当前位置:首页>文档>素养拓展32椭圆、双曲线中的焦点三角形问题(原卷版)_02高考数学_新高考复习资料_2024年新高考资料_一轮复习资料_一轮复习讲义—素养拓展(精讲+精练)(新高考通用)

素养拓展32椭圆、双曲线中的焦点三角形问题(原卷版)_02高考数学_新高考复习资料_2024年新高考资料_一轮复习资料_一轮复习讲义—素养拓展(精讲+精练)(新高考通用)

  • 2026-04-20 00:31:20 2026-04-20 00:21:06

文档预览

素养拓展32椭圆、双曲线中的焦点三角形问题(原卷版)_02高考数学_新高考复习资料_2024年新高考资料_一轮复习资料_一轮复习讲义—素养拓展(精讲+精练)(新高考通用)
素养拓展32椭圆、双曲线中的焦点三角形问题(原卷版)_02高考数学_新高考复习资料_2024年新高考资料_一轮复习资料_一轮复习讲义—素养拓展(精讲+精练)(新高考通用)
素养拓展32椭圆、双曲线中的焦点三角形问题(原卷版)_02高考数学_新高考复习资料_2024年新高考资料_一轮复习资料_一轮复习讲义—素养拓展(精讲+精练)(新高考通用)
素养拓展32椭圆、双曲线中的焦点三角形问题(原卷版)_02高考数学_新高考复习资料_2024年新高考资料_一轮复习资料_一轮复习讲义—素养拓展(精讲+精练)(新高考通用)
素养拓展32椭圆、双曲线中的焦点三角形问题(原卷版)_02高考数学_新高考复习资料_2024年新高考资料_一轮复习资料_一轮复习讲义—素养拓展(精讲+精练)(新高考通用)
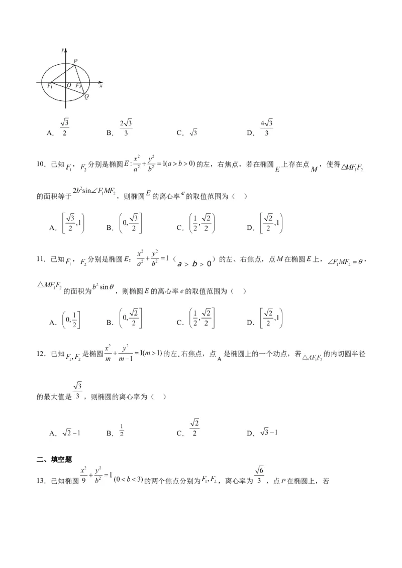
素养拓展32椭圆、双曲线中的焦点三角形问题(原卷版)_02高考数学_新高考复习资料_2024年新高考资料_一轮复习资料_一轮复习讲义—素养拓展(精讲+精练)(新高考通用)
素养拓展32椭圆、双曲线中的焦点三角形问题(原卷版)_02高考数学_新高考复习资料_2024年新高考资料_一轮复习资料_一轮复习讲义—素养拓展(精讲+精练)(新高考通用)
素养拓展32椭圆、双曲线中的焦点三角形问题(原卷版)_02高考数学_新高考复习资料_2024年新高考资料_一轮复习资料_一轮复习讲义—素养拓展(精讲+精练)(新高考通用)
素养拓展32椭圆、双曲线中的焦点三角形问题(原卷版)_02高考数学_新高考复习资料_2024年新高考资料_一轮复习资料_一轮复习讲义—素养拓展(精讲+精练)(新高考通用)
素养拓展32椭圆、双曲线中的焦点三角形问题(原卷版)_02高考数学_新高考复习资料_2024年新高考资料_一轮复习资料_一轮复习讲义—素养拓展(精讲+精练)(新高考通用)
素养拓展32椭圆、双曲线中的焦点三角形问题(原卷版)_02高考数学_新高考复习资料_2024年新高考资料_一轮复习资料_一轮复习讲义—素养拓展(精讲+精练)(新高考通用)
素养拓展32椭圆、双曲线中的焦点三角形问题(原卷版)_02高考数学_新高考复习资料_2024年新高考资料_一轮复习资料_一轮复习讲义—素养拓展(精讲+精练)(新高考通用)
素养拓展32椭圆、双曲线中的焦点三角形问题(原卷版)_02高考数学_新高考复习资料_2024年新高考资料_一轮复习资料_一轮复习讲义—素养拓展(精讲+精练)(新高考通用)
素养拓展32椭圆、双曲线中的焦点三角形问题(原卷版)_02高考数学_新高考复习资料_2024年新高考资料_一轮复习资料_一轮复习讲义—素养拓展(精讲+精练)(新高考通用)
素养拓展32椭圆、双曲线中的焦点三角形问题(原卷版)_02高考数学_新高考复习资料_2024年新高考资料_一轮复习资料_一轮复习讲义—素养拓展(精讲+精练)(新高考通用)
素养拓展32椭圆、双曲线中的焦点三角形问题(原卷版)_02高考数学_新高考复习资料_2024年新高考资料_一轮复习资料_一轮复习讲义—素养拓展(精讲+精练)(新高考通用)

文档信息

文档格式
docx
文档大小
0.872 MB
文档页数
12 页
上传时间
2026-04-20 00:21:06

文档内容

【一轮复习讲义】2024年高考数学高频考点题型归纳与方法总结(新高考通用) 素养拓展 32 椭圆、双曲线中的焦点三角形问题(精讲+精 练) 一、知识点梳理 一、椭圆、双曲线中的焦点三角形面积公式 1.如图1所示, 、 是椭圆的焦点,设P为椭圆上任意一点,记 ,则 的面积 . 证明:如图,由余弦定理知 . ① 由椭圆定义知: , ② 则②·2-①得 , . 当 时, . 2.如图2所示, 、 是双曲线的焦点,设P为双曲线上任意一点,记 ,则 的面积 . 证明:如图,由余弦定理知 ,, , , , ∴ . 当 时, . 二、椭圆、双曲线的焦点三角形中的离心率 1.如图1所示,在焦点三角形背景下求椭圆的离心率,一般结合椭圆的定义,关键是运用已知条件研究出 的三边长之比或内角正弦值之比. 公式: 2.如图2所示,在焦点三角形背景下求双曲线的离心率,一般结合双曲线的定义,关键是运用已知条件研 究出 的三边长之比或内角正弦值之比. 公式: . 二、题型精讲精练【典例1】设 、 是椭圆 的两个焦点,点P在椭圆上, ,则 的面积为 ________. 【解析】由焦点三角形面积公式, . 【典例 2】已知双曲线 的左、右焦点分别为 、 ,点P在C上,且 ,则 的面积为________. 【解析】由焦点三角形面积公式, . 【典例3】(2018·新课标Ⅱ卷)已知 、 是椭圆C的两个焦点,P是椭圆C上的一点,若 , 且 ,则C的离心率为( ) A. B. C. D. 【解析】解法1:如图, , ,故可设 ,则 , , 所以C的离心率 . 解法2:如图, . 【典例4】已知 、 是双曲线 的左、右焦点,点P在C上, ,且 , 则双曲线C的离心率为_______. 【解析】解法1:如图,由题意,不妨设 ,则 , ,所以 . 解法2:如图,由题意, , ,所以 . 【题型训练-刷模拟】 1 . 椭圆中的焦点三角形 ①离心率公式的直接应用 一、填空题 1.设 、 是椭圆 的左、右焦点,P在C上且 轴,若 ,则椭 圆C的离心率为_______. 2.在 中, , ,则以B、C为焦点,且经过点A的椭圆的离心率为_______. 3.过椭圆 的左焦点 作x轴的垂线交椭圆于A、B两点,椭圆的右焦点为 ,若 ,则椭圆的离心率为_______. 4.在 中, , ,且 ,若以B、C为焦点的椭圆经过点A,则该椭圆的离 心率的取值范围为_______. 5.在 中, , ,则以A、B为焦点,且经过点P的椭圆的离心率为_______. 6.设 、 是椭圆 的左、右焦点,点P在C上,且 , , 则椭圆C的离心率为_______. 7.在 中, , , ,若以B、C为焦点的椭圆经过点A,则该椭圆的离心率为_______. 8.过椭圆 的左焦点F作x轴的垂线交椭圆C于A、B两点,若 是等腰直角三 角形,则椭圆C的离心率为_______. 9.设 、 是椭圆 的左、右焦点,过 且斜率为 的直线l与椭圆C交于A、B 两点, ,则椭圆C的离心率为_______. 10.设 、 是椭圆 的左、右焦点,以 为直径的圆与椭圆的4个交点和 、 恰好构成一个正六边形,则椭圆E的离心率为_______. 11.已知P、Q为椭圆 上关于原点对称的两点,点P在第一象限, 、 是椭圆C 的左、右焦点, ,若 ,则椭圆C的离心率的取值范围为_______. ②综合应用 一、单选题 1.设 为椭圆 的两个焦点,点 在 上,若 ,则 ( ) A.1 B.2 C.4 D.5 2.已知 、 是椭圆 的两个焦点, 为椭圆 上一点,且 .若 的 面积为9,则实数 的值为( ) A.3 B.4 C.5 D.6 3.已知 , 分别为椭圆 的两个焦点, 为椭圆 上的一点,则 内切圆半径的最大 值为( ) A. B. C. D. 4.已知点 在椭圆 上,点 分别为椭圆 的左、右焦点,并满足面积等于4,则 等于( ) A.2 B.4 C.8 D.16 5.已知一个离心率为 ,长轴长为4的椭圆,其两个焦点为 , ,在椭圆上存在一个点P,使得 ,设 的内切圆半径为r,则r的值为( ) A. B. C. D. 6.已知 是椭圆E的两个焦点,P是E上的一点,若 ,且 ,则E的 离心率为( ) A. B. C. D. 7.设O为坐标原点, 为椭圆 的两个焦点,点 P在C上, ,则 ( ) A. B. C. D. 8. , 是椭圆C的两个焦点,P是椭圆C上异于顶点的一点,I是 的内切圆圆心,若 的 面积等于 的面积的4倍,则椭圆C的离心率为( ) A. B. C. D. 9.设F,F 是椭圆C: =1(a>b>0)的左、右焦点,O为坐标原点,点P在椭圆C上,延长PF 交 1 2 2 椭圆C于点Q,且|PF| =|PQ|,若 PFF 的面积为 ,则 =( ) 1 1 2A. B. C. D. 10.已知 , 分别是椭圆 的左,右焦点,若在椭圆 上存在点 ,使得 的面积等于 ,则椭圆 的离心率 的取值范围为( ) A. B. C. D. 11.已知 , 分别是椭圆E: ( )的左、右焦点,点M在椭圆E上, , 的面积为 ,则椭圆E的离心率e的取值范围为( ) A. B. C. D. 12.已知 是椭圆 的左、右焦点,点 是椭圆上的一个动点,若 的内切圆半径 的最大值是 ,则椭圆的离心率为( ) A. B. C. D. 二、填空题 13.已知椭圆 的两个焦点分别为 ,离心率为 ,点 在椭圆上,若,则 的面积为 . 14. 为椭圆 上的一点, 和 是其左右焦点,若 ,则 的面积为 . 15.设点 是椭圆 上的点, , 是该椭圆的两个焦点,若 的面积为 ,则 . 16.已知点 是椭圆 上的点,点 是椭圆的两个焦点,若 中有一个角的大小为 , 则 的面积为 . 17.已知椭圆 的两个焦点分别为 , , ,点 在椭圆上,若 , 且 的面积为4,则椭圆的标准方程为 . 18.已知椭圆C: 的焦点为 , ,第一象限点P在C上,且 ,则 的内切圆 半径为 . 19.已知椭圆 的两个焦点分别为 、 ,离心率为 ,点 在椭圆上,若 ,且 的面积为 ,则 的方程为 . 20. 是椭圆 的两个焦点, 是椭圆 上异于顶点的一点, 是 的内切圆圆心,若 的 面积等于 的面积的3倍,则椭圆 的离心率为 . 21.已知椭圆 : 的左、右焦点分别为 , ,若椭圆 上存在点 使三角形 的面积为 ,则椭圆 的离心率 的取值范围是 .2 . 双曲线中的焦点三角形 ①离心率公式的直接应用 一、单选题 1.已知 、 是双曲线 的左、右焦点,点M在E上, 与x轴垂直, ,则 E的离心率为( ) A. B. C. D.2 二、填空题 2.已知 、 是双曲线 的左、右焦点,过 且与x轴垂直的直线与双曲线C交于A、B两点, 若 是等腰直角三角形,则双曲线C的离心率为_______. 3.已知 、 是双曲线 的左、右焦点,点P在C上, , ,则双曲 线C的离心率为_______. 4.已知 、 是双曲线 的左、右焦点,过 且与x轴垂直的直线与双曲线C交于A、B两点, 若 是正三角形,则双曲线C的离心率为_______. 5.过双曲线 的左焦点F作x轴的垂线交C于A、B两点,若 是等腰直角三角形,则双 曲线C的离心率为_______. ②综合应用 一、单选题 1.已知:双曲线 的左、右焦点分别为 , ,点 为其右支上一点,若 ,则 的面积是( ) A. B.C. D. 2.已知双曲线 : 的左、右焦点分别是 , , 是双曲线 上的一点,且 , , ,则双曲线 的离心率是( ) A. B. C. D. 3.设 , 是双曲线 的左、右焦点,P为双曲线上一点,且 ,则 的面积 等于( ) A.6 B.12 C. D. 4.设F,F 是双曲线C: 的两个焦点,P是双曲线C上一点,若 ,且 PFF 1 2 1 2 △ 的面积为9,则C的离心率等于( ) A. B.2 C. D. 5.设 、 分别是双曲线 的左、右焦点,过 作 轴的垂线与 相交于 、 两点,若 为正三角形,则 的离心率为( ) A. B. C. D. 6.已知 是双曲线 的两个焦点, 为 上一点,且 , ,则 的离心率为 ( ) A. B. C. D. 7.已知双曲线 的左右焦点分别为 ,若双曲线上一点P使得 ,求 的面 积( )A. B. C. D. 8.已知双曲线 的左、右焦点分别为 ,点 是 上的一点(不同于左,右顶点),且 ,则 的面积是( ) A.2 B.3 C. D. 9.设 , 是双曲线 的左、右焦点,过 的直线 交双曲线的左支于 , 两点,若直线 为双曲线的一条渐近线, ,则 的值为( ) A.11 B.12 C.14 D.16 10.已知过双曲线 的左焦点 的直线分别交双曲线左、右两支于 两点, 为双曲 线的右焦点, ,则双曲线的离心率 ( ) A.2 B. C. D. 11.已知双曲线 的左、右焦点分别为 、 ,过 作一条直线与双曲线右支交于 、 两点,坐标原点为 ,若 , ,则该双曲线的离心率为( ) A. B. C. D. 二、填空题 12.若双曲线 的左、右焦点分别为 ,点M在双曲线上,若 的周长为20,则 的面积等于 .13.双曲线 上一点 与两焦点 , 的连线互相垂直,则 的面积是 . 14.双曲线 的左、右焦点分别为 、 ,过 的直线 交双曲线于A,B两点,A,B 分别位于第一、二象限, 为等边三角形,则双曲线的离心率e为 . 15.已知双曲线 的焦点为F,O为坐标原点,P为C上一点,且 为正三角 形,则双曲线的离心率为 . 16.椭圆 与渐近线为 的双曲线有相同的焦点 ,P为它们的一个公共 点,且 ,则椭圆的离心率为 . 17.已知双曲线C: 的左右焦点分别为 , ,点A在C上,点B在y轴上, , ,则C的离心率为 .