当前位置:首页>文档>第43讲双曲线及其性质(精讲)一轮复习讲义2024年高考数学高频考点题型归纳与方法总结(新高考通用)原卷版_02高考数学_新高考复习资料_2024年新高考资料_一轮复习资料

第43讲双曲线及其性质(精讲)一轮复习讲义2024年高考数学高频考点题型归纳与方法总结(新高考通用)原卷版_02高考数学_新高考复习资料_2024年新高考资料_一轮复习资料

  • 2026-04-19 03:22:03 2026-04-19 03:04:47

文档预览

第43讲双曲线及其性质(精讲)一轮复习讲义2024年高考数学高频考点题型归纳与方法总结(新高考通用)原卷版_02高考数学_新高考复习资料_2024年新高考资料_一轮复习资料
第43讲双曲线及其性质(精讲)一轮复习讲义2024年高考数学高频考点题型归纳与方法总结(新高考通用)原卷版_02高考数学_新高考复习资料_2024年新高考资料_一轮复习资料
第43讲双曲线及其性质(精讲)一轮复习讲义2024年高考数学高频考点题型归纳与方法总结(新高考通用)原卷版_02高考数学_新高考复习资料_2024年新高考资料_一轮复习资料
第43讲双曲线及其性质(精讲)一轮复习讲义2024年高考数学高频考点题型归纳与方法总结(新高考通用)原卷版_02高考数学_新高考复习资料_2024年新高考资料_一轮复习资料
第43讲双曲线及其性质(精讲)一轮复习讲义2024年高考数学高频考点题型归纳与方法总结(新高考通用)原卷版_02高考数学_新高考复习资料_2024年新高考资料_一轮复习资料
第43讲双曲线及其性质(精讲)一轮复习讲义2024年高考数学高频考点题型归纳与方法总结(新高考通用)原卷版_02高考数学_新高考复习资料_2024年新高考资料_一轮复习资料
第43讲双曲线及其性质(精讲)一轮复习讲义2024年高考数学高频考点题型归纳与方法总结(新高考通用)原卷版_02高考数学_新高考复习资料_2024年新高考资料_一轮复习资料
第43讲双曲线及其性质(精讲)一轮复习讲义2024年高考数学高频考点题型归纳与方法总结(新高考通用)原卷版_02高考数学_新高考复习资料_2024年新高考资料_一轮复习资料
第43讲双曲线及其性质(精讲)一轮复习讲义2024年高考数学高频考点题型归纳与方法总结(新高考通用)原卷版_02高考数学_新高考复习资料_2024年新高考资料_一轮复习资料
第43讲双曲线及其性质(精讲)一轮复习讲义2024年高考数学高频考点题型归纳与方法总结(新高考通用)原卷版_02高考数学_新高考复习资料_2024年新高考资料_一轮复习资料
第43讲双曲线及其性质(精讲)一轮复习讲义2024年高考数学高频考点题型归纳与方法总结(新高考通用)原卷版_02高考数学_新高考复习资料_2024年新高考资料_一轮复习资料
第43讲双曲线及其性质(精讲)一轮复习讲义2024年高考数学高频考点题型归纳与方法总结(新高考通用)原卷版_02高考数学_新高考复习资料_2024年新高考资料_一轮复习资料
第43讲双曲线及其性质(精讲)一轮复习讲义2024年高考数学高频考点题型归纳与方法总结(新高考通用)原卷版_02高考数学_新高考复习资料_2024年新高考资料_一轮复习资料
第43讲双曲线及其性质(精讲)一轮复习讲义2024年高考数学高频考点题型归纳与方法总结(新高考通用)原卷版_02高考数学_新高考复习资料_2024年新高考资料_一轮复习资料
第43讲双曲线及其性质(精讲)一轮复习讲义2024年高考数学高频考点题型归纳与方法总结(新高考通用)原卷版_02高考数学_新高考复习资料_2024年新高考资料_一轮复习资料
第43讲双曲线及其性质(精讲)一轮复习讲义2024年高考数学高频考点题型归纳与方法总结(新高考通用)原卷版_02高考数学_新高考复习资料_2024年新高考资料_一轮复习资料
第43讲双曲线及其性质(精讲)一轮复习讲义2024年高考数学高频考点题型归纳与方法总结(新高考通用)原卷版_02高考数学_新高考复习资料_2024年新高考资料_一轮复习资料
第43讲双曲线及其性质(精讲)一轮复习讲义2024年高考数学高频考点题型归纳与方法总结(新高考通用)原卷版_02高考数学_新高考复习资料_2024年新高考资料_一轮复习资料
第43讲双曲线及其性质(精讲)一轮复习讲义2024年高考数学高频考点题型归纳与方法总结(新高考通用)原卷版_02高考数学_新高考复习资料_2024年新高考资料_一轮复习资料
第43讲双曲线及其性质(精讲)一轮复习讲义2024年高考数学高频考点题型归纳与方法总结(新高考通用)原卷版_02高考数学_新高考复习资料_2024年新高考资料_一轮复习资料
第43讲双曲线及其性质(精讲)一轮复习讲义2024年高考数学高频考点题型归纳与方法总结(新高考通用)原卷版_02高考数学_新高考复习资料_2024年新高考资料_一轮复习资料
第43讲双曲线及其性质(精讲)一轮复习讲义2024年高考数学高频考点题型归纳与方法总结(新高考通用)原卷版_02高考数学_新高考复习资料_2024年新高考资料_一轮复习资料
第43讲双曲线及其性质(精讲)一轮复习讲义2024年高考数学高频考点题型归纳与方法总结(新高考通用)原卷版_02高考数学_新高考复习资料_2024年新高考资料_一轮复习资料
第43讲双曲线及其性质(精讲)一轮复习讲义2024年高考数学高频考点题型归纳与方法总结(新高考通用)原卷版_02高考数学_新高考复习资料_2024年新高考资料_一轮复习资料
第43讲双曲线及其性质(精讲)一轮复习讲义2024年高考数学高频考点题型归纳与方法总结(新高考通用)原卷版_02高考数学_新高考复习资料_2024年新高考资料_一轮复习资料
第43讲双曲线及其性质(精讲)一轮复习讲义2024年高考数学高频考点题型归纳与方法总结(新高考通用)原卷版_02高考数学_新高考复习资料_2024年新高考资料_一轮复习资料
第43讲双曲线及其性质(精讲)一轮复习讲义2024年高考数学高频考点题型归纳与方法总结(新高考通用)原卷版_02高考数学_新高考复习资料_2024年新高考资料_一轮复习资料
第43讲双曲线及其性质(精讲)一轮复习讲义2024年高考数学高频考点题型归纳与方法总结(新高考通用)原卷版_02高考数学_新高考复习资料_2024年新高考资料_一轮复习资料
第43讲双曲线及其性质(精讲)一轮复习讲义2024年高考数学高频考点题型归纳与方法总结(新高考通用)原卷版_02高考数学_新高考复习资料_2024年新高考资料_一轮复习资料
第43讲双曲线及其性质(精讲)一轮复习讲义2024年高考数学高频考点题型归纳与方法总结(新高考通用)原卷版_02高考数学_新高考复习资料_2024年新高考资料_一轮复习资料
第43讲双曲线及其性质(精讲)一轮复习讲义2024年高考数学高频考点题型归纳与方法总结(新高考通用)原卷版_02高考数学_新高考复习资料_2024年新高考资料_一轮复习资料
第43讲双曲线及其性质(精讲)一轮复习讲义2024年高考数学高频考点题型归纳与方法总结(新高考通用)原卷版_02高考数学_新高考复习资料_2024年新高考资料_一轮复习资料
第43讲双曲线及其性质(精讲)一轮复习讲义2024年高考数学高频考点题型归纳与方法总结(新高考通用)原卷版_02高考数学_新高考复习资料_2024年新高考资料_一轮复习资料
第43讲双曲线及其性质(精讲)一轮复习讲义2024年高考数学高频考点题型归纳与方法总结(新高考通用)原卷版_02高考数学_新高考复习资料_2024年新高考资料_一轮复习资料
第43讲双曲线及其性质(精讲)一轮复习讲义2024年高考数学高频考点题型归纳与方法总结(新高考通用)原卷版_02高考数学_新高考复习资料_2024年新高考资料_一轮复习资料
第43讲双曲线及其性质(精讲)一轮复习讲义2024年高考数学高频考点题型归纳与方法总结(新高考通用)原卷版_02高考数学_新高考复习资料_2024年新高考资料_一轮复习资料

文档信息

文档格式
docx
文档大小
1.734 MB
文档页数
32 页
上传时间
2026-04-19 03:04:47

文档内容

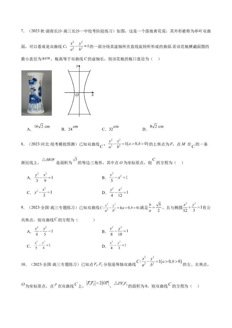
【一轮复习讲义】2024年高考数学高频考点题型归纳与方法总结(新高考通用) 第 43 讲 双曲线及其性质(精讲) 题型目录一览 ①双曲线的定义及其应用 ②求双曲线的标准方程 ③双曲线的几何性质 ④双曲线的渐近线 ⑤双曲线的离心率 一、知识点梳理 一、双曲线的定义 平面内与两个定点 的距离的差的绝对值等于常数(大于零且小于 )的点的轨迹叫做双曲线(这 两个定点叫双曲线的焦点).用集合表示为 . 注意:(1)若定义式中去掉绝对值,则曲线仅为双曲线中的一支;(2)当 时,点的轨迹是以 和 为端点的两条射线;当 时,点的轨迹是线段 的垂直平分线;(3) 时,点的轨 迹不存在.注:①条件“ ”是否成立;②要先定型(焦点在哪个轴上),再定量(确定 , 的值),注意 的应用. 二、双曲线的方程、图形及性质 标准方程图形 A 2 焦点坐标 , , 对称性 关于 , 轴成轴对称,关于原点成中心对称 顶点坐标 , , 范围 实轴、虚轴 实轴长为 ,虚轴长为 离心率 渐近线方程 令 , 令 , 焦点到渐近线的距离为 焦点到渐近线的距离为 共焦点的双 曲线方程 共渐近线的 双曲线方程 通径 通径(过焦点且垂直于 的弦)是同支中的最短弦,其长为 等轴双曲线满足如下充要条件:双曲线为等轴双曲线 离心率 两渐 等轴双曲线 近线互相垂直 渐近线方程为 方程可设为 . 【常用结论】 1.双曲线的通径 过双曲线的焦点且与双曲线实轴垂直的直线被双曲线截得的线段,称为双曲线的通径.通径长为 . 2.点与双曲线的位置关系 对于双曲线 ,点 在双曲线内部,等价于 . 点 在双曲线外部,等价于 结合线性规划的知识点来分析. 3.双曲线常考性质性质1:双曲线的焦点到两条渐近线的距离为常数 ;顶点到两条渐近线的距离为常数 ; 性质2:双曲线上的任意点 到双曲线C的两条渐近线的距离的乘积是一个常数 ; 4.焦点三角形 双曲线焦点三角形面积为 (可以这样理解,顶点越高,张角越小,分母越小,面积越大) 5.双曲线的切线 点 在双曲线 上,过点 作双曲线的切线方程为 .若点 在双曲线 外,则点 对应切点弦方程为 二、题型分类精讲 题型 一 双曲线的定义及其应用 策略方法 双曲线定义的应用 (1)判定满足某条件的平面内动点的轨迹是不是双曲线,进而根据要求可求出曲线方程. (2)结合||PF |-|PF ||=2a,建立|PF |与|PF |的关系. 1 2 1 2 【典例1】(单选题)已知双曲线 的左焦点为 ,点 是双曲线 右支上的一点,点 是 圆 上的一点,则 的最小值为( ) A.5 B. C.7 D.8 【题型训练】 一、单选题 1.(2023·全国·高三专题练习)已知点 , ,则在平面内满足下列条件的动点P的轨迹为 双曲线的是( ) A. B.C. D. 2.(2023秋·江苏·高三江苏省梁丰高级中学校联考阶段练习)设P是双曲线 上一点,F,F 分 1 2 别是双曲线左、右两个焦点,若|PF|=9,则|PF|等于( ) 1 2 A.1 B.17 C.1或17 D.8 3.(2023·全国·高三专题练习)已知动点 满足 ,则动点 的轨迹 是( ) A.射线 B.直线 C.椭圆 D.双曲线的一支 4.(2023·全国·高三专题练习)在平面直角坐标系 中,已知点 , ,动点Р满足 ,则动点P的轨迹是( ) A.椭圆 B.抛物线 C.双曲线 D.双曲线的一支 5.(2023·全国·高三专题练习)已知 的顶点 , ,若 的内切圆圆心在直线 上,则顶点C的轨迹方程是( ) A. B. C. D. 6.(2023·河南·校联考模拟预测)已知点 在双曲线 上,双曲线的左、右焦点分别 记为 , ,已知 , , 为坐标原点.则( ) A. B. C. D. 7.(2023·吉林通化·梅河口市第五中学校考模拟预测)已知 , 是双曲线 的左、右焦点,点M在双曲线的右支上,设M到直线 的距离为d,则 的最小值为( ) A.7 B. C.8 D. 8.(2023·全国·高三专题练习)设 , 是双曲线 的两个焦点, 是双曲线上的一点,且 ,则 的面积等于( ) A.24 B. C. D.30 9.(2023·全国·高三专题练习)已知双曲线 ,点 为其两个焦点,点 为双曲线上一点,若 ,则三角形 的面积为( ) A.2 B. C. D. 10.(2023·河南郑州·统考模拟预测)已知双曲线 的左焦点为 ,过原点 的直线与 交于 点 , ,若 ,则 ( ) A.2 B.4 C.8 D.16 11.(2023·青海玉树·统考模拟预测)已知 , 为双曲线 的左、右焦点,点P是C的右支 上的一点,则 的最小值为( ) A.16 B.18 C. D. 12.(2023·四川达州·统考二模)设 , 是双曲线C: 的左、右焦点,过 的直线与C的右支 交于P,Q两点,则 ( )A.5 B.6 C.8 D.12 13.(2023秋·福建漳州·高三漳州三中校考阶段练习)已知双曲线 的左右焦点分别为 , 过 的直线分别交双曲线 的左右两支于 两点,且 ,则 ( ) A. B. C. D. 二、填空题 14.(2023·全国·高三专题练习)已知双曲线 的左右两个焦点分别是 ,双曲线上一点 满 足 ,则 . 15.(2023·高三课时练习)已知双曲线E: 的左、右焦点分别为 、 ,点P在双曲线E上, 且 ,则 = . 16.(2023·新疆乌鲁木齐·统考三模)已知双曲线 的左右焦点分别为 , ,过 的直线交 双曲线C的右支于A,B两点,若 的周长为20,则线段AB的长为 . 17.(2023·上海·高三专题练习)设 为双曲线 : 左、右焦点,且 的离心率为 , 若点M在 的左支上,直线 与 的左支相交于另一点N,且 ,则 . 18.(2023·北京·101中学校考三模)已知 分别是双曲线 的左右焦点, 是 上 的一点,且 ,则 的周长是 . 19.(2023秋·江西南昌·高三南昌市外国语学校校考阶段练习)已知 是双曲线 的左焦点, 是双曲线右支上的动点,则 的最小值为 . 20.(2023·全国·高三专题练习)已知双曲线x2 y2 =1,点F,F 为其两个焦点,点P为双曲线上一点, 1 2若P F ⊥PF ,则∣P F ∣+∣P F ∣的值为 . 1 2 1 2 21.(2023·安徽滁州·安徽省定远中学校考二模)已知曲线C: ,点M与曲线C的焦 点不重合.已知M关于曲线C的焦点的对称点分别为A,B,线段MN的中点在曲线C上,若m=1时, 的值为a,m=-1时, 的值为b,则 的值为 . 题型二 求双曲线的标准方程 策略方法 求双曲线的标准方程的方法 (1)定义法:由题目条件判断出动点轨迹是双曲线,由双曲线定义,确定2a,2b或2c,从而求 出a2,b2,写出双曲线方程. (2)待定系数法:先确定焦点在x轴还是y轴,设出标准方程,再由条件确定a2,b2的值,即 “先定型,再定量”,如果焦点位置不好确定,可将双曲线方程设为-=λ(λ≠0),再根据条件 求λ的值. 【典例1】求适合下列条件的圆锥曲线的标准方程. (1)中心在原点,实轴在 轴上,一个焦点坐标为 的等轴双曲线; (2)椭圆 的中心在原点,焦点在 轴上,焦距为 ,且它的一个顶点坐标为 . 【题型训练】 一、单选题 1.(2023·全国·高三专题练习)已知双曲线的两个焦点分别为 , ,双曲线上一点P与 F,F 的距离差的绝对值等于6,则双曲线的标准方程为( ) 1 2 A. - =1 B. - =1 C. - =1 D. - =12.(2023·全国·高三专题练习)以 为焦点且过点P(2,1)的双曲线方程是( ) A. B. C. D. 3.(2023秋·四川成都·高三校考开学考试)若双曲线的渐近线方程为 ,实轴长为 ,且焦点 在x轴上,则该双曲线的标准方程为( ) A. 或 B. C. D. 4.(2023·全国·高三专题练习)已知双曲线 的右焦点为 ,一条渐近线方程为 ,则C的方程为( ) A. B. C. D. 5.(2023春·北京·高三北京市第五中学校考阶段练习)双曲线 过点 ,且离心率为 ,则该双曲线的标准方程为( ) A. B. C. D. 6.(2023·全国·高三专题练习)经过点 和 的双曲线的标准方程是( ) A. B. C. D.7.(2023秋·湖南长沙·高三长沙一中校考阶段练习)如图,这是一个落地青花瓷,其外形被称为单叶双曲 面,可以看成是双曲线C: 的一部分绕其虚轴所在直线旋转所形成的曲面.若该花瓶横截面圆的 最小直径为8 ,瓶高等于双曲线C的虚轴长,则该花瓶的瓶口直径为( ) A. B.24 C.32 D. 8.(2023·河北·统考模拟预测)已知双曲线 : 的上焦点为F,点M 在 的一条 渐近线上, 是面积为 的等边三角形,其中点О为坐标原点,则 的方程为( ) A. B. C. D. 9.(2023·全国·高三专题练习)已知双曲线 满足 ,且与椭圆 有公 共焦点,则双曲线 的方程为( ) A. B. C. D. 10.(2023·全国·高三专题练习)已知点 分别是等轴双曲线 的左、右焦点, 为坐标原点,点 在双曲线 上, , 的面积为8,则双曲线 的方程为( )A. B. C. D. 11.(2023·四川泸州·泸县五中校考模拟预测)设 分别是双曲线 的左、右焦点, 为坐标原点,过左焦点 作直线 与圆 切于点 ,与双曲线右支交于点 ,且满足 , ,则双曲线的方程为( ) A. B. C. D. 12.(2023·全国·校联考三模)若双曲线 与双曲线 有相同的焦距,且 过点 ,则双 曲线 的标准方程为( ) A. B. C. 或 D. 或 13.(2023·全国·模拟预测)已知双曲线 的左、右焦点分别为 , ,过点 且垂 直于x轴的直线与该双曲线的左支交于A,B两点.若 的周长为24, ,则该双曲线的标 准方程为( ) A. B. C. D. 14.(2023秋·北京·高三东直门中学校考开学考试)双曲线 的左、右焦点分别为 .过 作其中一条渐近线的垂线,垂足为 .已知 ,直线 的斜率为 ,则双曲线的方 程为( )A. B. C. D. 15.(2023·四川凉山·三模)已知以直线 为渐近线的双曲线,经过直线 与直线 的交点,则双曲线的实轴长为( ). A.6 B. C. D.8 16.(2023·全国·高三专题练习)已知双曲线 的焦点为 , ,过 的直线 与 的左支相 交于 两点,过 的直线 与 的右支相交于 , 两点,若四边形 为平行四边形,以 为直 径的圆过 , ,则 的方程为( ) A. B. C. D. 二、填空题 17.(2023·全国·高三专题练习)已知双曲线 的离心率 ,实半轴长为4,则双曲线的方程 为 . 18.(2023·全国·高三专题练习)经过点 且焦点为 , 的双曲线的标准方程是 . 19.(2023秋·云南保山·高三统考期末)已知双曲线 的焦距为4,焦点到渐近线的距离是 1,则 的标准方程为 . 20.(2023·宁夏银川·六盘山高级中学校考三模)已知双曲线以两坐标轴为对称轴,且它的一个顶点为 ,它的一条渐近线方程为 ,则双曲线的标准方程为 .21.(2023·贵州毕节·校考模拟预测)已知双曲线 的左、右焦点分别为 ,存在过点 的直线与双曲 线 的右支交于 两点,且 为正三角形.试写出一个满足上述条件的双曲线 的方程: . 22.(2023·重庆·统考模拟预测)双曲线 : 的焦距是4,其渐近线与圆 : 相切,则双曲线 的方程为 . 23.(2023春·江西·高三校联考阶段练习)已知双曲线 的渐近线方程为 ,且点 在 上, 则双曲线 的方程为 . 24.(2023·全国·高三专题练习)已知双曲线 过三点 , , 中 的两点,则 的方程为 . 25.(2023·全国·高三专题练习)已知双曲线 和椭圆 有相同的焦点,则 的最小值为 . 26.(2023·上海·高三专题练习)过原点的直线 与双曲线 的左、右两支分别交于 , 两点, 为 的右焦点,若 ,且 ,则双曲线 的方程为 . 27.(2023·全国·高三专题练习)已知双曲线的中心在原点,右顶点为 ,点 在双曲线的右支上, 点 到直线 的距离为1.当 时, 的内心恰好是点 ,则双曲线的方程 . 题型三 双曲线的 简单 几何性质 策略方法 处理双曲线的简单几何性质问题思路 处理双曲线的问题的时候,如果需要画图,注意作图规范,结合图象分析,另外因为双曲线 有两条渐近线,所以要分清楚,到底是点在双曲线上还是渐近线上,切勿搞混.【典例1】(单选题)双曲线 的实轴长是虚轴长的3倍,则m的值为( ) A.9 B.-9 C. D. 【题型训练】 一、单选题 1.(2023·全国·高三专题练习)双曲线 的实轴长为4,则其渐近线方程为( ) A. B. C. D. 2.(2023·全国·高三专题练习)已知双曲线 的离心率为 ,则双曲线的虚轴长为( ) A.2 B.4 C.8 D.16 3.(2023春·江西·高三校联考阶段练习)已知双曲线 ,下列结论正确的是( ) A.C的实轴长为 B.C的渐近线方程为 C.C的离心率为 D.C的一个焦点的坐标为 4.(2023·全国·高三专题练习)已知等轴双曲线C的焦距为12,则C的实轴长为( ) A.3 B.6 C.12 D.6 5.(2023·全国·模拟预测)已知直线 经过双曲线 的一个焦点,且平行 于 的一条渐近线,则 的实轴长为( ) A. B. C. D. 6.(2023秋·辽宁锦州·高三渤海大学附属高级中学校考期末)已知椭圆 : 和双曲线 : 有公共的焦点 , ,点P是 与 在第一象限内的交点,则下列说法中的正确个数为( ) ①椭圆的短轴长为 ; ②双曲线的虚轴长为 ; ③双曲线 的离心率恰好为椭圆 离心率的两倍; ④ 是一个以 为底的等腰三角形. A.4 B.3 C.2 D.1 7.(2023秋·北京·高三北京一七一中校考开学考试)“ ”是“双曲线 : 的虚轴长为 2”的( ) A.充分但不必要条件 B.必要但不充分条件 C.充要条件 D.既不充分也不必要条件 8.(2023·甘肃陇南·统考一模)已知双曲线 : 的左顶点为 ,右焦点为 ,焦距 为6,点 在双曲线 上,且 , ,则双曲线 的实轴长为( ) A.2 B.4 C.6 D.8 9.(2023·全国·高三专题练习)若实数 满足 ,则曲线 与曲线 的 A.实半轴长相等 B.虚半轴长相等 C.离心率相等 D.焦距相等 10.(2023·高三课时练习)已知 ,则双曲线 : 与 : 的( ) A.实轴长相等 B.虚轴长相等 C.离心率相等 D.焦距相等 11.(2023·全国·高三专题练习)已知点P是双曲线 上的动点,过原点O的直线l与双曲线分别 相交于M、N两点,则 的最小值为( ) A.4 B.3 C.2 D.1 二、多选题12.(2023·全国·高三专题练习)已知双曲线 : ,则下列选项中正确的是( ) A. 的焦点坐标为 B. 的顶点坐标为 C. 的离心率为 D. 的焦点到渐近线的距离为3 13.(2023秋·河北·高三校联考开学考试)已知双曲线 ,且p,q,r依次成公比为2的等比 数列,则( ) A.C的实轴长为4 B.C的离心率为 C.C的焦点到渐近线的距离为 D.过焦点与C相交所得弦长为4的直线有3条 14.(2023秋·河北秦皇岛·高三校联考开学考试)已知双曲线 ,左、右焦点为 , 为双 曲线上一点,则下列正确的是( ) A.离心率为 B.渐近线方程为 C.虚轴长为4 D.若 ,则 15.(2023·全国·高三专题练习)已知双曲线 的左、右焦点分别为 ,离心率为 为 上一点,则( ) A.双曲线 的实轴长为2 B.双曲线 的一条渐近线方程为 C. D.双曲线 的焦距为4 16.(2023春·河北石家庄·高三校联考开学考试)已知双曲线E ,则( )A. ,E的渐近线方程为 B. ,E的离心率为 C. ,E的离心率为 D. ,E的虚轴长为2 17.(2023·海南省直辖县级单位·统考模拟预测)设 、 分别是双曲线 : 的左、右焦 点,且 ,则下列结论正确的有( ) A. B.当 时, 的离心率是 C.当 时, 到渐近线的距离随着 的增大而减小 D.当 时, 的实轴长是虚轴长的两倍 18.(2023·全国·高三专题练习)已知点 ,点 是双曲线 左支上的动点, 是圆 上的动点,则( ) A. 的实轴长为6 B. 的渐近线为 C. 的最小值为 D. 的最小值为 三、填空题 19.(2023秋·浙江·高三校联考阶段练习)若双曲线的焦距为6,实轴长为2,则该双曲线的虚轴长为 . 20.(2023秋·河南洛阳·高三伊川县第一高中校联考开学考试)已知双曲线 的离心率为3, 则双曲线 的虚轴长为 . 21.(2023·北京海淀·北大附中校考三模)双曲线 的顶点坐标为 .22.(2023·江西南昌·校联考模拟预测)已知双曲线 ( , )的一条渐近线恰好平分 第一、三象限,若 的虚轴长为4,则 的实轴长为 . 23.(2023·全国·高三专题练习)如图,正方形内的图形来自中国古代的太极图.勤劳而充满智慧的我国古 代劳动人民曾用太极图解释宇宙现象.太极图由正方形的内切圆(简称大圆)和两个互相外切且半径相等的圆 (简称小圆)的半圆弧组成,两个小圆与大圆均内切.若正方形的边长为8,则以两个小圆的圆心(图中两个黑 白点视为小圆的圆心)为焦点,正方形对角线所在直线为渐近线的双曲线实轴长是 . 24.(2023·全国·高三专题练习)已知双曲线的中心在原点,右顶点为 ,点 在双曲线的右支上, 点 到直线 的距离为1.当 时, 的内心恰好是点 ,则双曲线的方程 . 25.(2023秋·上海青浦·高三上海市青浦高级中学校考阶段练习)已知P(x,y),P(x,y)两点均 1 1 1 2 2 2 在双曲线Γ: (a>0)的右支上,若 恒成立,则实数a的取值范围为 . 题型四 双曲线的渐近线 策略方法 求双曲线渐近线方程的方法 求双曲线-=1(a>0,b>0)或-=1(a>0,b>0)的渐近线方程的方法是令右边的常数等于0,即 令-=0,得y=±x;或令-=0,得y=±x. 【典例1】(单选题)已知双曲线 的离心率为 ,则其两条渐近线所成的锐角的 余弦值为( ) A. B. C. D.【题型训练】 一、单选题 1.(2023·全国·高三专题练习)下列双曲线中,渐近线方程为 的是 A. B. C. D. 2.(2023·全国·高三对口高考)设双曲线 的渐近线方程为 ,则 的值为( ) A.4 B.3 C.2 D.1 3.(2023·北京·高三专题练习)已知双曲线 的一个焦点为 ,则双曲线 的一条渐近线 方程为( ) A. B. C. D. 4.(2023·全国·高三专题练习)已知双曲线 的渐近线方程为 ,则 ( ) A. B. C. D. 5.(2023·云南·校联考模拟预测)双曲线 的两条渐近线的夹角为( ) A. B. C. D. 6.(2023·全国·高三专题练习)已知点F是双曲线 的右焦点,点P是双曲线上在第一象限内的 一点,且PF与x轴垂直,点Q是双曲线渐近线上的动点,则 的最小值为( ) A. B. C. D. 7.(2023·天津滨海新·天津市滨海新区塘沽第一中学校考三模)点F是抛物线 的焦点,A为双曲线C: 的左顶点,直线AF平行于双曲线C的一条渐近线,则实数b的值为( ) A.2 B.4 C.8 D.16 8.(2023·河南开封·统考三模)已知双曲线 的左、右焦点分别为 , , 则双曲线的渐近线方程式为( ) A. B. C. D. 9.(2023·四川遂宁·射洪中学校考模拟预测)已知双曲线 的右焦点为 ,点 ,若直 线 与 只有一个交点,则 ( ) A. B. C. D. 10.(2023·河南·统考二模)已知圆 与双曲线 的渐近线相切,则双曲线 C的焦距为( ) A.2 B. C. D.4 11.(2023·陕西·西北工业大学附属中学校联考模拟预测)已知双曲线 的左、右 焦点分别为 , ,点M,N在双曲线C上, .若 为等边三角形,且 , 则双曲线C的渐近线方程为( ) A. B. C. D. 12.(2023·江西上饶·校联考模拟预测)已知双曲线 以正方形 的两个顶点 为焦点,且经过该正方形的另两个顶点,设双曲线 的一条渐近线斜率为 ,则 为( )A. B. C. D. 13.(2023·贵州遵义·统考三模)过双曲线 的左焦点F作C的其中一条渐近线的 垂线l,垂足为M,l与C的另一条渐近线交于点N,且 ,则C的渐近线方程为( ) A. B. C. D. 14.(2023·全国·高三专题练习)双曲线 : 的一条渐近线与圆: 交于第一象限的一 点 ,记双曲线 的右焦点为 ,左顶点为 ,则 的值为( ) A.0 B.4 C.7 D.12 15.(2023春·上海宝山·高三上海交大附中校考阶段练习)已知抛物线 上一点 到其焦点的距离为5,双曲线 的左顶点为A,若双曲线的一条渐近线与直线AM 平行,则实数a的值为( ) A. B. C. D. 16.(2023秋·重庆沙坪坝·高三重庆一中校考阶段练习)已知双曲线 的左、右焦 点分别为 , ,点 在 上,且 , ,则 的渐近线方程为( ) A. B. C. D. 17.(2023·四川·校联考一模)双曲线C: 的离心率为 ,直线 与C的两条渐近线分别交于点A,B,若点 满足 ,则 ( ) A. B.-1 C.1 D.3 18.(2023·四川·校联考一模)双曲线C: 的离心率为 ,直线 与C 的两条渐近线分别交于点A,B,若点 满足 ,则 ( ) A. 或0 B.-2 C. 或0 D.3 19.(2023·四川·校联考模拟预测)已知 , 分别是双曲线 的左、右焦点,过 的直线分别交双曲线左、右两支于A,B两点,点C在x轴上, , 平分 ,则双曲线 的渐近线方程为( ) A. B. C. D. 20.(2023秋·河北邯郸·高三统考阶段练习)设 , 是双曲线 的左、右焦点,过 的直 线 交双曲线的左支于 , 两点,若直线 为双曲线的一条渐近线, ,则 的 值为( ) A.11 B.12 C.14 D.16 21.(2023秋·福建三明·高三统考期末)已知双曲线 , 为双曲线 上任意一点,过点 分 别作双曲线 的两条浙近线的垂线,垂足分别为 , ,则 的最小值为( ) A. B. C. D. 22.(2023秋·湖北武汉·高三武汉市第四十九中学校考阶段练习)如图所示,点 是双曲线的左、右焦点,双曲线 的右支上存在一点 满足 与双曲线 的左支 的交点 平分线段 ,则双曲线 的渐近线斜率为( ) A. 3 B. C. D. 23.(2023·四川成都·石室中学校考模拟预测)过原点的直线与双曲线 交于A,B两 点,以AB为直径的圆恰好经过双曲线的右焦点F,若 ABF的面积为 ,则双曲线的渐近线方程为 △ ( ) A. B. C. D. 二、填空题 24.(2023·全国·高三专题练习)双曲线 的渐近线方程为 ,则 . 25.(2023春·河北唐山·高三开滦第二中学校考阶段练习)过点 且与双曲线 的一条渐 近线平行的直线方程为 . 26.(2023·宁夏石嘴山·平罗中学校考二模)若双曲线 的渐近线与圆 相 切,则 . 27.(2023·河北唐山·统考二模)已知直线 : 过双曲线 : 的一 个焦点,且与 的一条渐近线平行,则 的实轴长为 .28.(2023秋·山东聊城·高三校联考期末)双曲线 ,离心率为 ,焦点 到渐近 线距离为1,则双曲线方程为 . 29.(2023春·江西·高三校联考阶段练习)设双曲线 的左,右焦点分别为 ,左, 右顶点分别为 ,以 为直径的圆与双曲线的渐近线在第四象限的交点为 ,若 为等腰三角形, 则直线 的斜率的大小为 . 30.(2023秋·四川成都·高三成都市锦江区嘉祥外国语高级中学校考开学考试)双曲线 的实轴长、虚轴长、焦距依次成等差数列,则这个双曲线的渐近线方程为 . 31.(2023·全国·高三专题练习)已知 为双曲线 的两个焦点,过点 且垂直于x 轴的直线交双曲线于点P,且 ,则此双曲线的渐近线方程为 . 32.(2023·广东佛山·校考模拟预测)已知双曲线 的左右焦点分别为 ,直线 与双曲线 的一条渐近线平行,过 作 ,垂足为 ,则 的面积为 . 33.(2023·安徽安庆·统考二模)已知双曲线 , 的两个焦点分别为 , ,过 轴 上方的焦点 的直线与双曲线上支交于 , 两点,以 为直径的圆经过点 ,若 , , 成等差数列,则该双曲线的渐近线方程为 . 34.(2023春·四川南充·高三四川省南充市高坪中学校考开学考试)已知双曲线 的一 条渐近线方程为 ,若直线 与 只有一个公共点,则实数 的值为 35.(2023·山东泰安·统考模拟预测)已知双曲线 的左右焦点分别为 ,过 作渐近线的垂线交双曲线的左支于点 ,已知 ,则双曲线的渐近线方程为 . 36.(2023春·湖南衡阳·高三衡阳市一中校考阶段练习)已知双曲线 的上、下焦点 分别为 , , 的一条渐近线过点 ,点 在 上,且 ,则 . 37.(2023·江苏·统考模拟预测)已知双曲线C: 的左、右焦点分别为 , ,过 点 作斜率为 的直线交C右支于M,N两点,且 .写出C的一条渐近线方程 . 38.(2023·西藏拉萨·统考一模)已知点 是双曲线C: 右支上的一点,过点Р作双曲 线C的两条渐近线的垂线,垂足分别为M,N,若 的最小值是 ,则 . 题型 五 双曲线的离心率 策略方法 求双曲线的离心率或其范围的方法 (1)求a,b,c的值,由==1+直接求e. (2)列出含有a,b,c的齐次方程(或不等式),借助于b2=c2-a2消去b,然后转化成关于e的 方程(或不等式)求解. 【典例1】(单选题)已知双曲线 ( )的左右焦点分别是 , ,点 在第一象限 且在 的渐近线上, 是以 为斜边的等腰直角三角形,则双曲线 的离心率为( ) A. B. C.3 D.2 【题型训练】 一、单选题 1.(2023·北京大兴·校考三模)实轴长和虚轴长相等的双曲线称为等轴双曲线,则等轴双曲线的离心率为 ( )A. B.2 C. D.3 2.(2023·北京·高三专题练习)已知双曲线 的离心率是2,则 ( ) A.12 B. C. D. 3.(2023·全国·高三专题练习)已知 , 是双曲线C的两个焦点,P为双曲线上的一点,且 ;则C的离心率为( ) A.1 B.2 C.3 D.4 4.(2023·全国·高三专题练习)已知点 在双曲线 的渐近线上,则双曲线的离 心率为( ) A. B.2 C. D. 5.(2023·辽宁·校联考模拟预测)已知双曲线C的顶点为 , ,虚轴的一个端点为B,且 是一 个等边三角形,则双曲线C的离心率为( ) A.2 B. C.3 D. 6.(2023秋·河北·高三统考阶段练习)已知双曲线 的两条渐近线的夹角为 ,则此双 曲线的离心率 为( ) A.2或 B. C. D. 或2 7.(2023·河北保定·统考二模)已知双曲线 的右焦点为 为虚轴上端点, 是 中点, 为坐标原点, 交双曲线右支于 ,若 垂直于 轴,则双曲线 的离心率为( ) A. B.2 C. D.8.(2023春·河南·高三校联考阶段练习)已知 , 分别为双曲线 的左、右焦点,点 在 的右支上,点 在直线 上,若 ,则双曲线 的离心率的 取值范围是( ) A. B. C. D. 9.(2023秋·浙江·高三浙江省普陀中学校联考开学考试)已知双曲线 : ( , ), 、 分别为左、右焦点,点 在双曲线上, , 到左焦点 的距离是 到右焦点 的距离的3 倍,则双曲线的离心率是( ) A. B. C.2 D. 10.(2023春·河南·高三校联考阶段练习)已知圆 与双曲线 的一条 渐近线相切,则双曲线的离心率为( ) A. B. C. D. 11.(2023秋·贵州贵阳·高三贵阳一中校考阶段练习)若过双曲线 的一个焦点作双 曲线的一条渐近线的垂线,垂线交 轴于点 ( 为双曲线的半焦距),则此双曲线的离心率是 ( ) A. B. C. D.12.(2023·陕西西安·陕西师大附中校考模拟预测)已知双曲线 的左、右焦点分别 为 ,过点 且垂直于 轴的直线与该双曲线的左支交于 两点,若 的周长为 ,则当 取 得最大值时,该双曲线的离心率为( ) A. B. C. D. 13.(2023·河北沧州·校考模拟预测)已知双曲线 , 为原点, 分别为该双曲 线的左,右顶点 分别为该双曲线的左、右焦点,第二象限内的点 在双曲线的渐近线上, 为 的平分线,且线段 的长为焦距的一半,则该双曲线的离心率为( ) A. B. C.2 D. 14.(2023秋·四川成都·高三校考阶段练习)已知过双曲线 : 的右焦点 作 轴的垂线与两条渐近线交于 , , 的面积为 ,则该双曲线的离心率为( ) A. B. C.2 D. 15.(2023·江西赣州·统考二模)已知双曲线 的左、右焦点分别是 , ,直线 分别经过双曲线的实轴和虚轴的一个端点, , 到直线 的距离和大于实轴长,则双曲线的离心率的取 值范围是( ) A. B. C. D.16.(2023·福建泉州·统考模拟预测)已知双曲线C的焦点分别为 ,虚轴为 .若四边形 的一个内角为120°,则C的离心率等于( ) A. B. C. D.3 17.(2023·辽宁沈阳·沈阳二中校考模拟预测)已知双曲线 的左焦点为 ,双曲线 上的两点 关于原点 对称(其中点 在双曲线 的右支上),且 ,双曲线 上的点 满足 ,则双曲线 的离心率为( ) A. B. C. D. 18.(2023·甘肃酒泉·统考三模)已知双曲线 的右焦点为 ,过点 的直线 与 双曲线 的右支交于 , 两点,且 ,点 关于原点 的对称点为点 ,若 ,则双 曲线 的离心率为( ) A. B. C. D. 19.(2023·陕西商洛·镇安中学校考模拟预测)已知双曲线 的左焦点为 ,右顶点 为 ,一条渐近线与圆 在第一象限交于点 , 交 轴于点 ,且 ,则 的离心率为( ) A. B.2 C. D. 20.(2023·全国·高三专题练习)已知双曲线C: 的右焦点F的坐标为 ,点P在第一象限且在双曲线C的一条渐近线上,O为坐标原点,若 , ,则双曲线C的离心率为 ( ) A. B.2 C. D.3 21.(2023·福建福州·福建省福州第一中学校考二模)圆 ( 为原点)是半径为 的圆分别与 轴负半 轴、双曲线 的一条渐近线交于 两点( 在第一象限),若 的另一条渐近线与直 线 垂直,则 的离心率为( ) A.3 B.2 C. D. 22.(2023·四川成都·石室中学校考模拟预测)已知双曲线 的右顶点为A,左、右 焦点分别为 , ,以 为直径的圆与双曲线C的渐近线在第一象限的交点为M,且 ,则 该双曲线的离心率为( ) A. B. C. D. 23.(2023·四川成都·校考模拟预测)以双曲线 的实轴为直径的圆与该双曲线的渐近 线分别交于A,B,C,D四点,若四边形 的面积为 ,则该双曲线的离心率为( ) A. 或2 B.2或 C. D. 二、填空题 24.(2023秋·河南周口·高三校联考阶段练习)已知双曲线 的离心率为2,则实数 . 25.(2023秋·江苏南京·高三南京市第九中学校考阶段练习)已知双曲线 ( , )的 离心率为 ,若直线 与 无公共点,则e的取值范围是 .26.(2023秋·山东聊城·高三校联考期末)双曲线 ,离心率为 ,焦点 到渐近 线距离为1,则双曲线方程为 . 27.(2023秋·河北沧州·高三校联考阶段练习)已知双曲线 的右顶点为A,左、 右焦点分别为 , ,渐近线在第一象限的部分上存在一点P,且 ,直线 的斜率为 ,则 该双曲线的离心率为 . 28.(2023秋·江西吉安·高三吉安一中校考开学考试)点P是双曲线 : ( , )和 圆 : 的一个交点,且 ,其中 , 是双曲线 的两个焦点,则双曲线 的离心率为 . 29.(2023秋·江苏南京·高三南京外国语学校校考阶段练习)已知双曲线方程为 , 左焦点 关于一条渐近线的对称点在另一条渐近线上,则该双曲线的离心率为 . 30.(2023秋·湖南衡阳·高三衡阳市八中校考阶段练习)已知 分别是双曲线 的 左、右焦点,点 是双曲线 的右顶点,点 在过点 且斜率为 的直线上, 为等腰三角形, ,则双曲线的离心率为 . 31.(2023·宁夏银川·统考模拟预测)点 是双曲线 的右焦点,圆 与双曲线C的一条渐近线交于A、B,若 为直角三角形,则双曲线的离心率为 . 32.(2023·全国·高三专题练习)已知双曲线 ( , )的左,右焦点分别为 , ,A为双曲线 的右支上一点,点A关于原点 的对称点为 ,满足 ,且 ,则双曲 线 的离心率为 . 33.(2023·全国·高三专题练习)已知双曲线 的左右焦点分别为 , ,过 的直线与双 曲线的左右两支分别交于 , 两点.若 ,且 ,则该双曲线的离心率为 . 34.(2023·湖北襄阳·襄阳四中校考模拟预测)已知双曲线 的右焦点为 , 点 坐标为 ,点 为双曲线左支上的动点,且 的周长不小于18,则双曲线 的离心率的取值范 围为 . 35.(2023·云南昆明·昆明一中校考模拟预测)经过原点且斜率为 的直线l与双曲线C: 恒有两个公共点,则C的离心率e的取值范围是 . 36.(2023·全国·高三专题练习)设双曲线C: ( , )的左、右焦点分别为 , , 若过点 且斜率为 的直线l与双曲线的右支交于A,B两点,则该双曲线的离心率的取值范围为 . 37.(2023·四川广安·统考模拟预测)过双曲线 ( )的右焦点 且与x轴垂直的直线与 渐近线交于第一象限的一点P, 为左焦点,直线 的倾斜角为 ,则双曲线的离心率e为 . 38.(2023秋·福建福州·高三福建省福州第八中学校考阶段练习)已知双曲线 的 左、右焦点分别为 ,P是C右支上一点,线段 与C的左支交于点M.若 ,且 ,则 的离心率为 .39.(2023秋·山西忻州·高三校联考开学考试)已知双曲线E: 的左、右焦点分别 为 , ,点M在双曲线E上, 为直角三角形,O为坐标原点,作 ,垂足为N,若 ,则双曲线E的离心率为 . 40.(2023秋·湖南·高三临澧县第一中学校联考开学考试)已知双曲线 的右焦点 为 ,过点 作一条渐近线的垂线,垂足为 ,点 在双曲线右支上且 轴,若 ( 为 坐标原点),则双曲线 的离心率为 . 41.(2023秋·四川内江·高三期末)已知双曲线 的左右焦点分别为 、 ,过点 的直线 与双曲线 的渐近线交于 两点,点 在第一象限, 两点到 轴的距离 之和为 ,若以 为直径的圆过线段 的中点,则双曲线 的离心率的平方为 . 42.(2023·全国·高三专题练习)已知双曲线 的左、右焦点分别为 ,圆 ,过点 作圆 的切线交双曲线的右支于点 ,点 为 的中点,且 ,则双曲 线 的离心率是 .