当前位置:首页>文档>微考点6-6圆锥曲线中斜率和积与韦达定理的应用(解析版)_02高考数学_新高考复习资料_2024年新高考资料_二轮复习资料_分层练_教师版(含答案解析)

微考点6-6圆锥曲线中斜率和积与韦达定理的应用(解析版)_02高考数学_新高考复习资料_2024年新高考资料_二轮复习资料_分层练_教师版(含答案解析)

  • 2026-04-15 09:20:25 2026-04-15 08:51:54

文档预览

微考点6-6圆锥曲线中斜率和积与韦达定理的应用(解析版)_02高考数学_新高考复习资料_2024年新高考资料_二轮复习资料_分层练_教师版(含答案解析)
微考点6-6圆锥曲线中斜率和积与韦达定理的应用(解析版)_02高考数学_新高考复习资料_2024年新高考资料_二轮复习资料_分层练_教师版(含答案解析)
微考点6-6圆锥曲线中斜率和积与韦达定理的应用(解析版)_02高考数学_新高考复习资料_2024年新高考资料_二轮复习资料_分层练_教师版(含答案解析)
微考点6-6圆锥曲线中斜率和积与韦达定理的应用(解析版)_02高考数学_新高考复习资料_2024年新高考资料_二轮复习资料_分层练_教师版(含答案解析)
微考点6-6圆锥曲线中斜率和积与韦达定理的应用(解析版)_02高考数学_新高考复习资料_2024年新高考资料_二轮复习资料_分层练_教师版(含答案解析)
微考点6-6圆锥曲线中斜率和积与韦达定理的应用(解析版)_02高考数学_新高考复习资料_2024年新高考资料_二轮复习资料_分层练_教师版(含答案解析)
微考点6-6圆锥曲线中斜率和积与韦达定理的应用(解析版)_02高考数学_新高考复习资料_2024年新高考资料_二轮复习资料_分层练_教师版(含答案解析)
微考点6-6圆锥曲线中斜率和积与韦达定理的应用(解析版)_02高考数学_新高考复习资料_2024年新高考资料_二轮复习资料_分层练_教师版(含答案解析)
微考点6-6圆锥曲线中斜率和积与韦达定理的应用(解析版)_02高考数学_新高考复习资料_2024年新高考资料_二轮复习资料_分层练_教师版(含答案解析)
微考点6-6圆锥曲线中斜率和积与韦达定理的应用(解析版)_02高考数学_新高考复习资料_2024年新高考资料_二轮复习资料_分层练_教师版(含答案解析)
微考点6-6圆锥曲线中斜率和积与韦达定理的应用(解析版)_02高考数学_新高考复习资料_2024年新高考资料_二轮复习资料_分层练_教师版(含答案解析)
微考点6-6圆锥曲线中斜率和积与韦达定理的应用(解析版)_02高考数学_新高考复习资料_2024年新高考资料_二轮复习资料_分层练_教师版(含答案解析)
微考点6-6圆锥曲线中斜率和积与韦达定理的应用(解析版)_02高考数学_新高考复习资料_2024年新高考资料_二轮复习资料_分层练_教师版(含答案解析)
微考点6-6圆锥曲线中斜率和积与韦达定理的应用(解析版)_02高考数学_新高考复习资料_2024年新高考资料_二轮复习资料_分层练_教师版(含答案解析)
微考点6-6圆锥曲线中斜率和积与韦达定理的应用(解析版)_02高考数学_新高考复习资料_2024年新高考资料_二轮复习资料_分层练_教师版(含答案解析)
微考点6-6圆锥曲线中斜率和积与韦达定理的应用(解析版)_02高考数学_新高考复习资料_2024年新高考资料_二轮复习资料_分层练_教师版(含答案解析)
微考点6-6圆锥曲线中斜率和积与韦达定理的应用(解析版)_02高考数学_新高考复习资料_2024年新高考资料_二轮复习资料_分层练_教师版(含答案解析)
微考点6-6圆锥曲线中斜率和积与韦达定理的应用(解析版)_02高考数学_新高考复习资料_2024年新高考资料_二轮复习资料_分层练_教师版(含答案解析)
微考点6-6圆锥曲线中斜率和积与韦达定理的应用(解析版)_02高考数学_新高考复习资料_2024年新高考资料_二轮复习资料_分层练_教师版(含答案解析)
微考点6-6圆锥曲线中斜率和积与韦达定理的应用(解析版)_02高考数学_新高考复习资料_2024年新高考资料_二轮复习资料_分层练_教师版(含答案解析)
微考点6-6圆锥曲线中斜率和积与韦达定理的应用(解析版)_02高考数学_新高考复习资料_2024年新高考资料_二轮复习资料_分层练_教师版(含答案解析)
微考点6-6圆锥曲线中斜率和积与韦达定理的应用(解析版)_02高考数学_新高考复习资料_2024年新高考资料_二轮复习资料_分层练_教师版(含答案解析)
微考点6-6圆锥曲线中斜率和积与韦达定理的应用(解析版)_02高考数学_新高考复习资料_2024年新高考资料_二轮复习资料_分层练_教师版(含答案解析)
微考点6-6圆锥曲线中斜率和积与韦达定理的应用(解析版)_02高考数学_新高考复习资料_2024年新高考资料_二轮复习资料_分层练_教师版(含答案解析)
微考点6-6圆锥曲线中斜率和积与韦达定理的应用(解析版)_02高考数学_新高考复习资料_2024年新高考资料_二轮复习资料_分层练_教师版(含答案解析)
微考点6-6圆锥曲线中斜率和积与韦达定理的应用(解析版)_02高考数学_新高考复习资料_2024年新高考资料_二轮复习资料_分层练_教师版(含答案解析)
微考点6-6圆锥曲线中斜率和积与韦达定理的应用(解析版)_02高考数学_新高考复习资料_2024年新高考资料_二轮复习资料_分层练_教师版(含答案解析)
微考点6-6圆锥曲线中斜率和积与韦达定理的应用(解析版)_02高考数学_新高考复习资料_2024年新高考资料_二轮复习资料_分层练_教师版(含答案解析)
微考点6-6圆锥曲线中斜率和积与韦达定理的应用(解析版)_02高考数学_新高考复习资料_2024年新高考资料_二轮复习资料_分层练_教师版(含答案解析)
微考点6-6圆锥曲线中斜率和积与韦达定理的应用(解析版)_02高考数学_新高考复习资料_2024年新高考资料_二轮复习资料_分层练_教师版(含答案解析)
微考点6-6圆锥曲线中斜率和积与韦达定理的应用(解析版)_02高考数学_新高考复习资料_2024年新高考资料_二轮复习资料_分层练_教师版(含答案解析)
微考点6-6圆锥曲线中斜率和积与韦达定理的应用(解析版)_02高考数学_新高考复习资料_2024年新高考资料_二轮复习资料_分层练_教师版(含答案解析)
微考点6-6圆锥曲线中斜率和积与韦达定理的应用(解析版)_02高考数学_新高考复习资料_2024年新高考资料_二轮复习资料_分层练_教师版(含答案解析)
微考点6-6圆锥曲线中斜率和积与韦达定理的应用(解析版)_02高考数学_新高考复习资料_2024年新高考资料_二轮复习资料_分层练_教师版(含答案解析)

文档信息

文档格式
docx
文档大小
2.597 MB
文档页数
30 页
上传时间
2026-04-15 08:51:54

文档内容

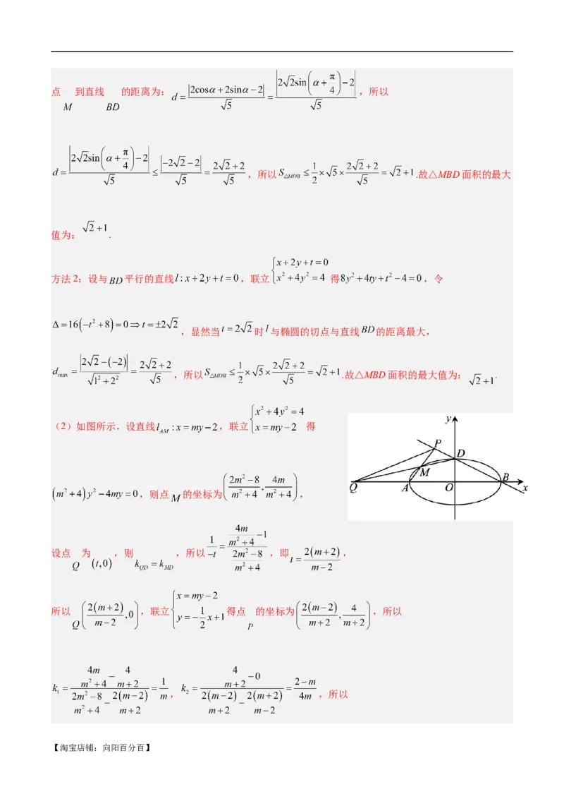
微考点 6-6 圆锥曲线中斜率和积与韦达定理的应用 【考点分析】 斜率和(积)构造与韦达定理 目前我们市面上的斜率型题目中一大类就是斜率和(积)构造,这其中主要特征就是一定点两动点,而定 点的特征又可进一步分成在坐标轴上和一般点. 倘若定点 ,在椭圆上的动点 , 那么: ① ,此时已经凑出韦达定理的形式,就无需再解点,可直 接代入韦达定理求解. ② ,这里对交叉项 的处理可进一步代入直线 方程: ,化简可得: (*),再代入韦达定理.注意,这一步代入很 重要,(*)式是一个非常简洁的结构,易于操作. ③ . 可进一步代入直线方程: ,化简可得: 【精选例题】 【例1】已知椭圆 的离心率为 ,点 在C上.过C的右焦点F的直线交C 于M,N两点. (1)求椭圆C的方程; 【淘宝店铺:向阳百分百】(2)若动点P满足 ,求动点P的轨迹方程. 【答案】(1) ;(2)x=2 【详解】(1)由题意,b=1, ,又 ,解得b=1, ,c=1.故椭圆C的方程为 . (2)直线MN的斜率存在时,设直线MN的方程为 . 设 , , .将 代入 ,得 . 于是 , .①由题意,有 ,即 .显然点 不在直线 上,∴ , 从而 .将式①代入,得 ,化简得 . 当直线MN的斜率不存在时,经检验符合题意.故满足题意的点P的轨迹方程为直线x=2. 【例2】已知点 在双曲线 上,直线 (不过点 )的斜率为 ,且交双曲线 于 、 两点. 【淘宝店铺:向阳百分百】(1)求双曲线 的方程; (2)求证:直线 、 的斜率之和为定值. 【答案】(1) ;(2)证明见解析 【详解】(1)解:将点 的坐标代入双曲线 的方程可得 ,解得 ,所以,双曲 线 的方程为 . (2)证明:由题意,设直线 的方程为 ,设 、 , 联立 可得 , ,解得 或 ,由韦达定理可得 , , 所以, .可得直线 、 的斜率之和为 . 【例3】已知 为坐标原点,椭圆 的离心率为 ,椭圆的上顶点到右顶点的距离为 . (1)求椭圆的方程; (2)若椭圆的左、右顶点分别为 、 ,过点 作直线与椭圆交于 、 两点,且 、 位于第一象 限, 在线段 上,直线 与直线 相交于点 ,连接 、 ,直线 、 的斜率分别记为 、 ,求 的值. 【淘宝店铺:向阳百分百】【答案】(1) ;(2) 【详解】(1)解:由题意知, ,椭圆的上顶点到右顶点的距离为 ,即 ,解得 , , ,因此,椭圆的方程为 . (2)解:如下图所示:不妨设 、 ,由图可知,直 线 的斜率存在,设直线 的方程为 ,因为点 , 则 ,则 ,联立 可得 , ,可得 ,即 ,解得 ,由韦达定理可得 ,解得 , 所以, ,易知 、 ,由于 在直线 上,设 , 又由于 在直线 上,则 ,所以, , 【淘宝店铺:向阳百分百】. 【例4】已知椭圆 的离心率是 ,且过点 . (1)求椭圆C的方程; (2)椭圆C的左、右顶点分别为 , ,且P,Q为椭圆C上异于 , 的点,若直线 过点 ,是 否存在实数 ,使得 恒成立.若存在,求实数 的值;若不存在,说明理由. 【答案】(1) ;(2)存在实数 ,满足题设条件 【详解】(1)由题意, , ,解得: ①.∵点 在椭圆C上,∴ ② 联立①、②,解得 , ,故所求椭圆C的标准方程是 (2)解法一:由(1)知 , .当直线 斜率不存在时, .与椭圆联立可得 , ,则 , ,故而 ,可得 ;得当直线 斜率存 在且不为0时,设 ,令 , ,则 , .联立 消去y并整理, 【淘宝店铺:向阳百分百】得 ,则由韦达定理得, ,假设存在实数 ,使得 , 则 ,即 ,整理得 , 变形为 ,则 ,即 , 即 ,即 或 ,得 或 . 当 时, .此时, , 整理得 ,解得 与题设矛盾,所以 ,所以 . 解法二:由(1)知, , .可设 , , . 联立 ,得 ,由韦达定理得: , , 所以 ,所以 故存在实数 ,满足题设条件. 【例5】已知椭圆 : 的右焦点 在直线 上, 分别为 的左、右顶 【淘宝店铺:向阳百分百】点,且 . (1)求 的标准方程; (2)已知 ,是否存在过点 的直线 交 于 , 两点,使得直线 , 的斜率之和等 于-1?若存在,求出 的方程;若不存在,请说明理由. 【答案】(1) ;(2)存在,其方程为: 【详解】(1)设右焦点 ,直线 与 轴的交点为 ,所以椭圆 右焦点 的坐标为 故在椭圆 中 ,由题意 ,结合 ,则 , 所以椭圆 的方程为: (2)当直线 的斜率为0时,显然不满足条件 ,当直线 的倾斜角不为 时,设直线 的方程为: , ,由 ,可得 , 由题意 ,则 由 ,化简可得 ,由 ,即 ,故存在满足条件的直线,直线 的方程为: 【例6】双曲线C: 的左顶点为A,焦距为4,过右焦点F作垂直于实轴的直线交双曲 【淘宝店铺:向阳百分百】线C于B,D两点,且 是直角三角形. (1)求双曲线C的标准方程; (2)M,N是C右支上的两动点,设直线AM,AN的斜率为k,k,若 ,试问:直线MN是否经过 1 2 定点?证明你的结论. 【答案】(1) ,(2)过定点,理由见解析 【详解】(1)根据题意可得 , ,半焦距 ,则 ,当 时, , ,所以 ,所以 ,由 ,得 , 所以 , ,解得 或 (舍去),所以 ,所以双曲线方程为 , (2)由题意可知直线 的斜率不为零,所以设直线 为 ,设 , 由 ,得 ,由 ,得 , 所以 ,由(1)知 ,所以 ,因为 ,所 以 ,所以 ,所以 , 化简得 ,所以 , 所以 ,化简得 ,解得 或 , 因为M,N是C右支上的两动点,所以 ,所以 ,所以直线 的方程为 ,所以直线 恒过定点 【淘宝店铺:向阳百分百】【跟踪训练】 1.已知椭圆 的左右顶点分别为 ,上顶点为 为椭圆 上异于四个顶点的任意一点,直 线 交 于点 ,直线 交 轴于点 . (1)求 面积的最大值; (2)记直线 的斜率分别为 ,求证: 为定值. 【答案】(1) ;(2)证明见解析 【详解】(1)方法1:如图所示, 由题意知, , , ,设 ,则 , 【淘宝店铺:向阳百分百】点 到直线 的距离为: ,所以 ,所以 .故△MBD面积的最大 值为: . 方法2:设与 平行的直线 ,联立 得 ,令 ,显然当 时 与椭圆的切点与直线 的距离最大, ,所以 .故△MBD面积的最大值为: . (2)如图所示,设直线 ,联立 得 ,则点 的坐标为 , 设点 为 ,则 ,所以 ,即 , 所以 ,联立 得点 的坐标为 ,所以 , ,所以 【淘宝店铺:向阳百分百】.故 为定值 . 2.已知点 为双曲线 上一点, 的左焦点 到一条渐近线的距离为 . (1)求双曲线 的标准方程; (2)不过点 的直线 与双曲线 交于 两点,若直线PA,PB的斜率和为1,证明:直线 过定点,并求该定点的坐标. 【答案】(1) ;(2)证明见解析,定点为 . 【详解】(1)设 到渐近线 ,即 的距离为 ,则 ,结合 得 ,又 在双曲线 上,所以 ,得 ,所以双曲线 的标准 方程为 . (2)联立 ,消去 并整理得 ,则 , ,即 ,设 , ,则 , , 则 ,所以 , 所以 ,所以 , 【淘宝店铺:向阳百分百】整理得 ,所以 ,所以 , 因为直线 不过 ,即 , ,所以 ,即 ,所以直线 ,即 过定点 . 3.已知椭圆 : , ,点 在椭圆 上. (1)求椭圆 的方程; (2)若过点 且不与 轴垂直的直线 与椭圆 交于 , 两点, ,证明 , 斜率之积 为定值. 解析:(1)由题意得 ,故椭圆 为 ,又点 在 上,所以 ,得 , ,故椭圆 的方程即为 ; (2)由已知直线 过 ,设 的方程为 ,联立两个方程得 ,消去 得: , 得 ,设 , ,则 , (*),因为 ,故 , 【淘宝店铺:向阳百分百】将(*)代入上式,可得: ,∴直线 与 斜率之积为定值 . 4.在平面直角坐标系中,已知两定点 , ,M是平面内一动点,自M作MN垂直于AB,垂足 N介于A和B之间,且 . (1)求动点M的轨迹 ; (2)设过 的直线交曲线 于C,D两点,Q为平面上一动点,直线QC,QD,QP的斜率分别为 , , ,且满足 .问:动点Q是否在某一定直线上?若在,求出该定直线的方程;若不在,请说明 理由. 【答案】(1) ;(2)在定直线y=8(x≠0)上. 【详解】(1)设 ,则 ,由题意知-4<x<4. ∵ ,∴ ,即 ,故动点M的轨迹 为 . (2)存在满足题意的Q,在定直线y=8(x≠0)上.理由如下: 当直线CD的斜率存在时,设直线CD的方程为y=kx+1. 设 , , ,则 , , ,由此知 . 将y=kx+1代入 ,得 ,于是 , .① 条件 即 ,也即 . 将 , 代入得 【淘宝店铺:向阳百分百】. 显然 不在直线y=kx+1上,∴ ,从而得 ,即 . 将 , 代入得 .将式①代入得 , 解得 .当直线CD的斜率不存在时,经检验符合题意.因此存在满足题意的Q,在定直线y= 8(x≠0)上. 5.设椭圆 的右焦点为F,过F的直线l与C交于A,B两点,点M的坐标为 . (1)当l与x轴垂直时,求直线AM的方程; (2)设O为坐标原点,证明:∠OMA=∠OMB. 【答案】(1) 或 .(2)证明见解析 【详解】(1)由已知得 ,直线l的方程为x=1.l的方程与C的方程联立可得 或 . ∴直线AM的方程为 或 . (2)证明:证法一(【通性通法】分类+常规联立)当 与 轴重合时, . 当 与 轴垂直时, 为 的垂直平分线,∴ .当 与 轴不重合也不垂直时,设 的方 程为 , ,则 ,直线 、 的斜率之和为 【淘宝店铺:向阳百分百】. 由 得 .将 代入 得 .∴ .则 .从而 ,故 、 的倾斜角互补,∴ .综上, . 6.设抛物线 的焦点为F,过F且斜率为1的直线l与E交于A,B两点,且 . (1)求抛物线E的方程; (2)设 为E上一点,E在P处的切线与x轴交于Q,过Q的直线与E交于M,N两点,直线PM和PN 的斜率分别为 和 .求证: 为定值. 【答案】(1) ;(2)证明见解析 【详解】(1)由题意, ,直线l的方程为 ,代入 ,得 .于是 ,∴焦点弦 ,解得p=2.故抛物线E的方程为 . (2)因 在E上,∴m=2.设E在P处的切线方程为 ,代入 ,得 .由 ,解得t=1,∴P处的切线方程为y=x+1,从而得 .易知直线MN的斜率存在,设其方程为 ,设 , .将 代 入 ,得 .于是 , ,且 , . 【淘宝店铺:向阳百分百】∴ .故 为定值2. 7.已知椭圆 经过点 ,离心率为 .过点 的直线l与椭圆E交于不同的 两点M,N. (1)求椭圆E的方程; (2)设直线AM和直线AN的斜率分别为 和 ,求 的值. 【答案】(1) ;(2) 【详解】(1)由题意, , ,且 ,解得 , .故椭圆E的方程为 . (2)当直线l的斜率存在时,设l的方程为y=kx+2,设 , . 将y=kx+2代入 ,消去y得 ;消去x得 .于是 , , , . ∴ . 【淘宝店铺:向阳百分百】当直线l的斜率不存在时, , ,此时 .综上, 1.已知 为坐标原点,过点 的动直线 与抛物线 相交于 两点. (1)求 ; (2)在平面直角坐标系 中,是否存在不同于点 的定点 ,使得 恒成立?若存在,求出 点 的坐标;若不存在,请说明理由. 【答案】(1) ;(2)存在, . 【分析】(1)设出直线 的方程,与抛物线方程联立,利用韦达定理结合数量积的坐标表示计算即得. (2)利用(1)中信息,结合斜率坐标公式列式求解即得. 【详解】(1)显然直线 不垂直于y轴,设直线 的方程为 , , 由 消去x并整理得 ,显然 ,于是 , 所以 . (2)由(1)知 , 假定存在不同于点 的定点 ,使得 恒成立,由抛物线对称性知,点 在x轴上,设 , 则直线 的斜率互为相反数,即 ,即 , 【淘宝店铺:向阳百分百】整理得 ,即 ,亦即 ,而 不恒为0,则 , 所以存在不同于点 的定点 ,使得 恒成立,点 的坐标为 . 2.设抛物线 的焦点为 ,过 且斜率为1的直线与 交于 两点,且 . (1)求抛物线 的方程; (2)已知过点 的直线 与 交于不重合的两点 ,且 ,直线 和 的斜率分别为 和 .求证: 为定值. 【答案】(1) ;(2)证明过程见解析 【分析】(1)设出直线 方程,联立抛物线方程,得到两根之和,两根之积,由焦点弦公式得到方程, 求出 ,得到抛物线方程; (2)当直线 的斜率为0时不合要求,设直线 为 ,联立抛物线方程,得到两根之和,两根之 积,求出 ,得到结论. 【详解】(1)由题意得 ,故直线 方程为 , 联立 与 得 , 设 , 则 , 则 ,所以 ,解得 , 故抛物线 的方程为 ; (2)当直线 的斜率为0时,直线 与抛物线只有1个交点,不合要求, 设直线 为 ,联立 得, , 设 , 【淘宝店铺:向阳百分百】则 , 则 , 所以 . 所以, 为定值. 【点睛】定值问题常见方法:(1)从特殊入手,求出定值,再证明这个值与变量无关; (2)直接推理计算,并在计算推理的过程中消去变量,从而得到定值. 3.已知双曲线 的左、右顶点分别为 ,点 在 上,且 . (1)求 的方程; (2)直线 与 交于 两点,记直线 的斜率分别为 ,若 ,求 的值. 【答案】(1) ;(2) 【分析】(1)将 代入,并结合 得到方程组,求出 ,, ,得到双曲线方程; (2)联立 与 ,得到两根之和,两根之积,根据根的判别式得到 的取值范围,结 合 ,变形得到 ,求出答案. 【淘宝店铺:向阳百分百】【详解】(1)由题意得 , , 因为 ,所以 , 即 ,解得 或4, 当 时, ,解得 ,满足要求, 当 时, ,无解,舍去; 所以 ; (2)联立 与 得 , 要想线 与 交于 两点,则要 , 解得 且 , 设 , , 则 , 其中 , , 故 , 因为 ,所以 , 即 , 【淘宝店铺:向阳百分百】变形为 , 即 ①, 要想①恒成立,则 ,解得 ,满足 且 , 故 . 【点睛】直线与圆锥曲线结合问题,通常要设出直线方程,与圆锥曲线联立,得到两根之和,两根之积, 再根据题目条件列出方程,或得到弦长或面积,本题中已经给出等量关系,只需代入化简整理即可. 4.已知椭圆 的离心率为 , 、 分别为椭圆 的左、右顶点, 、 分别为椭 圆 的左、右焦点, . (1)求椭圆 的方程; (2)设与 轴不垂直的直线 交椭圆 于 、 两点( 、 在 轴的两侧),记直线 , , , 的斜率分别为 , , , . (i)求 的值; (ii)若 ,求 面积的取值范围. 【答案】(1) ;(2)(i) ;(ii) 【淘宝店铺:向阳百分百】【分析】(1)结合离心率与焦点到顶点的距离计算即可得; (2)(i)设出直线,联立后消去 得与 有关的韦达定理后求解即可得; (ii)借助(i)中的结论,将 面积用未知数表达后结合换元法借助函数性质求最最值即可得. 【详解】(1)由于椭圆 的离心率为 ,故 , 又 ,所以 , , , 所以椭圆 的方程为 . (2)(i)设 与 轴交点为 ,由于直线 交椭圆C于 、 两点( 、 在 轴的两侧), 故直线 的的斜率不为 ,直线 的方程为 , 联立 ,则 , 则 , 设 , ,则 , , 又 , , 故 , 同理 . (ii)因为 ,则 , . 【淘宝店铺:向阳百分百】又直线 交与 轴不垂直可得 ,所以 ,即 . 所以 , , 于是 , , 整理得 ,解得 或 , 因为 、 在 轴的两侧,所以 , , 又 时,直线 与椭圆 有两个不同交点, 因此 ,直线 恒过点 , 此时 , , , 设 ,由直线 交与 轴不垂直可得 , 故 , 因为 在 上为减函数, 所以 面积的取值范围为 . 【点睛】本题关键在面积的表示及运算,结合换元法解决最后分式不等式的范围问题. 5.已知曲线C上的任意一点到直线 的距离是它到点 的距离的 倍. (1)求曲线C的方程; (2)设 , ,过点 的直线l在y轴的右侧与曲线C相交于A,B两点,记直线AM,BN的 【淘宝店铺:向阳百分百】斜率分别为 , ,求直线l的斜率k的取值范围以及 的值. 【答案】(1) ;(2) , 【分析】(1)设出点的坐标,根据题意计算即可得; (2)设出直线方程与两交点的坐标,将直线方程与曲线方程联立后得到与纵坐标有关的韦达定理,由交 点都在双曲线右侧计算可得斜率范围,计算 可得 ,即可得 . 【详解】(1)设 是曲线C上的任意一点,则 , 化简得 , 所以曲线C的方程为 ; (2)设 , ,直线AB的方程为 , 由 ,消去x并整理得 , 则 , , 则 , , 因为直线l在y轴的右侧与曲线C相交于A,B两点, 所以 ,即 , 所以 , 【淘宝店铺:向阳百分百】即 , 即 ,解得 , 即 ,解得 或 , 所以直线l的斜率k的取值范围是 , 又 , 即 ,所以 . 【点睛】关键点睛:求解圆锥曲线中与直线斜率有关问题时,常常将直线方程与圆锥曲线方程联立,结合 韦达定理以及斜率公式求解. 6.已知椭圆 的离心率 ,短轴长为 . (1)求椭圆 的方程; 【淘宝店铺:向阳百分百】(2)过点 且斜率不为 的动直线 与椭圆 交于 、 两点,点 是直线 上一定点,设直线 、 的斜率分别为 、 ,若 为定值,求点 的坐标. 【答案】(1) ;(2) 【分析】(1)根据已知条件可得出关于 、 、 的方程组,解出这三个量的值,即可得出椭圆 的方程; (2)设 、 、 ,设直线 的方程为 ,由根与系数的关 系可得出 ,进而可得出 ,化简 的表达式,根据 为定值可得出关于 、 的等式,结合 可求得 、 的值,即可得出点 的坐标. 【详解】(1)解:因为椭圆 的离心率 ,短轴长为 , 则 ,解得 ,故椭圆 的方程为 . (2)解:设 、 、 , 设直线 的方程为 , 【淘宝店铺:向阳百分百】由 得 , 因为 、 为方程 的两根, 所以 , 则 , 由 ,得 , 由 得 , 同理可得 , 则 , 若 为定值,则必有 , 结合点 在直线 上,即 ,解得 , 所以点 坐标为 ,则 , 综上所述,当 时, 为定值. 【点睛】方法点睛:求解直线过定点问题常用方法如下: (1)“特殊探路,一般证明”:即先通过特殊情况确定定点,再转化为有方向、有目的的一般性证明; (2)“一般推理,特殊求解”:即设出定点坐标,根据题设条件选择参数,建立一个直线系或曲线的方 程,再根据参数的任意性得到一个关于定点坐标的方程组,以这个方程组的解为坐标的点即为所求点; 【淘宝店铺:向阳百分百】(3)求证直线过定点 ,常利用直线的点斜式方程 或截距式 来证明. 7.在平面直角坐标系内,已知 两点关于原点对称,且 的坐标为 . 曲线 上的动点 满足当直 线 的斜率 都存在时, . (1)求曲线 的方程; (2)已知直线 过点 且与曲线 交于 两点,问是否存在定点 ,使得直线 关于 轴对称? 若存在,求出点 的坐标;若不存在,说明理由. 【答案】(1) ;(2)存在, 【分析】(1)由题意 ,化简并整理即可,注意 . (2)设 , ,由题意 ,即 ,将直线方程 与椭圆方程联立结合韦达定理即可求解. 【详解】(1)由题意设 ,且 , 又 ,化简并整理得 , 曲线 的方程为 . (2)假设存在 满足题意,并设 , 联立 ,得 , 则 . 因为直线 关于 轴对称,所以 , 即 , 【淘宝店铺:向阳百分百】即 对任意 成立,所以 , 即假设成立,存在定点 满足题意. 8.在平面直角坐标系 中, 是直角三角形, , ,点 , 分别在 轴和 轴 上运动,点 关于 的对称点为 . (1)求动点 的轨迹方程; (2)若过点 的直线 与点 的轨迹交于 , 两点, ,求直线 , 的斜率之和. 【答案】(1) ;(2) 【分析】(1)设 , , ,由题意可得 为 的中点,然后利用中点坐标公式可得 , ,再由 结合向量的数量积可求出动点 的轨迹方程; (2)由题意设直线 的方程为 , , ,表示出 和 ,再将直线方程代入抛 物线方程,化简后利用根与系数的关系,然后计算化简 与 的和即可. 【详解】(1)设 , , ,由点 关于 的对称点为 ,得 为 的中点, 所以 , , 即 , . 又 ,所以 ,即 , 【淘宝店铺:向阳百分百】化简,得 , 又 , 不重合,所以 , , 故动点 的轨迹方程为 . (2)由题意知直线 的斜率存在,故设直线 的方程为 , , , 则 , , 由 ,得 , 所以 , , , 所以 . 【淘宝店铺:向阳百分百】