当前位置:首页>文档>专题18圆锥曲线的几何性质问题(讲)解析版_2.2025数学总复习_2023年新高考资料_二轮复习_备战2023年高考数学二轮复习考点精讲练(新教材·新高考)

专题18圆锥曲线的几何性质问题(讲)解析版_2.2025数学总复习_2023年新高考资料_二轮复习_备战2023年高考数学二轮复习考点精讲练(新教材·新高考)

  • 2026-03-23 08:20:53 2026-03-16 11:45:35

文档预览

专题18圆锥曲线的几何性质问题(讲)解析版_2.2025数学总复习_2023年新高考资料_二轮复习_备战2023年高考数学二轮复习考点精讲练(新教材·新高考)
专题18圆锥曲线的几何性质问题(讲)解析版_2.2025数学总复习_2023年新高考资料_二轮复习_备战2023年高考数学二轮复习考点精讲练(新教材·新高考)
专题18圆锥曲线的几何性质问题(讲)解析版_2.2025数学总复习_2023年新高考资料_二轮复习_备战2023年高考数学二轮复习考点精讲练(新教材·新高考)
专题18圆锥曲线的几何性质问题(讲)解析版_2.2025数学总复习_2023年新高考资料_二轮复习_备战2023年高考数学二轮复习考点精讲练(新教材·新高考)
专题18圆锥曲线的几何性质问题(讲)解析版_2.2025数学总复习_2023年新高考资料_二轮复习_备战2023年高考数学二轮复习考点精讲练(新教材·新高考)
专题18圆锥曲线的几何性质问题(讲)解析版_2.2025数学总复习_2023年新高考资料_二轮复习_备战2023年高考数学二轮复习考点精讲练(新教材·新高考)
专题18圆锥曲线的几何性质问题(讲)解析版_2.2025数学总复习_2023年新高考资料_二轮复习_备战2023年高考数学二轮复习考点精讲练(新教材·新高考)
专题18圆锥曲线的几何性质问题(讲)解析版_2.2025数学总复习_2023年新高考资料_二轮复习_备战2023年高考数学二轮复习考点精讲练(新教材·新高考)
专题18圆锥曲线的几何性质问题(讲)解析版_2.2025数学总复习_2023年新高考资料_二轮复习_备战2023年高考数学二轮复习考点精讲练(新教材·新高考)
专题18圆锥曲线的几何性质问题(讲)解析版_2.2025数学总复习_2023年新高考资料_二轮复习_备战2023年高考数学二轮复习考点精讲练(新教材·新高考)
专题18圆锥曲线的几何性质问题(讲)解析版_2.2025数学总复习_2023年新高考资料_二轮复习_备战2023年高考数学二轮复习考点精讲练(新教材·新高考)
专题18圆锥曲线的几何性质问题(讲)解析版_2.2025数学总复习_2023年新高考资料_二轮复习_备战2023年高考数学二轮复习考点精讲练(新教材·新高考)
专题18圆锥曲线的几何性质问题(讲)解析版_2.2025数学总复习_2023年新高考资料_二轮复习_备战2023年高考数学二轮复习考点精讲练(新教材·新高考)
专题18圆锥曲线的几何性质问题(讲)解析版_2.2025数学总复习_2023年新高考资料_二轮复习_备战2023年高考数学二轮复习考点精讲练(新教材·新高考)
专题18圆锥曲线的几何性质问题(讲)解析版_2.2025数学总复习_2023年新高考资料_二轮复习_备战2023年高考数学二轮复习考点精讲练(新教材·新高考)
专题18圆锥曲线的几何性质问题(讲)解析版_2.2025数学总复习_2023年新高考资料_二轮复习_备战2023年高考数学二轮复习考点精讲练(新教材·新高考)
专题18圆锥曲线的几何性质问题(讲)解析版_2.2025数学总复习_2023年新高考资料_二轮复习_备战2023年高考数学二轮复习考点精讲练(新教材·新高考)
专题18圆锥曲线的几何性质问题(讲)解析版_2.2025数学总复习_2023年新高考资料_二轮复习_备战2023年高考数学二轮复习考点精讲练(新教材·新高考)
专题18圆锥曲线的几何性质问题(讲)解析版_2.2025数学总复习_2023年新高考资料_二轮复习_备战2023年高考数学二轮复习考点精讲练(新教材·新高考)
专题18圆锥曲线的几何性质问题(讲)解析版_2.2025数学总复习_2023年新高考资料_二轮复习_备战2023年高考数学二轮复习考点精讲练(新教材·新高考)
专题18圆锥曲线的几何性质问题(讲)解析版_2.2025数学总复习_2023年新高考资料_二轮复习_备战2023年高考数学二轮复习考点精讲练(新教材·新高考)
专题18圆锥曲线的几何性质问题(讲)解析版_2.2025数学总复习_2023年新高考资料_二轮复习_备战2023年高考数学二轮复习考点精讲练(新教材·新高考)
专题18圆锥曲线的几何性质问题(讲)解析版_2.2025数学总复习_2023年新高考资料_二轮复习_备战2023年高考数学二轮复习考点精讲练(新教材·新高考)
专题18圆锥曲线的几何性质问题(讲)解析版_2.2025数学总复习_2023年新高考资料_二轮复习_备战2023年高考数学二轮复习考点精讲练(新教材·新高考)
专题18圆锥曲线的几何性质问题(讲)解析版_2.2025数学总复习_2023年新高考资料_二轮复习_备战2023年高考数学二轮复习考点精讲练(新教材·新高考)
专题18圆锥曲线的几何性质问题(讲)解析版_2.2025数学总复习_2023年新高考资料_二轮复习_备战2023年高考数学二轮复习考点精讲练(新教材·新高考)
专题18圆锥曲线的几何性质问题(讲)解析版_2.2025数学总复习_2023年新高考资料_二轮复习_备战2023年高考数学二轮复习考点精讲练(新教材·新高考)
专题18圆锥曲线的几何性质问题(讲)解析版_2.2025数学总复习_2023年新高考资料_二轮复习_备战2023年高考数学二轮复习考点精讲练(新教材·新高考)
专题18圆锥曲线的几何性质问题(讲)解析版_2.2025数学总复习_2023年新高考资料_二轮复习_备战2023年高考数学二轮复习考点精讲练(新教材·新高考)
专题18圆锥曲线的几何性质问题(讲)解析版_2.2025数学总复习_2023年新高考资料_二轮复习_备战2023年高考数学二轮复习考点精讲练(新教材·新高考)
专题18圆锥曲线的几何性质问题(讲)解析版_2.2025数学总复习_2023年新高考资料_二轮复习_备战2023年高考数学二轮复习考点精讲练(新教材·新高考)
专题18圆锥曲线的几何性质问题(讲)解析版_2.2025数学总复习_2023年新高考资料_二轮复习_备战2023年高考数学二轮复习考点精讲练(新教材·新高考)
专题18圆锥曲线的几何性质问题(讲)解析版_2.2025数学总复习_2023年新高考资料_二轮复习_备战2023年高考数学二轮复习考点精讲练(新教材·新高考)
专题18圆锥曲线的几何性质问题(讲)解析版_2.2025数学总复习_2023年新高考资料_二轮复习_备战2023年高考数学二轮复习考点精讲练(新教材·新高考)
专题18圆锥曲线的几何性质问题(讲)解析版_2.2025数学总复习_2023年新高考资料_二轮复习_备战2023年高考数学二轮复习考点精讲练(新教材·新高考)
专题18圆锥曲线的几何性质问题(讲)解析版_2.2025数学总复习_2023年新高考资料_二轮复习_备战2023年高考数学二轮复习考点精讲练(新教材·新高考)

文档信息

文档格式
docx
文档大小
1.684 MB
文档页数
36 页
上传时间
2026-03-16 11:45:35

文档内容

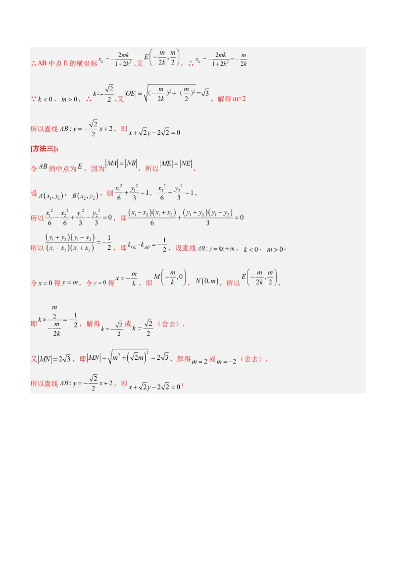
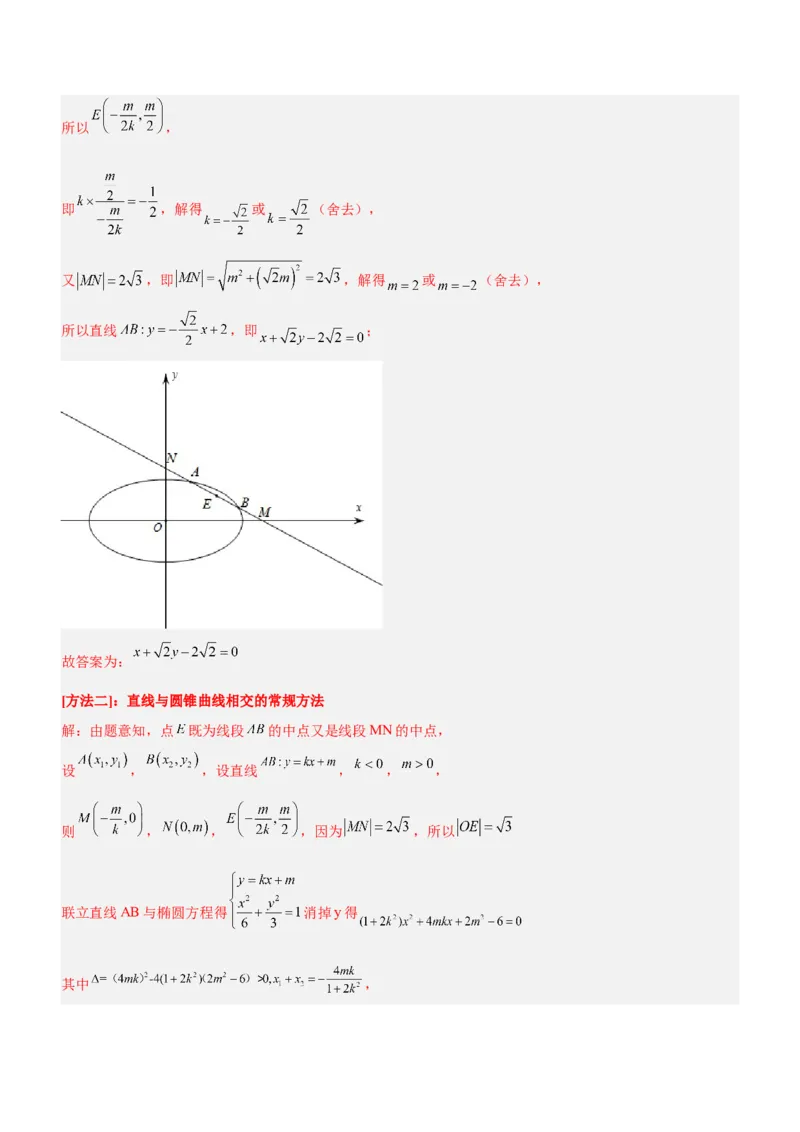
第一篇 热点、难点突破篇 专题18 圆锥曲线的几何性质问题(讲) 真题体验 感悟高考 1.(2021·全国·统考高考真题)抛物线 的焦点到直线 的距离为 ,则 ( ) A.1 B.2 C. D.4 【答案】B 【分析】首先确定抛物线的焦点坐标,然后结合点到直线距离公式可得 的值. 【详解】抛物线的焦点坐标为 , 其到直线 的距离: , 解得: ( 舍去). 故选:B. 2.(2022·全国·统考高考真题)已知椭圆 的离心率为 , 分别为C的左、右顶点, B为C的上顶点.若 ,则C的方程为( ) A. B. C. D. 【答案】B 【分析】根据离心率及 ,解得关于 的等量关系式,即可得解. 【详解】解:因为离心率 ,解得 , , 分别为C的左右顶点,则 ,B为上顶点,所以 . 所以 ,因为 所以 ,将 代入,解得 , 故椭圆的方程为 . 故选:B. 3.(2020·全国·统考高考真题)已知F为双曲线 的右焦点,A为C的右顶点,B为C上 的点,且BF垂直于x轴.若AB的斜率为3,则C的离心率为______________. 【答案】2 【分析】根据双曲线的几何性质可知, , ,即可根据斜率列出等式求解即可. 【详解】联立 ,解得 ,所以 . 依题可得, , ,即 ,变形得 , , 因此,双曲线 的离心率为 . 故答案为: . 总结规律 预测考向 (一)规律与预测 纵观近几年的高考试题,高考对圆锥曲线的考查,选择题、填空题、解答题三种题型均有,主要考查以下几个 方面:一是考查椭圆、双曲线、抛物线的定义,与椭圆的焦点三角形结合,解决椭圆、三角形等相关问题;二 是考查圆锥曲线的标准方程,结合基本量之间的关系,利用待定系数法求解;三是考查圆锥曲线的几何性质, 小题较多地考查抛物线、双曲线的几何性质;四是考查直线与圆锥曲线(椭圆、抛物线较多)位置关系问题, 综合性较强,往往与向量结合,涉及方程组联立,根的判别式、根与系数的关系、弦长问题、不等式等. 近几年,小题多用于考查抛物线、双曲线的定义、标准方程、几何性质等,命题角度呈现较强的灵活性;解答 题主要考查直线与椭圆的位置关系,涉及三角形面积、参数范围、最值、定值、定点、定直线等问题,命题方向多变,难度基本稳定. (二)本专题考向展示 考点突破 典例分析 考向一 圆锥曲线的定义及标准方程 【核心知识】 1.圆锥曲线的定义 (1)椭圆:|PF|+|PF|=2a(2a>|FF|). 1 2 1 2 (2)双曲线:||PF|-|PF||=2a(0<2a<|FF|). 1 2 1 2 (3)抛物线:|PF|=|PM|,l为抛物线的准线,点F不在定直线l上,PM⊥l于点M. 2.求圆锥曲线标准方程“先定型,后计算” 所谓“定型”,就是确定曲线焦点所在的坐标轴的位置;所谓“计算”,就是指利用待定系数法求出方程中的 a2,b2,p的值. x2 y2 x2 y2 + =1(a>b>0) + =1(a>b>0,b2 k 0) a2 b2 a2 k b2 k 3.与椭圆 共焦点的椭圆系方程为 . 【典例分析】 典例1.(2021·山东·高考真题)关于 , 的方程 ,给出以下命题; ①当 时,方程表示双曲线;②当 时,方程表示抛物线;③当 时,方程表示椭圆;④当 时,方程表示等轴双曲线;⑤当 时,方程表示椭圆. 其中,真命题的个数是( ) A.2 B.3 C.4 D.5 【答案】B 【分析】 根据曲线方程,讨论m的取值确定对应曲线的类别即可. 【详解】当 时,方程表示双曲线; 当 时,方程表示两条垂直于 轴的直线; 当 时,方程表示焦点在 轴上的椭圆; 当 时,方程表示圆; 当 时,方程表示焦点在 轴上的椭圆. ∴①③⑤正确. 故答案为:B 典例2.(2022·天津·统考高考真题)已知抛物线 分别是双曲线 的左、右焦 点,抛物线的准线过双曲线的左焦点 ,与双曲线的渐近线交于点A,若 ,则双曲线的标准方程 为( ) A. B. C. D. 【答案】C 【分析】由已知可得出 的值,求出点 的坐标,分析可得 ,由此可得出关于 、 、 的方程组, 解出这三个量的值,即可得出双曲线的标准方程. 【详解】抛物线 的准线方程为 ,则 ,则 、 , 不妨设点 为第二象限内的点,联立 ,可得 ,即点 , 因为 且 ,则 为等腰直角三角形, 且 ,即 ,可得 ,所以, ,解得 ,因此,双曲线的标准方程为 . 故选:C. 典例3.【多选题】(2020·海南·高考真题)已知曲线 .( ) A.若m>n>0,则C是椭圆,其焦点在y轴上 B.若m=n>0,则C是圆,其半径为 C.若mn<0,则C是双曲线,其渐近线方程为 D.若m=0,n>0,则C是两条直线 【答案】ACD 【分析】结合选项进行逐项分析求解, 时表示椭圆, 时表示圆, 时表示双曲线, 时表示两条直线. 【详解】对于A,若 ,则 可化为 , 因为 ,所以 , 即曲线 表示焦点在 轴上的椭圆,故A正确; 对于B,若 ,则 可化为 , 此时曲线 表示圆心在原点,半径为 的圆,故B不正确; 对于C,若 ,则 可化为 , 此时曲线 表示双曲线, 由 可得 ,故C正确;对于D,若 ,则 可化为 , ,此时曲线 表示平行于 轴的两条直线,故D正确; 故选:ACD. 【规律方法】 1.求解圆锥曲线标准方程的方法 (1)确定圆锥曲线的焦点位置,从而设出标准方程. (2)利用待定系数法求出方程中的 , 或 .另外,当焦点位置无法确定时,抛物线方程常设为 或 ,椭圆方程常设为 ;双曲线方程常设为 . 2.易错点提醒:双曲线的定义中忽略“绝对值”,椭圆与双曲线方程中参数的关系式弄混,椭圆方程中的关系 式为 ,双曲线方程中的关系式为 ,圆锥曲线方程确定时不注意焦点位置等. 考向二 椭圆的几何性质及其应用 【核心知识】 x2 y2 x2 y2 + =1 + =(>0) 1.方程a2 b2 与 a2 b2 有相同的离心率. c e= 0,1 2.椭圆的离心率 a ,其中 c= a2 b2 【典例分析】 典例4.(2023秋·江西吉安·高三统考期末)椭圆 的两个焦点为 , ,以 的短轴为直径的圆记为 ,过 作圆 的切线与 交于 , 两点,且 ,则 的离心率为( ) A. B. C. D. 【答案】D【分析】依题意设 , ,先求出 和 的正、余弦值,从而求得 ,再利用正 弦定理化简得到 ,进而可求得椭圆的离心率. 【详解】设椭圆方程为 ( ),设过 作圆 的切线切点为 , ∴ ,∴ , , ,设 , , 由 ,即 ,则 , , . 在 中, . 由正弦定理得 , ∴ ,即 , 化简,得 ,即 , ∴ ,即 , ∴椭圆的离心率 . 故选:D.典例5.(2022·全国·统考高考真题)椭圆 的左顶点为A,点P,Q均在C上,且关于y 轴对称.若直线 的斜率之积为 ,则C的离心率为( ) A. B. C. D. 【答案】A 【分析】设 ,则 ,根据斜率公式结合题意可得 ,再根据 ,将 用 表示,整理,再结合离心率公式即可得解. 【详解】[方法一]:设而不求 设 ,则 则由 得: , 由 ,得 , 所以 ,即 , 所以椭圆 的离心率 ,故选A. [方法二]:第三定义 设右端点为B,连接PB,由椭圆的对称性知: 故 , 由椭圆第三定义得: ,故 所以椭圆 的离心率 ,故选A. 典例6.(2021·全国高考真题(理))设 是椭圆 的上顶点,若 上的任意一点 都满 足 ,则 的离心率的取值范围是( ) A. B. C. D. 【答案】C 【分析】 设 ,由 ,根据两点间的距离公式表示出 ,分类讨论求出 的最大值,再构建齐次不等 式,解出即可. 【详解】 设 ,由 ,因为 , ,所以 , 因为 ,当 ,即 时, ,即 ,符合题意,由 可得 ,即 ; 当 ,即 时, ,即 ,化简得, ,显然该不等 式不成立. 故选:C. 【总结提升】 1.求解有关离心率的问题时,一般并不是直接求出c和a的值,而是根据题目给出的椭圆的几何特征,建立关 于参数c、a、b的方程或不等式,通过解方程或不等式求得离心率的值或范围.较多时候利用c b2 e= ,e 1 a a2 解题. 2.求离心率范围的常用方法 (1)利用椭圆、双曲线中a,b,c某个量的取值范围确定e;构造a,b,c的齐次不等式确定e. (2)利用图形中的位置关系(如三角形中的边角关系,曲线上的点到焦点距离的范围等)建立不等式(不等式组), 确定e. 考向三 双曲线的几何性质及其应用 【核心知识】 1.双曲线的离心率 2.渐近线与离心率 的一条渐近线的斜率为 【典例分析】 典例7.(2020·全国·统考高考真题)设 为坐标原点,直线 与双曲线 的两条渐近线 分别交于 两点,若 的面积为8,则 的焦距的最小值为( ) A.4 B.8 C.16 D.32 【答案】B 【分析】因为 ,可得双曲线的渐近线方程是 ,与直线 联立方程求得 , 两点坐标,即可求得 ,根据 的面积为 ,可得 值,根据 ,结合均值不等式,即 可求得答案. 【详解】 双曲线的渐近线方程是 直线 与双曲线 的两条渐近线分别交于 , 两点 不妨设 为在第一象限, 在第四象限联立 ,解得 故 联立 ,解得 故 面积为: 双曲线 其焦距为 当且仅当 取等号 的焦距的最小值: 典例8.(2023·河南信阳·高三统考期末)设直线 与双曲线 的两条渐近 线分别交于点A,B,若点 满足 ,则该双曲线的离心率是( ) A. B. C. D. 【答案】A 【分析】联立直线方程与双曲线的渐近线的方程可得 , ,进而可得 中点 ,由 ,可得 ,进而可得 ,代入得 , ,即可得 答案. 【详解】解:因为双曲线的渐近线方程为 ,由 ,解得 , 不妨设 , 同理可得 , 则 中点 , 又因为点 满足 , 所以点 , 所以 , 又因为 , 所以 , 所以 , 所以 , 所以 . 故选:A. 典例9.(2023·全国·校联考模拟预测)已知双曲线 的右焦点为 ,虚轴的上端点为 是 上的两点, 是 的中点, 为坐标原点,直线 的斜率为 ,若 ,则 的两条 浙近线的斜率之积为__________. 【答案】 【分析】设 ,进而根据点差法得 ,再根据 得,进而得 ,再求渐近线的斜率之积即可得答案. 【详解】解:设 , 因为 是 上的两点, 是 的中点, 为坐标原点,直线 的斜率为 , 所以 ①, ②, ③, ④, 所以,② ③得 ,整理得 所以 , 因为双曲线 的右焦点为 ,虚轴的上端点为 , 所以 , , 因为 , 所以 ,即 ,整理得: , 所以 ,整理得 , 所以 ,即 , 所以 ,整理得 , 因为 的两条浙近线分别为 , 所以, 的两条浙近线的斜率之积为 故答案为: 【规律方法】 1.与双曲线-=1(a>0,b>0)共渐近线bx±ay=0的双曲线方程为-=λ(λ≠0).2.求双曲线的离心率的值(或范围)时,可将条件中提供的双曲线的几何关系转化为关于双曲线基本量 的方程或不等式,再根据 和 转化为关于离心率e的方程或不等式,通过解方程或不等式求 得离心率的值(或取值范围). 考向四 抛物线的几何性质及其应用 【核心知识】 图形 标准方程 y2=2px(p>0) y2=-2px(p>0) x2=2py(p>0) x2=-2py(p>0) p p p p 焦半径 |MF | x  |MF | x |MF | y  |MF |  y 0 2 2 0 0 2 2 0 【典例分析】 典例10.(2023春·安徽·高三统考开学考试)已知O为坐标原点,点F为抛物线 的焦点,点 , 直线 : 交抛物线C于A,B两点(不与P点重合),则以下说法正确的是( ) A. B.存在实数 ,使得 C.若 ,则 D.若直线PA与PB的倾斜角互补,则 【答案】CD 【分析】根据抛物线和直线方程可知直线过抛物线焦点,利用焦半径公式可知 可判断A错误;联立直 线和抛物线方程利用向量数量积公式可知, 恒成立,所以B错误;根据 可知A,B两点 的纵坐标关系,解得其交点坐标代入直线方程可得 ,即C正确;由直线PA与PB的倾斜角互补,可知 ,利用韦达定理联立方程即可求出 ,即D正确. 【详解】由题意可知,抛物线焦点为 ,准线方程为 , 直线 恒过 ,如下图所示: 设 ,作 垂直于准线 ,垂足为 , 根据抛物线定义可知, ,易知 ,所以 , 但当 时,此时 与坐标原点重合,直线与抛物线仅有一个交点,因此 , 所以 ,即A错误; 联立直线 和抛物线 方程得 ; 所以 , , 此时 ,所以 ,即 , 所以不存在实数 ,使得 ,故B错误; 若AF=2FB,由几何关系可得 ,结合 ,可得 或 ,即 或 , 将 点坐标代入直线方程可得 ,所以C正确; 若直线PA与PB的倾斜角互补,则 ,即 ,整理得 , 代入 , 解得 或 , 当 时,直线过点 ,A与P点重合,不符合题意,所以 ;即D正确. 故选:CD 典例11.(2021·全国高考真题)已知 为坐标原点,抛物线 : ( )的焦点为 , 为 上一点, 与 轴垂直, 为 轴上一点,且 ,若 ,则 的准线方程为______. 【答案】 【分析】 先用坐标表示 ,再根据向量垂直坐标表示列方程,解得 ,即得结果. 【详解】 抛物线 : ( )的焦点 , ∵P为 上一点, 与 轴垂直, 所以P的横坐标为 ,代入抛物线方程求得P的纵坐标为 , 不妨设 , 因为Q为 轴上一点,且 ,所以Q在F的右侧, 又 , 因为 ,所以 , ,所以 的准线方程为 故答案为: . 【总结提升】 1.抛物线上的点到焦点距离等于到准线距离,注意转化思想的运用. 2.利用抛物线定义可以解决距离的最大和最小问题,该类问题一般情况下都与抛物线的定义有关.实现由点到 点的距离与点到直线的距离的转化. (1)将抛物线上的点到准线的距离转化为该点到焦点的距离,构造出“两点之间线段最短”,使问题得解. (2)将抛物线上的点到焦点的距离转化为到准线的距离,利用“与直线上所有点的连线中垂线段最短”原理解 决. 提醒:利用抛物线定义进行距离转化的同时,要注意平面几何知识在其中的重大运用. 考向五 与焦点有关的综合问题 【核心知识】 1.椭圆定义的应用技巧 (1)椭圆定义的应用主要有:求椭圆的标准方程,求焦点三角形的周长、面积及弦长、最值和离心率等. (2)通常定义和余弦定理结合使用,求解关于焦点三角形的周长和面积问题. 2.双曲线定义的主要应用 (1)判定平面内动点与两定点的轨迹是否为双曲线,进而根据要求可求出曲线方程. (2)在“焦点三角形”中,常利用正弦定理、余弦定理,结合||PF|-|PF||=2a,运用平方的方法,建立与| 1 2 PF|·|PF|的联系. 1 2 【典例分析】 典例12.(2021·全国高考真题)已知 , 是椭圆 : 的两个焦点,点 在 上,则 的最大值为( ) A.13 B.12 C.9 D.6 【答案】C 【分析】 本题通过利用椭圆定义得到 ,借助基本不等式 即可得到答案. 【详解】 由题, ,则 ,所以 (当且仅当 时,等号成立). 故选:C. 典例13.【多选题】(2022·全国·统考高考真题)双曲线C的两个焦点为 ,以C的实轴为直径的圆记为 D,过 作D的切线与C交于M,N两点,且 ,则C的离心率为( ) A. B. C. D. 【答案】AC 【分析】依题意不妨设双曲线焦点在 轴,设过 作圆 的切线切点为 ,利用正弦定理结合三角变换、双 曲线的定义得到 或 ,即可得解,注意就 在双支上还是在单支上分类讨论. 【详解】[方法一]:几何法,双曲线定义的应用 情况一 M、N在双曲线的同一支,依题意不妨设双曲线焦点在 轴,设过 作圆 的切线切点为B, 所以 ,因为 ,所以 在双曲线的左支, , , ,设 ,由即 ,则 ,选A 情况二 若M、N在双曲线的两支,因为 ,所以 在双曲线的右支, 所以 , , ,设 , 由 ,即 ,则 , 所以 ,即 , 所以双曲线的离心率 选C [方法二]:答案回代法特值双曲线 , 过 且与圆相切的一条直线为 , 两交点都在左支, , , 则 , 特值双曲线 , 过 且与圆相切的一条直线为 , 两交点在左右两支, 在右支, , , 则 , [方法三]: 依题意不妨设双曲线焦点在 轴,设过 作圆 的切线切点为 , 若 分别在左右支, 因为 ,且 ,所以 在双曲线的右支, 又 , , , 设 , ,在 中,有 , 故 即 , 所以 , 而 , , ,故 , 代入整理得到 ,即 , 所以双曲线的离心率 若 均在左支上,同理有 ,其中 为钝角,故 , 故 即 , 代入 , , ,整理得到: , 故 ,故 , 故选:AC. 典例14.【多选题】(2023秋·黑龙江哈尔滨·高三哈尔滨三中校考阶段练习)已知抛物线 的 焦点 到准线的距离为2,过 的直线与抛物线交于 两点, 为线段 的中点,则下列结论正确的是 ( ) A.抛物线 的标准方程为 B.当 ,则直线 的倾斜角为 C.若 ,则点 到 轴的距离为8 D.【答案】AD 【分析】根据抛物线的图象与几何性质,抛物线焦点弦性质逐个解决即可,其中对于D, 由题可得 ,然后根据基本不等式即得. 【详解】设 , 对于A,由题可知 ,从而抛物线方程为 ,故A正确; 对于B,如图分别过 两点作准线 的垂线,垂足分别为 ,过 点作 的垂线,垂足为点 , 由于 ,不妨设 ,则 , , 由抛物线的定义可知 , , , 则在直角 中, ,此时 的倾斜角为 , 根据抛物线的对称性可知, 的倾斜角为 或 ,故B错误; 对于C,点 , 由抛物线的定义知, , 所以有 ,所以 到 轴距离 ,故C错误; 对于D,由题可设 ,由 ,可得 , 所以 , , 所以 , 所以 , 当且仅当 ,即 时取得等号,故D正确; 故选:AD. 【总结提升】 抛物线定义的应用策略 利用抛物线的定义解决问题时,应灵活地进行抛物线上的点到焦点距离与其到准线距离间的等价转化.“看到 准线应该想到焦点,看到焦点应该想到准线”,这是解决抛物线距离有关问题的有效途径. 考向六 直线与圆锥曲线的位置关系 【核心知识】 1.直线与椭圆位置关系的判断 (1)代数法:把椭圆方程与直线方程联立消去y,整理得到关于x的方程Ax2+Bx+C=0.记该一元二次方程根 的判别式为Δ,①若Δ>0,则直线与椭圆相交;②若Δ=0,则直线与椭圆相切;③若Δ<0,则直线与椭 圆相离. (2)几何法:在同一直角坐标系中画出椭圆和直线,利用图象和性质可判断直线与椭圆的位置关系. M(x,y ),N(x,y ), MN = 2.若直线与椭圆有两个公共点 1 1 2 2 可结合韦达定理,代入弦长公式 1 (1 )[(y  y )2 4y y ] (1k2)[(x x )2 4x x ] MN = k2 1 2 1 2 1 2 1 2 或 (3)弦长公式:设直线与双曲线交于A(x,y),B(x,y)两点,直线的斜率为k,则|AB|=|x-x|. 1 1 2 2 1 2 3.二级结论: 抛物线的有关性质:已知抛物线y2=2px(p>0)的焦点为F,直线l过点F且与抛物线交于两点A(x,y),B(x, 1 1 2y),则 2 (1)|AB|=x+x+p=(α为直线l的倾斜角). 1 2 (2)以AB为直径的圆与抛物线的准线相切. (3)+=. 【典例分析】 典例16.【多选题】(2022·全国·统考高考真题)已知O为坐标原点,点 在抛物线 上, 过点 的直线交C于P,Q两点,则( ) A.C的准线为 B.直线AB与C相切 C. D. 【答案】BCD 【分析】求出抛物线方程可判断A,联立AB与抛物线的方程求交点可判断B,利用距离公式及弦长公式可判 断C、D. 【详解】将点 的代入抛物线方程得 ,所以抛物线方程为 ,故准线方程为 ,A错误; ,所以直线 的方程为 , 联立 ,可得 ,解得 ,故B正确; 设过 的直线为 ,若直线 与 轴重合,则直线 与抛物线 只有一个交点, 所以,直线 的斜率存在,设其方程为 , , 联立 ,得 ,所以 ,所以 或 , , 又 , , 所以 ,故C正确; 因为 , , 所以 ,而 ,故D正确. 故选:BCD 典例17.【多选题】(2022秋·安徽阜阳·高三安徽省临泉第一中学校考期末)已知双曲线C: ( , ),过左焦点 作一条渐近线的垂线,垂足为P,过右焦点 作一条直线交C的右支于A,B两 点, 的内切圆与 相切于点Q,则( ) A.线段AB的最小值为 B. 的内切圆与直线AB相切于点 C.当 时,C的离心率为2 D.当点 关于点P的对称点在另一条渐近线上时,C的渐近线方程为 【答案】BD 【分析】设出直线 方程,联立双曲线方程,利用韦达定理及弦长公式可判断A,根据双曲线的定义和内切 圆性质可判断B,由题可得 进而可判断C,根据条件可得渐近线与x轴的夹角为 可判断D. 【详解】设双曲线 的右焦点为 , , 当直线 斜率不存在时,直线 的方程为 ,则 ,当直线 斜率存在时,设直线 的方程为 联立 ,消去 ,得 , , 由 ,解得 或 , 所以 , 所以当直线 与 轴垂直时, 的长最小,即最小值为 ,故A错误; 设 的内切圆与三角形三边的切点分别是 ,由切线长性质,可得 , 因为 ,所以 ,所以 与 重合, 即 的内切圆与直线AB相切于点 ,故B正确;由题可知双曲线的渐近线为 , ,则 , 由上可知 ,所以 ,所以 ,故C错误; 若 关于P点的对称点在另一条渐近线上时,则渐近线与x轴的夹角为 ,则其渐近线方程为 ,故 D正确. 故选:BD. 典例18.(2021·北京高考真题)已知椭圆 一个顶 点 ,以椭圆 的四个顶点为 顶点的四边形面积为 . (1)求椭圆E的方程; (2)过点P(0,-3)的直线l斜率为k的直线与椭圆E交于不同的两点B,C,直线AB,AC分别与直线交y=-3 交于点M,N,当|PM|+|PN|≤15时,求k的取值范围. 【答案】(1) ;(2) . 【分析】 (1)根据椭圆所过的点及四个顶点围成的四边形的面积可求 ,从而可求椭圆的标准方程. (2)设 ,求出直线 的方程后可得 的横坐标,从而可得 ,联立直线 的方程和椭圆的方程,结合韦达定理化简 ,从而可求 的范围,注意判别式的要求. 【详解】 (1)因为椭圆过 ,故 , 因为四个顶点围成的四边形的面积为 ,故 ,即 , 故椭圆的标准方程为: .(2) 设 , 因为直线 的斜率存在,故 , 故直线 ,令 ,则 ,同理 . 直线 ,由 可得 , 故 ,解得 或 . 又 ,故 ,所以 又 故 即 , 综上, 或 . 【规律方法】 1.解题策略: (1)注意使用圆锥曲线的定义.(2)引入参数,注意构建直线与圆锥曲线的方程组. (3)注意用好圆锥曲线的几何性质. (4)注意几何关系和代数关系之间的转化. 2.直线与椭圆的位置关系问题,经常运用设而不求的方法: (1)设直线与椭圆的交点坐标为 ; (2)联立直线的方程与椭圆的方程; (3)消元得到关于x或y的一元二次方程; (4)利用根与系数的关系设而不求; (5)把题干中的条件转化为含有 或 的式子,进而求解即可. 3.特别提醒:(1)设直线方程时,应注意讨论斜率不存在的情况. (2)利用公式计算直线被椭圆截得的弦长是在方程有解的情况下进行的,不要忽略判别式. 考向七 中点与弦长问题 【核心知识】 1.椭圆中的结论 (1)过椭圆的一个焦点且与长轴垂直的弦称为通径,其长为 . (2) 为椭圆 的弦, ,弦中点为 . ①斜率 . ②弦 的斜率与弦中点 和椭圆中心 的连线的斜率之积为定值 . 2.双曲线中的结论 (1)焦点到渐近线的距离为 . (2)过双曲线的一个焦点且与实轴垂直的弦的长为 . 【典例分析】 典例19.(2022·全国·统考高考真题)设F为抛物线 的焦点,点A在C上,点 ,若 , 则 ( ) A.2 B. C.3 D. 【答案】B 【分析】根据抛物线上的点到焦点和准线的距离相等,从而求得点 的横坐标,进而求得点 坐标,即可得到答案. 【详解】由题意得, ,则 , 即点 到准线 的距离为2,所以点 的横坐标为 , 不妨设点 在 轴上方,代入得, , 所以 . 故选:B 典例20.(2021秋·上海虹口·高三上外附中校考期中)在平面直角坐标系中,过点 的直线 与椭圆 交于 、 两点,点 是线段 的中点.设直线 的斜率为 ,直线 的斜率为 ,则 __. 【答案】 ## 【分析】设 , ,用 表示 ,再将 代入椭圆方程联立即可求解. 【详解】设 , ,中点 , , 因为 ,由椭圆的对称性可得 , , 所以 , 将 , 分别代入椭圆 ,两式相减得 ,即 , 所以 , 故答案为: 典例21. (2022·全国·统考高考真题)已知直线l与椭圆 在第一象限交于A,B两点,l与x轴,y轴 分别交于M,N两点,且 ,则l的方程为___________. 【答案】 【分析】令 的中点为 ,设 , ,利用点差法得到 ,设直线 , , ,求出 、 的坐标,再根据 求出 、 ,即可得解; 【详解】[方法一]:弦中点问题:点差法 令 的中点为 ,设 , ,利用点差法得到 , 设直线 , , ,求出 、 的坐标, 再根据 求出 、 ,即可得解; 解:令 的中点为 ,因为 ,所以 , 设 , ,则 , , 所以 ,即 所以 ,即 ,设直线 , , , 令 得 ,令 得 ,即 , ,所以 , 即 ,解得 或 (舍去), 又 ,即 ,解得 或 (舍去), 所以直线 ,即 ; 故答案为: [方法二]:直线与圆锥曲线相交的常规方法 解:由题意知,点 既为线段 的中点又是线段MN的中点, 设 , ,设直线 , , , 则 , , ,因为 ,所以 联立直线AB与椭圆方程得 消掉y得 其中 ,∴AB中点E的横坐标 ,又 ,∴ ∵ , ,∴ ,又 ,解得m=2 所以直线 ,即 [方法三]: 令 的中点为 ,因为 ,所以 , 设 , ,则 , , 所以 ,即 所以 ,即 ,设直线 , , , 令 得 ,令 得 ,即 , ,所以 , 即 ,解得 或 (舍去), 又 ,即 ,解得 或 (舍去), 所以直线 ,即 ;故答案为: 【总结提升】 直线与圆锥曲线相交弦的中点问题 中点弦问题常用“根与系数的关系”或“点差法”求解. (1)利用根与系数的关系的方法:将直线方程代入圆锥曲线的方程,消元后得到一个一元二次方程,利用根与 系数的关系和中点坐标公式建立等式求解,注意不能忽视对判别式的讨论. (2)点差法:若直线与圆锥曲线有两个交点,一般地,设 ,代入曲线方程,通过作差, 构造出 , ,从而建立中点坐标和斜率的关系.