当前位置:首页>文档>专题17圆锥曲线离心率问题精妙解法(练习)(解析版)_02高考数学_2025年新高考资料_二轮复习_01高考语文等多个文件_上好课2025年高考数学二轮复习讲练测(新高考通用)

专题17圆锥曲线离心率问题精妙解法(练习)(解析版)_02高考数学_2025年新高考资料_二轮复习_01高考语文等多个文件_上好课2025年高考数学二轮复习讲练测(新高考通用)

  • 2026-04-12 08:50:24 2026-04-12 07:18:22

文档预览

专题17圆锥曲线离心率问题精妙解法(练习)(解析版)_02高考数学_2025年新高考资料_二轮复习_01高考语文等多个文件_上好课2025年高考数学二轮复习讲练测(新高考通用)
专题17圆锥曲线离心率问题精妙解法(练习)(解析版)_02高考数学_2025年新高考资料_二轮复习_01高考语文等多个文件_上好课2025年高考数学二轮复习讲练测(新高考通用)
专题17圆锥曲线离心率问题精妙解法(练习)(解析版)_02高考数学_2025年新高考资料_二轮复习_01高考语文等多个文件_上好课2025年高考数学二轮复习讲练测(新高考通用)
专题17圆锥曲线离心率问题精妙解法(练习)(解析版)_02高考数学_2025年新高考资料_二轮复习_01高考语文等多个文件_上好课2025年高考数学二轮复习讲练测(新高考通用)
专题17圆锥曲线离心率问题精妙解法(练习)(解析版)_02高考数学_2025年新高考资料_二轮复习_01高考语文等多个文件_上好课2025年高考数学二轮复习讲练测(新高考通用)
专题17圆锥曲线离心率问题精妙解法(练习)(解析版)_02高考数学_2025年新高考资料_二轮复习_01高考语文等多个文件_上好课2025年高考数学二轮复习讲练测(新高考通用)
专题17圆锥曲线离心率问题精妙解法(练习)(解析版)_02高考数学_2025年新高考资料_二轮复习_01高考语文等多个文件_上好课2025年高考数学二轮复习讲练测(新高考通用)
专题17圆锥曲线离心率问题精妙解法(练习)(解析版)_02高考数学_2025年新高考资料_二轮复习_01高考语文等多个文件_上好课2025年高考数学二轮复习讲练测(新高考通用)
专题17圆锥曲线离心率问题精妙解法(练习)(解析版)_02高考数学_2025年新高考资料_二轮复习_01高考语文等多个文件_上好课2025年高考数学二轮复习讲练测(新高考通用)
专题17圆锥曲线离心率问题精妙解法(练习)(解析版)_02高考数学_2025年新高考资料_二轮复习_01高考语文等多个文件_上好课2025年高考数学二轮复习讲练测(新高考通用)
专题17圆锥曲线离心率问题精妙解法(练习)(解析版)_02高考数学_2025年新高考资料_二轮复习_01高考语文等多个文件_上好课2025年高考数学二轮复习讲练测(新高考通用)
专题17圆锥曲线离心率问题精妙解法(练习)(解析版)_02高考数学_2025年新高考资料_二轮复习_01高考语文等多个文件_上好课2025年高考数学二轮复习讲练测(新高考通用)
专题17圆锥曲线离心率问题精妙解法(练习)(解析版)_02高考数学_2025年新高考资料_二轮复习_01高考语文等多个文件_上好课2025年高考数学二轮复习讲练测(新高考通用)
专题17圆锥曲线离心率问题精妙解法(练习)(解析版)_02高考数学_2025年新高考资料_二轮复习_01高考语文等多个文件_上好课2025年高考数学二轮复习讲练测(新高考通用)
专题17圆锥曲线离心率问题精妙解法(练习)(解析版)_02高考数学_2025年新高考资料_二轮复习_01高考语文等多个文件_上好课2025年高考数学二轮复习讲练测(新高考通用)
专题17圆锥曲线离心率问题精妙解法(练习)(解析版)_02高考数学_2025年新高考资料_二轮复习_01高考语文等多个文件_上好课2025年高考数学二轮复习讲练测(新高考通用)
专题17圆锥曲线离心率问题精妙解法(练习)(解析版)_02高考数学_2025年新高考资料_二轮复习_01高考语文等多个文件_上好课2025年高考数学二轮复习讲练测(新高考通用)
专题17圆锥曲线离心率问题精妙解法(练习)(解析版)_02高考数学_2025年新高考资料_二轮复习_01高考语文等多个文件_上好课2025年高考数学二轮复习讲练测(新高考通用)
专题17圆锥曲线离心率问题精妙解法(练习)(解析版)_02高考数学_2025年新高考资料_二轮复习_01高考语文等多个文件_上好课2025年高考数学二轮复习讲练测(新高考通用)
专题17圆锥曲线离心率问题精妙解法(练习)(解析版)_02高考数学_2025年新高考资料_二轮复习_01高考语文等多个文件_上好课2025年高考数学二轮复习讲练测(新高考通用)
专题17圆锥曲线离心率问题精妙解法(练习)(解析版)_02高考数学_2025年新高考资料_二轮复习_01高考语文等多个文件_上好课2025年高考数学二轮复习讲练测(新高考通用)
专题17圆锥曲线离心率问题精妙解法(练习)(解析版)_02高考数学_2025年新高考资料_二轮复习_01高考语文等多个文件_上好课2025年高考数学二轮复习讲练测(新高考通用)
专题17圆锥曲线离心率问题精妙解法(练习)(解析版)_02高考数学_2025年新高考资料_二轮复习_01高考语文等多个文件_上好课2025年高考数学二轮复习讲练测(新高考通用)
专题17圆锥曲线离心率问题精妙解法(练习)(解析版)_02高考数学_2025年新高考资料_二轮复习_01高考语文等多个文件_上好课2025年高考数学二轮复习讲练测(新高考通用)
专题17圆锥曲线离心率问题精妙解法(练习)(解析版)_02高考数学_2025年新高考资料_二轮复习_01高考语文等多个文件_上好课2025年高考数学二轮复习讲练测(新高考通用)
专题17圆锥曲线离心率问题精妙解法(练习)(解析版)_02高考数学_2025年新高考资料_二轮复习_01高考语文等多个文件_上好课2025年高考数学二轮复习讲练测(新高考通用)
专题17圆锥曲线离心率问题精妙解法(练习)(解析版)_02高考数学_2025年新高考资料_二轮复习_01高考语文等多个文件_上好课2025年高考数学二轮复习讲练测(新高考通用)
专题17圆锥曲线离心率问题精妙解法(练习)(解析版)_02高考数学_2025年新高考资料_二轮复习_01高考语文等多个文件_上好课2025年高考数学二轮复习讲练测(新高考通用)
专题17圆锥曲线离心率问题精妙解法(练习)(解析版)_02高考数学_2025年新高考资料_二轮复习_01高考语文等多个文件_上好课2025年高考数学二轮复习讲练测(新高考通用)
专题17圆锥曲线离心率问题精妙解法(练习)(解析版)_02高考数学_2025年新高考资料_二轮复习_01高考语文等多个文件_上好课2025年高考数学二轮复习讲练测(新高考通用)
专题17圆锥曲线离心率问题精妙解法(练习)(解析版)_02高考数学_2025年新高考资料_二轮复习_01高考语文等多个文件_上好课2025年高考数学二轮复习讲练测(新高考通用)
专题17圆锥曲线离心率问题精妙解法(练习)(解析版)_02高考数学_2025年新高考资料_二轮复习_01高考语文等多个文件_上好课2025年高考数学二轮复习讲练测(新高考通用)
专题17圆锥曲线离心率问题精妙解法(练习)(解析版)_02高考数学_2025年新高考资料_二轮复习_01高考语文等多个文件_上好课2025年高考数学二轮复习讲练测(新高考通用)
专题17圆锥曲线离心率问题精妙解法(练习)(解析版)_02高考数学_2025年新高考资料_二轮复习_01高考语文等多个文件_上好课2025年高考数学二轮复习讲练测(新高考通用)
专题17圆锥曲线离心率问题精妙解法(练习)(解析版)_02高考数学_2025年新高考资料_二轮复习_01高考语文等多个文件_上好课2025年高考数学二轮复习讲练测(新高考通用)
专题17圆锥曲线离心率问题精妙解法(练习)(解析版)_02高考数学_2025年新高考资料_二轮复习_01高考语文等多个文件_上好课2025年高考数学二轮复习讲练测(新高考通用)
专题17圆锥曲线离心率问题精妙解法(练习)(解析版)_02高考数学_2025年新高考资料_二轮复习_01高考语文等多个文件_上好课2025年高考数学二轮复习讲练测(新高考通用)
专题17圆锥曲线离心率问题精妙解法(练习)(解析版)_02高考数学_2025年新高考资料_二轮复习_01高考语文等多个文件_上好课2025年高考数学二轮复习讲练测(新高考通用)
专题17圆锥曲线离心率问题精妙解法(练习)(解析版)_02高考数学_2025年新高考资料_二轮复习_01高考语文等多个文件_上好课2025年高考数学二轮复习讲练测(新高考通用)
专题17圆锥曲线离心率问题精妙解法(练习)(解析版)_02高考数学_2025年新高考资料_二轮复习_01高考语文等多个文件_上好课2025年高考数学二轮复习讲练测(新高考通用)
专题17圆锥曲线离心率问题精妙解法(练习)(解析版)_02高考数学_2025年新高考资料_二轮复习_01高考语文等多个文件_上好课2025年高考数学二轮复习讲练测(新高考通用)
专题17圆锥曲线离心率问题精妙解法(练习)(解析版)_02高考数学_2025年新高考资料_二轮复习_01高考语文等多个文件_上好课2025年高考数学二轮复习讲练测(新高考通用)
专题17圆锥曲线离心率问题精妙解法(练习)(解析版)_02高考数学_2025年新高考资料_二轮复习_01高考语文等多个文件_上好课2025年高考数学二轮复习讲练测(新高考通用)
专题17圆锥曲线离心率问题精妙解法(练习)(解析版)_02高考数学_2025年新高考资料_二轮复习_01高考语文等多个文件_上好课2025年高考数学二轮复习讲练测(新高考通用)
专题17圆锥曲线离心率问题精妙解法(练习)(解析版)_02高考数学_2025年新高考资料_二轮复习_01高考语文等多个文件_上好课2025年高考数学二轮复习讲练测(新高考通用)
专题17圆锥曲线离心率问题精妙解法(练习)(解析版)_02高考数学_2025年新高考资料_二轮复习_01高考语文等多个文件_上好课2025年高考数学二轮复习讲练测(新高考通用)
专题17圆锥曲线离心率问题精妙解法(练习)(解析版)_02高考数学_2025年新高考资料_二轮复习_01高考语文等多个文件_上好课2025年高考数学二轮复习讲练测(新高考通用)
专题17圆锥曲线离心率问题精妙解法(练习)(解析版)_02高考数学_2025年新高考资料_二轮复习_01高考语文等多个文件_上好课2025年高考数学二轮复习讲练测(新高考通用)
专题17圆锥曲线离心率问题精妙解法(练习)(解析版)_02高考数学_2025年新高考资料_二轮复习_01高考语文等多个文件_上好课2025年高考数学二轮复习讲练测(新高考通用)
专题17圆锥曲线离心率问题精妙解法(练习)(解析版)_02高考数学_2025年新高考资料_二轮复习_01高考语文等多个文件_上好课2025年高考数学二轮复习讲练测(新高考通用)

文档信息

文档格式
docx
文档大小
2.674 MB
文档页数
46 页
上传时间
2026-04-12 07:18:22

文档内容

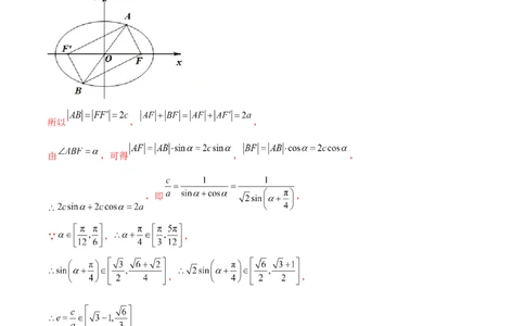
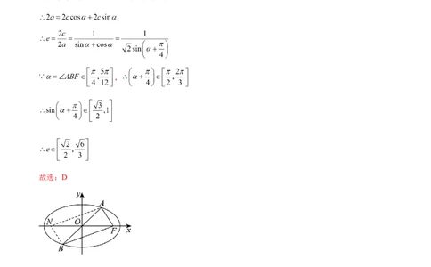
专题 17 圆锥曲线离心率问题精妙解法 目录 01 模拟基础练......................................................................................................................................2 题型一:顶角为直角的焦点三角形求解离心率的取值范围问题....................................................2 题型二:焦点三角形顶角范围与离心率............................................................................................4 题型三:共焦点的椭圆与双曲线问题................................................................................................5 题型四:椭圆与双曲线的4A通径体..................................................................................................8 题型五:椭圆与双曲线的4A直角体................................................................................................10 题型六:椭圆与双曲线的等腰三角形问题......................................................................................11 题型七:双曲线的4A底边等腰三角形............................................................................................13 题型八:焦点到渐近线距离为B.......................................................................................................14 题型九:焦点到渐近线垂线构造的直角三角形..............................................................................16 题型十:以两焦点为直径的圆与渐近线相交问题..........................................................................17 题型十一:渐近线平行线与面积问题..............................................................................................19 02 重难创新练....................................................................................................................................27题型一:顶角为直角的焦点三角形求解离心率的取值范围问题 1.已知椭圆 上有一点 ,它关于原点的对称点为 ,点 为椭圆的右焦点,且满足 ,设 ,且 ,则该椭圆的离心率 的取值范围为 A.[ , ] B.[ , ] C.[ , ] D.[ , ] 【答案】C 【解析】∵B和A关于原点对称,∴B也在椭圆上, 设左焦点为 ,根据椭圆定义: , 又∵ ,∴ …① 是 的斜边中点,∴ , 又 …②, …③ ②③代入① , ∴ ,即 , ∵ ,∴ , ∴ ,∴ ,故选C. 2.已知椭圆 上有一点 ,它关于原点的对称点为 ,点 为椭圆的右焦点,且满足,设 ,且 ,则该椭圆的离心率 的取值范围为( ) A. B. C. D. 【答案】C 【解析】如图所示,设椭圆的左焦点为 ,连接 , ,则四边形 为矩形, 所以 , , 由 ,可得 , , ,即 , ∵ , , , , . 故选:C. 3.设 为椭圆 上一点,点 关于原点的对称点为 , 为椭圆的右焦点,且 .若 ,则该椭圆离心率的取值范围是( )A. B. C. D. 【答案】D 【解析】设左焦点为 ,连接 由平面几何知识可知,四边形 为矩形 根据椭圆的定义可得 ,设 ,则 , 故选:D 题型二:焦点三角形顶角范围与离心率 4.设椭圆 的两焦点为 ,若椭圆上存在点 ,使 ,则椭圆的离心率 的取值范围为.A. B. C. D. 【答案】C 【解析】当P是椭圆的上下顶点时, 最大, 则椭圆的离心率 的取值范围为 ,故选 C. 5.已知椭圆 的两个焦点分别为 ,若椭圆上存在点 使得 是钝角,则椭 圆离心率的取值范围是 A. B. C. D. 【答案】B 【解析】 当动点 从椭圆长轴端点处沿椭圆弧向短轴端点运动时, 对两个焦点的张角 渐渐增大,当且仅当 点位于短轴端点 处时,张角 达到最大值. ∵椭圆上存在点 使得 是钝角,∴ 中, , ∴ 中, ,∴ ,∴ ,∴ ,∴ , ∵ ,∴ .椭圆离心率的取值范围是 ,故选B. 题型三:共焦点的椭圆与双曲线问题 6.已知椭圆 的左、右焦点分别为 ,离心率为 ,椭圆 的上顶点为 ,且 ,双曲线 和椭圆 有相同焦点,且双曲线 的离心率为 为曲线 与 的一个公共点. 若 ,则 ( ) A. B. C.3 D. 【答案】D 【解析】对于椭圆 ,由于 ,即 , 所以三角形 是等腰直角三角形,所以 , 所以 . , 即 , 则 , 两式相减得 ,不妨设 在第四象限,则 . 对于双曲线 ,半焦距为 ,设其实半轴长为 , 则 , 所以 . 故选:D 7.已知椭圆 的左、右焦点分别为 , ,离心率为 ,椭圆 的上顶点为 , 且 ,曲线 和椭圆 有相同焦点,且双曲线 的离心率为 , 为曲线 与 的一个公共 点,若 ,则( ). A. B. C. D. 【答案】B 【解析】如图所示,设双曲线的标准方程为: ,半焦距为 .∵椭圆 的上顶点为 ,且 . ∴ ,∴ ,∴ .∴ . 不妨设点 在第一象限,设 , . ∴ , .∴ . 在 中,由余弦定理可得: ∴ .两边同除以 ,得 ,解得: . 对选项A, ,故A错误, 对选项B, ,故B正确, 对选项C,D, ,故C,D错误. 故选:B 8.已知椭圆 和双曲线 的焦点相同,记左、右焦点分别为 , ,椭圆和双曲线的离心率分别为 ,,设点 为 与 在第一象限内的公共点,且满足 ,若 ,则 的值为( ) A.3 B.4 C.5 D.6 【答案】A 【解析】设椭圆的长半轴长、短半轴长分别为 ,半焦距为 ,双曲线的实半轴长、虚半轴长分别为 ,半焦距为 , 则有 , 又因为点 为 与 在第一象限内的公共点,且满足 , 所以 且 , 由椭圆的定义可得 , 所以 , 由双曲线的定义可得 , 所以 , 所以 所以 , 又因为 , 解得 (舍)或 , 故选:A.题型四:椭圆与双曲线的4a通径体 9.设点 、 分别是椭圆 的左、右焦点,点 、 在 上( 位于第一象限) 且点 、 关于原点对称,若 , ,则 的离心率为( ) A. B. C. D. 【答案】B 【解析】如下图所示: 由题意可知, 为 、 的中点,则四边形 为平行四边形,则 , 又因为 ,则四边形 为矩形, 设 ,则 ,所以, , 由 勾股定理可得 , 所以,该椭圆的离心率为 . 故选:B. 10.设椭圆 的左、右焦点分别为 ,点M,N在椭圆C上(点M位于第一象 限),且点M,N关于原点O对称,若 ,则椭圆C的离心率为( )A. B. C. D. 【答案】B 【解析】依题意作下图,由于 ,并且线段MN, 互相平分, ∴四边形 是矩形,其中 , , 设 ,则 , 根据勾股定理, , , 整理得 , 由于点M在第一象限, , 由 ,得 ,即 , 整理得 ,即 ,解得 或 舍去. 故选:B. 题型五:椭圆与双曲线的4a直角体 11.已知椭圆 的左、右焦点分别为 , ,过 的直线交椭圆于A,B两点, ,且 ,椭圆 的离心率为 ,则实数 ( ) A. B.2 C. D.3 【答案】D【解析】因为 ,设 ,由椭圆的定义可得: ,则 ,因为 ,所以 , 所以 ,即 ,又因为椭圆 的离心率为 , 所以 ,则有 , 所以 ,则 ,则 , 由 ,所以 ,因为 ,所以 , 所以 ,即 ,解得: , 故选: . 12.已知椭圆 的左、右焦点为 , ,过 的直线交 于 , 两点,若 ,且 , 则椭圆 的离心率为( ) A. B. C. D. 【答案】C 【解析】运用特殊值法进行求解. 不妨设 ,利用勾股定理、余弦定理,结合椭圆的定义和离心率公 式进行求解即可.不妨设 ,则 , , ∴ , , ∴由 得 或 (舍), ∴ ,∴ , 又由 得 ,. ∴ 故选:C 题型六:椭圆与双曲线的等腰三角形问题 13.已知双曲线 左右焦点为 , ,过 的直线与双曲线的右支交于 , 两点, 且 ,若 为以 为顶角的等腰三角形,则双曲线的离心率为( ) A.3 B.2 C. D. 【答案】C 【解析】由题意 , 又 ,所以 ,从而 , , , 中, , 中. , 所以 , ,所以 , 故选:C. 14.已知点 分别是双曲线 的左右两焦点,过点 的直线 与双曲线的左右两支分别交于 两点,若 是以 为顶角的等腰三角形,其中 ,则双曲线离心率 的取值范围为( ) A. B. C. D. 【答案】A 【解析】如图所示: 因为 为等腰三角形,设 , 由Q为双曲线上一点, , 所以 , 由P为双曲线上一点, , 所以 , 在 中,由余弦定理得 , 所以 ,即 , 又因为 ,则 , 所以 , 所以 ,所以 , 故选:A. 题型七:双曲线的4a底边等腰三角形 15.设双曲线 的左、右焦点分别为 , ,过 的直线l分别与双曲线左、右两 支交于M,N两点,且 , ,则双曲线C的离心率为( ) A. B.3 C. D. 【答案】A 【解析】由题意作下图: 设双曲线C的半焦距为c,M,N的中点为G,则 是等腰直角三角形, , 设 ,根据双曲线的定义有: ,并且 , 由①得: , , 由②得: , 在 中, , ,解得 ,双曲线C的离心率 ; 故选:A. 16.已知 , 分别为双曲线 的左、右焦点,过 的直线与双曲线 的左支交 于 , 两点,连接 , ,在 中, , ,则双曲线 的离心率为 ( ) A.3 B. C. D.2 【答案】D 【解析】设 ,则由双曲线定义可得 , , ,由 可得 ,再在 中根据余弦定理即可列出式子求出离心率.设 ,则由双曲线定义可得 , ,则 , 则 ,解得 ,从而 . 在 中, , 即 ,解得 . 故选:D. 题型八:焦点到渐近线距离为b 17.已知双曲线 的左、右焦点分别为 ,过 作一条渐近线的垂线,垂足为点 ,与另一渐近线交于点 ,若 ,则 的离心率为( ) A. B. C. D.2 【答案】B 【解析】不妨设过 的直线 与 垂直,所以 , 因为 ,所以 ,所以 , 又因为 ,所以 ,所以 , 又因为 ,所以 ,所以 , 所以 ,所以 ,所以 , 故选:B. 18.已知双曲线 的左、右焦点分别为 、 ,以 为直径的圆与双曲线的一条渐 近线交于点 ,若线段 交双曲线于点 ,且 ,则双曲线的离心率为( ) A. B. C. D. 【答案】C 【解析】根据题意,不妨取点 在第二象限,题中条件,得到 ,记 ,求出 ,根据双曲线定义,得到 , ,在 中,由余弦定理,即可得出结果.因为以 为直径的圆与双曲线的一条渐近线交于点 ,不妨取点 在第二象限, 所以 ,则 , 因为双曲线 的渐近线方程为 ,则 ,所以 ; 记 ,则 ,由 解得 , 因为 ,由双曲线的定义可得 ,所以 , , 由余弦定理可得: , 则 ,所以 ,整理得 ,解得 , 所以双曲线的离心率为 . 故选:C. 题型九:焦点到渐近线垂线构造的直角三角形 19.已知双曲线 ,过右焦点F作C的一条渐近线的垂线l,垂足为点A,l与C的另一条渐近线交于点B,若 ,则C的离心率为( ) A.2 B. C. D. 【答案】B 【解析】 右焦点 ,一条渐近线为 , 到 的距离为 , 即 , 由于 ,所以 , 由于 , 由正弦定理得 , 而 , 所以 , 所以 . 故选:B 20.过双曲线 的右焦点 作 轴的垂线,与双曲线 及其一条渐近线在第一象限 分别交于 两点,且 为坐标原点),则该双曲线的离心率是( )A.2. B. C. D. 【答案】D 【解析】设双曲线的半焦距为 ,由 得到 ,由 得到 , 而 , ,即点A是线段FB的中点, 所以 ,所以 . 故选:D 题型十:以两焦点为直径的圆与渐近线相交问题 21.已知双曲线 的左、右焦点分别为 , ,且以 为直径的圆与双曲线 的 渐近线在第四象限交点为 , 交双曲线左支于 ,若 ,则双曲线的离心率为( ) A. B. C. D. 【答案】A 【解析】写出圆方程,与渐近线方程联立解得得 点坐标,由 可表示出 点坐标, 点坐标代 入双曲线方程整理后可求得 . ,圆方程为 , 由 , 由 , ,解得 ,即 , 设Q(x,y),由 , ,得 , , 0 0 因为 在双曲线上,∴ , , 解得 ( 舍去), 故选:A 22.已知双曲线 的左、右焦点分别为 ,左顶点为 为坐标原点, 以 为直径的圆与 的渐近线在第一象限交于点 .若 的内切圆半径为 ,则 的离心率为 ( ) A. B. C. D. 【答案】A 【解析】由题意知 ,双曲线 过第一、三象限的渐近线方程为 ,以 为直径的圆的方程 为 . 联立 解得 或 所以 , 则 .又 的内切圆半径为 , 所以 , 则 .结合 ,得 , 所以 ,解得 或 (舍去). 故选:A题型十一:渐近线平行线与面积问题 23.已知双曲线 的左、右焦点分别为 为坐标原点,过焦点 作双曲线 的一条渐近线的平行线,与双曲线 的另一条渐近线相交于点 ,直线 与双曲线 相交于点 ,若 ,则双曲线 的离心率为( ) A. B. C. D. 【答案】C 【解析】令 ,由对称性,不妨设直线 的方程为 , 由 ,解得 ,即点 的坐标为 , 由 为 的中点, ,得 为 的中点,则有点 的坐标为 , 代入双曲线的方程,有 ,解得 , 所以双曲线 的离心率为 . 故选:C 24.在平面直角坐标系 中,过双曲线 上一点 作两条渐近线的 平行线分别与两渐近线交于 , 两点.若 ,则该双曲线的离心率为( )A. B. C. D. 【答案】C 【解析】 由题意可得双曲线的渐近线方程为 , 设 交直线 于点 , 则点 到直线 的距离为 , 点 到直线 的距离为 , 因为 ,由正弦定理可得 , 即 , 设 ,即 , 因为 , ,所以 ,即 , 所以 ,即 , 所以离心率 . 故选:C. 25.已知 , 分别为双曲线C: 的左,右焦点,过 作C的两条渐近线的平行线, 与两条渐近线分别交于A,B两点.若 ,则C的离心率为( ) A.3 B. C. D. 【答案】D 【解析】如图,连接 交 轴于 . 根据题意易知点 , 关于 轴对称,所以四边形 为菱形,且 , 故 ,且 . 双曲线 的渐近线 方程为 ,令 ,得 . 在 中, ,解得 , 所以 . 故选: .26.过双曲线 : ( , )右支上一点 作两条渐近线的平行线分别与另一渐近线交于 点 , , 为坐标原点,设 的面积为 ,若 ,则双曲线 的离心率取值范围为 . (用区间作答) 【答案】 【解析】设 , 是过P与渐近线 平行的直线,交y轴于 点,与渐近线 交于 , 则 ,即 , 联立 解得 , 则 ,由题知四边形 是平行四边形, 又 在双曲线上,应满足 ,即 则 则 ,解得 ,可得离心率 所以离心率的范围为 , 故答案为: 重难点突破:数形结合转化长度角度题型89.已知双曲线 的左、右焦点分别为 、 ,过原点的直线与 的左、右两支分别交于 、 两点,直线 交双曲线 于另一点 ( 、 在 的两侧).若 ,且 ,则双曲线 的离心率为 . 【答案】 【解析】连接 、 、 ,如下图所示: 由双曲线的对称性可知,四边形 为平行四边形,所以, , ,设 , ,则 , , 由双曲线的定义可得 , 所以, , 由余弦定理可得 , 解得 , 因为 ,所以, , , 由余弦定理可得 , 化简可得 ,因此,该双曲线的离心率为 . 故答案为: . 27.如图,已知双曲线 的左、右焦点分别为 是C上位于第一象限内的一点,且直 线 轴的正半轴交于A点, 的内切圆在边 上的切点为N,若 ,则双曲线C的离心 率为 . 【答案】 【解析】设 的内切圆在边 的切点分别为 ,如图:则 得 , 又 ,则 , 得 , 又 ,得 ,所以双曲线的离心率为 , 故答案为: . 28.如图,已知双曲线 的左、右焦点分别为 , ,M是C上位于第一象限内的一点,且 直线 与y轴的正半轴交于A点, 的内切圆在边 上的切点为N,若 ,则双曲线C的 离心率为 . 【答案】【解析】根据双曲线的定义以及圆的切线定理得到 ,进而得到 ,求出 ,即可求 出双曲线的离心率.如图所示:设 的内切圆在 上的切点分别为 , 由双曲线的定义知: , 即 , 又 , 即 , 即 , 又 , , 即 , 则 , , , 即 , , 故答案为: .1.(24-25高三上·宁夏石嘴山·期末)已知椭圆 与双曲线 有公共焦点, F为右焦点,O为坐标原点,双曲线的一条渐近线与椭圆在第一象限交于点P,且满足OP FP,则椭圆的 离心率为( ) ⊥ A. B. C. D. 【答案】D 【解析】设椭圆和双曲线的左焦点 , 设F(c,0),渐近线方程为 ,焦点到渐近线的距离 , 由题意可知, ,所以 ,则 , 由椭圆方程可知, ,所以 , 由 ,则 得 ,得 ,且 , 得 , 所以椭圆的离心率 。 故选:D2.(24-25高三上·安徽六安·期末)已知双曲线 的右焦点为 为直线 上关于坐标原点对称的两点, 为双曲线的右顶点,若 ,且 ,则双曲 线 的离心率为( ) A. B. C. D. 【答案】B 【解析】因为 ,所以 ,又 , 为直线 上关于坐标原点对称的两点, ,那么 . 设 ,则 ,化简可得 , 而 ,所以 ,则 或 ,不妨设 , . 已知 ,则 , . , . . 根据向量的夹角公式 . 因为 ,得 .由于 是三角形内角,且 , 在直线 上, 为右顶点,所以 . 即 ,两边平方可得 , 化简得 ,即 , . 又因为 ,把 代入可得 . 双曲线的离心率 ,则 ,所以 . 故选:B. 3.(24-25高三上·北京西城·期末)若直线 与双曲线 没有公共点,则双曲线 的离心率 满足( ) A. B. C. D. 【答案】B 【解析】双曲线 的渐近线 , 双曲线与直线 没有公共点,则 . 又因为双曲线离心率大于1,所以B选项符合题意. 故选:B 4.(24-25高三上·安徽黄山·期末)蒙日是法国著名的数学家,他首先发现椭圆的两条相互垂直的切线的 交点的轨迹是圆,这个圆被称为“蒙日圆”.已知椭圆 的焦点在 轴上, 为椭圆上任意两 点,动点 在直线 上.若 恒为锐角,根据蒙日圆的相关知识得椭圆 的离心率的取值 范围为( ) A. B. C. D.【答案】B 【解析】 椭圆 的焦点在 轴上, , 直线 , 与椭圆 都相切, , 所围成矩形的外接圆 即为椭圆 的蒙日圆, 为椭圆 上任意两个动点,动点 满足 为锐角, 点 在圆 外,又动点 在直线 上, 直线 与圆 相离, ,解得: , 又 , ; 椭圆 离心率 , , . 故选:B. 5.(24-25高三上·江苏苏州·期末)在平面直角坐标系 中,已知双曲线 的右 焦点为 ,两渐近线分别为 ,过 作 的平行线与 交于点 ,记 内切圆圆心为 .若 , 则 的离心率为( ) A.4 B. C.2 D. 【答案】C 【解析】设 的倾斜角为 ,则 的倾斜角 , , 则 , , , , 故选:C 6.若直线 与椭圆 交于A,B两点,点 满足 ,则椭 圆 的离心率为( ) A. B. C. D. 【答案】B 【解析】显然,直线 ,即为 , 设 , 联立方程 ,消去x可得 , 则 ,可得 , , 即线段AB的中点为 , 因为 ,则 ,且直线AB的斜率 , 则 ,整理可得 ,所以椭圆 的离心率为 故选:B 7.(24-25高三上·浙江杭州·期末)已知双曲线 的右焦点为 ,一条渐近线被 以 为圆心, 为半径的圆截得的弦长为 ,则双曲线 的离心率为( ) A. B.√2 C.√3 D.2 【答案】B 【解析】双曲线 : 的一条渐近线不妨取: , 由双曲线 : 的一条渐近线被以 为圆心, 为半径的圆截得的弦长为 ,可 得 到 的距离为 , 所以 ,解得 , 故双曲线C的离心率为 故选:B 8.(24-25高三上·湖北武汉·开学考试)已知双曲线C: 的左右焦点分别为 , , 过 的直线与双曲线的右支交于A,B两点,若 的周长为 ,则双曲线离心率的取值范围为( ) A. B. C. D. 【答案】D【解析】 根据双曲线定义知: 的周长为 ,而 , 所以 ,而 的周长为 , 所以 ,即 ,所以 ,解得 , 双曲线离心率的取值范围是 . 故选:D. 9.(多选题)如图是数学家Germinal Dandelin用来证明一个平面截圆锥侧面得到的截口曲线是椭圆的模 型(称为“Dandelin双球”).在圆锥内放两个大小不同的小球,使得它们分别与圆锥的侧面、截面相切, 截面分别与球 ,球 切于点 , ( , 是截口椭圆 的焦点).设图中球 ,球 的半径分别为3 和1,球心距 ,则( ) A.椭圆 的中心在直线 上 B. C.直线 与椭圆 所在平面所成的角为D.椭圆 的离心率为 【答案】BD 【解析】依题意,截面椭圆的长轴与圆锥的轴相交,椭圆长轴所在直线与圆锥的轴确定的平面截此组合体, 得圆锥的轴截面及球 ,球 的截面大圆,如图, 点 分别为圆 与圆锥轴截面等腰三角形一腰相切的切点,线段 是椭圆长轴, 可知椭圆C的中心(即线段 的中点)不在直线 上,故A错误; 椭圆长轴长 , 过 作 于D,连 ,显然四边形 为矩形, 又 , 则 , 过 作 交 延长线于C,显然四边形 为矩形, 椭圆焦距 ,故B正确; 所以直线 与椭圆C所在平面所成的角的正弦值为 ,故C错误; 所以椭圆的离心率 ,故D正确; 故选:BD.10.(多选题)(2024·浙江·二模)已知椭圆 左右两个焦点分别为 和 ,动直线 经过椭圆左焦点 与椭圆交于 两点,且 的最大值为8,下列说法正确的是( ) A. B. C.离心率 D.若 ,则 【答案】AB 【解析】如下图所示: 易知 ,由椭圆定义可知 , 因为 ,当 轴,即 为通径时, 最小,所以 , 解得 ,所以A正确; 当 为长轴时, 最大,此时 ,所以 ,即B正确; 可得椭圆方程为 ,易知 ,所以离心率 ,即C错误; 因为 ,可设直线 的方程为 ,A(x ,y ),B(x ,y ), 1 1 2 2 联立 ,整理可得 ,因此 ; 若 ,可得 ,即 ,所以 ; 整理得 ,此时方程无解,因此D错误. 故选:AB 11.(多选题)(2024·河北·三模)已知一个装有半瓶水的圆柱形玻璃杯,其底面半径为 ,玻璃杯高 为 (玻璃厚度忽略不计),其倾斜状态的正视图如图所示, 表示水平桌面.当玻璃杯倾斜时,瓶 内水面为椭圆形,阴影部分 为瓶内水的正视图.设 ,则下列结论正确的是( ) A.当 时,椭圆的离心率为 B.当椭圆的离心率最大时, C.当椭圆的焦距为4时, D.当 时,椭圆的焦距为6 【答案】AD 【解析】过 作 于 ,如图, 由 ,当 时,在 中, ,所以椭圆中 , ,故A正确; 因为椭圆的短轴长为定值6, ,所以当椭圆的长轴最长时,椭圆的离心率最大, 由图可知,椭圆长轴为 时,椭圆的长轴最长,此时 ,故B错误; 当椭圆的焦距为4时, ,即 , 所以 ,所以 ,故C错误; 当 时, ,所以 , 由勾股定理可得 ,即 , , 所以 ,所以焦距 ,故D正确. 故选:AD 12.(2025·广东佛山·一模)直线 过双曲线 的左焦点 ,交 的渐近线于 两点.若 ,且 ,则 的离心率为 . 【答案】 【解析】双曲线的左焦点F(−c,0),到渐近线 的距离为 所以直线 与渐近线 垂直,所以直线 的斜率为 , 直线 的方程为 ,设A(x ,y ),B(x ,y ), 1 1 2 2 联立 ,消去 并化简得 点横坐标为 .联立 ,消去 并化简得 点横坐标 . 因为 ,所以 . 即 , , , . , , , , , , 又因为 , 所以双曲线的离心率 . 故答案为: 13.(24-25高三上·山东烟台·期末)已知 为椭圆 上关于原点 对称的两点(异于顶点),点 在椭圆上且 ,设直线 与 轴的交点为 ,若 ,则椭圆 离心率的值为 . 【答案】 【解析】设 , 由 ,可得 , 所以 ,所以 ,所以 的坐标为 , 因为 在椭圆上,所以 , 两式相减可得 ,所以 , 所以 ,又 , 所以 ,又 又 ,所以 ,所以 , 所以 ,所以 , 所以椭圆 离心率的值为 .故答案为: . 14.(2025·江西·一模)已知 为双曲线 的左焦点, 是 的右顶点, 是 上 一点,且 , ,则 的离心率为 . 【答案】 【解析】 设双曲线的右焦点为 ,因为 为双曲线的左焦点, 是双曲线上一点, 根据双曲线的定义知 , , 因为 是双曲线的右顶点,所以 , 又 , ,所以 , 所以 , 在 中,根据余弦定理得 , 即 , 整理得 , 等式两边同时除以 得, ,解得 (舍)或 , 所以 的离心率为 . 故答案为: . 15.已知双曲线 的左、右焦点分别为 ,过点 的直线与 交于A,B两点,且 ,以AB为直径的圆过点 ,设 的离心率为 ,则 . 【答案】 / 【解析】分析可知:过点 的直线与双曲线 的左支交于A,B两点,如图所示. ,∴设 ,则 . 由双曲线定义可知 , . ∵以AB为直径的圆过点 , ,即 , 化简整理得 ,即 ,解得 (舍去),或 . ∴ , , , . 在 中, . 在 中, , 即 ,即 . . 故答案为: .