当前位置:首页>文档>重难点12圆锥曲线中的弦长与面积问题(2种考法)(解析版)_02高考数学_新高考复习资料_2024年新高考资料_一轮复习资料_一轮复习讲义2024年高考数学复习全程规划(新高考)

重难点12圆锥曲线中的弦长与面积问题(2种考法)(解析版)_02高考数学_新高考复习资料_2024年新高考资料_一轮复习资料_一轮复习讲义2024年高考数学复习全程规划(新高考)

  • 2026-04-21 04:08:24 2026-04-21 04:08:24

文档预览

重难点12圆锥曲线中的弦长与面积问题(2种考法)(解析版)_02高考数学_新高考复习资料_2024年新高考资料_一轮复习资料_一轮复习讲义2024年高考数学复习全程规划(新高考)
重难点12圆锥曲线中的弦长与面积问题(2种考法)(解析版)_02高考数学_新高考复习资料_2024年新高考资料_一轮复习资料_一轮复习讲义2024年高考数学复习全程规划(新高考)
重难点12圆锥曲线中的弦长与面积问题(2种考法)(解析版)_02高考数学_新高考复习资料_2024年新高考资料_一轮复习资料_一轮复习讲义2024年高考数学复习全程规划(新高考)
重难点12圆锥曲线中的弦长与面积问题(2种考法)(解析版)_02高考数学_新高考复习资料_2024年新高考资料_一轮复习资料_一轮复习讲义2024年高考数学复习全程规划(新高考)
重难点12圆锥曲线中的弦长与面积问题(2种考法)(解析版)_02高考数学_新高考复习资料_2024年新高考资料_一轮复习资料_一轮复习讲义2024年高考数学复习全程规划(新高考)
重难点12圆锥曲线中的弦长与面积问题(2种考法)(解析版)_02高考数学_新高考复习资料_2024年新高考资料_一轮复习资料_一轮复习讲义2024年高考数学复习全程规划(新高考)
重难点12圆锥曲线中的弦长与面积问题(2种考法)(解析版)_02高考数学_新高考复习资料_2024年新高考资料_一轮复习资料_一轮复习讲义2024年高考数学复习全程规划(新高考)
重难点12圆锥曲线中的弦长与面积问题(2种考法)(解析版)_02高考数学_新高考复习资料_2024年新高考资料_一轮复习资料_一轮复习讲义2024年高考数学复习全程规划(新高考)
重难点12圆锥曲线中的弦长与面积问题(2种考法)(解析版)_02高考数学_新高考复习资料_2024年新高考资料_一轮复习资料_一轮复习讲义2024年高考数学复习全程规划(新高考)
重难点12圆锥曲线中的弦长与面积问题(2种考法)(解析版)_02高考数学_新高考复习资料_2024年新高考资料_一轮复习资料_一轮复习讲义2024年高考数学复习全程规划(新高考)
重难点12圆锥曲线中的弦长与面积问题(2种考法)(解析版)_02高考数学_新高考复习资料_2024年新高考资料_一轮复习资料_一轮复习讲义2024年高考数学复习全程规划(新高考)
重难点12圆锥曲线中的弦长与面积问题(2种考法)(解析版)_02高考数学_新高考复习资料_2024年新高考资料_一轮复习资料_一轮复习讲义2024年高考数学复习全程规划(新高考)
重难点12圆锥曲线中的弦长与面积问题(2种考法)(解析版)_02高考数学_新高考复习资料_2024年新高考资料_一轮复习资料_一轮复习讲义2024年高考数学复习全程规划(新高考)
重难点12圆锥曲线中的弦长与面积问题(2种考法)(解析版)_02高考数学_新高考复习资料_2024年新高考资料_一轮复习资料_一轮复习讲义2024年高考数学复习全程规划(新高考)
重难点12圆锥曲线中的弦长与面积问题(2种考法)(解析版)_02高考数学_新高考复习资料_2024年新高考资料_一轮复习资料_一轮复习讲义2024年高考数学复习全程规划(新高考)
重难点12圆锥曲线中的弦长与面积问题(2种考法)(解析版)_02高考数学_新高考复习资料_2024年新高考资料_一轮复习资料_一轮复习讲义2024年高考数学复习全程规划(新高考)
重难点12圆锥曲线中的弦长与面积问题(2种考法)(解析版)_02高考数学_新高考复习资料_2024年新高考资料_一轮复习资料_一轮复习讲义2024年高考数学复习全程规划(新高考)
重难点12圆锥曲线中的弦长与面积问题(2种考法)(解析版)_02高考数学_新高考复习资料_2024年新高考资料_一轮复习资料_一轮复习讲义2024年高考数学复习全程规划(新高考)
重难点12圆锥曲线中的弦长与面积问题(2种考法)(解析版)_02高考数学_新高考复习资料_2024年新高考资料_一轮复习资料_一轮复习讲义2024年高考数学复习全程规划(新高考)
重难点12圆锥曲线中的弦长与面积问题(2种考法)(解析版)_02高考数学_新高考复习资料_2024年新高考资料_一轮复习资料_一轮复习讲义2024年高考数学复习全程规划(新高考)
重难点12圆锥曲线中的弦长与面积问题(2种考法)(解析版)_02高考数学_新高考复习资料_2024年新高考资料_一轮复习资料_一轮复习讲义2024年高考数学复习全程规划(新高考)
重难点12圆锥曲线中的弦长与面积问题(2种考法)(解析版)_02高考数学_新高考复习资料_2024年新高考资料_一轮复习资料_一轮复习讲义2024年高考数学复习全程规划(新高考)
重难点12圆锥曲线中的弦长与面积问题(2种考法)(解析版)_02高考数学_新高考复习资料_2024年新高考资料_一轮复习资料_一轮复习讲义2024年高考数学复习全程规划(新高考)
重难点12圆锥曲线中的弦长与面积问题(2种考法)(解析版)_02高考数学_新高考复习资料_2024年新高考资料_一轮复习资料_一轮复习讲义2024年高考数学复习全程规划(新高考)
重难点12圆锥曲线中的弦长与面积问题(2种考法)(解析版)_02高考数学_新高考复习资料_2024年新高考资料_一轮复习资料_一轮复习讲义2024年高考数学复习全程规划(新高考)
重难点12圆锥曲线中的弦长与面积问题(2种考法)(解析版)_02高考数学_新高考复习资料_2024年新高考资料_一轮复习资料_一轮复习讲义2024年高考数学复习全程规划(新高考)
重难点12圆锥曲线中的弦长与面积问题(2种考法)(解析版)_02高考数学_新高考复习资料_2024年新高考资料_一轮复习资料_一轮复习讲义2024年高考数学复习全程规划(新高考)
重难点12圆锥曲线中的弦长与面积问题(2种考法)(解析版)_02高考数学_新高考复习资料_2024年新高考资料_一轮复习资料_一轮复习讲义2024年高考数学复习全程规划(新高考)
重难点12圆锥曲线中的弦长与面积问题(2种考法)(解析版)_02高考数学_新高考复习资料_2024年新高考资料_一轮复习资料_一轮复习讲义2024年高考数学复习全程规划(新高考)
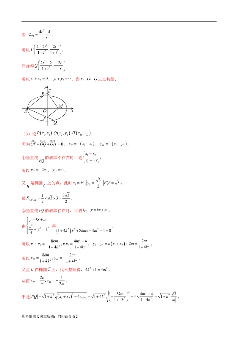
重难点12圆锥曲线中的弦长与面积问题(2种考法)(解析版)_02高考数学_新高考复习资料_2024年新高考资料_一轮复习资料_一轮复习讲义2024年高考数学复习全程规划(新高考)
重难点12圆锥曲线中的弦长与面积问题(2种考法)(解析版)_02高考数学_新高考复习资料_2024年新高考资料_一轮复习资料_一轮复习讲义2024年高考数学复习全程规划(新高考)
重难点12圆锥曲线中的弦长与面积问题(2种考法)(解析版)_02高考数学_新高考复习资料_2024年新高考资料_一轮复习资料_一轮复习讲义2024年高考数学复习全程规划(新高考)
重难点12圆锥曲线中的弦长与面积问题(2种考法)(解析版)_02高考数学_新高考复习资料_2024年新高考资料_一轮复习资料_一轮复习讲义2024年高考数学复习全程规划(新高考)
重难点12圆锥曲线中的弦长与面积问题(2种考法)(解析版)_02高考数学_新高考复习资料_2024年新高考资料_一轮复习资料_一轮复习讲义2024年高考数学复习全程规划(新高考)
重难点12圆锥曲线中的弦长与面积问题(2种考法)(解析版)_02高考数学_新高考复习资料_2024年新高考资料_一轮复习资料_一轮复习讲义2024年高考数学复习全程规划(新高考)
重难点12圆锥曲线中的弦长与面积问题(2种考法)(解析版)_02高考数学_新高考复习资料_2024年新高考资料_一轮复习资料_一轮复习讲义2024年高考数学复习全程规划(新高考)
重难点12圆锥曲线中的弦长与面积问题(2种考法)(解析版)_02高考数学_新高考复习资料_2024年新高考资料_一轮复习资料_一轮复习讲义2024年高考数学复习全程规划(新高考)
重难点12圆锥曲线中的弦长与面积问题(2种考法)(解析版)_02高考数学_新高考复习资料_2024年新高考资料_一轮复习资料_一轮复习讲义2024年高考数学复习全程规划(新高考)
重难点12圆锥曲线中的弦长与面积问题(2种考法)(解析版)_02高考数学_新高考复习资料_2024年新高考资料_一轮复习资料_一轮复习讲义2024年高考数学复习全程规划(新高考)
重难点12圆锥曲线中的弦长与面积问题(2种考法)(解析版)_02高考数学_新高考复习资料_2024年新高考资料_一轮复习资料_一轮复习讲义2024年高考数学复习全程规划(新高考)
重难点12圆锥曲线中的弦长与面积问题(2种考法)(解析版)_02高考数学_新高考复习资料_2024年新高考资料_一轮复习资料_一轮复习讲义2024年高考数学复习全程规划(新高考)
重难点12圆锥曲线中的弦长与面积问题(2种考法)(解析版)_02高考数学_新高考复习资料_2024年新高考资料_一轮复习资料_一轮复习讲义2024年高考数学复习全程规划(新高考)
重难点12圆锥曲线中的弦长与面积问题(2种考法)(解析版)_02高考数学_新高考复习资料_2024年新高考资料_一轮复习资料_一轮复习讲义2024年高考数学复习全程规划(新高考)

文档信息

文档格式
docx
文档大小
2.440 MB
文档页数
39 页
上传时间
2026-04-21 04:08:24

文档内容

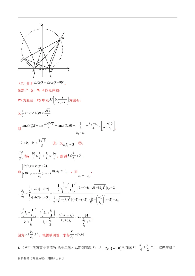
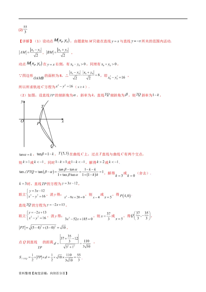
重难点 12 圆锥曲线中的弦长与面积问题(2 种考法) 【目录】 考法1:弦长问题 考法2:面积问题 二、命题规律与备考策略 一、圆锥曲线的弦长 设斜率为k(k≠0)的直线l与圆锥曲线C相交于A,B两点,A(x,y),B(x,y),则 1 1 2 2 |AB|=|x -x| 1 2 =· =·|y -y|=·. 1 2 二、三角形面积问题 直线 方程: 三、焦点三角形的面积 直线 过焦点 的面积为 资料整理【淘宝店铺:向阳百分百】注意: 为联立消去 后关于 的一元二次方程的二次项系数 y A F 1 O F 2 x B 四、平行四边形的面积 直线 为 ,直线 为 注意: 为直线与椭圆联立后消去 后的一元二次方程的系数. y C A H O x D B 三、题型方法 考法1:弦长问题 1.(2023下·黑龙江哈尔滨·高三哈九中校考开学考试)已知椭圆E: 的离心率为 , 且过点 . 资料整理【淘宝店铺:向阳百分百】(1)求椭圆E的方程; (2)若直线m过椭圆E的右焦点和上顶点,直线l过点 且与直线m平行.设直线l与椭圆E交于A,B 两点,求AB的长度. 【答案】(1) (2) 【分析】(1)由待定系数法求椭圆方程. (2)运用韦达定理及弦长公式可求得结果. 【详解】(1)由题意知, ,所以 , ,设椭圆E的方程为 . 将点 的坐标代入得: , ,所以椭圆E的方程为 . (2)由(1)知,椭圆E的右焦点为 ,上顶点为 ,所以直线m斜率为 , 由因为直线l与直线m平行,所以直线l的斜率为 , 所以直线l的方程为 ,即 , 联立 ,可得 , , , , 所以 . 2.(2023·新疆喀什·校考模拟预测)已知双曲线C两条准线之间的距离为1,离心率为2,直线l经过C的 右焦点,且与C相交于A、B两点. (1)求C的标准方程; (2)若直线l与该双曲线的渐近线垂直,求AB的长度. 【答案】(1) =1 资料整理【淘宝店铺:向阳百分百】(2)3 【分析】(1)根据双曲线的准线方程公式,结合双曲线的离心率公式进行求解即可. (2)根据题意设出直线l的方程与双曲线方程联立,利用一元二次方程根与系数关系、双曲线弦长公式进 行求解即可. 【详解】(1)因为直线l经过C的右焦点, 所以该双曲线的焦点在横轴上, 因为双曲线C两条准线之间的距离为1, 所以有 , 又因为离心率为2, 所以有 代入 中,可得 , ∴C的标准方程为: ; (2) 由上可知:该双曲线的渐近线方程为 , 所以直线l的斜率为 ,由于双曲线和两条直线都关于y轴对称, 所以两条直线与双曲线的相交弦相等. 又因为直线斜率的绝对值小于渐近线斜率的绝对值, 资料整理【淘宝店铺:向阳百分百】所以直线与双曲线交于左右两支,因此不妨设直线l的斜率为 , 方程为 与双曲线方程联立为: , 设 ,则有 , 3.(2023·全国·模拟预测)已知点 在抛物线 上,记 为坐标原点, ,以 为圆心, 为半径的圆与抛物线 的准线相切. (1)求抛物线 的方程; (2)记抛物线 的焦点为 ,过点 作直线 与直线 垂直,交抛物线 于 , 两点,求弦 的长. 【答案】(1) (2) 【分析】(1)首先得到抛物线的准线方程,依题意可得 ,解得 、 、 ,即可得解; (2)由(1)可得 , ,即可求直线 的方程,联立直线与抛物线方程,消元、列出韦达定 理,由焦点弦公式计算可得. 【详解】(1)抛物线 的焦点为 ,准线方程为 , 资料整理【淘宝店铺:向阳百分百】依题意可得 ,解得 或 ,又 、 、 , 所以 ,所以抛物线方程为 . (2)由(1)可得 , , , 因为直线 直线 ,所以 , 所以直线 的方程为 ,即 , 由 ,消去 整理得 , 设 , ,所以 , 所以 , 所以 . 资料整理【淘宝店铺:向阳百分百】4.(2023·海南海口·海南华侨中学校考二模)已知抛物线 ,点 为其焦点,直线 与抛物线交于 两点, 为坐标原点, . (1)求抛物线 的方程; (2)过 轴上一动点 作互相垂直的两条直线,与抛物线 分别相交于点 和 ,点 分别为 的中点,求 的最小值. 【答案】(1) (2)6 【分析】(1)由题意,求得点的坐标,利用三角形的面积,建立方程,可得答案; (2)利用分类讨论,明确直线的斜率存在,联立方程,写出韦达定理,求得中点坐标,利用两点距离公 式,结合基本不等式,可得答案. 资料整理【淘宝店铺:向阳百分百】【详解】(1) 直线方程为 ,将其代入抛物线可得 , 由已知得 ,解得 , 故抛物线 的方程为 . (2) 因为 ,若直线 分别与两坐标轴垂直, 则直线 中有一条与抛物线只有一个交点,不合题意, 所以直线 的斜率均存在且不为0.设直线 的斜率为 , 则直线 的方程为 . 联立 ,得 ,则 , 设 , 则 ,设 ,则 ,则 , 资料整理【淘宝店铺:向阳百分百】所以 ,同理可得 , 故 , 当且仅当 且 ,即 时等号成立, 故 的最小值为6. 5.(2023·全国·模拟预测)已知椭圆 的左顶点为 ,右焦点为 ,过点 的直线 交 于 , 两点,其中 在第二象限. (1)若 过点 ,求 的面积; (2)设线段 交半径为1的圆 于点 ,直线 与 交于点 ,若直线 , 的斜率之比为 , 求 . 【答案】(1) (2) 【分析】(1)直线 与椭圆 联立方程组,利用弦长公式求出 ,再求出点 到直线 的距离,可求 的面积; (2)设出相应直线的方程,通过联立方程组利用已知条件求出所需点的坐标,得到 . 【详解】(1)设 , ,直线 过点 和 , ,直线 方程为 , 联立方程组 ,消去 得 ,于是 , 资料整理【淘宝店铺:向阳百分百】, 椭圆的左顶点为 到直线 的距离 , 的面积 . . (2) 在第二象限,直线 斜率存在,且斜率 , 设直线 的方程为 ,联立方程组 ,消去 得 , 设 ,因为 , 由韦达定理,有 ,得 , 代入方程 ,解得 , , 由 , , 线段 交半径为1的圆 于点 ,∴ 设 ,则 , 解得 , 直线 的方程为 , 联立方程组 ,可得 , 资料整理【淘宝店铺:向阳百分百】直线 的方程为 , 联立方程组 ,消去 得 ,可得 , ,记 , 有 , 或 ,当 时, 不在第二象限,舍去,所以 ,得 , , , 6.(2023·湖北·校联考模拟预测)已知椭圆 过点 . (1)若椭圆E的离心率 ,求b的取值范围; (2)已知椭圆E的离心率 ,M,N为椭圆E上不同两点,若经过M,N两点的直线与圆 相切, 求线段 的最大值. 【答案】(1) (2)2 【分析】(1)把点 代入椭圆方程,可得 ,由 ,可求b的取值范围; (2)由离心率和(1)中结论,求得椭圆方程,分类讨论直线 的位置,联立方程组,利用弦长公式结 合不等式的性质求 的最大值. 资料整理【淘宝店铺:向阳百分百】【详解】(1)∵ 在椭圆,∴ ,有 ,所以 , 又∵ ,所以 ,∵ ,∴ ; (2)由(1)可知 ,又 , 所以 ,椭圆 . 因为直线 与 相切,故 . 若直线 的斜率不存在,不妨设直线 为: ,代入椭圆方程可得此时线段 . 若直线 的斜率存在,可设直线 的方程为: . 由直线 与 相切,故 ,可得: . 联立 得 ,所以 , 线段 . 资料整理【淘宝店铺:向阳百分百】又因为 ,所以 . 当且仅当 ,故当 时, 的最大值为2. 综上所述:当 时,线段 的最大值2. 7.(2021·陕西西安·统考三模)已知点 在椭圆C: ( )上,且椭圆的离 心率为 . (1)求椭圆C的方程; (2)若斜率为1的直线l与椭圆C交于A,B两点,点 , 是以 为底边的等腰三角形,求弦 的长度. 【答案】(1) (2) 【分析】(1)由已知条件列出关于 的方程组,求出 的值即可求出椭圆C的方程; (2)以AB为底作等腰三角形,顶点为 且 ,其中AB中点为 ,这样可得等量关 系 ,利用韦达定理可得弦中点坐标 ,解得m=2,进而可得A,B两点坐标,即可求 解. 资料整理【淘宝店铺:向阳百分百】【详解】(1)由已知得 ,解得 , 故椭圆C的方程为 ; (2)设直线/的方程为 , , , 的中点为 . 由 消去y,整理得 , 由 得 , 由根与系数的关系得 , , 则 , ,即 . ∵ 是等腰 的底边, 的中点为D, ∴ . ∴ 的斜率 ,解得 ,满足 . 此时 , , 则 . 8.(2023·四川成都·成都七中校考模拟预测)已知椭圆 与抛物线 的图 象在第一象限交于点P.若椭圆的右顶点为B,且 . (1)求椭圆 的离心率. 资料整理【淘宝店铺:向阳百分百】(2)若椭圆 的焦距长为2,直线l过点B.设l与抛物线 相交于不同的两点M、N,且 的面积为 24,求线段 的长度. 【答案】(1) (2) 【分析】(1)利用椭圆和抛物线的定义可以用 表示点P的坐标,代入椭圆方程即可求出离心率; (2)根据条件求出椭圆与抛物线的方程,设l方程及点M、N的坐标,由面积求得l方程,再由弦长公式 即可求得 . 【详解】(1)∵抛物线方程为 ∴其焦点为 ,抛物线的准线方程为 . 设点 ,故 到准线的距离为 . 即 ,∴ 因为点P在第一象限,代入抛物线方程解得 . 根据点P在椭圆上,将P点坐标代入椭圆方程 ,化简得 . 即 ,所以 ,则椭圆E的离心率 . 故答案为: (2)因为椭圆 的焦距为2,所以 ,所以 , 所以椭圆 方程为 . 抛物线 的方程为 .且 , . 资料整理【淘宝店铺:向阳百分百】因为直线l过B且不与坐标轴垂直,不妨设直线l的方程为 , ,且 . 设点 , ,联立l与 消去x得: . 所以 , . 所以 .所以 . 故答案为: 9.(2023·陕西咸阳·武功县普集高级中学统考一模)已知椭圆 的离心率为 ,它 的四个顶点构成的四边形的面积为 . (1)求椭圆 的方程; (2)设过点 的直线 与圆 相切且与椭圆 交于 、 两点,求 的最大值. 【答案】(1) (2) 【分析】(1)根据已知条件可得出关于 、 、 的方程,解出 、 的值,可得出椭圆 的方程; (2)分析可知,直线 不与 轴平行或重合,设直线 的方程为 ,利用直线 与圆 相切可 得出 ,将直线 的方程与椭圆 的方程联立,列出韦达定理,利用弦长公式以及基本不等式可求 得 的最大值. 【详解】(1)解:椭圆 的四个顶点构成的四边形的面积为 , 资料整理【淘宝店铺:向阳百分百】由题意可得 ,解得 , . 所以,椭圆 的方程为 . (2)解:若直线 与 轴平行或重合,此时直线 与圆 相交,不合乎题意, 设直线 的方程为 ,由题意可得 ,即 . 联立 消去 得 ,即 , . 设 、 ,则 , . 所以, . 令 ,则 ,则 , 当且仅当 时等号成立,此时 , . 故 的最大值为 . 【点睛】方法点睛:圆锥曲线中的最值问题解决方法一般分两种: 一是几何法,特别是用圆锥曲线的定义和平面几何的有关结论来求最值; 二是代数法,常将圆锥曲线的最值问题转化为二次函数或三角函数的最值问题,然后利用基本不等式、函 数的单调性或三角函数的有界性等求最值. 资料整理【淘宝店铺:向阳百分百】10.(2023·全国·模拟预测)已知平面内动点M到两定点E,F的距离之和为4,且E,F两点间的距离为 2. (1)以点E,F所在的直线为x轴,建立适当的坐标系,求点M的轨迹C的方程. (2)直线l过点F,交曲线C于A,B两点,AB的中点为 (异于坐标原点O).若点Q的坐标之和 ,求弦AB的长. 【答案】(1) (2) 或 【分析】(1)根据椭圆的定义分析运算即可; (2)分类讨论斜率是否存在,根据题意结合点差法分析可得 ,求点Q的坐标,结合题意解得 , 再利用弦长公式运算求解. 【详解】(1)以点E,F所在的直线为x轴,线段EF的中点O为原点建立平面直角坐标系, 设点 由题意可知 ,所以点M的轨迹是以E,F为焦点,长轴长 的椭圆. 因为 , ,即 , ,则 , 故点M的轨迹C的方程 . (2)由(1)不妨取 , 当直线AB的斜率不存在时,则直线 , 此时AB的中点为 即为点 ,可得 ,不合题意; 当直线AB的斜率存在时,设直线AB的方程为 ,点 , , 则 ,可得 , 资料整理【淘宝店铺:向阳百分百】则 ,两式作差得 , 则 ,即 , 可得 ,故直线 , 联立得方程组 ,解得 , 即 , 因为 ,解得 或 , 所以直线AB的方程为 或 . ①若直线AB的方程为 , 联立得方程组 ,消去y并整理得 , 则 , , 所以 ; ②若直线AB的方程为 , 联立得方程组 ,消去y并整理得 , 则 , , 资料整理【淘宝店铺:向阳百分百】所以 . 综上所述:弦AB的长为 或 . 【点睛】方法点睛: (1)有关圆锥曲线弦长问题的求解方法 涉及弦长的问题中,应熟练地利用根与系数的关系、设而不求计算弦长;涉及垂直关系时也往往利用根与 系数的关系、设而不求法简化运算;涉及过焦点的弦的问题,可考虑用圆锥曲线的定义求解. (2)弦中点问题的解法 点差法在解决有关弦中点、弦所在直线的斜率、弦中点与原点连线斜率问题时可简化运算,但要注意直线 斜率是否存在. 11.(2022·上海青浦·统考二模)已知椭圆 : 的右焦点为 ,过 的直线 交 于 , 两点. (1)若直线 垂直于 轴,求线段 的长; (2)若直线 与 轴不重合, 为坐标原点,求 面积的最大值; (3)若椭圆 上存在点 使得 ,且 的重心 在 轴上,求此时直线 的方程. 【答案】(1)3 (2) (3) 或 或 【分析】(1)令 ,求出 即可. 资料整理【淘宝店铺:向阳百分百】(2)设直线 的方程为: ,与椭圆方程联立,利用韦达定理和三角形面积公式表示出 的面 积即可. (3)分类讨论直线 ,与椭圆方程联立,利用中点坐标公式求出 中点 的坐标, 再利用重心的性质求出 的坐标,代入椭圆方程即可求解. 【详解】(1)由题意 ,所以 , 在椭圆方程中令 ,得 , 解得 ,所以 . (2)设直线 的方程为: , 将其与椭圆方程联立得 , 化简并整理得 , 所以 , , 所以 , 所以 的面积为 , 令 ,则 , 又因为 在 上单调递增, 所以 ,当且仅当 时取等号, 资料整理【淘宝店铺:向阳百分百】所以 面积的最大值为 . (3)当直线 不与 轴重合时,设直线 : , 的中点为点 , 由(2)可知,将其与椭圆方程联立并整理得 , 所以 , , 因为 的重心 在 轴上, 所以由重心坐标公式得 , 所以 , 所以 , , 因为 ,所以由等腰三角形三线合一可知 , 所以直线 : , 所以 , 所以点 ,将其代入椭圆方程化简并整理得 , 解得 或 , 所以直线 : 或 . 当直线 与 轴重合时,点 在椭圆的上、下顶点,满足题意,此时直线 : . 综上所述:满足题意的直线 的方程为 或 或 . 考法2:面积问题 1.(2023·湖南长沙·长郡中学校考二模)已知圆 是圆 上任意一点,线段 的垂直平分线与半径 相交于点 ,当点 运动时,点 的轨迹为曲线 . 资料整理【淘宝店铺:向阳百分百】(1)求曲线 的方程; (2)过点 的直线与曲线 相交于点 ,与 轴相交于点 ,过点 的另一条直线 与 相交于 两点,且 的面积是 面积的 倍,求直线 的方程. 【答案】(1) (2) 【详解】(1)因为点 为线段 的垂直平分线与半径 的交点, 所以 ,所以 , 所以点 的轨迹是以 为焦点,长轴长为4的椭圆,在椭圆中 , 所以曲线 的方程为 . (2)由已知得 ,所以直线 的方程为 ,所以 点的坐标为 . 当直线 的斜率不存在时, ,或 都与已知不符; 当直线 的斜率存在时,设直线 的方程为 , 由 得 , 易知 ,则 , , 由 的面积是 面积的 倍可得 , 化简得 ,即 , 又 ,所以 ,即 ,也就是 , 所以 , 解得 , 资料整理【淘宝店铺:向阳百分百】所以直线 的方程为 . 2.(2023·上海闵行·上海市七宝中学校考三模)已知 是椭圆 的左顶点, 是椭圆上不同 的两点. (1)求椭圆 的焦距和离心率; (2)设 ,若 ,且 、 、 和 、 、 分别共线,求证: 三点 共线; (3)若 是椭圆 上的点,且 ,求 的面积. 【答案】(1)焦距为 ,离心率为 (2)证明见解析 (3) 【详解】(1)由 可知, , ,故 , 所以焦距 ,离心率 . (2)设 , , 由题意, , , , , , , , 又 , 所以 ,得 , 方法一:由 三点共线,则 ,即 , 同理可得, 三点共线,则 ,即 , 故 ,即 , 资料整理【淘宝店铺:向阳百分百】又 , , 所以 , 所以 , 由 ,整理得 , 所以有 , 又 , 故 , 所以 , 所以 三点共线. 方法二:因为 , ,则 , 由 得直线 的方程为 , 与椭圆 联立 ,得 , 则 , 所以 , 同理得 , 所以 , ,即 三点共线. (3)设 , 因为 , , , 资料整理【淘宝店铺:向阳百分百】①当直线 的斜率不存在时,则 , 所以 , , 又 是椭圆 上的点,此时 , 故 , ②当直线 的斜率存在时,可设 , 由 ,得 , 所以 , , 所以 , 又点 在椭圆 上,代入整理得, , 从而 , 于是 , 点 到直线 的距离 , 所以 . 3.(2023·北京大兴·校考三模)已知椭圆 过点 ,且离心率为 . (1)求椭圆 的方程; (2)直线 分别交椭圆 于 、 两点,若线段 的中点 在直线 上,求 面积的最大值. 资料整理【淘宝店铺:向阳百分百】【答案】(1) (2) 【详解】(1) . 又 在椭圆上 . 所以,椭圆方程为 . (2)由已知直线 的斜率存在. 设直线 方程为 , , , 由 , 得 . 由 ,得 .① , . 又中点在直线 上, 即 , 将之代入①得 ,所以 . , 点 到直线 的距离 , . 设 , . . 时, 的最大值为 . 资料整理【淘宝店铺:向阳百分百】4.(2023·湖南长沙·长郡中学校考二模)已知圆 是圆 上任意一点,线段 的垂直平分线与半径 相交于点 ,当点 运动时,点 的轨迹为曲线 . (1)求曲线 的方程; (2)过点 的直线与曲线 相交于点 ,与 轴相交于点 ,过点 的另一条直线 与 相交于 两点,且 的面积是 面积的 倍,求直线 的方程. 【答案】(1) (2) 【详解】(1)因为点 为线段 的垂直平分线与半径 的交点, 所以 ,所以 , 所以点 的轨迹是以 为焦点,长轴长为4的椭圆,在椭圆中 , 所以曲线 的方程为 . (2)由已知得 ,所以直线 的方程为 ,所以 点的坐标为 . 当直线 的斜率不存在时, ,或 都与已知不符; 当直线 的斜率存在时,设直线 的方程为 , 资料整理【淘宝店铺:向阳百分百】由 得 , 易知 ,则 , , 由 的面积是 面积的 倍可得 , 化简得 ,即 , 又 ,所以 ,即 ,也就是 , 所以 , 解得 , 所以直线 的方程为 . 5.(2023·上海闵行·上海市七宝中学校考三模)已知 是椭圆 的左顶点, 是椭圆上不同 的两点. (1)求椭圆 的焦距和离心率; (2)设 ,若 ,且 、 、 和 、 、 分别共线,求证: 三点 共线; (3)若 是椭圆 上的点,且 ,求 的面积. 【答案】(1)焦距为 ,离心率为 (2)证明见解析 (3) 资料整理【淘宝店铺:向阳百分百】【详解】(1)由 可知, , ,故 , 所以焦距 ,离心率 . (2)设 , , 由题意, , , , , , , , 又 , 所以 ,得 , 方法一:由 三点共线,则 ,即 , 同理可得, 三点共线,则 ,即 , 故 ,即 , 又 , , 所以 , 所以 , 由 ,整理得 , 所以有 , 又 , 故 , 所以 , 所以 三点共线. 方法二:因为 , ,则 , 由 得直线 的方程为 , 与椭圆 联立 ,得 , 资料整理【淘宝店铺:向阳百分百】则 , 所以 , 同理得 , 所以 , ,即 三点共线. (3)设 , 因为 , , , ①当直线 的斜率不存在时,则 , 所以 , , 又 是椭圆 上的点,此时 , 故 , ②当直线 的斜率存在时,可设 , 由 ,得 , 所以 , , 所以 , 又点 在椭圆 上,代入整理得, , 从而 , 于是 , 资料整理【淘宝店铺:向阳百分百】点 到直线 的距离 , 所以 . 6.(2023·全国·模拟预测)已知双曲线 的离心率为 ,左、右焦点分别为 , ,焦 距为 .点 在第一象限的双曲线上,过点 作双曲线切线与直线 交于点 . (1)证明: ; (2)已知斜率为 的直线 与双曲线左支交于 两点,若直线 , 的斜率互为相反数,求 的 面积. 【答案】(1)证明见解析; (2) 【详解】(1)解:因为双曲线的离心率为 ,左、右焦点分别为 , ,焦距为 , 所以, ,解得 , 所以,双曲线的标准方程为 , 因为过点 作双曲线切线与直线 交于点 ,故切线的斜率存在, 所以,设 ,在点 的切线方程为 , 联立方程 得 所以, ,即 ① 因为 ,代入①式得 ,解得 资料整理【淘宝店铺:向阳百分百】所以,在点 的切线方程为 , 所以点 的坐标为 ,即 , 因为 , 所以 所以, (2)解:由题,设直线 的方程为 , 与双曲线方程 联立得 , 设 , 所以 因为直线 , 的斜率互为相反数,所以 , 所以, 整理得: ② 将 代入②整理得: ③ 结合 可知 时,③式恒成立, 所以,由(1)可知 , , , 所以, 所以 的面积 . 7.(2023·全国·高三专题练习)已知M是平面直角坐标系内的一个动点,直线 与直线 垂直,A为 垂足且位于第一象限,直线 与直线 垂直,B为垂足且位于第四象限,四边形 (O为原点) 的面积为8,动点M的轨迹为C. (1)求轨迹C的方程; (2)已知 是轨迹C上一点,直线l交轨迹C于P,Q两点,直线 , 的斜率之和为1, ,求 的面积. 【答案】(1) ( ) 资料整理【淘宝店铺:向阳百分百】(2) 【详解】(1)设动点 ,由题意知M只能在直线 与直线 所夹的范围内活动. , , 动点 在 右侧,有 ,同理有 , ∵四边形 的面积为8,∴ ,即 , 所以所求轨迹C方程为 ( ). (2)如图,设直线 的倾斜角为 ,斜率为k,直线 倾斜角为 ,则 斜率为 , , , 在曲线C上,过点T直线与曲线C有两个交点, 则 或 ,同时 或 ,解得 或 . ,解得 或 (舍去). 时,直线 的方程为 , 联立 ,消y得: ,则 或 ,得 . 直线 的方程为 , 联立 ,消y得: ,则 或 ,得 , , 点Q到直线 的距离 , . 资料整理【淘宝店铺:向阳百分百】方法二: , , ,则 , . 8.(2023·浙江金华·模拟预测)P是双曲线 右支上一点,A,B是双曲线的左右顶点,过A,B分 别作直线PA,PB的垂线AQ,BQ,AQ与BQ的交点为Q,PA与BQ的交点为C. (1)记P,Q的纵坐标分别为 ,求 的值; (2)记 的面积分别为 ,当 时,求 的取值范围. 【答案】(1)3 (2) 【详解】(1)由已知条件得: ,设PA,PB的斜率分别为 , 则QA,QB的斜率分别为 , 由 即有 . 由 即有 而 , . 资料整理【淘宝店铺:向阳百分百】(2)由于 , 显然P,Q,B,A四点共圆, PO为直径,PQ中点 为圆心, 又 则 , ①,又 ②, 得: ,解得 . 由 ,,而 . . 因为 ,根据单调性,求得 9.(2023·内蒙古呼和浩特·统考二模)已知抛物线T: 和椭圆C: ,过抛物线T 资料整理【淘宝店铺:向阳百分百】的焦点F的直线l交抛物线于A,B两点,线段AB的中垂线交椭圆C于M,N两点. (1)若F恰是椭圆C的焦点,求 的值; (2)若 ,且 恰好被 平分,求 的面积. 【答案】(1) (2) 【详解】(1)在椭圆中, ,所以 , 由 ,得 . (2)设直线l: , , , 联立方程 ,消去x得 , ,则 , 设 的中点 ,则 , , 设 , ,则直线MN的斜率为 , , , 相减得到 ,即 , 即 ,解得 , 由点G在椭圆内,得 ,解得 , 因为 , 所以p值是1, 资料整理【淘宝店铺:向阳百分百】所以 面积 . 10(2023·陕西安康·统考三模)已知抛物线 的焦点为 . (1)求抛物线 的方程; (2)过点 的直线 与抛物线 交于 两点, 为抛物线 上的点,且 , ,求 的面积. 【答案】(1) ; (2)32 【详解】(1)解:由已知可得 ,解得 , ∴拋物线 的方程为 ; (2)解:如图所示: 设 , , , 若 轴,由 得 , , 或 , , 此时不满足 ,∴不满足题意; 设直线 的方程为 ,直线 的方程为 , 将 代入抛物线方程得 , , ∴ , . 将 代入抛物线方程得 ,∴ ①. 直线 的斜率为 ,同理直线 的斜率为 . ∵ ,∴ , ∴ ,即 ②. 由①②解得 ,将其代入①可得 , 资料整理【淘宝店铺:向阳百分百】解得 或 , 当 时,直线 的方程为 , , . ∵ , 满足 ,∴ , . ∴ , ∴ . 同理可得,当 时,直线 的方程为 , , , ∵ , 满足 ,∴ , . ∴ , ∴ , ∴ 的面积为32. 资料整理【淘宝店铺:向阳百分百】