当前位置:首页>文档>微专题椭圆的焦点三角形学案——2023届高考数学一轮《考点·题型·技巧》精讲与精练_2.2025数学总复习_赠品通用版(老高考)复习资料_一轮复习

微专题椭圆的焦点三角形学案——2023届高考数学一轮《考点·题型·技巧》精讲与精练_2.2025数学总复习_赠品通用版(老高考)复习资料_一轮复习

  • 2026-04-15 03:43:29 2026-03-20 05:35:09

文档预览

微专题椭圆的焦点三角形学案——2023届高考数学一轮《考点·题型·技巧》精讲与精练_2.2025数学总复习_赠品通用版(老高考)复习资料_一轮复习
微专题椭圆的焦点三角形学案——2023届高考数学一轮《考点·题型·技巧》精讲与精练_2.2025数学总复习_赠品通用版(老高考)复习资料_一轮复习
微专题椭圆的焦点三角形学案——2023届高考数学一轮《考点·题型·技巧》精讲与精练_2.2025数学总复习_赠品通用版(老高考)复习资料_一轮复习
微专题椭圆的焦点三角形学案——2023届高考数学一轮《考点·题型·技巧》精讲与精练_2.2025数学总复习_赠品通用版(老高考)复习资料_一轮复习
微专题椭圆的焦点三角形学案——2023届高考数学一轮《考点·题型·技巧》精讲与精练_2.2025数学总复习_赠品通用版(老高考)复习资料_一轮复习
微专题椭圆的焦点三角形学案——2023届高考数学一轮《考点·题型·技巧》精讲与精练_2.2025数学总复习_赠品通用版(老高考)复习资料_一轮复习
微专题椭圆的焦点三角形学案——2023届高考数学一轮《考点·题型·技巧》精讲与精练_2.2025数学总复习_赠品通用版(老高考)复习资料_一轮复习
微专题椭圆的焦点三角形学案——2023届高考数学一轮《考点·题型·技巧》精讲与精练_2.2025数学总复习_赠品通用版(老高考)复习资料_一轮复习
微专题椭圆的焦点三角形学案——2023届高考数学一轮《考点·题型·技巧》精讲与精练_2.2025数学总复习_赠品通用版(老高考)复习资料_一轮复习
微专题椭圆的焦点三角形学案——2023届高考数学一轮《考点·题型·技巧》精讲与精练_2.2025数学总复习_赠品通用版(老高考)复习资料_一轮复习
微专题椭圆的焦点三角形学案——2023届高考数学一轮《考点·题型·技巧》精讲与精练_2.2025数学总复习_赠品通用版(老高考)复习资料_一轮复习
微专题椭圆的焦点三角形学案——2023届高考数学一轮《考点·题型·技巧》精讲与精练_2.2025数学总复习_赠品通用版(老高考)复习资料_一轮复习
微专题椭圆的焦点三角形学案——2023届高考数学一轮《考点·题型·技巧》精讲与精练_2.2025数学总复习_赠品通用版(老高考)复习资料_一轮复习
微专题椭圆的焦点三角形学案——2023届高考数学一轮《考点·题型·技巧》精讲与精练_2.2025数学总复习_赠品通用版(老高考)复习资料_一轮复习
微专题椭圆的焦点三角形学案——2023届高考数学一轮《考点·题型·技巧》精讲与精练_2.2025数学总复习_赠品通用版(老高考)复习资料_一轮复习
微专题椭圆的焦点三角形学案——2023届高考数学一轮《考点·题型·技巧》精讲与精练_2.2025数学总复习_赠品通用版(老高考)复习资料_一轮复习
微专题椭圆的焦点三角形学案——2023届高考数学一轮《考点·题型·技巧》精讲与精练_2.2025数学总复习_赠品通用版(老高考)复习资料_一轮复习
微专题椭圆的焦点三角形学案——2023届高考数学一轮《考点·题型·技巧》精讲与精练_2.2025数学总复习_赠品通用版(老高考)复习资料_一轮复习
微专题椭圆的焦点三角形学案——2023届高考数学一轮《考点·题型·技巧》精讲与精练_2.2025数学总复习_赠品通用版(老高考)复习资料_一轮复习
微专题椭圆的焦点三角形学案——2023届高考数学一轮《考点·题型·技巧》精讲与精练_2.2025数学总复习_赠品通用版(老高考)复习资料_一轮复习
微专题椭圆的焦点三角形学案——2023届高考数学一轮《考点·题型·技巧》精讲与精练_2.2025数学总复习_赠品通用版(老高考)复习资料_一轮复习
微专题椭圆的焦点三角形学案——2023届高考数学一轮《考点·题型·技巧》精讲与精练_2.2025数学总复习_赠品通用版(老高考)复习资料_一轮复习
微专题椭圆的焦点三角形学案——2023届高考数学一轮《考点·题型·技巧》精讲与精练_2.2025数学总复习_赠品通用版(老高考)复习资料_一轮复习
微专题椭圆的焦点三角形学案——2023届高考数学一轮《考点·题型·技巧》精讲与精练_2.2025数学总复习_赠品通用版(老高考)复习资料_一轮复习
微专题椭圆的焦点三角形学案——2023届高考数学一轮《考点·题型·技巧》精讲与精练_2.2025数学总复习_赠品通用版(老高考)复习资料_一轮复习
微专题椭圆的焦点三角形学案——2023届高考数学一轮《考点·题型·技巧》精讲与精练_2.2025数学总复习_赠品通用版(老高考)复习资料_一轮复习
微专题椭圆的焦点三角形学案——2023届高考数学一轮《考点·题型·技巧》精讲与精练_2.2025数学总复习_赠品通用版(老高考)复习资料_一轮复习
微专题椭圆的焦点三角形学案——2023届高考数学一轮《考点·题型·技巧》精讲与精练_2.2025数学总复习_赠品通用版(老高考)复习资料_一轮复习
微专题椭圆的焦点三角形学案——2023届高考数学一轮《考点·题型·技巧》精讲与精练_2.2025数学总复习_赠品通用版(老高考)复习资料_一轮复习
微专题椭圆的焦点三角形学案——2023届高考数学一轮《考点·题型·技巧》精讲与精练_2.2025数学总复习_赠品通用版(老高考)复习资料_一轮复习
微专题椭圆的焦点三角形学案——2023届高考数学一轮《考点·题型·技巧》精讲与精练_2.2025数学总复习_赠品通用版(老高考)复习资料_一轮复习
微专题椭圆的焦点三角形学案——2023届高考数学一轮《考点·题型·技巧》精讲与精练_2.2025数学总复习_赠品通用版(老高考)复习资料_一轮复习
微专题椭圆的焦点三角形学案——2023届高考数学一轮《考点·题型·技巧》精讲与精练_2.2025数学总复习_赠品通用版(老高考)复习资料_一轮复习
微专题椭圆的焦点三角形学案——2023届高考数学一轮《考点·题型·技巧》精讲与精练_2.2025数学总复习_赠品通用版(老高考)复习资料_一轮复习
微专题椭圆的焦点三角形学案——2023届高考数学一轮《考点·题型·技巧》精讲与精练_2.2025数学总复习_赠品通用版(老高考)复习资料_一轮复习
微专题椭圆的焦点三角形学案——2023届高考数学一轮《考点·题型·技巧》精讲与精练_2.2025数学总复习_赠品通用版(老高考)复习资料_一轮复习
微专题椭圆的焦点三角形学案——2023届高考数学一轮《考点·题型·技巧》精讲与精练_2.2025数学总复习_赠品通用版(老高考)复习资料_一轮复习
微专题椭圆的焦点三角形学案——2023届高考数学一轮《考点·题型·技巧》精讲与精练_2.2025数学总复习_赠品通用版(老高考)复习资料_一轮复习
微专题椭圆的焦点三角形学案——2023届高考数学一轮《考点·题型·技巧》精讲与精练_2.2025数学总复习_赠品通用版(老高考)复习资料_一轮复习

文档信息

文档格式
docx
文档大小
2.386 MB
文档页数
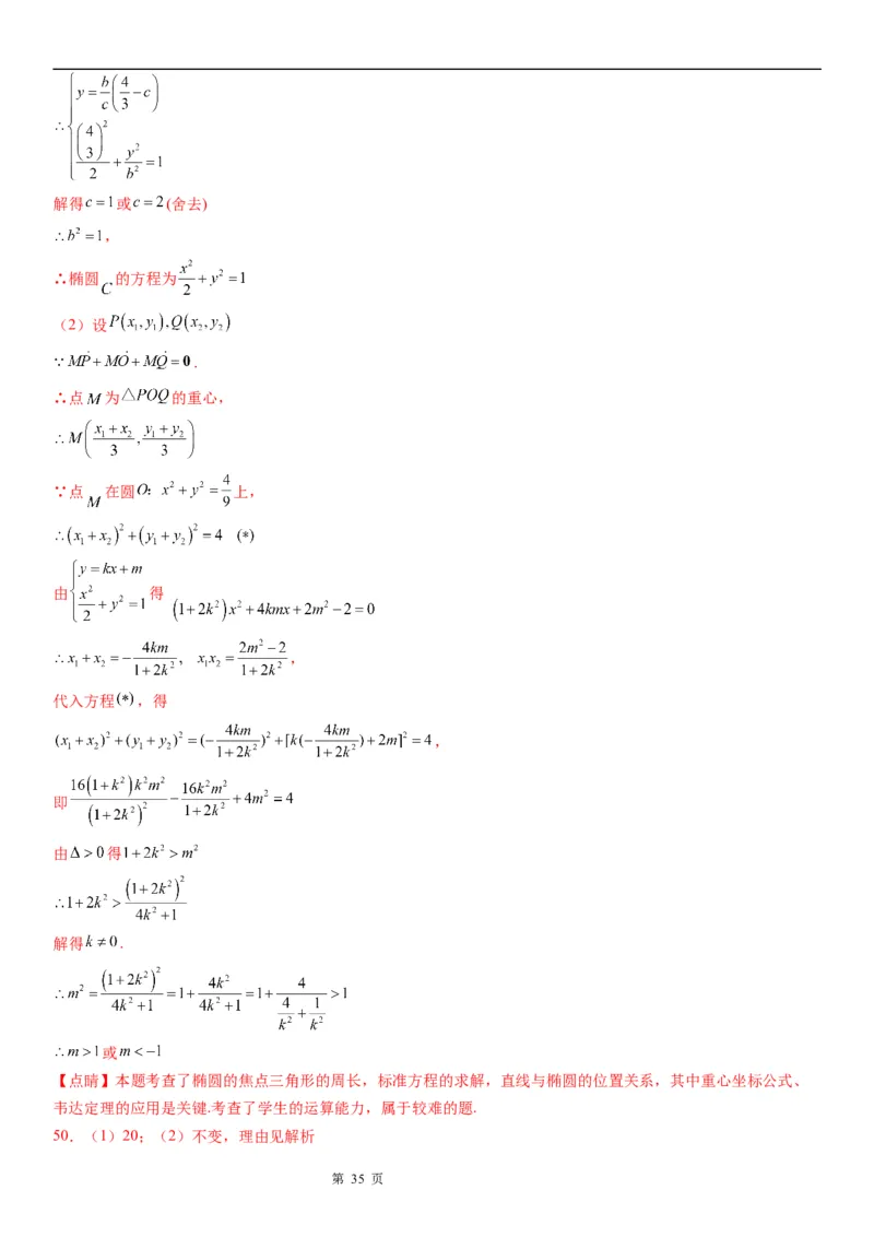
39 页
上传时间
2026-03-20 05:35:09

文档内容

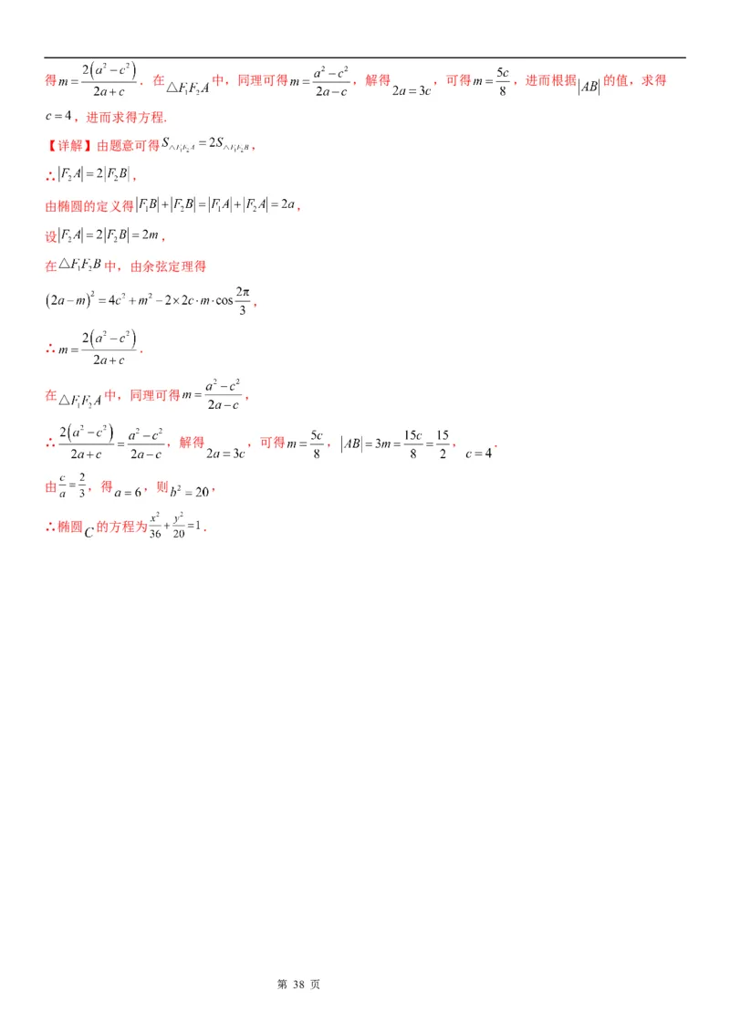
微专题:椭圆的焦点三角形 【考点梳理】 1、焦点三角形:椭圆上的点P(x ,y)与两焦点构成的△PFF 叫做焦点三角形. r =|PF|,r =|PF|,∠FPF 0 0 1 2 1 1 2 2 1 2 =θ,△PFF 的面积为S,则在椭圆+=1(a>b>0)中: 1 2 ①焦点三角形的周长为2(a+c); ②4c2=r+r-2rrcosθ; 1 2 ③当r=r 时,即点P的位置为短轴端点时,θ最大; 1 2 ④S=rrsinθ=b2tan=c,当=b时,即点P的位置为短轴端点时,S取最大值,最大值为bc. 1 2 2、椭圆的焦点三角形是描述椭圆上的点到焦点的距离、焦距之间的相互制约关系的一个载体. 由于其位置、边 的特殊性决定了它易于同椭圆的定义、长轴长、离心率等几何量发生联系,内容丰富多彩. 【题型归纳】 题型一:椭圆中焦点三角形的周长问题 1.已知椭圆C: 的左右焦点分别为F、F,过左焦点F,作直线交椭圆C于A、B两点,则三角形ABF 1 2 1 2 的周长为( ) A.10 B.15 C.20 D.25 2.已知椭圆 的左、右焦点分别为 , ,过 的直线交椭圆于 , 两点,若 的最大值为10,则 的值是( ) A. B. C. D. 3.若F为椭圆C: 的右焦点,A,B为C上两动点,则△ABF周长的最大值为( ) A.4 B.8 C.10 D.20 题型二:椭圆中焦点三角形的面积问题 4.已知 , 分别是椭圆 的下顶点和左焦点,过 且倾斜角为 的直线 分别交 轴和 椭圆 于 两点,且 点的纵坐标为 ,若 的周长为 ,则 的面积为( ) A. B. C. D. 5.已知双曲线 : 的上、下焦点分别为 , , 为双曲线 上一点,且满足 , 第 1 页 学学科科网网((北北京京))股股份份有有限限公公司司则 的面积为( ) A. B. C. D. 6.已知 、 为椭圆 的左、右焦点,M为 上的点,则 面积的最大值为( ) A. B.2 C. D.4 题型三: 椭圆中焦点三角形的其他问题 7.椭圆C: 左右焦点分别为 , ,P为C上除左右端点外一点,若 , ,则椭圆C的离心率为( ) A. B. C. D. 8.设 为椭圆 的焦点,若在椭圆 上存在点 ,满足 ,则实数 的取值范 围为( ) A. B. C. D. 9.在平面直角坐标系 中,已知 ABC顶点 和 ,顶点B在椭圆 上,则 的 △ 值是( ) A.0 B.1 C.2 D.不确定 【双基达标】 第 2 页 学学科科网网((北北京京))股股份份有有限限公公司司10.设 是椭圆 的两个焦点, 是椭圆上一点,且 .则 的面积为( ) A.6 B. C.8 D. 11.已知 , 是椭圆 的左右焦点, 是椭圆上任意一点,过 引 的外角平分线的垂线,垂足 为 ,则 与短轴端点的最近距离为( ) A.4 B.3 C.2 D.1 12.已知点 、 为椭圆 的左、右焦点,若点 为椭圆上一动点,则使得 的点 的个数为 ( ) A. B. C. D.不能确定 13.已知椭圆 的左、右焦点分别为 为椭圆 上一点,若 的周长为54,且椭 圆 的短轴长为18,则椭圆 的离心率为( ) A. B. C. D. 14.椭圆 的焦点F,F,点P为其上的动点,当∠FPF 为钝角时,点P横坐标的取值范围是( ) 1 2 1 2 A.(﹣ , ) B.(﹣ , )C.(﹣ , ) D.(﹣ , ) 15.椭圆 的左、右焦点分别为 ,过焦点 的倾斜角为 直线交椭圆于 两点,弦 长 ,若三角形 的内切圆的面积为 ,则椭圆的离心率为( ) A. B. C. D. 16.椭圆两焦点分别为 , ,动点 在椭圆上,若 的面积的最大值为12,则此椭圆上使得 为直角的点 有( ) 第 3 页 学学科科网网((北北京京))股股份份有有限限公公司司A. 个 B. 个 C. 个 D. 个 17.已知椭圆 , , 分别为椭圆的左、右焦点, 为椭圆上一点, , 平分角 , 是角 的外角平分线,则 与 的面积之和为( ) A.1 B. C.2 D.3 18.已知 是椭圆 的左,右焦点,点A是椭圆上的一个动点,则 的内切圆的半径的最大值是 ( ) A.1 B. C. D. 19.已知椭圆 的左、右焦点分别是 , ,直线 与椭圆 交于 , 两点, ,且 ,则椭圆 的离心率是( ) A. B. C. D. 20.圆心在 轴上的圆C与椭圆 在 轴的上方有两个交点,且圆在这两个交点处的两条切线相互垂直并 分别过椭圆不同的焦点,则圆的半径为( ) A. B. C. D. 21.已知有相同焦点 , 的椭圆 和双曲线 , 是它们的一个交点,则 的形状是( ) A.锐角三角形 B.直角三角形 C.钝角三角形 D.以上均有可能 22.已知 , 是椭圆 的左、右焦点, 是椭圆上任意一点,过 引 的外角平分线的垂线,垂 足为 ,则 与短轴端点的最近距离为( ) 第 4 页 学学科科网网((北北京京))股股份份有有限限公公司司A.1 B.2 C.4 D.5 23.古希腊数学家阿基米德用“逼近法”得到椭圆面积的4倍除以圆周率等于椭圆的长轴长与短轴长的积.已知椭 圆 的中心在原点,焦点 , 在 轴上,其面积为 ,过点 的直线 与椭圆 交于点 , 且 的周 长为16,则椭圆 的方程为( ) A. B. C. D. 24.已知 ,分别为椭圆 的左右焦点, 为椭圆上一动点, 关于直线 的对称点为 ,关于 直线 的对称点为 ,当 最大时,则点 到 轴的距离为( ) A. B. C. D. 25.椭圆 的左、右焦点分别为 , , 为椭圆 上一点,若 的周长为 ,则椭圆 的离心率为( ) A. B. C. D. 26.已知椭圆 的左右焦点分别为 , ,椭圆上有两点 , (点A在x轴上方),满足 ,若 ,则直线 的斜率为( ) A. B. C.2 D.3 27.设F,F 是椭圆C: =1(a>b>0)的左、右焦点,O为坐标原点,点P在椭圆C上,延长PF 交椭圆C 1 2 2 于点Q,且|PF| =|PQ|,若 PFF 的面积为 ,则 =( ) 1 1 2 第 5 页 学学科科网网((北北京京))股股份份有有限限公公司司A. B. C. D. 28.已知椭圆 的左、右焦点分别为 , ,点 是椭圆上一点,点 是线段 上一点,且 , ,则该椭圆的离心率为( ) A. B. C. D. 29.已知 是椭圆 上的点, 、 分别是椭圆的左、右焦点,若 ,则 的面积为 ( ) A. B. C. D.9 30.椭圆 的左、右焦点分别为 , , , 的面积为 ,且 , 则椭圆方程为( ) A. B. C. D. 【高分突破】 一、单选题 31.已知椭圆 + =1的左、右焦点分别为F,F,过F 且垂直于长轴的直线交椭圆于A,B两点,则△ABF 1 2 2 1 内切圆的半径为( ) 第 6 页 学学科科网网((北北京京))股股份份有有限限公公司司A. B.1 C. D. 32.已知椭圆 : 与双曲线 : ( , )具有共同的焦点 , ,离 心率分别为 , ,且 .点 是椭圆 和双曲线 的一个交点,且 ,则 ( ) A. B. C. D. 33.椭圆与双曲线共焦点 , ,它们的交点为 ,且 .若椭圆的离心率为 ,则双曲线的离心率为 ( ) A. B. C. D. 34.已知 分别是椭圆 的焦点,过点 的直线交椭圆 于 两点,则 的周长是 A. B. C. D. 35.在平面直角坐标系 中,若 ABC的顶点 和 ,顶点B在椭圆 上,则 的 △ 值是( ) A. B.2 C. D.4 36.点 , 为椭圆 : 的两个焦点,点 为椭圆 内部的动点,则 周长的取值范围为 ( ) A. B. C. D. 二、多选题 第 7 页 学学科科网网((北北京京))股股份份有有限限公公司司37.已知 是椭圆 上一点,椭圆的左、右焦点分别为 ,且 ,则( ) A. 的周长为 B. C.点 到 轴的距离为 D. 38.已知椭圆 的左、右焦点分别为 、 , 为坐标原点, 是椭圆上一点,延长 与 椭圆交于点 ,若 , 的面积为 ,则 的值可以为( ) A. B. C. D. 39.已知椭圆 上有一点P, 分别为左、右焦点, 的面积为S,则下列选项正 确的是( ) A.若 ,则 B.若 ,则 C.若 为钝角三角形,则 D.椭圆C内接矩形的周长范围是 40.设椭圆 的左右焦点为 , , 是 上的动点,则下列结论正确的是( ) A. B.离心率 C. 面积的最大值为 D.以线段 为直径的圆与直线 相切 41.已知椭圆 上有一点 , 、 分别为其左右焦点, , 的面积为 ,则下列说 法正确的是( ) A.若 ,则 ; B.若 ,则满足题意的点 有 个; 第 8 页 学学科科网网((北北京京))股股份份有有限限公公司司C.若 是钝角三角形,则 ; D.椭圆 的内接矩形的周长的最小值为 . 42.已知椭圆 的左、右焦点分别为 , 为 上一点,则( ) A. 的离心率为 B. 的周长为 C. D. 三、填空题 43.椭圆C: 的左、右焦点分别为 , ,P为椭圆上异于左右顶点的任意一点, 、 的 中点分别为M、N,O为坐标原点,四边形OMPN的周长为4,则 的周长是_____. 44.已知 , 分别为椭圆 的左、右焦点,过 的直线与椭圆 交于 , 两点,且 , ,则椭圆 的离心率为___________. 45.椭圆 的两个焦点为 、 ,点P在椭圆C上,且 , , , 则椭圆C的方程为___________. 46.已知 、 分别是椭圆C: 的下顶点和左焦点,过 且倾斜角为 的直线 分别交 轴 和椭圆C于M,N两点,且N点的纵坐标为 ,若 的周长为6,则 的面积为_____. 第 9 页 学学科科网网((北北京京))股股份份有有限限公公司司47.若 中, , ( ,且m、n为定值),则 面积的最大值为___________. 48.已知椭圆 的焦点为 , ,若椭圆C上存在一点P,使得 ,且△ 的 面积等于4.则实数b的值为___________. 四、解答题 49.已知椭圆 的左,右焦点分别为 ,直线 与椭圆 相交于 两点;当 直线 经过椭圆 的下顶点 和右焦点 时, 的周长为 ,且 与椭圆 的另一个交点的横坐标为 (1)求椭圆 的方程; (2)点 为 内一点, 为坐标原点,满足 ,若点 恰好在圆 上,求实 数 的取值范围. 50.已知经过椭圆 的右焦点 作垂直于 轴的直线 ,交椭圆于 两点, 是椭圆的左焦点. (1)求 的周长; (2)如果 不垂直于 轴, 的周长有变化吗?为什么? 51.椭圆 : 的焦点 , 是等轴双曲线 : 的顶点,若椭圆 与双曲线 的 一个交点是P, 的周长为 . (1)求椭圆 的标准方程; (2)过点 任作一动直线 交椭圆 与 两点,记 ,若在直线 上取一点 ,使得 ,试判断当直线 运动时,点 是否在某一定直线上运动?若是,求出该直线的方程;若不是,请说 明理由. 52.已知椭圆 的左焦点为F,直线 与椭圆相交于A,B两点,当 的周长最大时,求 的 第 10 页 学学科科网网((北北京京))股股份份有有限限公公司司面积. 53.椭圆 : 的左右焦点分别为 , ,P为椭圆C上一点. (1)当P为椭圆C的上顶点时,求 ; (2)若 ,求满足条件的点P的个数;(直接写答案) (3)直线 与椭圆C交于A,B,若 ,求k. 54.椭圆 : 的左、右焦点分别为 , ,过点 的直线与椭圆 相交于 , 两点(如图 所示), , 的面积是 的面积的2倍.若 ,求椭圆 的方程. 第 11 页 学学科科网网((北北京京))股股份份有有限限公公司司参考答案 1.C 【分析】根据椭圆的定义求解即可 【详解】由题意椭圆的长轴为 ,由椭圆定义知 ∴ 故选:C 2.C 【分析】利用椭圆定义得到 ,再由过椭圆焦点的弦中通径的长最短,进而可得 , 即得. 【详解】∵ , 为椭圆 的两个焦点, ∴ , , 的周长为 , 即 , 若 最小,则 最大. 又当 轴时, 最小,此时 , 故 , 解得 . 故选:C. 3.D 【分析】设 为椭圆 的左焦点,则由椭圆的定义可得: ,当 共线时,△ABF周长取得最大值,从而可得出答案. 【详解】解:设 为椭圆 的左焦点, 则由椭圆的定义可得: , 当 共线时, , 当 不共线时, , 所以△ABF周长的最大值为20. 故选:D. 第 12 页4.A 【分析】设 ,与椭圆方程联立可得 ,由 可求得 ,可知 为椭圆右焦点,由焦 点三角形周长可构造方程求得 的值,进而得到 ,由此可得到所求三角形面积. 【详解】 设 , ; 由 得: , , ,解得: , , , 即 为椭圆的右焦点, 的周长为 ,即 , ,解得: , , , . 故选:A. 5.A 【分析】记 , ,根据双曲线定义结合余弦定理可得 ,再利用三角形面积 第 13 页公式可推得 ,即可求得答案. 【详解】记 , , , ∵ ,∴ , 在 中,由余弦定理得 , 配方得 ,即 , ∴ , 由任意三角形的面积公式得 , ∴ ,而 , , , 故选:A. 6.A 【分析】由于 为定值,所以当点 到 的距离最大时, 面积取得最大值,即当 与短轴的一个 端点重合时, 面积的最大 【详解】由 ,得 , 所以 , 由椭圆的性质可知当 与短轴的一个端点重合时, 面积的最大, 所以 面积的最大值为 , 故选:A 7.D 【分析】根据图形在 中,利用余弦定理解出 ,再由椭圆的定义式 ,整理出 关于 的式子,最后代入已知三角函数值中,得到关于 得二次式,从而可求椭圆离心率. 【详解】解:如图在 中, 第 14 页,即 ① ,即 ② 且 , 故①+②得: ,即 . 所以 ,代入到 中,整理 得: ,故两边除以 得: 解得: 或 ,又 ,所以 . 即椭圆C的离心率为 . 故选:D. 8.A 【分析】根据椭圆性质要使题设条件成立只需 在椭圆左右顶点时 ,此时应用余弦定理可得 ,进而求n的范围. 【详解】由椭圆的性质知:当 在椭圆左右顶点时 最大, ∴椭圆 上存在一点 使 ,只需 在椭圆左右顶点时 , 此时, ,即 , 又 , ∴ ,解得 ,又 , ∴ . 故选:A. 9.C 【分析】由正弦定理的边角关系及椭圆的定义、性质,即可求目标式的值. 【详解】由题设知: 是椭圆的两个焦点,又B在椭圆上, 第 15 页所以 , 而 , ,故 . 故选:C 10.B 【分析】利用椭圆的几何性质,得到 , ,进而利用 得出 ,进而可求出 【详解】解:由椭圆 的方程可得 , 所以 ,得 且 , , 在 中,由余弦定理可得 , 而 ,所以, , 又因为, ,所以 , 所以, 故选:B 11.D 【分析】根据角平分线的性质和椭圆的定义可得 是 的中位线, ,可得Q点的轨迹是以O 为圆心,以5为半径的圆,由此可得选项. 【详解】 是焦点为 、 的椭圆 上一点, 的外角平分线, , 设 的延长线交 的延长线于点 , , , , 由题意知 是 的中位线, , 点的轨迹是以 为圆心,以5为半径的圆, 第 16 页当点 与 轴重合时, 与短轴端点取最近距离 , 故选:D. 12.B 【分析】利用余弦定理结合椭圆的定义可求得 、 ,即可得出结论. 【详解】在椭圆 中, , , ,则 , ,可得 , 所以, ,解得 ,此时点 位于椭圆短轴的顶点. 因此,满足条件的点 的个数为 . 故选:B. 13.B 【分析】根据椭圆中焦点三角形的周长 , ,以及 的关系 即可解出 ,从而 解出离心率. 【详解】设椭圆 的焦距为 ,因为 的周长为54,所以 ,即 . 因为椭圆 的短轴长为18,所以 ,因为 ,所以 ,所以 .故 椭圆 的离心率为 故选:B. 14.C 【解析】设P(x,y),根据椭圆方程求得两焦点坐标,根据∠FPF 是钝角推断出PF2+PF2<FF2代入P坐标求 1 2 1 2 1 2 得x和y的不等式关系,求得x的范围. 【详解】解:设P(x,y),由椭圆方程得椭圆焦点坐标为为F(﹣ ,0),F( ,0), 1 2 且∠F 1 PF 2 是钝角⇔ ⇔(x+ )2+y2+(x﹣ )2+y2<20 ⇔x2+5+y2<10⇔x2+4(1﹣ )<5⇔x2< .所以 . 第 17 页故选:C. 【点睛】结论点睛:本题考查椭圆的标准方程的应用, 中, 为锐角 , 为直角 , 为钝角 . 15.C 【分析】由题可得直线AB的方程,从而可表示出三角形面积,又利用焦点三角形及三角形内切圆的性质,也可表 示出三角形面积,则椭圆的离心率即求. 【详解】由题知直线AB的方程为 ,即 , ∴ 到直线AB的距离 , 又三角形 的内切圆的面积为 , 则半径为1, 由等面积可得 , . 故选:C. 16.A 【分析】由 的面积的最大值时,点P在短轴的顶点处,求得 ,有 ,继而有 ,则有 ,由此可得选项. 【详解】解:因为 的面积的最大值时,点P在短轴的顶点处,所以 ,即 , 又 ,所以 ,所以 ,则 ,所以 ,所以此椭圆上使得 为直角的点 有 个, 故选:A. 17.C 【分析】利用题设条件给出的几何图形特征知,点M到直线PF、PF 的距离都等于点M到x轴的距离,由此计算 1 2 三角形面积得解. 【详解】解:因为 平分角 , 是角 的外角平分线, 所以 到 的距离等于 到 轴的距离1, 到 的距离等于 到 轴的距离1, 如图,椭圆 , , 分别为椭圆的左、右焦点, 为椭圆上一点,作一圆与线段FP,FF 的延长线都相切, 1 1 2 第 18 页并且与线段PF 也相切,切点分别为D,A,B, 2 , , 所以 (c为椭圆半焦距),从而点A为椭圆长轴端点, 即圆心M的轨迹是直线x=a(除点A外), 因点M(2,1)在 的平分线上,且椭圆右端点A(2,0), 所以点M是上述圆心轨迹上的点, 即点M到直线FP,PF,FF 的距离都相等,且均为1, 1 2 1 2 与 的面积之和为 . 故选:C 18.D 【分析】利用椭圆的定义即可求解. 【详解】设 的内切圆的半径为 , 由 ,则 , , 所以 , , 由 , 即 , 即 ,若 的内切圆的半径最大, 即 最大,又 , 所以 . 故选:D 19.B 第 19 页【分析】根据椭圆的对称性可知, ,设 ,由 以及椭圆定义可得 , ,在 中再根据余弦定理即可得到 ,从而可求出椭圆 的离心率. 【详解】 由椭圆的对称性,得 .设 ,则 .由椭圆的定义,知 ,即 , 解得 ,故 , . 在 中,由余弦定理,得 ,即 , 则 ,故 . 故选:B. 20.D 【分析】根据题意画出图形,可判断四边形 是正方形,由椭圆和圆的对称性 为椭圆的下顶点,则圆的半 径就是过焦点的弦 的长度,设 ,在直角三角形 中利用勾股定理求得 可得. 【详解】如图,设圆心为 ,切点分别为 ,圆在 处的切线分别为 ,其中 为两条切线的交点,则 根据题意可得 ,则四边形 是正方形, 由椭圆和圆的对称性可得直线 的斜率分别为 ,因此 为椭圆的下顶点,于是圆的半径就是过焦点的弦 的长度,连接 , 设 ,则 , 在直角三角形 中,有 , 即 ,解得 , 因此所求半径的长为 . 故选:D. 第 20 页【点睛】关键点睛:解决本题得关键是判断出 为椭圆下顶点,将求半径转化为求弦 长度. 21.B 【分析】分别利用椭圆和双曲线的定义,可求得 , 的表达式,根据有相同的焦点,可得c相等,可得 m,n的关系,整理可得 ,即可得答案. 【详解】根据椭圆与双曲线的焦点都在 轴上,不妨设 在第一象限, 是左焦点, 是右焦点, 则由椭圆与双曲线的定义有: , 可得 , ,即 , 因为两者有公共焦点,设半焦距为 ,则 , , 所以 ,所以 , 所以 ,即 , 是直角三角形. 故选:B. 22.A 【解析】根据角平分线的性质和椭圆的定义可得 是 的中位线, ,可得Q点的轨迹是以O 为圆心,以5为半径的圆,由此可得选项. 【详解】因为P是焦点为 , 的椭圆 上的一点, 为 的外角平分线, ,设 的延 长线交 的延长线于点M,所以 , , 所以由题意得 是 的中位线,所以 , 所以Q点的轨迹是以O为圆心,以5为半径的圆,所以当点Q与y轴重合时, Q与短轴端点取最近距离 第 21 页故选:A. 23.A 【分析】由题中所给结论得 ,由 的周长为16结合椭圆定义得 ,进而可得结果. 【详解】依题意得 ,则 , 由 的周长为16结合椭圆定义可得 ,所以 , , 又椭圆焦点在 轴上,故椭圆方程为 . 故选:A. 24.C 【解析】利用椭圆的定义可得当 三点共线时, 最大且此时 ,计算出焦点三角形的面积后 可求点 到 轴的距离. 【详解】 连接 ,则 , 所以 , 当且仅当 三点共线时等号成立. 如下图,当 三点共线时,有 , 故当 三点共线时,有 . 第 22 页因为 且 , 故 ,所以 , 解得 , 故选:C. 【点睛】关键点点睛:利用对称性和椭圆的定义得到线段长最大时焦点三角形满足的性质,再结合解三角形的方 法得到所求的距离. 25.B 【分析】根据椭圆方程可得 ,再结合三角形周长,得 ,进而可得离心率. 【详解】因为 ,所以 . 因为 的周长为 ,所以 ,所以 , 所以椭圆 的离心率为 , 故选:B. 26.C 【分析】因为 ,所以设 ,根据比例关系和椭圆的定义分别求出 , 的长,由勾股定 理可知 ,在 中,求 的值即为直线 的斜率,计算正切值即可求出结果. 【详解】解:因为 ,所以设 ,则有 ,根据椭圆定义: , 可知: , ,因为 ,所以 ,即 ,解得: 所以 , ,在 中, 即为直线 的斜率,又 ,所以直线 的斜率为2. 故选:C. 27.B 第 23 页【分析】利用焦点三角形的面积公式及椭圆的定义可得 ,进一步得 FPQ为等边三角形,且 轴, 1 从而可得解. 【详解】由椭圆的定义, , 由余弦定理有: , 化简整理得: , 又 , 由以上两式可得: 由 ,得 ,∴ , 又 ,所以 FPQ为等边三角形,由椭圆对称性可知 轴, 1 所以 . 故选:B. 28.B 【分析】由椭圆定义得 ,由余弦定理可得 ,再由三角形面积公式得 和 的关系,从而求得 ,然后可得离心率. 【详解】解:设 , ,则 , 由余弦定理得 , 即 , 所以 , 因为 , 所以 , 整理得 ,即 ,整理得 , 所以 , , , 故选:B. 29.A 第 24 页【分析】由已知可得 ,然后利用余弦定理和椭圆定义列方程组可解. 【详解】因为 , 所以 , 又 记 ,则 , ②2-①整理得: ,所以 故选:A 30.D 【分析】由已知三角形面积得 ,结合等边 及 求得 得椭圆方程. 【详解】由题意可得 ,且 , , 解得 , , ,所以椭圆的方程为 , 故选:D. 31.D 【分析】根据过F 且垂直于长轴的直线交椭圆于A,B两点,求得通径|AB|=3,再求得 ,然后再 2 由 求解. 【详解】不妨设A点在B点上方,由题意知:F(1,0), 2 将F 的横坐标代入椭圆 + =1中,可得A点纵坐标为 , 2 所以|AB|=3, 所以 第 25 页又 (其中S为△ABF 的面积,C为△ABF 的周长). 1 1 所以 , 故选:D 【点睛】本题主要考查题意的通径,焦点三角形的周长和面积以及三角形的内切圆问题,属于基础题. 32.C 【分析】设 , .根据圆锥曲线定义与勾股定理可得 ,从而可得 ,结合 , 可得结果. 【详解】设 , . 在椭圆 中, , 所以 . 在双曲线 中, , 所以 , 所以 ,即 , 得 ,即 . 因为 ,所以 ,解得 . 故选:C 33.B 【解析】根据椭圆和双曲线的定义以及焦点三角形中用余弦定理、离心率公式即可求解. 【详解】不妨设P为第一象限的点, 在椭圆中: ① , 在双曲线中: ②, 联立①②解得, , 在 中由余弦定理得: 第 26 页即 即 椭圆的离心率 , 双曲线的离心率 , 故选:B 【点睛】本题考查椭圆和双曲线的定义和性质,考查离心率的求法,考查三角形的三边关系,考查运算能力,属 于中档题. 34.D 【解析】根据椭圆方程 ,解得 ,然后由椭圆的定义求解. 【详解】因为椭圆方程为 , 所以 , 由椭圆的定义得: , 所以 , 所以 的周长是8 故选:D 35.A 【分析】由题设易知 为椭圆的两个焦点,结合椭圆定义及焦点三角形性质有 , ,最 后应用正弦定理的边角关系即可求目标式的值. 【详解】由题设知: 为椭圆的两个焦点,而B在椭圆上, 所以 , , 由正弦定理边角关系知: . 故选:A 36.C 【分析】根据椭圆的定义及简单性质,转化求解即可得出答案. 【详解】解:由椭圆 : ,得: , 当点 在椭圆上时, 周长最大,为 , 当点 在 轴上时,去最小值,为 , 第 27 页又因点 为椭圆 内部的动点, 所以 周长的取值范围为 . 故选:C. 37.BCD 【分析】A.根据椭圆定义分析 的周长并判断; B.根据椭圆定义以及已知条件先求解出 的值,结合三角形的面积公式求解出 并判断; C.根据三角形等面积法求解出点 到 轴的距离并判断; D.根据向量数量积运算以及 的值求解出结果并判断. 【详解】A.因为 , 所以 ,故错误; B.因为 , , 所以 , 所以 ,所以 ,故正确; C.设点 到 轴的距离为 , 所以 ,所以 ,故正确; D.因为 ,故正确; 故选:BCD. 38.BD 【分析】连接 ,分析得出 ,记 , ,利用三角形的面积公式以及椭圆的定义可得出 关于 、 ,解出 的值,即为所求. 【详解】连接 ,因为 ,则 , , 第 28 页因为 , , 记 , ,则 ,由椭圆的定义可得 , 所以, ,解得 或 ,所以 或 故选:BD. 39.ACD 【分析】用椭圆的焦点三角形和内接矩形等知识分别对四个选项判断即可. 【详解】对于椭圆 ,设 , , ,则 ,由此可得 …①, 所以 的面积 . 对于选项A:若 ,则 ,故A正确; 对于选项B:由①知 (当且仅当 即点 是短轴端点时取等号),所以 ,因此 不可能是 ,故B错误; 对于选项C:由以上分析可知, 不可能是钝角,由对称性不妨设 是钝角.先考虑临界情况,当 时,易得 ,此时 ,结合图形可知,当 是钝角时 ,故C正确; 对于选项D:令 , , 则椭圆内接矩形的周长为 ,其中锐角 满足 , . 由 得 ,所以,周长的范围是 ,即 ,故D正确. 故选:ACD. 第 29 页【点睛】结论点睛:对于椭圆 , , 则△ 的面积 . 40.AD 【分析】根据椭圆方程求得 ,根据椭圆的性质及点到直线的距离公式,即可求解. 【详解】由题意,椭圆 ,可得 ,可得 , 所以焦点为 , 根据椭圆的定义 ,所以A正确; 椭圆的离心率为 ,所以B错误; 其中 面积的最大值为 ,所以C错误; 由原点 到直线 的距离 , 所以以线段 为直径的圆与直线 相切,所以D正确. 故选:AD 41.ABC 【分析】对于A,利用焦点三角形的面积公式可求解,对于B,利用三角形的面积公式求出三角形的高与 比较即 可判断,对于C,三角形是钝角三角形,求出三角形是直角三角形的面积,进而可求出范围,对于D,利用椭圆的 参数方程以及三角函数的性质求出即可 【详解】由椭圆 可得 ,则 , 对于A,设 , ,则 ,由此可得 ,所以 的面积为 所以 ,所以A正确, 对于B,因为 ,则 ,所以由椭圆的对称性可知满足题意的点 有 个, 所以B正确, 第 30 页对于C,因为 是钝角三角形,所以 中有一个角大于 ,当 时,设 , 则 ,因为 ,所以解得 ,所以 ,所以 是钝角三角形时,有 ,所以C正确, 对于D,令 , ,则椭圆内接矩形的周长为 (其中 且满足 ),由 得 ,所以椭圆内接矩形的周长的范围为 ,即 , 所以D错误, 故选:ABC 42.CD 【分析】由椭圆方程可确定 ,根据离心率 ,焦点三角形周长为 可确定AB错误; 当 为椭圆短轴端点时 最大,由此可确定 ,知C正确; 根据 可知D正确. 【详解】对于A,由椭圆方程知: , , 离心率 ,A错误; 对于B,由椭圆定义知: , , 的周长为 ,B错误; 对于C,当 为椭圆短轴端点时, , , ,即 , ,C正确; 对于D, , , ,D正确. 故选:CD. 43. 【分析】先证明则四边形OMPN是平行四边形,进而根据椭圆定义求出a,再求出c,最后求出答案. 【详解】因为M,O,N分别为 的中点,所以 ,则四边形OMPN是平行四边形,所以 ,由四边形OMPN的周长为4可知, ,即 ,则 ,于是 第 31 页的周长是 . 故答案为: . 44. 【分析】由题意画出图形,设 ,由余弦定理求得 ,再由椭圆定义求解 与 的关系,在 中,再由余弦定理列式求得椭圆的离心率. 【详解】如图,设 又 , 由椭圆定义知, ,可得: 即 , 在 中,由余弦定理可得, ,即 . 即 ,解得: . 故答案为: 45. 【分析】利用椭圆的定义可得 ,进而可得 ,即得. 【详解】∵ , , , ∴ ,又 , ∴ , , 第 32 页∴ , ∴ , ∴椭圆C的方程为 . 故答案为: . 46. 【分析】画出图形,由条件可得出 , ,然后可得出 为椭圆的右焦点,然后由椭圆的定义可得 ,从而可算出 的值,然后利用 算出答案即可. 【详解】如图所示, 由题意得, , ,直线 的方程为 , 把 代入椭圆方程解得 ,∴ , ∵ 在直线 上,∴ ,解得 . 又 ,∴ ,解得 , 令 0,则 ,即 ,∴ 为椭圆的右焦点,∴ , 由椭圆的定义可知, , ∵ 的周长为6,∴ , ∵ ,∴ ,∴ , ∴ . 故答案为: . 第 33 页【点睛】本题考查椭圆的定义与性质,熟练掌握椭圆中的基本关系式是解题的关键,考查学生的分析能力和运算 能力,属于中档题. 47. 【分析】由题可判断点 在以 , 为焦点的椭圆上,则当点 在椭圆短轴端点时, 面积最大,进而求解即 可. 【详解】由题,因为 ,所以点 在以 , 为焦点的椭圆上, 所以 , ,则 , 所以 面积的最大值为 , 故答案为: 48.2 【分析】由三角形面积公式、向量数量积的坐标表示及P在椭圆上列方程可得 、 ,即可求参数b. 【详解】由题设, ,且 ,可得 , 又 ,则 , 综上, ,又 ,则 . 故答案为:2 49.(1) ;(2) 或 【解析】(1)由椭圆的定义可知,焦点三角形的周长为 ,从而求出 .写出直线 的方程,与椭 圆方程联立,根据交点横坐标为 ,求出 和 ,从而写出椭圆的方程; (2)设出P、Q两点坐标,由 可知点 为 的重心,根据重心坐标公式可将点 用P、 Q两点坐标来表示.由点 在圆O上,知点M的坐标满足圆O的方程,得 式. 为直线l与椭圆 的两个交点, 用韦达定理表示 ,将其代入方程 ,再利用 求得 的范围,最终求出实数 的取值范围. 【详解】解:(1)由题意知 . , 直线 的方程为 ∵直线 与椭圆 的另一个交点的横坐标为 第 34 页解得 或 (舍去) , ∴椭圆 的方程为 (2)设 . ∴点 为 的重心, ∵点 在圆 上, 由 得 , 代入方程 ,得 , 即 由 得 解得 . 或 【点睛】本题考查了椭圆的焦点三角形的周长,标准方程的求解,直线与椭圆的位置关系,其中重心坐标公式、 韦达定理的应用是关键.考查了学生的运算能力,属于较难的题. 50.(1)20;(2)不变,理由见解析 第 35 页【分析】根据椭圆的定义 的周长为 求解. 【详解】(1)由椭圆的定义得: , 所以 的周长为 . (2)不变,由椭圆的定义 的周长为 .只受a的影响,不受 与 轴的位置关 系影响. 【点睛】本题主要考查椭圆的定义,还考查了理解辨析的能力,属于基础题. 51.(1) (2)是, 【分析】(1)由题知 ,进而根据焦点三角形的知识得 ,进而得 ,即可求得答案; (2)根据题意,设直线 的方程为 , ,进而与椭圆联立方程,结合韦达定理与向量坐标运算 得 ,再根据 得 ,进而得答案. (1)解:由题可知: ,所以 ,因为 的周长为 ,所以 ,即 ,所以 ,所以椭圆的方程为 ; (2)解:依题可知:直线的斜率存在,设方程为 , ,所以 ,所以 , ,由 ,设 ,由 ,所以 ,所以 .所以点 是在直线 上运动. 52.3. 【分析】设出椭圆的右焦点E,利用椭圆的定义得到 的周长 , 可知当直线 过右焦点E时, 的周长最大,这样可以求出的面积. 【详解】设椭圆的右焦点为E,连接 , 由椭圆的定义,知 的周长 , , 第 36 页因为 , 所以 ,即当直线 过右焦点E时, 的周长最大, 此时 的高为 , 将 代入椭圆方程,得 , 所以 , 故 . 【点睛】本题主要考查椭圆的定义的应用以及,两点间线段最短公理的应用,属于中档题. 53.(1) (2)0 (3) 【分析】(1)由椭圆的方程可得 , ,然后可得答案; (2)结合(1)的答案可得点 的个数; (3)联立直线与椭圆的方程消元,利用弦长公式求解即可. (1) 因为椭圆 : 的左右焦点分别为 , ,P为椭圆C的上顶点 所以 , , 所以 , ,所以 (2) 若 ,满足条件的点P的个数为0 (3) 设 ,联立 可得 所以 所以 解得 54. 【分析】利用面积关系得到 ,设 ,结合椭圆定义,在 中,由余弦定理得求 第 37 页得 .在 中,同理可得 ,解得 ,可得 ,进而根据 的值,求得 ,进而求得方程. 【详解】由题意可得 , ∴ , 由椭圆的定义得 , 设 , 在 中,由余弦定理得 , ∴ . 在 中,同理可得 , ∴ ,解得 ,可得 , , . 由 ,得 ,则 , ∴椭圆 的方程为 . 第 38 页第 39 页