当前位置:首页>文档>第30讲数列求和(精讲)一轮复习讲义2024年高考数学高频考点题型归纳与方法总结(新高考通用)原卷版_02高考数学_新高考复习资料_2024年新高考资料_一轮复习资料

第30讲数列求和(精讲)一轮复习讲义2024年高考数学高频考点题型归纳与方法总结(新高考通用)原卷版_02高考数学_新高考复习资料_2024年新高考资料_一轮复习资料

  • 2026-04-18 15:01:09 2026-04-18 14:26:26

文档预览

第30讲数列求和(精讲)一轮复习讲义2024年高考数学高频考点题型归纳与方法总结(新高考通用)原卷版_02高考数学_新高考复习资料_2024年新高考资料_一轮复习资料
第30讲数列求和(精讲)一轮复习讲义2024年高考数学高频考点题型归纳与方法总结(新高考通用)原卷版_02高考数学_新高考复习资料_2024年新高考资料_一轮复习资料
第30讲数列求和(精讲)一轮复习讲义2024年高考数学高频考点题型归纳与方法总结(新高考通用)原卷版_02高考数学_新高考复习资料_2024年新高考资料_一轮复习资料
第30讲数列求和(精讲)一轮复习讲义2024年高考数学高频考点题型归纳与方法总结(新高考通用)原卷版_02高考数学_新高考复习资料_2024年新高考资料_一轮复习资料
第30讲数列求和(精讲)一轮复习讲义2024年高考数学高频考点题型归纳与方法总结(新高考通用)原卷版_02高考数学_新高考复习资料_2024年新高考资料_一轮复习资料
第30讲数列求和(精讲)一轮复习讲义2024年高考数学高频考点题型归纳与方法总结(新高考通用)原卷版_02高考数学_新高考复习资料_2024年新高考资料_一轮复习资料
第30讲数列求和(精讲)一轮复习讲义2024年高考数学高频考点题型归纳与方法总结(新高考通用)原卷版_02高考数学_新高考复习资料_2024年新高考资料_一轮复习资料
第30讲数列求和(精讲)一轮复习讲义2024年高考数学高频考点题型归纳与方法总结(新高考通用)原卷版_02高考数学_新高考复习资料_2024年新高考资料_一轮复习资料
第30讲数列求和(精讲)一轮复习讲义2024年高考数学高频考点题型归纳与方法总结(新高考通用)原卷版_02高考数学_新高考复习资料_2024年新高考资料_一轮复习资料
第30讲数列求和(精讲)一轮复习讲义2024年高考数学高频考点题型归纳与方法总结(新高考通用)原卷版_02高考数学_新高考复习资料_2024年新高考资料_一轮复习资料
第30讲数列求和(精讲)一轮复习讲义2024年高考数学高频考点题型归纳与方法总结(新高考通用)原卷版_02高考数学_新高考复习资料_2024年新高考资料_一轮复习资料
第30讲数列求和(精讲)一轮复习讲义2024年高考数学高频考点题型归纳与方法总结(新高考通用)原卷版_02高考数学_新高考复习资料_2024年新高考资料_一轮复习资料
第30讲数列求和(精讲)一轮复习讲义2024年高考数学高频考点题型归纳与方法总结(新高考通用)原卷版_02高考数学_新高考复习资料_2024年新高考资料_一轮复习资料
第30讲数列求和(精讲)一轮复习讲义2024年高考数学高频考点题型归纳与方法总结(新高考通用)原卷版_02高考数学_新高考复习资料_2024年新高考资料_一轮复习资料
第30讲数列求和(精讲)一轮复习讲义2024年高考数学高频考点题型归纳与方法总结(新高考通用)原卷版_02高考数学_新高考复习资料_2024年新高考资料_一轮复习资料
第30讲数列求和(精讲)一轮复习讲义2024年高考数学高频考点题型归纳与方法总结(新高考通用)原卷版_02高考数学_新高考复习资料_2024年新高考资料_一轮复习资料
第30讲数列求和(精讲)一轮复习讲义2024年高考数学高频考点题型归纳与方法总结(新高考通用)原卷版_02高考数学_新高考复习资料_2024年新高考资料_一轮复习资料
第30讲数列求和(精讲)一轮复习讲义2024年高考数学高频考点题型归纳与方法总结(新高考通用)原卷版_02高考数学_新高考复习资料_2024年新高考资料_一轮复习资料
第30讲数列求和(精讲)一轮复习讲义2024年高考数学高频考点题型归纳与方法总结(新高考通用)原卷版_02高考数学_新高考复习资料_2024年新高考资料_一轮复习资料
第30讲数列求和(精讲)一轮复习讲义2024年高考数学高频考点题型归纳与方法总结(新高考通用)原卷版_02高考数学_新高考复习资料_2024年新高考资料_一轮复习资料
第30讲数列求和(精讲)一轮复习讲义2024年高考数学高频考点题型归纳与方法总结(新高考通用)原卷版_02高考数学_新高考复习资料_2024年新高考资料_一轮复习资料
第30讲数列求和(精讲)一轮复习讲义2024年高考数学高频考点题型归纳与方法总结(新高考通用)原卷版_02高考数学_新高考复习资料_2024年新高考资料_一轮复习资料
第30讲数列求和(精讲)一轮复习讲义2024年高考数学高频考点题型归纳与方法总结(新高考通用)原卷版_02高考数学_新高考复习资料_2024年新高考资料_一轮复习资料
第30讲数列求和(精讲)一轮复习讲义2024年高考数学高频考点题型归纳与方法总结(新高考通用)原卷版_02高考数学_新高考复习资料_2024年新高考资料_一轮复习资料
第30讲数列求和(精讲)一轮复习讲义2024年高考数学高频考点题型归纳与方法总结(新高考通用)原卷版_02高考数学_新高考复习资料_2024年新高考资料_一轮复习资料
第30讲数列求和(精讲)一轮复习讲义2024年高考数学高频考点题型归纳与方法总结(新高考通用)原卷版_02高考数学_新高考复习资料_2024年新高考资料_一轮复习资料
第30讲数列求和(精讲)一轮复习讲义2024年高考数学高频考点题型归纳与方法总结(新高考通用)原卷版_02高考数学_新高考复习资料_2024年新高考资料_一轮复习资料
第30讲数列求和(精讲)一轮复习讲义2024年高考数学高频考点题型归纳与方法总结(新高考通用)原卷版_02高考数学_新高考复习资料_2024年新高考资料_一轮复习资料
第30讲数列求和(精讲)一轮复习讲义2024年高考数学高频考点题型归纳与方法总结(新高考通用)原卷版_02高考数学_新高考复习资料_2024年新高考资料_一轮复习资料
第30讲数列求和(精讲)一轮复习讲义2024年高考数学高频考点题型归纳与方法总结(新高考通用)原卷版_02高考数学_新高考复习资料_2024年新高考资料_一轮复习资料

文档信息

文档格式
docx
文档大小
1.270 MB
文档页数
26 页
上传时间
2026-04-18 14:26:26

文档内容

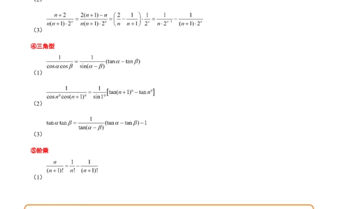
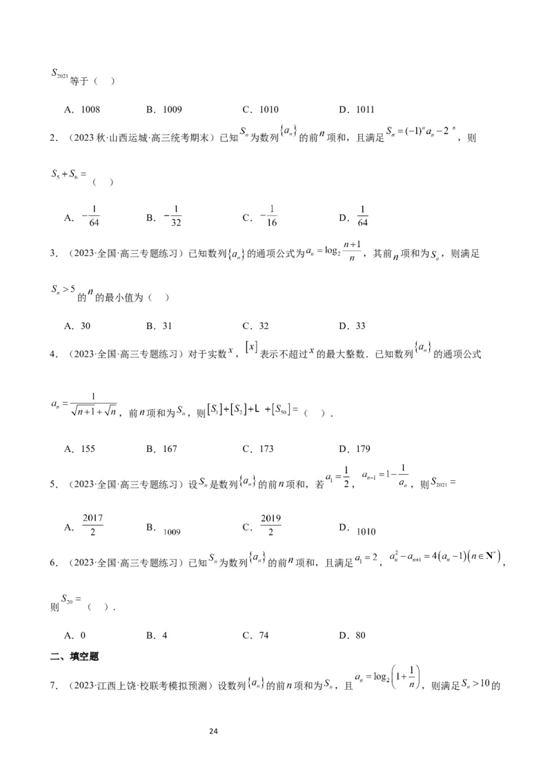
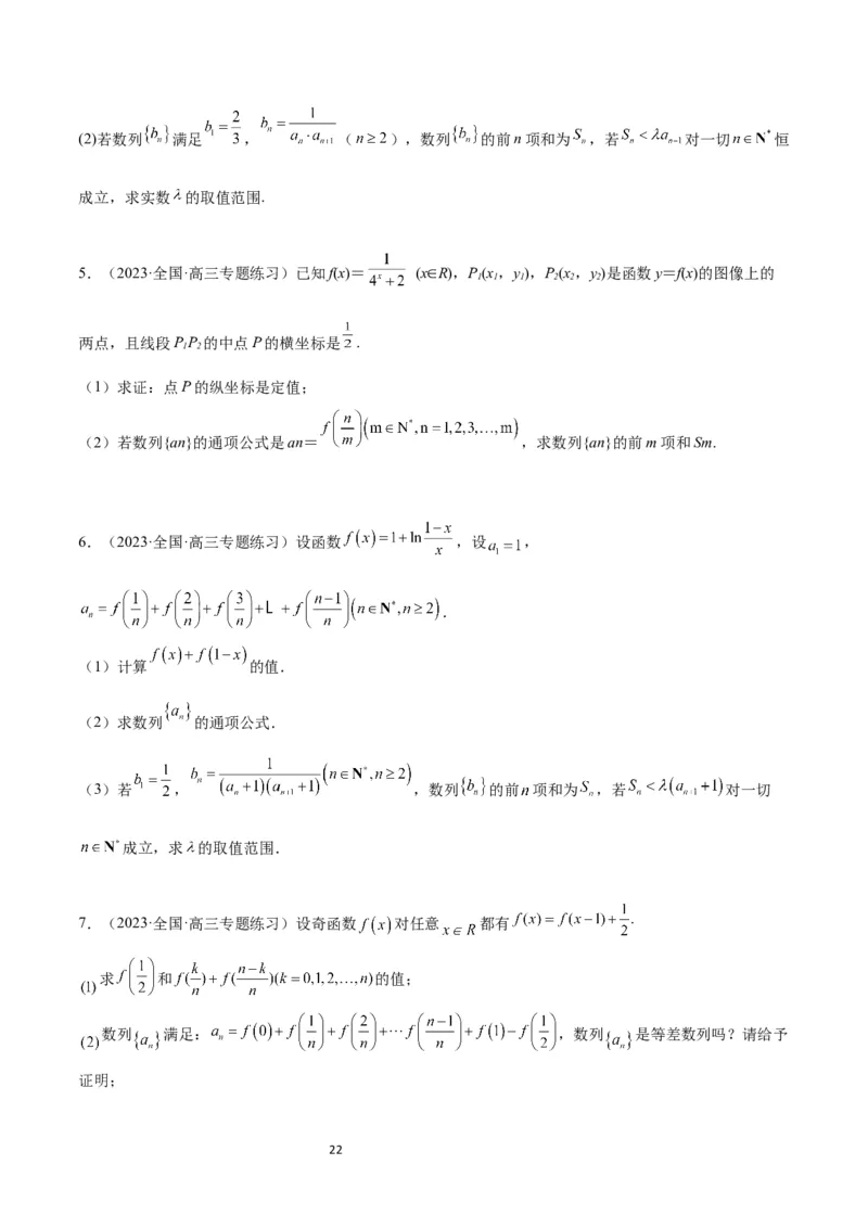
【一轮复习讲义】2024年高考数学高频考点题型归纳与方法总结(新高考通用) 第 30 讲 数列求和(精讲) 题型目录一览 ①裂项相消法 ②错位相减法 ③分组(并项)求和法 ④倒序相加法 ⑤数列求和的其他方法 一、知识点梳理 一、公式法 (1)等差数列 的前n项和 (2)等比数列 的前n项和 (3)一些常见的数列的前n项和: ① ; ② ; ③ ; ④ 二、几种数列求和的常用方法 (1)分组求和法:一个数列的通项公式是由若干个等差或等比或可求和的数列组成的,则求和时可用分 1组求和法,分别求和后相加减. (2)并项求和法:一个数列的前n项和中,可两两结合求解,则称之为并项求和. (3)裂项相消法:把数列的通项拆成两项之差,在求和时中间的一些项可以相互抵消,从而求得前n项 和. (4)错位相减法:如果一个数列的各项是由一个等差数列和一个等比数列的对应项之积构成的,那么求 这个数列的前 项和即可用错位相减法求解. (5)倒序相加法:如果一个数列 与首末两端等“距离”的两项的和相等或等于同一个常数,那么求 这个数列的前 项和即可用倒序相加法求解. 【常用结论】 裂项技巧 ①等差型 (1) (2) (3) (4) (5) (6) ②根式型 (1) (2) 2(3) ③指数型 (1) (2) (3) ④三角型 (1) (2) (3) ⑤阶乘 (1) 二、题型分类精讲 题型 一 裂项相消法 策略方法 (1)基本步骤 3(2)裂项原则 一般是前边裂几项,后边就裂几项,直到发现被消去项的规律为止. (3)消项规律 消项后前边剩几项,后边就剩几项,前边剩第几项,后边就剩倒数第几项. 【典例1】正项的等差数列 的前项和为 , ,且 , , 成等比数列. (1)求数列 的通项公式; (2)令 ,数列 的前项和为 ,求证 . 【典例2】已知数列 的各项均为正数,其前 项和 满足 , . (1)证明:数列 是等比数列; (2)若 ,求数列 的前 项和 . 【题型训练】 一、单选题 1.(2023·贵州·校联考模拟预测)已知等差数列 的前n项和为 , , ,则 ( ) A. B. C. D. 42.(2023·海南·校联考模拟预测)设数列 的通项公式为 ,数列 的前 项和为 ,那 么 等于( ) A. B. C. D. 3.(2023·全国·高三专题练习)古希腊毕达哥拉斯学派认为数是万物的本源,因此极为重视数的理论研究, 他们常把数描绘成沙滩上的沙粒或小石子,并将它们排列成各种形状进行研究.形数就是指平面上各种规则 点阵所对应的点数,是毕哥拉斯学派最早研究的重要内容之一.如图是三角形数和四边形数的前四个数,若 三角形数组成数列 ,四边形数组成数列 ,记 ,则数列 的前10项和为( ) A. B. C. D. 4.(2023·江西南昌·统考三模)已知 ,将数列 与数列 的公共项从小到大排列得到新 数列 ,则 ( ) A. B. C. D. 5.(2023·全国·高三专题练习)数列 的前n项和为 ,对一切正整数n,点 在函数 的图象上, ( 且 ),则数列 的前n项和为 ( ) A. B. C. D. 56.(2023·广东广州·统考一模)若数列 满足 ,则 的前2022项和为( ) A. B. C. D. 二、填空题 7.(2023春·四川内江·高三威远中学校校考阶段练习)数列 满足 ,其前 项和为 若 恒成立,则 的最小值为 . 8.(2023·全国·高三专题练习)数列 的各项均为正数, 为其前 项和,对于任意的 ,总有 , , 成等差数列,又记 ,数列 的前 项和 . 9.(2023·全国·高三专题练习)在数列 中, ,则 的前n项和 . 10.(2023·全国·高三专题练习)数列 中, 且 ,则 . 三、解答题 11.(2023春·河南·高三校联考阶段练习)已知数列 的前 项和为 ,满足 . (1)求数列 的通项公式; (2)设 ,数列 的前 项和为 ,证明: . 12.(2023·河北张家口·统考三模)已知数列 满足 . (1)求数列 的通项公式; (2)记数列 的前 项和为 ,证明: . 613.(2023·福建福州·福建省福州第一中学校考模拟预测)已知数列 的前 项和为 , 且 . (1)求证:数列 是等差数列; (2)求数列 的前 项和 . 14.(2023·全国·高三专题练习)已知等差数列 ,首项 ,其前 项和为 ,点 在斜率为 1的直线上. (1)求数列 的通项公式; (2)若 为数列 的前 项和,求证: . 15.(2023·江苏扬州·江苏省高邮中学校考模拟预测)已知数列 的首项 ,且满足 . (1)求证:数列 是等差数列; (2)若数列 满足 ,求数列 的前 项和 . 16.(2023·全国·高三专题练习)已知数列 满足 . (1)证明 为等差数列,并 的通项公式; 7(2)设 ,求数列 的前 项和 . 17.(2023·全国·模拟预测)记 为数列 的前 项和, . (1)求 的通项公式; (2)若 ,求数列 的前 项和 . 18.(2023·海南海口·校考模拟预测)已知等差数列 ,其前 项和 满足 为常数. (1)求 及 的通项公式; (2)记数列 ,求 前 项和的 . 19.(2023·江苏南京·南京师大附中校考模拟预测)设 为数列 的前 项和,已知 ,且满足 . (1)求数列 的通项公式; (2)设 为数列 的前 项和,当 时, .若对于任意 ,有 ,求 的取值 范围. 20.(2023·全国·高三专题练习)已知数列 满足 , . (1)证明: . 8(2)设 为数列 的前n项和,证明: . 21.(2023·云南昭通·校联考模拟预测)已知各项均为正数的数列 的首项 ,其前 项和为 ,从 ① ;② , ;③ 中任选一个条件作为已 知,并解答下列问题. (1)求数列 的通项公式; (2)设 ,设数列 的前 项和 ,求证: . (注:如果选择多个条件分别解答,按第一个解答计分). 22.(2023·宁夏石嘴山·统考一模)已知 是数列 的前 项和,且 . (1)求数列 的通项公式; (2)若 ,求数列 的前 项和 . 23.(2023·四川遂宁·射洪中学校考模拟预测)已知数列 的前n项和为 ,且 . (1)求 的通项公式; (2)若 ,求数列 的前n项和 . 24.(2023·河北·统考模拟预测)已知数列 的前 项和为 ,且 . (1)证明:数列 是等差数列; 9(2)若 , , 成等比数列.从下面三个条件中选择一个,求数列 的前 项和 .(注:如果选择 多个条件分别解答,按第一个解答计分) ① ;② ;③ . 题型二 错位相减法 策略方法 错位相减法求数列 的前n项和 (1)适用条件 若 是公差为 的等差数列, 是公比为 的等比数列,求数列{an·bn}的前n 项和 . (2)基本步骤 (3)注意事项 ①在写出 与 的表达式时,应特别注意将两式“错位对齐”,以便下一步准确写出 ; ②作差后,应注意减式中所剩各项的符号要变号. 等差乘等比数列求和,令 c =(An+B)⋅qn ,可以用错位相减法. n T =(A+B)q+(2A+B)q2 +(3A+B)q3 +...+(An+B)qn ① n qT =(A+B)q2 +(2A+B)q3 +(3A+B)q4 +...+(An+B)qn+1 ② n 得: . 10An B A B A T =( + − )qn+1 −( − )q 整理得: n q−1 q−1 (q−1) 2 q−1 (q−1) 2 . 【典例1】在数列 中, . (1)求 的通项公式; (2)若 ,求数列 的前 项和 . 【题型训练】 一、单选题 1.(2023·全国·高三专题练习) ( ) A. B. C. D. 2.(2023·全国·高三专题练习)已知数列 是首项为 ,公比为 的等比数列,数列 满足 ,则数列 的前 项和为( ) A. B. C. D. 3.(2023·全国·高三专题练习)已知数列 的通项公式为: , ,则数列 的前100 项之和为( ) A. B. C. D. 二、填空题 4.(2023·宜宾市叙州区第一中学校校考模拟预测)已知等比数列{a}的前n项和S 满足S﹣2S ﹣2=0 n n n n﹣1 (n≥2),则数列{na}的前n项和T= . n n 5.(2023·全国·高三专题练习)数列 满足 , , , ,则数列 的前 11n项和为 . 6.(2023·陕西西安·校联考模拟预测)已知数列 和数列 , , .设 ,则数 列 的前 项和 . 三、解答题 7.(2023·西藏日喀则·统考一模)已知数列 的前 项和为 ,且 . (1)求 ,并求数列 的通项公式; (2)若 ,求数列 的前 项和 . 8.(2023春·河南·高三阶段练习)在等比数列 中, ,且 是 和 的等差中项. (1)求 的通项公式; (2)若 ,求数列 的前 项和 . 9.(2023·全国·高三专题练习)已知数列 的前 项和为 ,且满足 ,数列 的前 项积 . (1)求数列 和 的通项公式; (2)求数列 的前n项和. 10.(2023·山东菏泽·山东省鄄城县第一中学校考三模)已知数列 的前 项和为 ,且满足 12,数列 是首项为1,公差为2的等差数列. (1)分别求出数列 的通项公式; (2)设数列 ,求出数列 的前 项和 . 11.(2023·江西赣州·统考模拟预测)设数列 的前 项和为 ,且 , , , . (1)证明:数列 为等比数列; (2)设 ,求数列 的前n项和 . 12.(2023·浙江嘉兴·校考模拟预测)数列 满足 , , (1)若数列 是等比数列,求 及 的通项公式; (2)若数列 满足: ,数列 的前 项和为 ,求证: . 13.(2023·黑龙江牡丹江·牡丹江一中校考三模) 已知数列 是正项等比数列,且 . (1)求 的通项公式; (2)若 ,求数列 的前 项和 . 1314.(2023秋·广东河源·高三校联考开学考试)正项等比数列 的前 项和为 , ,且 , , 成等差数列, . (1)求 的通项公式; (2)若 ,求 的前 项和 . 15.(2023春·山东临沂·高三校考阶段练习)已知数列 的首项为1,前 项和为 ,且满足 . (1)求 的通项公式; (2)求数列 的前 项和 . 16.(2023·陕西咸阳·武功县普集高级中学校考模拟预测)已知 是数列 的前 项和, , . (1)求数列 的通项公式; (2)已知 ,求数列 的前 项和 . 17.(2023·全国·高三专题练习)已知数列 的前 项和为 , , , . (1)求数列 的通项公式; (2)设 , 的前 项和为 ,若对任意的正整数 ,不等式 恒成立,求实数 的取 14值范围. 18.(2023·全国·高三专题练习)已知数列 的前n项和为 , ,且 . (1)求数列 的通项; (2)设数列 满足 ,记 的前n项和为 ,若 对任意 恒成立, 求实数 的取值范围. 19.(2023·湖北武汉·华中师大一附中校考模拟预测)数列 的各项均为正数,前 项和为 ,且满足 . (1)求数列 的通项公式. (2)设数列 满足条件① ;② ,请从条件①②中选一个,求出数列 的前 项和 . 注:如果选择多个条件分别解答,按第一个解答计分. 题型三 分组(并项)求和法 策略方法 分组转化法求和的常见类型 【典例1】已知数列 的前 项和 ,且 ; (1)求它的通项 15(2)若 ,求数 的前 项和 . 【典例2】在等差数列 中, , . (1)求 ; (2)若 ,数列 的前 项和为 ,求 . 【题型训练】 一、解答题 1.(2023·四川南充·统考三模)已知数列 的前 项和为 . (1)求 的通项公式; (2)设数列 满足: ,记 的前 项和为 ,求 . 2.(2023·新疆阿勒泰·统考三模)若数列 的首项为1,且 . (1)求证: 是等比数列; (2)求 的前n项和 . 3.(2023·安徽安庆·安庆一中校考三模)设数列 的前 项和 满足 ,且 , , 成等比数列. (1)求数列 的通项公式; (2)设 是首项为1,公差为2的等差数列,求数列 的通项公式与前 项和 . 164.(2023·江西·校联考模拟预测)已知数列 满足 , . (1)令 ,证明:数列 为等比数列; (2)求数列 的前 项和 . 5.(2023秋·重庆渝中·高三重庆巴蜀中学校考阶段练习)已知数列 满足 , (1)记 ,求证: 为等比数列; (2)若 ,求 . 6.(2023·四川遂宁·射洪中学校考模拟预测)已知正项数列 的前n项和 其中A,B,q为 常数. (1)若 ,求证:数列 是等比数列; (2)在(1)的条件下,若 ,求数列 的前10项和 . 7.(2023·全国·高三专题练习)已知首项为3的数列 的前n项和为 ,且 . (1)求证:数列 为等比数列; (2)求数列 的前n项和 . 8.(2023·广东东莞·校考三模)已知数列 和 , , , . 17(1)求证数列 是等比数列; (2)求数列 的前 项和 . 9.(2023·全国·高三专题练习)已知数列 满足 . (1)证明 为等差数列,并 的通项公式; (2)设 ,求数列 的前 项和 . 10.(2023·全国·高三专题练习)已知数列 的前 项和为 ,且 , 是公差为2的等差数列. (1)求 的通项公式; (2)求 . 11.(2023·江苏镇江·江苏省镇江第一中学校考模拟预测)已知数列 的前 项和 ,其中 ,且 . (1)求 的通项公式; (2)设 ,求数列 的前2023项和 . 12.(2023·云南曲靖·校考三模)已知数列 满足 .记 . 18(1)证明:数列 为等差数列; (2)设数列 的前 项和为 ,求数列 的前20项的和. 13.(2023·山东·山东师范大学附中校考模拟预测)已知 是各项均为正数的数列, 为 的前n 项和,且 , , 成等差数列. (1)求 的通项公式; (2)已知 ,求数列 的前n项和 . 14.(2023·河南开封·校考模拟预测)已知数列 的前 项和 满足 ,且 . (1)求 的通项公式; (2)若 ,求数列 的前 项和 . 15.(2023·河南·襄城高中校联考三模)在等比数列 中, ,且 , , 成等差数列. (1)求 的通项公式; (2)设 ,数列 的前n项和为 ,求满足 的k的值. 16.(2023·全国·高三专题练习)已知 是等差数列, , ,且 , , 成等比数列. (1)求数列 的通项公式; (2)令 ,记 ,求 . 1917.(2023·四川成都·成都外国语学校校考模拟预测)设数列 的前 项和为 , ,点 在直线 上. (1)求 及 ; (2)记 ,求数列 的前20项和 . 18.(2023秋·广东深圳·高三校联考开学考试)已知数列 为正项等差数列,数列 为递增的正项等 比数列, , . (1)求数列 , 的通项公式; (2)数列 满足 ,求数列 的前2n项的和. 题型四 倒序相加法 策略方法 将一个数列倒过来排列,当它与原数列相加时,若有规律可循,并且容易求和,则这样的数 列求和时可用倒序相加法(等差数列前 项和公式的推导即用此方法). 【典例1】设 是函数 的图象上任意两点,且 ,已 知点 的横坐标为 . (1)求证: 点的纵坐标为定值; (2)若 且 求 ; 【题型训练】 一、解答题 201.(2023·全国·高三专题练习)已知数列 的前 项和 ,函数 对一切实数 总 有 ,数列 满足 分别求数列 、 的通 项公式. 2.(2023·全国·高三专题练习)已知函数 ,数列 的前 项和为 ,点 均在函数 的图象上. (1)求数列 的通项公式; (2)若函数 ,令 ,求数列 的前2020项和 . 3.(2023·全国·高三专题练习)设函数 ,设 , . (1)计算 的值. (2)求数列 的通项公式. 4.(2023·河北·模拟预测)已知函数 满足 ,若数列 满足: . (1)求数列 的通项公式; 21(2)若数列 满足 , ( ),数列 的前n项和为 ,若 对一切 恒 成立,求实数 的取值范围. 5.(2023·全国·高三专题练习)已知f(x)= (x∈R),P(x,y),P(x,y)是函数y=f(x)的图像上的 1 1 1 2 2 2 两点,且线段PP 的中点P的横坐标是 . 1 2 (1)求证:点P的纵坐标是定值; (2)若数列{an}的通项公式是an= ,求数列{an}的前m项和Sm. 6.(2023·全国·高三专题练习)设函数 ,设 , . (1)计算 的值. (2)求数列 的通项公式. (3)若 , ,数列 的前 项和为 ,若 对一切 成立,求 的取值范围. 7.(2023·全国·高三专题练习)设奇函数 对任意 都有 求 和 的值; 数列 满足: ,数列 是等差数列吗?请给予 证明; 228.(2023·全国·高三专题练习)设 , 是函数 的图像上的任意两点. (1)当 时,求 的值; (2)设 ,其中 ,求 ; (3)对于(2)中的 ,已知 ,其中 ,设 为数列 的前n项的和,求证 . 9.(2023·全国·高三专题练习)设函数 ,设 , . (1)求数列 的通项公式. (2)若 , ,数列 的前 项和为 ,若 对一切 成立,求 的取值范围. 题型 五 数列求和的其他方法 【典例1】已知数列 的前n项和为 , . (1)求数列 的通项公式; (2)求数列 前n项的和 . 【题型训练】 一、单选题 1.(2023·全国·高三专题练习)已知数列 的前 项和为 , ,当 时, ,则 23等于( ) A.1008 B.1009 C.1010 D.1011 2.(2023秋·山西运城·高三统考期末)已知 为数列 的前 项和,且满足 ,则 ( ) A. B. C. D. 3.(2023·全国·高三专题练习)已知数列 的通项公式为 ,其前 项和为 ,则满足 的 的最小值为( ) A.30 B.31 C.32 D.33 4.(2023·全国·高三专题练习)对于实数 , 表示不超过 的最大整数.已知数列 的通项公式 ,前 项和为 ,则 ( ). A.155 B.167 C.173 D.179 5.(2023·全国·高三专题练习)设 是数列 的前 项和,若 , ,则 A. B. C. D. 6.(2023·全国·高三专题练习)已知 为数列 的前 项和,且满足 , , 则 ( ). A.0 B.4 C.74 D.80 二、填空题 7.(2023·江西上饶·校联考模拟预测)设数列 的前 项和为 ,且 ,则满足 的 24最小值为___________ 8.(2023·全国·高三专题练习)已知数列 满足 , 且 ,则该数列的 前9项之和为 . 三、解答题 9.(2023·全国·高三专题练习)已知等差数列 中,公差 , 是 和 的等比中项; (1)求数列 的通项公式; (2)设 ,求数列 的前 项和 . 10.(2023·全国·高三专题练习)已知数列 的前n项和为 . (1)求数列 的通项公式; (2) 求数列 的前n项和 . 11.(2023·全国·高三专题练习)已知数列 的前 项和 ,且 ,正项等比数列 满足: , . (1)求数列 和 的通项公式; (2)若 ,求数列 的前 项和 . 12.(2023·全国·模拟预测)在数列 中, , . (1)求 的通项公式; (2)求数列 的前 项和 . 2513.(2023·全国·高三专题练习)已知数列 的前n项之积为 . (1)求数列 的通项公式; (2)记 为 在区间 中的项的个数,求数列 的前50项和 . 14.(2023·全国·高三专题练习)在① ;② ;③ 是 与 的等比中项,三个条件中任 选一个,补充在下面问题中,并给出解答. 问题:已知 为公差不为零的等差数列,其前 项和为 为等比数列,其前 项和 为 常数, , (1)求数列 的通项公式; (2)令 其中 表示不超过 的最大整数,求 的值. 注:如果选择多个条件分别解答,按第一个解答计分. 26