当前位置:首页>文档>第24讲平面向量的数量积及其应用(精讲)一轮复习讲义2024年高考数学高频考点题型归纳与方法总结(新高考通用)解析版_02高考数学_新高考复习资料_2024年新高考资料_一轮复习资料

第24讲平面向量的数量积及其应用(精讲)一轮复习讲义2024年高考数学高频考点题型归纳与方法总结(新高考通用)解析版_02高考数学_新高考复习资料_2024年新高考资料_一轮复习资料

  • 2026-04-18 07:31:26 2026-04-18 07:31:26

文档预览

第24讲平面向量的数量积及其应用(精讲)一轮复习讲义2024年高考数学高频考点题型归纳与方法总结(新高考通用)解析版_02高考数学_新高考复习资料_2024年新高考资料_一轮复习资料
第24讲平面向量的数量积及其应用(精讲)一轮复习讲义2024年高考数学高频考点题型归纳与方法总结(新高考通用)解析版_02高考数学_新高考复习资料_2024年新高考资料_一轮复习资料
第24讲平面向量的数量积及其应用(精讲)一轮复习讲义2024年高考数学高频考点题型归纳与方法总结(新高考通用)解析版_02高考数学_新高考复习资料_2024年新高考资料_一轮复习资料
第24讲平面向量的数量积及其应用(精讲)一轮复习讲义2024年高考数学高频考点题型归纳与方法总结(新高考通用)解析版_02高考数学_新高考复习资料_2024年新高考资料_一轮复习资料
第24讲平面向量的数量积及其应用(精讲)一轮复习讲义2024年高考数学高频考点题型归纳与方法总结(新高考通用)解析版_02高考数学_新高考复习资料_2024年新高考资料_一轮复习资料
第24讲平面向量的数量积及其应用(精讲)一轮复习讲义2024年高考数学高频考点题型归纳与方法总结(新高考通用)解析版_02高考数学_新高考复习资料_2024年新高考资料_一轮复习资料
第24讲平面向量的数量积及其应用(精讲)一轮复习讲义2024年高考数学高频考点题型归纳与方法总结(新高考通用)解析版_02高考数学_新高考复习资料_2024年新高考资料_一轮复习资料
第24讲平面向量的数量积及其应用(精讲)一轮复习讲义2024年高考数学高频考点题型归纳与方法总结(新高考通用)解析版_02高考数学_新高考复习资料_2024年新高考资料_一轮复习资料
第24讲平面向量的数量积及其应用(精讲)一轮复习讲义2024年高考数学高频考点题型归纳与方法总结(新高考通用)解析版_02高考数学_新高考复习资料_2024年新高考资料_一轮复习资料
第24讲平面向量的数量积及其应用(精讲)一轮复习讲义2024年高考数学高频考点题型归纳与方法总结(新高考通用)解析版_02高考数学_新高考复习资料_2024年新高考资料_一轮复习资料
第24讲平面向量的数量积及其应用(精讲)一轮复习讲义2024年高考数学高频考点题型归纳与方法总结(新高考通用)解析版_02高考数学_新高考复习资料_2024年新高考资料_一轮复习资料
第24讲平面向量的数量积及其应用(精讲)一轮复习讲义2024年高考数学高频考点题型归纳与方法总结(新高考通用)解析版_02高考数学_新高考复习资料_2024年新高考资料_一轮复习资料
第24讲平面向量的数量积及其应用(精讲)一轮复习讲义2024年高考数学高频考点题型归纳与方法总结(新高考通用)解析版_02高考数学_新高考复习资料_2024年新高考资料_一轮复习资料
第24讲平面向量的数量积及其应用(精讲)一轮复习讲义2024年高考数学高频考点题型归纳与方法总结(新高考通用)解析版_02高考数学_新高考复习资料_2024年新高考资料_一轮复习资料
第24讲平面向量的数量积及其应用(精讲)一轮复习讲义2024年高考数学高频考点题型归纳与方法总结(新高考通用)解析版_02高考数学_新高考复习资料_2024年新高考资料_一轮复习资料
第24讲平面向量的数量积及其应用(精讲)一轮复习讲义2024年高考数学高频考点题型归纳与方法总结(新高考通用)解析版_02高考数学_新高考复习资料_2024年新高考资料_一轮复习资料
第24讲平面向量的数量积及其应用(精讲)一轮复习讲义2024年高考数学高频考点题型归纳与方法总结(新高考通用)解析版_02高考数学_新高考复习资料_2024年新高考资料_一轮复习资料
第24讲平面向量的数量积及其应用(精讲)一轮复习讲义2024年高考数学高频考点题型归纳与方法总结(新高考通用)解析版_02高考数学_新高考复习资料_2024年新高考资料_一轮复习资料
第24讲平面向量的数量积及其应用(精讲)一轮复习讲义2024年高考数学高频考点题型归纳与方法总结(新高考通用)解析版_02高考数学_新高考复习资料_2024年新高考资料_一轮复习资料
第24讲平面向量的数量积及其应用(精讲)一轮复习讲义2024年高考数学高频考点题型归纳与方法总结(新高考通用)解析版_02高考数学_新高考复习资料_2024年新高考资料_一轮复习资料
第24讲平面向量的数量积及其应用(精讲)一轮复习讲义2024年高考数学高频考点题型归纳与方法总结(新高考通用)解析版_02高考数学_新高考复习资料_2024年新高考资料_一轮复习资料
第24讲平面向量的数量积及其应用(精讲)一轮复习讲义2024年高考数学高频考点题型归纳与方法总结(新高考通用)解析版_02高考数学_新高考复习资料_2024年新高考资料_一轮复习资料
第24讲平面向量的数量积及其应用(精讲)一轮复习讲义2024年高考数学高频考点题型归纳与方法总结(新高考通用)解析版_02高考数学_新高考复习资料_2024年新高考资料_一轮复习资料
第24讲平面向量的数量积及其应用(精讲)一轮复习讲义2024年高考数学高频考点题型归纳与方法总结(新高考通用)解析版_02高考数学_新高考复习资料_2024年新高考资料_一轮复习资料
第24讲平面向量的数量积及其应用(精讲)一轮复习讲义2024年高考数学高频考点题型归纳与方法总结(新高考通用)解析版_02高考数学_新高考复习资料_2024年新高考资料_一轮复习资料
第24讲平面向量的数量积及其应用(精讲)一轮复习讲义2024年高考数学高频考点题型归纳与方法总结(新高考通用)解析版_02高考数学_新高考复习资料_2024年新高考资料_一轮复习资料
第24讲平面向量的数量积及其应用(精讲)一轮复习讲义2024年高考数学高频考点题型归纳与方法总结(新高考通用)解析版_02高考数学_新高考复习资料_2024年新高考资料_一轮复习资料
第24讲平面向量的数量积及其应用(精讲)一轮复习讲义2024年高考数学高频考点题型归纳与方法总结(新高考通用)解析版_02高考数学_新高考复习资料_2024年新高考资料_一轮复习资料
第24讲平面向量的数量积及其应用(精讲)一轮复习讲义2024年高考数学高频考点题型归纳与方法总结(新高考通用)解析版_02高考数学_新高考复习资料_2024年新高考资料_一轮复习资料
第24讲平面向量的数量积及其应用(精讲)一轮复习讲义2024年高考数学高频考点题型归纳与方法总结(新高考通用)解析版_02高考数学_新高考复习资料_2024年新高考资料_一轮复习资料
第24讲平面向量的数量积及其应用(精讲)一轮复习讲义2024年高考数学高频考点题型归纳与方法总结(新高考通用)解析版_02高考数学_新高考复习资料_2024年新高考资料_一轮复习资料
第24讲平面向量的数量积及其应用(精讲)一轮复习讲义2024年高考数学高频考点题型归纳与方法总结(新高考通用)解析版_02高考数学_新高考复习资料_2024年新高考资料_一轮复习资料
第24讲平面向量的数量积及其应用(精讲)一轮复习讲义2024年高考数学高频考点题型归纳与方法总结(新高考通用)解析版_02高考数学_新高考复习资料_2024年新高考资料_一轮复习资料
第24讲平面向量的数量积及其应用(精讲)一轮复习讲义2024年高考数学高频考点题型归纳与方法总结(新高考通用)解析版_02高考数学_新高考复习资料_2024年新高考资料_一轮复习资料
第24讲平面向量的数量积及其应用(精讲)一轮复习讲义2024年高考数学高频考点题型归纳与方法总结(新高考通用)解析版_02高考数学_新高考复习资料_2024年新高考资料_一轮复习资料
第24讲平面向量的数量积及其应用(精讲)一轮复习讲义2024年高考数学高频考点题型归纳与方法总结(新高考通用)解析版_02高考数学_新高考复习资料_2024年新高考资料_一轮复习资料
第24讲平面向量的数量积及其应用(精讲)一轮复习讲义2024年高考数学高频考点题型归纳与方法总结(新高考通用)解析版_02高考数学_新高考复习资料_2024年新高考资料_一轮复习资料
第24讲平面向量的数量积及其应用(精讲)一轮复习讲义2024年高考数学高频考点题型归纳与方法总结(新高考通用)解析版_02高考数学_新高考复习资料_2024年新高考资料_一轮复习资料
第24讲平面向量的数量积及其应用(精讲)一轮复习讲义2024年高考数学高频考点题型归纳与方法总结(新高考通用)解析版_02高考数学_新高考复习资料_2024年新高考资料_一轮复习资料
第24讲平面向量的数量积及其应用(精讲)一轮复习讲义2024年高考数学高频考点题型归纳与方法总结(新高考通用)解析版_02高考数学_新高考复习资料_2024年新高考资料_一轮复习资料
第24讲平面向量的数量积及其应用(精讲)一轮复习讲义2024年高考数学高频考点题型归纳与方法总结(新高考通用)解析版_02高考数学_新高考复习资料_2024年新高考资料_一轮复习资料
第24讲平面向量的数量积及其应用(精讲)一轮复习讲义2024年高考数学高频考点题型归纳与方法总结(新高考通用)解析版_02高考数学_新高考复习资料_2024年新高考资料_一轮复习资料
第24讲平面向量的数量积及其应用(精讲)一轮复习讲义2024年高考数学高频考点题型归纳与方法总结(新高考通用)解析版_02高考数学_新高考复习资料_2024年新高考资料_一轮复习资料
第24讲平面向量的数量积及其应用(精讲)一轮复习讲义2024年高考数学高频考点题型归纳与方法总结(新高考通用)解析版_02高考数学_新高考复习资料_2024年新高考资料_一轮复习资料
第24讲平面向量的数量积及其应用(精讲)一轮复习讲义2024年高考数学高频考点题型归纳与方法总结(新高考通用)解析版_02高考数学_新高考复习资料_2024年新高考资料_一轮复习资料
第24讲平面向量的数量积及其应用(精讲)一轮复习讲义2024年高考数学高频考点题型归纳与方法总结(新高考通用)解析版_02高考数学_新高考复习资料_2024年新高考资料_一轮复习资料
第24讲平面向量的数量积及其应用(精讲)一轮复习讲义2024年高考数学高频考点题型归纳与方法总结(新高考通用)解析版_02高考数学_新高考复习资料_2024年新高考资料_一轮复习资料
第24讲平面向量的数量积及其应用(精讲)一轮复习讲义2024年高考数学高频考点题型归纳与方法总结(新高考通用)解析版_02高考数学_新高考复习资料_2024年新高考资料_一轮复习资料
第24讲平面向量的数量积及其应用(精讲)一轮复习讲义2024年高考数学高频考点题型归纳与方法总结(新高考通用)解析版_02高考数学_新高考复习资料_2024年新高考资料_一轮复习资料
第24讲平面向量的数量积及其应用(精讲)一轮复习讲义2024年高考数学高频考点题型归纳与方法总结(新高考通用)解析版_02高考数学_新高考复习资料_2024年新高考资料_一轮复习资料
第24讲平面向量的数量积及其应用(精讲)一轮复习讲义2024年高考数学高频考点题型归纳与方法总结(新高考通用)解析版_02高考数学_新高考复习资料_2024年新高考资料_一轮复习资料
第24讲平面向量的数量积及其应用(精讲)一轮复习讲义2024年高考数学高频考点题型归纳与方法总结(新高考通用)解析版_02高考数学_新高考复习资料_2024年新高考资料_一轮复习资料
第24讲平面向量的数量积及其应用(精讲)一轮复习讲义2024年高考数学高频考点题型归纳与方法总结(新高考通用)解析版_02高考数学_新高考复习资料_2024年新高考资料_一轮复习资料
第24讲平面向量的数量积及其应用(精讲)一轮复习讲义2024年高考数学高频考点题型归纳与方法总结(新高考通用)解析版_02高考数学_新高考复习资料_2024年新高考资料_一轮复习资料
第24讲平面向量的数量积及其应用(精讲)一轮复习讲义2024年高考数学高频考点题型归纳与方法总结(新高考通用)解析版_02高考数学_新高考复习资料_2024年新高考资料_一轮复习资料
第24讲平面向量的数量积及其应用(精讲)一轮复习讲义2024年高考数学高频考点题型归纳与方法总结(新高考通用)解析版_02高考数学_新高考复习资料_2024年新高考资料_一轮复习资料
第24讲平面向量的数量积及其应用(精讲)一轮复习讲义2024年高考数学高频考点题型归纳与方法总结(新高考通用)解析版_02高考数学_新高考复习资料_2024年新高考资料_一轮复习资料
第24讲平面向量的数量积及其应用(精讲)一轮复习讲义2024年高考数学高频考点题型归纳与方法总结(新高考通用)解析版_02高考数学_新高考复习资料_2024年新高考资料_一轮复习资料
第24讲平面向量的数量积及其应用(精讲)一轮复习讲义2024年高考数学高频考点题型归纳与方法总结(新高考通用)解析版_02高考数学_新高考复习资料_2024年新高考资料_一轮复习资料
第24讲平面向量的数量积及其应用(精讲)一轮复习讲义2024年高考数学高频考点题型归纳与方法总结(新高考通用)解析版_02高考数学_新高考复习资料_2024年新高考资料_一轮复习资料
第24讲平面向量的数量积及其应用(精讲)一轮复习讲义2024年高考数学高频考点题型归纳与方法总结(新高考通用)解析版_02高考数学_新高考复习资料_2024年新高考资料_一轮复习资料
第24讲平面向量的数量积及其应用(精讲)一轮复习讲义2024年高考数学高频考点题型归纳与方法总结(新高考通用)解析版_02高考数学_新高考复习资料_2024年新高考资料_一轮复习资料
第24讲平面向量的数量积及其应用(精讲)一轮复习讲义2024年高考数学高频考点题型归纳与方法总结(新高考通用)解析版_02高考数学_新高考复习资料_2024年新高考资料_一轮复习资料
第24讲平面向量的数量积及其应用(精讲)一轮复习讲义2024年高考数学高频考点题型归纳与方法总结(新高考通用)解析版_02高考数学_新高考复习资料_2024年新高考资料_一轮复习资料
第24讲平面向量的数量积及其应用(精讲)一轮复习讲义2024年高考数学高频考点题型归纳与方法总结(新高考通用)解析版_02高考数学_新高考复习资料_2024年新高考资料_一轮复习资料
第24讲平面向量的数量积及其应用(精讲)一轮复习讲义2024年高考数学高频考点题型归纳与方法总结(新高考通用)解析版_02高考数学_新高考复习资料_2024年新高考资料_一轮复习资料
第24讲平面向量的数量积及其应用(精讲)一轮复习讲义2024年高考数学高频考点题型归纳与方法总结(新高考通用)解析版_02高考数学_新高考复习资料_2024年新高考资料_一轮复习资料
第24讲平面向量的数量积及其应用(精讲)一轮复习讲义2024年高考数学高频考点题型归纳与方法总结(新高考通用)解析版_02高考数学_新高考复习资料_2024年新高考资料_一轮复习资料

文档信息

文档格式
docx
文档大小
3.261 MB
文档页数
64 页
上传时间
2026-04-18 07:31:26

文档内容

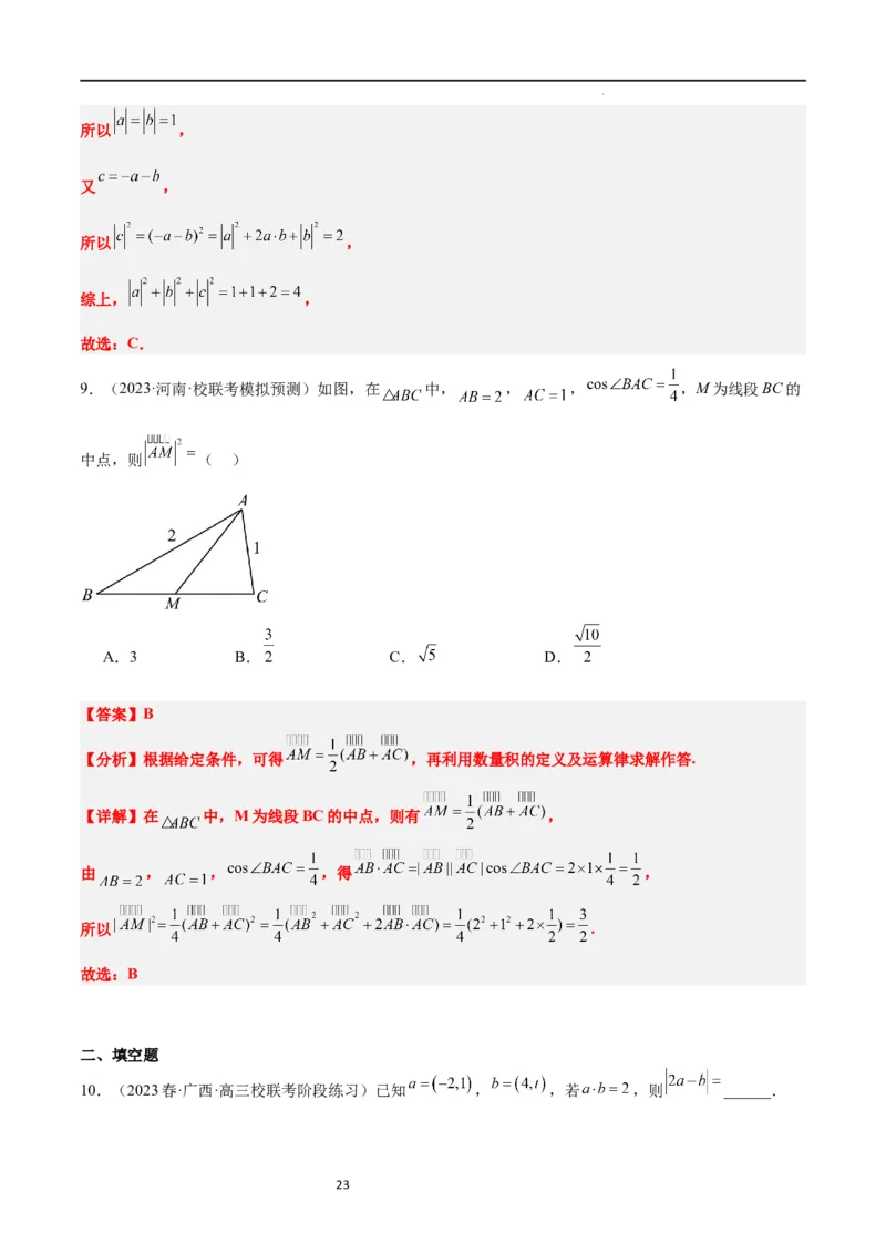
【一轮复习讲义】2024年高考数学高频考点题型归纳与方法总结(新高考通用) 第 24 讲 平面向量的数量积及其应用(精讲) 题型目录一览 ①平面向量的数量积的运算 ②平面向量的模长 ③平面向量的夹角 ④两个向量的垂直问题 ⑤平面向量的投影数量、投影向量 ⑥平面向量的应用 一、知识点梳理 一、平面向量的数量积 (1)平面向量数量积的定义 已知两个非零向量与 ,我们把数量 叫做 与 的数量积(或内积), 记作 ,即 = ,规定:零向量与任一向量的数量积为0. (2)平面向量数量积的几何意义 投影向量:设a,b是两个非零向量,如图(1)(2),OA表示向量a,OB表示向量b,过点A作OB所在直线的 垂线,垂足为点A.我们将上述由向量a得到向量OA1的变换称为向量a向向量b投影,向量OA1称为向量a 1 在向量b上的投影向量. ,向量a在向量b上的投影向量为(|a|cosθ). 二、数量积的运算律 已知向量 、 、 和实数 ,则: ① ;② ;③ . 三、数量积的性质 学科网(北京)股份有限公司 1设 、 都是非零向量, 是与 方向相同的单位向量, 是 与 的夹角,则 ① .② . ③当 与 同向时, ;当 与 反向时, . 特别地, 或 . ④ .⑤ . 四、数量积的坐标运算 已知非零向量 , , 为向量 、 的夹角. 结论 几何表示 坐标表示 模 数量积 夹角 的充要 条件 的充要 条件 与 (当且仅当 的关系 时等号成立) 【常用结论】 (1) 在 上的投影是一个数量,它可以为正,可以为负,也可以等于0. (2)两个向量a,b的夹角为锐角⇔a·b>0且a,b不共线; 两个向量a,b的夹角为钝角⇔a·b<0且a,b不共线 二、题型分类精讲 学科网(北京)股份有限公司 2题型 一 平面向量的数量积的运算 策略方法 平面向量数量积的三种运算方法 【典例1】已知向量 的夹角为 ,且 ,则 ( ) A. B. C. D. 【答案】D 【分析】根据数量积公式和运算律计算即可. 【详解】 . 故选:D. 【典例2】已知 的外接圆圆心为 ,且 , ,则 ( ) A.0 B.2 C.4 D. 【答案】C 【分析】根据题意可知△ 为直角三角形,△ 为等边三角形,即可求出 的值. 【详解】由 知 是 边中点, 因为 是△ 的外接圆圆心,所以△ 为直角三角形, 学科网(北京)股份有限公司 3且 ,因为 ,所以△ 为等边三角形, 所以 , , 所以 . 故选:C. 【题型训练】 一、单选题 1.(2023·广东·校联考模拟预测)将向量 绕坐标原点 顺时针旋转 得到 ,则 ( ) A. B. C. D. 【答案】B 【分析】利用向量的坐标求出模长,再利用向量的数量积公式即可求解. 【详解】因为 ,所以 , 因为向量 绕坐标原点 顺时针旋转 得到 , 所以向量 与向量 的夹角为 ,且 , 所以 . 故选:B 2.(2023·辽宁朝阳·朝阳市第一高级中学校考模拟预测)已知向量 , , ( 学科网(北京)股份有限公司 4),则 ( ) A.5 B. C. D. 【答案】B 【分析】求出向量 的坐标,根据数量积坐标表示,即可求得答案. 【详解】由题意向量 , , 可得 , 故 ,故选:B 3.(2023·黑龙江哈尔滨·哈尔滨市第四中学校校考模拟预测)如图,已知 的半径为2, ,则 ( ) A.1 B.-2 C.2 D. 【答案】C 【分析】判断 形状可得 ,然后根据数量积定义直接求解即可. 【详解】由题知, 为正三角形,所以 ,所以 . 故选:C 4.(2023春·海南·高三海南中学校考阶段练习)已知向量 满足 ,且 与 夹角的余弦值 为 ,则 ( ) A. B. C.12 D.72 【答案】A 学科网(北京)股份有限公司 5【分析】运用平面向量的数量积运算可求得结果. 【详解】因为 ,且 与 夹角的余弦值为 , 所以 . 故选:A. 5.(2023·广东深圳·统考模拟预测)若等边 的边长为2,平面内一点 满足 ,则 ( ) A. B. C. D. 【答案】C 【分析】利用平面向量基本定理完成向量的分解与合成,再利用向量的数量积运算求解即可. 【详解】 , , . 故选:C. 6.(2023·山西朔州·怀仁市第一中学校校考模拟预测)已知菱形 的边长为2,且 ,则 的值为( ) A.2 B.4 C.6 D.8 【答案】D 【分析】根据向量的数量积公式及运算律,结合菱形图形特征,计算求解可得. 【详解】由条件可知 ,所以 , 在 中,由余弦定理 ,可得 , ,菱形 的对角线互相垂直,则向量 与向量 的夹角为 , 学科网(北京)股份有限公司 6则 . 故选:D. 7.(2023·全国·模拟预测)在 中,M是 的中点, ,点P在 上且满足 ,则 等于( ) A. B. C. D. 【答案】A 【分析】先根据向量的加法求出 ,然后求出 ,进而可直接求解. 【详解】因为M是 的中点,所以 , 又因为点P在 上且满足 , ,所以 , 所以 . 故选:A. 8.(2023·湖南长沙·周南中学校考二模)已知菱形ABCD的边长为1, ,G是菱形ABCD内 一点,若 ,则 ( ) A. B.1 C. D.2 【答案】A 【分析】由题意可得出 ,点G为 的重心,所以 , ,再 由向量的数量及定义求解即可. 学科网(北京)股份有限公司 7【详解】在菱形ABCD,菱形ABCD的边长为1, , 所以 , 所以 ,则 为等边三角形,因为 , 所以 ,设点M为BC的中点,则 ,所以 , 所以G,A,M三点共线,所以AM为BC的中线, 所以 , 同理可得点AB,AC的中线过点G, 所以点G为 的重心,故 , 在等边 中,M为BC的中点,则 , 所以 . 故选:A 9.(2023·陕西咸阳·统考模拟预测)已知向量 满足 ,且 夹角为 ,则 ( ) A. B. C. D. 【答案】B 【分析】根据向量的数量积的运算律结合数量积的定义,即可求得答案. 学科网(北京)股份有限公司 8【详解】由向量 满足 ,且 夹角为 , 可得 , 故选:B 10.(2023·吉林长春·东北师大附中校考模拟预测)在矩形 中, 与 相交于点 ,过点 作 于 ,则 ( ) A. B. C. D. 【答案】D 【分析】建立直角坐标系,设 ,由 和 可列方程求出点E,再根据数量积坐标运算即 可求解. 【详解】建立如图所示直角坐标系: 则 , 设 ,则 且 , ,解得 , , 在矩形 中, 为 的中点, 学科网(北京)股份有限公司 9所以 ,由 , 所以 , , 故选:D. 二、多选题 11.(2023·福建泉州·校联考模拟预测)圆 为锐角 的外接圆, ,则 的值可能 为( ). A. B. C. D. 【答案】BC 【分析】利用正弦定理表示出R,借助角C表示出所求,根据 为锐角三角形,结合图形可得 范 围,然后可得. 【详解】记圆 的半径为R,则 , 又 ,所以 . 因为 为锐角三角形,如图,易知 ,所以 , 所以 ,即 . 故选:BC. 12.(2023·全国·模拟预测)在菱形 中, , ,点 为线段 的中点, 和 交于点 ,则( ) 学科网(北京)股份有限公司 10A. B. C. D. 【答案】ABD 【分析】以 为坐标原点可建立平面直角坐标系,利用平面向量数量积的坐标运算依次验证各个选项即可. 【详解】 四边形 为菱形, , 则以 为坐标原点, 正方向为 轴,可建立如图所示平面直角坐标系, , , , , , , , , , 对于A, , ,A正确; 对于B, , , ,B正确; 对于C, , , ,C错误; 对于D, , , ,D正确. 故选:ABD. 13.(2023秋·山西大同·高三统考阶段练习)设 为 的外心, , , 的角平分线 交 于点 ,则( ) 学科网(北京)股份有限公司 11A. B. C. D. 【答案】AC 【分析】对于A、B:根据题意结合正弦定理可得 ,结合平面向量的线性运算求 ;对于C、 D:根据外心的性质结合平面向量的数量积运算求解. 【详解】在 中,有正弦定理可得 ,可得 , 在 中,有正弦定理可得 ,可得 , 因为 , , 为 的角平分线, 可知 , 则 , 可得 , 所以 ,即 , 可得 , 故A正确,B错误; 分别取 的中点 ,连接 ,可知 , 因为 为 的外心,则 , , 所以 , 故C正确;D错误. 故选:AC. 学科网(北京)股份有限公司 12三、填空题 14.(2023·河南洛阳·洛宁县第一高级中学校考模拟预测)已知向量 , ,若 , 则 ______. 【答案】 【分析】根据平面向量线性运算和数量积的坐标运算可得答案. 【详解】因为 , ,所以 , 所以 ,即 , 所以 . 故答案为: . 15.(2023·山东威海·统考二模)已知向量 , , ,若 ,则t=______. 【答案】 【分析】根据平面向量线性运算的坐标表示可得 ,结合向量数量积的坐标公式计算即可求解. 【详解】由题意知, , 因为 , 所以 ,解得 , 即t的值为 . 故答案为: . 16.(2023·全国·高三专题练习)已知非零向量 , 的夹角为 , , ,则 学科网(北京)股份有限公司 13______. 【答案】9 【分析】根据数量积的定义结合数量积的运算律,即可求得答案. 【详解】由 及 , 夹角为 可知 , 又 ,解得 ,则 , 故 , 故答案为:9 17.(2023·河北·校联考一模)已知O为 的外心,若 ,且 ,则 __________. 【答案】 【分析】由平面向量数量积公式进行求解. 【详解】由圆的性质可得 , , 故 . 故答案为: 18.(2023·陕西咸阳·武功县普集高级中学校考模拟预测)已知菱形 中, ,则 __________. 【答案】 【分析】根据菱形对角线互相垂直,结合平面向量数量积公式求出答案. 【详解】设 与 交于 ,则 且 是线段 的中点, 学科网(北京)股份有限公司 14,由平面向量数量积的几何意义知, . 故答案为: 19.(2023·河南·襄城高中校联考三模)已知正六边形 的边长为1, 为边 的中点, 为 正六边形的中心,则 ______. 【答案】 【分析】利用平面向量数量积公式进行求解. 【详解】根据题意得, , , 故 . 故答案为: 20.(2023·北京通州·统考三模)已知等边三角形ABC的边长为2,⊙A的半径为1,PQ为⊙A的任意一 条直径,则 =___________. 【答案】1 【分析】根据平面向量基本定理并借助圆心和圆内 向量互为相反向量即可求解. 学科网(北京)股份有限公司 15【详解】 . 故答案为: 1. 21.(2023·广东汕头·统考三模)在 中, , , , ,求 _________. 【答案】 【分析】根据已知条件得出 , ,化简 应用数量积公式计算求解即得. 学科网(北京)股份有限公司 16【详解】 , , , , , . 故答案为: 22.(2023·全国·高三专题练习)如图,圆 为 的外接圆, , , 为边 的中点, 则 ______. 【答案】 【分析】由三角形中线性质可知 ,再由外接圆圆心为三角形三边中垂线交点可知 ,同理可得 ,再由数量积运算即可得解. 【详解】 是BC中点, 学科网(北京)股份有限公司 17, M为 的外接圆的圆心,即三角形三边中垂线交点, , 同理可得 , . 故答案为: . 题型二 平面向量的模长 策略方法 求向量模的方法 (1)a2=a·a=|a|2或|a|=. (2)|a±b|==. (3)若a=(x,y),则|a|=. 【典例1】已知 , 均为单位向量,且 与 夹角为 ,则 ( ) A.3 B. C.2 D. 【答案】D 【分析】先求 ,再利用模长公式可得答案. 【详解】因为 , 均为单位向量,且 与 夹角为 ,所以 ; 因为 ,所以 . 故选:D. 【典例2】已知向量 满足 , , ,则 ( ) A. B. C. D. 【答案】C 学科网(北京)股份有限公司 18【分析】根据向量坐标运算和数量积运算的性质,结合 可求得 ,由此可得 ,进而求得 结果. 【详解】 , , ,解得: , ,解得: . 故选:C. 【题型训练】 一、单选题 1.(2023春·安徽·高三校联考开学考试)已知向量 , , ,若 , 则实数 ( ). A.1或 B. 或4 C.0或8 D.0或 【答案】D 【分析】根据向量模的坐标表示求解. 【详解】由题意得, , ∴ ,解得 或 . 故选:D. 2.(2023·全国·高三专题练习)平面向量 与 的夹角为 , , ,则 等于( ) A. B. C. D. 【答案】D 【分析】由向量 ,求得 ,再结合 ,即可求解. 【详解】由题意,向量 ,可得 , 学科网(北京)股份有限公司 19又由向量 与 的夹角为 , , 则 . 故选:D. 3.(2023·河北衡水·模拟预测)已知平面向量 满足 ,则 ( ) A. B. C. D.33 【答案】C 【分析】根据题意,由平面向量模长的计算公式,代入计算即可得到结果. 【详解】因为 ,所以 ,则 , 所以 ,即 .故选:C. 4.(2023·全国·高三专题练习)已知向量 , , 满足 , , , ,则 ( ) A.3 B. C. D.5 【答案】D 【分析】设出向量 ,根据向量的数量积和向量的模的公式,即可求出向量 . 【详解】设 ,因为 , , 所以 ①, ②,由①②解得 , , 所以 , . 故选:D. 5.(2023·四川遂宁·射洪中学校考模拟预测)已知平面向量 , , 的夹角为 , ,则实数 ( ) 学科网(北京)股份有限公司 20A. B.1 C. D. 【答案】A 【分析】对 两边平方,再由数量积公式计算可得答案. 【详解】因为 ,所以 , 即 ,解得 . 故选:A. 6.(2023·河北唐山·开滦第二中学校考模拟预测)已知向量 , ,且 ,则 ( ) A. B. C. D. 【答案】C 【分析】根据 求得m,再利用向量的模公式求解. 【详解】解:因为向量 , , 所以 , 又因为 , 所以 , 解得 , 所以 , 故选:C 7.(2023·重庆·校联考三模)在 ABC中, , 且点D满足 ,则 ( ) △ 学科网(北京)股份有限公司 21A. B. C. D. 【答案】D 【分析】根据向量线性运算和题干条件得到 ,从而得到 . 【详解】由题意得 ,平方得 , 故 , 因为点D满足 ,所以 , 平方得 , 故 . 故选:D 8.(2023·广东深圳·统考模拟预测)向量 满足 , , ,若 ,则 ( ) A. B. C. D. 【答案】C 【分析】运用向量垂直的条件,即数量积为 ,结合向量的平方即为模的平方,化简整理,计算即可得到 所求值. 【详解】由 ,得 , 又 , 所以 , 又 ,则 , , 所以 ,即 , 学科网(北京)股份有限公司 22所以 , 又 , 所以 , 综上, , 故选:C. 9.(2023·河南·校联考模拟预测)如图,在 中, , , ,M为线段BC的 中点,则 ( ) A.3 B. C. D. 【答案】B 【分析】根据给定条件,可得 ,再利用数量积的定义及运算律求解作答. 【详解】在 中,M为线段BC的中点,则有 , 由 , , ,得 , 所以 . 故选:B 二、填空题 10.(2023春·广西·高三校联考阶段练习)已知 , ,若 ,则 ______. 学科网(北京)股份有限公司 23【答案】 【分析】根据数量积的坐标表示求出 ,即可求出 的坐标,再利用坐标法求出模. 【详解】因为 , 且 , 所以 ,解得 ,所以 , 所以 , 所以 . 故答案为: 11.(2023·四川南充·阆中中学校考二模)已知 为单位向量,且满足 ,则 ______. 【答案】 【分析】将 两边平方可得 ,进而可得 . 【详解】 为单位向量,且满足 ,所以 , 即 ,解得 , 所以 . 故答案为: . 12.(2023·安徽亳州·高三校考阶段练习)已知向量 , ,满足 ,则 __________. 【答案】 / 或 / 或 【分析】利用 ,求出 的值,利用平面向量坐标表示建立方程求解即可 学科网(北京)股份有限公司 24【详解】因为 , , 所以 , , 得 . 故答案为: 13.(2023·全国·高三专题练习)已知向量 满足 , ,则 ______. 【答案】 【分析】应用向量 的性质即可列方程组求解. 【详解】由 ,得 ,即 ①. 又由 ,得 , 即 ,代入①,得 , 整理,得 ,所以 . 故答案为: 14.(2023·全国·高三专题练习)已知向量 ,则 的最大值为_________. 【答案】 【分析】利用向量模的坐标形式可求 的最大值. 【详解】 ,所以 当 时, 的最大值为: . 学科网(北京)股份有限公司 25故答案为: . 15.(2023·全国·高三专题练习)已知 , ,则 的最小值是______. 【答案】 【分析】设 ,根据条件 得出点 满足的条件,然后由向量的 模长公式求 的最小值. 【详解】设 , 则 由 ,则 即点 在以 为焦点,长轴为 的椭圆上 所以 满足 则 ,且 故当 时, 有最小值 ,故答案为: 题型三 平面向量的夹角 策略方法 求向量夹角问题的方法 学科网(北京)股份有限公司 26【典例1】已知非零向量 , , 满足 , , , .则向量 与 的夹 角( ) A.45° B.60° C.135° D.150° 【答案】C 【分析】由向量的数量积运算公式,再应用向量夹角公式求夹角,最后结合向量反向共线求出夹角即可. 【详解】∵ , , ∴ .∵ , ∴ , ,则 , 设向量 与 的夹角为 , 与 反向,则 . 故选:C. 【题型训练】 一、单选题 1.(江西省重点中学协作体2023届高三第二次联考数学(文)试题)已知 为单位向量,且 学科网(北京)股份有限公司 27,则 与 的夹角为( ) A. B. C. D. 【答案】C 【分析】由 ,根据向量数量积定义和运算律可求得 夹角,即为 的夹角. 【详解】 , ,又 与 同向, , , . 故选:C. 2.(河南省青桐鸣大联考2023届高三下学期5月考试文科数学试题)在 中, , ,D 为AC的中点, ,则 ( ) A. B. C. D. 【答案】B 【分析】由向量的数量积公式及向量夹角的范围可得答案. 【详解】 , 则 ,又 ,则 . 故选:B. 3.(华大新高考联盟2023届高三名校预测卷全国数学文科试题)已知平面向量 , 满足 , , ,则 , 夹角的余弦值为( ) A. B. C. D. 【答案】A 学科网(北京)股份有限公司 28【分析】对 进行平方可得 ,可算出 ,最后利用夹角公式 即可 【详解】依题意, ,解得 , 故 , 故 , 故选:A. 4.(北京市海淀区2023届高三数学查缺补漏题(1))已知向量 是两个单位向量,则“ ” 是“ 为锐角”的( ) A.充分而不必要条件 B.必要而不充分条件C.充要条件 D.既不充分也不必要 条件 【答案】B 【分析】由 求出 的范围,进而可得结果. 【详解】因为 为单位向量,所以由 两边平方得 , 所以得 ,而 ,所以 夹角为0或锐角; 所以“ ”是“ 为锐角”的必要而不充分条件. 故选:B. 5.(湖南省郴州市九校联盟2023届高三下学期适应性测试数学试题)已知向量 满足 ,则向量 的夹角为( ) A. B. C. D. 【答案】B 学科网(北京)股份有限公司 29【分析】根据给定条件,利用垂直关系的向量表示及数量积的运算律,结合向量的夹角公式求解作答. 【详解】由 ,得 ,则 , 由 ,得 ,即 ,整理得 , 因此 ,而 ,解得 , 所以向量 的夹角为 .故选:B. 6.(江苏省镇江第一中学2023届高三下学期4月检测数学试题)单位向量 , 为的夹角为 , , ,则 ( ) A. B. C. D. 【答案】C 【分析】根据数量积的定义可得 ,再结合数量积的运算律运算求解. 【详解】由题意可得: , 因为 , 所以 ,解得 . 故选:C. 二、多选题 7.(山东省聊城市2023届高三三模数学试题)已知向量 , 满足 , ,则 与 的夹角可以为( ) A. B. C. D. 【答案】AB 学科网(北京)股份有限公司 30【分析】根据题意,将式子两边同时平方,然后相减即可得到 , ,然后结合向量夹角公 式即可得到 ,从而得到结果. 【详解】因为 ,则 ,且 ,则 , 所以 ,即 ,则 ,又因为 , 即 ,设 与 的夹角为 ,则 ,即 , 且 ,则 ,所以 ,则 与 的夹角可以为 , . 故选:AB 8.(河北省部分学校2023届高三下学期二月联考数学试题)已知单位向量 的夹角为 ,则使 为钝角 的一个充分条件是( ) A. B. C. D. 【答案】BC 【分析】当 时即可判断A,将 两边平方,得到 ,从而求出 即可判断B选项,利 用向量数量积的运算展开即可判断 的值或范围即可得到C选项,由 得 ,当 即可判 断选项D. 【详解】若 ,则 可能为 ,A选项不是 为钝角的充分条件, 故A不正确, 若 ,两边平方得 , 即向量 的余弦值为 ,所以 , B选项是 为钝角的一个充分条件; 学科网(北京)股份有限公司 31故B选项正确, 若 ,则 , 即向量 的余弦值为 ,所以 且 为钝角,, C选项是 为钝角的充分条件, 故C选项正确, 若 ,两边平方得 ,当 时满足题意 所以 不一定为钝角,D不是 为钝角的充分条件, 故D不正确, 故选:BC. 三、填空题 9.(河南省驻马店市2023届高三二模理科数学试题)若单位向量 , 满足 ,则向量 , 夹角的余弦值为____________. 【答案】 【分析】利用性质 ,将已知条件转化为数量积求解即可. 【详解】设向量 , 的夹角为 ,因为 ,所以 . 又 ,所以 ,所以 . 故答案为: 10.(湖南省普通高中2023届高三高考前模拟数学试题)已知单位向量 , 满足 ,则向 量 与 的夹角为_______________. 【答案】 学科网(北京)股份有限公司 32【分析】根据 可得 ,再利用向量数量积定义可求得其夹角为 . 【详解】由 ,可知 , 解得 . 设向量 与向量 的夹角为θ,且 , 则 ,又 ,所以 . 故答案为: 11.(2023届四川省名校联考高考仿真测试(三)文科数学试题)若 是夹角为 的两个单位向量, 则 与 的夹角大小为________. 【答案】 【分析】先利用数量积公式求出 ,再求出 ,最后代入向量的夹角公式得解. 【详解】 是夹角为 的两个单位向量,则 , , , , , , . 故答案为: 12.(重庆市第一中学校2023届高三下学期5月月考数学试题)已知向量 和 满足: , , 学科网(北京)股份有限公司 33,则 与 的夹角为__________. 【答案】 【分析】记向量 和 的夹角为 ,将 平方化简即可求出答案. 【详解】记向量 和 的夹角为 ,将 平方得到: 或 , 又因为 ,即 . 故答案为: . 题型四 两个向量的垂直问题 策略方法 1.利用坐标运算证明两个向量的垂直问题 若证明两个向量垂直,先根据共线、夹角等条件计算出这两个向量的坐标;然后根据数量积 的坐标运算公式,计算出这两个向量的数量积为0即可. 2.已知两个向量的垂直关系,求解相关参数的值 根据两个向量垂直的充要条件,列出相应的关系式,进而求解参数. 【典例1】已知非零向量 , 满足 , ,若 ,则实数 的值为( ) A.4 B.-4 C. D. 【答案】D 【分析】根据数量积的运算规则计算. 【详解】 ,即 ; 故选:D. 【题型训练】 学科网(北京)股份有限公司 34一、单选题 1.(2023·陕西商洛·镇安中学校考模拟预测)已知向量 ,且 ,则 ( ) A. B. C. D. 【答案】A 【分析】利用平面向量的坐标运算,即可计算出答案. 【详解】 , 又 , 知 , 即 . 故选:A 2.(2023·全国·高三专题练习)已知向量 ,若 ,则( ) A. B. C. D. 【答案】D 【分析】根据向量的坐标运算求出 , ,再根据向量垂直的坐标表示即可求出. 【详解】因为 ,所以 , , 由 可得, , 即 ,整理得: . 故选:D. 3.(2023·全国·校联考模拟预测)若平面向量 , 满足 ,且 与 垂直,则 与 的夹 角为( ) A. B. C. D. 学科网(北京)股份有限公司 35【答案】B 【分析】利用垂直的向量表示求出 的表达式,再利用向量夹角公式求解作答. 【详解】因为 与 垂直,则 ,即 ,化简得 , 而 ,则 .又 ,有 , 所以 与 的夹角为 . 故选:B 4.(2023·山西吕梁·统考三模)已知向量 满足 ,且 ,则实数 ( ) A.1或 B.-1或 C.1或 D.-1或 【答案】D 【分析】根据向量的线性计算和垂直的坐标表示即可求解. 【详解】 所以 , 因为 , 所以 , 解得 或 , 故选:D. 5.(2023·湖北·统考二模)已知向量 的夹角为 ,若 ,则 ( ) A.1 B.2 C.3 D.4 【答案】D 【分析】利用向量垂直的条件及向量数量积的定义即可求解. 【详解】因为 , 学科网(北京)股份有限公司 36所以 ,即 , 又因为 ,向量 的夹角为 , 所以 ,即 ,解得 . 故选:D. 6.(2023春·江苏南京·高三南京师大附中校考开学考试)已知向量 的夹角的余弦值为 , , ,则 ( ) A.-4 B.-1 C.1 D.4 【答案】C 【分析】可由题意设出 , ,由 ,根据向量垂直的性质得 ,再由向量 的夹角的余弦值为 ,可解得 ,再代入求解即可. 【详解】由题意不妨设 , , 则 , , 由 ,可得 ,即 , 又由 ,解得 , 所以 . 故选:C. 7.(2023·新疆·校联考二模)平面内三个单位向量 , , ,满足 ,若 ,则 ( ) A. B. C.2 D. 【答案】D 学科网(北京)股份有限公司 37【分析】由 ,可得 ,后结合 与 可得答案. 【详解】由 得 ,所以 , 即 .因为 ,所以 ,又将 代入 ,整理得 , 解得 . 故选:D. 8.(2023·浙江嘉兴·校考模拟预测)已知两个非零向量 , 满足 , ,则 ( ) A. B. C. D. 【答案】D 【分析】根据向量的数量积运算律和夹角公式求解. 【详解】因为 ,所以 , 所以 ,所以 , , 故选:D. 9.(2023·辽宁辽阳·统考一模)已知两个单位向量 , 满足 与 垂直,则 ( ) A. B. C. D. 【答案】B 【分析】根据向量垂直列方程,化简求得 的值. 【详解】依题意可得 , 即 ,则 . 学科网(北京)股份有限公司 38故选:B 10.(2023春·河北衡水·高三河北衡水中学校考阶段练习)已知向量 , ,若 ,则 ( ) A. B. C. D. 【答案】B 【分析】由 求得 ,再用倍角公式求 即可. 【详解】因为 , , , 所以 ,即 , 所以 ,解得 或 (舍), 所以 , 故选:B 11.(2023·全国·高三专题练习)已知非零向量 , , 满足 , , ,则 , ( ) A. B. C. D. 【答案】D 【分析】根据向量垂直得到 ,再应用数量积公式及夹角公式计算即可. 【详解】 , . 所以 ,又 , , ,由 , , 均为非零向量, 学科网(北京)股份有限公司 39则 ,且 在 到 之间,故 . 故选:D. 12.(2023·全国·高三专题练习)在 中,设 ,那么动点 的轨迹必通 过 的( ) A.垂心 B.内心 C.重心 D.外心 【答案】D 【分析】设线段 的中点为 ,推导出 ,结合外心的定义可得出结论. 【详解】设线段 的中点为 ,则 、 互为相反向量, 所以, , 因为 ,即 , 所以, ,即 , 即 ,即 , 所以, 垂直且平分线段 , 因此动点 的轨迹是 的垂直平分线,必通过 的外心. 故选:D. 二、填空题 13.(2023·全国·模拟预测)向量 ,且 ,则实数 _________. 【答案】 【分析】根据向量垂直的坐标表示列方程求 . 【详解】因为向量 ,所以 , 又 , 所以 ,得 , 学科网(北京)股份有限公司 40解得 . 故答案为: . 14.(2023·全国·模拟预测)已知向量 , .若 ,则 ______. 【答案】 【分析】利用向量加法、减法和数量积的坐标表示求解即可 【详解】因为向量 , , 所以 , , 又 , 所以 所以 , 故答案为: . 15.(2023春·安徽合肥·高三校考开学考试)已知向量 , , .若 ,且 ,则 ______. 【答案】 【分析】根据向量垂直、平行列方程,从而求得 的值. 【详解】 , 由于 、 , 所以 ,解得 . 故答案为: 16.(2023·全国·高三专题练习)非零向量 , ,若 ,则 ______. 学科网(北京)股份有限公司 41【答案】 【分析】由 得 ,从而求得 的值. 【详解】因为 ,所以 , 由题易知 , , 所以 . 故答案为: 题型 五 平面向量的投影数量、投影向量 【典例1】向量 与 的夹角为 , , , 在 上投影数量为( ) A.2 B. C.1 D. 【答案】D 【分析】根据向量投影数量的概念计算即可. 【详解】 在 上投影数量为 . 故选:D 【典例2】已知向量 , ,若 与 反向,则向量 在向量 上的投影向量为 ( ) A. B. C. D. 【答案】D 【分析】依题意可先求出 的值,从而可得 的坐标,再用投影向量的定义即可求解. 学科网(北京)股份有限公司 42【详解】依题意 , , , 所以 ,解得 或 , 又 与 反向,则 时,向量 与 同向,不合舍去, 故 ,此时 , , , 则向量 在向量 上的投影向量为 . 故选:D 【题型训练】 一、单选题 1.(2023·吉林通化·梅河口市第五中学校考模拟预测)设非零向量 满足 ,则 在 上的投影向量为( ) A. B. C. D. 【答案】D 【分析】利用性质 结合已知求出 ,然后可得投影向量. 【详解】因为 , 所以 ,解得 , 所以 在 上的投影向量为 . 故选:D 2.(2023·四川绵阳·三台中学校考一模)若向量 , 满足 , ,则 在 方向上的投影 为( ) A.1 B. C. D.-1 学科网(北京)股份有限公司 43【答案】B 【分析】先利用向量数量积的运算求得 ,再利用投影的定义求解即可. 【详解】因为 , , 所以 ,即 ,则 , 故 在 方向上的投影 . 故选:B. 3.(2023·山西·校联考模拟预测)已知向量 满足 ,且 ,则 在 方向上的投 影向量为( ) A. B. C. D. 【答案】B 【分析】根据投影向量的定义可得 ,将数据代入计算,即可得到答案; 【详解】由 ,得 , ,于是 , 因此 在 方向上的投影向量为 . 故选:B 4.(2023·全国·高三专题练习)已知向量 , 的夹角为 ,且 , ,则 在 方向上的 投影为( ) A.2 B.4 C.-2 D.-4 【答案】C 【分析】根据投影公式和平面向量的数量积,直接计算即可得解. 学科网(北京)股份有限公司 44【详解】 . 故选:C. 5.(2023·山东菏泽·山东省鄄城县第一中学校考三模)已知向量 ,且满足 ,则 向量 在向量 上的投影向量为( ) A. B. C. D. 【答案】C 【分析】根据 求出 ,再根据投影向量公式可求出结果. 【详解】因为 ,所以 ,得 , 所以 , , 所以向量 在向量 上的投影向量为 . 故选:C 6.(2023·湖南长沙·长沙市实验中学校考二模)已知单位向量 , 的夹角为 ,则向量 在 方向 上的投影向量为( ) A. B. C. D. 【答案】C 【分析】根据向量的数量积公式及投影向量的定义即可求解. 【详解】依题意,因为两个单位向量 和 的夹角为 , 所以 , 学科网(北京)股份有限公司 45所以 , , , 故向量 在向量 上的投影向量为 . 故选:C. 7.(2023·江苏苏州·模拟预测)已知向量 在向量 上的投影向量是 ,且 ,则 ( ) A. B. C. D. 【答案】A 【分析】根据向量 在向量 上的投影向量求出 ,代入 的定义式即可. 【详解】因为向量 在向量 上的投影向量是 ,所以 , 因此 . 故选:A. 二、多选题 8.(2023·广东梅州·大埔县虎山中学校考模拟预测)已知平面向量 , ,则下列说法正确 的是( ) A. B. 在 方向上的投影向量为 学科网(北京)股份有限公司 46C.与 垂直的单位向量的坐标为 D.若向量 与非零向量 共线,则 【答案】AD 【分析】本题考查了平面向量的坐标运算,主要考查了两向量的夹角、投影向量、向量的平行与垂直的基 本知识,一一验证即可. 【详解】由题意知 , , , 则 ,因此A正确; 在 方向上的投影向量为 ,因此B错误; 与 垂直的单位向量的坐标为 或 ,因此C错误; 因为 , , 若向量 与向量 共线,则 , 解得 ,因此D正确. 故选:AD. 9.(2023·全国·高三专题练习)已知向量 , , ,则下列命题正确的是 ( ) A.当且仅当 时, B. 在 上的投影向量为 C.存在θ,使得 D.存在θ,使得 学科网(北京)股份有限公司 47【答案】ABD 【分析】根据给定条件,利用共线向量的坐标表示判断A;求出投影向量判断B;利用向量的坐标运算判 断C;利用数量积的运算律结合坐标运算判断D作答. 【详解】向量 , , , 对于A, ,A正确; 对于B,因为 ,则 在 上的投影向量为 ,B正确; 对于C, ,假定存在θ,使得 ,则有 , 而 ,即 不成立,因此不存在θ,使得 ,C错误; 对于D, ,即 , 则 ,因此存在θ,使得 ,D正确. 故选:ABD 三、填空题 10.(2023·安徽合肥·合肥市第八中学校考模拟预测)已知 ,则向量 在向量 上的 投影向量为___________. 【答案】 【分析】设 之间的夹角为 ,利用题意得到 , ,然后用投影向量公式进行求解即 可 【详解】设 之间的夹角为 , ,又 ,又 , 学科网(北京)股份有限公司 48所以向量 在向量 方向上的投影向量为 . 故答案为: . 11.(2023·甘肃张掖·高台县第一中学校考模拟预测)已知向量 , ,且 ,则向量 在 方向上的投影为______. 【答案】 【分析】根据已知条件,结合向量垂直的性质,求出 ,再结合投影公式,即可求解. 【详解】向量 , ,由 ,得 ,所以 , 所以 在 方向上的投影为 . 故答案为: . 12.(2023·吉林·吉林省实验校考模拟预测)设 , ,则 在 方向上的投影向量的坐标 为_________. 【答案】 【分析】根据投影向量的定义求解即可. 【详解】因为 , , 所以 向量在 方向的投影向量为 . 故答案为: . 13.(2023·湖北恩施·校考模拟预测)已知向量 , 的夹角为60°,向量 在向量 上的投影向量的长度 学科网(北京)股份有限公司 49为1, ,则 ______. 【答案】 【分析】由向量数量积的几何意义有 ,得 ,再应用向量数量积运算律求目标向量的 模. 【详解】由题意 ,则 , 由 ,故 . 故答案为: 14.(2023·全国·高三专题练习)已知非零向量 满足 ,且向量 在向量 方向的投 影向量是 ,则向量 与 的夹角是________. 【答案】 【分析】由垂直关系得出 ,由向量 在向量 方向的投影向量得出 ,由两式得出 ,进而得出夹角. 【详解】因为 ,所以 ,即 ①. 因为向量 在向量 方向的投影向量是 , 所以 .所以 ②, 将①代入②得, ,又 ,所以 .故答案为: 题型 六 平面向量的应用 学科网(北京)股份有限公司 50策略方法 平面向量常与平面几何、三角函数、解三角形、不等式、解析几何的问题综合起来考查,还 会与一些物理知识相结合考查.解决此类问题的关键是把向量作为载体,将题干关系转化为 向量的运算,进一步转化为实数运算来求解. 【典例1】已知 中, , ,则此三角形为( ) A.直角三角形 B.等边三角形 C.钝角三角形 D.等腰直角三角形 【答案】B 【分析】根据 即可得 为等腰三角形,又因为 可知 ,所以 为等边三角形. 【详解】如下图所示: 设M为AC中点,则 , 所以 ,即 为等腰三角形, 又 ,所以 , 即 , 所以 ,可得 , 综上可知三角形为等边三角形. 故选:B. 学科网(北京)股份有限公司 51【题型训练】 一、单选题 1.(2023·广东深圳·校考一模)已知△ABC是单位圆O的内接三角形,若 ,则 的最大值为 ( ) A. B. C.1 D. 【答案】C 【分析】由题设易知 且 、 ,进而判断 最大时 的关系 即可得答案. 【详解】由圆O是△ABC的外接圆,且 ,故 , 所以 ,则 , 所以 ,故 反向共线时 最大, 所以 . 故选:C 2.(2023·陕西西安·西北工业大学附属中学校考模拟预测)已知向量 , 满足同向共线,且 , ,则 ( ) A.3 B.15 C. 或15 D.3或15 【答案】D 学科网(北京)股份有限公司 52【分析】先根据题意确定向量 , 的倍数关系,然后可直接求解. 【详解】因为向量 , 满足同向共线,所以设 , 又因为 , ,所以 , 所以 或 ,即 或 . ①当 时, ; ②当 时, ; 所以 的值为3或15. 故选:D. 3.(2023·全国·高三专题练习)如图所示,在正方形ABCD中,已知| |=2,若点N为正方形内(含边界) 任意一点,则 的最大值是( ) A.2 B.3 C.4 D.5 【答案】C 【分析】以A为坐标原点建立直角坐标系,用坐标来求解即可. 【详解】以A为坐标原点建立如图所示的直角坐标系,则 ,设 , 则 , , ,所以 的最大值是4,当N在线段BC上时,都可以取到. 故选:C. 学科网(北京)股份有限公司 534.(2023·北京海淀·北大附中校考三模)设 均为非零向量,则“ ”是“对于任意的实数 ,都有 ”的( ) A.充分而不必要条件 B.必要而不充分条件 C.充分必要条件 D.既不允分也不必要条件 【答案】C 【分析】根据向量的运算法则和公式 进行化简,结合充分条件和必要条件的判定方法,即可求解. 【详解】由 ,则 ,即 , 当 时,可得 ,此时 恒成立, 即充分性成立; 当 对于任意的实数 恒成立时, 可得 ,又 , 所以 ,即必要性成立, 综上可得,“ ”是“对于任意的实数 ,都有 ”的充分必要条件. 故选:C. 5.(2023·湖南·校联考模拟预测)在 中,已知 ,向量 在向量 上的投影向量为 , 点 是 边上靠近 的三等分点,则 ( ) 学科网(北京)股份有限公司 54A.3 B.6 C.7 D.9 【答案】C 【分析】先根据投影向量的公式结合题干条件得到 ,然后利用向量的运算将 用 表示, 然后用向量的数量积进行运算. 【详解】 根据投影向量的计算公式,向量 在向量 上的投影向量为 , 由题意, ,于是 ,即 . 又 , ∴ . 故选:C 6.(2023·吉林长春·东北师大附中校考模拟预测)在矩形 中, 与 相交于点 , 过点 作 于 ,则 ( ) A. B. C. D. 【答案】D 【分析】建立直角坐标系,设 ,由 和 可列方程求出点E,再根据数量积坐标运算即 可求解. 【详解】建立如图所示直角坐标系: 学科网(北京)股份有限公司 55则 , 设 ,则 且 , ,解得 , , 在矩形 中, 为 的中点, 所以 ,由 , 所以 , , 故选:D. 7.(2023春·江苏·高三江苏省前黄高级中学校联考阶段练习)已知平面向量 , , 均为单位向量,且 , 的取值范围是( ) A. B. C. D. 【答案】C 【分析】由平面向量 , , 均为单位向量,且 ,根据向量的减法的几何意义,可判定 , 与 学科网(北京)股份有限公司 56构成等边三角形, , 向量夹角为 ,再化简原式 即可求解. 【详解】由平面向量 , , 均为单位向量,且 , 根据向量的减法的几何意义,可判定 , 与 构成等边三角形, 所以 , 向量夹角为 , , 所以当 与 同向时,原式取到最小值 ; 当 与 反向时,原式取到最大值4. 故选:C. 二、多选题 8.(2023·湖南衡阳·校考模拟预测)已知点 , , ,则下列说法正确的是 ( ) A. B.若 ,则 C.若 ,则 D.若 , 的夹角为锐角,则 且 【答案】AC 【分析】根据向量的模长,垂直,平行和夹角大小的定义,对下列各项逐一判断,即可得到本题答案. 【详解】因为 , , , 所以 , , 选项A: ,所以A正确; 选项B:因为 ,所以 ,所以 ,所以 ,所以B错误; 学科网(北京)股份有限公司 57选项C:因为 ,所以 ,所以 ,所以C正确; 选项D:因为 , 的夹角为锐角,且 ,所以 ,解得 ,所以D错误. 故选:AC 9.(2023·全国·高三专题练习)如图,已知扇形OAB的半径为1, ,点C、D分别为线段OA、 OB上的动点,且 ,点E为 上的任意一点,则下列结论正确的是( ) A. 的最小值为0 B. 的最小值为 C. 的最大值为1 D. 的最小值为0 【答案】BCD 【分析】以 为原点建立如图所示的直角坐标系,得 , ,设 ,则 ,求出 ,利用 的范围可判断A; 求出 、 的坐标,由 ,利用 的范围可判断B;设 ,可得 ,求出 、 ,由 ,利用 、 、 ,的范围可判断CD. 学科网(北京)股份有限公司 58【详解】 以 为原点建立如图所示的直角坐标系,所以 , , 设 ,则 , , ,所以 , 因为 ,所以 ,所以 , 所以 , 的最小值为 ,故A错误; , , 所以 , 因为 ,所以 ,所以 , 所以 , , 的最小值为 ,故B正确; 设 ,又 ,所以 ,可得 , , , 所以 学科网(北京)股份有限公司 59,其中 , 又 ,所以 ,所以 , , , ,所以 , 的最小值为0,故CD正确. 故选:BCD. 三、填空题 10.(2023·海南海口·海南华侨中学校考模拟预测)已知向量 , 不共线, , ,写出 一个符合条件的向量 的坐标:______. 【答案】 (答案不唯一) 【分析】设 ,由平行的坐标表示可得 ,再由数量积的定义可得 ,即可得出答案. 【详解】由题意得 , ,则 ,设 , 得 ,且 ,满足条件的向量 的坐标可以为 (答案不唯一或者 ). 故答案为: (答案不唯一) 11.(2023春·江苏徐州·高三徐州高级中学校考阶段练习)在 中,O为BC的中点,向量 , 的夹角为 , ,则线段AC的长度是______. 【答案】 【分析】根据条件可得 ,结合向量的模长公式以及数量积的运算,即可得到结果. 【详解】 , 学科网(北京)股份有限公司 60, . 故答案为: . 12.(2023·陕西咸阳·武功县普集高级中学校考模拟预测)已知 , 是非零向量, , , 向量 在向量 方向上的投影为 ,则 ________. 【答案】2 【分析】根据数量积的性质,结合投影定义求解可得. 【详解】∵ ,∴ ,∴ , ∵向量 在向量 方向上的投影为 ,∴ , ∴ , ∴ , ∴ . 故答案为:2 13.(2023·天津·校考模拟预测)已知O为矩形ABCD内一点,满足 , , ,则 __________. 【答案】 【分析】根据平面向量的线性运算、数量积的运算律以及余弦定理可求出结果. 【详解】 学科网(北京)股份有限公司 61.故答案为: . 14.(2023·四川成都·四川省成都市玉林中学校考模拟预测)如图,在矩形ABCD中, ,AC 与BD的交点为M,N为边AB上任意点(包含端点),则 的最大值为________. 【答案】 【分析】以点A为坐标原点, , 的方向为x轴,y轴正方向建立平面直角坐标系,写出对应点的坐 标,设 ,根据平面向量数量积的坐标运算即可求解. 【详解】以点A为坐标原点, , 的方向为x轴,y轴正方向,建立平面直角坐标系, 学科网(北京)股份有限公司 62则 , , ,设 , 所以 , ,则 , 因为 ,所以 ,即 的最大值为 . 故答案为: . 15.(2023春·四川成都·高三校联考期末)在 中, , , 为 所在平面内的 动点,且 ,则 的取值范围为______. 【答案】 【分析】由题意画出图形,建立平面直角坐标系,可得 与 的坐标,设 ,写出 ,再 由三角函数求最值即可. 【详解】由题意不妨设 , , 为 所在平面内的动点,且 , 设 , 则 , , , 由于 ,所以 的取值范围是 故答案为: 学科网(北京)股份有限公司 63学科网(北京)股份有限公司 64