当前位置:首页>文档>微考点6-4利用二级结论秒杀椭圆双曲线中的选填题(原卷版)_02高考数学_新高考复习资料_2024年新高考资料_二轮复习资料_分层练

微考点6-4利用二级结论秒杀椭圆双曲线中的选填题(原卷版)_02高考数学_新高考复习资料_2024年新高考资料_二轮复习资料_分层练

  • 2026-04-15 09:17:16 2026-04-15 08:46:11

文档预览

微考点6-4利用二级结论秒杀椭圆双曲线中的选填题(原卷版)_02高考数学_新高考复习资料_2024年新高考资料_二轮复习资料_分层练
微考点6-4利用二级结论秒杀椭圆双曲线中的选填题(原卷版)_02高考数学_新高考复习资料_2024年新高考资料_二轮复习资料_分层练
微考点6-4利用二级结论秒杀椭圆双曲线中的选填题(原卷版)_02高考数学_新高考复习资料_2024年新高考资料_二轮复习资料_分层练
微考点6-4利用二级结论秒杀椭圆双曲线中的选填题(原卷版)_02高考数学_新高考复习资料_2024年新高考资料_二轮复习资料_分层练
微考点6-4利用二级结论秒杀椭圆双曲线中的选填题(原卷版)_02高考数学_新高考复习资料_2024年新高考资料_二轮复习资料_分层练
微考点6-4利用二级结论秒杀椭圆双曲线中的选填题(原卷版)_02高考数学_新高考复习资料_2024年新高考资料_二轮复习资料_分层练
微考点6-4利用二级结论秒杀椭圆双曲线中的选填题(原卷版)_02高考数学_新高考复习资料_2024年新高考资料_二轮复习资料_分层练
微考点6-4利用二级结论秒杀椭圆双曲线中的选填题(原卷版)_02高考数学_新高考复习资料_2024年新高考资料_二轮复习资料_分层练
微考点6-4利用二级结论秒杀椭圆双曲线中的选填题(原卷版)_02高考数学_新高考复习资料_2024年新高考资料_二轮复习资料_分层练
微考点6-4利用二级结论秒杀椭圆双曲线中的选填题(原卷版)_02高考数学_新高考复习资料_2024年新高考资料_二轮复习资料_分层练
微考点6-4利用二级结论秒杀椭圆双曲线中的选填题(原卷版)_02高考数学_新高考复习资料_2024年新高考资料_二轮复习资料_分层练
微考点6-4利用二级结论秒杀椭圆双曲线中的选填题(原卷版)_02高考数学_新高考复习资料_2024年新高考资料_二轮复习资料_分层练
微考点6-4利用二级结论秒杀椭圆双曲线中的选填题(原卷版)_02高考数学_新高考复习资料_2024年新高考资料_二轮复习资料_分层练
微考点6-4利用二级结论秒杀椭圆双曲线中的选填题(原卷版)_02高考数学_新高考复习资料_2024年新高考资料_二轮复习资料_分层练
微考点6-4利用二级结论秒杀椭圆双曲线中的选填题(原卷版)_02高考数学_新高考复习资料_2024年新高考资料_二轮复习资料_分层练
微考点6-4利用二级结论秒杀椭圆双曲线中的选填题(原卷版)_02高考数学_新高考复习资料_2024年新高考资料_二轮复习资料_分层练
微考点6-4利用二级结论秒杀椭圆双曲线中的选填题(原卷版)_02高考数学_新高考复习资料_2024年新高考资料_二轮复习资料_分层练

文档信息

文档格式
docx
文档大小
0.730 MB
文档页数
13 页
上传时间
2026-04-15 08:46:11

文档内容

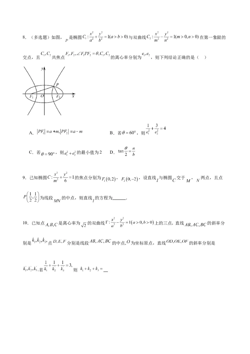
微考点 6-4 利用二级结论秒杀椭圆双曲线中的选填题 【考点目录】 考点一:椭圆焦点三角形的面积秒杀公式 考点二:中点弦问题(点差法)秒杀公式 考点三: 双曲线焦点到渐近线的距离为 考点四:双曲线中,焦点三角形的内心 的轨迹方程为 . 考点五:椭圆与双曲线共焦点的离心率关系秒杀公式 考点六:圆锥曲线定比分焦点弦求离心率秒杀公式 考点七:双曲线中定比分渐近线求离心率秒杀公式 【考点分类】 考点一:椭圆焦点三角形的面积为 ( 为焦距对应的张角) 证明:设 . 双曲线中焦点三角形的面积为 ( 为焦距对应的张角) 【精选例题】 【例1】(2021年全国高考甲卷数学(理)试题)已知 为椭圆C: 的两个焦点,P,Q 为C上关于坐标原点对称的两点,且 ,则四边形 的面积为________.【例 2】设 , 是双曲线 的两个焦点, 为坐标原点,点 在 上且 ,则△ 的面积为( ) A. B.3 C. D.2 【跟踪训练】 1.设P为椭圆 上一点, 为左右焦点,若 ,则P点的纵坐标为( ) A. B. C. D. 2.设双曲线 的左、右焦点分别为 , ,离心率为 . 是 上一点,且 .若△ 的面积为 ,则 ( ) A.1 B.2 C.4 D.8 考点二:中点弦问题(点差法)秒杀公式 若椭圆与直线l交于AB两点,M为AB中点,且 与 斜率存在时,则 ;(焦点在x 轴上时),当焦点在 轴上时, 若AB过椭圆的中心,P为椭圆上异于AB任意一点, (焦点在x轴上时),当焦点在 轴上时, 下述证明均选择焦点在x轴上的椭圆来证明,其他情况形式类似. 直径问题证明:设 , ,因为AB过原点,由对称性可知,点 ,所以 y −y y +y y 2 −y 2 k ⋅k = 0 1 ⋅ 0 1 = 0 1 PA PB x −x x +x x −x 0 1 0 1 0 2 1 2 .又因为点 , 在椭圆上,所以有 x y { 2 2 0 0 + =1(1)¿¿¿¿ 2 2 a b .y 0 2 −y 1 2 b2 b2 =− − 两式相减得 x 0 2 −x 1 2 a2 ,所以 k PA ⋅k PB = a2 . 设 , , 则椭圆 两式相减得 中点弦问题证明: . 双曲线中焦点在 轴上为 ,焦点在 轴上为 , 【精选例题】 【例1】已知椭圆 的右焦点为F(3,0),过点F的直线交椭圆于A,B两点.若AB 的中点坐标为(1, ),则G的方程为 A. B. C. D. 【例2】过双曲线 : ( , )的焦点且斜率不为0的直线交 于A, 两点, 为 中点,若 ,则 的离心率为( ) A. B.2 C. D. 【例3】(多选题)已知椭圆 : 的左、右顶点分别为 , ,上、下顶点分别为 , .点 为 上不在坐标轴上的任意一点,且 , , , 四条直线的斜率之积大于 ,则 的离心率可以是A. B. C. D. 【跟踪训练】 1.已知 为双曲线 的右顶点, 为双曲线右支上一点,若点 关于双曲线中心 的对 称点为 ,设直线 、 的倾斜角分别为 、 ,且 ,则双曲线的离心率为( ) A. B. C. D. 2.已知A,B,P是双曲线 ( , )上不同的三点,且A,B连线经过坐标原点,若直线 PA,PB的斜率乘积为 ,则该双曲线的离心率为( ) A. B. C. D. 3.已知双曲线 的左、右焦点分别为 、 ,过左焦点 作斜率为2的直线与双曲线交于 A,B两点,P是AB的中点,O为坐标原点,若直线OP的斜率为 ,则双曲线的离心率是( ) A. B.2 C. D.考点三: 双曲线焦点到渐近线的距离为 【精选例题】 【例1】若双曲线 的焦点 到其渐近线的距离为 ,则双曲线的渐近线方程为( ) A. B. C. D. 【例2】已知 是双曲线 : 的一个焦点,则点 到 的一条渐近线的距离为 A. B.3 C. D. 【跟踪训练】 1.已知双曲线 的离心率为2,过右焦点且垂直于x轴的直线与双曲线交于A,B 两点.设A,B到双曲线同一条渐近线的距离分别为 和 ,且 ,则双曲线的方程为( ) A. B. C. D. x2 y2  1(a0,b0) a2 b2 2.已知双曲线 的两条渐近线均和圆 : 相切,且双曲线的 C 右焦点为圆 的圆心,则该双曲线的方程为 x2 y2 x2 y2 x2 y2 x2 y2  1  1  1  1 A. 5 4 B. 4 5 C. 3 6 D. 6 3 【精选例题】【例1】已知双曲线 的左、右焦点分别为 ,离心率为2,焦点到渐近线的距 离为 .过 作直线 交双曲线 的右支于 两点,若 分别为 与 的内心,则 的 取值范围为( ) A. B. C. D. 【例2】(多选题)双曲线 的左、右焦点分别 ,具有公共焦点的椭圆与双曲线在第一象限 的交点为 ,双曲线和椭圆的离心率分别为 的内切圆的圆心为 ,过 作直线 的垂线,垂 足为 ,则( ) A. 到 轴的距离为 B.点 的轨迹是双曲线 C.若 ,则 D.若 ,则 【例3】(多选题)已知 分别为双曲线 的左、右焦点,过 的直线与双曲线的右支交于 两点,记 的内切圆 的面积为 , 的内切圆 的面积为 ,则( ) A.圆 和圆 外切 B.圆心 在直线 上 C. D. 的取值范围是 【跟踪训练】 1.已知双曲线方程是 ,过 的直线与双曲线右支交于 , 两点(其中 点在第一象限),设 点 、 分别为 、 的内心,则 的范围是______.2.(多选题)已知双曲线 的左、右焦点分别为 、 ,离心率为 ,焦点到渐 近线的距离为 .过 作直线 交双曲线 的右支于 、 两点,若 、 分别为 与 的内心, 则( ) A. 的渐近线方程为 B.点 与点 均在同一条定直线上 C.直线 不可能与 平行 D. 的取值范围为 考点五:已知具有公共焦点 的椭圆与双曲线的离心率分别为 是它们的一个交点,且 ,则有 . 【精选例题】 【例1】已知 , 是椭圆和双曲线的公共焦点, 是它们的一个公共点,且 ,则椭圆和双曲 线离心率倒数之和的最大值为( ) A. B. C. D. 【例2】(多选题)已知椭圆 与双曲线 , 有公共焦点 (左焦点), (右焦点),且两条曲线在第一象限的交点为 ,若△ 是以 为底边的等腰三角形, , 的离心率分别为 和 ,且 ,则( )A. B. C. D. 【跟踪训练】 1.已知F是椭圆 : ( )的右焦点,A为椭圆 的下顶点,双曲线 : ( , )与椭圆 共焦点,若直线 与双曲线 的一条渐近线平行, , 的离心率分别为 , ,则 的最小值为______. 考点六:设圆锥曲线 的焦点 在 轴上,过点 且斜率为 的直线 交曲线 两点,若 ,则 . 【精选例题】 【例1】已知椭圆 过焦点 的直线 与椭圆C交于A,B两点(点A位于 轴上方),若 ,则直线 的斜率 的值为 . 【例2】已知 是双曲线 的右焦点,直线 经过点 且与双曲线相交于 两点, 记该双曲线的离心率为 ,直线 的斜率为 ,若 ,则( ) A. B. C. D. 【例3】已知 , 是双曲线 : 的左,右焦点,过点 倾斜角为30°的直线与双曲线的左,右两支分别交于点 , .若 ,则双曲线 的离心率为( ) A. B. C.2 D. 【跟踪训练】 1.斜率为 的直线 过椭圆 的焦点 ,交椭圆于 两点,若 ,则该椭 圆的离心率为 . 2.已知双曲线 的左、右焦点分别为 , ,过点 且倾斜角为 的直线 与双曲线的左、 右支分别交于点 , ,且 ,则该双曲线的离心率为( ) A. B. C. D. x2 y2 1(a0,b0) 考点七:已知双曲线方程为 a2 b2 的右焦点为 ,过点 且与渐近线 垂直的 直线分别交两条渐近线于 两点. FFP(0Q,1) 情形1.如图1.若 ,则 图1 图2 2.若 ,则 如图【精选例题】 【例1】过双曲线 的右焦点做一条渐近线的垂线,垂足为 ,与双曲线的另一条 渐近线交于点 ,若 ,则此双曲线的离心率为________ 【例2】已知双曲线 , 过 的右焦点 作垂直于渐近线的直线 交两渐近线于 、 两点 、 两点分别在一、四象限,若 ,则双曲线 的离心率为( ) A. B. C. D. 【跟踪训练】 1.已知双曲线 的两条渐近线分别为直线 , ,经过右焦点 且垂直于 的直线 分 别交 , 于 两点,且 ,则该双曲线的离心率为( ) A. B. C. D. 2. 是双曲线 的左右焦点,过 且斜率为1的直线与两条渐近线分别交于 两 点,若 ,则双曲线的离心率为 A. B. C. D.1.已知点 在椭圆 上, , 是椭圆的左、右焦点,若 ,且 的 面积为2,则 ( ) A.2 B.3 C.4 D.5 2.椭圆 与直线 交于M,N两点,连接原点与线段 中点所得直线的斜率为 ,则 的值是( ) A. B. C. D. 3.已知双曲线 的离心率为 ,焦点到渐近线距离为 ,则双曲线 实轴长( ) A. B. C. D. 4.(多选题)已知椭圆 的左、右焦点分别为 ,离心率为 ,且经过点 在椭圆上,则( ) A. 的最大值为3 B. 的周长为4 C.若 ,则 的面积为D.若 ,则 5.(多选题)设椭圆的方程为 ,斜率为k的直线不经过原点O,而且与椭圆相交于A,B两点, M为线段AB的中点,下列结论不正确的是( ) A.直线AB与OM垂直 B.若点M坐标为 ,则直线方程为 C.若直线方程为 ,则点M坐标为 D.若直线方程为 ,则 6.(多选题)设A,B是双曲线 上的两点,下列四个点中可以为线段 中点的是( ) A. B. C. D. 7.(多选题)若 是椭圆 与双曲线 在第一象限的交点, 且 , 共焦点 , , , , 的离心率分别为 , ,则下列结论中正确的是( ) A. , B. C.若 ,则 D.若 ,则 的最小值为28.(多选题)如图, 是椭圆 与双曲线 在第一象限的 交点,且 共焦点 的离心率分别为 ,则下列结论正确的是( ) A. B.若 ,则 C.若 ,则 的最小值为2 D. 9.己知椭圆 的焦点分别为 , ,设直线 与椭圆 交于 , 两点,且点 为线段 的中点,则直线 的方程为 . 10.已知点 是离心率为 的双曲线 上的三点, 直线 的斜率分 别是 点 分别是线段 的中点, 为坐标原点,直线 的斜率分别是 .若 则