当前位置:首页>文档>第24练平面向量的数量积及其应用(精练:基础+重难点)一轮复习讲义2024年高考数学高频考点题型归纳与方法总结(新高考通用)原卷版_02高考数学_新高考复习资料_2024年新高考资料

第24练平面向量的数量积及其应用(精练:基础+重难点)一轮复习讲义2024年高考数学高频考点题型归纳与方法总结(新高考通用)原卷版_02高考数学_新高考复习资料_2024年新高考资料

  • 2026-04-18 07:16:39 2026-04-18 07:16:39

文档预览

第24练平面向量的数量积及其应用(精练:基础+重难点)一轮复习讲义2024年高考数学高频考点题型归纳与方法总结(新高考通用)原卷版_02高考数学_新高考复习资料_2024年新高考资料
第24练平面向量的数量积及其应用(精练:基础+重难点)一轮复习讲义2024年高考数学高频考点题型归纳与方法总结(新高考通用)原卷版_02高考数学_新高考复习资料_2024年新高考资料
第24练平面向量的数量积及其应用(精练:基础+重难点)一轮复习讲义2024年高考数学高频考点题型归纳与方法总结(新高考通用)原卷版_02高考数学_新高考复习资料_2024年新高考资料
第24练平面向量的数量积及其应用(精练:基础+重难点)一轮复习讲义2024年高考数学高频考点题型归纳与方法总结(新高考通用)原卷版_02高考数学_新高考复习资料_2024年新高考资料
第24练平面向量的数量积及其应用(精练:基础+重难点)一轮复习讲义2024年高考数学高频考点题型归纳与方法总结(新高考通用)原卷版_02高考数学_新高考复习资料_2024年新高考资料
第24练平面向量的数量积及其应用(精练:基础+重难点)一轮复习讲义2024年高考数学高频考点题型归纳与方法总结(新高考通用)原卷版_02高考数学_新高考复习资料_2024年新高考资料
第24练平面向量的数量积及其应用(精练:基础+重难点)一轮复习讲义2024年高考数学高频考点题型归纳与方法总结(新高考通用)原卷版_02高考数学_新高考复习资料_2024年新高考资料
第24练平面向量的数量积及其应用(精练:基础+重难点)一轮复习讲义2024年高考数学高频考点题型归纳与方法总结(新高考通用)原卷版_02高考数学_新高考复习资料_2024年新高考资料
第24练平面向量的数量积及其应用(精练:基础+重难点)一轮复习讲义2024年高考数学高频考点题型归纳与方法总结(新高考通用)原卷版_02高考数学_新高考复习资料_2024年新高考资料
第24练平面向量的数量积及其应用(精练:基础+重难点)一轮复习讲义2024年高考数学高频考点题型归纳与方法总结(新高考通用)原卷版_02高考数学_新高考复习资料_2024年新高考资料
第24练平面向量的数量积及其应用(精练:基础+重难点)一轮复习讲义2024年高考数学高频考点题型归纳与方法总结(新高考通用)原卷版_02高考数学_新高考复习资料_2024年新高考资料
第24练平面向量的数量积及其应用(精练:基础+重难点)一轮复习讲义2024年高考数学高频考点题型归纳与方法总结(新高考通用)原卷版_02高考数学_新高考复习资料_2024年新高考资料
第24练平面向量的数量积及其应用(精练:基础+重难点)一轮复习讲义2024年高考数学高频考点题型归纳与方法总结(新高考通用)原卷版_02高考数学_新高考复习资料_2024年新高考资料
第24练平面向量的数量积及其应用(精练:基础+重难点)一轮复习讲义2024年高考数学高频考点题型归纳与方法总结(新高考通用)原卷版_02高考数学_新高考复习资料_2024年新高考资料
第24练平面向量的数量积及其应用(精练:基础+重难点)一轮复习讲义2024年高考数学高频考点题型归纳与方法总结(新高考通用)原卷版_02高考数学_新高考复习资料_2024年新高考资料
第24练平面向量的数量积及其应用(精练:基础+重难点)一轮复习讲义2024年高考数学高频考点题型归纳与方法总结(新高考通用)原卷版_02高考数学_新高考复习资料_2024年新高考资料
第24练平面向量的数量积及其应用(精练:基础+重难点)一轮复习讲义2024年高考数学高频考点题型归纳与方法总结(新高考通用)原卷版_02高考数学_新高考复习资料_2024年新高考资料

文档信息

文档格式
docx
文档大小
0.988 MB
文档页数
13 页
上传时间
2026-04-18 07:16:39

文档内容

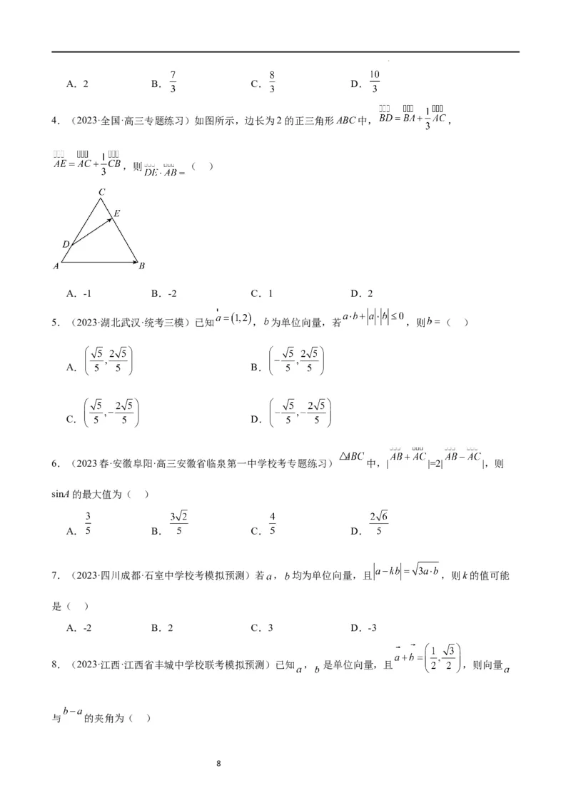
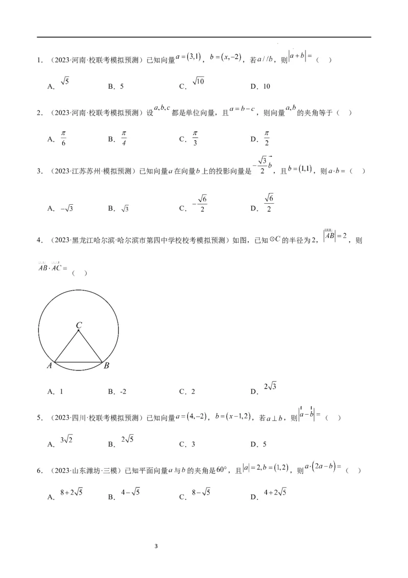
【一轮复习讲义】2024年高考数学高频考点题型归纳与方法总结(新高考通用) 第 24 练 平面向量的数量积及其应用(精练) 刷真题 明导向 一、单选题 1.(2022·全国·统考高考真题)已知向量 ,则 ( ) A.2 B.3 C.4 D.5 2.(2023·全国·统考高考真题)已知向量 ,则 ( ) A. B. C. D. 3.(2022·全国·统考高考真题)已知向量 满足 ,则 ( ) A. B. C.1 D.2 4.(2023·全国·统考高考真题)已知向量 ,若 ,则( ) A. B. C. D. 5.(2022·全国·统考高考真题)已知向量 ,若 ,则 ( ) A. B. C.5 D.6 6.(2023·北京·统考高考真题)已知向量 满足 ,则 ( ) A. B. C.0 D.1 7.(2021·浙江·统考高考真题)已知非零向量 ,则“ ”是“ ”的( ) A.充分不必要条件 B.必要不充分条件 C.充分必要条件 D.既不充分又不必要条件 8.(2023·全国·统考高考真题)已知向量 满足 ,且 ,则 学科网(北京)股份有限公司 1( ) A. B. C. D. 9.(2022·北京·统考高考真题)在 中, .P为 所在平面内的动点,且 ,则 的取值范围是( ) A. B. C. D. 二、填空题 10.(2022·全国·统考高考真题)已知向量 .若 ,则 ______________. 11.(2021·全国·统考高考真题)已知向量 ,若 ,则 __________. 12.(2021·全国·统考高考真题)已知向量 .若 ,则 ________. 13.(2021·全国·高考真题)若向量 满足 ,则 _________. 14.(2022·全国·统考高考真题)设向量 , 的夹角的余弦值为 ,且 , ,则 _________. 15.(2023·全国·统考高考真题)已知向量 , 满足 , ,则 ______. 16.(2021·全国·统考高考真题)已知向量 , , , _______. 三、双空题 17.(2021·天津·统考高考真题)在边长为1的等边三角形ABC中,D为线段BC上的动点, 且 交AB于点E. 且交AC于点F,则 的值为____________; 的最小值为 ____________. 【A组 在基础中考查功底】 一、单选题 学科网(北京)股份有限公司 21.(2023·河南·校联考模拟预测)已知向量 , ,若 ,则 ( ) A. B.5 C. D.10 2.(2023·河南·校联考模拟预测)设 都是单位向量,且 ,则向量 的夹角等于( ) A. B. C. D. 3.(2023·江苏苏州·模拟预测)已知向量 在向量 上的投影向量是 ,且 ,则 ( ) A. B. C. D. 4.(2023·黑龙江哈尔滨·哈尔滨市第四中学校校考模拟预测)如图,已知 的半径为2, ,则 ( ) A.1 B.-2 C.2 D. 5.(2023·四川·校联考模拟预测)已知向量 , ,若 ,则 ( ) A. B. C.3 D.5 6.(2023·山东潍坊·三模)已知平面向量 与 的夹角是 ,且 ,则 ( ) A. B. C. D. 学科网(北京)股份有限公司 37.(2023·人大附中校考三模)已知向量 , 与 共线,则 =( ) A.6 B.20 C. D.5 8.(2023·浙江·校联考模拟预测)已知单位向量 满足 ,其中 ,则 在 上 的投影向量是( ) A. B. C. D. 9.(2023·浙江宁波·镇海中学校考模拟预测)已知 , , ,则向量 在向量 方向 上的投影向量为( ) A. B. C. D. 10.(2023春·海南·高三海南中学校考阶段练习)已知向量 满足 ,且 与 夹角的余弦值 为 ,则 ( ) A. B. C.12 D.72 11.(2023·重庆·校联考三模)在 ABC中, , 且点D满足 ,则 ( ) △ A. B. C. D. 12.(2023·河南·校联考模拟预测)已知向量 , 满足 , , ,则 ( ) A. B. C.12 D.24 13.(2023·辽宁·校联考二模)已知向量 , , ,则实数m的值为( ). A. B. C. D.1 14.(2023·全国·校联考模拟预测)若平面向量 , 满足 ,且 与 垂直,则 与 的 夹角为( ) 学科网(北京)股份有限公司 4A. B. C. D. 15.(2023·甘肃·模拟预测)平行四边形 中, , , ,则 等于 ( ) A. B. C.4 D.8 16.(2023·江西上饶·校联考模拟预测)在矩形 中, , , 为 边的中点,则 ( ) A. B. C. D. 17.(2023·全国·高三专题练习)已知向量 ,若 ,则 的最小 值为( ) A.7 B. C.7+4 D.4 二、多选题 18.(2023·广东梅州·大埔县虎山中学校考模拟预测)已知平面向量 , ,则下列说法正 确的是( ) A. B. 在 方向上的投影向量为 C.与 垂直的单位向量的坐标为 D.若向量 与非零向量 共线,则 19.(2023·广东广州·统考三模)已知向量 , ,则( ) 学科网(北京)股份有限公司 5A. B. C. D. 在 上的投影向量是 20.(2023·湖南·校联考二模)已知向量 , // , , ,则( ) A. B. C. D. 21.(2023·山东滨州·统考二模)已知向量 , ,则下列说法正确的是( ) A.若 ,则 B.若 ∥ ,则 C.若 ,则 D.若 ,则向量 , 的夹角为钝角 22.(2023·全国·高三专题练习)已知向量 , ,且 ,则 ( ) A. B. C. D. 23.(2023·全国·模拟预测)有关平面向量的说法,下列错误的是( ) A.若 , ,则 B.若 与 共线且模长相等,则 C.若 且 与 方向相同,则 D. 恒成立 三、填空题 24.(2023·四川成都·树德中学校考模拟预测)已知向量 ,且 ,则 ___________. 25.(2023·四川巴中·南江中学校考模拟预测)已知向量 ,若 ,则 ___________. 26.(2023·河南濮阳·濮阳一高校考模拟预测)若 , , ,则 ______. 27.(2023·全国·高三专题练习)已知向量 , 满足 ,若 ,则 ______ 学科网(北京)股份有限公司 628.(2023·江西·统考模拟预测)已知单位向量 , 满足 ,则 __________. 29.(2023·全国·高三专题练习)已知非零向量 , 的夹角为 , , ,则 ______. 30.(2023·全国·高三专题练习)已知向量 , 满足 , ,则 在 上的投影向量 ______. 31.(2023·陕西咸阳·武功县普集高级中学校考模拟预测)已知菱形 中, ,则 __________. 32.(2023·陕西西安·校考模拟预测)若平面四边形 满足 , ,则该四 边形一定是______. 33.(2023·浙江温州·统考三模)在平行四边形 中,若 ,则 ___________. 【B组 在综合中考查能力】 一、单选题 1.(2023·山西朔州·怀仁市第一中学校校考模拟预测)已知菱形 的边长为2,且 ,则 的值为( ) A.2 B.4 C.6 D.8 2.(2023·河南郑州·三模)若向量 、 满足 ,则向量 与向量 的夹角为( ) A.30° B.60° C.120° D.150° 3.(2023·湖北·校联考三模)正 的边长为2, ,则 ( ) 学科网(北京)股份有限公司 7A.2 B. C. D. 4.(2023·全国·高三专题练习)如图所示,边长为2的正三角形ABC中, , ,则 ( ) A.-1 B.-2 C.1 D.2 5.(2023·湖北武汉·统考三模)已知 , 为单位向量,若 ,则 ( ) A. B. C. D. 6.(2023春·安徽阜阳·高三安徽省临泉第一中学校考专题练习) 中,| |=2| |,则 sinA的最大值为( ) A. B. C. D. 7.(2023·四川成都·石室中学校考模拟预测)若 , 均为单位向量,且 ,则k的值可能 是( ) A.-2 B.2 C.3 D.-3 8.(2023·江西·江西省丰城中学校联考模拟预测)已知 , 是单位向量,且 ,则向量 与 的夹角为( ) 学科网(北京)股份有限公司 8A. B. C. D. 9.(2023·吉林·统考模拟预测)点 是 的重心, ,则 ( ) A.32 B.30 C.16 D.14 10.(2023·江苏常州·江苏省前黄高级中学校考二模)已知平面向量 , 满足 ,则 的最 小值为( ) A.-1 B.0 C. D. 二、多选题 11.(2023·福建·统考模拟预测)已知向量 , ,则( ) A. B. C. 在 上的投影向量是 D. 在 上的投影向量是 12.(2023春·江苏宿迁·高三江苏省泗阳中学校考阶段练习)设 ,非零向量 , ,则( ). A.若 ,则 B.若 ,则 C.存在 ,使 D.若 ,则 13.(2023·山东·烟台二中校考模拟预测)已知向量 满足 ,且 ,则 ( ) A. B. C. D. 14.(2023春·西藏拉萨·高三拉萨中学校考阶段练习)在 ABC中,点D,E分别是BC,AC的中点,点O 为 ABC内的一点,则下列结论正确的是( ) △ △ A.若 ,则 学科网(北京)股份有限公司 9B.若 ,则 C.若 ,则 D.若点O为 ABC的外心,BC=4,则 △ 三、填空题 15.(2023·四川·校联考模拟预测)已知向量 , , ,则向量 与 的夹角 为______. 16.(2023·全国·高三专题练习)在边长为6的正 中,若点 满足 ,则 __________. 17.(2023·全国·高三专题练习)已知平面内非零向量 ,满足 ,则 __________. 18.(2023·全国·高三专题练习)如图,圆 为 的外接圆, , , 为边 的中点, 则 ______. 19.(2023·河北·模拟预测)已知平面向量 满足 且 ,当向量 与向量 的夹角最 大时,向量 的模为______. 20.(2023·全国·高三专题练习)已知平面向量 满足 , , ,则 的最小值为 _________ 学科网(北京)股份有限公司 1021.(2023·安徽宣城·统考二模)已知向量 满足 ,对任意的 的最小值为 , 则 与 的夹角为________. 【C组 在创新中考查思维】 一、单选题 1.(2023·河南安阳·安阳一中校考模拟预测)在 中,设 ,那么动点 的轨迹 必通过 的( ) A.垂心 B.内心 C.外心 D.重心 2.(2023·北京·高三专题练习)已知A,B,C是单位圆上的三个动点,则 的最小值是( ) A.0 B. C. D. 3.(2023·全国·高三专题练习)圆 为锐角 的外接圆, ,点 在圆 上,则 的 取值范围为( ) A. B. C. D. 4.(2023·全国·高三专题练习)已知平面向量 满足 ,且 ,则 的最大值为( ) A. B. C. D. 5.(2023·全国·高三专题练习)已知平面向量 、 、 满足 ,则 与 所成夹 角的最大值是( ) A. B. C. D. 6.(2023·全国·高三专题练习)已知 与 为单位向量,且 ⊥ ,向量 满足 ,则| |的可 能取值有( ) 学科网(北京)股份有限公司 11A.6 B.5 C.4 D.3 二、多选题 7.(2023·全国·高三专题练习)窗花是贴在窗子或窗户上的剪纸,是中国古老的传统民间艺术之一,图1 是一个正八边形窗花,图2是从窗花图中抽象出的几何图形的示意图.已知正八边形ABCDEFGH的边长为 ,P是正八边形ABCDEFGH边上任意一点,则下列结论正确的是( ) A. B. 在 向量上的投影向量为 C.若 ,则 为 的中点 D.若 在线段 上,且 ,则 的取值范围为 三、填空题 8.(2023·上海黄浦·格致中学校考三模)已知平面向量 , , 满足 , , ,则 的最大值为___________. 9.(2023·全国·高三专题练习)在 中,若 ,点 为边 的中点, ,则 的最小值为______. 10.(2023·全国·高三专题练习)已知 为单位向量,若 ,则 的取值范围为__________. 学科网(北京)股份有限公司 1211.(2023·全国·高三专题练习)已知 中, , , , 为 的外心,若 ,则 的值为____________. 12.(2023·全国·安阳市第二中学校联考模拟预测)已知 与 为相反向量,若 , ,则 , 夹角的余弦的最小值为______. 学科网(北京)股份有限公司 13