当前位置:首页>文档>素养拓展31圆锥曲线中焦半径和焦点弦公式的应用(精讲+精练)一轮复习讲义2024年高考数学高频考点题型归纳与方法总结(新高考通用)解析版_2.2025数学总复习_2024年新高考资料

素养拓展31圆锥曲线中焦半径和焦点弦公式的应用(精讲+精练)一轮复习讲义2024年高考数学高频考点题型归纳与方法总结(新高考通用)解析版_2.2025数学总复习_2024年新高考资料

  • 2026-04-04 12:59:23 2026-03-27 01:05:49

文档预览

素养拓展31圆锥曲线中焦半径和焦点弦公式的应用(精讲+精练)一轮复习讲义2024年高考数学高频考点题型归纳与方法总结(新高考通用)解析版_2.2025数学总复习_2024年新高考资料
素养拓展31圆锥曲线中焦半径和焦点弦公式的应用(精讲+精练)一轮复习讲义2024年高考数学高频考点题型归纳与方法总结(新高考通用)解析版_2.2025数学总复习_2024年新高考资料
素养拓展31圆锥曲线中焦半径和焦点弦公式的应用(精讲+精练)一轮复习讲义2024年高考数学高频考点题型归纳与方法总结(新高考通用)解析版_2.2025数学总复习_2024年新高考资料
素养拓展31圆锥曲线中焦半径和焦点弦公式的应用(精讲+精练)一轮复习讲义2024年高考数学高频考点题型归纳与方法总结(新高考通用)解析版_2.2025数学总复习_2024年新高考资料
素养拓展31圆锥曲线中焦半径和焦点弦公式的应用(精讲+精练)一轮复习讲义2024年高考数学高频考点题型归纳与方法总结(新高考通用)解析版_2.2025数学总复习_2024年新高考资料
素养拓展31圆锥曲线中焦半径和焦点弦公式的应用(精讲+精练)一轮复习讲义2024年高考数学高频考点题型归纳与方法总结(新高考通用)解析版_2.2025数学总复习_2024年新高考资料
素养拓展31圆锥曲线中焦半径和焦点弦公式的应用(精讲+精练)一轮复习讲义2024年高考数学高频考点题型归纳与方法总结(新高考通用)解析版_2.2025数学总复习_2024年新高考资料
素养拓展31圆锥曲线中焦半径和焦点弦公式的应用(精讲+精练)一轮复习讲义2024年高考数学高频考点题型归纳与方法总结(新高考通用)解析版_2.2025数学总复习_2024年新高考资料
素养拓展31圆锥曲线中焦半径和焦点弦公式的应用(精讲+精练)一轮复习讲义2024年高考数学高频考点题型归纳与方法总结(新高考通用)解析版_2.2025数学总复习_2024年新高考资料
素养拓展31圆锥曲线中焦半径和焦点弦公式的应用(精讲+精练)一轮复习讲义2024年高考数学高频考点题型归纳与方法总结(新高考通用)解析版_2.2025数学总复习_2024年新高考资料
素养拓展31圆锥曲线中焦半径和焦点弦公式的应用(精讲+精练)一轮复习讲义2024年高考数学高频考点题型归纳与方法总结(新高考通用)解析版_2.2025数学总复习_2024年新高考资料
素养拓展31圆锥曲线中焦半径和焦点弦公式的应用(精讲+精练)一轮复习讲义2024年高考数学高频考点题型归纳与方法总结(新高考通用)解析版_2.2025数学总复习_2024年新高考资料
素养拓展31圆锥曲线中焦半径和焦点弦公式的应用(精讲+精练)一轮复习讲义2024年高考数学高频考点题型归纳与方法总结(新高考通用)解析版_2.2025数学总复习_2024年新高考资料
素养拓展31圆锥曲线中焦半径和焦点弦公式的应用(精讲+精练)一轮复习讲义2024年高考数学高频考点题型归纳与方法总结(新高考通用)解析版_2.2025数学总复习_2024年新高考资料
素养拓展31圆锥曲线中焦半径和焦点弦公式的应用(精讲+精练)一轮复习讲义2024年高考数学高频考点题型归纳与方法总结(新高考通用)解析版_2.2025数学总复习_2024年新高考资料
素养拓展31圆锥曲线中焦半径和焦点弦公式的应用(精讲+精练)一轮复习讲义2024年高考数学高频考点题型归纳与方法总结(新高考通用)解析版_2.2025数学总复习_2024年新高考资料
素养拓展31圆锥曲线中焦半径和焦点弦公式的应用(精讲+精练)一轮复习讲义2024年高考数学高频考点题型归纳与方法总结(新高考通用)解析版_2.2025数学总复习_2024年新高考资料
素养拓展31圆锥曲线中焦半径和焦点弦公式的应用(精讲+精练)一轮复习讲义2024年高考数学高频考点题型归纳与方法总结(新高考通用)解析版_2.2025数学总复习_2024年新高考资料
素养拓展31圆锥曲线中焦半径和焦点弦公式的应用(精讲+精练)一轮复习讲义2024年高考数学高频考点题型归纳与方法总结(新高考通用)解析版_2.2025数学总复习_2024年新高考资料
素养拓展31圆锥曲线中焦半径和焦点弦公式的应用(精讲+精练)一轮复习讲义2024年高考数学高频考点题型归纳与方法总结(新高考通用)解析版_2.2025数学总复习_2024年新高考资料
素养拓展31圆锥曲线中焦半径和焦点弦公式的应用(精讲+精练)一轮复习讲义2024年高考数学高频考点题型归纳与方法总结(新高考通用)解析版_2.2025数学总复习_2024年新高考资料
素养拓展31圆锥曲线中焦半径和焦点弦公式的应用(精讲+精练)一轮复习讲义2024年高考数学高频考点题型归纳与方法总结(新高考通用)解析版_2.2025数学总复习_2024年新高考资料
素养拓展31圆锥曲线中焦半径和焦点弦公式的应用(精讲+精练)一轮复习讲义2024年高考数学高频考点题型归纳与方法总结(新高考通用)解析版_2.2025数学总复习_2024年新高考资料
素养拓展31圆锥曲线中焦半径和焦点弦公式的应用(精讲+精练)一轮复习讲义2024年高考数学高频考点题型归纳与方法总结(新高考通用)解析版_2.2025数学总复习_2024年新高考资料
素养拓展31圆锥曲线中焦半径和焦点弦公式的应用(精讲+精练)一轮复习讲义2024年高考数学高频考点题型归纳与方法总结(新高考通用)解析版_2.2025数学总复习_2024年新高考资料
素养拓展31圆锥曲线中焦半径和焦点弦公式的应用(精讲+精练)一轮复习讲义2024年高考数学高频考点题型归纳与方法总结(新高考通用)解析版_2.2025数学总复习_2024年新高考资料
素养拓展31圆锥曲线中焦半径和焦点弦公式的应用(精讲+精练)一轮复习讲义2024年高考数学高频考点题型归纳与方法总结(新高考通用)解析版_2.2025数学总复习_2024年新高考资料
素养拓展31圆锥曲线中焦半径和焦点弦公式的应用(精讲+精练)一轮复习讲义2024年高考数学高频考点题型归纳与方法总结(新高考通用)解析版_2.2025数学总复习_2024年新高考资料
素养拓展31圆锥曲线中焦半径和焦点弦公式的应用(精讲+精练)一轮复习讲义2024年高考数学高频考点题型归纳与方法总结(新高考通用)解析版_2.2025数学总复习_2024年新高考资料
素养拓展31圆锥曲线中焦半径和焦点弦公式的应用(精讲+精练)一轮复习讲义2024年高考数学高频考点题型归纳与方法总结(新高考通用)解析版_2.2025数学总复习_2024年新高考资料
素养拓展31圆锥曲线中焦半径和焦点弦公式的应用(精讲+精练)一轮复习讲义2024年高考数学高频考点题型归纳与方法总结(新高考通用)解析版_2.2025数学总复习_2024年新高考资料
素养拓展31圆锥曲线中焦半径和焦点弦公式的应用(精讲+精练)一轮复习讲义2024年高考数学高频考点题型归纳与方法总结(新高考通用)解析版_2.2025数学总复习_2024年新高考资料
素养拓展31圆锥曲线中焦半径和焦点弦公式的应用(精讲+精练)一轮复习讲义2024年高考数学高频考点题型归纳与方法总结(新高考通用)解析版_2.2025数学总复习_2024年新高考资料
素养拓展31圆锥曲线中焦半径和焦点弦公式的应用(精讲+精练)一轮复习讲义2024年高考数学高频考点题型归纳与方法总结(新高考通用)解析版_2.2025数学总复习_2024年新高考资料
素养拓展31圆锥曲线中焦半径和焦点弦公式的应用(精讲+精练)一轮复习讲义2024年高考数学高频考点题型归纳与方法总结(新高考通用)解析版_2.2025数学总复习_2024年新高考资料
素养拓展31圆锥曲线中焦半径和焦点弦公式的应用(精讲+精练)一轮复习讲义2024年高考数学高频考点题型归纳与方法总结(新高考通用)解析版_2.2025数学总复习_2024年新高考资料
素养拓展31圆锥曲线中焦半径和焦点弦公式的应用(精讲+精练)一轮复习讲义2024年高考数学高频考点题型归纳与方法总结(新高考通用)解析版_2.2025数学总复习_2024年新高考资料
素养拓展31圆锥曲线中焦半径和焦点弦公式的应用(精讲+精练)一轮复习讲义2024年高考数学高频考点题型归纳与方法总结(新高考通用)解析版_2.2025数学总复习_2024年新高考资料
素养拓展31圆锥曲线中焦半径和焦点弦公式的应用(精讲+精练)一轮复习讲义2024年高考数学高频考点题型归纳与方法总结(新高考通用)解析版_2.2025数学总复习_2024年新高考资料
素养拓展31圆锥曲线中焦半径和焦点弦公式的应用(精讲+精练)一轮复习讲义2024年高考数学高频考点题型归纳与方法总结(新高考通用)解析版_2.2025数学总复习_2024年新高考资料
素养拓展31圆锥曲线中焦半径和焦点弦公式的应用(精讲+精练)一轮复习讲义2024年高考数学高频考点题型归纳与方法总结(新高考通用)解析版_2.2025数学总复习_2024年新高考资料
素养拓展31圆锥曲线中焦半径和焦点弦公式的应用(精讲+精练)一轮复习讲义2024年高考数学高频考点题型归纳与方法总结(新高考通用)解析版_2.2025数学总复习_2024年新高考资料
素养拓展31圆锥曲线中焦半径和焦点弦公式的应用(精讲+精练)一轮复习讲义2024年高考数学高频考点题型归纳与方法总结(新高考通用)解析版_2.2025数学总复习_2024年新高考资料
素养拓展31圆锥曲线中焦半径和焦点弦公式的应用(精讲+精练)一轮复习讲义2024年高考数学高频考点题型归纳与方法总结(新高考通用)解析版_2.2025数学总复习_2024年新高考资料
素养拓展31圆锥曲线中焦半径和焦点弦公式的应用(精讲+精练)一轮复习讲义2024年高考数学高频考点题型归纳与方法总结(新高考通用)解析版_2.2025数学总复习_2024年新高考资料
素养拓展31圆锥曲线中焦半径和焦点弦公式的应用(精讲+精练)一轮复习讲义2024年高考数学高频考点题型归纳与方法总结(新高考通用)解析版_2.2025数学总复习_2024年新高考资料
素养拓展31圆锥曲线中焦半径和焦点弦公式的应用(精讲+精练)一轮复习讲义2024年高考数学高频考点题型归纳与方法总结(新高考通用)解析版_2.2025数学总复习_2024年新高考资料

文档信息

文档格式
docx
文档大小
2.746 MB
文档页数
43 页
上传时间
2026-03-27 01:05:49

文档内容

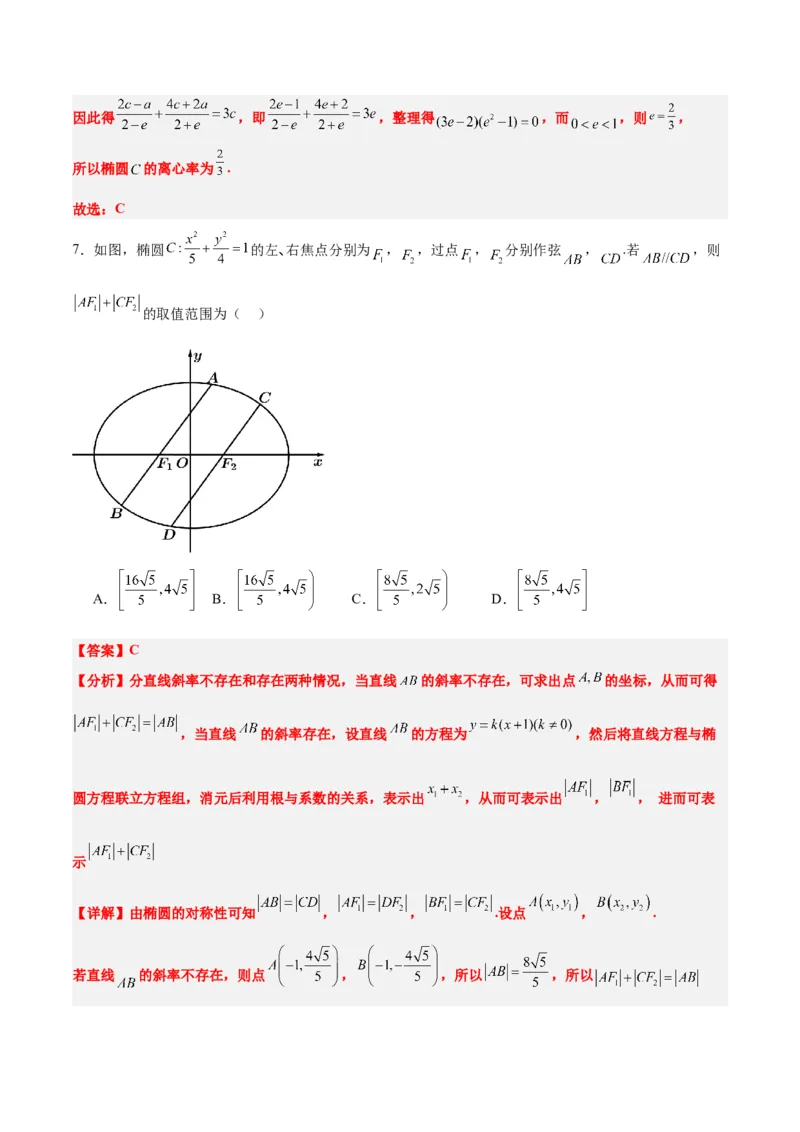
【一轮复习讲义】2024年高考数学高频考点题型归纳与方法总结(新高考通用) 素养拓展 31 圆锥曲线中焦半径和焦点弦公式的应用(精讲+精练) 一、知识点梳理 一、椭圆的焦半径和焦点弦公式 【焦半径形式1】椭圆 的左、右焦点分别为 、 ,点 为椭圆上任意点, 则椭圆的焦半径 和 可按下面的公式计算: (1) ;(2) (记忆:左加右减) 【焦半径形式2】椭圆 的一个焦点为F,P为椭圆上任意一点,设 ,则椭圆 的焦半径 ,若延长 交椭圆于另一点Q,则椭圆的焦点弦 . 二、双曲线的焦半径和焦点弦公式 【焦半径形式1】双曲线 的左、右焦点分别为 、 ,点 为双曲线任意 一点,则双曲线的焦半径 和 可按下面的公式计算: (1) ;(2) (记忆:左加右减)【焦半径形式2】双曲线 的一个焦点为F,P为双曲线上任意一点,设 , 则双曲线的焦半径 ,若直线 交双曲线于另一点Q,则双曲线的焦点弦 .(焦半径公式中取“+”还是取“-”由P和F是否位于y轴同侧决定,同正异负) 三、抛物线的焦半径和焦点弦公式 【焦半径形式1】设点 在抛物线上, 、 , 是抛物线的焦点弦,则抛物线的 坐标版焦半径、焦点弦公式如下表: 标准方程 图形 焦半径公式 焦点弦公式 【焦半径形式2】直线AB过抛物线 的焦点,交抛物线于A(x,y),B(x,y)两点,设α 1 1 2 2 为AB的倾斜角(1)弦长AB= (2)|AB|=x+x+p,x+x≥ =p,即当x=x 时,弦长最短为:(通径)2p. 1 2 1 2 1 2 (3) , , +为定值. 二、题型精讲精练 【典例 1】椭圆 的左、右焦点分别为 、 ,点P在椭圆上,则 的取值范围为 _______. 【解析】由题意, , , ,设 ,其中 , 则 , ,所以 【典例2】双曲线 的左、右焦点分别为 、 ,双曲线上的一点P满足 ,则点 P的坐标为_______. 【解析】由题意, , , , ,由焦半径公式, , , 因为 ,所以 ,解得: 或 (舍去) 代入双曲线的方程可求得 ,所以P的坐标为 . 【典例3】过抛物线 焦点F的直线l与抛物线C交于A、B两点,若 ,则 _____. 【解析】设 ,则 ,所以 ,故 .【典例4】抛物线 的焦点为F,过F且倾斜角为60°的直线l被抛物线C截得的弦长为______. 【解析】解法1:由题意, ,设 ,代入 整理得: , 设两根为 和 ,则 ,故直线l被抛物线C截得的弦长 . 解法2:直线l被抛物线C截得的弦长 . 【题型训练-刷模拟】 1 . 椭圆的焦半径和焦点弦公式 一、单选题 1.已知 , 是椭圆 的两个焦点,点M在椭圆C上,当 取最大值时,三角形 面积为( ) A. B. C.2 D.4 【答案】B 【分析】根据椭圆的焦半径公式和椭圆中的 的范围可求得 取最大值时,点 在椭圆的短轴 上. 【详解】设点 的坐标为 ,根据椭圆的焦半径公式可得:则有: 根据椭圆的特点,可知: 可得:当 时, 取最大值 此时,点 在椭圆的短轴上,则有: 故选:B 2.已知动点 在椭圆 : 上, 为椭圆 的右焦点,若点 满足 ,且 ,则 的最小值为( ) A.3 B.2 C. D.1 【答案】C 【分析】由已知可得 ,只需求出 即可,再利用两点之间的距离公式计算即可得到 答案. 【详解】由已知, ,设 ,则 ,因 在椭圆上,所以 , 所以 , 所以当 时, ,又 , 所以 ,所以 . 故选:C 【点睛】本题考查椭圆中的焦半径的最值问题,涉及到两点间的距离公式,考查学生的等价转化的思想, 是一道中档题. 3.已知椭圆 的右焦点为 ,若过 的直线 与椭圆 交于 两点,则 的取值范围是( ) A. B. C. D. 【答案】C 【分析】首先证明椭圆 上的点 的到右焦点 的距离为 ,当 分别为椭圆的顶点时 取最值,进而可得结果. 【详解】在椭圆 中, , 设 为椭圆 上任意一点,即 , 解得 , 由两点间距离公式可知: , 由上式可得当 为椭圆的右顶点时, 最小,此时 , 当 为椭圆的左顶点时, 最大,此时 , 此时 的最小值为 , 同理可得 的最大值为3, 即 的取值范围是 , 故选:C. 4.已知 为椭圆 上任意一点,EF为圆 的任意一条直径,则 的取值范 围是( ) A. B. C. D. 【答案】B【分析】用 表示 进行数量积运算后转化为求椭圆上点到焦点 的最大值和最小值问题. 【详解】由题意 椭圆的下焦点, 是圆 的直径, 则 , 椭圆 中 ,椭圆上的 到焦点 的距离的最大值为 ,最小值为 ,所以 的最大值为24,最小值为8. 所以 的取值范围 . 故选:B. 5.已知 为坐标原点,椭圆 的左、右焦点分别为 、 , 为第一象限内 上一点.若 ,则直线 的斜率为( ) A. B. C. D. 【答案】C 【分析】根据椭圆的定义结合已知条件求出 ,设点 ,其中 , ,根据两点间的距 离公式求出点 的坐标,进而可求得直线 的斜率. 【详解】在椭圆 中, , ,则 ,所以,点 、 , 因为 ,可得 , 设点 ,其中 , 且 , , 解得 ,则 ,可得 ,即点 ,因此,直线 的斜率为 . 故选:C. 6.已知椭圆 : 的右焦点为 ,点 , 为第一象限内椭圆上的两个点,且 , ,则椭圆 的离心率为( ) A. B. C. D.2 【答案】C 【分析】设点 ,用椭圆的离心率e,半焦距c及a表示出 ,再由 探求出 的关系即可作答. 【详解】设点 ,右焦点为 ,椭圆的离心率为 , , ,同理 , 如图,过P,Q分别作x轴的垂线,垂足分别为M,N, 因 ,则 ,即 , , 于是得 ,又 ,则 ,即 ,因此得 ,即 ,整理得 ,而 ,则 , 所以椭圆 的离心率为 . 故选:C 7.如图,椭圆 的左、右焦点分别为 , ,过点 , 分别作弦 , .若 ,则 的取值范围为( ) A. B. C. D. 【答案】C 【分析】分直线斜率不存在和存在两种情况,当直线 的斜率不存在,可求出点 的坐标,从而可得 ,当直线 的斜率存在,设直线 的方程为 ,然后将直线方程与椭 圆方程联立方程组,消元后利用根与系数的关系,表示出 ,从而可表示出 , , 进而可表 示 【详解】由椭圆的对称性可知 , , .设点 , . 若直线 的斜率不存在,则点 , ,所以 ,所以. 若直线 的斜率存在,设直线 的方程为 , 联立 消去 整理得 , ,则 .又 ,同理可得 ,所以 ,所以 . 综上, 的取值范围为 , 故选:C. 8.已知椭圆 的左焦点为 ,离心率为 .倾斜角为 的直线与 交于 两点, 并且满足 ,则 的离心率为( ) A. B. C. D. 【答案】A 【详解】设 ,则 ,由 ,消去 ,得 , 注意到 ,则 .于是 , 同理, . 因此 . 的倾斜角为 ,∴直线的斜率 , 根据弦长公式,可得 . 由 ,可得 ,故 . .故选:A 9.已知椭圆 和 ,椭圆 的左右焦点分别为 、 ,过椭圆上 一点 和原点 的直线交圆 于 、 两点.若 ,则 的值为( ) A. B. C. D. 【答案】B 【分析】设 ,由椭圆的焦半径公式以及 ,求出 ,因为 在椭圆上, 则 ,由对称性可得, ,代入即可得出答案. 【详解】设 ,椭圆 的左、右焦点为 ,, 同理: , ∵ ,∴ , 即 , x ❑ 2 y ❑ 2 ∵ 在椭圆上,∴ 0 + 0 =1,则 , a2 b2 由圆的相交弦定理及对称性得: . 故选:B. 10.已知 , 分别是椭圆 的左、右焦点,点 、 是椭圆上位于 轴上方的两点,且 ,则 的取值范围为( ) A. B. C. D. 【答案】B 【分析】延长射线 、 分别与椭圆 相交于 、 两点,由椭圆的对称性,则,若直线 的斜率不存在易得;若直线 的斜率存在,设直线 的方程为 ,与椭圆方程联立, 利用两点间的距离公式结合韦达定理建立 求解. 【详解】如图,延长射线 、 分别与椭圆 相交于 、 两点, 由椭圆的对称性可知 , , 设点 的坐标为 ,点 的坐标为 ,显然 则点 的坐标为 . ①若直线 的斜率不存在,则点 、 的坐标分别为 、 , 有 ②若直线 的斜率存在,设直线 的方程为 , 联立方程 ,消去 后整理为 , 有 , , ,, , ,因为 ,所以 , 则 的取值范围为 . 故选:B 二、填空题 11.已知椭圆C的离心率 ,左右焦点分别为 ,P为椭圆C上一动点,则 的取值范围为 . 【答案】 【分析】利用焦半径公式把比值表示为 的式子,然后由 得出范围. 【详解】设 , ,且 得: . 故答案为: . 12.已知椭圆 ,线段 的两个端点 在椭圆上移动,且 是 的中点,则 的最大值是 . 【答案】 【分析】设 , , 为椭圆的右焦点,则 ,再根据 代入 数据即可求得答案.【详解】解:设 , , 为椭圆的右焦点, 由题意,椭圆的长半轴长 ,短半轴长 ,半焦距 , ∴ , 同理可得, , 而 , 即 ,解得 , 故答案为: . 13.设 、 分别为椭圆 : 的左、右两个焦点,过 作斜率为1的直线,交 于 、 两点, 则 【答案】 【分析】由椭圆的标准方程,求出焦点 的坐标,写出直线方程,与椭圆方程联立,求出弦长,利用定义 可得 ,进而求出 . 【详解】由 知,焦点 ,所以直线 : ,代入 得 ,即 ,设 , ,故 由定义有, , 所以 .14.已知椭圆 的左、右焦点分别为 、 ,上顶点为 ,且 ,若第一象限的 点 、 在 上, , , ,则直线 的斜率为 . 【答案】 【分析】设点 、 ,求得椭圆的离心率,利用椭圆的焦半径公式可求得 的值,再利 用弦长公式可求得直线 的斜率. 【详解】椭圆 的左、右焦点分别为 、 ,上顶点为 ,且 , 所以, , 由椭圆的几何性质可知 , ,椭圆的离心率为 , 设点 、 ,则 , , 则 , 同理可得 , 所以, ,解得 , 设直线 的斜率为 ,由弦长公式可得 , 解得 , 因为点 、 都在第一象限,则 ,故 . 故答案为: .15.若直线 : (其中 )与圆 相切,与椭圆 : 交于点 , , 为其右焦点,则 的周长为 . 【答案】4 【分析】先根据直线与圆相切求得 的关系,设切点为 ,利用勾股定理分别求出 ,再根据 两点间的距离公式分别求出 ,从而可得出答案. 【详解】解:由直线 与圆 相切, 可得 ,则 , 联立 ,消 得 , 则 ,故 , , 因为 ,所以 , 所以 , 设切点为 ,则 , , , 同理 , ,因为 ,所以 , 同理 , 则 的周长为 . 故答案为:4. 16.已知椭圆 的左、右焦点分别为 ,离心率为 ,点 在椭圆上,连接 并 延长交 于点 ,连接 ,若存在点 使 成立,则 的取值范围为 . 【答案】 【分析】设 ,所以存在点 使 等价于 由 可求 的最小值,求得 的范围,从而得到 的取值范围. 【详解】设 ,则 .显然当 靠近右顶点时, , 所以存在点 使 等价于 , 在 中由余弦定理得 , 即 ,解得 , 同理可得 ,所以 , 所以 , 所以 ,当且仅当 时等号成立. 由 得 ,所以 . 故答案为: 2 . 双曲线的焦半径和焦点弦公式 一、单选题 1.已知双曲线 上的点到焦点的最小距离为 ,且 与直线 无交点,则 的取值范围是( ) A. B. C. D. 【答案】B 【分析】设点 ,求出点 到双曲线焦点距离的最小值为 ,再利用直线 与双曲线 无公共点可得出 ,可得出关于 的不等式,结合 可得出 的取值范围.【详解】设双曲线 上一点 ,设点双曲线 的右焦点为 , 若 取最小值,则点 在双曲线 的右支上,则 , 则 , 当且仅当 时,等号成立, 联立 可得 , 因为 与直线 无交点,则 , 即 ,因为 ,解得 .故选:B. 2.已知双曲线 的右支上的点 , 满足 , 分别是双曲线的左右焦 点),则 为双曲线 的半焦距)的取值范围是( ) A. , B. , C. , D. , 【答案】B 【分析】根据 得 , ,再换元利用函数的单调性求解. 【详解】解:由双曲线的第二定义可知 , , 右支上的点 , 满足 , 由 ,解得 , 在右支上,可得 ,可得 ,即 ,则 , 令 , ,可得而 在 , 单调递减, , , , 故选:B 3.已知双曲线 的左、右焦点分别为 , ,过点 作一条倾斜角为30°的直线 与双曲线C在第一象限交于点M,且 ,则双曲线C的离心率为( ) A. B. C. D. 【答案】A 【分析】由双曲线的焦半径公式结合几何图形的性质计算即可 【详解】 如图所示,设双曲线实轴长为 ,则 , 所以 , 又M在第一象限,即 ,故 , 因为 ,过M作MD⊥ 轴于D, , 由条件故 , 即 ,故 , 解之得 (负值舍去). 故选:A 4.已知动点P在双曲线C: 上,双曲线C的左、右焦点分别为 , ,则下列结论:①C的离心率为2; ②C的焦点弦最短为6; ③动点P到两条渐近线的距离之积为定值; ④当动点P在双曲线C的左支上时, 的最大值为 . 其中正确的个数是( ) A.1个 B.2个 C.3个 D.4个 【答案】B 【分析】①由性质可得;②用特殊值可判定;③设点坐标计算化简即可,④利用双曲线的焦半径办公计算 即可. 【详解】由题意可得 ,即①正确; 显然当双曲线的焦点弦过左、右焦点时,该弦长为实轴,长度为2<6,即②错误; 易知双曲线的渐近线方程为 ,设点 ,则 ,且到两条双曲线的距离之积为 是定值,故③正确; 对于④,先推下双曲线的焦半径公式: 对双曲线 上任意一点 及双曲线的左右焦点 , 则 , 同理 , 所以 ,此即为双曲线的焦半径公式. 设点 ,由双曲线的焦半径公式可得 , 故 ,其中 ,则 , 由二次函数的性质可得其最大值为 ,当且仅当 ,即 时取得,故④错误; 综上正确的是①③两个. 故选:B 二、填空题 5.已知 是双曲线 .左,右焦点,若 上存在一点 ,使得 成立,其中 是坐标原点,则 的离心率的取值范围是 . 【答案】 【分析】不妨设点 在双曲线的右支上,设 ,则 ,先求出 , , 由条件可得 ,再根据 ,根据 建立不等式从而可得答案. 【详解】不妨设点 在双曲线的右支上,设 ,则 ,则 则 同理可得 由 ,可得 ,又所以 ,即 ,即 所以 ,即 ,即 ,即 所以 ,即 故答案为: 6.设 , 分别是双曲线 的左、右焦点,过 的直线 与双曲线 的右支交于 , 两 点,且满足 ( 是坐标原点),则直线 的斜率为 . 【答案】 或 【分析】利用双曲线的第二定义求出焦半径的表达式,再根据 ,得 ,再由 列等式求解. 【详解】如图,设双曲线 的左右焦点分别为 , ,点 在双曲线的右支上, 连接 ,过点 作右准线 的垂线 ,记 , 则由双曲线的第二定义知, ,其中 . 即 ,整理得, .由双曲线 ,得 , 所以 , ,离心率 , 由题设直线 的倾斜角为 ,由 ,知 , , 所以 ,或 ,‘ 解得 或 , 把 代入,可求得 或 . 故直线 的斜率为 或 . 故答案为: 或 . 3 . 抛物线的焦半径和焦点弦公式 一、单选题 1.过抛物线 的焦点 的直线 与抛物线交于 两点,且 ,则直线 的斜 率可能为( ) A. B. C. D. 【答案】C【解析】将 代入抛物线焦半径公式求出倾斜角,再求斜率. 【详解】解:设 的倾斜角为 ,由抛物线焦半径公式可得 , 又 , 解得 , , 所以 . 故选:C. 2.已知斜率为 的直线 过抛物线 的焦点 ,与抛物线 交于 , 两点,过 , 作 轴的垂线,垂足分别为 , ,若 ,则直线 的斜率 等于( ) A.1 B. C. D. 【答案】D 【分析】先将 进行化简转化为 ,再利用直线 的倾斜角的余弦值表示 与 ,解 出 的值,然后根据 求出斜率值. 【详解】如图所示, , 设 所在直线直线的倾斜角为 ,则 , , 所以, ,解得 ,则 . 故选:D. 3.过抛物线 的焦点F的直线l交抛物线于A,B两点,且 ,则直线l的斜率是 ( ) A. B. C. D. 【答案】D 【分析】当A在第一象限时,化简 即得直线l的斜率,再由对称性得解. 【详解】解:当A在第一象限时, , 由对称性可知 . 故选:D. 【点睛】结论点睛:抛物线 的焦点为 ,点A在第一象限,点B在第四象限,弦AB是倾斜 角为 ,则 .在解答抛物线的有关问题时,利用这个结论可以提高解题效率. 4.过抛物线 的焦点F的直线与抛物线在第一象限,第四象限分别交于A,B两点,若 ,则直线AB的倾斜角为( )A. B. C. D. 【答案】C 【分析】根据抛物线的定义,结合直线斜率与倾斜角的关系进行求解即可. 【详解】分别过A,B两点作横轴的垂线,垂足分别为 , 设直线AB的倾斜角为 , 由题意可设 , 因为 ,所以 为钝角,如下图所示: 由 , 因为 , 所以有 , 所以 , 在直角三角形中 中, , 所以 .故选:C 5.已知抛物线 : ( )的焦点为 ,直线 的斜率为 且经过点 ,与抛物线 交于 , 两点(点 在第一象限),与抛物线 的准线交于点 ,若 ,则下列说法正确的是( ) ① ;② 为 的中点;③ ;④ . A.①② B.②③ C.③④ D.①②③ 【答案】D 【分析】由题意画出图形,写出直线方程,与抛物线方程联立,求得 的坐标,再由焦半径公式求 ,进 一步求出 , 的值,逐一判断四个选项得答案. 【详解】解:如图, 则 ,直线 的斜率为 ,则直线方程为 , 联立 ,得 . 解得: , , 由 ,解得 . 抛物线方程为 . 所以 ,则 ; , ,,则 为 中点. 结论正确的是①②③. 故选:D. 6.已知过抛物线 的焦点F的直线与抛物线交于A、B两点,且 ,抛物线的准线l 与x轴交于点C, 于点 ,若四边形 的面积为 ,则准线l的方程为( ) A. B. C. D. 【答案】D 【分析】方法一:已知 ,求得 ,在利用直线方程和抛物线方程联立得到 ,解得 , ,再根据梯形面积公式即可求解出p,进而得到准线l的方程; 方法二:根据抛物线焦半径公式 , ,已知 ,解得 ,求出高 为 ,再根据梯形面积公式即可求解出p,进而得到准线l的方程. 【详解】 解:方法一:由题意知 ,准线 的方程为 ,设 , , 则 , 由 ,得 ,即 ① 由题意知直线 的斜率存在, 设直线 的方程为 , 代入抛物线方程,消去 ,得 , 所以 ② 联立①②,得 , 解得 或 (舍去),所以 , 因为 , 将 的值代入,解得 , 所以准线 的方程为 , 故选:D. 方法二:设 , , , 则 , , 因为 ,所以 ,解得 ,则 因为四边形 是直角梯形,其中 , ,高为 , 所以四边形 的面积为 , 解得 ,所以抛物线的准线方程为 , 故选:D. 7.已知抛物线 的焦点为 ,准线为 ,过 的直线与 交于 两点(点 在第一象限),与 交于点 ,若 , ,则 ( ) A. B.3 C.6 D.12 【答案】B 【分析】利用抛物线的定义,以及几何关系可知 ,再利用数形结合表示 的值,进而得 ,再根据焦半径公式得 , ,进而求解直线 的方程并与抛物线联立得 ,再用 焦半径公式求解即可. 【详解】如图,设准线与 轴的交点为 ,作 , ,垂足分别为 , , 所以, . 又 ,所以 , 设 ,则 . 因为 , 所以 ,所以 , 所以 ,即 . 所以,抛物线为 ,焦点为 ,准线为 , 由 得 ,解得 , 所以, , 所以 ,直线 的方程为 所以,联立方程 得 ,解得 ,所以, , 所以, 故选:B 8.过抛物线 的焦点F作直线交C于A,B,过A和原点的直线交 于D,则 面积的 最小值为( ) A. B.2 C. D. 【答案】A 【分析】根据题意可得焦点 ,准线 ,设直线 的倾斜角为 ,则直线 的方程为 ;联立抛物线方程可得 ,联立直线 和准线方程 可得 点坐 标,即可得 垂直于准线,再利用焦半径公式可得 , ,写出 的面积 的表达式,利用导函数和 即可求得其最小值. 【详解】如下图所示,易知焦点 ,直线 即为抛物线 的准线;设直线 的倾斜角为 ,由对称性和交点个数可知,不妨取 ; 则直线 的方程为 ; 联立抛物线 的方程可得 ; 设 ,则满足 ; 则直线 的斜率为 ,其直线方程为 , 联立准线方程 可得 ,又 可得 可知 两点纵坐标相同,所以直线 于 轴平行,即 垂直于准线; 由抛物线定义可得 ; 因此可得 ,即 ,即 ; 同理可得 ; 所以 的面积 化简可得 由 可得 ,所以令 , 则 ,令 ,解得 所以当 时, ,函数 在 上单调递增,在 上单调递减; 所以当 时, 取最大值 , 当 取最大值时,面积取最小知,即 . 即 面积的最小值为 .故选:A 二、填空题 9.已知 是抛物线 : 的焦点, 是 上一点, 的延长线交 轴于点 ,若 为线 段 的中点,且 ,则 . 【答案】4 【详解】 如图,由题可知 , 为线段 的中点,所以 , , ,再由抛物线第一定义可得 ,解得 故答案为:4【点睛】本题考查抛物线的几何性质,属于中档题 10.已知抛物线 ,过焦点P的直线交抛物线C于A,B两点,且线段 的长是焦半径 长的3倍,则直线 的斜率为 . 【答案】 【分析】利用抛物线的焦半径公式列方程求得直线 的倾斜角,即可求得直线 的斜率 【详解】设直线 的倾斜角为 ,则 . 因为线段 的长是焦半径 长的3倍,所以 ,故 , 当 时, , , 则 ,解得 ,所以直线 的斜率为 同理可得当 时, ,所以直线 的斜率为 . 综上,直线 的斜率为 故答案为: 11.已知O为坐标原点,抛物线 的焦点为 ,过 的直线与 交于A,B两点(A位于第一象 限),且 ,则直线OA的斜率为 . 【答案】1 【分析】设直线AB的方程,联立,根据韦达定理得到根与系数的关系,确定 ,解得 , ,得到斜率. 【详解】解法一: ,直线AB的斜率存在且不为0,设直线AB的方程为 ,与抛物线C的方程联立,得 , 整理得 ,则 , 设 , ,所以 ,即 . 因为 ,所以由抛物线的定义得 ,则 , 整理得 ,得 ,(舍去负值),所以 ,(舍去负值), 故直线OA的斜率为 . 解法二:设直线AB的倾斜角为 ,则 , 由 得 ,解得 ,所以 , 则由抛物线的定义得 ,得 ,所以 ,(舍去负值), 故直线OA的斜率为 . 故答案为: 12.已知抛物线 的焦点 和准线 ,过点 的直线交 于点 ,与抛物线的一个交点为 ,且 ,则 【答案】 【详解】抛物线 的焦点坐标 ,准线方程 , 作 垂直于准线于 ,准线与 轴交于点 ,则 ,∴ . ∵ ,∴ ,由抛物线的定义得 ,∴ .故答案为: . 13.已知抛物线 ,过焦点F的弦交抛物线于A,B两点,且有 ,准线与x轴交于 点C,作A到准线的垂线,垂足为 ,则当四边形 的面积为 时,p的值为 . 【答案】 【分析】根据抛物线焦半径的性质,结合向量关系,即可求解直线倾斜角 ,根据面积公式即可求解. 【详解】设直线 的倾斜角为 ,过 作 轴, 则 ,所以 , 同理可得 , 因为 , ,则 , 由于 ,所以 , 同时可得 , , 因此四边形 的面积 ,解得 . 故答案为:14.已知双曲线 : 与抛物线 : 的焦点 重合,过点 作直线 与抛物线 交于 、 两点( 点在 轴上方)且满足 ,若直线 只与双曲线右支相交于两点, 则双曲线 的离心率 的取值范围是 . 【答案】 【解析】由推导可得抛物线的焦半径公式,进而可得 ,求得 ,由直线 只与双曲线右支相交于两点,则 ,计算即可得解. 【详解】设直线 的倾斜角 ,直线 与抛物线 交于 、 两点( 点在 轴上方),则 为锐角, 焦点 ,准线 ,准线与 轴交点记为 , 过 、 分别向准线作垂线,垂足分别为 、 ,过 向 作垂线,垂足为 , 设直线 与 轴交点记为 ,过 向 轴作垂线,垂足为 ,由抛物线的定义 , 因为 ,所以 ,∴ , 因为 , 所以 , 由 ,则 , 由直线 只与双曲线右支相交于两点,则 , 则 , 由 ,则 . 故答案为: . 15.已知抛物线 的焦点为 ,过 的直线 与抛物线 交于 两点( 在第一象限),若 ,则直线 的斜率为 . 【答案】 【分析】法一:设出直线方程 , , ,联立抛物线方程,得到两根之和,两根之 积,结合 , ,求出直线斜率; 法二:设直线 与 轴的夹角为 ,作出辅助线,得到 , ,利用 得到 方程,求出直线斜率. 【详解】法一:设直线 , , , ,由已知 ,联立 ,故 , 故有 ,结合 得: ; 法二:角度焦半径公式:设直线 与 轴的夹角为 , 得到抛物线的准线方程为 ,与y轴交于点T, 过点B作BM⊥准线交x轴于点N,作BE⊥y轴于点E, 则ET=BM, 由抛物线定义可得: , 其中 , 故 ,解得: , 同理可得: , 因为 , 所以 , 设直线与 轴夹角的正弦值为 ,正切值为 , 由于 在第一象限, ,则 . 故答案为: .16.焦点为 的抛物线 上有不同的两点 ,且满足 ,若线段 的中点 到抛 物线的准线的距离为 ,则 . 【答案】 【分析】抛物线的焦点 ,设 ,根据抛物线的定义可得 ,设直线 方程为 ,与抛物线方程联立求出 ,转化为 ,建立 的方程,进而求出 ,即可求解. 【详解】法一:抛物线 的焦点 ,准线方程为 , 设 ,又 , 三点共线,设其方程为 , , 线段 的中点 到抛物线的准线的距离为 , , 联立 消去 得 ,① , 当 时,方程①为 , 解得 或 , , 同理 . 法二:不妨设点 在第一象限,作 准线于点 , 作 准线于点 ,作 准线于点 , ∵ ,∴ .设直线 的倾斜角为 , , ∴ ,∴ . 故答案为:3 【点睛】本题考查抛物线方程和性质,以及直线与抛物线的位置关系,焦点弦要注意焦半径公式的灵活应 用,考查计算求解能力,属于中档题.