当前位置:首页>文档>专题05数列求和(倒序相加法、分组求和法)(典型题型归类训练)(解析版)_02高考数学_新高考复习资料_2024年新高考资料_专项复习资料_数列_教师版(含答案解析)

专题05数列求和(倒序相加法、分组求和法)(典型题型归类训练)(解析版)_02高考数学_新高考复习资料_2024年新高考资料_专项复习资料_数列_教师版(含答案解析)

  • 2026-04-08 04:36:05 2026-04-08 04:23:53

文档预览

专题05数列求和(倒序相加法、分组求和法)(典型题型归类训练)(解析版)_02高考数学_新高考复习资料_2024年新高考资料_专项复习资料_数列_教师版(含答案解析)
专题05数列求和(倒序相加法、分组求和法)(典型题型归类训练)(解析版)_02高考数学_新高考复习资料_2024年新高考资料_专项复习资料_数列_教师版(含答案解析)
专题05数列求和(倒序相加法、分组求和法)(典型题型归类训练)(解析版)_02高考数学_新高考复习资料_2024年新高考资料_专项复习资料_数列_教师版(含答案解析)
专题05数列求和(倒序相加法、分组求和法)(典型题型归类训练)(解析版)_02高考数学_新高考复习资料_2024年新高考资料_专项复习资料_数列_教师版(含答案解析)
专题05数列求和(倒序相加法、分组求和法)(典型题型归类训练)(解析版)_02高考数学_新高考复习资料_2024年新高考资料_专项复习资料_数列_教师版(含答案解析)
专题05数列求和(倒序相加法、分组求和法)(典型题型归类训练)(解析版)_02高考数学_新高考复习资料_2024年新高考资料_专项复习资料_数列_教师版(含答案解析)
专题05数列求和(倒序相加法、分组求和法)(典型题型归类训练)(解析版)_02高考数学_新高考复习资料_2024年新高考资料_专项复习资料_数列_教师版(含答案解析)
专题05数列求和(倒序相加法、分组求和法)(典型题型归类训练)(解析版)_02高考数学_新高考复习资料_2024年新高考资料_专项复习资料_数列_教师版(含答案解析)
专题05数列求和(倒序相加法、分组求和法)(典型题型归类训练)(解析版)_02高考数学_新高考复习资料_2024年新高考资料_专项复习资料_数列_教师版(含答案解析)
专题05数列求和(倒序相加法、分组求和法)(典型题型归类训练)(解析版)_02高考数学_新高考复习资料_2024年新高考资料_专项复习资料_数列_教师版(含答案解析)
专题05数列求和(倒序相加法、分组求和法)(典型题型归类训练)(解析版)_02高考数学_新高考复习资料_2024年新高考资料_专项复习资料_数列_教师版(含答案解析)
专题05数列求和(倒序相加法、分组求和法)(典型题型归类训练)(解析版)_02高考数学_新高考复习资料_2024年新高考资料_专项复习资料_数列_教师版(含答案解析)
专题05数列求和(倒序相加法、分组求和法)(典型题型归类训练)(解析版)_02高考数学_新高考复习资料_2024年新高考资料_专项复习资料_数列_教师版(含答案解析)
专题05数列求和(倒序相加法、分组求和法)(典型题型归类训练)(解析版)_02高考数学_新高考复习资料_2024年新高考资料_专项复习资料_数列_教师版(含答案解析)
专题05数列求和(倒序相加法、分组求和法)(典型题型归类训练)(解析版)_02高考数学_新高考复习资料_2024年新高考资料_专项复习资料_数列_教师版(含答案解析)
专题05数列求和(倒序相加法、分组求和法)(典型题型归类训练)(解析版)_02高考数学_新高考复习资料_2024年新高考资料_专项复习资料_数列_教师版(含答案解析)
专题05数列求和(倒序相加法、分组求和法)(典型题型归类训练)(解析版)_02高考数学_新高考复习资料_2024年新高考资料_专项复习资料_数列_教师版(含答案解析)
专题05数列求和(倒序相加法、分组求和法)(典型题型归类训练)(解析版)_02高考数学_新高考复习资料_2024年新高考资料_专项复习资料_数列_教师版(含答案解析)
专题05数列求和(倒序相加法、分组求和法)(典型题型归类训练)(解析版)_02高考数学_新高考复习资料_2024年新高考资料_专项复习资料_数列_教师版(含答案解析)
专题05数列求和(倒序相加法、分组求和法)(典型题型归类训练)(解析版)_02高考数学_新高考复习资料_2024年新高考资料_专项复习资料_数列_教师版(含答案解析)
专题05数列求和(倒序相加法、分组求和法)(典型题型归类训练)(解析版)_02高考数学_新高考复习资料_2024年新高考资料_专项复习资料_数列_教师版(含答案解析)
专题05数列求和(倒序相加法、分组求和法)(典型题型归类训练)(解析版)_02高考数学_新高考复习资料_2024年新高考资料_专项复习资料_数列_教师版(含答案解析)
专题05数列求和(倒序相加法、分组求和法)(典型题型归类训练)(解析版)_02高考数学_新高考复习资料_2024年新高考资料_专项复习资料_数列_教师版(含答案解析)
专题05数列求和(倒序相加法、分组求和法)(典型题型归类训练)(解析版)_02高考数学_新高考复习资料_2024年新高考资料_专项复习资料_数列_教师版(含答案解析)
专题05数列求和(倒序相加法、分组求和法)(典型题型归类训练)(解析版)_02高考数学_新高考复习资料_2024年新高考资料_专项复习资料_数列_教师版(含答案解析)
专题05数列求和(倒序相加法、分组求和法)(典型题型归类训练)(解析版)_02高考数学_新高考复习资料_2024年新高考资料_专项复习资料_数列_教师版(含答案解析)

文档信息

文档格式
docx
文档大小
0.999 MB
文档页数
22 页
上传时间
2026-04-08 04:23:53

文档内容

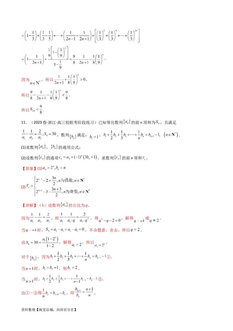
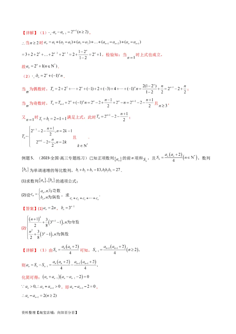
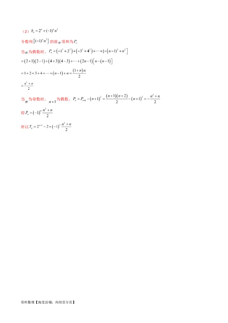
专题 05 数列求和(倒序相加法、分组求和法)(典型题型归类训练) 目录 一、必备秘籍...........................................................................................................1 二、典型题型...........................................................................................................1 题型一:倒序相加法..........................................................................................1 题型二:通项为 型求和......................................................................4 题型三:通项为 型求和...........................................................7 三、专题05 数列求和(倒序相加法、分组求和法)专项训练..........................12 一、必备秘籍 1、倒序相加法,即如果一个数列的前 项中,距首末两项“等距离”的两项之 和都相等,则可使用倒序相加法求数列的前 项和. 2、分组求和法 2.1 如果一个数列可写成 的形式,而数列 , 是等差数列或等比 数列或可转化为能够求和的数列,那么可用分组求和法. 2.2 如果一个数列可写成 的形式,在求和时可以使用分组求和 法. 资料整理【淘宝店铺:向阳百分百】二、典型题型 题型一:倒序相加法 例题1.(2023·全国·高三专题练习)已知函数 . (1)求证:函数 的图象关于点 对称; (2)求 的值. 【答案】(1)证明见解析 (2) 【详解】(1)因为 ,所以 , 所以 ,即函数 的图象关于点 对称. (2)由(1)知与首尾两端等距离的两项的和相等,使用倒序相加求和. 因为 , 所以 (倒序), 又由(1)得 , 所以 ,所以 . 例题2.(2023秋·江苏·高二专题练习)设函数 ,设 , . (1)计算 的值. (2)求数列 的通项公式. 【答案】(1)2 (2) 【详解】(1) ; 资料整理【淘宝店铺:向阳百分百】(2)由题知,当 时, , 又 ,两式相加得 , 所以 , 又 不符合 , 所以 . 例题3.(2023·全国·高二专题练习)设 是函数 的图象上任意两点, 且 ,已知点 的横坐标为 . (1)求证: 点的纵坐标为定值; (2)若 且 求 ; 【答案】(1)证明见解析; (2) . 【详解】(1)证明:设 ,因为 ,故可得 , 由 知 ,故 , 故 . 故 点的纵坐标为定值 . (2)由(1)知 , 两式相加得: , 资料整理【淘宝店铺:向阳百分百】故 . 例题4.(2023秋·山东青岛·高二山东省青岛第五十八中学校考期末)已知函数 满足 ,若数列 满足: . (1)求数列 的通项公式; 【答案】(1) , ; 【详解】(1)因为 , 由 ①, 则 ②, 所以 可得: , 故 , . 例题5.(2023·全国·高二专题练习)已知 为等比数列,且 ,若 ,求 的值. 【答案】2021 【详解】因为 为等比数列, ,所以 , 因为 ,所以 , 同理可得 , 所以 题型二:通项为 型求和 例题1.(2023·贵州六盘水·统考模拟预测)已知等差数列 的前n项和为 ,等比数列 的各项均为 正数,且满足 , , . 资料整理【淘宝店铺:向阳百分百】(1)求数列 与 的通项公式; (2)记 ,求数列 的前n项和 . 【答案】(1) , (2) 【详解】(1)记等差数列 的公差为d,等比数列 的公比为q, 则由题可得, , 解得 , 又等比数列 的各项均为正数,所以 ,所以 , 所以 , . (2)由(1)可得, , 所以 例题2.(2023春·黑龙江齐齐哈尔·高二齐齐哈尔市恒昌中学校校考阶段练习)已知各项均为正数的等差 数列 的首项 , , , 成等比数列; (1)求数列 的通项公式; (2)若 ,求数列 的前 项和 . 【答案】(1) ; (2) 【详解】(1)解:设等差数列 的公差为 , 又因为 , , 成等比数列, 所以 ,即 , 整理得: , 资料整理【淘宝店铺:向阳百分百】又因为 , 解得 或 (舍) 则有 , 所以数列 的通项公式为 ; (2)解:因为 , 所以 , 所以 . 所以 . 例题3.(2023春·吉林长春·高二长春外国语学校校考期中)已知等比数列 中, , (1)求数列 的通项公式; (2)若 ,求数列 的前 项和 . 【答案】(1) (2) 【详解】(1)设公比是 ,则 , ,因此 , 所以 ; (2)由(1) , . 例题4.(2023秋·江苏无锡·高二江苏省南菁高级中学校考阶段练习)已知等差数列 , 为其前n项 和, , . (1)求数列 的通项公式; (2)若 ,求数列 的前n项和. 【答案】(1) 资料整理【淘宝店铺:向阳百分百】(2) 【详解】(1)设等差数列 的公差为 , 则 ,解得 , 所以 . (2) , 数列 是首项为 ,公比为 的等比数列, 所以数列 的前n项和为 . 例题5.(2023秋·山东济南·高三统考开学考试)等差数列 满足 , ,正项等比数列 满足 , 是 和 的等比中项. (1)求 和 的通项公式; (2)记 ,求数列 的前 项和 . 【答案】(1) , ; (2) 【详解】(1)设等差数列 的公差为 ,等比数列 的公比为 , 由题意可得: , 解得, , 所以, ; 又 且 , , 所以 , 所以 . (2)因为 , 所以 资料整理【淘宝店铺:向阳百分百】. 题型三:通项为 型求和 例题1.(2023·海南·统考模拟预测)在① 成等比数列,且 ;② ,数 列 是公差为1的等差数列这两个条件中任选一个,补充在下面问题中并解答. 问题:已知各项均是正数的数列 的前 项和为 ,且__________. (1)求数列 的通项公式; (2)设 ,求数列 的前 项和 . 注:如果选择多个条件分别解答,按第一个解答计分. 【答案】(1) (2) 【详解】(1)若选择条件①: 根据题意,由 ,得 当 时, . 两式相减得, , 化简得 或 (舍), 所以当 时,数列 是公差为2的等差数列, 则 . 又由 ,得 ,解得 , 所以 . 当 时, ,解得 ,满足上式, 故 若选择条件②: 由题设知 , 则当 时, . 资料整理【淘宝店铺:向阳百分百】, 由 ,得 , 解得 , 故当 时, , 当 时, 也满足上式, 故 . (2) , 当 为偶数时, , 当 为奇数时, , 故 例题2.(2023秋·浙江·高三浙江省春晖中学校联考阶段练习)设数列 的前 项和为 ,已知 . (1)求 的通项公式; (2)设 ,求数列 的前 的项和 . 【答案】(1) (2) 【详解】(1)由 ,得 ,两式相减得 . 令 数列 是以1为首项,3为公比的等比数列, (2)由题意可得 , , ①, 则 ②, 资料整理【淘宝店铺:向阳百分百】① ②得: , ∴ , 例题3.(2023·全国·高三专题练习)已知数列 满足 求数列 的前n项和 . 【答案】 【详解】当n为奇数时, . 当n为偶数时, . 综上所述, 例题4.(2023·河南郑州·模拟预测)已知数列 满足: , . (1)求数列 的通项公式; (2)令 ,求数列 的前n项和 . 【答案】(1) (2) 且 资料整理【淘宝店铺:向阳百分百】【详解】(1) , 当 时 ,检验知:当 时上式也成立, 故 . (2) . 当 为偶数时, ; 当 为奇数时, 且 , 又 时 满足上式,此时 ; 且 . 例题5.(2023·全国·高三专题练习)已知正项数列 的前n项和 ,且 ,数列 为单调递增的等比数列, . (1)求数列 的通项公式; (2)设 ,求 . 【答案】(1) , (2) 【详解】(1)由 可知, 则 化简可得: ,即 , 资料整理【淘宝店铺:向阳百分百】数列 是以2为公差的等差数列, , 由 可知 , , 又由 为递增的等比数列,且 ,即 , 解得 , . (2)依题意可知 , 因此 , 当 为偶数时,原式 , 当 为奇数时,原式 , 综上, . 三、专题05 数列求和(倒序相加法、分组求和法)专项训练 一、单选题 1.(2023秋·山东潍坊·高三山东省安丘市第一中学校考阶段练习)已知函数 ,数列 为 等比数列, ,且 ,利用课本中推导等差数列前 项和的公式的方法,则 ( ) A. B.2017 C.4034 D.8068 【答案】C 资料整理【淘宝店铺:向阳百分百】【详解】用倒序相加法:令 ① 则也有 ② 由 , ,即有 , 可得: , 于是由①②两式相加得 ,所以 . 故选:C 2.(2023秋·江苏·高二专题练习)已知正数数列 是公比不等于1的等比数列,且 ,试用推导 等差数列前 项和的方法探求:若 ,则 ( ) A.2022 B.4044 C.2023 D.4046 【答案】D 【详解】因为正数数列 是公比不等于1的等比数列,且 , 所以 , 又∵函数 , ∴ , 令 ,则 , ∴ , ∴ . 故选:D. 二、填空题 3.(2023·全国·高三专题练习)已知正数数列 是公比不等于1的等比数列,且 ,试用推导等 差数列前n项和的方法探求:若 ,则 . 【答案】4038 【详解】正数数列 是公比不等于1的等比数列, ,则 , 由 ,当 时, , 于是 ,令 , 资料整理【淘宝店铺:向阳百分百】则 因此 , 所以 . 故答案为:4038 4.(2023·全国·高三专题练习)德国大数学家高斯年少成名,被誉为数学界的王子.在其年幼时,对 的求和运算中,提出了倒序相加法的原理,该原理基于所给数据前后对应项的和呈现一定 的规律生成.因此,此方法也称为高斯算法.现有函数 ,则 的值为 . 【答案】1009 【详解】由函数 ,得 , 令 , 则 , 两式相加得 ,解得 , 所以所求值为1009. 故答案为:1009 三、解答题 5.(2023春·江西萍乡·高二统考期末)已知函数 关于点 对称,其中 为实数. (1)求实数 的值; (2)若数列 的通项满足 ,其前 项和为 ,求 . 【答案】(1) (2) 【详解】(1)由题知 ,即 , 整理得 ,解得 ; (2)由题知, ,且 , 资料整理【淘宝店铺:向阳百分百】则 , 又 , 故 , 即 . 6.(2023秋·广东广州·高三广州市真光中学校考阶段练习)已知数列 为非零数列,且满足 (1)求数列 的通项公式; (2)求数列 的前 项和 . 【答案】(1) (2) 【详解】(1)当 时, ,解得 , 当 时,由 , 得 , 两式相除得: ,即 ,当 时, 也满足, 所以 . (2)由(1)可知, ,所以 , 所以 资料整理【淘宝店铺:向阳百分百】, . 7.(2023春·云南曲靖·高三校联考阶段练习)已知等差数列 ,其前 项和为 .满足 ,且6是 和 的等比中项. (1)求 的通项公式; (2)设 的前 项和为 ,求 . 【答案】(1) (2) 【详解】(1)设等差数列 的公差为 , 由题意可得 ,可得 , 又因为6是 和 的等比中项,则 ,可得 , 则 ,解得 , 所以 的通项公式为 . (2)由(1)可得: , 则 , 所以 . 8.(2023·河南·校联考模拟预测)已知数列 的前 项和为 ,且满足 . (1)求数列 的通项公式; (2)定义 ,记 ,求数列 的前20项和 . 【答案】(1) , (2) 【详解】(1)因为 ,当 时, ,解得 ; 资料整理【淘宝店铺:向阳百分百】当 时, ,所以 ,即 , 所以 ,即 是以1为首项,2为公比的等比数列, 所以 , ,则 . (2)因为 ,即数列 为递增数列, ,即数列 单调递减. , , 所以当 时, ,当 时, , 所以 所以 . 9.(2023秋·四川成都·高三成都市锦江区嘉祥外国语高级中学校考开学考试)各项都为正数的数列 的 前n项和为 ,已知 . (1)求数列 的通项公式; (2)若数列 满足 , ,数列 满足 ,数列 的前n项和为 ,当n为 偶数时,求 . 【答案】(1) (2) 【详解】(1)当 时, ,即 ,解得 或 (负值舍去), 当 时, , , 两式相减得: ,因为 , 所以 ,所以数列 是以2为首项,1为公差的等差数列. 所以 . 资料整理【淘宝店铺:向阳百分百】(2)因为 , , 所以数列 是以2为首项,2为公比的等差数列,所以 , 当n为偶数时, . 10.(2023秋·江西宜春·高三校考开学考试)已知在正项数列 中, ,当 时, . (1)求数列 的通项公式; (2)已知数列 满足 , 为数列 的前 项和,证明: . 【答案】(1) (2)证明见解析 【详解】(1)解:由 , 得 , 的各项都为正数, , 故 是首项为 ,公比为 的等比数列, . (2)证明:由 , , 资料整理【淘宝店铺:向阳百分百】, 因为 ,所以 , 所以 , 所以 . 11.(2023春·浙江·高三校联考阶段练习)已知等比数列 的前n项和为 ,且满足 ,数列 满足: , . (1)求数列 , 的通项公式; (2)设数列 的通项 ,求数列 的前n项和 . 【答案】(1) (2) 【详解】(1)设数列 的公比为q, 因为 ,即 ,得 ,解得 或 , 当 时, ,不合题意,舍去,所以 , 由 ,解得 ,所以 , 对于 ,因为 ①, 当 时, ,则 , 当 时, ②, 由①-②得 ,即 , 资料整理【淘宝店铺:向阳百分百】又 ,也适合上式,故 , , 采用累乘法求通项得 , 所以 . (2)由(1)可得: ,则 , 则数列 的前n项和 , ①当 为偶数, 时, 采用分组求和: , , 所以 ; ②当 为奇数, 且 时, 为偶数,由(1)中结论得 , 此时 , 当 时, ,也适合上式, 所以 . 综上所述, . 12.(2023·全国·高二专题练习)已知数列 中 ,且点 在函数 的图像上. (1)求数列 的通项公式; (2)若数列 满足 ,求数列 的前 项和 . 【答案】(1) (2)答案见解析 资料整理【淘宝店铺:向阳百分百】【详解】(1)解:由已知得: ,即 , 根据等差数列的定义知数列 是首项为1,公差为1的等差数列, 所以 . (2)由已知得: , ① 为偶数时, ; ② 为奇数时, , 所以 . 13.(2023春·安徽阜阳·高二安徽省颍上第一中学校考阶段练习)已知数列 的各项均为正数,前 项 和为 , . (1)求数列 的通项公式; (2)设 ,求数列 的前 项和 . 【答案】(1) (2) 【详解】(1)由 得 时, 两式相减得 ,整理得 因为 ,所以 ,所以数列 是以 为公差的等差数列 在 中令 解得 所以 资料整理【淘宝店铺:向阳百分百】(2) 令数列 的前 项和为 当 为偶数时, 当 为奇数时, 为偶数, 即 所以 资料整理【淘宝店铺:向阳百分百】