当前位置:首页>文档>第35讲空间向量的运算及其坐标表示(精讲)一轮复习讲义2024年高考数学高频考点题型归纳与方法总结(新高考通用)原卷版_02高考数学_新高考复习资料_2024年新高考资料

第35讲空间向量的运算及其坐标表示(精讲)一轮复习讲义2024年高考数学高频考点题型归纳与方法总结(新高考通用)原卷版_02高考数学_新高考复习资料_2024年新高考资料

  • 2026-04-19 00:49:40 2026-04-19 00:49:40

文档预览

第35讲空间向量的运算及其坐标表示(精讲)一轮复习讲义2024年高考数学高频考点题型归纳与方法总结(新高考通用)原卷版_02高考数学_新高考复习资料_2024年新高考资料
第35讲空间向量的运算及其坐标表示(精讲)一轮复习讲义2024年高考数学高频考点题型归纳与方法总结(新高考通用)原卷版_02高考数学_新高考复习资料_2024年新高考资料
第35讲空间向量的运算及其坐标表示(精讲)一轮复习讲义2024年高考数学高频考点题型归纳与方法总结(新高考通用)原卷版_02高考数学_新高考复习资料_2024年新高考资料
第35讲空间向量的运算及其坐标表示(精讲)一轮复习讲义2024年高考数学高频考点题型归纳与方法总结(新高考通用)原卷版_02高考数学_新高考复习资料_2024年新高考资料
第35讲空间向量的运算及其坐标表示(精讲)一轮复习讲义2024年高考数学高频考点题型归纳与方法总结(新高考通用)原卷版_02高考数学_新高考复习资料_2024年新高考资料
第35讲空间向量的运算及其坐标表示(精讲)一轮复习讲义2024年高考数学高频考点题型归纳与方法总结(新高考通用)原卷版_02高考数学_新高考复习资料_2024年新高考资料
第35讲空间向量的运算及其坐标表示(精讲)一轮复习讲义2024年高考数学高频考点题型归纳与方法总结(新高考通用)原卷版_02高考数学_新高考复习资料_2024年新高考资料
第35讲空间向量的运算及其坐标表示(精讲)一轮复习讲义2024年高考数学高频考点题型归纳与方法总结(新高考通用)原卷版_02高考数学_新高考复习资料_2024年新高考资料
第35讲空间向量的运算及其坐标表示(精讲)一轮复习讲义2024年高考数学高频考点题型归纳与方法总结(新高考通用)原卷版_02高考数学_新高考复习资料_2024年新高考资料
第35讲空间向量的运算及其坐标表示(精讲)一轮复习讲义2024年高考数学高频考点题型归纳与方法总结(新高考通用)原卷版_02高考数学_新高考复习资料_2024年新高考资料
第35讲空间向量的运算及其坐标表示(精讲)一轮复习讲义2024年高考数学高频考点题型归纳与方法总结(新高考通用)原卷版_02高考数学_新高考复习资料_2024年新高考资料
第35讲空间向量的运算及其坐标表示(精讲)一轮复习讲义2024年高考数学高频考点题型归纳与方法总结(新高考通用)原卷版_02高考数学_新高考复习资料_2024年新高考资料
第35讲空间向量的运算及其坐标表示(精讲)一轮复习讲义2024年高考数学高频考点题型归纳与方法总结(新高考通用)原卷版_02高考数学_新高考复习资料_2024年新高考资料
第35讲空间向量的运算及其坐标表示(精讲)一轮复习讲义2024年高考数学高频考点题型归纳与方法总结(新高考通用)原卷版_02高考数学_新高考复习资料_2024年新高考资料
第35讲空间向量的运算及其坐标表示(精讲)一轮复习讲义2024年高考数学高频考点题型归纳与方法总结(新高考通用)原卷版_02高考数学_新高考复习资料_2024年新高考资料
第35讲空间向量的运算及其坐标表示(精讲)一轮复习讲义2024年高考数学高频考点题型归纳与方法总结(新高考通用)原卷版_02高考数学_新高考复习资料_2024年新高考资料
第35讲空间向量的运算及其坐标表示(精讲)一轮复习讲义2024年高考数学高频考点题型归纳与方法总结(新高考通用)原卷版_02高考数学_新高考复习资料_2024年新高考资料
第35讲空间向量的运算及其坐标表示(精讲)一轮复习讲义2024年高考数学高频考点题型归纳与方法总结(新高考通用)原卷版_02高考数学_新高考复习资料_2024年新高考资料

文档信息

文档格式
docx
文档大小
0.938 MB
文档页数
14 页
上传时间
2026-04-19 00:49:40

文档内容

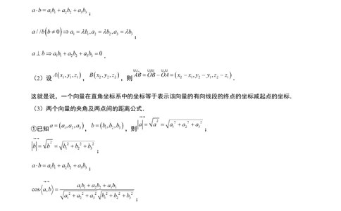
【一轮复习讲义】2024年高考数学高频考点题型归纳与方法总结(新高考通用) 第 35 讲 空间向量的运算及其坐标表示(精讲) 题型目录一览 ①空间向量的线性运算 ②空间共线、共面向量定理的应用 ③空间向量的数量积运算 一、知识点梳理 一、空间向量及其加减运算 (1)空间向量 在空间,我们把具有大小和方向的量叫做空间向量,向量的大小叫做向量的长度或模.空间向量也可用有 向线段表示,有向线段的长度表示向量的模,若向量 的起点是 ,终点是 ,则向量 也可以记作 ,其模记为 或 . (2)零向量与单位向量 规定长度为0的向量叫做零向量,记作 .当有向线段的起点 与终点 重合时, . 模为1的向量称为单位向量. (3)相等向量与相反向量 方向相同且模相等的向量称为相等向量.在空间,同向且等长的有向线段表示同一向量或相等向量. 空间任意两个向量都可以平移到同一个平面,成为同一平面内的两个向量. 与向量 长度相等而方向相反的向量,称为 的相反向量,记为 . (4)空间向量的加法和减法运算 ① , .如图所示.②空间向量的加法运算满足交换律及结合律 , 二、空间向量的数乘运算 (1)数乘运算 实数 与空间向量 的乘积 称为向量的数乘运算.当 时, 与向量 方向相同;当 时,向 量 与向量 方向相反. 的长度是 的长度的 倍. (2)空间向量的数乘运算满足分配律及结合律: , . (3)共线向量与平行向量 如果表示空间向量的有向线段所在的直线互相平行或重合,则这些向量叫做共线向量或平行向量, 平行 于 ,记作 . (4)共线向量定理:对空间中任意两个向量 , , 的充要条件是存在实数 ,使 . (5)直线的方向向量 为经过已知点 且平行于已知非零向量 的直线.对空间任意一点 ,点 在直线 上的充要条件是存在 实数 ,使 ①,其中向量 叫做直线 的方向向量,在 上取 ,则式①可化为 ② ①和②都称为空间直线的向量表达式,当 ,即点 是线段 的中点时, ,此式叫 做线段 的中点公式. (6)共面向量 如图8-154所示,已知平面 与向量 ,作 ,如果直线 平行于平面 或在平面 内,则说明向 量 平行于平面 .平行于同一平面的向量,叫做共面向量.(7)共面向量定理 如果两个向量 , 不共线,那么向量 与向量 , 共面的充要条件是存在唯一的有序实数对 ,使 . 推论:①空间一点 位于平面 内的充要条件是存在有序实数对 ,使 ;或对空 间任意一点 ,有 ,该式称为空间平面 的向量表达式. ②已知空间任意一点 和不共线的三点 , , ,满足向量关系式 (其中 )的点 与点 , , 共面;反之也成立. 三、空间向量的数量积运算 (1)两向量夹角 已知两个非零向量 , ,在空间任取一点 ,作 , ,则 叫做向量 , 的夹角,记 作 ,通常规定 ,如果 ,那么向量 , 互相垂直,记作 . (2)数量积定义 已知两个非零向量 , ,则 叫做 , 的数量积,记作 ,即 .零向 量与任何向量的数量积为0,特别地, . (3)空间向量的数量积满足的运算律: , (交换律);(分配律). 知识点四:空间向量的坐标运算及应用 (1)设 , ,则 ; ; ; ; ; . (2)设 , ,则 . 这就是说,一个向量在直角坐标系中的坐标等于表示该向量的有向线段的终点的坐标减起点的坐标. (3)两个向量的夹角及两点间的距离公式. ①已知 , ,则 ; ; ; ; ②已知 , ,则 , 或者 .其中 表示 与 两点间的距离,这就是空间两点的距离公式. (4)向量 在向量 上的投影为 . 二、题型分类精讲题型 一 空间向量的线性运算 策略方法 用基向量表示指定向量的方法 (1)结合已知向量和所求向量观察图形. (2)将已知向量和所求向量转化到三角形或平行四边形中. (3)利用三角形法则或平行四边形法则把所求向量用已知基向量表示出来. 【典例1】在空间四边形ABCD中,G为 的重心,E,F,H分别为边CD,AD和BC的中点,化 简下列各表达式. (1) ; (2) . 【题型训练】 一、单选题 1.(2023·全国·高三专题练习) ( ) A. B. C. D. 2.(2023·全国·高三专题练习)如图,在斜棱柱 中,AC与BD的交点为点M, , , ,则 ( )A. B. C. D. 3.(2023·全国·高三专题练习)已知四棱锥 ,底面 为平行四边形,M,N分别为棱BC, PD上的点, , ,设 , , ,则向量 用 为基底表示为 ( ) A. B. C. D. 4.(2023·全国·高三专题练习)已知在四面体 中, 为 的中点, ,若 ,则 ( ) A. B. C. D. 二、多选题 5.(2023·全国·高三专题练习)如图所示, M是四面体OABC的棱BC的中点,点N在线段OM上,点P 在线段AN上,且AP=3PN, ,设 , , ,则下列等式成立的是( )A. B. C. D. 三、填空题 6.(2023·全国·高三专题练习)在长方体 中,设 , , ,若用向量 、 、 表示向量 ,则 . 7.(2023·高三课时练习)已知在四面体O-ABC中,点M在线段OA上,且OM=2MA,点N为BC中点, 设 , , ,则 等于 . 题型二 空间共线、共面向量定理的应用 策略方法 证明三点共线和空间四点共面的方法比较 三点(P,A,B)共线 空间四点(M,P,A,B)共面 PA=λPB且同过点P MP=xMA+yMB 对空间任一点O,OP=OA+tAB 对空间任一点O,OP=OM+xMA+yMB 对空间任一点O,OP=xOM+yOA+(1-x- 对空间任一点O,OP=xOA+(1-x)OB y)OB 【典例1】已知向量 ,若 与 平行,则实数k的值为( ) A. B. C. D.2 【典例2】 为空间任意一点,若 ,若 、 、 、 四点共面,则 ( )A. B. C. D. 【题型训练】 一、单选题 1.(2023·全国·高三专题练习)已知向量 =(2m+1,3,m-1), =(2,m,-m),且 ,则实数m 的值等于( ) A. B.-2 C.0 D. 或-2 2.(2023·全国·高三专题练习)在下列命题中: ①若向量 共线,则向量 所在的直线平行; ②若向量 所在的直线为异面直线,则向量 一定不共面; ③若三个非零向量 两两共面,则向量 共面; ④已知空间的三个不共面向量 ,则对于空间的任意一个向量 ,总存在实数x,y,z使得 . 其中正确命题的个数是( ) A.0 B.1 C.2 D.3 3.(2023·全国·高三专题练习)设向量 不共面,空间一点 满足 ,则 四点共面的一组数对 是( ) A. B. C. D. 4.(2023·全国·高三专题练习)已知 ,若 三向量共面,则 等 于( )A. B.9 C. D. 5.(2023·全国·高三专题练习)已知 , , ,若 , , 三向量共面, 则 ( ) A.9 B.3 C. D. 二、多选题 6.(2023·全国·高三专题练习)若 构成空间的一个基底,则下列向量共面的是( ) A. B. C. D. 三、填空题 7.(2023·高三课时练习)已知向量 , ,若 ,则x+y的值为 . 8.(2023·高三课时练习)已知点 , , ,若 ,则 . 9.(2023·高三课时练习)已知 , , .若 、 、 三向量共面,则实 数 . 10.(2023·全国·高三专题练习)设点 在点 确定的平面上, 则实数 . 11.(2023·全国·高三专题练习)O为空间中任意一点,A,B,C三点不共线,且 , 若P,A,B,C四点共面,则实数 . 12.(2023秋·山东·高三山东省实验中学校考阶段练习)已知空间四边形ABCD的对角线为AC与BD, M,N分别为线段AB,CD上的点满足 , ,点G在线段MN上,且满足 , 若 ,则 . 13.(2023·上海·高三专题练习)在正方体 中,点M和N分别是矩形ABCD和 的中心,若点P满足 ,其中 ,且 ,则点P可以是正方体表 面上的点 . 题型三 空间向量的数量积运算 策略方法 空间向量数量积的应用 【典例1】已知正四面体 的棱长为1,如图所示,求: (1) ; (2) ; (3) . 【题型训练】 一、单选题 1.(2023·江苏淮安·江苏省郑梁梅高级中学校考模拟预测)已知正四面体 的棱长为1,且 ,则 ( ) A. B. C. D. 2.(2023·全国·高三专题练习)已知空间四边形 的每条边和对角线的长都等于a,点E、F分别是 、 的中点,则 的值为( ) A. B. C. D. 3.(2023·全国·高三专题练习)在正三棱柱 中,若 ,则 在 上的投影向量为 ( ) A. B. C. D. 4.(2023·全国·高三专题练习已知 ,则 ( ) A. B.1 C.0 D.2 5.(2023秋·北京·高三北理工附中校考阶段练习)已知平面向量 , ,则 与 的夹角为( ) A. B. C. D. 6.(2023·全国·高三专题练习)已知 为标准正交基底, ,则 在 方向上的投影数量为 ( ) A.1 B.-1 C. D.- 7.(2023·江西南昌·校联考模拟预测)如图,在三棱柱 中,底面边长和侧棱长均相等,,则异面直线 与 所成角的余弦值为( ) A. B. C. D. 8.(2023·江苏淮安·统考模拟预测)在四面体 中, , , , ,则 的值为( ) A.7 B.9 C.11 D.13 9.(2023秋·福建莆田·高三莆田一中校考开学考试)如图,平行六面体 的底面 是 矩形, , , ,且 ,则线段 的长为( ) A. B. C. D. 10.(2023·陕西西安·校考模拟预测)已知点P在棱长为2的正方体 的表面上运动,则 的最大值为( ) A.6 B.7 C.8 D.9 二、多选题 11.(2023秋·福建莆田·高三莆田八中校考阶段练习)设 、 为空间中的任意两个非零向量,下列各式 中正确的有( )A. B. C. D. 12.(2023·全国·高三专题练习)下面四个结论正确的是( ) A.空间向量 ,若 ,则 B.若空间四个点 , ,则 三点共线 C.已知向量 ,若 ,则 为钝角 D.任意向量 满足 13.(2023·全国·高三专题练习)已知ABCD﹣ABC D 为正方体,下列说法中正确的是( ) 1 1 1 1 A. B. C.向量 与向量 的夹角是60° D.正方体ABCD﹣ABC D 的体积为 1 1 1 1 三、填空题 14.(2023·全国·高三专题练习)已知向量 ,且 ,则实数 . 15.(2023·全国·高三专题练习)已知空间向量 , ,则 在 方向上的投影向量为 . 16.(2023·全国·高三专题练习)已知 ,则 , , , , . 17.(2023·全国·高三专题练习)已知 与 夹角为60°且 , ,则 在 方向上的投影向量是. 18.(2023·高三课时练习)若ABCD为空间四边形,则 . 19.(2023·河北·统考模拟预测)点 、 分别是正四面体ABCD棱 、 的中点,则 .