当前位置:首页>文档>专题31抛物线及其性质(教师版)_02高考数学_通用版(老高考)复习资料_2024年复习资料_完备战2024年高考数学一轮复习考点帮(全国通用)_核心考点讲练

专题31抛物线及其性质(教师版)_02高考数学_通用版(老高考)复习资料_2024年复习资料_完备战2024年高考数学一轮复习考点帮(全国通用)_核心考点讲练

  • 2026-04-13 10:10:38 2026-04-13 10:10:38

文档预览

专题31抛物线及其性质(教师版)_02高考数学_通用版(老高考)复习资料_2024年复习资料_完备战2024年高考数学一轮复习考点帮(全国通用)_核心考点讲练
专题31抛物线及其性质(教师版)_02高考数学_通用版(老高考)复习资料_2024年复习资料_完备战2024年高考数学一轮复习考点帮(全国通用)_核心考点讲练
专题31抛物线及其性质(教师版)_02高考数学_通用版(老高考)复习资料_2024年复习资料_完备战2024年高考数学一轮复习考点帮(全国通用)_核心考点讲练
专题31抛物线及其性质(教师版)_02高考数学_通用版(老高考)复习资料_2024年复习资料_完备战2024年高考数学一轮复习考点帮(全国通用)_核心考点讲练
专题31抛物线及其性质(教师版)_02高考数学_通用版(老高考)复习资料_2024年复习资料_完备战2024年高考数学一轮复习考点帮(全国通用)_核心考点讲练
专题31抛物线及其性质(教师版)_02高考数学_通用版(老高考)复习资料_2024年复习资料_完备战2024年高考数学一轮复习考点帮(全国通用)_核心考点讲练
专题31抛物线及其性质(教师版)_02高考数学_通用版(老高考)复习资料_2024年复习资料_完备战2024年高考数学一轮复习考点帮(全国通用)_核心考点讲练
专题31抛物线及其性质(教师版)_02高考数学_通用版(老高考)复习资料_2024年复习资料_完备战2024年高考数学一轮复习考点帮(全国通用)_核心考点讲练
专题31抛物线及其性质(教师版)_02高考数学_通用版(老高考)复习资料_2024年复习资料_完备战2024年高考数学一轮复习考点帮(全国通用)_核心考点讲练
专题31抛物线及其性质(教师版)_02高考数学_通用版(老高考)复习资料_2024年复习资料_完备战2024年高考数学一轮复习考点帮(全国通用)_核心考点讲练
专题31抛物线及其性质(教师版)_02高考数学_通用版(老高考)复习资料_2024年复习资料_完备战2024年高考数学一轮复习考点帮(全国通用)_核心考点讲练
专题31抛物线及其性质(教师版)_02高考数学_通用版(老高考)复习资料_2024年复习资料_完备战2024年高考数学一轮复习考点帮(全国通用)_核心考点讲练
专题31抛物线及其性质(教师版)_02高考数学_通用版(老高考)复习资料_2024年复习资料_完备战2024年高考数学一轮复习考点帮(全国通用)_核心考点讲练
专题31抛物线及其性质(教师版)_02高考数学_通用版(老高考)复习资料_2024年复习资料_完备战2024年高考数学一轮复习考点帮(全国通用)_核心考点讲练
专题31抛物线及其性质(教师版)_02高考数学_通用版(老高考)复习资料_2024年复习资料_完备战2024年高考数学一轮复习考点帮(全国通用)_核心考点讲练
专题31抛物线及其性质(教师版)_02高考数学_通用版(老高考)复习资料_2024年复习资料_完备战2024年高考数学一轮复习考点帮(全国通用)_核心考点讲练
专题31抛物线及其性质(教师版)_02高考数学_通用版(老高考)复习资料_2024年复习资料_完备战2024年高考数学一轮复习考点帮(全国通用)_核心考点讲练
专题31抛物线及其性质(教师版)_02高考数学_通用版(老高考)复习资料_2024年复习资料_完备战2024年高考数学一轮复习考点帮(全国通用)_核心考点讲练
专题31抛物线及其性质(教师版)_02高考数学_通用版(老高考)复习资料_2024年复习资料_完备战2024年高考数学一轮复习考点帮(全国通用)_核心考点讲练
专题31抛物线及其性质(教师版)_02高考数学_通用版(老高考)复习资料_2024年复习资料_完备战2024年高考数学一轮复习考点帮(全国通用)_核心考点讲练
专题31抛物线及其性质(教师版)_02高考数学_通用版(老高考)复习资料_2024年复习资料_完备战2024年高考数学一轮复习考点帮(全国通用)_核心考点讲练
专题31抛物线及其性质(教师版)_02高考数学_通用版(老高考)复习资料_2024年复习资料_完备战2024年高考数学一轮复习考点帮(全国通用)_核心考点讲练
专题31抛物线及其性质(教师版)_02高考数学_通用版(老高考)复习资料_2024年复习资料_完备战2024年高考数学一轮复习考点帮(全国通用)_核心考点讲练
专题31抛物线及其性质(教师版)_02高考数学_通用版(老高考)复习资料_2024年复习资料_完备战2024年高考数学一轮复习考点帮(全国通用)_核心考点讲练
专题31抛物线及其性质(教师版)_02高考数学_通用版(老高考)复习资料_2024年复习资料_完备战2024年高考数学一轮复习考点帮(全国通用)_核心考点讲练
专题31抛物线及其性质(教师版)_02高考数学_通用版(老高考)复习资料_2024年复习资料_完备战2024年高考数学一轮复习考点帮(全国通用)_核心考点讲练
专题31抛物线及其性质(教师版)_02高考数学_通用版(老高考)复习资料_2024年复习资料_完备战2024年高考数学一轮复习考点帮(全国通用)_核心考点讲练
专题31抛物线及其性质(教师版)_02高考数学_通用版(老高考)复习资料_2024年复习资料_完备战2024年高考数学一轮复习考点帮(全国通用)_核心考点讲练
专题31抛物线及其性质(教师版)_02高考数学_通用版(老高考)复习资料_2024年复习资料_完备战2024年高考数学一轮复习考点帮(全国通用)_核心考点讲练
专题31抛物线及其性质(教师版)_02高考数学_通用版(老高考)复习资料_2024年复习资料_完备战2024年高考数学一轮复习考点帮(全国通用)_核心考点讲练
专题31抛物线及其性质(教师版)_02高考数学_通用版(老高考)复习资料_2024年复习资料_完备战2024年高考数学一轮复习考点帮(全国通用)_核心考点讲练
专题31抛物线及其性质(教师版)_02高考数学_通用版(老高考)复习资料_2024年复习资料_完备战2024年高考数学一轮复习考点帮(全国通用)_核心考点讲练
专题31抛物线及其性质(教师版)_02高考数学_通用版(老高考)复习资料_2024年复习资料_完备战2024年高考数学一轮复习考点帮(全国通用)_核心考点讲练
专题31抛物线及其性质(教师版)_02高考数学_通用版(老高考)复习资料_2024年复习资料_完备战2024年高考数学一轮复习考点帮(全国通用)_核心考点讲练
专题31抛物线及其性质(教师版)_02高考数学_通用版(老高考)复习资料_2024年复习资料_完备战2024年高考数学一轮复习考点帮(全国通用)_核心考点讲练
专题31抛物线及其性质(教师版)_02高考数学_通用版(老高考)复习资料_2024年复习资料_完备战2024年高考数学一轮复习考点帮(全国通用)_核心考点讲练
专题31抛物线及其性质(教师版)_02高考数学_通用版(老高考)复习资料_2024年复习资料_完备战2024年高考数学一轮复习考点帮(全国通用)_核心考点讲练
专题31抛物线及其性质(教师版)_02高考数学_通用版(老高考)复习资料_2024年复习资料_完备战2024年高考数学一轮复习考点帮(全国通用)_核心考点讲练
专题31抛物线及其性质(教师版)_02高考数学_通用版(老高考)复习资料_2024年复习资料_完备战2024年高考数学一轮复习考点帮(全国通用)_核心考点讲练
专题31抛物线及其性质(教师版)_02高考数学_通用版(老高考)复习资料_2024年复习资料_完备战2024年高考数学一轮复习考点帮(全国通用)_核心考点讲练
专题31抛物线及其性质(教师版)_02高考数学_通用版(老高考)复习资料_2024年复习资料_完备战2024年高考数学一轮复习考点帮(全国通用)_核心考点讲练
专题31抛物线及其性质(教师版)_02高考数学_通用版(老高考)复习资料_2024年复习资料_完备战2024年高考数学一轮复习考点帮(全国通用)_核心考点讲练
专题31抛物线及其性质(教师版)_02高考数学_通用版(老高考)复习资料_2024年复习资料_完备战2024年高考数学一轮复习考点帮(全国通用)_核心考点讲练
专题31抛物线及其性质(教师版)_02高考数学_通用版(老高考)复习资料_2024年复习资料_完备战2024年高考数学一轮复习考点帮(全国通用)_核心考点讲练
专题31抛物线及其性质(教师版)_02高考数学_通用版(老高考)复习资料_2024年复习资料_完备战2024年高考数学一轮复习考点帮(全国通用)_核心考点讲练
专题31抛物线及其性质(教师版)_02高考数学_通用版(老高考)复习资料_2024年复习资料_完备战2024年高考数学一轮复习考点帮(全国通用)_核心考点讲练
专题31抛物线及其性质(教师版)_02高考数学_通用版(老高考)复习资料_2024年复习资料_完备战2024年高考数学一轮复习考点帮(全国通用)_核心考点讲练
专题31抛物线及其性质(教师版)_02高考数学_通用版(老高考)复习资料_2024年复习资料_完备战2024年高考数学一轮复习考点帮(全国通用)_核心考点讲练
专题31抛物线及其性质(教师版)_02高考数学_通用版(老高考)复习资料_2024年复习资料_完备战2024年高考数学一轮复习考点帮(全国通用)_核心考点讲练
专题31抛物线及其性质(教师版)_02高考数学_通用版(老高考)复习资料_2024年复习资料_完备战2024年高考数学一轮复习考点帮(全国通用)_核心考点讲练
专题31抛物线及其性质(教师版)_02高考数学_通用版(老高考)复习资料_2024年复习资料_完备战2024年高考数学一轮复习考点帮(全国通用)_核心考点讲练
专题31抛物线及其性质(教师版)_02高考数学_通用版(老高考)复习资料_2024年复习资料_完备战2024年高考数学一轮复习考点帮(全国通用)_核心考点讲练
专题31抛物线及其性质(教师版)_02高考数学_通用版(老高考)复习资料_2024年复习资料_完备战2024年高考数学一轮复习考点帮(全国通用)_核心考点讲练
专题31抛物线及其性质(教师版)_02高考数学_通用版(老高考)复习资料_2024年复习资料_完备战2024年高考数学一轮复习考点帮(全国通用)_核心考点讲练
专题31抛物线及其性质(教师版)_02高考数学_通用版(老高考)复习资料_2024年复习资料_完备战2024年高考数学一轮复习考点帮(全国通用)_核心考点讲练
专题31抛物线及其性质(教师版)_02高考数学_通用版(老高考)复习资料_2024年复习资料_完备战2024年高考数学一轮复习考点帮(全国通用)_核心考点讲练
专题31抛物线及其性质(教师版)_02高考数学_通用版(老高考)复习资料_2024年复习资料_完备战2024年高考数学一轮复习考点帮(全国通用)_核心考点讲练
专题31抛物线及其性质(教师版)_02高考数学_通用版(老高考)复习资料_2024年复习资料_完备战2024年高考数学一轮复习考点帮(全国通用)_核心考点讲练
专题31抛物线及其性质(教师版)_02高考数学_通用版(老高考)复习资料_2024年复习资料_完备战2024年高考数学一轮复习考点帮(全国通用)_核心考点讲练
专题31抛物线及其性质(教师版)_02高考数学_通用版(老高考)复习资料_2024年复习资料_完备战2024年高考数学一轮复习考点帮(全国通用)_核心考点讲练
专题31抛物线及其性质(教师版)_02高考数学_通用版(老高考)复习资料_2024年复习资料_完备战2024年高考数学一轮复习考点帮(全国通用)_核心考点讲练
专题31抛物线及其性质(教师版)_02高考数学_通用版(老高考)复习资料_2024年复习资料_完备战2024年高考数学一轮复习考点帮(全国通用)_核心考点讲练
专题31抛物线及其性质(教师版)_02高考数学_通用版(老高考)复习资料_2024年复习资料_完备战2024年高考数学一轮复习考点帮(全国通用)_核心考点讲练
专题31抛物线及其性质(教师版)_02高考数学_通用版(老高考)复习资料_2024年复习资料_完备战2024年高考数学一轮复习考点帮(全国通用)_核心考点讲练
专题31抛物线及其性质(教师版)_02高考数学_通用版(老高考)复习资料_2024年复习资料_完备战2024年高考数学一轮复习考点帮(全国通用)_核心考点讲练
专题31抛物线及其性质(教师版)_02高考数学_通用版(老高考)复习资料_2024年复习资料_完备战2024年高考数学一轮复习考点帮(全国通用)_核心考点讲练
专题31抛物线及其性质(教师版)_02高考数学_通用版(老高考)复习资料_2024年复习资料_完备战2024年高考数学一轮复习考点帮(全国通用)_核心考点讲练

文档信息

文档格式
docx
文档大小
3.928 MB
文档页数
63 页
上传时间
2026-04-13 10:10:38

文档内容

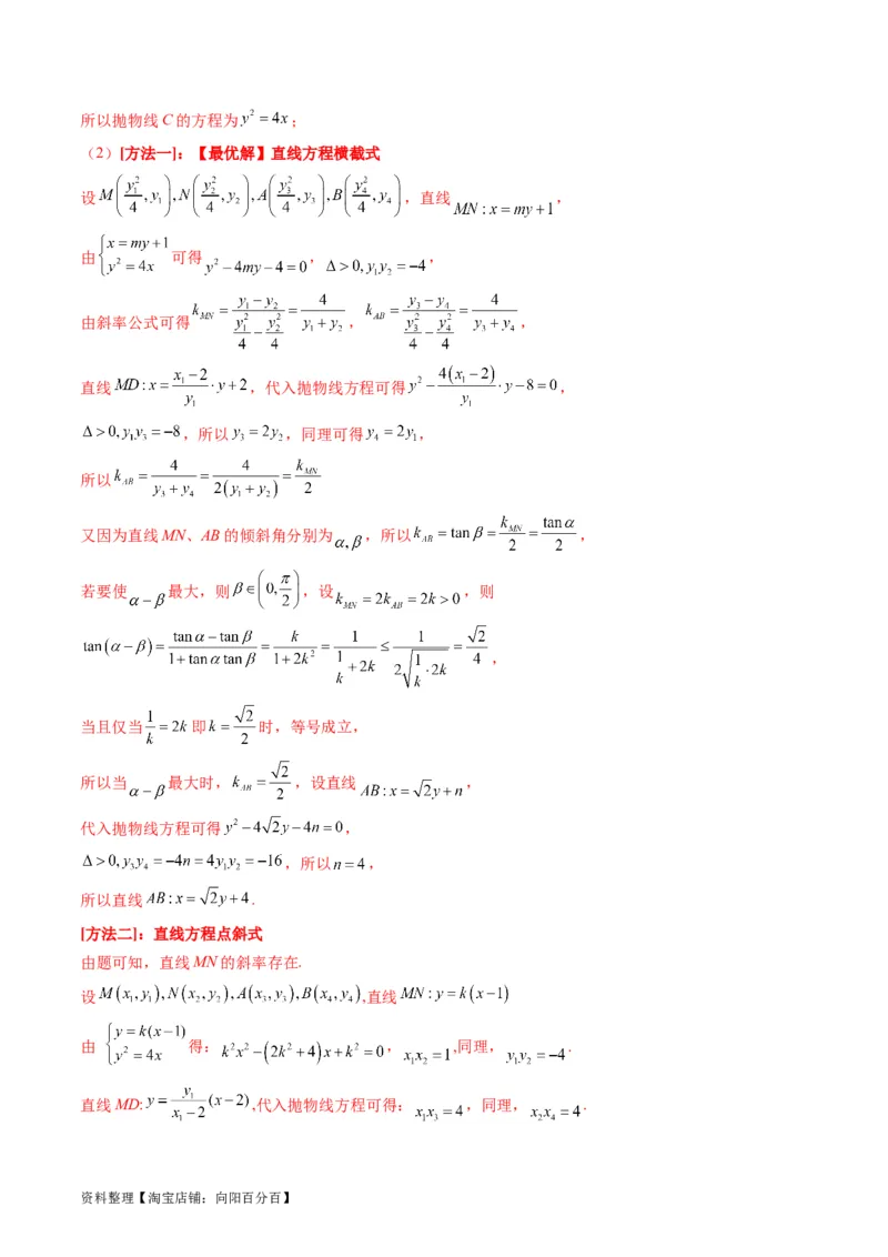
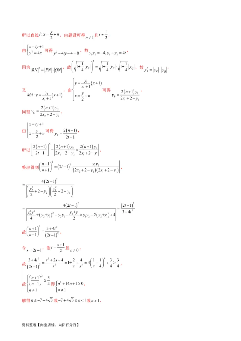
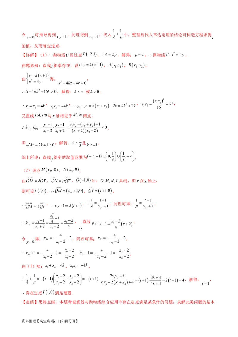
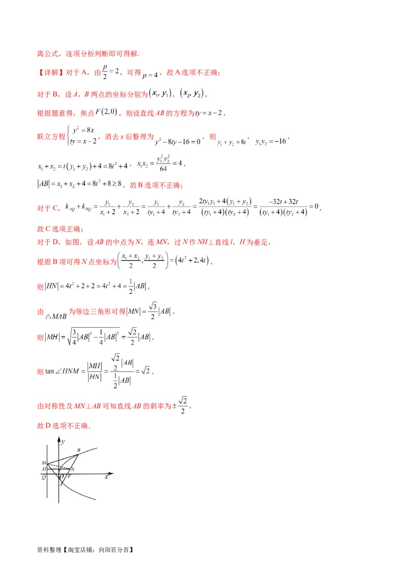
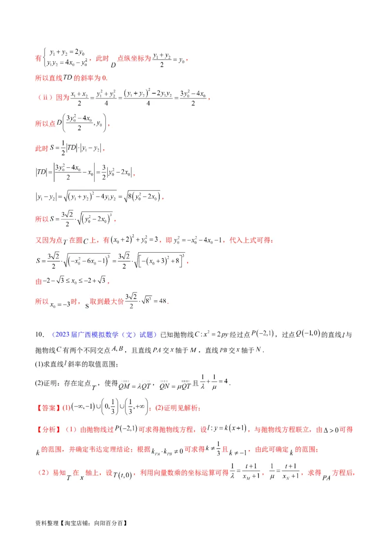
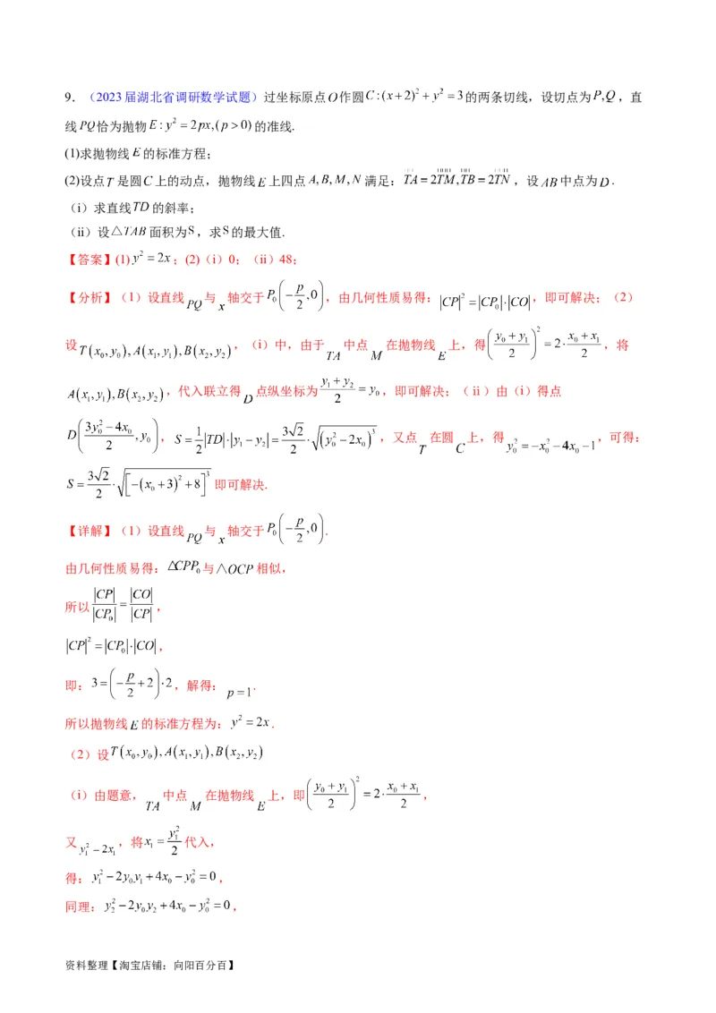
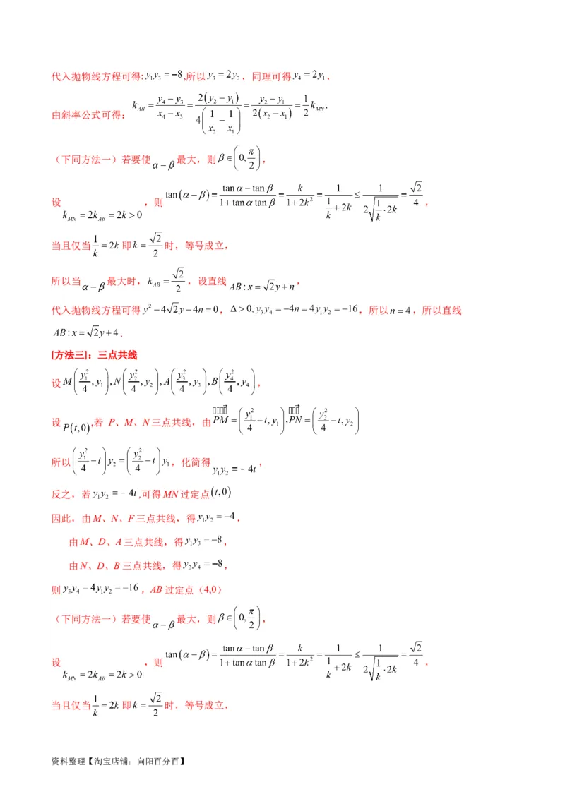
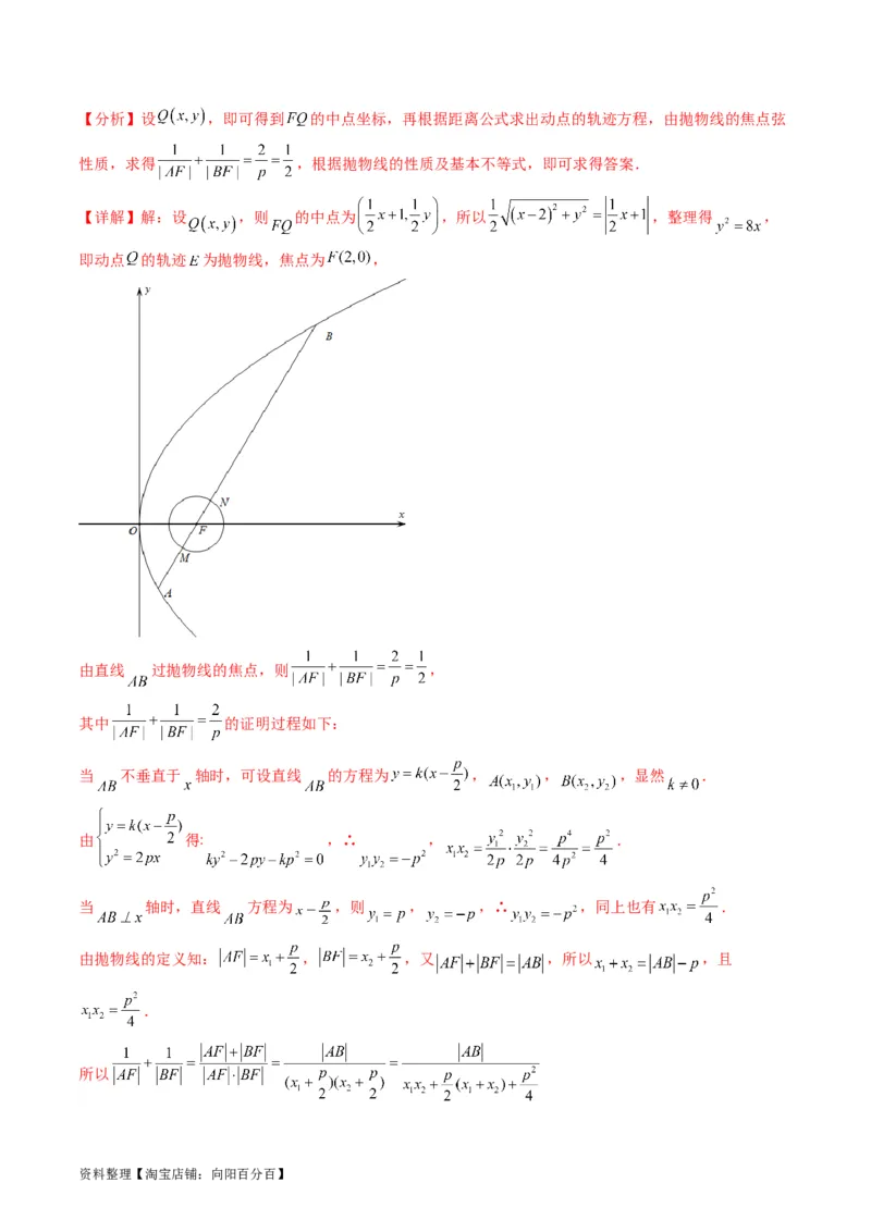
专题 31 抛物线及其性质 (核心考点精讲精练) 1. 近几年真题考点分布 圆锥曲线近几年考情 考题示例 考点分析 关联考点 2023年全国乙(文科),第11题,5分 直线与圆的位置关系, 参数方程 2023年全国乙(文科),第13题,5分 根据抛物线上的点求标准方程,抛物线的定义 2023年全国乙(理科),第3题,5分 通过三视图求几何体的表面积 2023年全国乙(文科),第3题,5分 2023年全国乙(理科),第5题,5分 根据标准方程确定圆的圆心和半径 几何概型 2023年全国乙(文科),第7题,5分 2023年全国乙(理科),第11题,5分 直线与双曲线的位置关系,求线段的中点坐标 2023年全国乙(文科),第12题,5分 2023年全国乙(理科),第12题,5分 直线与圆的位置关系 向量的数量积 2023年全国乙(理科),第20题,12分 1、根据离心率求椭圆方程; 2023年全国乙(文科),第21题,12分 2、椭圆中的定点问题; 2023年全国甲(文科),第7题,5分 椭圆中焦点三角形的面积问题 2023年全国甲(理科),第8题,5分 双曲线的渐近线、离心率、圆的中点弦 2023年全国甲(文科),第9题,5分 2023年全国甲(理科),第12题,5分 椭圆的定义、焦点三角形 1、根据直线与抛物线相交所得弦长求抛物线 2023年全国甲(理科),第20题,12分 方程; 2023年全国甲(文科),第20题,12分 2、抛物线中的三角形面积问题 2. 命题规律及备考策略 【命题规律】抛物线及其性质是平面几何的重要内容之一,其涉及到的知识点包括抛物线的对称 资料整理【淘宝店铺:向阳百分百】轴、顶点、开口方向、交点等。在考试中,常常以选择题、填空题、证明题等形式 出现,难度中等偏上; 【备考策略】1.了解抛物线的实际背景,感受抛物线在刻画现实世界和解决实际问题中的应用; 2.了解抛物线的定义、几何图形和标准方程,以及它的简单几何性质; 3.了解抛物线的简单应用;理解并掌握抛物线的性质; 4.熟练掌握抛物线的基本概念,如对称轴、顶点、开口方向等,这是解决问题的关键; 5.熟练掌握抛物线的方程、对称轴公式、顶点坐标公式; 【命题预测】1.抛物线的对称轴、顶点、开口方向、与坐标轴的交点等。在未来的命题中,可能会继 续对这几个基础概念进行考查; 2.抛物线的对称性、开口方向等性质是经常在题目中出现的考点。在未来的命题中,可 能会更深入地考查学生对这些性质的的理解和运用; 3.熟练掌握抛物线的方程、对称轴公式、顶点坐标公式等; 4.抛物线及其性质与一次函数、二次函数等其他内容有着密切的联系。未来的命题可能会 更加注重考查学生综合运用知识的能力; 知识讲解 一、抛物线的定义 1.平面内与一个定点 和一条定直线 的距离 相等 的点的轨迹叫作抛物线.点 叫作抛物线的焦 点,直线 叫作抛物线的 准线 . 2.其数学表达式: ( 为点 到准线 的距离). 二、抛物线的标准方程与几何性质 标准 方程 资料整理【淘宝店铺:向阳百分百】的几何意义:焦点 到准线 的距离 图形 顶点 O (0,0 ) 对称轴 直线 直线 焦点 离心率 准线 方程 范围 焦半径(其中 ) 1. 的焦点坐标为 ,准线方程为 . 2.如图,设 是过抛物线 的焦点 的弦,若 , ,则 (1) , . (2)弦长 ( 为弦 的倾斜角). (3)以弦 为直径的圆与准线相切. (4)通径:过焦点且垂直于对称轴的弦,长度等于 ,通径是过焦点最短的弦. (5) . 1.抛物线定义的两个关键点 (1)抛物线上的点到焦点的距离与到准线的距离相等; 资料整理【淘宝店铺:向阳百分百】(2)抛物线的焦点到准线的距离为 . 2.求抛物线标准方程的方法 (1)先定位:根据焦点或准线的位置. (2)再定形:根据条件求 . 运用抛物线性质的技巧 1.利用抛物线方程确定其焦点、准线时,关键是将抛物线方程化成标准方程. 2.要结合图形分析,灵活运用平面几何的性质,以图助解. 与抛物线有关的最值问题的求解方法 (1)定义转换法:将点到焦点的距离转化为点到准线的距离,借助平面几何知识求解. (2)平移直线法:先利用平行线之间距离最短平移直线与抛物线相切,再求两直线的距离. (3)函数法:通过巧设点的坐标,将距离表示为关于 (参数)的二次函数形式,配方后求最值. 1.求解直线与抛物线的问题时,一般利用方程法,但当涉及抛物线的弦长、中点、距离等问题时,要注意 “设而不求”“整体代入”“点差法”以及定义的灵活应用. 2.有关直线与抛物线的弦长问题,要注意直线是否过抛物线的焦点.若过抛物线的焦点(设焦点在x轴的正 半轴上),可直接使用公式 ;若不过焦点,则可用弦长公式. 1.解决本题的关键是把实际问题转化为数学问题,利用数学模型,通过数学语言(文字、符号、图形、字 母等)表达、分析、解决问题. 2.以抛物线为数学模型的实例很多,如拱桥、隧道、喷泉等,应用抛物线解决问题主要体现在:(1)建立平 面直角坐标系,求抛物线的标准方程;(2)利用已求方程求点的坐标. 考点一、抛物线的定义与标准方程 1.(2019年全国统一高考数学试卷(理科)(新课标Ⅱ))若抛物线y2=2px(p>0)的焦点是椭圆 的一个焦点,则p=( ) A.2 B.3 C.4 D.8 【答案】D 【分析】利用抛物线与椭圆有共同的焦点即可列出关于 的方程,即可解出 ,或者利用检验排除的方法, 如 时,抛物线焦点为(1,0),椭圆焦点为(±2,0),排除A,同样可排除B,C,故选D. 【详解】因为抛物线 的焦点 是椭圆 的一个焦点,所以 ,解得 . 【点睛】本题主要考查抛物线与椭圆的几何性质,渗透逻辑推理、运算能力素养. 2.对抛物线 ,下列描述正确的是( ) A.开口向上,焦点为(0,2) B.开口向上,焦点为 资料整理【淘宝店铺:向阳百分百】C.开口向右,焦点为(2,0) D.开口向上,焦点为 【答案】A 【分析】先将抛物线化成标准形式,然后给找到开口方向和焦点. 【详解】抛物线方程 ,化成标准方程形式 ,可得其开口向上,焦点坐标为 . 【点睛】本题考查由抛物线方程求其图像的开口和焦点坐标.属于简单题. 3.点 到抛物线 的准线的距离为6,那么抛物线的标准方程是( ) A. B. 或 C. D. 或 【答案】D 【解析】将 转化为 ,分类讨论 和 两种情况,利用抛物线性质,列出关于a的方程 求解即可. 【详解】将 转化为 , 当 时,抛物线开口向上,准线方程 ,点 到准线的距离为 ,解得 ,所 以抛物线方程为 ,即 ; 当 时,抛物线开口向下,准线方程 ,点 到准线的距离为 ,解得 或 (舍去),所以抛物线方程为 ,即 . 所以抛物线的方程为 或 【点睛】易错点睛:本题考查求抛物线的标准方程,解题时要注意,已知抛物线方程,求它的焦点坐标, 准线方程等,一定要注意所给方程是不是标准形式,若不是,一定要先转化为标准形式,然后根据标准形 式的类型,确定参数p的值及抛物线的开口方向等,然后给出结论. 1.(2021年全国新高考II卷数学试题)抛物线 的焦点到直线 的距离为 ,则 ( ) 资料整理【淘宝店铺:向阳百分百】A.1 B.2 C. D.4 【答案】B 【分析】首先确定抛物线的焦点坐标,然后结合点到直线距离公式可得 的值. 【详解】抛物线的焦点坐标为 , 其到直线 的距离: , 解得: ( 舍去). 2.抛物线 的准线方程是 ,则实数 . 【答案】 / 【分析】将抛物线方程化为标准方程,根据其准线方程即可求得实数 . 【详解】抛物线 化为标准方程: , 其准线方程是 ,而 所以 ,即 . 3.(2021年全国新高考Ⅰ卷数学试题)已知 为坐标原点,抛物线 : ( )的焦点为 , 为 上一点, 与 轴垂直, 为 轴上一点,且 ,若 ,则 的准线方程为 . 【答案】 【分析】先用坐标表示 ,再根据向量垂直坐标表示列方程,解得 ,即得结果. 【详解】抛物线 : ( )的焦点 , ∵P为 上一点, 与 轴垂直, 所以P的横坐标为 ,代入抛物线方程求得P的纵坐标为 , 不妨设 , 因为Q为 轴上一点,且 ,所以Q在F的右侧, 又 , 资料整理【淘宝店铺:向阳百分百】, 因为 ,所以 , , 所以 的准线方程为 . 【点睛】利用向量数量积处理垂直关系是本题关键. 考点二、抛物线的几何性质 1.(2023年江苏省学业质量调研数学试题)抛物线 上一点 到其对称轴的距离为( ) A.4 B.2 C. D.1 【答案】A 【分析】利用代入法进行求解即可. 【详解】把 代入抛物线方程中,得 , 因为该抛物线的对称轴为纵轴, 所以抛物线 上一点 到其对称轴的距离为4. 2.已知抛物线 的焦点为 ,过焦点 的直线交抛物线与 两点,且 ,则 拋物线的准线方程为 . 【答案】 【分析】根据题意作出图形,设直线 与 轴的夹角为 ,不妨设 ,设抛物线的准线与 轴的 交点为 ,过点 作准线与 轴的垂线,垂足分别为 ,过点 分别作准线和 轴的垂线,垂足分别为 ,进一步可以得到 ,进而求出 ,同理求出 , 最后解得答案. 【详解】设直线 与 轴的夹角为 ,根据抛物线的对称性,不妨设 ,如图所示.设 抛物线的准线与 轴的交点为 ,过点 作准线与 轴的垂线,垂足分别为 , 资料整理【淘宝店铺:向阳百分百】过点 分别作准线和 轴的垂线,垂足分别为 . 由抛物线的定义可知, , 同理: , 于是, ,则抛物线的准线方程为: . 3.(2023届江苏省二模数学试题)已知点 在抛物线 上,过 作 的准线的垂线,垂 足为 ,点 为 的焦点.若 ,点 的横坐标为 ,则 . 【答案】 【分析】不妨设点 在第一象限,可得点 ,分析可知直线 的倾斜角为 ,利用直线的斜率 公式可得出关于 的等式,结合 的取值范围可求得 的值. 【详解】如下图所示: 资料整理【淘宝店铺:向阳百分百】不妨设点 在第一象限,联立 可得 ,即点 易知 轴,则 轴,则 , 所以,直线 的倾斜角为 ,易知点 , 所以, ,整理可得 ,且有 ,故 , 等式 两边平方可得 ,即 , 解得 (6舍去). 1.已知 为坐标原点,垂直抛物线 的轴的直线与抛物线 交于 两点, , 则 ,则 ( ) A.4 B.3 C.2 D.1 【答案】D 【分析】由题知 为等腰直角三角形,进而得 ,再代入方程求解即可. 【详解】解:∵ ,∴ ,∴ , ∵ ,且 轴,∴由抛物线的对称性 为等腰直角三角形, 设 与 轴的交点为 , ∴ ,即 , ∴将 代入 得 ,解得 . 资料整理【淘宝店铺:向阳百分百】2. 为坐标原点, 为抛物线 的焦点, 为 上一点,若 ,则 的面积为( ) A. B. C. D. 【答案】B 【分析】由抛物线的标准方程 可得抛物线的焦点坐标和准线方程,设出 ,由PF=4以及抛物线 的定义列式可得 ,即 ,再代入抛物线方程可得点P的纵坐标,再由三角形的面积公式 可得. 【详解】由 可得抛物线的焦点F(1,0),准线方程为 , 如图:过点P作准线 的垂线,垂足为 ,根据抛物线的定义可知PM=PF=4, 设 ,则 ,解得 ,将 代入 可得 , 所以△ 的面积为 = . 【点睛】本题考查了抛物线的几何性质,定义以及三角形的面积公式,关键是①利用抛物线的定义求P点的 坐标;②利用OF为三角形的底,点P的纵坐标的绝对值为高计算三角形的面积.属中档题. 资料整理【淘宝店铺:向阳百分百】3.已知抛物线 ,以 为圆心,半径为5的圆与抛物线 交于 两点,若 ,则 ( ) A.4 B.8 C.10 D.16 【答案】B 【分析】由圆和抛物线的对称性及|AB|的长,可以得到点A,B的纵坐标,代入抛物线方程得到其横坐标关 于p的函数表达式,再代入圆的方程求得p的值. 【详解】以 为圆心,半径为5的圆的方程为 , 由抛物线 ,得到抛物线关于 轴对称, 又∵上面的圆的圆心在 轴上,∴圆的图形也关于 轴对称, ∴它们的交点A,B关于 轴对称, 因为|AB|=8,∴A,B点的纵坐标的绝对值都是4, ∵它们在抛物线上,于是A点的横坐标的值 , 不妨设A在 轴上方,则A点的坐标为 , 又∵A在圆上,∴ ,解得 , 【点睛】本题考查抛物线的方程和几何性质,涉及圆的方程和性质,关键是利用抛物线和圆的对称性,结 合弦长求得A,B的纵坐标,进而得到其横坐标,代入圆的方程求得p的值. 考点三、直线与抛物线的位置关系 1.已知直线 过抛物线 : ( )的焦点,且与抛物线 交于 , 两点,若使 的直 线 有且仅有1条,则 . 【答案】1 【分析】根据通径公式,即可求解. 【详解】焦点弦中,通径最短,所以若使 的直线 有且仅有1条,则 就是通径,即 , . 2.已知直线 被抛物线 截得的弦长为 ,直线 经过 的焦点, 为 上的一 资料整理【淘宝店铺:向阳百分百】个动点,设点 的坐标为 ,则 的最小值为 . 【答案】 【分析】把直线方程与抛物线方程联立得到根与系数的关系,利用弦长公式即可得出p与 关系;再根据 经过 的焦点,得出p与 的关系,可求出抛物线方程,进而得到 的最小值. 【详解】(1) 则 又直线 经过 的焦点,则 由此解得 抛物线方程为 , 则 故当 时, 【点睛】熟练掌握直线与抛物线相交问题转化为直线方程与抛物线方程联立得到根与系数的关系、弦长公 式、点到直线的距离公式等是解题的关键. 3.已知抛物线 的焦点为F,直线l过焦点F与C交于A,B两点,以 为直径的圆与y轴交于 D,E两点,且 ,则直线l的方程为( ) A. B. C. D. 【答案】C 【分析】设 的中点为M,根据 求出r,进而得到M点横坐标;再设直线 ,由韦达定理得到k与M横坐标的关系,进而求出k. 【详解】设 的中点为M, 轴于点N,过A,B作准线 的垂线,垂足分别 为 ,如下图: 由抛物线的定义知 , 资料整理【淘宝店铺:向阳百分百】故 , 所以 , 即 , 解得 或 (舍去), 故M的横坐标为 , 设直线 , 将 代入 , 得 , 则 , 解得 , 故直线l的方程为 . 【点睛】本题解题的关键是要抓住圆的两要素:圆心和半径,用圆心的横坐标得到斜率的等量关系. 1.已知抛物线C: ,则过抛物线C的焦点,弦长为整数且不超过2022的直线的条数是( ) A.4037 B.4044 C.2019 D.2022 【答案】A 【分析】根据已知条件,结合抛物线的性质,先求出过焦点的最短弦长,再结合抛物线的对称性,即可求 解. 【详解】∵抛物线C: ,即 , 由抛物线的性质可得,过抛物线焦点中,长度最短的为垂直于y轴的那条弦, 则过抛物线C的焦点,长度最短的弦的长为 , 由抛物线的对称性可得,弦长在5到2022之间的有共有 条, 故弦长为整数且不超过2022的直线的条数是 . 2.(2023届广东省综合测试(一)数学试题)已知抛物线 的顶点为坐标原点 ,焦点 在 轴上,过 点 的直线交 于 两点,且 ,线段 的中点为 ,则直线 的斜率的最大值为 资料整理【淘宝店铺:向阳百分百】( ) A. B. C. D.1 【答案】A 【分析】根据给定条件,设出抛物线C及直线PQ的方程,借助垂直关系求出抛物线方程及点M的坐标, 再用斜率坐标公式建立函数,利用均值不等式求解作答. 【详解】依题意,抛物线 的焦点在x轴的正半轴上,设 的方程为: , 显然直线 不垂直于y轴,设直线PQ的方程为: ,点 , 由 消去x得: ,则有 , 由 得: ,解得 , 于是抛物线 : 的焦点 ,弦 的中点 的纵坐标为 ,则点 , 显然直线 的斜率最大,必有 ,则直线 的斜率 , 当且仅当 ,即 时取等号,所以直线 的斜率的最大值为 . 3.直线 过抛物线 的焦点 ,且与 交于 两点,则 ( ) A.6 B.8 C.2 D.4 【答案】B 【分析】联立直线与抛物线的方程,根据抛物线的焦点坐标,结合焦点弦长公式求解即可 【详解】因为抛物线 的焦点坐标为 , 又直线 过抛物线 的焦点F,所以 ,抛物线 的方程为 ,由 , 得 ,所以 ,所以 . 4.倾斜角为135°的直线 与抛物线 相切,分别与 轴、 轴交于 、 两点,过 , 两点的最小 圆截抛物线 的准线所得的弦长为( ) A.4 B.2 C. D. 【答案】B 资料整理【淘宝店铺:向阳百分百】【分析】由题可求直线 ,进而可得圆的方程为 ,再利用弦长公式即求. 【详解】由题可设直线的方程 , 由 ,得 , ∴ ,解得 , ∴ , 令 ,得 ,令 ,得 ,即 , ∴过 , 两点的最小圆即以 为直径的圆,其圆心为 ,半径为 ,方程为 , 又抛物线 的准线为 , ∴过 , 两点的最小圆截抛物线 的准线所得的弦长为 . 考点四、与抛物线有关的最值问题 1.(2023届福建省质量检测数学试题)已知 为抛物线 上的一个动点,直线 , 为圆 上的动点,则点 到直线 的距离与 之和的最小值为 . 【答案】 【分析】首先得到圆心 的坐标与半径,由抛物线方程得到焦点坐标与准线方程,依题意可得点 到直线 的距离 ,即可得到点 到直线 的距离与 之和为 ,再数形结合得到 的最 小值. 【详解】解:因为圆 ,所以 ,半径 , 抛物线 的焦点 ,准线为直线 , 则点 到直线 的距离 , 所以点 到直线 的距离与 之和为 , 所以当 、 、 、 四点共线时, 取得最小值, 资料整理【淘宝店铺:向阳百分百】其最小值为 . 2.已知以F为焦点的抛物线 上的两点A,B,满足 ,则弦AB的中点到C 的准线的距离的最大值是( ) A.2 B. C. D.4 【答案】B 【分析】根据抛物线焦点弦的性质以及 ,联立可得 ,进而可用对勾函数的性质求 的最值,进而可求. 【详解】解法1:抛物线 的焦点坐标为 ,准线方程为 , 设 , ,则∵ ,由抛物线定义可知 ,∴ ,又 因为 ,所以 即 ,由①②可得: 所以 .∵ , 当 时, ,当 时, , ∴ ,则弦AB的中点到C的准线的距离 ,d最大值是 . ∴弦AB的中点到C的准线的距离的最大值是 . 资料整理【淘宝店铺:向阳百分百】解法2:弦AB的中点到C的准线的距离 ,根据结论 , , . 3.(2017年全国普通高等学校招生统一考试理科数学(新课标1卷))已知F为抛物线C:y2=4x的焦点, 过F作两条互相垂直的直线l,l,直线l 与C交于A、B两点,直线l 与C交于D、E两点,则|AB|+|DE| 1 2 1 2 的最小值为( ) A.16 B.14 C.12 D.10 【答案】A 【详解】设 ,直线 的方程为 ,联立方程 ,得 ,∴ ,同理直线 与抛物线的交点满足 , 由抛物线定义可知 ,当且仅当 (或 )时,取等号. 点睛:对于抛物线弦长问题,要重点抓住抛物线定义,到定点的距离要想到转化到准线上,另外,直线与抛 物线联立,求判别式,利用根与系数的关系是通法,需要重点掌握.考查最值问题时要能想到用函数方法和 基本不等式进行解决.此题还可以利用弦长的倾斜角表示,设直线的倾斜角为 ,则 ,则 ,所以 . 4.已知抛物线 : ,点 为抛物线上任意一点,过点 向圆 : 作切线,切点 分别为 , ,则四边形 的面积的最小值为( ) A.1 B.2 C. D. 【答案】C 【分析】由题意圆的圆心与抛物线的焦点重合,可得连接 ,则 ,而 ,所以当 最小时,四边形 的面积最小,再抛物线的定义转化为点 到抛物线的 准线的距离的最小值,结合抛物线的性质可求得结果 资料整理【淘宝店铺:向阳百分百】【详解】如图,连接 ,圆 : ,该圆的圆心与抛物线的焦点重合,半径为1, 则 . 又 ,所以当四边形 的面积最小时, 最小. 过点 向抛物线的准线 作垂线,垂足为 ,则 , 当点 与坐标原点重合时, 最小,此时 . 故 . 1.已知抛物线 焦点的坐标为 ,P为抛物线上的任意一点, ,则 的最小值 为( ) A.3 B.4 C.5 D. 【答案】A 【分析】先根据焦点坐标求出 ,结合抛物线的定义可求答案. 【详解】因为抛物线 焦点的坐标为 ,所以 ,解得 . 记抛物线的准线为l,作 于 ,作 于 ,则由抛物线的定义得 ,当且仅当P为BA与抛物线的交点时,等号成立. 资料整理【淘宝店铺:向阳百分百】2.(2023届安徽省、云南省、吉林省、黑龙江省适应性测试数学试题)若P,Q分别是抛物线 与圆 上的点,则 的最小值为 . 【答案】 / 【分析】设点 ,圆心 , 的最小值即为 的最小值减去圆的半径,求出 的最小值 即可得解. 【详解】依题可设 ,圆心 ,根据圆外一点到圆上一点的最值求法可知, 的最小值即为 的最小值减去半径. 因为 , , 设 , ,由于 恒成立, 所以函数 在 上递减,在 上递增,即 , 所以 ,即 的最小值为 . 3.已知抛物线 ,焦点为F,点M是抛物线C上的动点,过点F作直线 的 垂线,垂足为P,则 的最小值为( ) A. B. C. D.3 【答案】A 【分析】由条件确定点 的轨迹,结合抛物线的定义,圆的性质求 的最小值. 【详解】∵ 抛物线 的方程为 , ∴ ,抛物线 的准线方程为 , ∵ 方程 可化为 , ∴ 过定点 , 资料整理【淘宝店铺:向阳百分百】设 ,设 的中点为 ,则 ,因为 , 为垂足, ∴ ,所以 , 即点 的轨迹为以 为圆心,半径为 的圆, 过点 作准线 的垂线,垂足为 ,则 , ∴ ,,又 ,当且仅当 三点共线且 在 之间时等号成 立, ∴ , 过点 作准线 的垂线,垂足为 ,则 ,当且仅当 三点共线时等号成立, ∴ ,当且仅当 四点共线且 在 之间时等号成立, 所以 的最小值为 . 4.抛物线E: 与圆M: 交于A,B两点,圆心 ,点P为劣弧 上不同于 A,B的一个动点,平行于y轴的直线PN交抛物线于点N,则 的周长的取值范围是 . 【答案】 【分析】根据题意,联立方程组求出点 坐标,再结合抛物线的定义,即可求解. 【详解】如图,可得圆心 也是抛物线的焦点,PN交抛物线的准线于H, 根据抛物线的定义,可得 ,故 的周长 , 资料整理【淘宝店铺:向阳百分百】由 ,解得 , ∵ ,且 ∴PH的取值范围为 ,∴ , ∴ 的周长的取值范围为 . 考点五、抛物线的实际应用 1.位于德国东部萨克森州的莱科勃克桥(如图所示)有“仙境之桥”之称,它的桥形可以近似地看成抛 物线,该桥的高度为5m,跨径为12m,则桥形对应的抛物线的焦点到准线的距离为 m. 【答案】 /3.6 【分析】首先建立直角坐标系,再根据抛物线所过的点求标准方程,进而得到抛物线的焦点到准线的距离. 【详解】以抛物线的最高点O为坐标原点,建立如图所示的平面直角坐标系, 设抛物线的解析式为 , , 因为抛物线过点 ,所以 ,可得 , 所以抛物线的焦点到准线的距离为 . 资料整理【淘宝店铺:向阳百分百】2.已知正三角形 的顶点 在抛物线 上,另一个顶点 ,则这样的正三角形有( ) A.1个 B.2个 C.3个 D.4个 【答案】D 【分析】通过两个顶点的位置关系进行分类,当两个顶点在 轴两侧时,等边三角形关于 轴对称,通过 计算得到两种情况;当两个顶点在 轴同侧时,通过计算抛物线上的点 与 的最小值可知顶点 在 的两边,再计算 ,发现也是成立的,即可得到答案 【详解】由题意得, ①当等边三角形关于 轴对称时,两个边的斜率 , 其方程为 , 每条直线与抛物线均有两个交点,焦点两侧的两交点连接,分别构成一个等边三角形, 这样的正三角形有2个,如图 和 ②假设两个顶点同时在抛物线上方时, 假设抛物线上的点为 所以 所以当 时, ,此时 所以顶点 在 的两边,不妨设 在 的左侧, 因为 , ,所以 , 资料整理【淘宝店铺:向阳百分百】所以 ,即 , 所以能找到两个顶点同时在抛物线上方,同理可证能找到两个顶点同时在抛物线下方, 综上所述,共有4个正三角形, 3.已知抛物线 , 为其焦点, 为其准线,过 任作一条直线交抛物线于 两点, 分别为 在 上的射影, 为 的中点,给出下列命题: ① ;② ;③ // ; ④ 与 的交点在 轴上;⑤ 与 交于原点. 其中真命题是 .(写出所有真命题的序号) 【答案】①②③④⑤ 【分析】根据题意,结合抛物线定义和性质,即可对选项进行逐一分析判断. 【详解】根据题意,作图如下: 因为 在抛物线 上,由抛物线的定义, 得 ,又 分别为 在 上的射影, 所以 ,即①正确; 取 的中点 ,则 , 所以 ,即②正确; 由②得 平分 ,所以 ,又因为 , 所以 // ,即③正确; 取 轴,则四边形 为矩形,则 与 的交点在 轴上, 且 与 交于原点,即④⑤正确; 故答案为:①②③④⑤. 【点睛】要注意填空题的一些特殊解法的利用,可减少思维量和运算量,如本题中的特殊位置法(取 轴). 资料整理【淘宝店铺:向阳百分百】1.(2022年《浙江省新高考研究卷》(全国I卷)数学试题(三))已知椭圆 : 与抛物线 : 交于 两点, 为坐标原点,若 的外接圆经过点 ,则 等于( ) A. B. C.2 D.4 【答案】A 【分析】根据椭圆和抛物线的对称性知 的外接圆的圆心必在x轴,设圆心为 ,结合圆的性质 可得 、进而得 ,代入椭圆方程计算即可求解. 【详解】设 ,则 , . 由题意知, 四点共圆, 由椭圆和抛物线的对称性,知 的外接圆的圆心必在x轴, 设 与x轴相交于点D,则 , 在圆D中,有 , 即 ,又 , 所以 ,解得 ,① 代入 ,得 ,② 将①②代入椭圆方程,得 , 整理,得 ,解得 . 经检验, 时,符合题意. 故实数p的值为 . 资料整理【淘宝店铺:向阳百分百】2.已知 、 分别是双曲线 的左、右焦点, 也是抛物线 的焦点,点 是双曲线 与抛物线 的一个公共点,若 ,则双曲线 的离心率为 . 【答案】 / 【分析】过点 作抛物线准线的垂线,垂足为点 ,求出 ,求出 、 的余弦值,由题意可 知 ,可得出关于 、 的齐次等式,结合 可解得 的值. 【详解】过点 作抛物线准线的垂线,垂足为点 ,则 , 因为 ,则 ,则 , 因为 ,则 , 由余弦定理可得 , 因为 ,所以, ,所以, , 整理可得 ,即 ,因为 ,解得 . 3.(2023年江苏省联合调研数学试题) 是抛物线 上的动点, 到 轴的距离为 ,到圆 上动点 的距离为 ,则 的最小值为 . 【答案】 / 【分析】求出圆心坐标和抛物线的焦点坐标,把 的最小值转化为 减去圆的半径,再减去抛物线 焦点到原点的距离即可得答案. 资料整理【淘宝店铺:向阳百分百】【详解】圆 的圆心为 ,半径 , 抛物线 的焦点 , 因为 是抛物线 上的动点, 到 轴的距离为 ,到圆 上动点 的距离为 , 所以要使 最小,即 到抛物线的焦点与到圆 的圆心的距离最小, 连接 ,则 的最小值为 减去圆的半径,再减去抛物线焦点到原点的距离, 即 , 所以 的最小值为 . 【基础过关】 1.已知圆 与抛物线 相交于M,N,且 ,则 ( ) A. B.2 C. D.4 【答案】B 资料整理【淘宝店铺:向阳百分百】【分析】由圆与抛物线的对称性及 ,可得 点纵坐标,代入抛物线得横坐标,求出 即可 得解. 【详解】因为圆 与抛物线 相交于M,N,且 , 由对称性,不妨设 , 代入抛物线方程,则 ,解得 ,所以 ,故 . 2.已知抛物线 的焦点为F,P为抛物线上一动点,点 ,当 的周长最小时,点P的 坐标为 . 【答案】 /(1,0.25) 【分析】由抛物线的定义把 转化为 到准线的距离,然后由三点共线得最小值,从而得点 坐标. 【详解】如图,设 是抛物线的准线,过 作 于 ,作 于 , 则 , , , ,易知当 三点共线时, 最小,且最小值为 , 所以 的周长最小值为3,此时 , ,即 . 3. 是抛物线 的焦点,以 为端点的射线与抛物线相交于 ,与抛物线的准线相交于 ,若 ,则 ( ) A. B. C. D. 【答案】D 【详解】由题意,设 的横坐标为 ,则由抛物线的定义,可得 .则 .所以 资料整理【淘宝店铺:向阳百分百】.所以 . 4.已知抛物线 与双曲线 有共同的焦点 , 为坐标原点, 在 轴上方且在 双曲线上,则 的最小值为( ). A. B. C. D. 【答案】A 【详解】试题分析:抛物线 ,可得 ,焦点F为(0,2),则双曲线 的 c=2, 则 ,即双曲线方程为 , 设P(m,n)(n≥3),则 , 则 , 因为 ,故当 时取得最小值,最小值为 考点:抛物线、双曲线的方程与性质 5.已知拋物线 的焦点 为椭圆 的右焦点,且 与 的公共弦 经过 ,则椭圆的离心率为( ) A. B. C. D. 【答案】A 【分析】根据给定条件求出椭圆两焦点坐标,再求出 与 的公共点的坐标,借助椭圆定义计算椭圆长轴 长即可作答. 【详解】依题意,椭圆 的右焦点 ,则其左焦点 , 设过 的 与 的公共弦在第一象限的端点为点P,由抛物线与椭圆对称性知, 轴,如图, 资料整理【淘宝店铺:向阳百分百】直线PF方程为: ,由 得点 ,于是得 , 在 中, , ,则 ,因此,椭圆 的长轴长 , 所以椭圆的离心率 . 6.(2023届贵州省联合考试数学(文)试题)已知过抛物线 的焦点F且倾斜角为 的直线交 C于A,B两点,Q为弦 的中点,P为C上一点,则 的最小值为( ) A. B.8 C. D.5 【答案】B 【分析】根据给定条件,求出直线AB的方程,再与抛物线方程联立,结合抛物线定义,借助几何意义求 解作答. 【详解】抛物线 ,焦点 ,准线 ,直线AB的方程为 , 由 消去y并整理得: ,设 , ,则 , 弦 中点Q的横坐标 ,过点 作准线l的垂线,垂足为点 ,如图, 资料整理【淘宝店铺:向阳百分百】令 交抛物线于点P,在抛物线上任取点 ,过 作 于点 ,连接 , 即有 , , 当且仅当点 与P重合时取等号, 所以 的最小值为 . 7.过抛物线 的焦点F的直线交抛物线于点A,B,交其准线于点C,若 , 则此抛物线方程为 . 【答案】 【分析】作 准线于 , 准线于 ,设 ,由抛物线定义得 ,结合 求 得 ,进而求出 ,即可求得抛物线方程. 【详解】 如图,作 准线于 , 准线于 ,设 ,由抛物线定义得 , ,故 , 在直角三角形 中,因为 , ,所以 ,从而得 , 资料整理【淘宝店铺:向阳百分百】设准线与x轴交于 ,则 ,所以 ,因此抛物线方程为 . 8.已知抛物线 的焦点为F,过点F的直线交拋物线于A,B两点,延长FB交准线于点C,分别过 点A,B作准线的垂线,垂足分别记为M,N,若 ,则 的面积为( ) A. B.4 C. D.2 【答案】A 【分析】利用抛物线的定义结合条件可得 , ,进而可得. 【详解】法一:由题意可知, ,则 ,抛物线的准线方程为直线 , 则 , , 因为 , 所以 ,所以 ,所以 , 所以 , , 所以 . 因为 , 所以 , 资料整理【淘宝店铺:向阳百分百】解得 ,所以 ,点F到AM的距离为 , 所以 . 法二:因为 , 所以 ,所以 ,即 . 连接FM,又 , 所以 为等边三角形. 易得 ,所以 . 9.(2018年全国卷Ⅲ理数高考试题)已知点 和抛物线 ,过 的焦点且斜率为 的直线 与 交于 , 两点.若 ,则 . 【答案】2 【分析】方法一:利用点差法得到AB的斜率,结合抛物线定义可得结果. 【详解】[方法一]:点差法 设 ,则 ,所以 所以 , 取AB中点 ,分别过点A,B作准线 的垂线,垂足分别为 因为 , , 因为 为AB中点,所以 平行于x轴, 因为M(-1,1),所以 ,则 即 . 故答案为:2. [方法二]:【最优解】焦点弦的性质 记抛物线的焦点为F,因为 ,则以 为直径的圆与准线相切于点M,由抛物线的焦点弦性质 可知 ,所以 . [方法三]: 焦点弦性质+韦达定理 记抛物线的焦点为F,因为 ,则以 为直径的圆与准线相切于点M,记 中点为N,则 ,设 ,代入 中,得 ,所以 ,得 ,所以 . [方法四]:【通性通法】暴力硬算 资料整理【淘宝店铺:向阳百分百】由题知抛物线 的焦点为 ,设直线 的方程为 ,代入 中得 ,设 ,则 ,同理有 , 由 ,即 .又 ,所以 ,得 . [方法五]:距离公式+直角三角形的性质 设直线为 ,与 联立得 ,则 从而 ,可得 的中点 ,所以 . 又由弦长公式知 . 由 得 ,解得 ,所以 . [方法六]:焦点弦的性质应用 由题可知,线段 为抛物线的焦点弦, ,由于以抛物线的焦点弦为直径的圆必与准线相切, 又点M恰为抛物线准线上的点,因此,以 为直径的圆必与准线相切于点M. 过点M作平行于 轴的直线交 于点N,则N为圆心. 设 ,则 . 又因为 ,所以联立解得 .将 的值代入 中求得 . 因为抛物线C的焦点 ,所以 . 【整体点评】方法一:根据点差法找出直线 的斜率与 两点纵坐标的关系,再根据抛物线定义求出 中点坐标,从而解出; 方法二:直接根据焦点弦的性质解出,是该题的最优解; 方法三:根据焦点弦性质可知,直线过点 ,再根据韦达定理求出直线 的斜率; 方法四:直接设出直线方程,联立运算,属于解决直线与抛物线位置关系问题的通性通法,思路直接,运 算复杂; 方法五:反设直线,再通过联立,利用直角三角形的性质求解,运算较复杂; 方法六:利用焦点弦的性质直接求出其中一点的坐标,再根据斜率公式求出. 资料整理【淘宝店铺:向阳百分百】10.已知椭圆 的焦点分别为 , ,且 是抛物线 焦点,若P是 与 的交点,且 ,则 的值为 . 【答案】 【分析】利用椭圆定义求出 ,再借助抛物线的定义结合几何图形计算作答. 【详解】依题意,由椭圆定义得 ,而 ,则 , 因点 是抛物线 的焦点,则该抛物线的准线l过点 ,如图, 过点P作 于点Q,由抛物线定义知 ,而 ,则 , 所以 . 11.已知P(1,2)在抛物线C:y2=2px上. (1)求抛物线C的方程; (2)A,B是抛物线C上的两个动点,如果直线PA的斜率与直线PB的斜率之和为2,证明:直线AB过定点. 【答案】(1)y2=4x;(2)证明见解析; 【分析】(1)把已知点坐标代入抛物线方程求得参数 ,即得抛物线方程; (2)设AB:x=my+t,设A(x,y),B(x,y),直线方程与抛物线方程联立消元后应用韦达定理得 1 1 2 2 ,代入 得参数 值,从而可得定点坐标. 【详解】(1)P点坐标代入抛物线方程得4=2p, ∴p=2, ∴抛物线方程为y2=4x. (2)证明:设AB:x=my+t,将AB的方程与y2=4x联立得y2﹣4my﹣4t=0, 设A(x,y),B(x,y), 1 1 2 2 则y+y=4m,yy=﹣4t, 1 2 1 2 所以Δ>0 16m2+16t>0 m2+t>0, ⇒ ⇒ 资料整理【淘宝店铺:向阳百分百】,同理: , 由题意: , ∴4(y+y+4)=2(yy+2y+2y+4), 1 2 1 2 1 2 ∴yy=4, 1 2 ∴﹣4t=4, ∴t=﹣1, 故直线AB恒过定点(﹣1,0). 12.(2023届高三冲刺卷(一)全国卷文科数学试题)已知斜率存在的直线 过点 且与抛物线 交于 两点. (1)若直线 的斜率为1, 为线段 的中点, 的纵坐标为2,求抛物线 的方程; (2)若点 也在 轴上,且不同于点 ,直线 的斜率满足 ,求点 的坐标. 【答案】(1) ;(2) ; 【分析】(1)由题知直线 的方程,联立抛物线,利用韦达定理以及中点公式即可求解; (2)设出直线 的方程及 的坐标,联立方程组,消元,韦达定理,利用直线斜率公式写出 将韦 达定理代入 ,化简求出参数即可得点 的坐标. 【详解】(1)因为直线 的斜率为1且过点 , 所以直线 的方程为: , 设 , 由 ,得: , 所以 , 所以 , 因为 为线段 的中点, 的纵坐标为2, 所以 , 所以抛物线的方程为: . (2)设直线 的方程为: , , ,得: , 资料整理【淘宝店铺:向阳百分百】所以 , 由 由 , 所以 , 即 , 所以 , 所以点 的坐标为 . 13.(2019年全国统一高考数学试卷(理科)(新课标Ⅰ))已知抛物线C:y2=3x的焦点为F,斜率为 的直线l与C的交点为A,B,与x轴的交点为P. (1)若|AF|+|BF|=4,求l的方程; (2)若 ,求|AB|. 【答案】(1) ;(2) . 【分析】(1)设直线 : , , ;根据抛物线焦半径公式可得 ;联立 直线方程与抛物线方程,利用韦达定理可构造关于 的方程,解方程求得结果;(2)设直线 : ;联立直线方程与抛物线方程,得到韦达定理的形式;利用 可得 ,结合韦达 定理可求得 ;根据弦长公式可求得结果. 【详解】(1)设直线 方程为: , , 资料整理【淘宝店铺:向阳百分百】由抛物线焦半径公式可知: 联立 得: 则 ,解得: 直线 的方程为: ,即: (2)设 ,则可设直线 方程为: 联立 得: 则 , , 则 【点睛】本题考查抛物线的几何性质、直线与抛物线的综合应用问题,涉及到平面向量、弦长公式的应用. 关键是能够通过直线与抛物线方程的联立,通过韦达定理构造等量关系. 14.(2020年全国统一高考数学试卷(文科)(新课标Ⅱ))已知椭圆C : (a>b>0)的右焦点F 1 与抛物线C 的焦点重合,C 的中心与C 的顶点重合.过F且与x轴垂直的直线交C 于A,B两点,交C 2 1 2 1 2 于C,D两点,且|CD|= |AB|. (1)求C 的离心率; 1 (2)若C 的四个顶点到C 的准线距离之和为12,求C 与C 的标准方程. 1 2 1 2 【答案】(1) ;(2) : , : . 【分析】(1)根据题意求出 的方程,结合椭圆和抛物线的对称性不妨设 在第一象限,运用代入法 求出 点的纵坐标,根据 ,结合椭圆离心率的公式进行求解即可; 资料整理【淘宝店铺:向阳百分百】(2)由(1)可以得到椭圆的标准方程,确定椭圆的四个顶点坐标,再确定抛物线的准线方程,最后结合 已知进行求解即可; 【详解】解:(1)因为椭圆 的右焦点坐标为: ,所以抛物线 的方程为 ,其中 . 不妨设 在第一象限,因为椭圆 的方程为: , 所以当 时,有 ,因此 的纵坐标分别为 , ; 又因为抛物线 的方程为 ,所以当 时,有 , 所以 的纵坐标分别为 , ,故 , . 由 得 ,即 ,解得 (舍去), . 所以 的离心率为 . (2)由(1)知 , ,故 ,所以 的四个顶点坐标分别为 , , , , 的准线为 . 由已知得 ,即 . 所以 的标准方程为 , 的标准方程为 . 【点睛】本题考查了求椭圆的离心率,考查了求椭圆和抛物线的标准方程,考查了椭圆的四个顶点的坐标 以及抛物线的准线方程,考查了数学运算能力. 资料整理【淘宝店铺:向阳百分百】【能力提升】 1.(2023届河北省调研性模拟数学试题)焦点为 的抛物线 上有一点 , 为坐 标原点,则满足 的点 的坐标为( ) A. B. C. D. 【答案】B 【分析】将点 的坐标代入抛物线中,解得 ,从而得到点 和点 的坐标,要满足 , 则只需点 为 的垂直平分线和 的垂直平分线的交点,进而求解即可. 【详解】将点 的坐标代入抛物线中得 ,解得 , 则 ,所以 的斜率为1,且 的中点为 , 则 的垂直平分线方程为 ,即 , 又 的垂直平分线方程为 , 又 ,则点 为 的垂直平分线和 的垂直平分线的交点, 所以点 的坐标为 . 2.已知抛物线 上三点 ,直线 是圆 的两条切线,则直线 的方 程为( ) A. B. C. D. 【答案】B 【解析】先利用点 求抛物线方程,利用相切关系求切线AB,AC,再分别联立直线和抛物线求出点 ,即求出直线 方程. 【详解】 在抛物线 上,故 ,即 ,抛物线方程为 , 设过点 与圆 相切的直线的方程为: ,即 ,则圆心 到切线的距离 ,解得 ,如图,直线 ,直线 . 资料整理【淘宝店铺:向阳百分百】联立 ,得 , 故 ,由 得 ,故 , 联立 ,得 , 故 ,由 得 ,故 , 故 ,又由 在抛物线上可知, 直线 的斜率为 , 故直线 的方程为 ,即 . 【点睛】方法点睛:求圆的切线的方程的求法: (1)几何法:设直线的方程,利用圆心到直线的距离等于半径构建关系求出参数,即得方程; (2)代数法:设直线的方程,联立直线与圆的方程,使判别式等于零解出参数,即可得方程. 3.在平面直角坐标系xOy中, ,⊙M: 与抛物线C: 有且仅有两个公共点, 直线l过圆心M且交抛物线C于A,B两点,则 . 【答案】0 【分析】根据给定条件,求出圆心M的坐标,设出直线l的方程,与抛物线方程联立求解作答. 【详解】因⊙M与抛物线C有且仅有两个公共点,而⊙M与抛物线C都关于x轴对称,因此,两个公共点 资料整理【淘宝店铺:向阳百分百】的横坐标相同,并且唯一, 由 消去y并整理得: ,且 , 于是得 ,解得 , 即点 ,显然直线l不垂直于y轴,设直线l的方程为 , 由 消去x并整理得: ,设 ,则 , 所以 . 4.(2017年全国普通高等学校招生统一考试理科数学(新课标2卷))已知 是抛物线 的焦点, 是 上一点, 的延长线交 轴于点 .若 为 的中点,则 . 【答案】6 【详解】如图所示,不妨设点M位于第一象限,设抛物线的准线与 轴交于点 ,作 与点 , 与点 ,由抛物线的解析式可得准线方程为 ,则 ,在直角梯形 中,中 位线 ,由抛物线的定义有: ,结合题意,有 ,故 . 点睛:抛物线的定义是解决抛物线问题的基础,它能将两种距离(抛物线上的点到焦点的距离、抛物线上的 点到准线的距离)进行等量转化.如果问题中涉及抛物线的焦点和准线,又能与距离联系起来,那么用抛物 线定义就能解决问题.因此,涉及抛物线的焦半径、焦点弦问题,可以优先考虑利用抛物线的定义转化为 点到准线的距离,这样就可以使问题简单化. 5.已知圆 ,定点 ,动点Q满足以 为直径的圆与y轴相切.过点F的直线l 与动点Q的轨迹E,圆C顺次交于A,M,N,B四点.则 的最小值为 . 【答案】23 资料整理【淘宝店铺:向阳百分百】【分析】设 ,即可得到 的中点坐标,再根据距离公式求出动点的轨迹方程,由抛物线的焦点弦 性质,求得 ,根据抛物线的性质及基本不等式,即可求得答案. 【详解】解:设 ,则 的中点为 ,所以 ,整理得 , 即动点 的轨迹 为抛物线,焦点为 , 由直线 过抛物线的焦点,则 , 其中 的证明过程如下: 当 不垂直于 轴时,可设直线 的方程为 , , ,显然 . 由 得: ,∴ , . 当 轴时,直线 方程为 ,则 , ,∴ ,同上也有 . 由抛物线的定义知: , ,又 ,所以 ,且 . 所以 资料整理【淘宝店铺:向阳百分百】圆 圆心为 ,半径1, , 当且仅当 ,即 , 时取等号; 的最小值为23. 6.如图,已知点F为抛物线 的焦点过点F且斜率存在的直线交抛物线C于A,B两点,点D为 准线l与x轴的交点,则 的面积S的取值范围为 . 【答案】 【分析】设 坐标和直线AB的方程,让直线AB方程与抛物线进行联立可得 , , 接着利用弦长公式求出 ,再求出点 到直线AB的距离,最后利用三角形的面积公式即可求出答案 【详解】由抛物线 可得焦点 ,准线方程为 , , 设 , ,直线AB的方程为 , 由 ,可得 ,则 , , 所以 , 直线AB的一般方程为 , 资料整理【淘宝店铺:向阳百分百】点 到直线AB的距离 , 所以 , 所以 的面积S的取值范围为 . 7.已知,点P是抛物线 上的动点,过点P向y轴作垂线,垂足记为点N,点 ,则 的最小值是( ) A. B. C. D. 【答案】A 【分析】根据抛物线的定义所求可转化为 ,再由三点共线可求最小值. 【详解】由抛物线 知,焦点 ,准线方程为 过点P作抛物线准线的垂线,垂足为Q,如图, 由抛物线定义知 , 当F,P,M三点共线时, 最小为 . 8.抛物线C: 的焦点为F,准线l交x轴于点 ,过焦点的直线m与抛物线C交于 A,B两点,则( ) A. B. C.直线AQ与BQ的斜率之和为0 D.准线l上存在点M,若 为等边三角形,可得直线AB的斜率为 【答案】C 【分析】根据抛物线的性质,以及直线和抛物线的位置关系,结合韦达定理,利用斜率关系以及弦长和距 资料整理【淘宝店铺:向阳百分百】离公式,逐项分析判断即可得解. 【详解】对于A,由 ,可得 ,故A选项不正确; 对于B,设A,B两点的坐标分别为 , , 根据题意得,焦点 ,则设直线AB的方程为 , 联立方程 ,消去x后整理为 ,则 , , , , ,故B选项不正确; 对于C, , 故C选项正确; 对于D,如图,设AB的中点为N,连MN,过N作NH⊥直线l,H为垂足, 根据B项可得N点坐标为 , 则 , 由 为等边三角形可得 , 则 , 则 , 由对称性及MN⊥AB可知直线AB的斜率为 , 故D选项不正确. 资料整理【淘宝店铺:向阳百分百】9.(2023届湖北省调研数学试题)过坐标原点 作圆 的两条切线,设切点为 ,直 线 恰为抛物 的准线. (1)求抛物线 的标准方程; (2)设点 是圆 上的动点,抛物线 上四点 满足: ,设 中点为 . (i)求直线 的斜率; (ii)设 面积为 ,求 的最大值. 【答案】(1) ;(2)(i)0;(ii)48; 【分析】(1)设直线 与 轴交于 ,由几何性质易得: ,即可解决;(2) 设 ,(i)中,由于 中点 在抛物线 上,得 ,将 ,代入联立得 点纵坐标为 ,即可解决;(ⅱ)由(i)得点 , ,又点 在圆 上,得 ,可得: 即可解决. 【详解】(1)设直线 与 轴交于 . 由几何性质易得: 与 相似, 所以 , , 即: ,解得: . 所以抛物线 的标准方程为: . (2)设 (i)由题意, 中点 在抛物线 上,即 , 又 ,将 代入, 得: , 同理: , 资料整理【淘宝店铺:向阳百分百】有 ,此时 点纵坐标为 , 所以直线 的斜率为0. (ⅱ)因为 , 所以点 , 此时 , , , 所以 , 又因为点 在圆 上,有 ,即 ,代入上式可得: , 由 , 所以 时, 取到最大价 . 10.(2023届广西模拟数学(文)试题)已知抛物线 经过点 ,过点 的直线 与 抛物线 有两个不同交点 ,且直线 交 轴于 ,直线 交 轴于 . (1)求直线 斜率的取值范围; (2)证明:存在定点 ,使得 , 且 . 【答案】(1) ;(2)证明见解析; 【分析】(1)由抛物线过 可求得抛物线方程,设 ,与抛物线方程联立,由 可得 的范围,并确定韦达定理结论;根据 可求得 且 ,由此可确定 的范围; (2)易知 在 轴上,设 ,利用向量数乘的坐标运算可得 , ,求得 方程后, 资料整理【淘宝店铺:向阳百分百】令 可推导得到 ,同理得到 ,代入 中,整理后代入韦达定理的结论可构造方程求得 的值,从而确定定点. 【详解】(1) 抛物线 经过点 , ,解得: , 抛物线 ; 由题意知:直线 斜率存在,设 , , , 由 得: , ,解得: 或 ; , , , , 又直线 与 轴相交于 两点, , 即 ,解得: 且 ; 综上所述:直线 斜率的取值范围为 . (2)设点 , , 由 , , 知: 共线,即 在 轴上, 则可设 , , , , , ,同理可得: , , 直线 , 令 得: ,同理可得: , , , 由(1)知: , , ,解得: , 存在定点 满足题意. 【点睛】思路点睛:本题考查直线与抛物线综合应用中存在定点满足某条件的问题,求解此类问题的基本 资料整理【淘宝店铺:向阳百分百】思路如下: ①假设直线方程,与抛物线方程联立,整理为关于 或 的一元二次方程的形式; ②利用 求得变量的取值范围,得到韦达定理的形式; ③利用韦达定理表示出所求量,将所求量转化为关于变量的函数的形式或构造方程; ④化简所得函数式或方程,整理可得定点坐标. 11.已知与圆 相切的直线l,过抛物线 的焦点F,且直线l的倾斜角为 . (1)求抛物线E的方程; (2)直线 与抛物线E交于点A,B两点,且A,B关于直线 对称,在 上是否存在点N, 使得以 为直径的圆恰好过点N,若存在,求出点N的坐标;否则,请说明理由. 【答案】(1) ;(2)存在, 或 ; 【分析】(1)根据点斜式设出直线方程,再由与圆相切求解即可; (2)利用点差法求出 中点 ,得出直线方程,再由圆的性质利用 求解即可. (1) 抛物线焦点为 ,直线 斜率 , 所以直线方程为 , 由圆与直线相切可得, , 由 可解得 , 所以抛物线方程为 . (2) 设 , 因为A,B关于直线 对称, 所以设 中点 在 上,且 , 由 相减可得, , 资料整理【淘宝店铺:向阳百分百】所以 , 又 在 上, 所以 , 所以直线 的方程为 , 联立抛物线消元得 , , , 若存在点N , 则 , 即 , 解得 或 , 即存在点 或 满足条件. 【点睛】方法点睛:存在性问题,一般假设符合条件的点存在,本题以以 为直径的圆恰好过点N,可 考虑 垂直建立关系,也可考虑 建立关系求解. 资料整理【淘宝店铺:向阳百分百】【真题感知】 1.(2023年北京高考数学真题)已知抛物线 的焦点为 ,点 在 上.若 到直线 的 距离为5,则 ( ) A.7 B.6 C.5 D.4 【答案】D 【分析】利用抛物线的定义求解即可. 【详解】因为抛物线 的焦点 ,准线方程为 ,点 在 上, 所以 到准线 的距离为 , 又 到直线 的距离为 , 所以 ,故 . 2.(2022年全国高考甲卷数学(理)试题)设抛物线 的焦点为F,点 ,过F的 直线交C于M,N两点.当直线MD垂直于x轴时, . (1)求C的方程; (2)设直线 与C的另一个交点分别为A,B,记直线 的倾斜角分别为 .当 取得最 大值时,求直线AB的方程. 【答案】(1) ;(2) . 【分析】(1)由抛物线的定义可得 ,即可得解; (2)法一:设点的坐标及直线 ,由韦达定理及斜率公式可得 ,再由差角的正切 公式及基本不等式可得 ,设直线 ,结合韦达定理可解. 【详解】(1)抛物线的准线为 ,当 与x轴垂直时,点M的横坐标为p, 此时 ,所以 , 资料整理【淘宝店铺:向阳百分百】所以抛物线C的方程为 ; (2)[方法一]:【最优解】直线方程横截式 设 ,直线 , 由 可得 , , 由斜率公式可得 , , 直线 ,代入抛物线方程可得 , ,所以 ,同理可得 , 所以 又因为直线MN、AB的倾斜角分别为 ,所以 , 若要使 最大,则 ,设 ,则 , 当且仅当 即 时,等号成立, 所以当 最大时, ,设直线 , 代入抛物线方程可得 , ,所以 , 所以直线 . [方法二]:直线方程点斜式 由题可知,直线MN的斜率存在. 设 ,直线 由 得: , ,同理, . 直线MD: ,代入抛物线方程可得: ,同理, . 资料整理【淘宝店铺:向阳百分百】代入抛物线方程可得: ,所以 ,同理可得 , 由斜率公式可得: (下同方法一)若要使 最大,则 , 设 ,则 , 当且仅当 即 时,等号成立, 所以当 最大时, ,设直线 , 代入抛物线方程可得 , ,所以 ,所以直线 . [方法三]:三点共线 设 , 设 ,若 P、M、N三点共线,由 所以 ,化简得 , 反之,若 ,可得MN过定点 因此,由M、N、F三点共线,得 , 由M、D、A三点共线,得 , 由N、D、B三点共线,得 , 则 ,AB过定点(4,0) (下同方法一)若要使 最大,则 , 设 ,则 , 当且仅当 即 时,等号成立, 资料整理【淘宝店铺:向阳百分百】所以当 最大时, ,所以直线 . 【整体点评】(2)法一:利用直线方程横截式,简化了联立方程的运算,通过寻找直线 的斜率关 系,由基本不等式即可求出直线AB的斜率,再根据韦达定理求出直线方程,是该题的最优解,也是通性 通法; 法二:常规设直线方程点斜式,解题过程同解法一; 法三:通过设点由三点共线寻找纵坐标关系,快速找到直线 过定点,省去联立过程,也不失为一种简 化运算的好方法. 3.(2021年全国高考乙卷数学(文)试题)已知抛物线 的焦点F到准线的距离为2. (1)求C的方程; (2)已知O为坐标原点,点P在C上,点Q满足 ,求直线 斜率的最大值. 【答案】(1) ;(2)最大值为 . 【分析】(1)由抛物线焦点与准线的距离即可得解; (2)设 ,由平面向量的知识可得 ,进而可得 ,再由斜率公式及基 本不等式即可得解. 【详解】(1)抛物线 的焦点 ,准线方程为 , 由题意,该抛物线焦点到准线的距离为 , 所以该抛物线的方程为 ; (2)[方法一]:轨迹方程+基本不等式法 设 ,则 , 所以 , 由 在抛物线上可得 ,即 , 据此整理可得点 的轨迹方程为 , 所以直线 的斜率 , 当 时, ; 当 时, , 资料整理【淘宝店铺:向阳百分百】当 时,因为 , 此时 ,当且仅当 ,即 时,等号成立; 当 时, ; 综上,直线 的斜率的最大值为 . [方法二]:【最优解】轨迹方程+数形结合法 同方法一得到点Q的轨迹方程为 . 设直线 的方程为 ,则当直线 与抛物线 相切时,其斜率k取到最值.联立 得 ,其判别式 ,解得 ,所以直线 斜率的 最大值为 . [方法三]:轨迹方程+换元求最值法 同方法一得点Q的轨迹方程为 . 设直线 的斜率为k,则 . 令 ,则 的对称轴为 ,所以 .故直线 斜率的 最大值为 . [方法四]:参数+基本不等式法 由题可设 . 因为 ,所以 . 于是 ,所以 则直线 的斜率为 . 当且仅当 ,即 时等号成立,所以直线 斜率的最大值为 . 【整体点评】方法一根据向量关系,利用代点法求得Q的轨迹方程,得到直线OQ的斜率关于 的表达式, 资料整理【淘宝店铺:向阳百分百】然后利用分类讨论,结合基本不等式求得最大值; 方法二 同方法一得到点Q的轨迹方程,然后利用数形结合法,利用判别式求得直线OQ的斜率的最大值, 为最优解; 方法三同方法一求得Q的轨迹方程,得到直线 的斜率k的平方关于 的表达式,利用换元方法转化为二 次函数求得最大值,进而得到直线 斜率的最大值; 方法四利用参数法,由题可设 ,求得x,y关于 的参数表达式,得到直线 的斜率 关于 的表达式,结合使用基本不等式,求得直线 斜率的最大值. 4.(2021年浙江省高考数学试题)如图,已知F是抛物线 的焦点,M是抛物线的准线与x 轴的交点,且 , (1)求抛物线的方程; (2)设过点F的直线交抛物线与A、B两点,斜率为2的直线l与直线 ,x轴依次交于点P, Q,R,N,且 ,求直线l在x轴上截距的范围. 【答案】(1) ;(2) . 【分析】(1)求出 的值后可求抛物线的方程. (2)方法一:设 , , ,联立直线 的方程和抛物线的方程后可得 ,求出直线 的方程,联立各直线方程可求出 ,根据题设条件可得 ,从而可求 的范围. 【详解】(1)因为 ,故 ,故抛物线的方程为: . (2)[方法一]:通式通法 设 , , , 资料整理【淘宝店铺:向阳百分百】所以直线 ,由题设可得 且 . 由 可得 ,故 , 因为 ,故 ,故 . 又 ,由 可得 , 同理 , 由 可得 , 所以 , 整理得到 , 故 , 令 ,则 且 , 故 , 故 即 , 解得 或 或 . 资料整理【淘宝店铺:向阳百分百】故直线 在 轴上的截距的范围为 或 或 . [方法二]:利用焦点弦性质 设直线 的方程为 ,直线 的方程为 ,直线 的方程为 ,直线 的方程 为 ,由题设可得 且 . 由 得 ,所以 . 因为 , , . 由 得 . 同理 . 由 得 . 因为 , 所以 即 . 故 . 令 ,则 . 所以 ,解得 或 或 . 故直线 在x轴上的截距的范围为 . 资料整理【淘宝店铺:向阳百分百】[方法三]【最优解】: 设 , 由 三点共线得 ,即 . 所以直线 的方程为 ,直线 的方程为 ,直线 的方程为 . 设直线 的方程为 , 则 . 所以 . 故 (其中 ). 所以 . 因此直线 在x轴上的截距为 . 【整体点评】本题主要是处理共线的线段长度问题,主要方法是长度转化为坐标. 方法一:主要是用 坐标表示直线 ,利用弦长公式将线段长度关系转为纵坐标关 系,再将所求构建出函数关系式,再利用换元法等把复杂函数的范围问题转化为常见函数的范围. 方法二:利用焦点弦的性质求得直线 的斜率之和为0,再利用线段长度关系即为纵坐标关系,再将 所求构建出函数关系式,再利用换元法等把复杂函数的范围问题转化为常见函数的范围. 方法三:利用点 在抛物线上,巧妙设点坐标,借助于焦点弦的性质求得点 横坐标的关系,这样有 助于减少变元,再将所求构建出函数关系式,再利用换元法等把复杂函数的范围问题转化为常见函数的范 围. 5.(2020年北京市高考数学试题)设抛物线的顶点为 ,焦点为 ,准线为 . 是抛物线上异于 的一 点,过 作 于 ,则线段 的垂直平分线( ). A.经过点 B.经过点 C.平行于直线 D.垂直于直线 【答案】B 【分析】依据题意不妨作出焦点在 轴上的开口向右的抛物线,根据垂直平分线的定义和抛物线的定义可 知,线段 的垂直平分线经过点 ,即求解. 资料整理【淘宝店铺:向阳百分百】【详解】如图所示: . 因为线段 的垂直平分线上的点到 的距离相等,又点 在抛物线上,根据定义可知, ,所 以线段 的垂直平分线经过点 . 【点睛】本题主要考查抛物线的定义的应用,属于基础题. 6.(2021年北京市高考数学试题)已知抛物线 的焦点为 ,点 在抛物线上, 垂直 轴与于 点 .若 ,则点 的横坐标为 ; 的面积为 . 【答案】5 / 【分析】根据焦半径公式可求 的横坐标,求出纵坐标后可求 . 【详解】因为抛物线的方程为 ,故 且 . 因为 , ,解得 ,故 , 所以 ,故答案为:5; . 7.(2020年全国统一高考数学试卷(理科)(新课标Ⅱ))已知椭圆C : (a>b>0)的右焦点F 1 与抛物线C 的焦点重合,C 的中心与C 的顶点重合.过F且与x轴垂直的直线交C 于A,B两点,交C 于 2 1 2 1 2 C,D两点,且|CD|= |AB|. (1)求C 的离心率; 1 (2)设M是C 与C 的公共点,若|MF|=5,求C 与C 的标准方程. 1 2 1 2 【答案】(1) ;(2) , . 【分析】(1)求出 、 ,利用 可得出关于 、 的齐次等式,可解得椭圆 的离心率 的值; (2)[方法四]由(1)可得出 的方程为 ,联立曲线 与 的方程,求出点 的坐标,利用 资料整理【淘宝店铺:向阳百分百】抛物线的定义结合 可求得 的值,进而可得出 与 的标准方程. 【详解】(1) , 轴且与椭圆 相交于 、 两点, 则直线 的方程为 ,联立 ,解得 ,则 , 抛物线 的方程为 ,联立 ,解得 , , ,即 , , 即 ,即 , ,解得 ,因此,椭圆 的离心率为 ; (2)[方法一]:椭圆的第二定义 由椭圆的第二定义知 ,则有 , 所以 ,即 . 又由 ,得 . 从而 ,解得 . 所以 . 故椭圆 与抛物线 的标准方程分别是 . [方法二]:圆锥曲线统一的极坐标公式 以 为极点,x轴的正半轴为极轴,建立极坐标系. 由(Ⅰ)知 ,又由圆锥曲线统一的极坐标公式 ,得 ,由 资料整理【淘宝店铺:向阳百分百】,得 ,两式联立解得 . 故 的标准方程为 , 的标准方程为 . [方法三]:参数方程 由(1)知 ,椭圆 的方程为 , {x=2c⋅cosθ, 所以 的参数方程为 ( 为参数), y=√3c⋅sinθ 将它代入抛物线 的方程并化简得 , 解得 或 (舍去), 所以 ,即点M的坐标为 . 又 ,所以由抛物线焦半径公式有 ,即 ,解得 . 故 的标准方程为 , 的标准方程为 . [方法四]【最优解】:利用韦达定理 由(1)知 , ,椭圆 的方程为 , 联立 ,消去 并整理得 ,解得 或 (舍去), 由抛物线的定义可得 ,解得 . 因此,曲线 的标准方程为 ,曲线 的标准方程为 . 【整体点评】(2)方法一:椭圆的第二定义是联系准线与离心率的重要工具,涉及离心率的问题不妨考虑使 用第二定义,很多时候会使得问题简单明了. 方法二:圆锥曲线统一的极坐标公式充分体现了圆锥曲线的统一特征,同时它也是解决圆锥曲线问题的一 个不错的思考方向. 方法三:参数方程是一种重要的数学工具,它将圆锥曲线的问题转化为三角函数的问题,使得原来抽象的 问题更加具体化. 方法四:韦达定理是最常用的处理直线与圆锥曲线位置关系的方法,联立方程之后充分利用韦达定理可以 达到设而不求的效果. 资料整理【淘宝店铺:向阳百分百】资料整理【淘宝店铺:向阳百分百】