
专题11圆锥曲线(4大易错点分析+解题模板+举一反三+易错题通关)-备战2024年高考数学考试易错题(新高考专用)(解析版)_02高考数学_新高考复习资料_2024年新高考资料_专项复习资料
专题11圆锥曲线(4大易错点分析+解题模板+举一反三+易错题通关)-备战2024年高考数学考试易错题(新高考专用)(解析版)_02高考数学_新高考复习资料_2024年新高考资料_专项复习资料
专题11圆锥曲线(4大易错点分析+解题模板+举一反三+易错题通关)-备战2024年高考数学考试易错题(新高考专用)(解析版)_02高考数学_新高考复习资料_2024年新高考资料_专项复习资料
专题11圆锥曲线(4大易错点分析+解题模板+举一反三+易错题通关)-备战2024年高考数学考试易错题(新高考专用)(解析版)_02高考数学_新高考复习资料_2024年新高考资料_专项复习资料
专题11圆锥曲线(4大易错点分析+解题模板+举一反三+易错题通关)-备战2024年高考数学考试易错题(新高考专用)(解析版)_02高考数学_新高考复习资料_2024年新高考资料_专项复习资料
专题11圆锥曲线(4大易错点分析+解题模板+举一反三+易错题通关)-备战2024年高考数学考试易错题(新高考专用)(解析版)_02高考数学_新高考复习资料_2024年新高考资料_专项复习资料
专题11圆锥曲线(4大易错点分析+解题模板+举一反三+易错题通关)-备战2024年高考数学考试易错题(新高考专用)(解析版)_02高考数学_新高考复习资料_2024年新高考资料_专项复习资料
专题11圆锥曲线(4大易错点分析+解题模板+举一反三+易错题通关)-备战2024年高考数学考试易错题(新高考专用)(解析版)_02高考数学_新高考复习资料_2024年新高考资料_专项复习资料
专题11圆锥曲线(4大易错点分析+解题模板+举一反三+易错题通关)-备战2024年高考数学考试易错题(新高考专用)(解析版)_02高考数学_新高考复习资料_2024年新高考资料_专项复习资料
专题11圆锥曲线(4大易错点分析+解题模板+举一反三+易错题通关)-备战2024年高考数学考试易错题(新高考专用)(解析版)_02高考数学_新高考复习资料_2024年新高考资料_专项复习资料
专题11圆锥曲线(4大易错点分析+解题模板+举一反三+易错题通关)-备战2024年高考数学考试易错题(新高考专用)(解析版)_02高考数学_新高考复习资料_2024年新高考资料_专项复习资料
专题11圆锥曲线(4大易错点分析+解题模板+举一反三+易错题通关)-备战2024年高考数学考试易错题(新高考专用)(解析版)_02高考数学_新高考复习资料_2024年新高考资料_专项复习资料

文档信息

文档格式
docx
文档大小
7.393 MB
文档页数
68 页
上传时间
2026-04-10 09:31:20

文档内容

专题 11 圆锥曲线 易错点一:求轨迹方程时忽略变量的取值范围(求动点轨迹 方程) 求轨迹方程共有四大类,具体方法如下: 第一类:直接法求动点的轨迹方程 利用直接法求动点的轨迹方程的步骤如下: 第一步:建系:建立适当的坐标系 第二步:设点:设轨迹上的任一点 第三步:列式:列出有限制关系的几何等式 第四步:代换:将轨迹所满足的条件用含 的代数式表示,如选用距离和斜率 公式等将其转化为 的方程式化简 注:若求动点的轨迹,则不但要求出动点的轨迹方程,还要说明轨迹是什么曲线. 第二类:定义法求动点的轨迹方程 回顾之前所讲的第一定义的求解轨迹问题,我们常常需要把动点 和满足焦点标 志的定点连起来判断.熟记焦点的特征:(1)关于坐标轴对称的点;(2)标记为 的点;(3)圆心;(4)题目提到的定点等等.当看到以上的标志的时候要想到曲线 的定义,把曲线和满足焦点特征的点连起来结合曲线定义求解轨迹方程. 第三类:相关点法求动点的轨迹方程 如果动点 的运动是由另外某一点 的运动引发的,而该点的运动规律已知, (该点坐标满足某已知曲线方程),则可以设出 ,用 表示出相关点 的 坐标,然后把 的坐标代入已知曲线方程,即可得到动点 的轨迹方程. 第四类:交轨法求动点的轨迹方程 在求动点的轨迹方程时,存在一种求解两动曲线交点的轨迹问题,这类问题常常 资料整理【淘宝店铺:向阳百分百】可以先解方程组得出交点(含参数)的坐标,再消去参数得出所求轨迹的方程,该方 法经常与参数法并用,和参数法一样,通常选变角、变斜率等为参数. 易错提醒:求轨迹方程时,要注意准确确定范围,应充分挖掘题目中的隐含条件、限 制条件,求出方程后要考虑相应的限制条件,避免因考虑不全面致错. 例.已知 是圆 : 上的动点,点 ,直线 与圆 的另 一个交点为 ,点 在直线 上, ,动点 的轨迹为曲线 . 求曲线 的方程; 【详解】圆 的圆心为 ,半径 , 因为 ,所以 ,又因为 ,所以 所以 所以点 在以 , 为焦点, 为实轴长的双曲线上 设双曲线的方程为 ,则 , 所以 , , ,又 不可能在 轴上,所以曲线 的方程为 变式1.在平面直角坐标系中 中,动点 到定点 的距离比它到 轴的距离 大1, 的轨迹为 . 求曲线 的方程; 【详解】设动点 的坐标为 ,由已知得, 资料整理【淘宝店铺:向阳百分百】化简得: ,故曲线 的方程为 变式2.已知y轴右侧一动圆Q与圆P: 相外切,与y轴相切. 求动圆圆心Q的轨迹M的方程; 【详解】圆P: ,所以圆P的圆心坐标为 ,半径为1 设 ,依题意有 化简整理得: ,故所求动圆圆心Q的轨迹M的方程为 变式3.已知点 ,点 ,点 是 轴上的动点,点 在 轴上,直线 与直线 垂直, 关于 的对称点为 . 求 的轨迹 的方程; 【详解】方法1:设 因为 ,所以 ,即 又 ,所以 ,所以 方法2:如图,设 关于 的对称点为 ,由已知得, 互相垂直平分 所以四边形 为菱形,所以 因为 为 中点,所以 ,即 点在定直线 上,因为 ,所 以 与直线 垂直,即点 到定点 的距离等于点 到定直线 的距离 资料整理【淘宝店铺:向阳百分百】所以点 的轨迹是以 为焦点, 为准线的抛物线,所以点 的轨迹 的方 程为 1.已知圆 ,圆 ,动圆 与圆 和圆 均相 切,且一个内切、一个外切. 求动圆圆心 的轨迹 的方程. 【详解】设点 的坐标为 ,圆 的半径为 . 由已知条件,得 . ①当动圆 与圆 外切,与圆 内切时, , 从而 . ②当动圆 与圆 内切,与圆 外切时, , 从而 . 综上可知,圆心 的轨迹 是以 为焦点,6为长轴长的椭圆. 易得圆 与圆 交于点 与 , 所以动圆圆心 的轨迹 的方程为 . 2.在平面直角坐标系 中,点 到点 的距离等于点 到直线 的距离, 记动点 的轨迹为 . (1)求 的方程; 【详解】设 ,依题意,得 , 化简得 ,故 的方程为 . 资料整理【淘宝店铺:向阳百分百】3.设抛物线 的方程为 ,其中常数 ,F是抛物线 的焦点. (1)若直线 被抛物线 所截得的弦长为6,求 的值; (2)设 是点 关于顶点O的对称点, 是抛物线 上的动点,求 的最大值; (3)设 是两条互相垂直,且均经过点F的直线, 与抛物线 交于点 , 与抛物线 交于点 ,若点G满足 ,求点G的轨迹方程. 【答案】(1) ; (2) ; (3) 【分析】(1)可令 ,代入抛物线方程,计算可得弦长继而得 ; (2)根据抛物线定义转化线段比值,结合直线与抛物线的位置关系计算即可; (3)设 坐标及 方程,与抛物线方程联立,运用韦达定理以及两直 线垂直的条件,结合向量的坐标表示,以及消元转化,可得所求轨迹方程. 【详解】(1)由 可得 ,由题意可知 ; (2)易知 ,则 ,抛物线准线为 , 如图所示,过 作 准线,垂足为B, 由抛物线定义可知 ,故 , 资料整理【淘宝店铺:向阳百分百】设直线 为 , , 则 , 欲求 的最大值,即求 的最小值, 显然当直线 与抛物线相切时, 取得最大,此时其余弦最小, 联立抛物线方程 可得 , 由直线和抛物线相切可得 , 结合抛物线对称性,不妨取 ,此时 ,即 ; (3) 由已知可知 ,则 , 设 , , 则 , 与抛物线联立可得: , 即有 , 同理则有 , 资料整理【淘宝店铺:向阳百分百】因为点G满足 , 即 , 故 , 可得 , 则G的轨迹方程为 . 4.已知平面上动点 到点 与到圆 的圆心 的距离之和等 于该圆的半径.记 的轨迹为曲线 . 说明 是什么曲线,并求 的方程; 【答案】 【详解】根据题意可知圆 可化为 , 所以可知圆心 ,半径 , 易知 和 两点关于原点对称,且 , 所以由椭圆定义可知 的轨迹是以 为焦点,长轴长为 的椭圆, 即 ,可得 ; 因此曲线 的方程为 . 5.已知 为圆 : 上任一点, , , , 且满足 . 求动点 的轨迹 的方程; 【答案】 资料整理【淘宝店铺:向阳百分百】【详解】 如图,由 ,可得 , 因为 ,所以 , 所以动点 的轨迹是以 , 为焦点,长轴长为 的椭圆, 所以动点 的轨迹 的方程为 . 6.已知点A为圆 上任意一点,点 的坐标为 ,线 段 的垂直平分线与直线 交于点 . 求点 的轨迹 的方程; 【答案】 【详解】由 得 ,其半径为4, 因为线段 的垂直平分线与直线 交于点 , 故 ,则 , 而 ,故点 的轨迹 为以 为焦点的双曲线, 则 , 资料整理【淘宝店铺:向阳百分百】故点 的轨迹 的方程为 . 7.已知圆 ,一动圆与直线 相切且与圆C外切. (1)求动圆圆心P的轨迹T的方程; (2)若经过定点 的直线l与曲线 相交于 两点,M是线段 的中点,过 作 轴的平行线与曲线 相交于点 ,试问是否存在直线l,使得 ,若存在,求 出直线l的方程;若不存在,说明理由. 【答案】(1) (2)存在,方程为 【分析】(1)利用直接法,设出 点坐标根据相切关系找到等量关系即可求动圆圆心 P的轨迹T的方程; (2)由题意设直线l的方程为 ,联立抛物线方程,利用 ,从而由 向量的数量积的坐标运算于韦达定理可得 ,即可求出直线方程. 【详解】(1)由题意知圆 的圆心 ,半径 ; 设 ,易知点 在直线 右侧, 所以 到直线 的距离为 ,又 , 由相切可得 ,即 化简可得动圆圆心P的轨迹T的方程为 ; (2)如下图所示: 资料整理【淘宝店铺:向阳百分百】设 , . 由题意,设直线l的方程为 联立T的方程可得 则 ,由韦达定理可得 , , 所以 , , 假设存在 ,使得 , 则 ,又 ,所以 ; , 由 可得 , 所以 , 代入化简可得 ,解得 , ∴存在直线 ,使得 . 8.圆 ,圆心为 ,点 ,作圆上任意一点 与 点连线的中 垂线,交 于 . 求 的轨迹 的方程; 【答案】 资料整理【淘宝店铺:向阳百分百】【详解】连接 ,则 , 其中 ,则 , 所以 , 故 的轨迹 为以 两点为焦点,长轴长为4的椭圆, 其中 ,故 , , 所以 的方程为 ; 9.已知 , ,对于平面内一动点 , 轴于点 M,且 . 求点Р的轨迹C的方程; 【答案】当 , ;当 , 【详解】设 ,则 , 从而 由 ,有 , 若 ,化简整理得 ; 若 ,化简整理得 . 资料整理【淘宝店铺:向阳百分百】10.在平面直角坐标系 中,已知点 、 , 的内切圆与直线 相切于点 ,记点M的轨迹为C. 求C的方程; 【答案】 【详解】因为点 、 , 的内切圆与直线 相切于点 , 所以 , 因此根据双曲线的定义可知,点 的轨迹为以 , 为焦点的双曲线的右支, 设点 的轨迹C的方程为 ,焦距为 , 所以 , , 所以 , , , 所以点 的轨迹方程C为 易错点二:忽略了给定条件对 e 范围的限定(离心率的求 算) 求离心率范围的方法 建立不等式法: 技巧1:建立关于 和 的一次或二次方程与不等式. 技巧2:利用线段长度的大小建立不等关系. 为椭圆 的 左、右焦点, 为椭圆上的任意一点, ; 为双曲线 的左、右焦点, 为双曲线上的任一点, . 技巧3:利用角度长度的大小建立不等关系. 为椭圆 的左、右焦 资料整理【淘宝店铺:向阳百分百】点, 为椭圆上的动点,若 ,则椭圆离心率 的取值范围为 . 技巧4:利用与双曲线渐近线的斜率比较建立不等关系. PF⋅PF 1 2 技巧5:涉及 的关系式利用基本不等式,建立不等关系. 易错提醒:圆锥曲线的率的范围是有限定的,椭圆的离心率范围是 ,而双曲 线的离心率范围是 ,在求范围的时候要时刻注意. 例.已知双曲线 : 的右焦点为 ,关于原点对称的两点A、B 分别在双曲线的左、右两支上, , ,且点C在双曲线上,则双曲 线的离心率为( ) A. B. C. D. 【分析方案】由 ,令 且 , ,则 ,根据题设有 、 、 ,进而有 ,将它们整理为 关于 的齐次方程求离心率即可 【详解】由题设 ,令 且 , ,则 ,且 ① 由 ,即 ② 资料整理【淘宝店铺:向阳百分百】由 ,即 又C在双曲线上,则 ③ 由①得: ,代入③并整理得: 由①②及 得: 所以 ,即 显然 ,则 ,故选:B 变式1.已知 分别是双曲线 的左、右焦点,P为双曲线 右支上一点,若 , ,则双曲线的离心率为( ) A. B. C. D.2 【分析方案】根据双曲线定义得到 ,由三角形面积公式和余弦定理求 出 ,两边同除以 得到 ,求出离心率 【详解】∵ 分别是双曲线 的左、右焦点, 为双曲线右支上一点,∴ , ,又∵在 中, 资料整理【淘宝店铺:向阳百分百】∵ ,∴ ,则 又 ∴ ,即 ,故 ,解得: ∵ ,∴ 故选:A 变式2.已知双曲线 的上焦点为 ,点P在双曲线的下支上,若 ,且 的最小值为7,则双曲线E的离心率为( ) A.2或 B.3或 C.2 D.3 【分析方案】根据双曲线定义将 转化为 ,数形结合即可求 解 【详解】设双曲线 的下焦点为 ,可知 ,则 ,即 则 当且仅当 三点共线时,等号成立,由题意可得 ,且 因为 在 上单调递增,且 , 所以方程 ,且 ,解得 ,则 ,所以双曲线E的 离心率为 ,故选:D 资料整理【淘宝店铺:向阳百分百】变式3.过双曲线 : 的右焦点 作双曲线一条渐近线的垂线,垂 足为 ,且与另一条渐近线交于点 ,若 ,则双曲线 的离心率是 ( ) A. B. 或 C. D. 【分析方案】根据题意,可得 , 两种情况,分别求解,结合双 曲线的性质,代入离心率公式,即可得到结果 【详解】 如图①,当 时,设 ,则 ,设 ,双曲线的渐近线 方程为 ,所以 ,在 中, ,设 , , ,因为 ,所以 又 ,所以 ,所以 , , , 则 ,则 ,且 , 即 ,解得 ,所以 , 资料整理【淘宝店铺:向阳百分百】如图②,当 时,设 , ,设 ,则 , ,在 中, ,设 , , ,因为 ,所以 ,又 ,所以 , 所以 , , , ,则 , , ,所以 ,则 ,所以 ,即 ,解得 ,所以 故选:B 1.已知圆 与双曲线 ,若在双曲线 上存在一点 ,使得过点 所作的圆 的两条切线,切点为 、 ,且 ,则 双曲线 的离心率的取值范围是( ) A. B. C. D. 【答案】B 【分析】连接 、 、 ,则 , ,设点 ,则 ,分析可得 ,可得出 的取值范围,由 可求得 资料整理【淘宝店铺:向阳百分百】的取值范围. 【详解】连接 、 、 ,则 , , 由切线长定理可知, , 又因为 , ,所以, , 所以, ,则 , 设点 ,则 ,且 , 所以, , 所以, ,故 , 故选:B. 2.已知双曲线 的离心率为 ,且双曲线 上的点到焦点的 最近距离为2,则双曲线 的方程为( ) A. B. 资料整理【淘宝店铺:向阳百分百】C. D. 【答案】B 【分析】利用由双曲线 上的点到焦点的最近距离为2得 ,再由离心率、 可得答案. 【详解】由离心率 ,得 ,由双曲线 上的点到焦点的最近距离为2, 得 ,根据这两个方程解得 , 则 ,得 ,所以双曲线 的方程为 . 故选:B. 3.已知双曲线C: 的左、右焦点分别为 , ,P为双曲线C 的右支上一点,且 , ,则双曲线C的离心率的取值范围为 ( ) A. B. C. D. 【答案】B 【分析】先利用双曲线的定义及勾股定理等得到 ,设 ,结合双 曲线的定义得到 ,则 ,构造函数 ,利用导数法求解. 资料整理【淘宝店铺:向阳百分百】【详解】解:因为 , , ∴ , 又 ,∴ . 设 ,则 , , ∴ , ∴ ,则 , ∴ . ∴ ,则 , 设 ,则 , ∴ 在 上单调递增,∴ , ∴ , ∴ ,∴ , ∴ , 故选:B. 4.已知直线 过双曲线 的右焦点 ,且与双 曲线右支交于 , 两点.若 ,则双曲线 的离心率为( ) A. B. C. D. 资料整理【淘宝店铺:向阳百分百】【答案】B 【分析】设 , ,由 得到 , 的关系,结合韦达定理得到 , , 之间的关系式,进而求出离心率. 【详解】设 , ,则 , . 由 ,得 . 直线l的方程为 ,即 , 代入双曲线 的方程中,得 , 即 , ∴ , , ∴ , , ∴ , 整理得 .又 ,∴ . 故选:B. 5.双曲线 的左、右焦点分别为 , ,点 是其右支上一点. 若 , , ,则双曲线 的离心率为( ) A. B. C. D. 【答案】B 【分析】利用向量法得: ,然后结合双曲线定义: 和 余弦定理即可求解. 资料整理【淘宝店铺:向阳百分百】【详解】由双曲线的几何性质,可知点 是线段 的中点,则 , 即: , 所以: ,解得: , 所以: ,故 , 由 ,解得: , 所以: ,故B项正确. 故选:B. 6.已知直线 与双曲线 交于 两点,点 是双曲线上与 不同的一点,直线 的斜率分别为 ,则当 取得最小值时, 该双曲线的离心率为( ) A. B. C. D. 【答案】C 【分析】联立方程求出 的坐标,通过运算得到 ,代入 ,利用 二次函数的知识求得取最小值时, 的值,即可求解. 【详解】将 代入双曲线方程 中, 资料整理【淘宝店铺:向阳百分百】整理得 ,得 , 设 , 则 , , 所以 , 所以 .当 时, 取得最小值, 此时 , 所以 ,解得 , 所以 . 故选:C. 7.如图所示, 是双曲线 的左、右焦点, 的右支上存在 一点 满足 与双曲线 左支的交点 满足 ,则双曲线 的离心率为( ) A. B.2 C. D. 【答案】D 资料整理【淘宝店铺:向阳百分百】【分析】利用正弦定理及已知可得 ,令 ,由双曲线定义及 ,应用勾股定理列方程求得 ,进而求离心率. 【详解】 中 , 中 , 所以 , , 又 ,则 ,又 , 所以 ,令 ,则 , , 而 ,由 ,则 , , 可得 ,即 . 故选:D 8.已知双曲线 的左、右焦点分别为 ,以 为直径的圆与 双曲线在第二象限的部分交于点 ,若双曲线上的点 满足 ,则双曲线的 离心率为( ) A. B. C. D. 【答案】A 【分析】设 ,由双曲线的定义结合题意可得 ,又由 ,表示出 , ,在 中,由余弦定理可求得 , 解方程即可求出答案. 【详解】如图,连接 ,由题意知 , 资料整理【淘宝店铺:向阳百分百】设 ,由双曲线的定义可得 . 又由题可得 ,所以 ,即 . 在 中, ,由 ,得 , 由双曲线的定义可得 .因为 ,所以 , 所以 ,在 中, , 又由余弦定理可得 , 即 ,所以 . 又因为 ,所以 , 所以 ,故 , 所以双曲线的离心率 . 故选:A. 9.已知 为双曲线 : 的右焦点,平行于 轴的直线 分别交 的渐近线和右支于点 , ,且 , ,则 的离心率为 ( ) A. B. C. D. 资料整理【淘宝店铺:向阳百分百】【答案】B 【分析】设 ,联立方程组求得 ,根据 ,得到 ,求得 ,再由 在双曲线 上,化简得到 ,结 合 ,化简得到 ,进而求得双曲线的离心率. 【详解】双曲线 : 的渐近线方程为 . 设 ,联立方程组 ,解得 . 因为 ,所以 ,即 ,可得 . 又因为点 在双曲线 上,所以 , 将 代入,可得 , 由 ,所以 ,所以 ,即 , 化简得 ,则 ,所以双曲线的离心率为 . 故选:B. 10.已知双曲线 的右焦点为 ,过点 的直线 与双曲线 资料整理【淘宝店铺:向阳百分百】的右支交于 , 两点,且 ,点 关于原点 的对称点为点 ,若 ,则双曲线 的离心率为( ) A. B. C. D. 【答案】D 【分析】由双曲线的性质可得四边形 为矩形,然后结合双曲线的定义及 的勾股定理可得 , ,再由 的勾股定理即可求得结果. 【详解】设双曲线的左焦点为 ,连接 , , ,如图所示, 又因为 ,所以 , 所以四边形 为矩形, 设 ,则 , 由双曲线的定义可得: , , 又因为 为直角三角形, 所以 ,即 ,解得 , 所以 , , 又因为 为直角三角形, , 资料整理【淘宝店铺:向阳百分百】所以 ,即: , 所以 ,即 . 故选:D. 易错点三:易忽略判别式自身参数范围(求最值问题) 知识点一、直线和圆锥曲线联立(设点设线联立化解韦达判别) 1)椭圆 与直线 相交于 两点,设 , ( , 椭圆 与过定点 的直线 相交于 两点,设为 , 如 此 消 去 , 保 留 , 构 造 的 方 程 如 下 : , 2)抛物线 与直线 相交于 两点,设 , ( 联立可得 , 时, 特 殊 地 , 当 直 线 过 焦 点 的 时 候 , 即 , 抛物线 与直线 相交于 两点,设 , 联立可得 , 时, 知识点二、根的判别式和韦达定理 与 联 立 , 两 边 同 时 乘 上 即 可 得 到 资料整理【淘宝店铺:向阳百分百】, 为 了 方 便 叙 述 , 将 上 式 简 记 为 . 该 式 可 以 看 成 一 个 关 于 的 一 元 二 次 方 程 , 判 别 式 为 可简单记 . 和 联立 , 同理 为了方便叙述,将上式简记为 , 与C相离 ; 与C相切 ; 与C相交 . 注意: 1.如果是焦点在y轴上的椭圆,只需要把 , 互换位置即可. 2. 直线和双曲线联立结果类似,焦点在x轴的双曲线,只要把 换成 即可;焦点在 y轴的双曲线,把 换成 即可, 换成 即可. 易错提醒:求最值问题时一般转化为函数最值问题,自变量范围一般容易忽略判别式 的前提(判别式也存在隐含自变量的范围) 例.已知 , 是椭圆 的两个焦点,P是椭圆E上任一点,则 的取值范围是 . 【分析方案】求出焦点坐标,设出 ( ),利用向量的数量积的坐 标表示和椭圆方程表达出 ,结合 的取值范围,得到 的取值范 围 【详解】由 , ,解得: ,所以 不妨令 , ,因为P是椭圆E上任一设点,设 ( ) 则 ,即 ,其中 因为 ,所以 , ,所以 的取值范围是 故答案为: 资料整理【淘宝店铺:向阳百分百】变式1.已知椭圆 的左焦点为 是C上的动点,点 , 若 的最大值为6,则C的离心率为 . 【分析方案】设出右焦点 ,将 转化成 ,最后利用三点共线表示最大值求出 ,进而求出离心率 【详解】设右焦点 ,由椭圆定义, , 当且仅当 三点共线时,取等号, .又 , , ,故答案为: 变式2.已知椭圆 的左、右焦点分别为 , , 为椭圆上一个动点, 为圆 上一个动点,则 的最大值为 【分析方案】根据椭圆定义及圆心位置、半径,应用分析法要使 最大只需 让 最大即可,由数形结合的方法分析知 共线时有最大值,进而求 目标式的最大值 【详解】由题意得: ,根据椭圆的定义得 ,∴ 圆 变形得 ,即圆心 ,半径 要使 最大,即 最大,又 ∴使 最大即可,如图所示: 资料整理【淘宝店铺:向阳百分百】∴当 共线时, 有最大值为 ∴ 的最大值为 ∴ 的最大值,即 的最大值为11+1=12 故答案为:12 变式3.设 , 分别为椭圆 ( )的左,右焦点, 为 内 一点, 为 上任意一点,若 的最小值为 ,则 的方程为 . 【分析方案】由题意知, ,则 ;由三角形的三边关系可知 ,从而可求出 ,由椭圆的定义知 ,从而可求出 ,进而可求出椭圆的标准 方程 【详解】由椭圆定义可知 ,且 ,则 因为 ,所以 ,所以 , 所以 ,故 的方程为 ,故答案为: 资料整理【淘宝店铺:向阳百分百】1.已知直线 过圆 的圆心,且与圆相交于 , 两点, 为椭圆 上一个动点,则 的最大值与最小值之和为 . 【答案】 【分析】求出圆的圆心 ,根据题意可得 、 ,利用 平面向量的线性运算可得 ,即可求解. 【详解】圆 ,圆心 ,半径 , 因为直线 过圆 的圆心,且与圆相交于 , 两点, 所以 ,又椭圆 ,则 , ,右焦点为 , 所以 , 又 ,即 ,所以 , 即 ,所以 的最大值为 ,最小值为 . 则 的最大值与最小值之和为 . 资料整理【淘宝店铺:向阳百分百】故答案为: 2.已知 的内角A,B,C的对边分别为a,b,c,若 , 则 面积的最大值为 . 【答案】 【分析】由余弦定理变形得出 , 在以 为焦点,长轴长为6的椭圆 上,因此当 是椭圆短轴顶点时, 到 的距离最大,由此可求得三角形面积最大值. 【详解】 , , 由余弦定理得 , 所以 , 即 ,又 , 所以 在以 为焦点,长轴长为6的椭圆上(不在直线 上), 如图以 为 轴,线段 中垂线为 轴建立平面直角坐标系, 资料整理【淘宝店铺:向阳百分百】设椭圆方程为 ,则 , 所以 , 当 是椭圆短轴顶点时, 到 的距离最大为 , 所以 的最大值为 , 故答案为: . 3.已知椭圆 离心率为 , 为椭圆 的右焦点, , 是 椭圆 上的两点,且 .若 ,则实数 的取值范围是 . 【答案】 【分析】以椭圆的右焦点为极点,建立极坐标系,设 , ,可表示 出 , ,再由 可得 ,此时 表示 与 两点的连线的斜率,由几何意义求解即可得 出实数 的取值范围. 【详解】以椭圆的右焦点为极点,建立极坐标系,设 , 过点 作 交 于点 , 为椭圆的右准线 , 过点A作 极轴交极轴于点 , 资料整理【淘宝店铺:向阳百分百】由椭圆的第二定义知: ,则 ,所以 , 则 ,代入化简可得: , 同理可得: , 由 可得 , , 表示 与 两点的连线的斜率, 而 可看作圆 上任意一点, 所以 的几何意义为圆 上一点与 两点的连线的斜率, 过点 作圆的切线可求出 的最大值和最小值, 由分析知,过点 直线的斜率一定存在,设为 , ,故圆心 到直线 的距离为: ,化简可得: ,解得: 或 , 所以 ,故 . 故答案为: . 4.已知椭圆 是椭圆上两点,线段 的垂直平分线与 轴交于 , 则 的取值范围是 . 【答案】 资料整理【淘宝店铺:向阳百分百】【分析】设 , ,线段 的中点为 ,利用点差法可得 ,从而可得线段AB的垂直平分线 的方程 ,则 ,再由点 在椭圆内部可求出结果 【详解】设 , ,线段 的中点为 . 若 ,即 ,则 ,满足题意; 若 ,即 ,则不满足题意,应舍去; 当 时,有 ,作差得: 因为 , ,所以 , 因为 ,所以 , 设线段 的垂直平分线为 ,则 ,得 : , 令 ,得 ,又因为点 在椭圆内部,则 ,则 , 故 . 故答案为: . 5.已知椭圆 的面积为 ,点 在椭圆 上,点A关于x轴,y轴,原点的对称点分别为B,C,D,记四边 形ABDC的面积为S,则 的取值范围为 . 资料整理【淘宝店铺:向阳百分百】【答案】 【分析】由条件求 的关系,再求四边形 的面积,由此可得 的表达式,再 结合基本不等式求 的取值范围. 【详解】点 在椭圆 上, 所以 上, 解得 ,所以 , 又因为四边形 为正方形, 所以 , 故 , 由于 ,所以 , 所以 的取值范围为 . 故答案为: . 6.已知椭圆 的左、右焦点分别为 , ,点 是 上异于左、右顶点 的一点, 外接圆的圆心为M,O为坐标原点,则 的最小值为 . 【答案】 【分析】根据向量的加法法则和向量垂直的表示,结合均值不等式代入即可. 【详解】 , 取线段 的中点 ,则 , 资料整理【淘宝店铺:向阳百分百】所以 , 同理 , 所以 , 当且仅当 时,等号成立, 即 的最小值为 . 故答案为: . 7.椭圆 的左、右焦点分别为 ,离心率为 为椭圆 的 左顶点,且 ,过原点的直线交椭圆 于 两点,则 的取值 范围为 . 【答案】 【分析】根据已知先求出 的值,记 ,得到 ,记 , 再利用导数求函数的最值得解. 【详解】解:由题可知 ,即 , 又 由题可知, , 记 ,则 , 资料整理【淘宝店铺:向阳百分百】记 , 则 在 上恒成立, 在 上恒成立, 故 在 上单调递减,在 上单调递增,又 , . 故答案为: 8.已知 为函数 图象上第一象限内的一个动点, 为 坐标原点,则四边形 的面积最大值为 . 【答案】 【分析】利用三角代换可得 ,然后利用辅助角公式及三角函数的 性质即得. 【详解】由 可得 , 易得 在椭圆 的第一象限内动点, 可设 , ,又 , 则 ,其中 , 当 时, , 资料整理【淘宝店铺:向阳百分百】即四边形 的面积最大值为 . 故答案为: . 9.过椭圆 左焦点F的直线与椭圆C交于A,B两点,若线段AB的垂直平 分线与x轴及y轴各有唯一公共点M,N,则 的取值范围是 . 【答案】 【分析】设 , , 中点 , ,利用 点差法及两点的斜率公式得到 ,即可求出 的取值范围,再根据 ,可得 ,最后根据 计算可得; 【详解】解:设 , , 中点 , , 由 与 相减得 , 所以 , 又 ,所以 ,所以 ,即 , 因为 ,所以 ,所以 , 又 ,所以 ,所以 ,所以 , 又 ,所以 ,即 . 故答案为: 资料整理【淘宝店铺:向阳百分百】10.如图,在直角坐标系 中,已知椭圆 的左、右焦点分别为 、 , 点 、 为椭圆上位于 轴上方的两点,且 ,则 的取值范围为 . 【答案】 【分析】作点 关于原点的对称点 ,连接 、 、 ,分析可知 且 、 、 三点共线,故 ,设直线 的方程为 , 设点 、 ,将直线 的方程与椭圆 的方程联立,利用弦长公式可 求得 的取值范围,即可得解. 【详解】作点 关于原点的对称点 ,连接 、 、 ,易知点 、 , 由椭圆的对称性可知点 也在椭圆 上, 因为 为 、 的中点,所以,四边形 为平行四边形, 资料整理【淘宝店铺:向阳百分百】所以, 且 , 因为 ,故 、 、 三点共线,则 , 所以, . 因为点 、 为椭圆上位于 轴上方的两点,则直线 不与 轴重合, 设直线 的方程为 ,设点 、 , 联立 可得 , 则 , 由韦达定理可得 , , 所以, , 所以, . 故答案为: . 易错点四:意义不明导致定点问题错误(有关直线与圆锥曲 线的定点与定值问题) 1、求定值问题常见的方法有两种: (1)从特殊入手,求出定值,再证明这个值与变量无关. (2)直接推理、计算,并在计算推理的过程中消去变量,从而得到定值. 常用消参方法: ①等式带用消参:找到两个参数之间的等式关系 ,用一个参数表示另外一 个参数 ,即可带用其他式子,消去参数 . ②分式相除消参:两个含参数的式子相除,消掉分子和分母所含参数,从而得到定值. ③因式相减消参:两个含参数的因式相减,把两个因式所含参数消掉. ④参数无关消参:当与参数相关的因式为 时,此时与参数的取值没什么关系,比如: 资料整理【淘宝店铺:向阳百分百】,只要因式 ,就和参数 没什么关系了,或者说参数 不起作 用. 2、求解直线过定点问题常用方法如下: (1)“特殊探路,一般证明”:即先通过特殊情况确定定点,再转化为有方向、有目 的的一般性证明; (2)“一般推理,特殊求解”:即设出定点坐标,根据题设条件选择参数,建立一个 直线系或曲线的方程,再根据参数的任意性得到一个关于定点坐标的方程组,以这个 方程组的解为坐标的点即为所求点; (3)求证直线过定点 ,常利用直线的点斜式方程 或截距式 来证明. 一般解题步骤: ①斜截式设直线方程: ,此时引入了两个参数,需要消掉一个. ②找关系:找到 和 的关系: ,等式带入消参,消掉 . ③参数无关找定点:找到和 没有关系的点. 易错提醒:直线恒过定点是指无论直线如何变动,必有一个定点的坐标适合这条直线 的方程,问题就归结为用参数把直线的方程表示出来,无论参数如何变化这个方程必 有一组常数解.解决定点与定值问题,不能仅靠研究特殊情况来说明. 例.椭圆 的离心率 ,过点 . (1)求椭圆的标准方程; (2)过点 且斜率不为0的直线 与椭圆交于 两点,椭圆的左顶点为 ,求直 线 与直线 的斜率之积. 【详解】(1)解:因为椭圆 的离心率 , 所以 ,即 ,又因为椭圆过点 ,所以 , 资料整理【淘宝店铺:向阳百分百】又因为 ,所以 ,所以椭圆的方程为 ; (2)如图所示: 当直线的斜率不存在时,直线的方程为 , 与椭圆方程联立求得 , 又 ,所以 , 所以 ; 当直线的斜率存在时,设直线的方程为 , 由 ,消去y得: , , 由韦达定理得 , 所以 , 资料整理【淘宝店铺:向阳百分百】, . 变式1.已知圆 : ,点 , 是圆 上任意一点,线段 的 垂直平分线和半径 相交于 (1)求动点 的轨迹 的方程; (2)经过点 和 的圆与直线 : 交于 , ,已知点 ,且 、 分 别与 交于 、 .试探究直线 是否经过定点.如果有,请求出定点;如果没有, 请说明理由. 【详解】(1)如图所示, ∵ ,且 , ∴点 的轨迹是以 , 为焦点的椭圆, 设椭圆方程 ,则 , ,∴ , . 所以点 的轨迹方程为: . (2)设直线 的方程为: , 由 ,得 资料整理【淘宝店铺:向阳百分百】设 , ,则 , . 所以, , 因为直线 的方程为: ,令 ,得 , 所以, ,同理可得 , 以 为直径的圆的方程为: , 即 , 因为圆过点 ,所以, , 得 ,代入得 , 化简得, ,解得 或 (舍去), 所以直线 经过定点 , 当直线 的斜率为0时,此时直线 与 轴重合,直线 经过点 , 综上所述,直线 经过定点 . 变式2.在平面直角坐标系 中,已知定点 ,定直线 ,动点 在 上 的射影为 ,且满足 . (1)记点 的运动轨迹为 ,求 的方程; (2)过点 作斜率不为0 的直线与 交于 两点, 与 轴的交点为 ,记直线 资料整理【淘宝店铺:向阳百分百】和直线 的斜率分别为 ,求证: . 【详解】(1)设 ,则 ,因为 , 所以 ,化简得, , 即 的方程为 . (2)由题意知 , 设过点 作斜率不为0的直线为 , , , 联立 可得, , 则 , , 又 , , 则 , 所以 得证. 变式3.已知点 , 在椭圆 上. (1)求椭圆 的方程; 资料整理【淘宝店铺:向阳百分百】(2)直线 与椭圆 交于 两个不同的点(异于 ),过 作 轴的垂线分别交直 线 于点 ,当 是 中点时,证明.直线 过定点. 【详解】(1)由题知 ,又椭圆经过 ,代入可得 ,解得 ,故椭圆的方程为: (2) 由题意知,当 轴时,不符合题意,故 的斜率存在,设 的方程为 , 联立 消去 得 , 则 , 即 设 , , , 的方程为 ,令 得 , 的方程为 ,令 得 , 资料整理【淘宝店铺:向阳百分百】由 是 中点,得 ,即 , 即 , 即 , 即 ,所以 , 得 或 , 当 ,此时由 ,得 ,符合题意; 当 ,此时直线 经过点 ,与题意不符,舍去. 所以 的方程为 ,即 ,所以 过定点 . 1.已知椭圆C: 的离心率为 ,点 在椭圆C上. (1)求椭圆C的标准方程; (2)若O为坐标原点,过点 的直线l与椭圆C交于M,N两点,椭圆C上是否存在 点Q,使得直线 与直线 分别交于点A,B,且点A,B关于x轴对称?若存 在,求出点Q的坐标;若不存在,请说明理由. 【答案】(1) (2)存在,点Q的坐标为 或 【分析】(1)根据已知 ,根据 的关系得出 .将点代入椭圆方程, 资料整理【淘宝店铺:向阳百分百】即可解出 ,进而得出 ; (2)当直线l的斜率不为0时,设 , , ,设直线l: ,联立直线与椭圆方程,根据韦达定理表示出坐标关系,求出 坐标.根据 已知列出方程,整理推得 , .代入椭圆方程求出 点坐标;检验当直线l 的斜率为0时,满足对称关系,即可得出答案. 【详解】(1)因为椭圆C的离心率为 , 所以 , . 又 ,所以 . 将 代入椭圆方程,得 , 所以 , , 所以椭圆C的标准方程为 . (2) 当直线l的斜率不为0时, 设直线l: ,联立得 , 整理得 . 则 ,解得 或 . 资料整理【淘宝店铺:向阳百分百】设 , , , 由韦达定理可得 , , 则直线MQ: , 令 ,得 ,所以 . 同理得 . 由点A,B关于x轴对称得 , 即 , 整理可得, . 易知点 不在 上,所以 , 所以, , 所以,有 , 整理得 . 由n的任意性知 , 将 坐标代入代入椭圆方程有 ,解得 , 所以点Q的坐标为 或 . 当直线l的斜率为0时,不妨令 , , , 此时直线MQ: , 资料整理【淘宝店铺:向阳百分百】令 ,得 ,所以 , 同理得 ,显然点A,B关于x轴对称,满足. 综上,存在满足题意的点Q,且点Q的坐标为 或 . 【点睛】方法点睛:解决与圆锥曲线有关的顶点问题时,设出直线方程,联立直线与 圆锥曲线的方程,根据韦达定理表示出坐标关系.分析已知条件,得出等量关系,整理 化简即可得出结论. 2.已知椭圆 的离心率为 ,且过点 . (1)求椭圆 的标准方程. (2)已知过右焦点 的直线 与 交于 两点,在 轴上是否存在一个定点 ,使 ?若存在,求出定点 的坐标;若不存在,请说明理由. 【答案】(1) (2)存在, 【分析】(1)由离心率 与定点 代入椭圆方程,建立方程组 待定系 数即可; (2)由 条件转化为 ,设直线 的方程为 ,将斜率坐标化,利用韦达定理代入,得到 的等式, 不论 如何变化,等式恒成立求 值即可. 【详解】(1)因为 ,所以 . 所以椭圆 的方程为 . 资料整理【淘宝店铺:向阳百分百】因为点 在椭圆 上,所以 ,解得 , 所以 . 所以椭圆 的标准方程为 . (2)存在定点 ,使 .理由如下: 由(1)知, ,则点 . 设在 轴上存在定点 ,使 成立. 当直线 斜率为 时,直线右焦点 的直线 即 轴与 交于长轴两端点, 若 ,则 ,或 . 当直线 斜率不为 时,设直线 的方程为 ,. 由 消去 并整理,得 , 则 . 因为 ,所以 , 所以 ,即 . 所以 , 即 , 恒成立, 即对 , 恒成立,则 ,即 . 又点 满足条件 . 资料整理【淘宝店铺:向阳百分百】综上所述,故存在定点 ,使 . 3.已知椭圆 ,其离心率为 ,直线 被椭圆截得的弦长 为 . (1)求椭圆 的标准方程. (2)圆 的切线交椭圆 于 , 两点,切点为 ,求证: 是定值. 【答案】(1) (2)证明见解析 【分析】(1)由离心率为 可以先得到 ,然后结合其余已知条件即可得解. (2)分直线 的斜率是否存在进行讨论,当直线 斜率不存在时,算出 ,当直线 斜率存在时,设直线 的方程为 ,将其与椭圆方 程联立,由韦达定理结合直线 与圆 相切于点 ,从而即可得解. 【详解】(1)如图所示: 因为椭圆的离心率为 ,所以 ,所以 , 资料整理【淘宝店铺:向阳百分百】则椭圆 的方程为 . 将 代入椭圆方程,得 , 则 ,所以 . 所以椭圆 的标准方程为 . (2)当直线 的斜率不存在时,直线 的方程为 . 将 代入椭圆 的方程 ,得 , 所以 ,则 . 如图所示: 当直线 的斜率存在时,设直线 的方程为 . 将 与 联立,消去 并整理,得 . 由 ,得 . 设 , , , 则 , , , 则 . 资料整理【淘宝店铺:向阳百分百】由直线 与圆 相切,可得 ,即 . 由 ,得 . 结合 ,得 . 又 ,两边平方并整理, 得 , 所以 . 所以 . 综上, ,即 是定值. 4.已知平面上动点 到点 与到圆 的圆心 的距离之和等 于该圆的半径.记 的轨迹为曲线 . (1)说明 是什么曲线,并求 的方程; (2)设 是 上关于 轴对称的不同两点,点 在 上,且 异于 两点, 为 原点,直线 交 轴于点 ,直线 交 轴于点 ,试问 是否为定值? 若为定值,求出这个定值;若不是定值,请说明理由. 【答案】(1) (2) 为定值,这个值为 资料整理【淘宝店铺:向阳百分百】【分析】(1)根据圆 的一般方程可知圆心 ,半径 ,再利用椭圆定义即 可求得 的轨迹曲线 的方程为 ; (2)依题意设出 , 可得 ,求出直线 的直线方程解 出其与 轴的交点坐标 , ,即可得出 的表达式, 再进行化简即可知 . 【详解】(1)根据题意可知圆 可化为 , 所以可知圆心 ,半径 , 易知 和 两点关于原点对称,且 , 所以由椭圆定义可知 的轨迹是以 为焦点,长轴长为 的椭圆, 即 ,可得 ; 因此曲线 的方程为 . (2)不妨设 , ,且 , ; 则易知 ; 易知直线 的斜率都存在,如下图所示: 所以直线 的斜率为 ,其方程为 , 资料整理【淘宝店铺:向阳百分百】可得直线 交 轴于点 直线 的斜率为 ,其方程为 , 可得直线 交 轴于点 所以 , 可得 ; 由 , 可得, , ; 所以 ; 因此 为定值, . 5.已知 为椭圆 的两个焦点, 为椭圆 上异于左、右顶点的任意一 点, 的周长为6,面积的最大值为 : (1)求椭圆 的方程; (2)直线 与椭圆 的另一交点为 ,与 轴的交点为 .若 , .试问: 是否为定值?并说明理由. 【答案】(1) (2) ,理由见解析 【分析】(1)利用椭圆的定义及椭圆的性质即可求解; 资料整理【淘宝店铺:向阳百分百】(2)根据已知条件作出图形并设出直线方程,将直线与椭圆方程联立,利用韦达定理 及向量的坐标运算即可求解. 【详解】(1)设椭圆 的方程为 ,则 由椭圆的定义及 的周长为6,知 ①, 由于 为椭圆 上异于左、右顶点的任意一点,得 到 轴距离最大为 , 因为 的面积的最大值为 , 所以 ②, 又 ③, 联立①②③,得 , 所以椭圆 的方程为 . (2) 为定值 ,理由如下: 根据已知条件作出图形如图所示, 设 ,则 , 因为 在椭圆内部,则直线 与椭圆一定有两交点, 联立 消去 得: , , 资料整理【淘宝店铺:向阳百分百】又 ,且 , 所以 ,同理 所以 . 所以 为定值 . 6.已知椭圆 的中心在原点,焦点在 轴上,长轴长为短轴长的2倍,若椭圆 经过 点 , (1)求椭圆 的方程; (2)若 是椭圆上不同于点 的两个动点,直线 与 轴围成底边在 轴上的等 腰三角形,证明:直线 的斜率为定值. 【答案】(1) (2)证明见解析 【分析】(1)根据长轴和短轴长度关系,将点 代入解方程组即可求得椭圆的 方程; (2)设出直线方程并于椭圆方程联立,利用韦达定理以及直线 的斜率为零即可 化简整理计算得出直线 的斜率为定值 . 【详解】(1)设椭圆的方程为 根据题意得 ,解得 故所求椭圆方程为 资料整理【淘宝店铺:向阳百分百】(2)如下图所示: 设直线 交该椭圆 与 两点. 将 代入 得 所以 由直线 能与 轴共同围成底边在 轴上的等腰三角形, 可得 , 即 整理得 , 即 即 , 所以当 时,不论 为何值时 都成立, 所以直线 与 轴共同围成底边在 轴上的等腰三角形时直线 的斜率为定值 7.已知椭圆 的离心率为 ,且直线 是抛物线 的一条切线. 资料整理【淘宝店铺:向阳百分百】(1)求椭圆 的方程; (2)过点 的动直线 交椭圆 于 两点,试问:在直角坐标平面上是否存在 一个定点 ,使得以 为直径的圆恒过定点 ?若存在,求出 的坐标;若不存在, 请说明理由. 【答案】(1) (2)存在; 【分析】(1)先根据直线 是抛物线 的一条切线,求出 的值,再 由椭圆离心率为 ,求出 的值,则椭圆方程可得. (2)先假设存在一个定点 ,使得以 为直径的圆恒过定点,再用垂直时,向量 , 的数量积为0,得到关于直线斜率 的方程,求 ,若能求出,则存在,若 求不出,则不存在. 【详解】(1)由 得 直线 是抛物线 的一条切线.所以 ,所以椭圆 (2) 资料整理【淘宝店铺:向阳百分百】当直线 与 轴平行时,以 为直径的圆方程为 当直线 与 轴重合时,以 为直径的圆方程为 所以两圆的交点为点 猜想:所求的点 为点 . 证明如下.当直线 与 轴垂直时,以 为直径的圆过点 当直线 与 轴不垂直时,可设直线 为: 由 得 ,设 , 则 则 所以 ,即以 为直径的圆过点 所以存在一个定点 ,使得以 为直径的圆恒过定点 . 8.已知椭圆 的焦距为2,圆 与椭圆 恰有两个公共 点. (1)求椭圆 的标准方程; (2)已知结论:若点 为椭圆 上一点,则椭圆在该点处的切线方程为 .若椭圆 的短轴长小于4,过点 作椭圆 的两条切线,切点分别 为 ,求证:直线 过定点. 资料整理【淘宝店铺:向阳百分百】【答案】(1) 或 (2)证明见解析 【分析】(1)设椭圆 的半焦距为 ,再分圆 在椭圆 的内部和外部两种 情况分别求解即可; (2)由题意椭圆 的方程为 ,再设 ,得出切线 的 方程,将 代入 可得 的坐标都满足方程 即可得定点. 【详解】(1)设椭圆 的半焦距为 .当圆 在椭圆 的内部时, ,椭圆 的方程为 . 当圆 在椭圆 的外部时, , 椭圆 的方程为 . (2)证明:设 . 因为椭圆 的短轴长小于4,所以 的方程为 . 则由已知可得,切线 的方程为 的方程为 , 将 代入 的方程整理可得, . 显然 的坐标都满足方程 , 故直线 的方程为 , 令 ,可得 ,即直线 过定点 . 资料整理【淘宝店铺:向阳百分百】9.已知椭圆 过点 两点,椭圆的离心率为 , 为坐标原点,且 . (1)求椭圆 的方程; (2)设P为椭圆 上第一象限内任意一点,直线 与y轴交于点M,直线 与x轴交 于点N,求证:四边形 的面积为定值. 【答案】(1) (2)证明见解析 【分析】(1)根据离心率和 可解得 ,可写出椭圆 的方程; (2)设 分别求出直线 , 的方程并解出 的坐标,可得四边形 的面积 . 【详解】(1)根据题意可知 , 又 ,即可得 ,结合 , 解得 ; 即椭圆 的方程为 . (2)证明:由(1)可知 ,如下图所示: 资料整理【淘宝店铺:向阳百分百】设 ,且 ; 易知直线 的斜率 ,所以 的直线方程为 ; 同理直线 的斜率 ,所以 的直线方程为 ; 由题意解得 ; 所以可得 , 四边形 的面积 又 ,可得 , 故 , 即四边形 的面积为定值. 10.已知椭圆 与椭圆 的离心率相同, 且椭圆 的焦距是椭圆 的焦距的 倍. (1)求实数 和 的值; (2)若梯形 的顶点都在椭圆 上, , ,直线 与直线 相 交于点 .且点 在椭圆 上,证明直线 恒过定点. 【答案】(1) , (2)证明见解析 资料整理【淘宝店铺:向阳百分百】【分析】(1)利用 表示出椭圆 的焦距和离心率,由此可构造方程组求得结 果; (2)利用中点坐标公式可表示出 坐标,将 代入椭圆方程可整理得到 ,同理得到 ,由此可得直线 方程,进而得到定点坐 标. 【详解】(1)由椭圆 方程可得其焦距为 ,离心率为 ; 由椭圆 可得其焦距为 ,离心率为 ; 由题意知: ,解得: (舍)或 , , . (2)设 , , ,则 , , , 分别为 的中点, , , , , , , ,即 , 同理可得: , 直线 的方程为 , 直线 恒过定点 . 资料整理【淘宝店铺:向阳百分百】【点睛】关键点点睛:本题考查直线与椭圆综合应用中的直线过定点问题的求解,解 题关键是能够利用中点坐标公式表示出 坐标,利用点在椭圆上可构造方程组整理 得到 所满足的直线方程,根据直线 方程可确定定点坐标. 资料整理【淘宝店铺:向阳百分百】