当前位置:首页>文档>重难点突破04轻松搞定圆锥曲线离心率十九大模型(十九大题型)(解析版)_02高考数学_新高考复习资料_2024年新高考资料_一轮复习资料_❤有更新第八章平面解析几何

重难点突破04轻松搞定圆锥曲线离心率十九大模型(十九大题型)(解析版)_02高考数学_新高考复习资料_2024年新高考资料_一轮复习资料_❤有更新第八章平面解析几何

  • 2026-04-21 06:36:17 2026-04-21 06:36:17

文档预览

重难点突破04轻松搞定圆锥曲线离心率十九大模型(十九大题型)(解析版)_02高考数学_新高考复习资料_2024年新高考资料_一轮复习资料_❤有更新第八章平面解析几何
重难点突破04轻松搞定圆锥曲线离心率十九大模型(十九大题型)(解析版)_02高考数学_新高考复习资料_2024年新高考资料_一轮复习资料_❤有更新第八章平面解析几何
重难点突破04轻松搞定圆锥曲线离心率十九大模型(十九大题型)(解析版)_02高考数学_新高考复习资料_2024年新高考资料_一轮复习资料_❤有更新第八章平面解析几何
重难点突破04轻松搞定圆锥曲线离心率十九大模型(十九大题型)(解析版)_02高考数学_新高考复习资料_2024年新高考资料_一轮复习资料_❤有更新第八章平面解析几何
重难点突破04轻松搞定圆锥曲线离心率十九大模型(十九大题型)(解析版)_02高考数学_新高考复习资料_2024年新高考资料_一轮复习资料_❤有更新第八章平面解析几何
重难点突破04轻松搞定圆锥曲线离心率十九大模型(十九大题型)(解析版)_02高考数学_新高考复习资料_2024年新高考资料_一轮复习资料_❤有更新第八章平面解析几何
重难点突破04轻松搞定圆锥曲线离心率十九大模型(十九大题型)(解析版)_02高考数学_新高考复习资料_2024年新高考资料_一轮复习资料_❤有更新第八章平面解析几何
重难点突破04轻松搞定圆锥曲线离心率十九大模型(十九大题型)(解析版)_02高考数学_新高考复习资料_2024年新高考资料_一轮复习资料_❤有更新第八章平面解析几何
重难点突破04轻松搞定圆锥曲线离心率十九大模型(十九大题型)(解析版)_02高考数学_新高考复习资料_2024年新高考资料_一轮复习资料_❤有更新第八章平面解析几何
重难点突破04轻松搞定圆锥曲线离心率十九大模型(十九大题型)(解析版)_02高考数学_新高考复习资料_2024年新高考资料_一轮复习资料_❤有更新第八章平面解析几何
重难点突破04轻松搞定圆锥曲线离心率十九大模型(十九大题型)(解析版)_02高考数学_新高考复习资料_2024年新高考资料_一轮复习资料_❤有更新第八章平面解析几何
重难点突破04轻松搞定圆锥曲线离心率十九大模型(十九大题型)(解析版)_02高考数学_新高考复习资料_2024年新高考资料_一轮复习资料_❤有更新第八章平面解析几何
重难点突破04轻松搞定圆锥曲线离心率十九大模型(十九大题型)(解析版)_02高考数学_新高考复习资料_2024年新高考资料_一轮复习资料_❤有更新第八章平面解析几何
重难点突破04轻松搞定圆锥曲线离心率十九大模型(十九大题型)(解析版)_02高考数学_新高考复习资料_2024年新高考资料_一轮复习资料_❤有更新第八章平面解析几何
重难点突破04轻松搞定圆锥曲线离心率十九大模型(十九大题型)(解析版)_02高考数学_新高考复习资料_2024年新高考资料_一轮复习资料_❤有更新第八章平面解析几何
重难点突破04轻松搞定圆锥曲线离心率十九大模型(十九大题型)(解析版)_02高考数学_新高考复习资料_2024年新高考资料_一轮复习资料_❤有更新第八章平面解析几何
重难点突破04轻松搞定圆锥曲线离心率十九大模型(十九大题型)(解析版)_02高考数学_新高考复习资料_2024年新高考资料_一轮复习资料_❤有更新第八章平面解析几何
重难点突破04轻松搞定圆锥曲线离心率十九大模型(十九大题型)(解析版)_02高考数学_新高考复习资料_2024年新高考资料_一轮复习资料_❤有更新第八章平面解析几何
重难点突破04轻松搞定圆锥曲线离心率十九大模型(十九大题型)(解析版)_02高考数学_新高考复习资料_2024年新高考资料_一轮复习资料_❤有更新第八章平面解析几何
重难点突破04轻松搞定圆锥曲线离心率十九大模型(十九大题型)(解析版)_02高考数学_新高考复习资料_2024年新高考资料_一轮复习资料_❤有更新第八章平面解析几何
重难点突破04轻松搞定圆锥曲线离心率十九大模型(十九大题型)(解析版)_02高考数学_新高考复习资料_2024年新高考资料_一轮复习资料_❤有更新第八章平面解析几何
重难点突破04轻松搞定圆锥曲线离心率十九大模型(十九大题型)(解析版)_02高考数学_新高考复习资料_2024年新高考资料_一轮复习资料_❤有更新第八章平面解析几何
重难点突破04轻松搞定圆锥曲线离心率十九大模型(十九大题型)(解析版)_02高考数学_新高考复习资料_2024年新高考资料_一轮复习资料_❤有更新第八章平面解析几何
重难点突破04轻松搞定圆锥曲线离心率十九大模型(十九大题型)(解析版)_02高考数学_新高考复习资料_2024年新高考资料_一轮复习资料_❤有更新第八章平面解析几何
重难点突破04轻松搞定圆锥曲线离心率十九大模型(十九大题型)(解析版)_02高考数学_新高考复习资料_2024年新高考资料_一轮复习资料_❤有更新第八章平面解析几何
重难点突破04轻松搞定圆锥曲线离心率十九大模型(十九大题型)(解析版)_02高考数学_新高考复习资料_2024年新高考资料_一轮复习资料_❤有更新第八章平面解析几何
重难点突破04轻松搞定圆锥曲线离心率十九大模型(十九大题型)(解析版)_02高考数学_新高考复习资料_2024年新高考资料_一轮复习资料_❤有更新第八章平面解析几何
重难点突破04轻松搞定圆锥曲线离心率十九大模型(十九大题型)(解析版)_02高考数学_新高考复习资料_2024年新高考资料_一轮复习资料_❤有更新第八章平面解析几何
重难点突破04轻松搞定圆锥曲线离心率十九大模型(十九大题型)(解析版)_02高考数学_新高考复习资料_2024年新高考资料_一轮复习资料_❤有更新第八章平面解析几何
重难点突破04轻松搞定圆锥曲线离心率十九大模型(十九大题型)(解析版)_02高考数学_新高考复习资料_2024年新高考资料_一轮复习资料_❤有更新第八章平面解析几何
重难点突破04轻松搞定圆锥曲线离心率十九大模型(十九大题型)(解析版)_02高考数学_新高考复习资料_2024年新高考资料_一轮复习资料_❤有更新第八章平面解析几何
重难点突破04轻松搞定圆锥曲线离心率十九大模型(十九大题型)(解析版)_02高考数学_新高考复习资料_2024年新高考资料_一轮复习资料_❤有更新第八章平面解析几何
重难点突破04轻松搞定圆锥曲线离心率十九大模型(十九大题型)(解析版)_02高考数学_新高考复习资料_2024年新高考资料_一轮复习资料_❤有更新第八章平面解析几何
重难点突破04轻松搞定圆锥曲线离心率十九大模型(十九大题型)(解析版)_02高考数学_新高考复习资料_2024年新高考资料_一轮复习资料_❤有更新第八章平面解析几何
重难点突破04轻松搞定圆锥曲线离心率十九大模型(十九大题型)(解析版)_02高考数学_新高考复习资料_2024年新高考资料_一轮复习资料_❤有更新第八章平面解析几何
重难点突破04轻松搞定圆锥曲线离心率十九大模型(十九大题型)(解析版)_02高考数学_新高考复习资料_2024年新高考资料_一轮复习资料_❤有更新第八章平面解析几何
重难点突破04轻松搞定圆锥曲线离心率十九大模型(十九大题型)(解析版)_02高考数学_新高考复习资料_2024年新高考资料_一轮复习资料_❤有更新第八章平面解析几何
重难点突破04轻松搞定圆锥曲线离心率十九大模型(十九大题型)(解析版)_02高考数学_新高考复习资料_2024年新高考资料_一轮复习资料_❤有更新第八章平面解析几何
重难点突破04轻松搞定圆锥曲线离心率十九大模型(十九大题型)(解析版)_02高考数学_新高考复习资料_2024年新高考资料_一轮复习资料_❤有更新第八章平面解析几何
重难点突破04轻松搞定圆锥曲线离心率十九大模型(十九大题型)(解析版)_02高考数学_新高考复习资料_2024年新高考资料_一轮复习资料_❤有更新第八章平面解析几何
重难点突破04轻松搞定圆锥曲线离心率十九大模型(十九大题型)(解析版)_02高考数学_新高考复习资料_2024年新高考资料_一轮复习资料_❤有更新第八章平面解析几何
重难点突破04轻松搞定圆锥曲线离心率十九大模型(十九大题型)(解析版)_02高考数学_新高考复习资料_2024年新高考资料_一轮复习资料_❤有更新第八章平面解析几何
重难点突破04轻松搞定圆锥曲线离心率十九大模型(十九大题型)(解析版)_02高考数学_新高考复习资料_2024年新高考资料_一轮复习资料_❤有更新第八章平面解析几何
重难点突破04轻松搞定圆锥曲线离心率十九大模型(十九大题型)(解析版)_02高考数学_新高考复习资料_2024年新高考资料_一轮复习资料_❤有更新第八章平面解析几何
重难点突破04轻松搞定圆锥曲线离心率十九大模型(十九大题型)(解析版)_02高考数学_新高考复习资料_2024年新高考资料_一轮复习资料_❤有更新第八章平面解析几何
重难点突破04轻松搞定圆锥曲线离心率十九大模型(十九大题型)(解析版)_02高考数学_新高考复习资料_2024年新高考资料_一轮复习资料_❤有更新第八章平面解析几何
重难点突破04轻松搞定圆锥曲线离心率十九大模型(十九大题型)(解析版)_02高考数学_新高考复习资料_2024年新高考资料_一轮复习资料_❤有更新第八章平面解析几何
重难点突破04轻松搞定圆锥曲线离心率十九大模型(十九大题型)(解析版)_02高考数学_新高考复习资料_2024年新高考资料_一轮复习资料_❤有更新第八章平面解析几何
重难点突破04轻松搞定圆锥曲线离心率十九大模型(十九大题型)(解析版)_02高考数学_新高考复习资料_2024年新高考资料_一轮复习资料_❤有更新第八章平面解析几何
重难点突破04轻松搞定圆锥曲线离心率十九大模型(十九大题型)(解析版)_02高考数学_新高考复习资料_2024年新高考资料_一轮复习资料_❤有更新第八章平面解析几何
重难点突破04轻松搞定圆锥曲线离心率十九大模型(十九大题型)(解析版)_02高考数学_新高考复习资料_2024年新高考资料_一轮复习资料_❤有更新第八章平面解析几何
重难点突破04轻松搞定圆锥曲线离心率十九大模型(十九大题型)(解析版)_02高考数学_新高考复习资料_2024年新高考资料_一轮复习资料_❤有更新第八章平面解析几何
重难点突破04轻松搞定圆锥曲线离心率十九大模型(十九大题型)(解析版)_02高考数学_新高考复习资料_2024年新高考资料_一轮复习资料_❤有更新第八章平面解析几何
重难点突破04轻松搞定圆锥曲线离心率十九大模型(十九大题型)(解析版)_02高考数学_新高考复习资料_2024年新高考资料_一轮复习资料_❤有更新第八章平面解析几何
重难点突破04轻松搞定圆锥曲线离心率十九大模型(十九大题型)(解析版)_02高考数学_新高考复习资料_2024年新高考资料_一轮复习资料_❤有更新第八章平面解析几何
重难点突破04轻松搞定圆锥曲线离心率十九大模型(十九大题型)(解析版)_02高考数学_新高考复习资料_2024年新高考资料_一轮复习资料_❤有更新第八章平面解析几何
重难点突破04轻松搞定圆锥曲线离心率十九大模型(十九大题型)(解析版)_02高考数学_新高考复习资料_2024年新高考资料_一轮复习资料_❤有更新第八章平面解析几何
重难点突破04轻松搞定圆锥曲线离心率十九大模型(十九大题型)(解析版)_02高考数学_新高考复习资料_2024年新高考资料_一轮复习资料_❤有更新第八章平面解析几何
重难点突破04轻松搞定圆锥曲线离心率十九大模型(十九大题型)(解析版)_02高考数学_新高考复习资料_2024年新高考资料_一轮复习资料_❤有更新第八章平面解析几何
重难点突破04轻松搞定圆锥曲线离心率十九大模型(十九大题型)(解析版)_02高考数学_新高考复习资料_2024年新高考资料_一轮复习资料_❤有更新第八章平面解析几何
重难点突破04轻松搞定圆锥曲线离心率十九大模型(十九大题型)(解析版)_02高考数学_新高考复习资料_2024年新高考资料_一轮复习资料_❤有更新第八章平面解析几何
重难点突破04轻松搞定圆锥曲线离心率十九大模型(十九大题型)(解析版)_02高考数学_新高考复习资料_2024年新高考资料_一轮复习资料_❤有更新第八章平面解析几何
重难点突破04轻松搞定圆锥曲线离心率十九大模型(十九大题型)(解析版)_02高考数学_新高考复习资料_2024年新高考资料_一轮复习资料_❤有更新第八章平面解析几何
重难点突破04轻松搞定圆锥曲线离心率十九大模型(十九大题型)(解析版)_02高考数学_新高考复习资料_2024年新高考资料_一轮复习资料_❤有更新第八章平面解析几何
重难点突破04轻松搞定圆锥曲线离心率十九大模型(十九大题型)(解析版)_02高考数学_新高考复习资料_2024年新高考资料_一轮复习资料_❤有更新第八章平面解析几何
重难点突破04轻松搞定圆锥曲线离心率十九大模型(十九大题型)(解析版)_02高考数学_新高考复习资料_2024年新高考资料_一轮复习资料_❤有更新第八章平面解析几何
重难点突破04轻松搞定圆锥曲线离心率十九大模型(十九大题型)(解析版)_02高考数学_新高考复习资料_2024年新高考资料_一轮复习资料_❤有更新第八章平面解析几何
重难点突破04轻松搞定圆锥曲线离心率十九大模型(十九大题型)(解析版)_02高考数学_新高考复习资料_2024年新高考资料_一轮复习资料_❤有更新第八章平面解析几何
重难点突破04轻松搞定圆锥曲线离心率十九大模型(十九大题型)(解析版)_02高考数学_新高考复习资料_2024年新高考资料_一轮复习资料_❤有更新第八章平面解析几何
重难点突破04轻松搞定圆锥曲线离心率十九大模型(十九大题型)(解析版)_02高考数学_新高考复习资料_2024年新高考资料_一轮复习资料_❤有更新第八章平面解析几何
重难点突破04轻松搞定圆锥曲线离心率十九大模型(十九大题型)(解析版)_02高考数学_新高考复习资料_2024年新高考资料_一轮复习资料_❤有更新第八章平面解析几何
重难点突破04轻松搞定圆锥曲线离心率十九大模型(十九大题型)(解析版)_02高考数学_新高考复习资料_2024年新高考资料_一轮复习资料_❤有更新第八章平面解析几何
重难点突破04轻松搞定圆锥曲线离心率十九大模型(十九大题型)(解析版)_02高考数学_新高考复习资料_2024年新高考资料_一轮复习资料_❤有更新第八章平面解析几何
重难点突破04轻松搞定圆锥曲线离心率十九大模型(十九大题型)(解析版)_02高考数学_新高考复习资料_2024年新高考资料_一轮复习资料_❤有更新第八章平面解析几何
重难点突破04轻松搞定圆锥曲线离心率十九大模型(十九大题型)(解析版)_02高考数学_新高考复习资料_2024年新高考资料_一轮复习资料_❤有更新第八章平面解析几何
重难点突破04轻松搞定圆锥曲线离心率十九大模型(十九大题型)(解析版)_02高考数学_新高考复习资料_2024年新高考资料_一轮复习资料_❤有更新第八章平面解析几何
重难点突破04轻松搞定圆锥曲线离心率十九大模型(十九大题型)(解析版)_02高考数学_新高考复习资料_2024年新高考资料_一轮复习资料_❤有更新第八章平面解析几何
重难点突破04轻松搞定圆锥曲线离心率十九大模型(十九大题型)(解析版)_02高考数学_新高考复习资料_2024年新高考资料_一轮复习资料_❤有更新第八章平面解析几何
重难点突破04轻松搞定圆锥曲线离心率十九大模型(十九大题型)(解析版)_02高考数学_新高考复习资料_2024年新高考资料_一轮复习资料_❤有更新第八章平面解析几何
重难点突破04轻松搞定圆锥曲线离心率十九大模型(十九大题型)(解析版)_02高考数学_新高考复习资料_2024年新高考资料_一轮复习资料_❤有更新第八章平面解析几何
重难点突破04轻松搞定圆锥曲线离心率十九大模型(十九大题型)(解析版)_02高考数学_新高考复习资料_2024年新高考资料_一轮复习资料_❤有更新第八章平面解析几何
重难点突破04轻松搞定圆锥曲线离心率十九大模型(十九大题型)(解析版)_02高考数学_新高考复习资料_2024年新高考资料_一轮复习资料_❤有更新第八章平面解析几何
重难点突破04轻松搞定圆锥曲线离心率十九大模型(十九大题型)(解析版)_02高考数学_新高考复习资料_2024年新高考资料_一轮复习资料_❤有更新第八章平面解析几何
重难点突破04轻松搞定圆锥曲线离心率十九大模型(十九大题型)(解析版)_02高考数学_新高考复习资料_2024年新高考资料_一轮复习资料_❤有更新第八章平面解析几何
重难点突破04轻松搞定圆锥曲线离心率十九大模型(十九大题型)(解析版)_02高考数学_新高考复习资料_2024年新高考资料_一轮复习资料_❤有更新第八章平面解析几何
重难点突破04轻松搞定圆锥曲线离心率十九大模型(十九大题型)(解析版)_02高考数学_新高考复习资料_2024年新高考资料_一轮复习资料_❤有更新第八章平面解析几何
重难点突破04轻松搞定圆锥曲线离心率十九大模型(十九大题型)(解析版)_02高考数学_新高考复习资料_2024年新高考资料_一轮复习资料_❤有更新第八章平面解析几何
重难点突破04轻松搞定圆锥曲线离心率十九大模型(十九大题型)(解析版)_02高考数学_新高考复习资料_2024年新高考资料_一轮复习资料_❤有更新第八章平面解析几何
重难点突破04轻松搞定圆锥曲线离心率十九大模型(十九大题型)(解析版)_02高考数学_新高考复习资料_2024年新高考资料_一轮复习资料_❤有更新第八章平面解析几何
重难点突破04轻松搞定圆锥曲线离心率十九大模型(十九大题型)(解析版)_02高考数学_新高考复习资料_2024年新高考资料_一轮复习资料_❤有更新第八章平面解析几何
重难点突破04轻松搞定圆锥曲线离心率十九大模型(十九大题型)(解析版)_02高考数学_新高考复习资料_2024年新高考资料_一轮复习资料_❤有更新第八章平面解析几何

文档信息

文档格式
docx
文档大小
5.312 MB
文档页数
87 页
上传时间
2026-04-21 06:36:17

文档内容

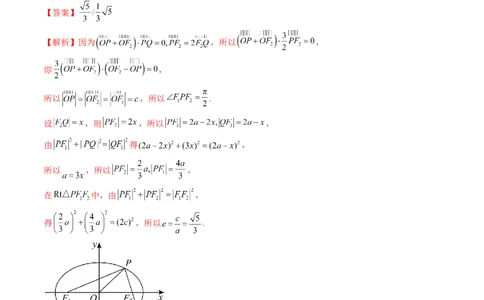
重难点突破04 轻松搞定圆锥曲线离心率十九大模型 目录 资料整理【淘宝店铺:向阳百分百】求离心率范围的方法 一、建立不等式法: 1、利用曲线的范围建立不等关系. 2、利用线段长度的大小建立不等关系. 为椭圆 的左、右焦点, 为椭圆上 的任意一点, ; 为双曲线 的左、右焦点, 为双曲线上的 任一点, . 3、利用角度长度的大小建立不等关系. 为椭圆 的左、右焦点, 为椭圆上的动点, 若 ,则椭圆离心率 的取值范围为 . 4、利用题目不等关系建立不等关系. 5、利用判别式建立不等关系. 6、利用与双曲线渐近线的斜率比较建立不等关系. 7、利用基本不等式,建立不等关系. 二、函数法: 1、根据题设条件,如曲线的定义、等量关系等条件建立离心率和其他一个变量的函数关系式; 2、通过确定函数的定义域; 3、利用函数求值域的方法求解离心率的范围. 三、坐标法: 由条件求出坐标代入曲线方程建立等量关系. 题型一:建立关于 和 的一次或二次方程与不等式 例1.(2023·全国·高三专题练习)在平面直角坐标系xOy中,已知椭圆 与双曲线 共焦点,双曲线 实轴的两顶点将椭圆 的长轴三等分,两曲线的交点与两焦点共圆,则双曲线 的离心率为( ) A. B.2 C. D. 【答案】C 【解析】设双曲线 的实半轴长为a,由双曲线 实轴的两顶点将椭圆 的长轴三等分,可得椭圆的长半 轴为3a,半焦距为c,设P为椭圆与双曲线在第一象限的交点,设 , ,则 ,可 得 , 资料整理【淘宝店铺:向阳百分百】由题意P在以 为直径的圆上,所以 , 所以可得 ,即离心率 , 故选:C 例2.(2023·湖南·高三校联考阶段练习)已知椭圆 的左、右焦点分别为 ,经 过 的直线交椭圆 于 两点, 为坐标原点,且 ,则椭圆 的离心率 为 . 【答案】 / 【解析】因为 ,所以 , 即 , 所以 ,所以 . 设 ,则 ,所以 , 由 得 , 所以 ,所以 , 在 中,由 , 得 ,所以 . 故答案为: . 例3.(2023·海南海口·高三统考期中)已知双曲线 的左顶点为A,右焦点为 ,过点A的直线l与圆 相切,与C交于另一点B,且 ,则C的离心 资料整理【淘宝店铺:向阳百分百】率为( ) A.3 B. C.2 D. 【答案】A 【解析】显然圆 的圆心为 ,半径为 ,令直线l与圆相切的切点为 ,连接 , 则 ,有 ,而 ,又 ,因此 ,解得 , 所以双曲线C的离心率为 . 故选:A 变式1.(2023·贵州·校联考模拟预测)已知右焦点为 的椭圆 : 上的三点 , , 满足直线 过坐标原点,若 于点 ,且 ,则 的离心率是( ) A. B. C. D. 【答案】A 【解析】设椭圆左焦点为 ,连接 , , , 设 , ,结合椭圆对称性得 , 由椭圆定义得 , ,则 . 因为 , , 则四边形 为平行四边形, 则 ,而 ,故 , 则 ,即 , 整理得 ,在 中, , 即 ,即 , 资料整理【淘宝店铺:向阳百分百】∴ ,故 . 故选:A 变式2.(2023·福建龙岩·福建省龙岩第一中学校考模拟预测)已知双曲线 : 的右焦 点为 ,过 分别作 的两条渐近线的平行线与 交于 , 两点,若 ,则 的离心率为 【答案】 / 【解析】如图所示: 设直线方程为 与双曲线方程 联立, 解得 , 因为 , 所以 , 即 ,即 , 解得 , 故答案为: 变式3.(2023·湖北·高三校联考阶段练习)双曲线 的左焦点为F,直线 与双曲 线C的右支交于点D,A,B为线段 的两个三等分点,且 (O为坐标原点),则双曲 资料整理【淘宝店铺:向阳百分百】线C的离心率为 . 【答案】 【解析】由题意得 ,取 中点 ,连接 ,设双曲线C的右焦点为 ,连接 , 因为 ,所以 , 又A,B为线段 的两个三等分点,所以 ,即 为 的中点, 又 为 的中点,所以 ,故 , 设 ,则 ,又 , 由勾股定理得 ,则 , 由双曲线定义得 ,即 ①, 在Rt 中,由勾股定理得 , 即 ②, 由①得 ,两边平方得 , 解得 或 (负值舍去), 将 代入②得 ,故离心率为 . 故答案为: 变式4.(2023·河南开封·统考模拟预测)已知 是双曲线 的右顶点,点 在 上, 为 的左焦点,若 的面积为 ,则 的离心率为 . 【答案】 资料整理【淘宝店铺:向阳百分百】【解析】由题设知: ,则 , 所以 且 ,易知: , 又 ,故 ,且 , 所以 ,则 , 化简得 ,解得 或 (舍), 综上, ,故 ,则离心率为 . 故答案为: 变式5.(2023·辽宁沈阳·东北育才学校校考一模)如图,在底面半径为1,高为6的圆柱内放置两个球, 使得两个球与圆柱侧面相切,且分别与圆柱的上下底面相切.一个与两球均相切的平面斜截圆柱侧面,得到 的截线是一个椭圆.则该椭圆的离心率为 . 【答案】 【解析】如图所示: 资料整理【淘宝店铺:向阳百分百】由题意可得 ,所以 , 又因为 ,结合 可知 , 所以 ,而 ,即 , 所以 ,所以离心率 . 故答案为: . 变式6.(2023·陕西西安·校考三模)已知双曲线 : 的左焦点为 ,过 的直线 与圆 相切于点 ,与双曲线的右支交于点 ,若 ,则双曲线 的离心率为 . 【答案】 【解析】由题知,记右焦点为 ,过 做 如图所示, 与圆 相切, , , 资料整理【淘宝店铺:向阳百分百】, , 为 中点, , 故 ,且相似比为 , 即 , , , , , 在双曲线 中,有 , , , , 为直角三角形, , 即 , 化简可得 ,上式两边同时平方,将 代入可得 , 则 ,即离心率 . 故答案为: 变式7.(2023·河北·高三校联考期末)双曲线 : 的左焦点为 ,右顶点为 ,过 且垂直于 轴的直线交 的渐近线于点 , 恰为 的角平分线,则 的离心率为 . 【答案】2 【解析】设 ,作出图像,如下图: 根据题意易知 ,且 ,又 , 所以由勾股定理可得: , 又 恰为 的角平分线, 资料整理【淘宝店铺:向阳百分百】所以根据角平分线性质定理可得: , ,又 , , ,即 , ,即 , 又 , 所以解得: . 故答案为: . 题型二:圆锥曲线第一定义 例4.(2023·湖南株洲·高三校考阶段练习)已知 分别为双曲线 的左、右焦 点,过原点 的直线 与 交于 两点(点A在第一象限),延长 交 于点 ,若 ,则双曲线 的离心率为 . 【答案】 【解析】由题意 关于原点对称,又 也关于原点对称,所以四边形 是平行四边形,所以 ,所以 为等边三角形, 则 ,则 ,由双曲线的定义,得 , 所以 ,则 . 故答案为: . 资料整理【淘宝店铺:向阳百分百】例5.(2023·山西大同·高三统考开学考试)已知椭圆 的左、右焦点分别为 , , 点 为 上关于坐标原点对称的两点,且 ,且四边形 的面积为 ,则 的离心率 为 . 【答案】 【解析】因为点 为 上关于坐标原点对称的两点,且 , 所以四边形 为矩形,即 , 所以 , 由椭圆定义与勾股定理知: , 所以 ,所以 ,所以 , 即C的离心率为 . 故答案为: 例6.(2023·全国·高三专题练习)已知椭圆 的上、下焦点分别为 、 ,焦距为 ,与坐标轴不垂直的直线 过 且与椭圆 交于 、 两点,点 为线段 的中点,若 ,则椭圆 的离心率为 . 【答案】 / 【解析】因为点 为线段 的中点, ,则 , 所以, 为等腰直角三角形, 资料整理【淘宝店铺:向阳百分百】设 ,则 , 由椭圆的定义可得 , 所以, , 所以, , 由勾股定理可得 ,即 , 整理可得 ,因此,该椭圆的离心率为 . 故答案为: . 变式8.(2023·全国·高三专题练习) , 是椭圆E: 的左,右焦点,点M为椭圆 E上一点,点N在x轴上,满足 , ,则椭圆E的离心率为 . 【答案】 【解析】因为 , 所以 ,则 是 的角平分线, 所以 , 又因为 , 所以 ,设 , 由椭圆定义得 , 即 ,解得 , 资料整理【淘宝店铺:向阳百分百】则 , 则 , 所以 ,则 , 故答案为: 变式9.(2023·四川巴中·高三统考开学考试)已知双曲线 的左、右焦点分别为 ,过 斜率为 的直线与 的右支交于点 ,若线段 恰被 轴平分,则 的离心率为( ) A. B. C.2 D.3 【答案】C 【解析】如图,设 交y轴与A,A为 的中点, 因为O为 的中点,故 为 的中位线, 则 ,而 ,则 , 因为直线 的斜率为 ,故 中, , 故设 ,则 , 结合双曲线定义以及P在双曲线右支上,即有 , 则 , 故选:C 变式10.(2023·内蒙古赤峰·高三统考开学考试)已知 , 分别为双曲线Ε: 的 左、右焦点,过原点O的直线l与E交于A,B两点(点A在第一象限),延长 交E于点C,若 , ,则双曲线E的离心率为( ) 资料整理【淘宝店铺:向阳百分百】A. B.2 C. D. 【答案】A 【解析】结合双曲线的对称性可知, , , 所以 为等边三角形,则 ,则 . 由双曲线的定义,得 ,所以 , , 则 . 故选:A 变式11.(2023·广东·高三校联考阶段练习)已知双曲线C: ( , ),斜率为 的 直线l过原点O且与双曲线C交于P,Q两点,且以PQ为直径的圆经过双曲线的一个焦点,则双曲线C的 离心率为( ) A. B. C. D. 【答案】B 【解析】设双曲线C的左焦点 ,右焦点为 ,P为第二象限上的点, 连接PF, ,QF, , 根据双曲线的性质和直线l的对称性知,四边形 为平行四边形. 因为以PQ为直径的圆经过双曲线的一个焦点, 所以 ,即四边形 为矩形, 由直线l的斜率为 ,得 , 又 ,则 是等边三角形,所以 . 在 中, ,则 ,故 , 又由双曲线定义知 ,所以 , 资料整理【淘宝店铺:向阳百分百】则 . 故选:B. 变式12.(2023·河南·统考模拟预测)已知双曲线 的上焦点为 ,点P在双曲线的下 支上,若 ,且 的最小值为7,则双曲线E的离心率为( ) A.2或 B.3或 C.2 D.3 【答案】D 【解析】设双曲线 的下焦点为 ,可知 , 则 ,即 , 则 , 当且仅当 三点共线时,等号成立, 由题意可得 ,且 , 因为 在 上单调递增,且 , 所以方程 ,且 ,解得 , 则 ,所以双曲线E的离心率为 . 故选:D. 变式13.(2023·全国·高三专题练习)双曲线具有光学性质,从双曲线一个焦点发出的光线经过双曲线镜 资料整理【淘宝店铺:向阳百分百】面反射,其反射光线的反向延长线经过双曲线的另一个焦点.若双曲线 的左、右焦 点分别为 ,从 发出的光线经过图中的A,B两点反射后,分别经过点C和D,且 ,则E的离心率为( ) A. B. C. D. 【答案】B 【解析】由题意知延长 则必过点 ,如图: 由双曲线的定义知 , 又因为 ,所以 , 因为 ,所以 , 设 ,则 ,因此 , 从而由 得 ,所以 , 则 , , , 又因为 ,所以 , 资料整理【淘宝店铺:向阳百分百】即 ,即 , 故选:B. 变式14.(2023·甘肃酒泉·统考三模)已知双曲线 的右焦点为 ,过点 的直线 与双曲线 的右支交于 , 两点,且 ,点 关于原点 的对称点为点 ,若 , 则双曲线 的离心率为( ) A. B. C. D. 【答案】D 【解析】设双曲线的左焦点为 ,连接 , , ,如图所示, 又因为 ,所以 , 所以四边形 为矩形, 设 ,则 , 由双曲线的定义可得: , , 又因为 为直角三角形, 所以 ,即 ,解得 , 所以 , , 又因为 为直角三角形, , 所以 ,即: , 所以 ,即 . 故选:D. 变式15.(2023·山西吕梁·统考二模)已知双曲线 : ( , )的左、右焦点分别为 , ,直线 与 交于 , 两点, ,且 的面积为 ,则 的离心率是( ) 资料整理【淘宝店铺:向阳百分百】A. B. C.2 D.3 【答案】B 【解析】如图,若 在第一象限,因为 ,所以 , 由图形的对称性知四边形 为矩形,因为 的面积为 ,所以 , 又因为 ,所以 , , 在 中, ,解得 . 故选:B 题型三:圆锥曲线第二定义 例7.(2023·全国·高三专题练习)古希腊数学家欧几里得在《几何原本》中描述了圆锥曲线的共性,并给 出了圆锥曲线的统一定义,他指出,平面内到定点的距离与到定直线的距离的比是常数 的点的轨迹叫做 圆锥曲线;当 时,轨迹为椭圆;当 时,轨迹为抛物线;当 时,轨迹为双曲线.则方程 表示的圆锥曲线的离心率 等于( ) A. B. C. D.5 【答案】B 【解析】因为 , 所以 , 表示点 到定点 的距离与到定直线 的距离比为 , 所以 . 故选:B 资料整理【淘宝店铺:向阳百分百】例8.(2023·北京石景山·高三专题练习)已知双曲线 的左、右焦点分别为 , 为 左支上一点, 到左准线的距离为 ,若 、 、 成等比数列,则其离心率的取值范围是( ) A. , B. , C. , D. , 【答案】D 【解析】 , ,即 ①, 又 ②. 由①②解得: , , 又在焦点三角形 中: , 即: ,即 , 解得: , 又 , , 故选:D. 例9.(2023·全国·高三专题练习)已知双曲线 的右焦点为 ,过 且斜率为 的直线交 于 、 两点,若 ,则 的离心率为( ) A. B. C. D. 【答案】B 【解析】设双曲线 的右准线为 , 过 、 分别作 于 , 于 , 于 , 如图所示: 资料整理【淘宝店铺:向阳百分百】因为直线 的斜率为 , 所以直线 的倾斜角为 , ∴ , , 由双曲线的第二定义得: , 又∵ , ∴ , ∴ 故选:B 题型四:圆锥曲线第三定义(斜率之积) 例10.(2023·云南曲靖·高三校联考阶段练习)已知双曲线 : 虚轴的一个顶点为 ,直线 与 交于 , 两点,若 的垂心在 的一条渐近线上,则 的离心率为 . 【答案】 【解析】如图,设 的垂心为 ,则有 , 不妨设 ,则 , 因为 在渐近线 上,所以 , 直线 与 交于 , 两点, 所以 ,解得 , 所以 资料整理【淘宝店铺:向阳百分百】又因为 , 所以 , 整理得, ,所以 , 故答案为: . 例11.(2023·陕西西安·西安市大明宫中学校考模拟预测)已知椭圆C: 的焦距为 2c,左焦点为F,直线l与C相交于A,B两点,点P是线段AB的中点,P的横坐标为 .若直线l与直 线PF的斜率之积等于 ,则C的离心率为 . 【答案】 / 【解析】 , 设 , 因为点P是线段AB的中点,P的横坐标为 , 所以 , 则 , 由直线l与C相交于A,B两点, 得 , 两式相减得 , 资料整理【淘宝店铺:向阳百分百】即 , 所以 , 即 ,所以 , 则 , 所以 , 所以离心率 . 故答案为: . 例12.(2023·山东济南·高三统考开学考试)已知椭圆 : 的上顶点为 ,两个焦点 为 , ,线段 的垂直平分线过点 ,则椭圆的离心率为 . 【答案】 / 【解析】 如图,设 的垂直平分线与 交于点 , 由题, , , ,则 , 资料整理【淘宝店铺:向阳百分百】, , , ,化简得, , 由 ,解得 , ,即 . 故答案为: . 变式16.(2023·山东青岛·高三统考期末)已知双曲线 与直线 相交于 , 两点,点 为双曲线 上的一个动点,记直线 , 的斜率分别为 , ,若 ,且双曲线 的 右焦点到其一条渐近线的距离为1,则双曲线 的离心率为 . 【答案】 【解析】设点 , , ,则 且 , 两式相减,得 ,所以 , 因为 ,所以 ,所以 , 所以双曲线的渐近线方程为 ,即 , 因为焦点 到渐近线 的距离为 , 所以 ,可得 ,又因为 ,所以 , 所以双曲线的离心率 . 故答案为: 变式17.(2023·山东·高三校联考开学考试)如图,A, 分别是椭圆 的左、右顶 点,点 在以 为直径的圆 上(点 异于A, 两点),线段 与椭圆 交于另一点 ,若直线 的 斜率是直线 的斜率的4倍,则椭圆 的离心率为( ) 资料整理【淘宝店铺:向阳百分百】A. B. C. D. 【答案】C 【解析】设 ,易知 , 则 , , 又 , 所以 . 故选:C 题型五:利用数形结合求解 例13.(2023·广西·模拟预测)如图1所示,双曲线具有光学性质:从双曲线右焦点发出的光线经过双曲 线镜面反射,其反射光线的反向延长线经过双曲线的左焦点.若双曲线 的左、右焦 点分别为 ,从 发出的光线经过图2中的 两点反射后,分别经过点 和 ,且 , ,则双曲线 的离心率为( ) A. B. C. D. 资料整理【淘宝店铺:向阳百分百】【答案】B 【解析】如图,由 ,有 , 可得 ,可得 ,有 . 在Rt 中,由 , 不妨设 ,则 ,由勾股定理得 , 又由双曲线的定义可得 , , 根据 可得 , 解得 ,所以 , 在Rt 中, ,可得 , 故双曲线 的离心率为 . 故选:B. 例14.(2023·河北秦皇岛·高三校联考开学考试)已知 是椭圆 的两个焦点, 点 在 上,若 的离心率 ,则使 为直角三角形的点 有( )个 A.2 B.4 C.6 D.8 【答案】D 【解析】由 可得 ,即 ,可得 , 因此以 为直径作圆与 必有四个不同的交点, 因此 中以 的三角形有四个, 除此之外以 为直角, 为直角的 各有两个, 资料整理【淘宝店铺:向阳百分百】所以存在使 为直角三角形的点 共有8个. 故选:D 例15.(2023·湖北武汉·高三武汉市第六中学校联考阶段练习)过双曲线 的左焦 点F作 的一条切线,设切点为T,该切线与双曲线E在第一象限交于点A,若 ,则双 曲线E的离心率为( ) A. B. C. D. 【答案】C 【解析】令双曲线 的右焦点为 ,半焦距为c,取线段 中点 ,连接 , 因为 切圆 于 ,则 ,有 , 因为 ,则有 , , 而 为 的中点,于是 ,即 , , 在 中, ,整理得 , 所以双曲线E的离心率 . 故选:C 变式18.(2023·云南昆明·高三昆明一中校考阶段练习)已知点 是椭圆 上的一点, 是 的两个焦点,若 ,则椭圆 的离心率的取值范围是( ) A. B. C. D. 【答案】D 【解析】由已知,以 为直径的圆与椭圆相交,所以 , 所以 , 资料整理【淘宝店铺:向阳百分百】故选:D. 题型六:利用正弦定理 例16.(2023·全国·高三专题练习)已知 , 分别为椭圆 的两个焦点,P是椭圆 E上的点, ,且 ,则椭圆E的离心率为( ) A. B. C. D. 【答案】B 【解析】由题意及正弦定理得: , 令 ,则 , ,可得 , 所以椭圆的离心率为: . 故选:B 例17.(2023·全国·高三专题练习)过椭圆 的左、右焦点 , 作倾斜角分别为 和 的两条直线 , .若两条直线的交点P恰好在椭圆上,则椭圆的离心率为( ) A. B. C. D. 【答案】C 【解析】在 中,由正弦定理可得 所以 , 所以该椭圆的离心率 , 故选:C. 例18.(2023·江苏·扬州中学高三开学考试)已知椭圆 的左、右焦点分别为 , ,若椭圆上存在点 (异于长轴的端点),使得 ,则该椭圆离心率 的取 值范围是______. 资料整理【淘宝店铺:向阳百分百】【答案】 【解析】由已知,得 ,由正弦定理,得 , 所以 . 由椭圆的几何性质,知 , 所以 且 , 所以 且 , 即 且 , 结合 ,可解得 . 故答案为: . 变式19.(2023·广西南宁·南宁市武鸣区武鸣高级中学校考二模)设 、 分别为椭圆 的左、右焦点,椭圆上存在点M, , ,使得离心率 , 则e取值范围为 . 【答案】 【解析】由 , ,设 , ,在 中,由正弦定理有: , 离心率 ,则 :解得: , 由于 ,得 , 显然成立, 由 有 ,即 ,得 , 所以椭圆离心率取值范围为 . 故答案为: . 资料整理【淘宝店铺:向阳百分百】变式20.(2023·江西吉安·高三吉安一中校考开学考试)点P是双曲线 : ( , ) 和圆 : 的一个交点,且 ,其中 , 是双曲线 的两个焦点,则双曲 线 的离心率为 . 【答案】 / 【解析】 由题中条件知,圆的直径是双曲线的焦距,则 , ∴ , , , . 故答案为: 变式21.(2023·全国·高三专题练习)已知椭圆 与双曲线 共焦点,F、F 分别 1 2 为左、右焦点,曲线 与 在第一象限交点为 ,且离心率之积为1.若 ,则该双 曲线的离心率为 . 【答案】 【解析】设焦距为2c 在三角形PF F 中,根据正弦定理可得 1 2 因为 ,代入可得 资料整理【淘宝店铺:向阳百分百】,所以 在椭圆中, 在双曲线中, 所以 即 所以 因为椭圆与双曲线的离心率乘积为1 即 ,即 所以 化简得 ,等号两边同时除以 得 ,因为 即为双曲线离心率 所以若双曲线离心率为e,则上式可化为 由一元二次方程求根公式可求得 因为双曲线中 所以 题型七:利用余弦定理 例19.(2023·福建福州·高三福建省福州第八中学校考阶段练习)已知双曲线 的 左、右焦点分别为 ,P是C右支上一点,线段 与C的左支交于点M.若 ,且 ,则 的离心率为 . 【答案】 【解析】因为点 是 右支上一点,线段 与 的左支交于点 ,且 , , 所以 为等边三角形,所以 由双曲线定义得 , 又由 ,解得 , 则 且 , 资料整理【淘宝店铺:向阳百分百】在 中,由余弦定理得 , 整理得 ,所以双曲线的离心率为 . 故答案为: . 例20.(2023·江苏淮安·高三统考开学考试)椭圆 的左、右焦点分别为 ,上 顶点为A,直线 与椭圆C交于另一点B,若 ,则椭圆C的离心率为 . 【答案】 【解析】由椭圆的性质可得 ,设 ,在 中根据余弦定理结合椭圆的定义可得 , 即 , 整理可得 ,即 ,故 . 又 ,故 , , 故 ,即 , , 故 ,故离心率 . 资料整理【淘宝店铺:向阳百分百】故答案为: 例21.(2023·河北唐山·模拟预测)已知 是椭圆 的左,右焦点, 上两点 满足 ,则 的离心率为 . 【答案】 【解析】如图, 因为 ,所以可设 , 又 ,所以 , 由椭圆定义, ,即 , 又 ,即B点为短轴端点, 所以在 中, , 又在 中, , 解得 或 (舍去). 资料整理【淘宝店铺:向阳百分百】故答案为: 变式22.(2023·广东湛江·高三校联考阶段练习)已知双曲线 的离心率为2,左、 右顶点分别为 ,右焦点为 ,点 在 的右支上,且满足 ,则 ( ) A. B.1 C. D.2 【答案】A 【解析】由题意得 , ,则 , , 由双曲线的对称性,不妨设点 在第一象限, 当 时, ,得 ,则 ,即 , 所以 , , , 在 中,由余弦定理得 , 因为 为锐角,所以 , 所以 , 故选:A 变式23.(2023·河南·校联考二模)已知双曲线 的左、右焦点分别是 , ,P 是双曲线C上的一点,且 , , ,则双曲线C的离心率是( ) A.7 B. C. D. 资料整理【淘宝店铺:向阳百分百】【答案】B 【解析】设双曲线C的半焦距为 ,由题意,点P在双曲线C的右支上, , ,由余 弦定理得 ,解得 ,即 , ,根据双曲线定义得 ,解得 ,故双曲线C的离心率 . 故选:B 变式24.(2023·浙江·高三校联考阶段练习)已知椭圆 的左、右焦点分别为 , , 点 在 上,且 ,直线 与 交于另一点 ,与 轴交于点 ,若 ,则 的离心 率为( ) A. B. C. D. 【答案】D 【解析】如图,因为 ,所以点 是 的中点, 连接 ,由 ,得 , 设 ,则 , , . 由余弦定理得 , 即 ,整理得 , 则 ,故 . 故选:D 变式25.(2023·江西抚州·高三黎川县第二中学校考开学考试)已知双曲线C: 的右 焦点F的坐标为 ,点P在第一象限且在双曲线C的一条渐近线上,O为坐标原点,若 , ,则双曲线C的离心率为( ) A. B.2 C. D.3 资料整理【淘宝店铺:向阳百分百】【答案】B 【解析】由题意知点P在第一象限且在双曲线C: 的一条渐近线上, 设渐近线的倾斜角为 ,则 ,即 , 结合 ,可得 , 结合题意可知 ,故 , 又 , , 在 中利用余弦定理得 , 即 , 即 ,即 , 故 ,解得 或 (舍去), 故选:B 变式26.(2023·广西百色·高三贵港市高级中学校联考阶段练习)已知椭圆C: 的左、 右焦点分别为 , ,点P在C上,若 , ,则C的离心率为 . 【答案】 / 【解析】 , ,O是 的中点,所以 , 故由 得 , 因为 , ,所以 , 在 中, , 资料整理【淘宝店铺:向阳百分百】在 中, , ∴ ,即 , 则 ,离心率为 . 故答案为: 变式27.(2023·广东深圳·高三校联考期中)设 , 是双曲线C: 的左、右焦点, 过 的直线与C的左、右两支分别交于A,B两点,点M在x轴上, , 平分 ,则C 的离心率为( ) A. B. C. D. 【答案】C 【解析】 可知, ,得 设 ,则 ,由双曲线的定义可知: . 因为 平分 ,所以 ,故 , 资料整理【淘宝店铺:向阳百分百】又 , 即有 , , , , , 在 , 中,由余弦定理可得, , , 由 , 可得 . 故选:C. 变式28.(2023·云南·高三云南师大附中校考阶段练习)已知双曲线C: 的左、右 焦点分别为 , ,O为坐标原点,过 作C的一条渐近线的垂线,垂足为M,且 ,则C的 离心率为( ) A. B.2 C. D. 【答案】C 【解析】双曲线C的左焦点 ,渐近线 的方程为 , 由点到直线的距离公式可得 , 由勾股定理得 , 在 中, ,所以 , 在 中, , , , , 由余弦定理得 , 化简得 ,即 ,因此,双曲线C的离心率为 , 故选:C 资料整理【淘宝店铺:向阳百分百】题型八:内切圆问题 例22.(2023·四川成都·高三成都七中校考阶段练习)双曲线 其左、右焦点分别为 ,倾斜角为 的直线 与双曲线H在第一象限交于点P,设 内切圆半径为r,若 ,则双曲线H的离心率的取值范围为 . 【答案】 【解析】设 内切圆 与 分别相切于点 ,则 , 且 , 所以 ,因为直线 的倾斜角为 , 所以 ,所以 , 因为 , 由双曲线的定义可知, ,所以 , 即 ,所以 , 过点 作 轴于点 ,设 , 则 , 由双曲线的焦半径公式可得: , 则 ,因为 ,所以 , 则 ,即 ,化简可得: , 资料整理【淘宝店铺:向阳百分百】则双曲线H的离心率的取值范围为 , 故答案为: . 例23.(2023·全国·高三对口高考)椭圆 的四个顶点 构成菱形的内切圆恰好过 焦点,则椭圆的离心率 . 【答案】 【解析】由题设,内切圆半径为 ,故 , 所以 ,则 ,即 , 所以 ,( 舍),故 . 故答案为: . 例24.(2023·广东深圳·校考二模)已知椭圆 的左、右焦点分别为 、 , P为椭圆上一点(异于左右顶点), 的内切圆半径为r,若r的最大值为 ,则椭圆的离心率为 . 【答案】 / . 【解析】设内切圆的圆心为 ,连接 , 资料整理【淘宝店铺:向阳百分百】, 由题意可得: , 所以当 取到最大值 时, 有最大值,且最大值为 , 所以 ,整理可得: , 两边同时平方可得: , 所以 ,所以 ,解得: 或 (舍去). 故答案为: 变式29.(2023·湖南长沙·高三长沙一中校考阶段练习)双曲线 的左,右焦点分别 为 , ,右支上有一点M,满足 , 的内切圆与y轴相切,则双曲线C的离心率为 . 【答案】 / 【解析】内切圆Q分别与 , , , 轴切于点S,T,N,P 则四边形 、 都为正方形, 设内切圆半径为 ,由圆的切线性质, 则 ,则 ,① 又因为 ,② 且双曲线定义得, ,③ 由①、②、③得 , 所以 , 从而 , 由勾股定理, ,所以 ,解得 . 资料整理【淘宝店铺:向阳百分百】故答案为: 变式30.(2023·全国·高三专题练习)已知椭圆 的左、右焦点分别为 , ,点 是 上一点,点 是直线 与 轴的交点, 的内切圆与 相切于 点 ,若 ,则椭圆 的离心率 . 【答案】 【解析】 设内切圆与AM切于Q,与 切于P,由切线性质知 , , , 由对称性知 , 所以 ,即 , 所以 , 所以 . 故答案为: 变式31.(2023·全国·高三专题练习)已知椭圆 : 的左、右焦点分别是 , ,斜 率为 的直线 经过左焦点 且交C于A,B两点(点A在第一象限),设 的内切圆半径为 , 资料整理【淘宝店铺:向阳百分百】的内切圆半径为 ,若 ,则椭圆的离心率 . 【答案】 【解析】如图所示,由椭圆定义可得 , , 设 的面积为 , 的面积为 ,因为 , 所以 ,即 , 设直线 ,则联立椭圆方程与直线 ,可得 , 由韦达定理得: , 又 ,即 化简可得 ,即 , 即 时,有 . 故答案为: 变式32.(2023·福建泉州·高三校考阶段练习)已知椭圆 的左、右焦点分别是 , ,斜率为 的直线 经过左焦点 且交 于 , 两点(点 在第一象限),设 的内切圆半径为 , 的内切圆半径为 ,若 ,则椭圆的离心率 . 资料整理【淘宝店铺:向阳百分百】【答案】 【解析】如图所示,由椭圆定义可得 , , 设 的面积为 , 的面积为 ,因为 , 所以, ,即 , 设直线 ,则联立椭圆方程与直线 ,可得 , 所以, , 令 ,则 , 当 时,有 . 故答案为: 变式33.(2023·山东聊城·统考一模) 是椭圆 的两个焦点, 是椭圆 上异于顶点的一点, 是 的内切圆圆心,若 的面积等于 的面积的3倍,则椭圆 的离心率为 . 【答案】 /0.5 【解析】 资料整理【淘宝店铺:向阳百分百】由于椭圆关于原点对称,不妨设点 在 轴上方.设点 纵坐标为 ,点 纵坐标为 ,内切圆半径为 , 椭圆长轴长为 ,焦距为 , 则 ,得 ,又 , 即 ,又 ,化简得 ,即 , 解得 ,可得离心率为 . 故答案为: . 题型九:椭圆与双曲线共焦点 例25.(2023·全国·高三专题练习)椭圆与双曲线共焦点 , ,它们在第一象限的交点为 ,设 ,椭圆与双曲线的离心率分别为 , ,则( ) A. B. C. D. 【答案】B 【解析】设椭圆的长轴长为 ,双曲线的实轴长为 ,交点 到两焦点的距离分别为 ,焦 距为 ,利用余弦定理得到 ,再根据椭圆和双曲线的定义,得到 , 代入求解.设椭圆的长轴长为 ,双曲线的实轴长为 , 交点 到两焦点的距离分别为 ,焦距为 , 则 , 又 , ,故 , , 所以 , 资料整理【淘宝店铺:向阳百分百】化简得 , 即 . 故选:B 例26.(2023·全国·高三专题练习)椭圆与双曲线共焦点 , ,它们的交点 对两公共焦点 , 张的 角为 .椭圆与双曲线的离心率分别为 , ,则 A. B. C. D. 【答案】B 【解析】设椭圆的长半轴为 ,双曲线的实半轴为 ,半焦距为 ,设 , , ,椭 圆与双曲线的离心率分别为 , ,由余弦定理可得, ,即 ,即 ①, 在椭圆中,由定义得 , ①化简可得 ,即 ,等式两边 同除 ,得 ,即 ② 在双曲线中,由定义得 ,①化简可得 ,即 ,等式两 边同除 ,得 ,即 ③ 联立②③得 ,即 , 故选B 例27.(多选题)(2023·全国·高三专题练习)如图,P是椭圆 与双曲线 在第一象限的交点,且 共焦点 的离心率分别为 ,则下列结论不正确的是( ) 资料整理【淘宝店铺:向阳百分百】A. B.若 ,则 C.若 ,则 的最小值为2 D. 【答案】ACD 【解析】依题意, ,解得 ,A不正确; 令 ,由余弦定理得: , 当 时, ,即 ,因此 ,B正确; 当 时, ,即 ,有 , 而 ,则有 ,解得 ,C不正确; , ,于是得 , 解得 ,而 ,因此 ,D不正确. 故选:ACD 变式34.(多选题)(2023·全国·高三专题练习)如图, 是椭圆 与双曲线 ( )在第一象限的交点,且 共焦点 的离心率分别 为 ,则下列结论正确的是( ) 资料整理【淘宝店铺:向阳百分百】A. B.若 ,则 C.若 ,则 的最小值为2 D. 【答案】AB 【解析】对A:由椭圆和双曲线的定义: ,故 , 故A正确; 对B:在 中,由余弦定理: 即 ,故 时, ,故B正确; 对C: 时, ,由 (当且仅当 时等号成立), ,所以等号取不到,故C错误; 对D:对△ ,将其视作是椭圆中的焦点三角形, 则由余弦定理可得 , 解得 ,故 , 同理,将△ 视作双曲线中的焦点三角形,则 , 则 ,故D错误. 资料整理【淘宝店铺:向阳百分百】故选:AB. 变式35.(多选题)(2023·全国·高三专题练习)如图, 是椭圆 与双曲线 在第一象限的交点,且 共焦点 的离心率分别为 ,则下列结论正确的是( ) A. B.若 ,则 C.若 ,则 的最小值为2 D. 【答案】ABD 【解析】由椭圆和双曲线的定义得: ,解得 , ,A正确; 在 中,由余弦定理得: , 整理得 , ,即 , 当 时, ,即 ,B正确; 当 时, , , 当且仅当 时取“=”,而 ,C不正确; 在椭圆中, ,即 , 在双曲线中, ,即 , 资料整理【淘宝店铺:向阳百分百】于是得 ,而 ,则 ,D正确. 故选:ABD 变式36.(2023·新疆·统考三模)在 中, , , ,椭圆 和双曲线 以A,B 为公共焦点且都经过点C,则 与 的离心率之和为 . 【答案】 / 【解析】如图所示, 在△ABC中,由 , , ,得 , 所以 , 由题意可得椭圆与双曲线的焦距为 , 又因为椭圆的 ,双曲线的 , 所以两个曲线的离心率之和为: , 故答案为: . 题型十:利用最大顶角 例28.(2023·全国·高二课时练习)已知椭圆 : ,点 , 是长轴的两个端点,若 椭圆上存在点 ,使得 ,则该椭圆的离心率的取值范围是( ) A. B. C. D. 【答案】A 资料整理【淘宝店铺:向阳百分百】【解析】如图: 当P在上顶点时, 最大,此时 , 则 , 所以 , 即 , , 所以 , 则 , 所以椭圆的离心率的取值范围是 , 故选:A 例29.(2023·全国·高二专题练习)设A,B是椭圆C: 长轴的两个端点,若C上存在点M满足 ∠AMB=120°,则椭圆C的离心率的取值范围是( ) A. B. C. D. 【答案】B 【解析】当椭圆的焦点在 轴上时, 资料整理【淘宝店铺:向阳百分百】由椭圆的对称性得 ,所以 , 所以 , 所以椭圆的离心率 , 因为椭圆的离心率 . 当椭圆的焦点在 轴上时,同理可得 . 综合得 . 故选:B 例30.(2023·全国·模拟预测)已知椭圆 ,点 是 上任意一点,若圆 上存在点 、 ,使得 ,则 的离心率的取值范围是( ) A. B. C. D. 【答案】C 【解析】连接 ,当 不为椭圆的上、下顶点时,设直线 、 分别与圆 切于点A、B, , 资料整理【淘宝店铺:向阳百分百】∵存在 、 使得 ,∴ ,即 , 又 ,∴ , 连接 ,则 ,∴ . 又 是 上任意一点,则 , 又 ,∴ , 则由 ,得 , 又 ,∴ . 故选:C. 变式37.(2023·四川成都·高三树德中学校考开学考试)已知 、 是椭圆的两个焦点,满足 的点M总在椭圆内部,则椭圆离心率的取值范围是( ) A. B. C. D. 【答案】A 【解析】设椭圆的半长轴长、半短轴长、半焦距分别为 , , 点的轨迹是以原点 为圆心,半焦距 为半径的圆, 又 点总在椭圆内部, 该圆内含于椭圆,即 , , , . 资料整理【淘宝店铺:向阳百分百】故选:A. 题型十一:基本不等式 例31.(2023·全国·高三专题练习)设椭圆 的右焦点为 ,椭圆 上的两点 , 关于原点对你,且满足 , ,则椭圆 的离心率的取值范围为( ) A. B. C. D. 【答案】B 【解析】如图所示: 设椭圆的左焦点 ,由椭圆的对称性可知,四边形 为平行四边形, 又 ,即 ,所以四边形 为矩形, , 设 , ,在直角 中, , , 得 ,所以 ,令 ,得 , 又 ,得 ,所以 , 所以 ,即 ,所以 所以椭圆 的离心率的取值范围为 , 故选:B 资料整理【淘宝店铺:向阳百分百】例32.(2023·江苏南京·高三阶段练习)设 、 分别是椭圆 : 的左、右焦点, 是椭圆 准线上一点, 的最大值为60°,则椭圆 的离心率为( ) A. B. C. D. 【答案】A 【解析】由题意可设直线 , 的倾斜角分别为 , , 由椭圆的对称性不妨设 为第一象限的点,即 , 则 , ,因为 , 所以 , 所以 ,则 ,解得 , 故选:A. 例33.(2023·山西运城·高三期末)已知点 为椭圆 的左顶点, 为坐标原点,过椭 圆的右焦点F作垂直于x轴的直线l,若直线l上存在点P满足 ,则椭圆离心率的最大值 ______________. 【答案】 【解析】由对称性不妨设P在x轴上方,设 , , ∴ 资料整理【淘宝店铺:向阳百分百】当且仅当 取等号, ∵直线l上存在点P满足 ∴ 即 , ∴ ,即 , 所以 , 故椭圆离心率的最大值为 . 故答案为: . 题型十二:已知 范围 例34.(2023·四川省南充市白塔中学高三开学考试)已知 、 分别为椭圆 的左、 右焦点, 为右顶点, 为上顶点,若在线段 上(不含端点)存在不同的两点 ,使得 ,则椭圆 的离心率的取值范围为( ) A. B. C. D. 【答案】D 【解析】易知点 、 、 、 ,则线段 的方程为 , 资料整理【淘宝店铺:向阳百分百】在线段 上取一点 ,满足 ,则 , , , 所以, , 整理可得 , 由题意可知,关于 的方程 在 时有两个不等的实根, 则 ,可得 ,可得 , 所以, . 故选:D. 例35.(2023·全国·高二专题练习)已知 , 是椭圆 : 的左右焦点, 若椭圆上存在一点 使得 ,则椭圆 的离心率的取值范围为( ) A. B. C. D. 【答案】B 【解析】设点 , ,因为 , 所以 ,即 , 结合 可得 ,所以 . 故选:B. 例36.(2023·全国·高三开学考试)设 , 分别是椭圆 的左、右焦点,若椭圆E 资料整理【淘宝店铺:向阳百分百】上存在点P满足 ,则椭圆E离心率的取值范围( ) A. B. C. D. 【答案】B 【解析】设 ,由椭圆的方程可得 , , , 则 ,即 , 由P在椭圆上可得 ,所以 , 所以可得 ,所以 , 由 ,所以 ,整理可得: , , 可得: . 故选:B 题型十三: 例37.(2023·江苏·海安县实验中学高二阶段练习)已知椭圆 : 的左、右焦点分别 为 , ,若椭圆 上存在一点 ,使得 ,则椭圆 的离心率的取值范围为 ( ) A. B. C. D. 【答案】C 【解析】在 中,由正弦定理可得 , 又由 ,即 ,即 , 资料整理【淘宝店铺:向阳百分百】设点 ,可得 , 则 ,解得 , 由椭圆的几何性质可得 ,即 , 整理得 ,解得 或 , 又由 ,所以椭圆的离心率的取值范围是 . 故选:C. 例38.(2023·浙江湖州·高二期中)已知椭圆 的左右焦点分别为F,F,离心率为 1 2 e,若椭圆上存在点P,使得 ,则该离心率e的取值范围是( ) A. B. C. D. 【答案】A 【解析】令 ,则根据椭圆的焦半径公式可得 , 所以根据题意可得 , 整理可得 , 所以 ,因为P在椭圆上, 所以 ,即 , 因为 ,所以 , 即 ,解得 , 而椭圆离心率范围为 ,故 . 故选:A 例39.(2023·全国·高二课时练习)已知椭圆 上存在点 ,使得 ,其中 , 分别为椭圆的左、右焦点,则该椭圆的离心率的取值范围是( ) A. B. C. D. 【答案】D 资料整理【淘宝店铺:向阳百分百】【解析】由椭圆的定义得 ,又∵ ,∴ , , 而 ,当且仅当点 在椭圆右顶点时等号成立, 即 ,即 ,则 ,即 . 故选:D. 题型十四:中点弦 例40.(2023·全国·高三开学考试)已知双曲线 与斜率为1的直线交于A,B两点, 若线段AB的中点为 ,则C的离心率 ( ) A. B. C. D. 【答案】C 【解析】法一:设 ,则 , 所以 ,又AB的中点为 , 所以 ,所以 ,由题意知 , 所以 ,即 ,则C的离心率 .故A,B,D错误. 故选:C. 法二:直线AB过点 ,斜率为1,所以其方程为 ,即 , 代入 并整理得 , 因为 为线段AB的中点,所以 ,整理得 , 所以C的离心率 .故A,B,D错误. 故选:C. 例41.(2023·全国·高三专题练习)已知椭圆 : 的左焦点为 ,过 作一条倾斜角 为 的直线与椭圆 交于 , 两点, 为线段 的中点,若 ( 为坐标原点),则椭圆 的离心率为( ) 资料整理【淘宝店铺:向阳百分百】A. B. C. D. 【答案】B 【解析】设 , , ,由题意得 , ,两式相减,得 ,因为 为线段 的中点,且直线 的倾斜角为 ,所以 .设 ,则 ,过 作 轴,垂足为 ,则 , ,由题易知 位于第二象限,所以 ,所以 ,得 ,所以 ,所以 . 故选:B 例42.(2023·全国·高三专题练习)已知椭圆 ( )的右焦点为 ,离心率为 ,过点 的直线 交椭圆于 , 两点,若 的中点为 ,则直线 的斜率为( ) A. B. C. D.1 【答案】A 【解析】设 , ,则 的中点坐标为 , 由题意可得 , , 将 , 的坐标的代入椭圆的方程: , 作差可得 , 所以 , 又因为离心率 , ,所以 , 所以 ,即直线 的斜率为 , 故选:A. 资料整理【淘宝店铺:向阳百分百】题型十五:已知焦点三角形两底角 例43.(2023·广西·江南中学高二阶段练习)已知 , 分别是椭圆 : 的左右两 个焦点,若在 上存在点 使 ,且满足 ,则椭圆的离心率为( ) A. B. C. D. 【答案】B 【解析】在 中 ,且满足 ,所以 , ,所以 、 ,所以 ,所以 ; 故选:B 例44.(多选题)(2023·湖南·高二期末)已知双曲线 的左、右焦点分别为 , 双曲线上存在点 (点 不与左、右顶点重合),使得 ,则双曲线 的离心率的可能取 值为 ( ) A. B. C. D.2 【答案】BC 【解析】∵ ,则离心率 ,则排除A; 记 , , , 则 , 由正弦定理结合分比定理可知: , 则 , 所以B,C是正确的,D不正确. 故选:BC. 例45.(2023·全国·高三专题练习)已知双曲线 的左、右焦点分别为 , 为双 曲线右支上的一点,若 在以 为直径的圆上,且 ,则该双曲线离心率的取值范围 为( ) 资料整理【淘宝店铺:向阳百分百】A. B. C. D. 【答案】D 【解析】 在以 为直径的圆上, , , , , , 由双曲线定义知: ,即 , ; , , , 则 , , 即双曲线离心率的取值范围为 . 故选:D. 题型十六:利用渐近线的斜率 例46.(2023·云南红河·高三开远市第一中学校校考开学考试)已知双曲线 的右焦 点为 ,直线 与双曲线 交于 两点,与双曲线 的渐近线交于 两点,若 , 则双曲线 的离心率是 . 【答案】 / 【解析】由双曲线方程可得其渐近线方程为: , 直线 为双曲线的通径,则 由 得 ,则 , 由 得 ,则 由 得: 即 资料整理【淘宝店铺:向阳百分百】所以 , 所以离心率 故答案为: 例47.(2023·四川内江·高三期末)已知双曲线 的左右焦点分别为 、 ,过点 的直线 与双曲线 的渐近线交于 两点,点 在第一象限, 两点到 轴的距离 之和为 ,若以 为直径的圆过线段 的中点,则双曲线 的离心率的平方为 . 【答案】 【解析】由题意可设:直线 , , , 中点 , 两点到 轴的距离之和为 , ; 由 得: , , 以 为直径的圆的方程为 , , 解得: 或 (舍); ,解得: ; , 资料整理【淘宝店铺:向阳百分百】,即 , . 故答案为: . 例48.(2023·河南信阳·高三信阳高中校考阶段练习)已知双曲线 的一条渐近线被 圆 截得的弦长为 ,则双曲线 的离心率为 . 【答案】 / 【解析】双曲线 的渐近线的方程为 . 圆 的标准方程为: , 故该圆的圆心为 ,半径为2, 而圆心到渐近线的距离为 , 故渐近线被该圆截得的弦长为 , 整理得到: 或 , 而 ,故 ,故离心率为 . 故答案为: . 变式38.(2023·全国·镇海中学校联考模拟预测)已知 是双曲线 的左焦点, 是 的右顶 点,过点 作 轴的垂线交双曲线的一条渐近线于点 ,连接 交另一条渐近线于点 .若 , 则双曲线 的离心率为 . 【答案】2 【解析】如下图所示: 资料整理【淘宝店铺:向阳百分百】易知 ,则过点 作 轴的垂线方程为 , 不妨设 与渐近线 交于点 ,则可得 , 又 可得, 为 的中点,即 ; 又 在另一条渐近线 上,即 ,解得 ; 所以双曲线 的离心率为 . 故答案为:2 变式39.(2023·四川成都·校考模拟预测)已知双曲线 的左、右焦点分别为 , 点 是 的一条渐近线上的两点,且 ( 为坐标原点), .若 为 的左顶点, 且 ,则双曲线 的离心率为 【答案】 【解析】设双曲线的焦距为 ,因为 ,所以 ,所以 关于原点对称,又 ,所以四边形 为平行四边形, 又 ,所以四边形 为矩形,因为以 为直径的圆的方程为 , 不妨设 所在的渐近线方程为 ,则 , 由 ,解得 或 ,不妨设 , 因为 为双曲线的左顶点,所以 , 所以 , 又 ,由余弦定理得 , 资料整理【淘宝店铺:向阳百分百】即 ,整理得 , 所以离心率 . 故答案为: . 变式40.(2023·黑龙江哈尔滨·哈尔滨市第六中学校校考三模)已知 , 分别为双曲线C: 的左、右焦点,过 作C的两条渐近线的平行线,与渐近线交于 两点.若 ,则C的离心率为 . 【答案】 / 【解析】根据双曲线C: 的对称性以及其两条渐近线 关于x轴对称, 不妨设M在第一象限, 可知点 关于x轴对称,则 , 设 ,则 , 即 ,则 , 由题意得直线 的方程为 , 资料整理【淘宝店铺:向阳百分百】联立 ,即得 ,故 , 则 , 所以C的离心率为 , 故答案为: 变式41.(2023·山东菏泽·高三统考期末)已知 为原点,双曲线 上有一点 ,过 作两 条渐近线的平行线,且与两渐近线的交点分别为 ,平行四边形 的面积为1,则双曲线的离心率 为 . 【答案】 【解析】设 ,则 ,渐近线方程为 ,点P到直线 距离为 , 由 及 得 ,所以平行四边形OBPA面积为 离心率为 变式42.(2023·全国·高三专题练习)已知F是椭圆 : ( )的右焦点,A为椭圆 的下顶点,双曲线 : ( , )与椭圆 共焦点,若直线 与双曲线 的一条渐 近线平行, , 的离心率分别为 , ,则 的最小值为 . 【答案】 【解析】设 的半焦距为c( ),则 ,又 , 所以 ,又直线 与 的一条渐近线平行, 所以 ,所以 , 所以 , 资料整理【淘宝店铺:向阳百分百】所以 , 所以 , 又 , 当且仅当 ,即 , 时等号成立, 即 的最小值为 . 故答案为: 变式43.(2023·安徽安庆·安庆一中校考三模)过双曲线 : 的右焦点 作双曲线一 条渐近线的垂线,垂足为 ,且与另一条渐近线交于点 ,若 ,则双曲线 的离心率是 ( ) A. B. 或 C. D. 【答案】B 【解析】 如图①,当 时,设 ,则 ,设 ,双曲线的渐近线方程为 , 所以 ,在 中, ,设 , , ,因为 ,所以 , 又 ,所以 ,所以 , , , , 则 ,则 ,且 即 ,解得 ,所以 资料整理【淘宝店铺:向阳百分百】如图②,当 时,设 , ,设 ,则 , , 在 中, , 设 , , ,因为 ,所以 , 又 ,所以 ,所以 , , , , 则 , , ,所以 ,则 ,所以 ,即 ,解得 ,所以 . 故选:B 变式44.(2023·江西九江·统考一模)已知双曲线 ( ),过点 作 的一条渐 近线 的垂线,垂足为 ,过点 作 轴的垂线交 于点 ,若 与 的面积相等( 为坐标原 点),则 的离心率为( ) A. B. C. D. 【答案】C 【解析】 与 的面积相等, 为 的中点, 故 为等腰直角三角形, , , , 即 , , , 故选:C. 变式45.(2023·重庆渝中·高三重庆巴蜀中学校考阶段练习)已知 为双曲线 的 资料整理【淘宝店铺:向阳百分百】一个焦点,过 平行于 的一条渐近线的直线交 于点 , ( 为坐标原点),则双曲线 的离心率为 . 【答案】 【解析】设点 坐标为 ,过 作一条与 平行的直线交 于点 , 则根据题意有 , 解得: , 双曲线的离心率 , 双曲线 的离心率为 , 同理 坐标是 或者作一条与 平行的直线也可以得到离心率为 . 故答案为: . 题型十七:坐标法 例49.(2023·陕西咸阳·武功县普集高级中学校考模拟预测)双曲线 : 的左、右焦 点分别为 , ,过 作 的垂线,交双曲线于 , 两点, 是双曲线的右顶点,连接 , , 并延长分别交 轴于点 , .若点 在以 为直径的圆上,则双曲线 的离心率为 . 【答案】 【解析】由 得 , 不妨设 ,而 , 所以直线 的方程为 , 资料整理【淘宝店铺:向阳百分百】令 得 ,则 ,同理可求得 , 所以以 为直径的圆的方程为 , 将 代入上式得: , 即 ,则 . 故答案为: 例50.(2023·安徽·高三校联考阶段练习)如图,椭圆 : ( )的右焦点为F,离心率 为e,点P是椭圆上第一象限内任意一点且 , , .若 ,则离 心率e的最小值是 . 【答案】 【解析】∵点P是 上第一象限内任意一点且 ,∴ ,设直线OP的斜率为k, 则 . 资料整理【淘宝店铺:向阳百分百】由 可得 ,故 ,∴ , ∵ ,故 , ∴ ,解得 , ∵ 对任意的 恒成立,故 , 整理得到 对任意的 恒成立, 故只需 ,即 ,即 ,故离心率e最小值为 . 故答案为: 例51.(2023·山东·高三校联考阶段练习)已知双曲线 ( , ),直线 的斜率为 ,且过点 ,直线 与 轴交于点 ,点 在 的右支上,且满足 ,则 的离心率为 ( ) A. B.2 C. D. 【答案】D 【解析】由题意知直线 的方程为 ,令 ,得 ,所以 . 又因为 ,不妨设 ,所以有 , 解得 ,所以 ,将其代入双曲线方程 , 化简得 ,解得 或 (舍去), 资料整理【淘宝店铺:向阳百分百】所以 的离心率 . 故选:D. 变式46.(2023·全国·高三专题练习)已知椭圆 : 的右焦点为 ,过点 作倾斜角 为 的直线交椭圆 于 、 两点,弦 的垂直平分线交 轴于点P,若 ,则椭圆 的离心率 . 【答案】 /0.5 【解析】因为倾斜角为 的直线过点 , 设直线 的方程为: , , 线段 的中点 , 联立 ,化为 , , , 的垂直平分线为: , 令 , 解得 , . , ,则 , 椭圆 的离心率为 , 故答案为: . 变式47.(2023·湖南永州·统考一模)已知椭圆 的左、右焦点分别是 ,点 资料整理【淘宝店铺:向阳百分百】是椭圆 上位于第一象限的一点,且 与 轴平行,直线 与 的另一个交点为 ,若 , 则 的离心率为( ) A. B. C. D. 【答案】B 【解析】由 令 ,得 , 由于 与 轴平行,且 在第一象限,所以 . 由于 , 所以 , 即 ,将 点坐标代入椭圆 的方程得 , , , 所以离心率 . 故选:B 变式48.(2023·四川南充·高三四川省南充高级中学校考阶段练习)已知双曲线 的 左右焦点 点 关于一条渐近线的对称点在另一条渐近线上,则双曲线C的离心率是( ) A. B. C.2 D.3 【答案】C 资料整理【淘宝店铺:向阳百分百】【解析】双曲线 的右焦点 , 设点 关于一条渐近线 的对称点为 , 由题意知, ,解得 . 又知 ,解得 , 所以 ,即 , 所以双曲线C的离心率是 故选:C. 变式49.(2023·重庆沙坪坝·高三重庆一中校考开学考试)设 分别为椭圆 的左右 焦点,M为椭圆上一点,直线 分别交椭圆于点A,B,若 ,则椭圆离心率 为( ) A. B. C. D. 【答案】D 【解析】如下图所示: 易知 ,不妨设 , ,易知 ,由 可得 ,即 同理由 可得 ; 资料整理【淘宝店铺:向阳百分百】将 两点代入椭圆方程可得 ; 即 ,又 ,整理得 解得 , 所以离心率 ; 故选:D 变式50.(2023·安徽·高三宿城一中校联考阶段练习)已知椭圆C: ( )的左焦点为 ,过左焦点 作倾斜角为 的直线交椭圆于A,B两点,且 ,则椭圆C的离心率为( ) A. B. C. D. 【答案】C 【解析】设 , , ,过点 所作直线的倾斜角为 ,所以该直线斜率为 , 所以直线方程可写为 ,联立方程 , 可得 , , 根据韦达定理: , , 因为 ,即 ,所以 , 所以 , 即 ,所以 ,联立 , 资料整理【淘宝店铺:向阳百分百】可得 , . 故选:C 变式51.(2023·福建厦门·厦门一中校考模拟预测)已知 为双曲线 : 的右焦点, 平行于 轴的直线 分别交 的渐近线和右支于点 , ,且 , ,则 的离心 率为( ) A. B. C. D. 【答案】B 【解析】双曲线 : 的渐近线方程为 . 设 ,联立方程组 ,解得 . 因为 ,所以 ,即 ,可得 . 又因为点 在双曲线 上,所以 , 将 代入,可得 , 由 ,所以 ,所以 ,即 , 化简得 ,则 ,所以双曲线的离心率为 . 故选:B. 变式52.(2023·浙江杭州·高三浙江省杭州第二中学校考阶段练习)设椭圆 的左焦点 为 , 为坐标原点,过 且斜率为 的直线交椭圆于 , 两点( 在 轴上方). 关于 轴的对称点 资料整理【淘宝店铺:向阳百分百】为 ,连接 并延长交 轴于点 ,若 , , 成等比数列,则椭圆的离心率 的值为 ( ) A. B. C. D. 【答案】D 【解析】如图所示: 设 分别以OF,EF,OE为底,高为h, 则 , 因为 , , 成等比数列, 所以 ,即 , 设直线AB的方程为: , 联立 ,消去y得 , 由韦达定理得: , 直线BD的方程为: , 令 得, ,则 , 则 ,即为 , 则 ,即 , 即 , 解得 ,则 , 资料整理【淘宝店铺:向阳百分百】故选:D 变式53.(2023·陕西商洛·高三陕西省山阳中学校联考阶段练习)已知双曲线 的右 焦点为 ,以坐标原点 为圆心,线段 为半径作圆,与 的右支的一个交点为A,若 , 则 的离心率为( ) A. B.2 C. D. 【答案】D 【解析】由题意可知 ,且 为锐角, 故 , 而 ,故 , 将 代入 中, 得 ,结合 整理得 , 即 ,解得 或 , 由于双曲线离心率 ,故舍去 , 故 , 故选:D 题型十八:利用焦半径的取值范围 例52.(2023·全国·高三专题练习)已知双曲线 的左、右焦点分别为 .若双曲线 的右支上存在点 ,使 ,则双曲线 的离心率的取值 范围为___________. 资料整理【淘宝店铺:向阳百分百】【答案】 【解析】依题意,点 在双曲线的右支,P不与双曲线顶点重合, 在 中,由正弦定理得: ,因 ,于是得 , 而点P在双曲线M的右支上,即 ,从而有 , 点P在双曲线M的右支上运动,并且异于顶点,于是有 , 因此 ,而 ,整理得 ,即 , 解得 ,又 ,故有 , 所以双曲线M的离心率的取值范围为 . 故答案为: 例53.(2023·吉林长春·二模)已知双曲线 的左、右焦点分别为 , ,点P在双 曲线的右支上,且 ,则双曲线离心率的取值范围是 A. B. C. D. 【答案】B 【解析】由双曲线定义可知,, ,结合 可得 ,从而 ,又因为双曲线的离心率大于 ,所以双曲线离心率的取值范围为 ,故选 B. 例54.(2023·江苏·金沙中学高二阶段练习)设双曲线 的焦距为 ,左、右 焦点分别是 , ,点P在C的右支上,且 ,则C的离心率的取值范围是( ) A. B. C. D. 【答案】C 【解析】由条件得 ,所以 ,即 , 资料整理【淘宝店铺:向阳百分百】又因为 ,所以 , 即 ,得 , 又 ,所以 . 故选:C 变式54.(2023·全国·高三专题练习)在平面直角坐标系 中,椭圆 上存在点 , 使得 ,其中 、 分别为椭圆的左、右焦点,则该椭圆的离心率取值范围是________. 【答案】 【解析】设椭圆的焦距为 ,由椭圆的定义可得 , 解得 , , 由题意可得 ,解得 ,又 ,所以 , 所以椭圆离心率的取值范围是 . 故答案为: . 变式55.(2023·河南·信阳高中高三期末)若椭圆 上存在一点 ,使得 ,其中 分别 是的左、右焦点,则 的离心率的取值范围为______. 【答案】 【解析】 , , 又 , , 解得 ,则 . 故答案为 题型十九:四心问题 资料整理【淘宝店铺:向阳百分百】例55.(2023·全国·校联考模拟预测)已知双曲线 的左、右焦点分别为 , ,M 是双曲线C右支上一点,记 的重心为G,内心为I.若 ,则双曲线C的离心率为 . 【答案】2 【解析】如图,连接MG,MI并延长,与 分别交于点O,D, 设双曲线C的焦距为2c,由题意,得 , 因为 ,且G为重心,则 ,所以 , 因为I为 的内心,所以MD为 的平分线, 所以 ,所以 , 又 ,所以 , , 设 的内切圆半径为r,则M到x轴的距离为3r, 因为 , , 所以 ,所以 ,所以双曲线C的离心率 . 故答案为:2. 例56.(2023·全国·高三专题练习)已知 , 分别为椭圆 的左、右焦点,点P在 第一象限内, ,G为 重心,且满足 ,线段 交椭圆C于点M,若 ,则椭圆C的离心率为 . 【答案】 / 【解析】因为G为△ 重心, 是中线且满足 , 资料整理【淘宝店铺:向阳百分百】即 ,故 , 所以 , 且 , ,又 , , 在△ 中应用余弦定理得 , 所以 ,则 . 故答案为: . 例57.(2023·全国·高三专题练习)已知坐标平面xOy中,点 , 分别为双曲线 的 左、右焦点,点M在双曲线C的左支上, 与双曲线C的一条渐近线交于点D,且D为 的中点,点 I为 的外心,若O、I、D三点共线,则双曲线C的离心率为 . 【答案】 【解析】由题意知,双曲线的渐近线方程为 , , 不妨设点 在第二象限,则 , 由D为 的中点,O、I、D三点共线知直线OD垂直平分 , 则 ,有 ,且 , 解得 , ,所以 , 将 即 ,代入双曲线的方程, 得 ,化简可得 ,即 ; 当点M在第三象限时,同理可得 . 故答案为: . 变式56.(2023·全国·高三专题练习)已知点 分别为双曲线 的左、右焦点, 资料整理【淘宝店铺:向阳百分百】点A,B在C的右支上,且点 恰好为 的外心,若 ,则C的离心率为 . 【答案】 【解析】取 的中点为C,连接BC、 、 ,如图所示: 因为 ,所以 , 又C为 的中点,所以 为等腰三角形且 , 因为点 恰好为 的外心,所以点 在直线BC上,且 , 由双曲线的定义知 ,则 , 所以 为等边三角形,则 , 在 中, 即 ,化简得 , 同时除以 可得 ,解得 或 (舍去). 故答案为: 变式57.(2023·山西太原·高三山西大附中校考开学考试)已知双曲线 的左、右 焦点分别为 ,离心率为2,焦点到渐近线的距离为 .过 作直线 交双曲线 的右支于 两点, 若 分别为 与 的内心,则 的取值范围为 . 【答案】 【解析】设半焦距为 , 由题意知 , , 所以 , 资料整理【淘宝店铺:向阳百分百】所以 , 双曲线 . 记 的内切圆与边 , , 分别相切于点 , 则 横坐标相等, 则 , , , 由 , 即 , 得 , 即 , 记 的横坐标为 , 则 , 于是 ,得 , 同理内心 的横坐标也为 ,则 轴. 设直线 的倾斜角为 , 则 , 在 中, , 资料整理【淘宝店铺:向阳百分百】由于直线 与 的右支有2个交点,且一条渐近线的斜率为 ,倾斜角为 , 可得 , 即 , 可得 的范围是 . 故答案为: . 变式58.(2023·全国·高三专题练习)在平面直角坐标系中,椭圆E以两坐标轴为对称轴,左,右顶点分 别为A,B,点P为第一象限内椭圆上的一点,P关于x轴的对称点为Q,过P作椭圆的切线 ,若 , 且 的垂心恰好为坐标原点O,记椭圆E的离心率为e,则 的值为 . 【答案】 【解析】设椭圆方程为 ,则 , 设 ,故 , 因为 的垂心恰好为坐标原点O, 所以 , ,即 , 即 , , 下面证明椭圆在 处的切线方程斜率为 ,理由如下: 因为 时,故切线的斜率存在,设切线方程为 , 代入椭圆方程得: , 由 ,化简得: , 即 , 因为点 在椭圆上,所以 , , 所以 ,即 , 即 ,解得: , 资料整理【淘宝店铺:向阳百分百】所以 ,化简得: ,即 ,设 , 同除以 得: , 即 ,故 , 因为点 在椭圆上,所以 , 即 ,即 , 因为 ,所以 ,即 , 将 代入 中,可得: ,即 所以 , 设椭圆方程为 ,此时 , 同理可得: , 此时椭圆在 处的切线方程斜率为 , 所以 ,化简得: ,设 , 同除以 得: , 即 ,故 , 因为点 在椭圆上,所以 , 即 ,即 , 因为 ,所以 ,即 , 将 代入 中,可得: , 所以 (舍去); 故答案为: . 资料整理【淘宝店铺:向阳百分百】