当前位置:首页>文档>专题07平面向量(3大易错点分析+解题模板+举一反三+易错题通关)-备战2024年高考数学考试易错题(新高考专用)(解析版)_2024年3月_02按日期_16号

专题07平面向量(3大易错点分析+解题模板+举一反三+易错题通关)-备战2024年高考数学考试易错题(新高考专用)(解析版)_2024年3月_02按日期_16号

  • 2026-04-03 09:26:38 2026-02-22 04:33:48

文档预览

专题07平面向量(3大易错点分析+解题模板+举一反三+易错题通关)-备战2024年高考数学考试易错题(新高考专用)(解析版)_2024年3月_02按日期_16号
专题07平面向量(3大易错点分析+解题模板+举一反三+易错题通关)-备战2024年高考数学考试易错题(新高考专用)(解析版)_2024年3月_02按日期_16号
专题07平面向量(3大易错点分析+解题模板+举一反三+易错题通关)-备战2024年高考数学考试易错题(新高考专用)(解析版)_2024年3月_02按日期_16号
专题07平面向量(3大易错点分析+解题模板+举一反三+易错题通关)-备战2024年高考数学考试易错题(新高考专用)(解析版)_2024年3月_02按日期_16号
专题07平面向量(3大易错点分析+解题模板+举一反三+易错题通关)-备战2024年高考数学考试易错题(新高考专用)(解析版)_2024年3月_02按日期_16号
专题07平面向量(3大易错点分析+解题模板+举一反三+易错题通关)-备战2024年高考数学考试易错题(新高考专用)(解析版)_2024年3月_02按日期_16号
专题07平面向量(3大易错点分析+解题模板+举一反三+易错题通关)-备战2024年高考数学考试易错题(新高考专用)(解析版)_2024年3月_02按日期_16号
专题07平面向量(3大易错点分析+解题模板+举一反三+易错题通关)-备战2024年高考数学考试易错题(新高考专用)(解析版)_2024年3月_02按日期_16号
专题07平面向量(3大易错点分析+解题模板+举一反三+易错题通关)-备战2024年高考数学考试易错题(新高考专用)(解析版)_2024年3月_02按日期_16号
专题07平面向量(3大易错点分析+解题模板+举一反三+易错题通关)-备战2024年高考数学考试易错题(新高考专用)(解析版)_2024年3月_02按日期_16号
专题07平面向量(3大易错点分析+解题模板+举一反三+易错题通关)-备战2024年高考数学考试易错题(新高考专用)(解析版)_2024年3月_02按日期_16号
专题07平面向量(3大易错点分析+解题模板+举一反三+易错题通关)-备战2024年高考数学考试易错题(新高考专用)(解析版)_2024年3月_02按日期_16号
专题07平面向量(3大易错点分析+解题模板+举一反三+易错题通关)-备战2024年高考数学考试易错题(新高考专用)(解析版)_2024年3月_02按日期_16号
专题07平面向量(3大易错点分析+解题模板+举一反三+易错题通关)-备战2024年高考数学考试易错题(新高考专用)(解析版)_2024年3月_02按日期_16号
专题07平面向量(3大易错点分析+解题模板+举一反三+易错题通关)-备战2024年高考数学考试易错题(新高考专用)(解析版)_2024年3月_02按日期_16号
专题07平面向量(3大易错点分析+解题模板+举一反三+易错题通关)-备战2024年高考数学考试易错题(新高考专用)(解析版)_2024年3月_02按日期_16号
专题07平面向量(3大易错点分析+解题模板+举一反三+易错题通关)-备战2024年高考数学考试易错题(新高考专用)(解析版)_2024年3月_02按日期_16号
专题07平面向量(3大易错点分析+解题模板+举一反三+易错题通关)-备战2024年高考数学考试易错题(新高考专用)(解析版)_2024年3月_02按日期_16号
专题07平面向量(3大易错点分析+解题模板+举一反三+易错题通关)-备战2024年高考数学考试易错题(新高考专用)(解析版)_2024年3月_02按日期_16号
专题07平面向量(3大易错点分析+解题模板+举一反三+易错题通关)-备战2024年高考数学考试易错题(新高考专用)(解析版)_2024年3月_02按日期_16号
专题07平面向量(3大易错点分析+解题模板+举一反三+易错题通关)-备战2024年高考数学考试易错题(新高考专用)(解析版)_2024年3月_02按日期_16号
专题07平面向量(3大易错点分析+解题模板+举一反三+易错题通关)-备战2024年高考数学考试易错题(新高考专用)(解析版)_2024年3月_02按日期_16号
专题07平面向量(3大易错点分析+解题模板+举一反三+易错题通关)-备战2024年高考数学考试易错题(新高考专用)(解析版)_2024年3月_02按日期_16号
专题07平面向量(3大易错点分析+解题模板+举一反三+易错题通关)-备战2024年高考数学考试易错题(新高考专用)(解析版)_2024年3月_02按日期_16号
专题07平面向量(3大易错点分析+解题模板+举一反三+易错题通关)-备战2024年高考数学考试易错题(新高考专用)(解析版)_2024年3月_02按日期_16号
专题07平面向量(3大易错点分析+解题模板+举一反三+易错题通关)-备战2024年高考数学考试易错题(新高考专用)(解析版)_2024年3月_02按日期_16号
专题07平面向量(3大易错点分析+解题模板+举一反三+易错题通关)-备战2024年高考数学考试易错题(新高考专用)(解析版)_2024年3月_02按日期_16号
专题07平面向量(3大易错点分析+解题模板+举一反三+易错题通关)-备战2024年高考数学考试易错题(新高考专用)(解析版)_2024年3月_02按日期_16号
专题07平面向量(3大易错点分析+解题模板+举一反三+易错题通关)-备战2024年高考数学考试易错题(新高考专用)(解析版)_2024年3月_02按日期_16号
专题07平面向量(3大易错点分析+解题模板+举一反三+易错题通关)-备战2024年高考数学考试易错题(新高考专用)(解析版)_2024年3月_02按日期_16号
专题07平面向量(3大易错点分析+解题模板+举一反三+易错题通关)-备战2024年高考数学考试易错题(新高考专用)(解析版)_2024年3月_02按日期_16号
专题07平面向量(3大易错点分析+解题模板+举一反三+易错题通关)-备战2024年高考数学考试易错题(新高考专用)(解析版)_2024年3月_02按日期_16号
专题07平面向量(3大易错点分析+解题模板+举一反三+易错题通关)-备战2024年高考数学考试易错题(新高考专用)(解析版)_2024年3月_02按日期_16号
专题07平面向量(3大易错点分析+解题模板+举一反三+易错题通关)-备战2024年高考数学考试易错题(新高考专用)(解析版)_2024年3月_02按日期_16号
专题07平面向量(3大易错点分析+解题模板+举一反三+易错题通关)-备战2024年高考数学考试易错题(新高考专用)(解析版)_2024年3月_02按日期_16号
专题07平面向量(3大易错点分析+解题模板+举一反三+易错题通关)-备战2024年高考数学考试易错题(新高考专用)(解析版)_2024年3月_02按日期_16号
专题07平面向量(3大易错点分析+解题模板+举一反三+易错题通关)-备战2024年高考数学考试易错题(新高考专用)(解析版)_2024年3月_02按日期_16号
专题07平面向量(3大易错点分析+解题模板+举一反三+易错题通关)-备战2024年高考数学考试易错题(新高考专用)(解析版)_2024年3月_02按日期_16号
专题07平面向量(3大易错点分析+解题模板+举一反三+易错题通关)-备战2024年高考数学考试易错题(新高考专用)(解析版)_2024年3月_02按日期_16号
专题07平面向量(3大易错点分析+解题模板+举一反三+易错题通关)-备战2024年高考数学考试易错题(新高考专用)(解析版)_2024年3月_02按日期_16号
专题07平面向量(3大易错点分析+解题模板+举一反三+易错题通关)-备战2024年高考数学考试易错题(新高考专用)(解析版)_2024年3月_02按日期_16号
专题07平面向量(3大易错点分析+解题模板+举一反三+易错题通关)-备战2024年高考数学考试易错题(新高考专用)(解析版)_2024年3月_02按日期_16号
专题07平面向量(3大易错点分析+解题模板+举一反三+易错题通关)-备战2024年高考数学考试易错题(新高考专用)(解析版)_2024年3月_02按日期_16号
专题07平面向量(3大易错点分析+解题模板+举一反三+易错题通关)-备战2024年高考数学考试易错题(新高考专用)(解析版)_2024年3月_02按日期_16号
专题07平面向量(3大易错点分析+解题模板+举一反三+易错题通关)-备战2024年高考数学考试易错题(新高考专用)(解析版)_2024年3月_02按日期_16号
专题07平面向量(3大易错点分析+解题模板+举一反三+易错题通关)-备战2024年高考数学考试易错题(新高考专用)(解析版)_2024年3月_02按日期_16号
专题07平面向量(3大易错点分析+解题模板+举一反三+易错题通关)-备战2024年高考数学考试易错题(新高考专用)(解析版)_2024年3月_02按日期_16号

文档信息

文档格式
docx
文档大小
3.854 MB
文档页数
47 页
上传时间
2026-02-22 04:33:48

文档内容

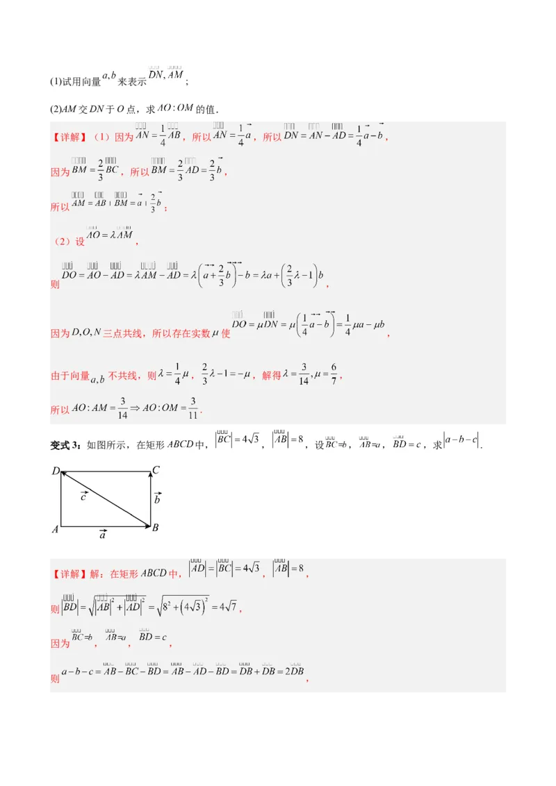
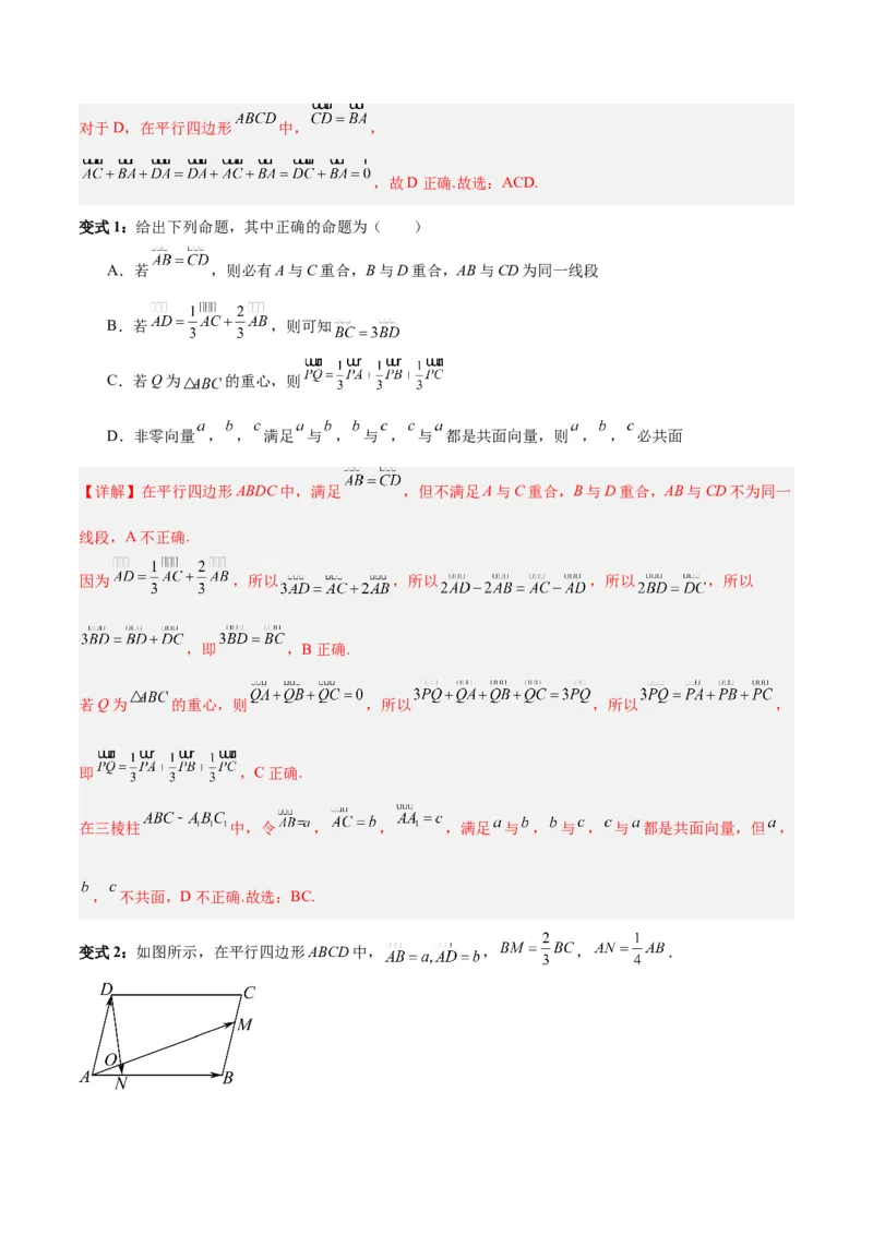
专题 07 平面向量 易错点一:注意零向量书写及三角形与平行四边形适用前提(平面向量线 性运算) 1.向量的有关概念 (1)定义:既有大小又有方向的量叫做向量,向量的大小叫做向量的长度(或模). (2)向量的模:向量 的大小,也就是向量 的长度,记作 . (3)特殊向量: ①零向量:长度为0的向量,其方向是任意的. ②单位向量:长度等于1个单位的向量. ③平行向量:方向相同或相反的非零向量.平行向量又叫共线向量.规定: 与任一向量平行. ④相等向量:长度相等且方向相同的向量. ⑤相反向量:长度相等且方向相反的向量. 2.向量的线性运算和向量共线定理 (1)向量的线性运算 运算 定义 法则(或几何意义) 运算律 ①交换律 a+b 加法 求两个向量 b b a+b 和的运算 ②结合律 a a三角形法则平行四边形法则 求 与 的 b a-b 相反向量 的 减法 和的运算叫做 a 与 的差 三角形法则 (1) 求实数 与 (2)当 时, 与 的方向相 数乘 向量 的积的运 同;当 时, 与 的方向相同; 算 当 时, 共线向量定理 向量 与 共线,当且仅当有唯一的一个实数 ,使得 . 共线向量定理的主要应用: (1)证明向量共线:对于非零向量 , ,若存在实数 ,使 ,则 与 共线. (2)证明三点共线:若存在实数λ,使 ,则A,B,C三点共线. (3)求参数的值:利用共线向量定理及向量相等的条件列方程(组)求参数的值. 平面向量线性运算问题的求解策略: (1)进行向量运算时,要尽可能地将它们转化到三角形或平行四边形中,充分利用相等向量、相反向量, 三角形的中位线及相似三角形对应边成比例等性质,把未知向量用已知向量表示出来. (2)向量的线性运算类似于代数多项式的运算,实数运算中的去括号、移项、合并同类项、提取公因式 等变形手段在线性运算中同样适用. (3)用几个基本向量表示某个向量问题的基本技巧: ①观察各向量的位置; ②寻找相应的三角形或多边形; ③运用法则找关系; ④化简结果. 解决向量的概念问题应关注以下七点: (1)正确理解向量的相关概念及其含义是解题的关键. (2)相等向量具有传递性,非零向量的平行也具有传递性. (3)共线向量即平行向量,它们均与起点无关. (4)相等向量不仅模相等,而且方向要相同,所以相等向量一定是平行向量,而平行向量未必是相等向量. (5)向量可以平移,平移后的向量与原向量是相等向量.解题时,不要把它与函数图象移动混为一谈. (6)非零向量 与 的关系: 是 方向上的单位向量. (7)向量与数量不同,数量可以比较大小,向量则不能,但向量的模是非负实数,故可以比较大小 易错提醒:(1)向量表达式中的零向量写成 ,而不能写成0. (2)两个向量共线要区别与两条直线共线,两个向量共线满足的条件是:两个向量所在直线平行或 重合,而在直线中,两条直线重合与平行是两种不同的关系. (3)要注意三角形法则和平行四边形法则适用的条件,运用平行四边形法则时两个向量的起点必须 重合,和向量与差向量分别是平行四边形的两条对角线所对应的向量;运用三角形法则时两个向量必须首 尾相接,否则就要把向量进行平移,使之符合条件. (4)向量加法和减法几何运算应该更广泛、灵活如: , , . 例 .如图,在平行四边形ABCD中,下列计算正确的是( ) A. B. C. D. 【详解】对于A,根据平面向量加法的平行四边形法则,则 ,故A正确; 对于B,在平行四边形 中, ,则 ,故B错误; 对于C, ,故C正确;对于D,在平行四边形 中, , ,故D正确.故选:ACD. 变式1:给出下列命题,其中正确的命题为( ) A.若 ,则必有A与C重合,B与D重合,AB与CD为同一线段 B.若 ,则可知 C.若Q为 的重心,则 D.非零向量 , , 满足 与 , 与 , 与 都是共面向量,则 , , 必共面 【详解】在平行四边形ABDC中,满足 ,但不满足A与C重合,B与D重合,AB与CD不为同一 线段,A不正确. 因为 ,所以 ,所以 ,所以 ,所以 ,即 ,B正确. 若Q为 的重心,则 ,所以 ,所以 , 即 ,C正确. 在三棱柱 中,令 , , ,满足 与 , 与 , 与 都是共面向量,但 , , 不共面,D不正确.故选:BC. 变式2:如图所示,在平行四边形ABCD中, , , .(1)试用向量 来表示 ; (2)AM交DN于O点,求 的值. 【详解】(1)因为 ,所以 ,所以 , 因为 ,所以 , 所以 ; (2)设 , 则 , 因为 三点共线,所以存在实数 使 , 由于向量 不共线,则 , ,解得 , 所以 . 变式3:如图所示,在矩形 中, , ,设 , , ,求 . 【详解】解:在矩形 中, , , 则 , 因为 , , , 则 ,因此, . 1.已知 、 为不共线的向量, , , ,则( ) A. 三点共线 B. 三点共线 C. 三点共线 D. 三点共线 【答案】C 【分析】根据平面向量共线定理及基本定理判断即可. 【详解】因为 、 为不共线的向量,所以 、 可以作为一组基底, 对于A: , ,若存在实数 使得 , 则 ,所以 ,方程组无解,所以 与 不共线,故 、 、 三点不共线,即 A错误; 对于B:因为 , ,所以 , 同理可以说明不存在实数 ,使得 ,即 与 不共线,故 、 、 三点不共线,即B错误; 对于C:因为 , , 所以 , 又 ,所以 ,故 、 、 三点共线,即C正确; 对于D: , , 同理可以说明不存在实数 ,使得 ,即 与 不共线,故 、 、 三点不共线,即D错误; 故选:C 2.如图,在平行四边形ABCD中,E是BC的中点,F是线段AE上靠近点A的三等分点,则 等于 ( )A. B. C. D. 【答案】C 【分析】利用平面向量的线性运算求解. 【详解】解: , , , , 故选:C 3.在四边形 中,若 ,则( ) A.四边形 是平行四边形 B.四边形 是矩形 C.四边形 是菱形 D.四边形 是正方形 【答案】A 【分析】由 推出 ,再根据向量相等的定义得 且 ,从而可得答案. 【详解】因为 ,故 ,即 , 故 且 ,故四边形 一定是平行四边形, 不一定是菱形、正方形和矩形,故A正确;BCD不正确. 故选:A. 4.已知 分别为 的边 上的中线,设 , ,则 =( )A. + B. + C. D. + 【答案】B 【分析】根据向量的线性运算即可联立方程求解. 【详解】 分别为 的边 上的中线, 则 , , 由于 , ,所以 , 故解得 故选:B 5.如果 是平面α内两个不共线的向量,那么下列说法中不正确的是( ) ① 可以表示平面α内的所有向量; ②对于平面α内任一向量 ,使 的实数对 有无穷多个; ③若向量 与 共线,则 ④若实数λ、μ使得 ,则λ=μ=0. A.①② B.②③ C.③④ D.② 【答案】B 【分析】由平面向量基本定理判断①④②,由共线向量定理判断③.【详解】解:由平面向量基本定理可知,①④是正确. 对于②,由平面向量基本定理可知,一旦一个平面的基底确定,那么任意一个向量在此基底下的实数对是 唯一的,故错误; 对于③,当λλ=0或μμ=0时不一定成立,应为λμ-λμ=0,故错误. 1 2 1 2 1 2 2 1 故选:B. 6.给出下列各式:① ,② ,③ ,④ , 对这些式子进行化简,则其化简结果为 的式子的个数是( ) A.4 B.3 C.2 D.1 【答案】A 【分析】利用向量的加减法法则逐个分析判断即可. 【详解】对于①, , 对于②, , 对于③, , 对于④, , 所以其化简结果为 的式子的个数是4, 故选:A 7.已知平面向量 , , ,下列结论中正确的是( ) A.若 ,则 B.若 ,则 C.若 , ,则 D.若 ,则 【答案】D 【分析】利用向量的概念及零向量判断即可. 【详解】A:若 为非零向量, 为零向量时,有 但 不成立,错误; B: 时, , 不一定相等,错误;C:若 为零向量时, , 不一定有 ,错误; D: 说明 , 同向或至少有一个零向量,故 ,正确. 故选:D. 8.设 与 是两个不共线的向量, ,若A,B,D三点共线,则 k的值为( ) A.- B.- C.- D.- 【答案】B 【分析】根据向量共线的判定定理结合向量的线性运算求解. 【详解】由题意可得: , 若A,B,D三点共线,所有必存在一个实数λ,使得 , 即 , 可得 ,解得 . 故选:B. 9.在 中,已知 ,P是AB的垂直平分线l上的任一点,则 ( ) A.6 B. C.12 D. 【答案】B 【分析】设 为 的中点,结合 为线段 垂直平分线上的任意一点,则有 ,再将 都用 表示,结合数量积的运算律即可得解. 【详解】设 为 的中点, 则 , 因为 为线段 垂直平分线上的任意一点,所以 , 则 . 故选: . 10.已知抛物线C: 的焦点为F,准线为l,点 ,线段AF交抛物线C于点B,过点B作l的垂 线,垂足为H,若 ,则( ) A. B. C. D. 【答案】BC 【分析】利用三角形相似及抛物线定义求解. 【详解】抛物线C: 的焦点 ,准线 为 , 设准线 与 轴交于点 ,∵ ,由 与△ 相似得: , ∵ ,∴ ,即 ,故A错误; 由抛物线定义得 ,∴ , 即 , ,故BC正确,D错误. 故选:BC. 11.下列各式中结果为零向量的为( ) A. B. C. D. 【答案】BC 【分析】根据平面线向量加法和减法的运算法则逐一判断即可. 【详解】因为 ,所以选项A不符合题意; 因为 ,所以选项B符合题意; 因为 , 所以选项C符合题意; 因为 , 所以选项D不符合题意, 故选:BC 易错点二:忽略基底选取原则(平面向量的基本定理及坐标表示) 1.平面向量基本定理和性质 (1)共线向量基本定理 如果 ,则 ;反之,如果 且 ,则一定存在唯一的实数 ,使 .(口诀:数乘即得平行,平行必有数乘). (2)平面向量基本定理 如果 和 是同一个平面内的两个不共线向量,那么对于该平面内的任一向量 ,都存在唯一的一对 实数 ,使得 ,我们把不共线向量 , 叫做表示这一平面内所有向量的一组基底,记 为 , 叫做向量 关于基底 的分解式. 注意:由平面向量基本定理可知:只要向量 与 不共线,平面内的任一向量 都可以分解成形如 的形式,并且这样的分解是唯一的. 叫做 , 的一个线性组合.平面向量基本 定理又叫平面向量分解定理,是平面向量正交分解的理论依据,也是向量的坐标表示的基础. 推论1:若 ,则 . 推论2:若 ,则 . (3)线段定比分点的向量表达式 如图所示,在 中,若点 是边 上的点,且 ( ),则向量 . 在向量线性表示(运算)有关的问题中,若能熟练利用此结论,往往能有“化腐朽为神奇”之功效,建议 熟练掌握. A B C D (4)三点共线定理 平面内三点A,B,C共线的充要条件是:存在实数 ,使 ,其中 , 为 平面内一点.此定理在向量问题中经常用到,应熟练掌握. A、B、C三点共线 存在唯一的实数 ,使得 ;存在唯一的实数 ,使得 ; 存在唯一的实数 ,使得 ; 存在 ,使得 . (5)中线向量定理 如图所示,在 中,若点D是边BC的中点,则中线向量 ,反之亦正确. A B C D 2.平面向量的坐标表示及坐标运算 (1)平面向量的坐标表示. 在平面直角坐标中,分别取与 轴, 轴正半轴方向相同的两个单位向量 作为基底,那么由平面 向量基本定理可知,对于平面内的一个向量 ,有且只有一对实数 使 ,我们把有序实数对 叫做向量 的坐标,记作 . (2)向量的坐标表示和以坐标原点为起点的向量是一一对应的,即有 向量 向量 点 . (3)设 , ,则 , ,即两个向量的和 与差的坐标分别等于这两个向量相应坐标的和与差. 若 , 为实数,则 ,即实数与向量的积的坐标,等于用该实数乘原来向量的相 应坐标. (4)设 , ,则 = ,即一个向量的坐标等于该向量的有 向线段的终点的坐标减去始点坐标. 3.平面向量的直角坐标运算①已知点 , ,则 , ②已知 , ,则 , , , . , 向量共线(平行)的坐标表示 1.利用两向量共线的条件求向量坐标.一般地,在求与一个已知向量 共线的向量时,可设所求向 量为 ( ),然后结合其他条件列出关于 的方程,求出 的值后代入 即可得到所求的向量. 2.利用两向量共线求参数.如果已知两向量共线,求某些参数的取值时,则利用“若 , ,则 的充要条件是 ”解题比较方便. 3.三点共线问题.A,B,C三点共线等价于 与 共线. 4.利用向量共线的坐标运算求三角函数值:利用向量共线的坐标运算转化为三角方程,再利用三角 恒等变换求解. 用平面向量基本定理解决问题的一般思路 (1)先选择一组基底,并运用平面向量基本定理将条件和结论表示成该基底的线性组合,再进行向 量的运算. (2)在基底未给出的情况下,合理地选取基底会给解题带来方便,另外,要熟练运用线段中点的向 量表达式. 向量的坐标与表示向量的有向线段的起点、终点的相对位置有关系. 两个相等的向量,无论起点在什么位置,它们的坐标都是相同的. 易错提醒:(1)平面向量基本定理中的基底必须是两个不共线的向量. (2)选定基底后,通过向量的加、减、数乘以及向量平行的充要条件,把相关向量用这一组基底表示出 来. (3)强调几何性质在向量运算中的作用,用基底表示未知向量,常借助图形的几何性质,如平行、相似 等。例 .已知向量 =(2,1), ,则( ) A.若 ,则 B.向量 在向量 上的投影向量为 C. 与 的夹角余弦值为 D. 【详解】对于A选项,若 ,则 ,所以 ,A正确; 对于B选项,设向量 在向量 上的投影向量为 ,则 ,即 ,解得 ,故 向量 在向量 上的投影向量为 ,B选项正确; 对于C选项, , ,C选项正确; 对于D选项, , ,所以 与 不共线,D选项错误. 故选:ABC. 变式1.下列说法中错误的为( ) A.已知 , 且 与 的夹角为锐角,则实数 的取值范围是 B.向量 , 不能作为平面内所有向量的一组基底 C.非零向量 , ,满足 且 与 同向,则 D.非零向量 和 ,满足 ,则 与 的夹角为 【详解】对于A, , ,且 与 的夹角为锐角,,且 ( 时, 与 的夹角为 ), 所以 且 ,故A错误; 对于B,向量 ,即共线,故不能作为平面内所有向量的一组基底,故B正确; 对于C,向量是有方向的量,不能比较大小,故C错误; 对于D,因为 ,两边平方得, ,又 , 则 , , 故 , 而向量的夹角范围为 ,所以 和 的夹角为 ,故D正确. 故选:AC. 变式2.(多选)下列说法中正确的是( ) A.若 ,且 与 共线,则 B.若 ,且 ,则 与 不共线 C.若A,B,C三点共线.则向量 都是共线向量 D.若向量 ,且 ,则 【详解】对选项A, 或 时,比例式无意义,故错误; 对选项B,若 , 与 共线,则一定有 ,故正确; 对选项C,若A,B,C三点共线,则 在一条直线上,则 都是共线向量,故正确; 对选项D,若向量 ,且 ,则 ,即 ,故正确;故选:BCD 变式3.已知 是平面内的一组基底,则下列说法中正确的是( ) A.若实数m,n使 ,则 B.平面内任意一个向量 都可以表示成 ,其中m,n为实数 C.对于m, , 不一定在该平面内 D.对平面内的某一个向量 ,存在两对以上实数m,n,使 【详解】解:根据基底的定义知AB正确; 对于C,对于m, , 在该平面内,故C错误; 对于D,m,n是唯一的,故D错误. 故选:AB. 1.在梯形 中, , , , 分别是 , 的中点, 与 交于 ,设 , ,则下列结论正确的是( ) A. B. C. D. 【答案】ABD 【分析】结合已知梯形的性质及向量加法及减法的三角形法则及向量共线定理对各选项进行判断即可. 【详解】 由题意可得, ,故A正确;,故B正确; ,故C错误; ,故D正确. 故选:ABD. 2.已知点 , ,向量 , ∥ ,则( ) A. 时 与 方向相同 B. 时, 与 方向相同 C. 时 与 方向相反 D. 时, 与 方向相反 【答案】BD 【分析】根据向量平行的坐标表示求出 ,再回代验证方向相同或相反. 【详解】 , ,可得 , 又 , , 可得 ,解得 , 当 时, 与 方向相反,当 时, 与 方 向相同. 故选:BD 3.已知点 向量 则( ) A. 时 与 方向相同 B. 时 与 方向相同C. 时 与 方向相反 D. 时 与 方向相反 【答案】BD 【分析】根据向量共线的坐标运算求解. 【详解】 可得 又 可得 解得 当 时, , 则 , 所以 与 方向相反, 当 时, , ,则 , 与 方向相同. 故选:BD. 4.如果 是平面 内两个不共线的向量,那么下列说法中正确的是( ) A. 可以表示平面 内的所有向量 B.对于平面 内任一向量 ,使 的实数对 有无穷个 C.若向量 与 共线,则有且只有一个实数 ,使得 D.若存在实数 使得 ,则 【答案】AD 【分析】由平面向量基本定理可确定AD正确,B错误;通过反例可说明C错误. 【详解】 是平面 内两个不共线的向量, 可以作为平面 的一组基底; 对于A,由平面向量基本定理可知: 可以表示平面 内的所有向量,A正确;对于B,对于平面 内任意向量 ,有且仅有一个实数对 ,使得 ,B错误; 对于C,当 时, 与 均为零向量,满足两向量共线,此时使得 成立的 有无数个,C错误; 对于D,由 得: ,又 不共线, ,即 ,D正确. 故选:AD. 5.已知平面内平行四边形的三个顶点 则第四个顶点 的坐标为( ) A. B. C. D. 【答案】ABC 【分析】若构成的平行四边形为 ,即 为一条对角线,设 ,则由 中点也是 中点, 利用线段的中点公式求得 . 同理可求得,构成以 为对角线的平行四边形 ,和以 为对角线的平行四边形 ,对应的 的坐标. 【详解】若构成的平行四边形为 ,即 为一条对角线, 设 ,则由 中点也是 中点,可得 ,解得 , 所以 ; 同理可得,若构成以 为对角线的平行四边形 ,则 ; 以为 对角线的平行四边形 ,则 ;所以第四个顶点 的坐标为可以为: 或 或 . 故选:ABC. 6.已知椭圆 的左、右焦点分别为 , ,过下顶点A和右焦点 的直线与E交于另一点 B, 与y轴交于点P,则( ) A. B. C. 的内切圆半径为 D. △ 【答案】ABD 【分析】根据给定条件,求出焦点及下顶点坐标,画出图形,再逐项分析计算、判断作答. 【详解】依题意,椭圆 的焦点 ,下顶点 ,如图, 对于A, ,因此 ,A正确; 对于B,直线 ,由 消去y得: ,则点 , 于是 ,B正确; 对于C, 的周长为 ,令其内切圆半径为 , ,因此 ,解得 ,C错误; 对于D, ,设点 ,则 ,而 ,即有 , 因此 ,D正确. 故选:ABD 7.设 ,非零向量 , ,则( ). A.若 ,则 B.若 ,则 C.存在 ,使 D.若 ,则 【答案】ABD 【分析】A选项,验证 即可; B选项,验证 ; C选项,由题可得 , ,据此可判断选项正误; D选项,由题可得 ,据此可判断选项 【详解】A选项, , 则 ,故A正确; B选项, ,则 , 故 ,故B正确; C选项,假设存在 ,使 ,则 , ,则可得 ,故可得,则假设不成立,故C错误; D选项,因 ,则 ,又由题可得 ,则 ,故D正确. 故选:ABD 8.已知向量 ,则下列结论正确的是( ) A.若 ,则 B.若 ,则 C.若 ,则 D.若 ,则 【答案】AB 【分析】根据向量平行的坐标表示判断A,根据向量垂直的坐标表示判断B,根据向量的模的坐标表示判 断C,D. 【详解】对于A,因为 ,所以 ,所以 ,A正确; 对于B,因为 ,所以 ,所以 ,B正确; 对于C,因为 ,所以 ,所以 ,C错误; 对于D,因为 ,所以 ,所以 或 ,D错误; 故选:AB. 9.如图,在 中, 是 的三等分点,则( ) A. B.若 ,则 在 上的投影向量为C.若 ,则 D.若 【答案】AD 【分析】根据平面向量线性运算的性质,结合投影向量的定义、平面向量数量积的运算性质逐一判断即可. 【详解】对于A, ,故A正确; 对于B,因为 ,所以 , 由题意得 为 的一个三等分点(靠 点更近),所以 在 上的投影向量为 ,故B不正确; 对于C, , , 故 , 又 , 所以 , 故 ,故C错误; 对于D, , 而 , 代入得 ,故选项D正确, 故选:AD 10.已知 ,则下列叙述正确的是( ) A.若 ,则 B.若 ,则 C. 的最小值为5 D.若向量 与向量 的夹角为钝角,则【答案】AD 【分析】由向量平行和垂直的坐标表示可得AB正误;利用向量模长运算可知 ,由二次 函数性质可求得 ,知C错误;利用向量夹角为钝角,则数量积必定小于0,可判断D. 【详解】对于A,若 ,则 ,解得: ,A正确; 对于B,若 ,则 ,解得: ,B错误; 对于C,因为 ,所以 ,则当 时, , ,C错误; 对于D,若向量 与向量 的夹角为钝角,则 ,解得 ,由上可知,此时两向量不共线, D正确. 故选:AD. 11.已知空间向量 =(1,-1,2),则下列说法正确的是( ) A. B.向量 与向量 =(2,2,-4)共线 C.向量 关于x轴对称的向量为(1,1,-2) D.向量 关于yOz平面对称的向量为(-1,1,-2) 【答案】AC 【分析】根据空间向量的模、共线、对称等知识对选项进行分析,从而确定正确选项. 【详解】 ,A选项正确. ,所以 不共线,B选项错误. 向量 关于x轴对称的向量, 不变, 和 变为相反数,即向量 关于x轴对称的向量为 ,C选项正确. 向量 关于yOz平面对称的向量, 和 不变, 变为相反数, 即向量 关于yOz平面对称的向量为 ,D选项错误. 故选:AC 易错点三:忽视数量积不满足结合律(平面向量的数量积及其应用) 1.平面向量的数量积 (1)平面向量数量积的定义 已知两个非零向量与 ,我们把数量 叫做 与 的数量积(或内积), 记作 ,即 = ,规定:零向量与任一向量的数量积为0. (2)平面向量数量积的几何意义 ①向量的投影: 叫做向量 在 方向上的投影数量,当 为锐角时,它是正数;当 为钝角时, 它是负数;当 为直角时,它是0. ② 的几何意义:数量积 等于 的长度 与 在 方向上射影 的乘积. 2.数量积的运算律 已知向量 、 、 和实数 ,则: ① ; ② ; ③ . 3.数量积的性质 设 、 都是非零向量, 是与 方向相同的单位向量, 是 与 的夹角,则 ① .② .③当 与 同向时, ;当 与 反向时, . 特别地, 或 . ④ .⑤ . 4.数量积的坐标运算 已知非零向量 , , 为向量 、 的夹角. 结论 几何表示 坐标表示 模 数量积 夹角 的充要 条件 的充要 条件 与 (当 且仅当 时等号成 立) 的关系 1.平面向量数量积的类型及求法: (1)平面向量数量积有两种计算公式:一是夹角公式 ;二是坐标公式 . (2)求较复杂的平面向量数量积的运算时,可先利用平面向量数量积的运算律或相关公式进行化简. 2.平面向量数量积主要有两个应用: (1)求夹角的大小:若 , 为非零向量,则由平面向量的数量积公式得 (夹角公式), 所以平面向量的数量积可以用来解决有关角度的问题. (2)确定夹角的范围:数量积大于0说明不共线的两向量的夹角为锐角,数量积等于0说明不共线的两向量的夹角为直角,数量积小于0且两向量不共线时两向量的夹角为钝角. 3.向量与平面几何综合问题的解法与步骤: (1)向量与平面几何综合问题的解法 ①坐标法 把几何图形放在适当的坐标系中,则有关点与向量就可以用坐标表示,这样就能进行相应的代数运算 和向量运算,从而使问题得到解决. ②基向量法 适当选取一组基底,沟通向量之间的联系,利用向量间的关系构造关于未知量的方程来进行求解. (2)用向量解决平面几何问题的步骤 ①建立平面几何与向量的联系,用向量表示问题中涉及的几何元素,将平面几何问题转化为向量问题; ②通过向量运算研究几何元素之间的关系,如距离、夹角等问题; ③把运算结果“翻译”成几何关系. 4.利用向量求解三角函数问题的一般思路: (1)求三角函数值,一般利用已知条件将向量关系转化为三角函数关系式.利用同角三角函数关系 式及三角函数中常用公式求解. (2)求角时通常由向量转化为三角函数问题,先求值再求角. (3)解决与向量有关的三角函数问题的思想方法是转化与化归的数学思想,即通过向量的相关运算 把问题转化为三角函数问题. (4)解三角形.利用向量的坐标运算,把向量垂直或共线转化为相应的方程,在三角形中利用内角 和定理或正、余弦定理解决问题. 5.用向量法解决实际问题的步骤如下: 第一步:抽象出实际问题中的向量,转化为数学问题; 第二步:建立以向量为主体的数学模型; 第三步:利用向量的线性运算或数量积运算,求解数学模型; 第四步:用数学模型中的数据求解问题. 6.常见的向量表示形式: (1)重心.若点G是 的重心,则 或 (其中P为平面内任 意一点).反之,若 ,则点G是 的重心.(2)垂心.若H是 的垂心,则 .反之,若 ,则点H是 的垂心. (3)内心.若点I是 的内心,则 .反之,若 ,则点I是 的内心. (4)外心.若点O是 的外心,则 或 .反之,若 ,则点 是 的外心. 题型:平面向量的模及其应用的类型与解题策略: (1)求向量的模.解决此类问题应注意模的计算公式 ,或坐标公式 的应用, 另外也可以运用向量数量积的运算公式列方程求解. (2)求模的最值或取值范围.解决此类问题通常有以下两种方法: ①几何法:利用向量加减法的平行四边形法则或三角形法则,结合模的几何意义求模的最值或取值范围; ②代数法:利用向量的数量积及运算法则转化为不等式或函数求模的最值或取值范围. (3)由向量的模求夹角.对于此类问题的求解,其实质是求向量模方法的逆运用. 易错提醒:(1)平面向量的数量积是一个实数,可正、可负、可为零,且 . (2)当 时,由 不能推出 一定是零向量,这是因为任一与 垂直的非零向量 都有 . 当 时,且 时,也不能推出一定有 ,当 是与 垂直的非零向量, 是另一与 垂直的 非零向量时,有 ,但 . (3)数量积不满足结合律,即 ,这是因为 是一个与 共线的向量,而 是一 个与 共线的向量,而 与 不一定共线,所以 不一定等于 ,即凡有数量积的结合律形式的 选项,一般都是错误选项.(4)非零向量夹角为锐角(或钝角).当且仅当 且 (或 ,且 . 例 .下列说法中错误的是( ) A.单位向量都相等 B.向量 与 是共线向量,则点A、B、C、D必在同一条直线上 C.两个非零向量 ,若 ,则 与 共线且反向 D.已知向量 ,若 与 的夹角为锐角,则 【详解】解:对于A选项,单位向量方向不同,则不相等,故A错误; 对于B选项,向量 与 是共线向量,也可能是 ,故B错误; 对于C选项,两个非零向量 ,若 ,则 与 共线且反向,故C正确; 对于D选项,向量 ,若 与 的夹角为锐角,则 且 与 不共线,故 ,解得 且 ,故D错误;故选:ABD 变式1.给出下列命题,其中正确的有( ) A.已知向量 ,则 B.若向量 共线,则向量 所在直线平行或重合 C.已知向量 ,则向量 与任何向量都不构成空间的一个基底 D. 为空间四点,若 构成空间的一个基底,则 共面 【详解】对于选项A,若 ,则 , 故 ,故选项A正确;对于选项B,根据向量共线的定义可得其成立,故选项B正确; 对于选项C,当 时,若 与 不共面, 根据空间向量基本定理可知, 可构成空间的一个基底,故选项C不正确; 对于选项D,若 构成空间的一个基底,则 不共面, 故A,B,M,N不共面,故选项D不正确.故选:AB 变式2.设 均为单位向量,对任意的实数 有 恒成立,则( ) A. 与 的夹角为 B. C. 的最小值为 D. 的最小值为 【详解】对 :设 的夹角为 , , 两边平方可得: , 即 对任意的 恒成立, 故可得: ,即 , 则 ,又 ,故 ,故 错误; 对 : ,故 正确; 对 : ,当且仅当 时取得等号,故 错误; 对 : ,对 ,当且仅当 时取得最小值 ,故 的最小值为 ,故 正确.故选: . 变式3.已知抛物线 的焦点为 , 在抛物线上,延长 交抛物线于点 ,抛物线准线与 轴交于点 ,则下列叙述正确的是( ) A. B.点 的坐标为 C. D.在 轴上存在点 ,使得 为钝角 【详解】由抛物线方程知:焦点 ,准线为 ; 对于A, 在抛物线 上, , ,A错误; 对于B, , 直线 , 由 得: 或 ,又 , ,B正确; 对于C, , , , ,C正确;对于D,设 ,则 , , , 不能为钝角,D错误. 故选:BC. 1.如图,在三棱柱 中,M,N分别是 , 上的点,且 , .设 , , ,若 , , ,则( ) A. B. C. D. 【答案】BD 【分析】利用向量的加减法则,以 为基底可得 ,可得A错误;由 计算可得 ,可知B正确;分别表示出 可得 不为零,可得C错误;利用C中结论 ,分别求出 ,即可得 ,即D正确. 【详解】对于A,根据题意可得 ,又 , ,所以可得 , 即 ,可知A错误; 对于B,由(1)知 ,所以 , 所以 ,即可知B正确; 对于C,易知 , 此时 ,所以 与 不垂直,即C错误; 对于D,由选项C可得 ,且 ,即 ; ,即 ; 所以可得 ,即D正确. 故选:BD 2.设 是任意的非零向量,则下列结论不正确的是( ) A. B. C. D. 【答案】AB 【分析】根据数量积的定义与数量积的运算律逐一判断即可.【详解】由 是任意的非零向量, 对于A, ,故A错误; 对于B, 表示与 共线的向量, 表示与 共线的向量, 而 不一定共线,故B错误; 对于C,因为 非零向量,若 ,则 ,故C正确; 对于D, ,故D正确. 故选:AB. 3.(多选)下列各命题中,正确的命题为( ) A. B. C. D. 【答案】ABC 【分析】根据数量积的运算律以及数乘的运算律,结合共线定理,可得答案. 【详解】对于A, ,故A正确; 对于B,根据向量数乘满足交换律和结合律,可得B正确; 对于C,根据数量积满足交换律,可得C正确; 对于D,当 ,则向量 与 共线,当 时,则向量 与 共线, 而向量 不一定共线,故D错误. 故选:ABC. 4.给出下列命题,其中正确的命题是( ) A.若直线 的方向向量为 ,平面 的法向量为 ,则直线 B.若对空间中任意一点 ,有 ,则 、 、 、 四点共面 C.两个非零向量与任何一个向量都不能构成空间的一个基底,则这两个向量共线D.已知向量 , ,则 在 上的投影向量为 【答案】BCD 【分析】利用线面位置关系与向量的关系可判断A选项;利用空间向量共面的基本定理可判断B选项;利 用空间向量基底的概念可判断C选项;利用投影向量的定义可判断D选项. 【详解】对于A选项,直线 的方向向量为 ,平面 的法向量为 , 则 ,则 ,所以, 或 ,A错; 对于B选项,对空间中任意一点 ,有 , 则 ,整理可得 , 故 、 、 、 四点共面,B对; 对于C选项,三个不共面的向量可以成为空间的一个基底, 两个非零向量与任何一个向量都不能构成空间的一个基底,则这两个向量共线,C对; 对于D选项,已知向量 , , 则 在 方向上的投影向量为 ,D对. 故选:BCD. 5.设向量 , ,则下列叙述错误的是( ) A.若 时,则 与 的夹角为钝角 B. 的最小值为 C.与 共线的单位向量只有一个为 D.若 ,则 或 【答案】CD 【分析】利用向量的运算的坐标表示,判断选项正误. 【详解】对于A, 时, 且不等于-1,所以 与 的夹角为钝角,故 A正确;对于B, ,当 时不等式取等号,所以 的最小值为 2,所以B正确; 对于C,与 共线的单位向量为 ,即 或 ,所以C不正确; 对于D,若 ,可得 ,解得 或 ,所以D不正确; 故选:CD. 6.设F为抛物线C: 的焦点,过F且倾斜角为30°的直线交C于A,B两点,则( ) A. B. C. D. 【答案】AB 【分析】求得直线AB的方程,代入抛物线方程,由根与系数的关系求解可判断CD;利用数量积的定义计 算可判断B;由抛物线的定义求解可判断A. 【详解】抛物线C的焦点为 ,所以直线AB的方程为 , 将 代入 ,整理得 , 设 ,由根与系数的关系得 ,故D错误; ,故C错误; ,故B正确; 由抛物线的定义可得 ,故A正确. 故选:AB.7.已知向量 ,其中 均为正数,且 ,下列说法正确的是 ( ) A. 与 的夹角为钝角 B.向量 在 方向上的投影为 C. D. 的最大值为2 【答案】CD 【分析】通过求出 ,向量 在 方向上的投影,利用平行关系结合基本不等式,即可得出结论. 【详解】由题意, 均为正数, , A项, ∵ , ∴ 与 的夹角不为钝角,A错误; B项, ∵ , ∴向量 在 方向上的投影为 ,B错误;C项, ∵ , , ∴ ,即 ,C正确; D项, ∵ ,即 ,当且仅当 时等号成立, ∴ 的最大值为2,D正确; 故选:CD. 8.已知 所在平面内有三点O,N,P,则下列说法正确的是( ) A.若 ,则点O是 的外心 B.若 ,则点N是 的重心 C.若 ,则点P是 的垂心 D.若 ,且 ,则 为直角三角形 【答案】ABC 【分析】根据三角形外心、重心和垂心的定义逐一用向量即可判断A,B,C;用向量的数量积和运算律即 可判断D. 【详解】对于A,因为 ,所以点O到 的三个顶点的距离相等,所以O为 的外 心,故A正确; 对于B,如图所示,D为BC的中点,由 ,得 ,所以 ,所以N 是 的重心,故B正确;对于C,由 ,得 ,即 ,所以 ,即 .同理, ,所以点P是 的垂心,故C正确; 对于D,由 ,得角A的平分线垂直于BC,所以 , 由 ,得 ,所以 ,所以 为等边三角形,故D错误. 故选:ABC. 9.如图,在平行六面体 中, 与 交于 点,且 , , .则下列结论正确的有( ) A. B. C. D. 【答案】AB 【分析】由向量的分解和向量数量积公式、向量的求模公式即可判断. 【详解】如图,由题意得, , , , , 对于选项A, 所以 ,即 . 故选项A正确. 对于选项B, 故选项B正确. 对于选项C,所以 即 故选项C错误. 对于选项D, 故选项D错误. 故选:AB 10.(多选)下列说法中正确的是( ) A.若非零向量 满足 ,则 与 的夹角为30° B.若 ,则 的夹角为锐角 C.若 ,则 ABC一定是直角三角形 D. ABC的外接圆的圆心为O,半径为1,若 =2 ,且| |=| |,则向量 在向量 方向上的投影数量为 【答案】ACD 【分析】对于A,由向量减法法则和向量 能组成一个等边三角形判断;,对于B,由 是判断;对于C,由 ,化简得到 =0判断;对于D,由 =2 ,得到 AOC为等边三角形,再利用投影的定义判断. 【详解】对于A,由向量减法法则及题意知,向量 可以组成一个等边三角形,向量 的夹 角为60°,又由向量加法的平行四边形法则知,以 为邻边的平行四边形为菱形,所以 与 的夹角为 30°,故正确.对于B,当 时不成立,故错误. 对于C,因为 , 所以 ·( )- ,所以 =0,即 , 所以 ABC是直角三角形,故正确. 对于D,如图, , 其中四边形ABDC为平行四边形,因为 =2 ,所以O为AD,BC的交点, 又| |=| |=| |,所以 AOC为等边三角形, 所以∠ACB=60°,且BC为外接圆的直径,所以∠ABC=30°.在直角三角形ABC中,BC=2,AC=1, 所以AB= ,则向量 在向量 方向上的投影数量为| |cos∠ABC= ,故正确. 故选:ACD. 11.下列说法中正确的是( ) A.若 是 内一点,且 ,则 为 的垂心 B.若 是 内一点,且 ,则 为 的外 心 C.在四边形 中,若 ,则四边形为菱形 D.若 是 内一点,且 ,则 为 的内心 【答案】ABC 【分析】根据题意得到 ,得出 为垂心,判定A正确;化简得到 ,得到 ,得出 为三角形的外心,判定B 正确; 由 ,得到为平行四边形,结合 ,得到对角线垂直,可判定C正确; 设 中点为 ,得到 ,得出 为 的重心,判定D不正确. 【详解】因为 , 所以 , 则 ,所以 是三条高线的交点, 为垂心,所以A正确; 若 , 即 , 即 , 所以 ,即 ,所以 为三角形的外心,所以B正确; 若四边形 中, ,即 ,则四边形为平行四边形, 又由 ,所以 ,则平行四边形的对角线垂直, 所以四边形 为菱形,所以C正确; 如图所示,因为 , 又由 是以 为邻边的平行四边形对角线且过 中点, 设 中点为 ,则 ,所以 ,即 , 因为 是 中点,所以 三点共线,则 为 的重心,所以D不正确. 故选:ABC.