当前位置:首页>文档>第23讲平面向量基本定理和坐标表示(精讲)一轮复习讲义2024年高考数学高频考点题型归纳与方法总结(新高考通用)原卷版_2.2025数学总复习_2024年新高考资料_1.2024一轮复习

第23讲平面向量基本定理和坐标表示(精讲)一轮复习讲义2024年高考数学高频考点题型归纳与方法总结(新高考通用)原卷版_2.2025数学总复习_2024年新高考资料_1.2024一轮复习

  • 2026-04-02 15:23:30 2026-03-25 10:15:20

文档预览

第23讲平面向量基本定理和坐标表示(精讲)一轮复习讲义2024年高考数学高频考点题型归纳与方法总结(新高考通用)原卷版_2.2025数学总复习_2024年新高考资料_1.2024一轮复习
第23讲平面向量基本定理和坐标表示(精讲)一轮复习讲义2024年高考数学高频考点题型归纳与方法总结(新高考通用)原卷版_2.2025数学总复习_2024年新高考资料_1.2024一轮复习
第23讲平面向量基本定理和坐标表示(精讲)一轮复习讲义2024年高考数学高频考点题型归纳与方法总结(新高考通用)原卷版_2.2025数学总复习_2024年新高考资料_1.2024一轮复习
第23讲平面向量基本定理和坐标表示(精讲)一轮复习讲义2024年高考数学高频考点题型归纳与方法总结(新高考通用)原卷版_2.2025数学总复习_2024年新高考资料_1.2024一轮复习
第23讲平面向量基本定理和坐标表示(精讲)一轮复习讲义2024年高考数学高频考点题型归纳与方法总结(新高考通用)原卷版_2.2025数学总复习_2024年新高考资料_1.2024一轮复习
第23讲平面向量基本定理和坐标表示(精讲)一轮复习讲义2024年高考数学高频考点题型归纳与方法总结(新高考通用)原卷版_2.2025数学总复习_2024年新高考资料_1.2024一轮复习
第23讲平面向量基本定理和坐标表示(精讲)一轮复习讲义2024年高考数学高频考点题型归纳与方法总结(新高考通用)原卷版_2.2025数学总复习_2024年新高考资料_1.2024一轮复习
第23讲平面向量基本定理和坐标表示(精讲)一轮复习讲义2024年高考数学高频考点题型归纳与方法总结(新高考通用)原卷版_2.2025数学总复习_2024年新高考资料_1.2024一轮复习
第23讲平面向量基本定理和坐标表示(精讲)一轮复习讲义2024年高考数学高频考点题型归纳与方法总结(新高考通用)原卷版_2.2025数学总复习_2024年新高考资料_1.2024一轮复习
第23讲平面向量基本定理和坐标表示(精讲)一轮复习讲义2024年高考数学高频考点题型归纳与方法总结(新高考通用)原卷版_2.2025数学总复习_2024年新高考资料_1.2024一轮复习
第23讲平面向量基本定理和坐标表示(精讲)一轮复习讲义2024年高考数学高频考点题型归纳与方法总结(新高考通用)原卷版_2.2025数学总复习_2024年新高考资料_1.2024一轮复习

文档信息

文档格式
docx
文档大小
0.662 MB
文档页数
11 页
上传时间
2026-03-25 10:15:20

文档内容

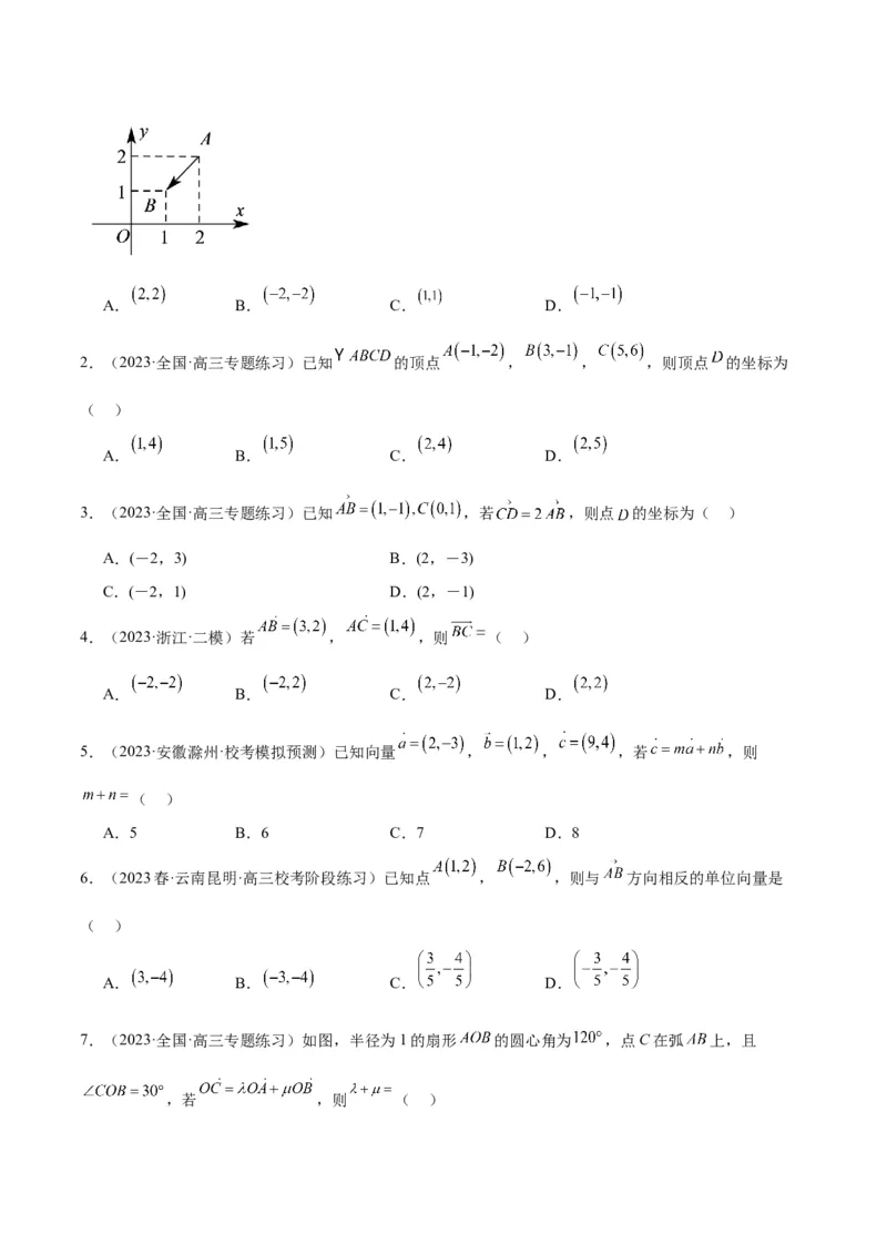
【一轮复习讲义】2024年高考数学高频考点题型归纳与方法总结(新高考通用) 第 23 讲 平面向量基本定理和坐标表示(精讲) 题型目录一览 ①平面向量基本定理的应用 ②平面向量的坐标运算 ③向量共线的坐标表示 一、知识点梳理 一、平面向量基本定理和性质 (1)共线向量定理 如果 ,则 ;反之,如果 且 ,则一定存在唯一的实数 ,使 .(口 诀:数乘即得平行,平行必有数乘). (2)三点共线定理 平面内三点A,B,C共线的充要条件是:存在实数 ,使 ,其中 , 为平面 内一点. 若A、B、C三点共线 存在唯一的实数 ,使得 存在唯一的实数 ,使得 存在唯一的实数 ,使得 存在 ,使得 . (3)中线向量定理 如图所示,在 中,若点D是边BC的中点,则中线向量 ,反之亦正确. A B C D 二、平面向量的坐标表示及坐标运算 (1)平面向量的坐标表示在平面直角坐标中,分别取与 轴, 轴正半轴方向相同的两个单位向量 作为基底,那么由平面向量 基本定理可知,对于平面内的一个向量 ,有且只有一对实数 使 ,我们把有序实数对 叫做向量 的坐标,记作 . (2)向量的坐标表示和以坐标原点为起点的向量是一一对应的,即有 向量 向量 点 . (3)设 , ,则 , ,即两个向量的和与差 的坐标分别等于这两个向量相应坐标的和与差. 若 , ,即实数与向量的积的坐标,等于用该实数乘原来向量的相应坐 为实数,则 标. (4)设 , ,则 = ,即一个向量的坐标等于该向量的有向线 段的终点的坐标减去始点坐标. 三、平面向量的直角坐标运算 ①已知点 , ,则 , ②已知 , ,则 , , 【常用结论】 ①减法公式: ,常用于向量式的化简. ② 、 、 三点共线 ,这是直线的向量式方程. ③ 二、题型分类精讲 题型 一 平面向量基本定理的应用 策略方法 平面向量基本定理解决问题的一般思路(1)先选择一组基底,并运用该基底将条件和结论表示为向量的形式,再通过向量的运算来解 决. (2)在基底未给出的情况下,合理地选取基底会给解题带来方便.另外,要熟练运用平面几何 的一些性质定理. 【典例1】在平行四边形ABCD中, , . (1)如图1,如果E、F分别是BC,DC的中点,试用 分别表示 ; (2)如图2,如果O是AC与BD的交点,G是DO的中点,试用 表示 . 【题型训练】 一、单选题 1.(2023春·重庆万州·高三重庆市万州第二高级中学校考阶段练习)在 中, ,E为AD 中点,则 ( ) A. B. C. D. 2.(2023·广东汕头·统考三模)如图,点D、E分别AC、BC的中点,设 , ,F是DE的中点, 则 ( )A. B. C. D. 3.(2023·四川泸州·四川省泸县第四中学校考模拟预测)在平行四边形 中,M为 的中点, ,则 ( ) A. B. C. D. 4.(2023·山西大同·统考模拟预测)在 ABC中,D为BC中点,M为AD中点, ,则 △ ( ) A. B. C.1 D. 5.(2023·内蒙古赤峰·赤峰二中校联考模拟预测)在 中, 是 中线 的中点,过点 的直线 交边 于点M,交边 于点N,且 , ,则 ( ) A. B.2 C. D.4 6.(2023·全国·高三专题练习)在平行四边形ABCD中,AC与BD相交于点O,点E是线段OD的中点, AE的延长线与CD交于点F,若 =a, =b,且 =λa+μb,则λ+μ等于( ) A.1 B. C. D. 二、多选题 7.(2023·江苏苏州·模拟预测)在 中,记 , ,点 在直线 上,且 .若,则 的值可能为( ) A. B. C. D.2 8.(2023·全国·高三专题练习)如图,在 中,若点 , , 分别是 , , 的中点,设 , , 交于一点 ,则下列结论中成立的是( ) A. B. C. D. 三、填空题 9.(2023春·贵州黔东南·高三校考阶段练习)在 中,若点 满足 ,设 , 则 ______. 10.(2023·江苏镇江·江苏省镇江中学校考三模)在 中, ,点 是 的中点.若存在实数 使得 ,则 __________(请用数字作答). 11.(2023·福建漳州·统考三模)已知 ,点D满足 ,点E为线段CD上异于C,D的动点, 若 ,则 的取值范围是_________. 四、解答题 12.(2023春·湖南长沙·高三校联考期中)如图在 ABC中,点D是AC的中点,点E是BD的中点,设 △ = , = .(1)用 表示向量 ; (2)若点F在AC上,且 ,求AF∶CF. 题型二 平面向量的坐标运算 策略方法 平面向量坐标运算的技巧 (1)利用向量加、减、数乘运算的法则来进行求解,若已知有向线段两端点的坐标,则应先求 向量的坐标. (2)解题过程中,常利用“向量相等,则坐标相同”这一结论,由此可列方程(组)进行求解. 【典例1】如图,平面上 , , 三点的坐标分别为 , , . (1)写出向量 , , 的坐标; (2)如果四边形 是平行四边形,求 的坐标. 【题型训练】 一、单选题 1.(2023·全国·高三专题练习)在如图所示的平面直角坐标系中,向量 的坐标是( )A. B. C. D. 2.(2023·全国·高三专题练习)已知 的顶点 , , ,则顶点 的坐标为 ( ) A. B. C. D. 3.(2023·全国·高三专题练习)已知 ,若 ,则点 的坐标为( ) A.(-2,3) B.(2,-3) C.(-2,1) D.(2,-1) 4.(2023·浙江·二模)若 , ,则 ( ) A. B. C. D. 5.(2023·安徽滁州·校考模拟预测)已知向量 , , ,若 ,则 ( ) A.5 B.6 C.7 D.8 6.(2023春·云南昆明·高三校考阶段练习)已知点 , ,则与 方向相反的单位向量是 ( ) A. B. C. D. 7.(2023·全国·高三专题练习)如图,半径为1的扇形 的圆心角为 ,点C在弧 上,且 ,若 ,则 ( )A. B. C. D. 8.(2023·全国·高三专题练习)在平面直角坐标系 中,设 ,向量 ,则 的最小值为( ) A.1 B.2 C. D. 二、填空题 9.(2023·河北·高三学业考试)若 ,A点的坐标为 ,则B点的坐标为__________. 10.(2023·四川绵阳·模拟预测)已知 , ,且 ,则点M的坐标为______. 11.(2023·贵州·统考模拟预测)已知向量 ,且 ,则 __________. 三、解答题 12.(2023·全国·高三专题练习)已知 , , ,且 , ,求点 及向量 的坐标. 题型三 向量共线的坐标表示 策略方法 平面向量共线的坐标表示问题的解题策略 (1)如果已知两向量共线,求某些参数的取值时,利用“若a=(x ,y ),b=(x ,y ),则a∥b 1 1 2 2 的充要条件是x y =x y ”. 1 2 2 1(2)在求与一个已知向量a共线的向量时,可设所求向量为λa(λ∈R). 【典例1】已知 , , . (1)若 ,求 的值; (2)若 , 且 , , 三点共线,求 的值. 【题型训练】 一、单选题 1.(2023·河南·襄城高中校联考三模)已知向量 ,若 ,则实数 ( ) A.5 B.4 C.3 D.2 2.(2023·广东佛山·校考模拟预测)梯形 中, ,已知 ,则 ( ) A. B. C. D. 3.(2023·江西上饶·校联考模拟预测)已知向量 ,若 与 共线,则 ( ) A.4 B.3 C.2 D.1 4.(2023·黑龙江哈尔滨·哈尔滨三中校考模拟预测)在平面直角坐标系中,向量 , , ,若A,B,C三点共线,则 的值为( ) A. B. C. D. 5.(2023·江苏扬州·扬州中学校考模拟预测)已知向量 , ,则“ ”是“ ”的( ) A.充分不必要条件 B.必要不充分条件C.充要条件 D.既不充分也不必要条件 6.(2023春·陕西榆林·高三绥德中学校考阶段练习)在 中,点 满足 与 交于点 ,若 ,则 ( ) A. B. C. D. 二、填空题 7.(2023·北京·北京四中校考模拟预测)已知向量 ,若 ,则实数 ______. 8.(2023·重庆沙坪坝·重庆南开中学校考模拟预测)已知 ,若 与 平行,则 实数 ______________. 9.(2023·广西南宁·南宁三中校考一模)已知向量 , ,若 与 方向相反,则 ______. 10.(2023·福建龙岩·统考模拟预测)已知向量 ,若 ,则 ___________. 11.(2023·辽宁沈阳·统考一模)已知向量 , ,且 ,则 等于 ______. 三、解答题 12.(2023春·四川遂宁·高三四川省射洪市柳树中学校考阶段练习)已知 . (1)若 三点共线,求实数 的值;(2)证明:对任意实数 ,恒有 成立.