当前位置:首页>文档>易错点10圆锥曲线(解析版)_02高考数学_通用版(老高考)复习资料_2023年复习资料_专项复习_备战2023年高考数学考试易错题(全国通用)

易错点10圆锥曲线(解析版)_02高考数学_通用版(老高考)复习资料_2023年复习资料_专项复习_备战2023年高考数学考试易错题(全国通用)

  • 2026-04-15 23:12:40 2026-04-15 23:11:36

文档预览

易错点10圆锥曲线(解析版)_02高考数学_通用版(老高考)复习资料_2023年复习资料_专项复习_备战2023年高考数学考试易错题(全国通用)
易错点10圆锥曲线(解析版)_02高考数学_通用版(老高考)复习资料_2023年复习资料_专项复习_备战2023年高考数学考试易错题(全国通用)
易错点10圆锥曲线(解析版)_02高考数学_通用版(老高考)复习资料_2023年复习资料_专项复习_备战2023年高考数学考试易错题(全国通用)
易错点10圆锥曲线(解析版)_02高考数学_通用版(老高考)复习资料_2023年复习资料_专项复习_备战2023年高考数学考试易错题(全国通用)
易错点10圆锥曲线(解析版)_02高考数学_通用版(老高考)复习资料_2023年复习资料_专项复习_备战2023年高考数学考试易错题(全国通用)
易错点10圆锥曲线(解析版)_02高考数学_通用版(老高考)复习资料_2023年复习资料_专项复习_备战2023年高考数学考试易错题(全国通用)
易错点10圆锥曲线(解析版)_02高考数学_通用版(老高考)复习资料_2023年复习资料_专项复习_备战2023年高考数学考试易错题(全国通用)
易错点10圆锥曲线(解析版)_02高考数学_通用版(老高考)复习资料_2023年复习资料_专项复习_备战2023年高考数学考试易错题(全国通用)
易错点10圆锥曲线(解析版)_02高考数学_通用版(老高考)复习资料_2023年复习资料_专项复习_备战2023年高考数学考试易错题(全国通用)
易错点10圆锥曲线(解析版)_02高考数学_通用版(老高考)复习资料_2023年复习资料_专项复习_备战2023年高考数学考试易错题(全国通用)
易错点10圆锥曲线(解析版)_02高考数学_通用版(老高考)复习资料_2023年复习资料_专项复习_备战2023年高考数学考试易错题(全国通用)
易错点10圆锥曲线(解析版)_02高考数学_通用版(老高考)复习资料_2023年复习资料_专项复习_备战2023年高考数学考试易错题(全国通用)
易错点10圆锥曲线(解析版)_02高考数学_通用版(老高考)复习资料_2023年复习资料_专项复习_备战2023年高考数学考试易错题(全国通用)
易错点10圆锥曲线(解析版)_02高考数学_通用版(老高考)复习资料_2023年复习资料_专项复习_备战2023年高考数学考试易错题(全国通用)
易错点10圆锥曲线(解析版)_02高考数学_通用版(老高考)复习资料_2023年复习资料_专项复习_备战2023年高考数学考试易错题(全国通用)
易错点10圆锥曲线(解析版)_02高考数学_通用版(老高考)复习资料_2023年复习资料_专项复习_备战2023年高考数学考试易错题(全国通用)
易错点10圆锥曲线(解析版)_02高考数学_通用版(老高考)复习资料_2023年复习资料_专项复习_备战2023年高考数学考试易错题(全国通用)
易错点10圆锥曲线(解析版)_02高考数学_通用版(老高考)复习资料_2023年复习资料_专项复习_备战2023年高考数学考试易错题(全国通用)
易错点10圆锥曲线(解析版)_02高考数学_通用版(老高考)复习资料_2023年复习资料_专项复习_备战2023年高考数学考试易错题(全国通用)

文档信息

文档格式
docx
文档大小
0.992 MB
文档页数
15 页
上传时间
2026-04-15 23:11:36

文档内容

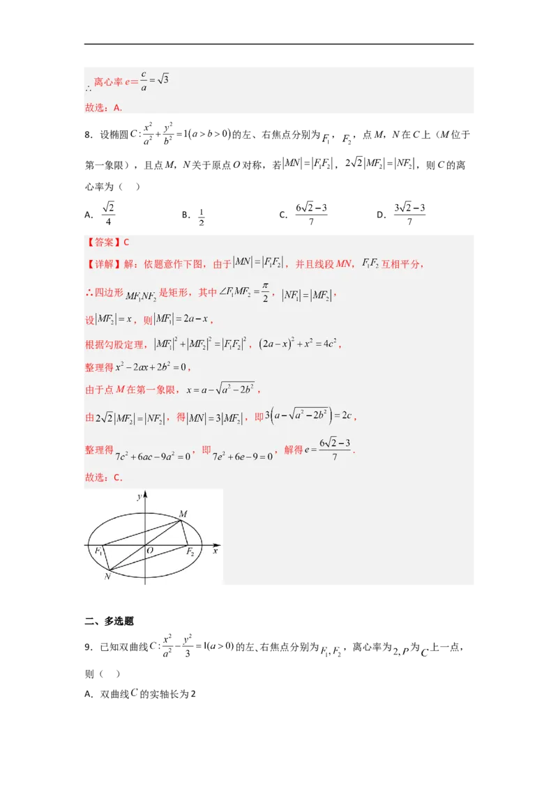
易错点 10 圆锥曲线 易错点1:椭圆及其方程 1、焦点位置不确定导致漏解 要注意根据焦点的位置选择椭圆方程的标准形式,知道 之间的大小关系和等量关系: 2、椭圆的几何性质 3、直线与椭圆的位置关系 (1)忽视直线斜率为0或不存在的情况 (2)在用椭圆与直线联立求解时,消元后得到的方程中要注意:二次项的系数是否 为零?判别式 的限制.(求交点,弦长,中点,斜率,对称,存在性问题都在 下进行). 4、求轨迹方程时,忽视对结论进行验证。 易错点2:双曲线及其方程 1、焦点位置不确定导致漏解 要注意根据焦点的位置选择双曲线方程的标准形式,知道 之间的大小关系和等量关系: 2、双曲线的几何性质,渐近线、离心率、焦半经、通径; 3、直线与双曲线的位置关系 (3)忽视直线斜率与渐近线平行的情况; (4)在用椭圆与直线联立求解时,消元后得到的方程中要注意:二次项的系数是否 为零?判别式 的限制.(求交点,弦长,中点,斜率,对称,存在性问题都在 下进行). 易错点3:抛物线及其方程 1、主观认为抛物线的顶点就是原点; 2:忽视抛物线的变化趋势,只从图形的局部,乱下结论; 3:在使用抛物线的焦半径公式时,错把纵坐标写成横坐标; 4:解决直线与抛物线综合题时,忽略对直线斜率不存在情况的讨论; 5:在解有关直线与抛物线的位置关系的问题 必记结论 直线AB过抛物线 的焦点,交抛物线于A(x,y),B(x,y)两 1 1 2 2 点,如图: (1)yy=-p2,xx=. 1 2 1 2 (2)|AB|=x+x+p,x+x≥ =p,即当x=x 1 2 1 2 1 2 时,弦长最短为2p. (3)+为定值. (4)弦长AB=(α为AB的倾斜角). (5)以AB为直径的圆与准线相切。 (6)以AF为直径的圆与y轴相切.(7)焦点F对A,B在准线上射影的张角为90°. 1.抛物线 的焦点到准线的距离为( ) A.4 B.2 C.1 D. 【答案】C 【详解】抛物线 的焦点到准线的距离为 , 由抛物线标准方程 可得 , 故选:C. 2.已知双曲线 的一个焦点 到 的一条渐近线的距离为 , 则 的离心率为( ) A. B. C. D. 【答案】C 【详解】因为 的一个焦点 到 的一条渐近线的距离为 , 不妨取渐近线方程为 ,即 , 所以 ,, 两边平方得 .又 ,所以 , 化简得 ,所以 . 故选:C. 3.已知 是双曲线 的左右焦点,直线 过 与抛物线 的焦 点且与双曲线的一条渐近线平行,则 ( ) A. B. C.4 D. 【答案】C 【详解】已知双曲线的左焦点 ,双曲线的渐近线方程为 ,抛物线 的焦点 . 因为直线 过 与抛物线的焦点 且与双曲线的一条渐近线平行, 所以 ,又 ,解得: ,所以 . 故选:C 4.已知 分别为椭圆 的左右焦点,点P为椭圆上一点,以 为圆心的圆与 直线 恰好相切于点P,则 是( ) A. B. C. D. 【答案】A 【详解】依题意 , 设 ,由椭圆定义得 , 由于以 为圆心的圆与直线 恰好相切于点P, 所以 ,即 , 整理得 ,得 ,得 ,所以 . 故选:A 5.若椭圆 上存在两点 到点 的距离 相等,则椭圆的离心率的取值范围是( ) A. B. C. D. 【答案】B 【详解】记 中点为 ,则 , 由题意点 在线段 的中垂线上, 将 坐标代入椭圆方程得 两式相减可得 , 所以 ,得 , 所以 的中垂线的方程为 ,令 得 ,由题意, ,故 ,所以 所以 故选:B. 1.已知双曲线 满足 ,且与椭圆 有公共焦点,则 双曲线 的方程为( ) A. B. C. D. 【答案】A 【详解】由椭圆的标准方程为 ,可得 ,即 , 因为双曲线 的焦点与椭圆 的焦点相同,所以双曲线 中,半焦距 , 又因为双曲线 满足 ,即 ,又由 ,即 ,解得 ,可得 , 所以双曲线 的方程为 . 故选:A. 2.已知 是双曲线 ( , )的左焦点,点 在双曲线上,直线 与 轴垂直,且 ,那么双曲线的离心率是( ) A. B. C.2 D.3 【答案】A 【详解】 的坐标为 ,设 点坐标为 , 易得 ,解得 , 因为直线 与 轴垂直,且 , 所以可得 ,则 ,即 , 所以 ,离心率为 . 故选:A. 3.抛物线 的焦点到直线 的距离为 ,则 ( ) A.1 B.2 C. D.4 【答案】B 【详解】抛物线的焦点坐标为 , 其到直线 的距离: , 解得: ( 舍去). 故选:B. 4.设 是椭圆 的上顶点,若 上的任意一点 都满足 , 则 的离心率的取值范围是( ) A. B. C. D.【答案】C 【详解】设 ,由 ,因为 , ,所以 , 因为 ,当 ,即 时, ,即 ,符合题意, 由 可得 ,即 ; 当 ,即 时, ,即 ,化简得, ,显然该不等式不成立. 故选:C. 5.设双曲线C: (a>0,b>0)的左、右焦点分别为F ,F ,离心率为 .P是 1 2 C上一点,且F P⊥F P.若△PF F 的面积为4,则a=( ) 1 2 1 2 A.1 B.2 C.4 D.8 【答案】A 【详解】 , ,根据双曲线的定义可得 , ,即 , , , ,即 ,解得 , 故选:A. 一、单选题 1.抛物线W: 的焦点为F.对于W上一点P,若P到直线 的距离是P到点F距 离的2倍,则点P的横坐标为( ) A.1 B.2 C.3 D.4【答案】A 【详解】由题意得: ,准线方程为 ,设点P的横坐标为 , , 由抛物线的定义可知: 则 ,解得: 或 (舍去), 从而点P的横坐标为1 故选:A 2.双曲线 的实轴长为4,则其渐近线方程为( ) A. B. C. D. 【答案】D 【详解】解:由题意知, ,所以双曲线的标准方程为 , 双曲线 的渐近线方程为 ,即 . 故选:D. 3.在平面上,一动点到一定点的距离与它到一定直线的距离之比为1,则动点的轨迹是( ) A.抛物线 B.直线 C.抛物线或直线 D.以上结论均不正确 【答案】C 【详解】由题意,一动点到一定点的距离与它到一定直线的距离之比为1, 可得该动点到定点和定直线距离相等, 当定点不在定直线上时,动点的轨迹是抛物线; 当定点在定直线上时,动点的轨迹是经过该定点且垂直于定直线的直线; 故选C. 4.已知椭圆 的焦距为2,离心率 ,则椭圆 的标准方程为 ( ) A. B. C. D. 【答案】C 【详解】由于2c=2,所以c=1, 又因为 ,故 ,,所以椭圆的标准方程为: . 故选:C 5.已知双曲线 的离心率为3,则双曲线 的离心率为( ). A. B. C. D.3 【答案】A 【详解】解:因为双曲线 的离心率为3,所以 ,所以 , 故双曲线 的离心率 . 故选:A. 6.已知抛物线 的焦点为 ,准线为 ,点 在 上,过点 作准线 的垂线,垂 足为 ,若 ,则 ( ) A.2 B. C. D.4 【答案】D 【详解】由题知 ,准线 ,设与 轴的交点为 ,点 在 上, 由抛物线的定义及已知得 ,则 为等边三角形, 解法1:因为 轴,所以直线 斜率 ,所以 , 由 解得 , 舍去, 所以 . 解法2:在 中, ,则 .解法3:过 作 于点 ,则 为 的中点,因为 ,则 . 故选:D. 7.设双曲线 的左右焦点为 ,过 的直线与双曲线右支交 两 点,设 中点为 ,若 ,且 ,则该双曲线的离心率为( ) A. B. C. D. 【答案】A 【详解】解:根据题意可知,过 的直线斜率存在, 中点为 , 又 又 在 中,由余弦定理 整理得: 且 ,所以 是等腰直角三角形. 设 ,则 , 在 中,由勾股定理得: 由双曲线定义可知: 由双曲线定义可知: 且 整理得: 在 中, , , 由余弦定理可得: 代入计算得:离心率e= 故选:A. 8.设椭圆 的左、右焦点分别为 , ,点M,N在C上(M位于 第一象限),且点M,N关于原点O对称,若 , ,则C的离 心率为( ) A. B. C. D. 【答案】C 【详解】解:依题意作下图,由于 ,并且线段MN, 互相平分, ∴四边形 是矩形,其中 , , 设 ,则 , 根据勾股定理, , , 整理得 , 由于点M在第一象限, , 由 ,得 ,即 , 整理得 ,即 ,解得 . 故选:C. 二、多选题 9.已知双曲线 的左、右焦点分别为 ,离心率为 为 上一点, 则( ) A.双曲线 的实轴长为2B.双曲线 的一条渐近线方程为 C. D.双曲线 的焦距为4 【答案】ABD 【详解】由双曲线方程知: ,离心率为 ,解得 ,故 , 实半轴长为1,实轴长为 ,A正确; 因为可求得双曲线渐近线方程为 ,故一条渐近线方程为 ,B正确; 由于 可能在 的不同分支上,则有 ,C错误; 焦距为 正确. 故选:ABD. 10.已知抛物线 : 的焦点为 , 为 上一点,下列说法正确的是( ) A. 的准线方程为 B.直线 与 相切 C.若 ,则 的最小值为 D.若 ,则 的周长的最小值为11 【答案】BCD 【详解】解:抛物线 : ,即 ,所以焦点坐标为 ,准线方程为 ,故A错误; 由 ,即 ,解得 ,所以直线 与 相切,故 B正确; 设点 ,所以 , 所以 ,故C正确;如图过点 作 准线,交于点 , , , 所以 , 当且仅当 、 、 三点共线时取等号,故D正确; 故选:BCD 三、解答题 11.已知双曲线 经过点 ,且渐近线方程为 . (1)求C的方程; (2)若抛物线 与C的右支交于点A,B,证明:直线AB过定点. 【答案】(1) (2)证明见解析. (1) 因为双曲线 经过点 ,且渐近线方程为 , 所以 , ,解得 , 所以C的方程为 ,(2) 设 ,则 , 由 可得 , 所以 , 所以 , 因为 , 所以直线 的方程为 , 即 , 所以直线AB过定点 . 12.已知椭圆 ,过点 且与 轴平行的直线与椭圆 恰有一 个公共点,过点 且与 轴平行的直线被椭圆 截得的线段长为 . (1)求椭圆 的标准方程; (2)设过点 的动直线与椭圆 交于 两点, 为 轴上的一点,设直线 和 的斜 率分别为 和 ,若 为定值,求点 的坐标. 【答案】(1) (2) (1) 解:由题意,椭圆的下顶点为 ,故 . 由对称性,椭圆过点 ,代入椭圆方程有 , 解得: . 故椭圆 的标准方程为: . (2)设点 坐标为 . 当直线 斜率存在时,设其方程为 ,与 联立得: . 设 ,则 . , , , 为定值,即与 无关,则 ,此时 . 经检验,当直线 斜率不存在时也满足 ,故点 坐标为 .