当前位置:首页>文档>微考点6-5利用二级结论秒杀抛物线中的选填题(解析版)_02高考数学_新高考复习资料_2024年新高考资料_二轮复习资料_分层练_教师版(含答案解析)

微考点6-5利用二级结论秒杀抛物线中的选填题(解析版)_02高考数学_新高考复习资料_2024年新高考资料_二轮复习资料_分层练_教师版(含答案解析)

  • 2026-05-15 08:51:54 2026-04-15 08:50:16

文档预览

微考点6-5利用二级结论秒杀抛物线中的选填题(解析版)_02高考数学_新高考复习资料_2024年新高考资料_二轮复习资料_分层练_教师版(含答案解析)
微考点6-5利用二级结论秒杀抛物线中的选填题(解析版)_02高考数学_新高考复习资料_2024年新高考资料_二轮复习资料_分层练_教师版(含答案解析)
微考点6-5利用二级结论秒杀抛物线中的选填题(解析版)_02高考数学_新高考复习资料_2024年新高考资料_二轮复习资料_分层练_教师版(含答案解析)
微考点6-5利用二级结论秒杀抛物线中的选填题(解析版)_02高考数学_新高考复习资料_2024年新高考资料_二轮复习资料_分层练_教师版(含答案解析)
微考点6-5利用二级结论秒杀抛物线中的选填题(解析版)_02高考数学_新高考复习资料_2024年新高考资料_二轮复习资料_分层练_教师版(含答案解析)
微考点6-5利用二级结论秒杀抛物线中的选填题(解析版)_02高考数学_新高考复习资料_2024年新高考资料_二轮复习资料_分层练_教师版(含答案解析)
微考点6-5利用二级结论秒杀抛物线中的选填题(解析版)_02高考数学_新高考复习资料_2024年新高考资料_二轮复习资料_分层练_教师版(含答案解析)
微考点6-5利用二级结论秒杀抛物线中的选填题(解析版)_02高考数学_新高考复习资料_2024年新高考资料_二轮复习资料_分层练_教师版(含答案解析)
微考点6-5利用二级结论秒杀抛物线中的选填题(解析版)_02高考数学_新高考复习资料_2024年新高考资料_二轮复习资料_分层练_教师版(含答案解析)
微考点6-5利用二级结论秒杀抛物线中的选填题(解析版)_02高考数学_新高考复习资料_2024年新高考资料_二轮复习资料_分层练_教师版(含答案解析)
微考点6-5利用二级结论秒杀抛物线中的选填题(解析版)_02高考数学_新高考复习资料_2024年新高考资料_二轮复习资料_分层练_教师版(含答案解析)
微考点6-5利用二级结论秒杀抛物线中的选填题(解析版)_02高考数学_新高考复习资料_2024年新高考资料_二轮复习资料_分层练_教师版(含答案解析)
微考点6-5利用二级结论秒杀抛物线中的选填题(解析版)_02高考数学_新高考复习资料_2024年新高考资料_二轮复习资料_分层练_教师版(含答案解析)
微考点6-5利用二级结论秒杀抛物线中的选填题(解析版)_02高考数学_新高考复习资料_2024年新高考资料_二轮复习资料_分层练_教师版(含答案解析)
微考点6-5利用二级结论秒杀抛物线中的选填题(解析版)_02高考数学_新高考复习资料_2024年新高考资料_二轮复习资料_分层练_教师版(含答案解析)
微考点6-5利用二级结论秒杀抛物线中的选填题(解析版)_02高考数学_新高考复习资料_2024年新高考资料_二轮复习资料_分层练_教师版(含答案解析)
微考点6-5利用二级结论秒杀抛物线中的选填题(解析版)_02高考数学_新高考复习资料_2024年新高考资料_二轮复习资料_分层练_教师版(含答案解析)
微考点6-5利用二级结论秒杀抛物线中的选填题(解析版)_02高考数学_新高考复习资料_2024年新高考资料_二轮复习资料_分层练_教师版(含答案解析)
微考点6-5利用二级结论秒杀抛物线中的选填题(解析版)_02高考数学_新高考复习资料_2024年新高考资料_二轮复习资料_分层练_教师版(含答案解析)
微考点6-5利用二级结论秒杀抛物线中的选填题(解析版)_02高考数学_新高考复习资料_2024年新高考资料_二轮复习资料_分层练_教师版(含答案解析)
微考点6-5利用二级结论秒杀抛物线中的选填题(解析版)_02高考数学_新高考复习资料_2024年新高考资料_二轮复习资料_分层练_教师版(含答案解析)
微考点6-5利用二级结论秒杀抛物线中的选填题(解析版)_02高考数学_新高考复习资料_2024年新高考资料_二轮复习资料_分层练_教师版(含答案解析)
微考点6-5利用二级结论秒杀抛物线中的选填题(解析版)_02高考数学_新高考复习资料_2024年新高考资料_二轮复习资料_分层练_教师版(含答案解析)
微考点6-5利用二级结论秒杀抛物线中的选填题(解析版)_02高考数学_新高考复习资料_2024年新高考资料_二轮复习资料_分层练_教师版(含答案解析)
微考点6-5利用二级结论秒杀抛物线中的选填题(解析版)_02高考数学_新高考复习资料_2024年新高考资料_二轮复习资料_分层练_教师版(含答案解析)
微考点6-5利用二级结论秒杀抛物线中的选填题(解析版)_02高考数学_新高考复习资料_2024年新高考资料_二轮复习资料_分层练_教师版(含答案解析)
微考点6-5利用二级结论秒杀抛物线中的选填题(解析版)_02高考数学_新高考复习资料_2024年新高考资料_二轮复习资料_分层练_教师版(含答案解析)
微考点6-5利用二级结论秒杀抛物线中的选填题(解析版)_02高考数学_新高考复习资料_2024年新高考资料_二轮复习资料_分层练_教师版(含答案解析)
微考点6-5利用二级结论秒杀抛物线中的选填题(解析版)_02高考数学_新高考复习资料_2024年新高考资料_二轮复习资料_分层练_教师版(含答案解析)
微考点6-5利用二级结论秒杀抛物线中的选填题(解析版)_02高考数学_新高考复习资料_2024年新高考资料_二轮复习资料_分层练_教师版(含答案解析)
微考点6-5利用二级结论秒杀抛物线中的选填题(解析版)_02高考数学_新高考复习资料_2024年新高考资料_二轮复习资料_分层练_教师版(含答案解析)
微考点6-5利用二级结论秒杀抛物线中的选填题(解析版)_02高考数学_新高考复习资料_2024年新高考资料_二轮复习资料_分层练_教师版(含答案解析)
微考点6-5利用二级结论秒杀抛物线中的选填题(解析版)_02高考数学_新高考复习资料_2024年新高考资料_二轮复习资料_分层练_教师版(含答案解析)
微考点6-5利用二级结论秒杀抛物线中的选填题(解析版)_02高考数学_新高考复习资料_2024年新高考资料_二轮复习资料_分层练_教师版(含答案解析)
微考点6-5利用二级结论秒杀抛物线中的选填题(解析版)_02高考数学_新高考复习资料_2024年新高考资料_二轮复习资料_分层练_教师版(含答案解析)
微考点6-5利用二级结论秒杀抛物线中的选填题(解析版)_02高考数学_新高考复习资料_2024年新高考资料_二轮复习资料_分层练_教师版(含答案解析)
微考点6-5利用二级结论秒杀抛物线中的选填题(解析版)_02高考数学_新高考复习资料_2024年新高考资料_二轮复习资料_分层练_教师版(含答案解析)
微考点6-5利用二级结论秒杀抛物线中的选填题(解析版)_02高考数学_新高考复习资料_2024年新高考资料_二轮复习资料_分层练_教师版(含答案解析)
微考点6-5利用二级结论秒杀抛物线中的选填题(解析版)_02高考数学_新高考复习资料_2024年新高考资料_二轮复习资料_分层练_教师版(含答案解析)
微考点6-5利用二级结论秒杀抛物线中的选填题(解析版)_02高考数学_新高考复习资料_2024年新高考资料_二轮复习资料_分层练_教师版(含答案解析)
微考点6-5利用二级结论秒杀抛物线中的选填题(解析版)_02高考数学_新高考复习资料_2024年新高考资料_二轮复习资料_分层练_教师版(含答案解析)
微考点6-5利用二级结论秒杀抛物线中的选填题(解析版)_02高考数学_新高考复习资料_2024年新高考资料_二轮复习资料_分层练_教师版(含答案解析)
微考点6-5利用二级结论秒杀抛物线中的选填题(解析版)_02高考数学_新高考复习资料_2024年新高考资料_二轮复习资料_分层练_教师版(含答案解析)
微考点6-5利用二级结论秒杀抛物线中的选填题(解析版)_02高考数学_新高考复习资料_2024年新高考资料_二轮复习资料_分层练_教师版(含答案解析)
微考点6-5利用二级结论秒杀抛物线中的选填题(解析版)_02高考数学_新高考复习资料_2024年新高考资料_二轮复习资料_分层练_教师版(含答案解析)
微考点6-5利用二级结论秒杀抛物线中的选填题(解析版)_02高考数学_新高考复习资料_2024年新高考资料_二轮复习资料_分层练_教师版(含答案解析)
微考点6-5利用二级结论秒杀抛物线中的选填题(解析版)_02高考数学_新高考复习资料_2024年新高考资料_二轮复习资料_分层练_教师版(含答案解析)
微考点6-5利用二级结论秒杀抛物线中的选填题(解析版)_02高考数学_新高考复习资料_2024年新高考资料_二轮复习资料_分层练_教师版(含答案解析)
微考点6-5利用二级结论秒杀抛物线中的选填题(解析版)_02高考数学_新高考复习资料_2024年新高考资料_二轮复习资料_分层练_教师版(含答案解析)
微考点6-5利用二级结论秒杀抛物线中的选填题(解析版)_02高考数学_新高考复习资料_2024年新高考资料_二轮复习资料_分层练_教师版(含答案解析)
微考点6-5利用二级结论秒杀抛物线中的选填题(解析版)_02高考数学_新高考复习资料_2024年新高考资料_二轮复习资料_分层练_教师版(含答案解析)
微考点6-5利用二级结论秒杀抛物线中的选填题(解析版)_02高考数学_新高考复习资料_2024年新高考资料_二轮复习资料_分层练_教师版(含答案解析)
微考点6-5利用二级结论秒杀抛物线中的选填题(解析版)_02高考数学_新高考复习资料_2024年新高考资料_二轮复习资料_分层练_教师版(含答案解析)
微考点6-5利用二级结论秒杀抛物线中的选填题(解析版)_02高考数学_新高考复习资料_2024年新高考资料_二轮复习资料_分层练_教师版(含答案解析)
微考点6-5利用二级结论秒杀抛物线中的选填题(解析版)_02高考数学_新高考复习资料_2024年新高考资料_二轮复习资料_分层练_教师版(含答案解析)

文档信息

文档格式
docx
文档大小
2.641 MB
文档页数
51 页
上传时间
2026-04-15 08:50:16

文档内容

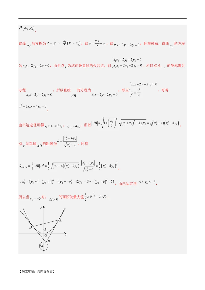
微考点 6-5 利用二级结论秒杀抛物线中的选填题 【考点目录】 考点一:抛物线中焦半径焦点弦三角形面积秒杀公式 考点二:过焦点的直线与抛物线相交坐标之间的关系秒杀公式 考点三:过焦点的两条相互垂直的弦的和及构成四边形面积最小值秒杀公式 考点四:抛物线中点弦求斜率秒杀公式 考点五:抛物线中以焦半径焦点弦为直径的圆相切问题 考点六:抛物线中阿基米德三角形相关秒杀结论 【考点分类】 考点一:抛物线中焦半径焦点弦三角形面积秒杀公式 已知倾斜角为 直线的 经过抛物线 的焦点 ,且与抛物线交于 两点,则 ① . . ② ③ , . 【精选例题】 【例1】倾斜角为 的直线 经过抛物线 的焦点 ,且与抛物线相交于A,B两点,则 ( ) A. B.4 C.6 D.8 【答案】D 【分析】根据已知条件,先求出直线 的方程,联立直线 与抛物线方程可得, ,再结合抛物 线的定义,以及韦达定理,即可求解. 【详解】 直线 的倾斜角为 , 直线 的斜率为1, 【淘宝店铺:向阳百分百】抛物线 , 焦点 , 直线 的方程为 , 设 , 联立直线与抛物线方程 ,化简整理可得, , , 由韦达定理可得, ,故 . 故选:D. 【例2】已知 是抛物线 上的两点,且直线 经过 的焦点,若 ,则 ( ) A.12 B.14 C.16 D.18 【答案】C 【分析】结合抛物线的弦长公式计算即可. 【详解】 . 故选:C. 【例3】已知抛物线 ,弦 过抛物线的焦点 且满足 ,则弦 的中点到 轴的距离为 ( ) A. B.3 C. D.4 【答案】C 【分析】根据 可得 ,再根据韦达定理即可求出 的坐标,进而可求解. 【淘宝店铺:向阳百分百】【详解】 抛物线的焦点 , 设 ,假设 , 显然弦 所在的直线的斜率存在且不等于零, 设弦 所在的直线方程为 , 联立 ,消去 可得, , 所以 , 因为 ,所以 ,则 , 所以 ,解得 ,所以 , 所以 , 所以弦 的中点的坐标为 , 所以弦 的中点 轴的距离为 , 故选:C. 【例4】已知抛物线 的焦点为 ,过点 的直线 与抛物线 交于 两点( 在第一 象限), 为坐标原点,若 ,则( ) A. 【淘宝店铺:向阳百分百】B.直线 的斜率是 C.线段 的中点到 轴的距离是 D. 的面积是 【答案】ACD 【分析】设直线 ,与抛物线方程联立,根据 、韦达定理得出 ,再由 求出 可判断A;求出 可得直线 的斜率,再由点 在第一象限 可判断B;设线段 的中点为 ,根据 求出线段 的中点到 轴的距离可判断 C;利用 求出 的面积可判断D. 【详解】由题意可得直线 的斜率不为0,则可设直线 , 联立 整理得 ,则 , 因为 ,所以 ,所以 ,所以 , 所以 ,则 ,即 ,解得 , 因为 , 所以 ,解得 ,则A正确; 对于B,因为 ,所以 ,则直线 的斜率是 ,因为点 在第一象限, 所以直线 的斜率大于0,所以直线 的斜率是 ,则B错误; 对于C,设线段 的中点为 ,则 ,即线段 的中点到 轴的距离是 ,则C正 确; 【淘宝店铺:向阳百分百】对于D,因为 ,所以 ,则 的面 积 ,故D正确. 故选:ACD. 【跟踪训练】 1.已知抛物线 的焦点为 ,过焦点 的直线 交抛物线于两点 , .若弦长 , 则直线 的斜率为 . 【答案】 【分析】设直线 的方程为 , , ,联立方程,利用韦达定理求出 , 再根据抛物线的弦长公式即可得解. 【详解】由题意,直线 的斜率不等于零, , 设直线 的方程为 , , , 联立 ,消 得 , 恒成立, 则 , 所以 , 解得 , 所以直线 的斜率为 . 故答案为: . 【淘宝店铺:向阳百分百】2.在直角坐标系 中,已知抛物线 : 的焦点为 ,过点 的倾斜角为 的直线 与 相交于 , 两点,且点 在第一象限, 的面积是 ,则( ) A. B. C. D. 【答案】BCD 【分析】联立直线与抛物线方程,利用根与系数的关系和焦半径公式求出弦长,由点到直线的距离公式结 合 的面积求解 ,从而利用焦半径公式求解 ,逐项判断即可. 【详解】抛物线 的焦点为 ,准线为 , 设过焦点的直线方程为设直线 : , , , 联立直线与抛物线方程得 消元得 , 由韦达定理可得 , ,所以 , 【淘宝店铺:向阳百分百】又点 到直线 的距离是 ,所以 ,得 ,所以 , 故选项A错误,B正确; 由 知 ,解得 , 所以 ,故选项C正确; ,故选项D正确; 故选:BCD. 3.已知直线l: 过抛物线C: 的焦点F,且与抛物线交于A,B两点,则( ) A. B. C. D.抛物线C上的动点到直线 距离的最小值为 【答案】BD 【分析】求得抛物线 的焦点代入直线 的方程,求得 ,可判定A错误;联立方程组,根据韦达定理 和抛物线的焦点弦的性质,求得 ,可判定B正确;结合抛物线的定义,求得 的值,可判 【淘宝店铺:向阳百分百】定C错误;设设 是抛物线 上的任意一点,利用点到直线的距离公式,结合二次函数的性质,可 判定D正确. 【详解】由抛物线 ,可得焦点为 , 因为 过抛物线 的焦点 ,可得 ,解得 ,所以A错误; 联立方程组 ,整理得 , 设 ,则 , , 由抛物线的焦点弦的性质,可得 ,所以B正确; 又由 ,解得 , 根据抛物线的定义,可得 , 所以 ,所以C错误; 设 是抛物线 上的任意一点,可得 , 则点 到直线 的距离为 , 当 时, ,所以D正确. 故选:BD. 4.已知直线 过抛物线 的焦点 ,且与抛物线 交于 两点,点 为 的准线 与 轴的交点,则下列结论正确的是( ) A.若 ,则 B.过 的焦点的最短弦长为4 【淘宝店铺:向阳百分百】C.当 时,直线 的倾斜角为 D.存在2条直线 ,使得 成立 【答案】AB 【分析】由拋物线的定义,可判定A正确;根据抛物线的几何性质,可判定B正确;设直线 的方程为 ,联立方程组,得到 ,结合 时,求得 ,可判定C错误; 分别求得 ,结合 ,化简代入,得到 恒成立,可判 定D错误. 【详解】由拋物线的定义可得 ,所以A正确; 当过抛物线 的焦点且与 轴垂直时弦长最短,此时弦长为4,所以B正确; 设直线 的方程为 ,联立方程组 ,整理得 , 可得 , 当 时, ,则 , , 解得 ,所以倾斜角不是 ,所以C错误; 由 ,则 , , , , 由 ,则 ,可得 ,化简可得 【淘宝店铺:向阳百分百】, 由 ,则 , 将 , 代入,则 恒成立,所以D错误. 故选:AB. 考点二:过焦点的直线与抛物线相交坐标之间的关系秒杀公式 ①抛物线 的焦点为F, 是过 的直线与抛物线的两个交点,求证: . ②一般地,如果直线 恒过定点 与抛物线 交于 两点,那么 . ③若 恒过定点 . 【精选例题】 【例1】已知抛物线 : 的的焦点为 , 、 是抛物线上两点,则下列结论正确 的是( ) A.点 的坐标为 B.若直线 过点 ,则 C.若 ,则 的最小值为 D.若 ,则线段 的中点 到 轴的距离为 【答案】BCD 【分析】由抛物线方程确定焦点坐标知A错误;直线 与抛物线方程联立,利用韦达定理可知B正确; 根据 过焦点可知最小值为通径长,知C错误;利用抛物线焦半径公式,结合中点坐标公式可求得 点 【淘宝店铺:向阳百分百】纵坐标,知D正确. 【详解】抛物线 ,即 , 对于A,由抛物线方程知其焦点在 轴上,焦点为 ,故A错误; 对于B,依题意,直线 斜率存在,设其方程为 , 由 ,消去 整理得 , 则 , , ,故B正确; 对于C,若 ,则直线 过焦点, 所以 , 所以当 时, , 所以 的最小值为 ,故C正确; 对于D,因为 ,则 , 即 点纵坐标为 ,所以 到 轴的距离为 ,故D正确. 故选:BCD. 【例2】已知抛物线 的焦点为 ,过 且倾斜角为 的直线 交抛物线于 , 两点( ) A.直线 的方程为 B.原点到直线 的距离为 C. D. 【答案】ABC 【分析】先求得抛物线的焦点坐标,根据点斜式、点到直线的距离公式、弦长公式、根与系数关系等知识 确定正确答案. 【淘宝店铺:向阳百分百】【详解】抛物线 的焦点为 , 所以过 且倾斜角为 的直线 的斜率为 , 所以直线 的方程为 ,A选项正确, 原点到直线 的距离为 ,B选项正确. 由 消去 并化简得 , 设 ,则 , 所以 ,C选项正确. , 所以D选项错误. 故选:ABC 【例3】已知抛物线C: 的焦点为F,点A,B是抛物线C上不同两点,下列说法正确的是( ) A.若AB中点M的横坐标为3,则 的最大值为8 B.若AB中点M的纵坐标为2,则直线AB的倾斜角为 C.设 ,则 的最小值为 D.若 ,则直线AB过定点 【答案】ABD 【分析】对于A:利用A,B,F三点的位置与 的关系及抛物线的定义求 的最大值;对 于B:利用点A,B在抛物线上及直线的斜率公式,将斜率转化为A,B两点纵坐标间的关系;对于C:利 用点A在抛物线上及两点间的距离公式,将 转化为点A纵坐标的代数式,结合二次函数的性质求 【淘宝店铺:向阳百分百】的最小值;对于D:设直线AB的方程,与抛物线方程联立,转化为关于点A,B纵坐标的一元二次方程, 结合 及一元二次方程根与系数的关系求解直线AB方程中的参数,确定直线AB所过的定点 【详解】设 . 对于选项A:若AB中点M的横坐标为3,则 , 可得 ,当且仅当A,B,F三点共线时,等号成立, 所以 的最大值为8,故A正确; 对于选项B:若AB中点M的纵坐标为2,则 , 由题意可知直线AB的斜率存在,则 , 所以直线AB的倾斜角为 ,故B正确; 对于选项C:设 , 则 , 当且仅当 时,等号成立, 所以 的最小值为 ,故C错误; 对于选项D:设直线AB的方程 , 代入抛物线 ,得 , 则 ,可得 , 因为 ,所以 【淘宝店铺:向阳百分百】, 因为 ,解得 ,满足 , 则直线AB的方程为 ,所以直线AB过定点 ,故D正确. 故选:ABD. 【跟踪训练】 1.过抛物线 ( )焦点F的直线与抛物线交于 , 两点,则说法正确的是( ) A. B. C. D. 【答案】ACD 【分析】根据抛物线的定义求解判断A;当直线 垂直于 轴时可判断B;联立直线与抛物线方程,结合 韦达定理计算判断CD. 【详解】抛物线 的焦点 ,准线为 , 根据抛物线的定义,点 , 到焦点的距离分别等于其到准线的距离, ∴ 所以 ,故A正确; 当直线 垂直于 轴时, 不妨设 ,故 ,故B错误; 当直线 垂直于 轴时, 不妨设 ,故 ,所以 . 当直线 不垂直于 轴时,设直线 , , 【淘宝店铺:向阳百分百】联立方程 ,可得 , 所以 恒成立, , . 综上, ,故C 正确; 当直线 垂直于 轴时,不妨设 , , 当直线 不垂直于 轴时, , 综上, ,故D正确. 故选:ACD. 2.已知点 在抛物线 的准线上,过抛物线 的焦点 作直线 交 于 、 两点,则( ) A.抛物线 的方程是 B. C.当 时, D. 【淘宝店铺:向阳百分百】【答案】ABD 【分析】求出 的值,可得出抛物线 的方程,可判断A选项;设直线 的方程为 ,将该直线的 方程与抛物线的方程联立,利用韦达定理可判断B选项;根据平面向量的线性运算,结合韦达定理求出 的值,再结合抛物线的焦点弦长公式可判断C选项;计算出直线 、 的斜率之和,可判断D选项. 【详解】对于A选项,抛物线 的准线方程为 , 因为点 在抛物线 的准线上,则 ,可得 , 所以抛物线 的方程为 ,A对; 对于B选项,抛物线 的焦点为 , 若直线 与 轴重合,此时,直线 与抛物线 只有一个公共点,不合乎题意, 所以直线 不与 轴重合,设直线 的方程为 , 联立 ,可得 , ,则 , 所以 ,B对; 对于C选项,因为 ,即 ,则 , 因为 ,可得 , 则 ,则 , 【淘宝店铺:向阳百分百】此时, ,C错; 对于D选项, ,同理可得 , 所以 , 所以 ,D对. 故选:ABD. 3.已知 是抛物线 上不同于原点 的两点,点 是抛物线 的焦点,下列说法 正确的是( ) A.点 的坐标为 B. C.若 ,则直线 经过定点 D.若点 为抛物线 的两条切线,则直线 的方程为 【答案】ACD 【分析】根据抛物线的方程可得焦点坐标可判断A,根据焦点弦的性质可判断B,根据垂直关系得 ,由两点坐标求解直线方程即可判断C,根据切线方程求出切点坐标,进而根据两点求解直线方 程即可求解D. 【详解】因为拋物线 ,故 的坐标为 故A正确; 【淘宝店铺:向阳百分百】由于当直线 过焦点时,由抛物线定义可得 ,但直线 不一定过焦点,故B错误; 若 ,故 ,即 或 (舍去), 因为直线 ,即 ,得 , 故直线 经过定点 ,故C正确; 设过点 的切线方程为 ,联立 , 所以 ,故 或 ,所以方程的根为 , 故切线 方程中 分别为 和 ,故 , , 可得直线 ,即 ,故D正确. 故选:ACD. 考点三:过焦点的两条相互垂直的弦的和及构成四边形面积最小值秒杀公式 ①已知 是抛物线 中过焦点 的两条相互垂直的弦, 存在最小值, 且最小值为 . ②已知 是抛物线 中过焦点 的两条相互垂直的弦,则四边形 的面积 的最小值为 . 【精选例题】 【例1】过抛物线C: 的焦点F作两条互相垂直的直线 和 ,设直线 交抛物线C于A,B两点, 直线 交抛物线C于D,E两点,则 可能的取值为( ) 【淘宝店铺:向阳百分百】A.18 B.16 C.14 D.12 【答案】AB 【分析】由题意可知直线 , 的斜率均存在且均不为0,所以不妨设 的斜率为k,则 : , : ,然后将两直线方程分别代入抛物线方程化简,利用根与系数的关系,结合弦长公式表示出 ,再利用基本不等式可求得结果. 【详解】由题意可知直线 , 的斜率均存在且均不为0.因为抛物线C的焦点为 , 所以不妨设 的斜率为k,则 : , : . 由 消去y得 .设 , , 则 . 由抛物线的定义,知 .同理可得 , 所以 ,当且仅当 ,即 时,等号成立, 所以 , 故选:AB. 【例2】在平面直角坐标系 中,已知动圆 与圆 内切,且与直线 相切,设动圆圆 【淘宝店铺:向阳百分百】心 的轨迹为曲线 . (1)求曲线 的方程; (2)过点 作两条互相垂直的直线与曲线 相交于 , 两点和 , 两点,求四边形 的面积 的最小值. 【答案】(1) ;(2)32 【分析】(1)利用圆和圆,圆和直线的位置关系的性质和抛物线的定义即可求解. (2)设直线 的方程为 , ,联立方程组得 ,再利用抛物线的的性质求 , 同理求 ,最后利用基本不等式求解即可. 【详解】(1)设圆 的半径为 ,圆 的圆心 ,半径为1, 因为圆 与圆 内切,且与直线 相切, 所以圆心 到直线 的距离为 ,因此圆心 到直线 的距离为 ,且 , 故圆心 到点 的距离与到直线 的距离相等, 据抛物线的定义,曲线 是以 为焦点,直线 为准线的抛物线,所以曲线 的方程为 . (2)设直线 的方程为 , , , . 联立方程组 整理得 ,故 所以 . 因为 ,直线 的方程为 , 同理可得 . 所以 【淘宝店铺:向阳百分百】, 当且仅当 ,即 时,取等号. 所以四边形 面积 的最小值为32. 【跟踪训练】 1.已知F为抛物线 的焦点,过F作两条互相垂直的直线 , ,直线 与C交于A,B两点,直 线 与C交于D,E两点,则 的最小值为 【答案】16 【分析】设直线 方程,由两直线垂直可得 方程,联立 与抛物线方程可得根与系数关系式,利用弦长公 式可得 表达式,同理可得 的表达式,结合基本不等式即可求得答案. 【详解】由题意知抛物线 的焦点为 ,焦准距 , 过F作两条互相垂直的直线 , ,直线 与C交于A,B两点,直线 与C交于D,E两点, 则 , 的斜率都存在且不为0, 【淘宝店铺:向阳百分百】故设 ,则直线 ,设 , 联立 ,则 , , 则 ,同理 , 故 , 同理可得 , 故 , 当且仅当 ,即 时等号成立, 故 的最小值为16. 2.已知抛物线 .其焦点为F,若互相垂直的直线m,n都经过抛物线 的焦点F,且与抛物线 相交于A,B两点和C,D两点,则四边形 面积的最小值为 . 【答案】32 【详解】 【淘宝店铺:向阳百分百】依题意知,直线 的斜率存在且不为0,设直线 的方程为 , 与抛物线方程联立,得 , 消去 ,整理得 ,设其两根为 , 则 . 由抛物线的定义可知, , 同理可得 , 四边形 的面积 . 当且仅当 时等号成立,此时所求四边形 面积的最小值为32. 考点四:抛物线中点弦求斜率秒杀公式 设直线 与抛物线 相交所得的弦 的中点坐标为 ,则 【精选例题】 【例1】已知抛物线 的一条弦 恰好以点 为中点,弦 的长为 ,则抛物线的准线方程 为( ) A. B. C. D. 【答案】B 【淘宝店铺:向阳百分百】【分析】设 , ,得到 , ,结合“点差法”求得 ,得到直线 的方程为 ,联立方程组,利用弦长公式,列出方程,求得 ,进而求得抛物线的准线方 程. 【详解】设 , ,弦 所在直线方程为 , 则 , , 也点A,B在抛物线 上,可得 , 两式相减可得 ,所以 ,即 , 所以弦 所在直线的方程为 , 联立方程组 ,整理得 , 可得 , , 所以 , 所以 ,即 , 可得 ,解得 ,所以抛物线的准线方程为 . 故选:B. 【淘宝店铺:向阳百分百】【例2】直线 与抛物线 交于 两点, 中点的横坐标为2,则 为( ) A. B.2 C. 或2 D.以上都不是 【答案】B 【分析】设 ,得到 ,求得 ,再由 ,两式相减,得到 ,得出方程 ,即可求解. 【详解】设 ,因为 中点的横坐标为 ,则 , 可得 , 又由 ,两式相减得到 ,可得 , 可得 ,解得 或 , 联立方程组 ,整理得 , 由 ,解得 ,所以 . 故选:B. 【例3】直线 过抛物线 的焦点 ,且与抛物线交于 两点,线段 中点的纵坐标为1,O为坐 标原点,则O到直线 的距离为( ) A. B. C. D. 【答案】A 【分析】设 , ,代入抛物线方程,两式相减后结合线段 中点的纵坐标得出 ,再结 合焦点 的坐标得出直线 的方程,由点到直线距离公式计算即可. 【详解】由抛物线 得焦点 , 【淘宝店铺:向阳百分百】设 , ,则 , 两式相减得 ,即 , 因为线段 中点的纵坐标为1,即 , 所以 ,即 , 所以直线 的方程为 ,即 ,显然此时直线与抛物线有两交点, 所以 到直线 的距离 , 故选:A. 【跟踪训练】 1.已知直线 与抛物线 相交于 两点,若线段 的中点坐标为 ,则直线 的方程为 ( ) A. B. C. D. 【答案】A 【分析】利用点差法可求得直线斜率,由直线点斜式方程可整理得到结果. 【详解】设 , 由 得: , 线段 的中点为 , , , ,即直线 的斜率为 , 直线 的方程为: ,即 . 故选:A. 【淘宝店铺:向阳百分百】2.已知抛物线 的焦点为 ,第一象限的 、 两点在抛物线上,且满足 , .若线段 中点的纵坐标为4,则抛物线的方程为 . 【答案】 【分析】先根据焦半径公式得到 的关系,然后根据弦长公式求解出 ,结合两点间斜率公式以及点 在抛物线上求解出 的值,则抛物线方程可求. 【详解】设 , 因为 , 所以 ,所以 , 又因为 ,所以 , 因为 都在第一象限,所以 , 又因为 且 , 所以 ,所以 ,所以抛物线方程为 , 故答案为: . 【淘宝店铺:向阳百分百】3.已知抛物线 ,过点 的直线交抛物线 于 两点,若 为 的中点,则直线 的方 程为 . 【答案】 【分析】设出 , 的坐标,代入抛物线方程,利用作差法,结合中点坐标公式代入先求出直线的斜率, 再利用点斜式方程即可得到结论. 【详解】设 , ,由题意 , 因为 , 在抛物线上,所以 , ,两式相减得, ,整理得, , 即直线 的斜率 , 直线 的中点为 , , , 所以直线 的方程为 ,化简得 . 故答案为: . 考点五:抛物线中以焦半径焦点弦为直径的圆相切问题 设AB是过抛物线y2=2px(p>0)焦点F的弦,若A(x,y),B(x,y),则 1 1 2 2 【淘宝店铺:向阳百分百】①以弦AB为直径的圆与准线相切. ②以AF或BF为直径的圆与y轴相切. 【精选例题】 【例1】已知 是抛物线 上的两动点, 是抛物线的焦点,下列说法正确的是( ) A.直线 过焦点 时,以 为直径的圆与 的准线相切 B.直线 过焦点 时, 的最小值为6 C.若坐标原点为 ,且 ,则直线 过定点 D.与抛物线 分别相切于 两点的两条切线交于点 ,若直线 过定点 ,则点 在抛物线 的准线上 【答案】ABD 【分析】对于A:根据抛物线的定义分析判断;对于B:设 方程为 ,联立方程,根据抛物线 的定义结合韦达定理分析求解;对于C:设 方程为 ,设 , ,联立方程, 根据垂直关系可得 ,结合韦达定理分析求解;对于D:可知抛物线 在点 处的切线方程 为 ,根据切线方程求交点坐标,结合选项B分析判断. 【详解】对于选项A:如图1,设 中点为 ,分别过点 向准线作垂线,垂足为 , 【淘宝店铺:向阳百分百】则由抛物线的定义可得, , . 因为 中点为 ,所以有 , 所以以 为直径的圆与 的准线相切,故A正确; 对于选项B:由抛物线 ,可得 , 由题意可知直线 斜率不为 ,设 方程为 ,设 , , 联立直线与抛物线的方程 ,消去x可得 , 则 恒成立。 可得 , , 则 , 所以 当且仅当 时, 取到最小值6,故B正确; 对于选项D:先证抛物线 在点 处的切线方程为 , 【淘宝店铺:向阳百分百】联立方程 ,消去x得 , 可知方程组只有一个解,即直线 与抛物线 相切, 可知抛物线 在点 处的切线方程分别为 , , 联立方程 ,解得 ,即点 , 结合选项B可得: , 所以点 在抛物线 的准线 上,故D正确; 对于选项C:由题意可知直线 斜率不为 ,设 方程为 ,设 , , , 则 , , 若 ,则 ,解得 或 (舍去), 联立直线与抛物线的方程 ,消去x可得 , 则 ,解得 , 此时 ,符合题意, 所以 ,则直线 过定点 ,故C错误; 故选:ABD. 【例2】已知抛物线 的焦点为F,过焦点F的直线l交抛物线于A,B两点(其中点A在x轴上方), 【淘宝店铺:向阳百分百】则( ) A. B.弦AB的长度最小值为l C.以AF为直径的圆与y轴相切 D.以AB为直径的圆与抛物线的准线相切 【答案】ACD 【分析】由弦长公式计算可得选项A、B;C、D选项,可以利用圆的性质,圆心到直线的距离等于半径判 定直线与圆相切. 【详解】 由题,焦点 ,设直线 , 联立 , , , 同理可得, , ,故A选项正确; 【淘宝店铺:向阳百分百】,故弦AB的长度最小值为4,B选项错误; 记 中点 ,则点M到y轴的距离为 , 由抛物线的性质, ,所以以AF为直径的圆与y轴相切,故C选项正确; ,记 中点 , 则点N到抛物线的准线的距离 ,故以AB为直径的圆与抛物线的准线相切, D选项正确. 故选:ACD. 【跟踪训练】 1.设 是坐标原点,直线 经过抛物线C: 的焦点F,且与C交于A,B西点, 是以 为底边的等腰三角形, 是抛物线C的准线,则( ) A.以 直径的圆与准线 相切 B. C. D. 的面积是 【答案】ACD 【分析】根据抛物线的定义及直线与圆的位置关系判断A;由条件求得 的坐标,利用斜率公式判断 B;根据向量的坐标运算判断C;根据三角形面积公式求解判断D. 【详解】直线 与 轴的交点为 ,即焦点 , 则 ,故抛物线C的方程 , 设 ,由题意可知 点在第四象限, 点在第一象限, 设 的中点 ,过 作 ,垂足为 , 过 作 ,垂足为 ,过 作 ,垂足为 , 则 , 则以 直径的圆与准线 相切,故A正确; 【淘宝店铺:向阳百分百】∵ 是以 为底边的等腰三角形, ∴ ,得 , 联立 ,得 , 易知 ,则 ,则 ,得 , ,故B错误; ∵ ,∴ ,故C正确; 的面积为 ,故D正确. 故选:ACD. 2.已知抛物线 的焦点 在直线 上,直线 与抛物线交于点 ( 为坐标原 点),则下列说法中正确的是( ) A. B.准线方程为 C.以线段 为直径的圆与 的准线相切 D.直线 的斜率之积为定值 【答案】ACD 【分析】由直线 过定点 ,得到 ,可判定A正确;根据抛物线的几何性质,可得判定B错误;过 点作准线的垂线,根据抛物线的定义得到 ,可判定C正确;联立方程组, 【淘宝店铺:向阳百分百】结合韦达定理,得到 ,求得 ,可判定D正确. 【详解】对于A中,由直线 ,可化为 ,可得直线 过定点 , 因为抛物线 的焦点 在直线 上,可得 ,则 ,所以A正确; 对于B中,由抛物线 的准线方程为 ,所以B错误; 对于C中,过 点作准线的垂线,垂足分别为 , 的中点为 点, 过 点作准线的垂线,垂足为 ,可得 ,所以C正确; 对于D中,设 ,联立方程组 , 整理得 ,可得 ,则 , 所以D正确. 故选:ACD. 考点六:抛物线中阿基米德三角形相关秒杀结论 ①知识要点:如图,假设抛物线方程为 , 过抛物线准线 上一点 向抛物线引两条切线,切点分别记为 ,其坐标 为 【淘宝店铺:向阳百分百】. 则以点 和两切点 围成的三角形 中,有如下的常见结论: 结论1.直线 过抛物线的焦点 . 结论2.直线 的方程为 . 结论 3.过 的直线与抛物线交于 两点,以 分别为切点做两条切线,则这两条切线的交点 的轨迹即为抛物线的准线. 证明:过 点的切线方程为 ,过 点的切线方程为 ,两式相除可得: .这就证明了该结论. 结论4. . 证明:由结论3, , .那么 . 结论5. . 证明: ,则 .由抛物线焦点弦的性质可知 ,代入上 式即可得 ,故 . 结论6.直线 的中点为 ,则 平行于抛物线的对称轴. 证明:由结论3的证明可知,过点 的切线的交点 在抛物线准线上.且 的坐标为 , 显然 平行于抛物线的对称轴. 【精选例题】 【淘宝店铺:向阳百分百】【例1】已知抛物线C: ,( )的焦点为F, 为C上一动点,若曲线C在点 M处的切线的斜率为 ,则直线FM的斜率为( ) A. B. C. D. 【答案】B 【详解】∵ ,∴ , ,∴ ,由题意知, ,解得: , 又∵M在 上,∴ ,解得: ,∴ ,∴ . 故选:B. 【例2】设抛物线C: 的焦点为F,过F的直线交C于A,B两点,分别以A,B为切点作C的切线 , ,若 与 交于点P,且满足 ,则 ( ) A.5 B.6 C.7 D.8 【答案】D 【详解】 ,设直线AB的方程为 ,显然m是 存在的,设 ,显然 ,求导: , 在A点处的切线方程 … ①, 同理可得在B点处的切线方程 为: ;联立方程 ,解得 , 【淘宝店铺:向阳百分百】, ,联立方程 解得 , ,即P点在准线 上,设 , ,考虑抛物线关于x轴对称,不妨取 ,代入①得: ,解得 或 ,由图可知 ,再代入抛物线方程得 , ;故选:D. 【例3】(多选题)已知抛物线 的焦点为 ,过 且斜率为 的直线 交抛物线于 两点, 在 第一象限,过 分别作抛物线的切线 ,且 相交于点 ,若 交 轴于点 ,则下列说法正确 的有( ) A.点 在抛物线的准线上 B. C. D.若 ,则 的值为 【答案】ACD 【详解】由题意知 ,故l: ,与抛物线 联立,可得 ,则 , 设 , ,则 .对于A,由抛物线 可得 ,所以直线 的斜率 , 则直线 的方程为 ,同理可得直线 的方程为 ,联立解得 【淘宝店铺:向阳百分百】. 又 ,故点P在抛物线的准线 上,故A正确;对于B, ,故 ,故B错误;对于C,直线l的方程为 ,则 ,直线 的方程为 , 可得 所以 ,故 则FQ⊥BQ,故C正确; 对于D,由 ,直线l的方程为 ,与抛物线联立可得 ,解得 ,则 ,则 , 得 ,故D正确. 故选:ACD. 【例4】已知抛物线 的焦点为F,过F的直线l倾斜角为 ,交C于 两点,过 两点分 别作C的切线 , ,其交点为 , , 与x轴的交点分别为 ,则四边形 的面积为________. 【淘宝店铺:向阳百分百】【答案】4 【详解】如图,设 , ,易知过 两点的抛物线C的 切线 , 斜率均存在,不妨设 , ,联 立 ,消 得到 ,即 , 所以 ,又 ,所以 ,得到 , 所以 ,即 ,也即 ,同理可得直线 为 , 又因为直线 与 交于 ,所以可得 , ,从而得到直线 的方程 为 ,又因为直线 过焦点且倾斜角为 ,所以得到 ,即 ,且 直线直线 的方程为 又由 ,令 ,得到 ,即 ,由 ,令 ,得到 ,即 ,又由 ,消 得到 ,由 韦达定理得 ,所以 ,又易知 ,所以四 边形 的面积为 ,故答案为:4. 【跟踪训练】 1.已知抛物线 的焦点为 ,若抛物线上一点 满足 ,则过点 的切线方程为( ) A. 或 B. 或 C. 或 D. 或 【淘宝店铺:向阳百分百】【答案】B 【详解】由已知得 ,准线方程为 .设 ,P点到准线距离为d.则由抛物线定义有 ,即 .将 代入 得, ,所以 .注意到 ,则当 的坐 标为 时,过点 的切线斜率为 ,所以过点 的切线方程为 ,即 , 当 的坐标为 时,过点 的切线斜率为 ,所以过点 的切线方程为 ,即 ,综上,过点 的切线方程为 或 .故选:B 2.(多选题)设抛物线C: 的焦点为F,过抛物线C上不同的两点A,B分别作C的切线,两条切 线的交点为P,AB的中点为Q,则( ) A. 轴 B. C. D. 【答案】AC 【详解】对于A选项:设 , , ,过点A切线为: ①,过点B切线为: ②,① ②得 化简可得 , 轴,A选项正确.设 过A点的切线为 , 过B点的切线为 ,交点为 AB的中点为 ,所以 不垂直 ,B选项错误; ,所 【淘宝店铺:向阳百分百】,D选项错误; 作抛物线准线的垂线 ,连接 则 显然 ,所以 又因为由抛物线定义,得 ,故知 是 线段 的中垂线,得到 则 ,同理可证: , ,所以 ,即 ,所以 ,即 .故选:AC. 3.已知抛物线 的焦点为 ,且 与圆 上的点的距离的最小值4. (1)求 ; (2)若点 在圆 上, 是 的两条切线, 是切点,求 面积的最大值. 【答案】(1)2;(2) 【详解】(1)圆 的圆心 ,半径 ,由点 到圆 上的点的距离的最 小值为 ,解得 ; (2)抛物线 的方程为 ,即 ,对该函数求导得 ,设点 、 、 【淘宝店铺:向阳百分百】, 直线 的方程为 ,即 ,即 ,同理可知,直线 的方程 为 ,由于点 为这两条直线的公共点,则 ,所以点A、 的坐标满足 方程 ,所以直线 的方程为 ,联立 ,可得 , 由韦达定理可得 , ,所以 , 点 到直线 的距离为 ,所以 , ,由已知可得 , 所以当 时, 的面积取最大值 . 【淘宝店铺:向阳百分百】1.已知抛物线 : ( ),过点 且垂直于 轴的直线 交抛物线 于 , 两点, 为 坐标原点,若 的面积为9,则 ( ) A. B.2 C. D.3 【答案】A 【分析】将 代入抛物线方程,求出线段 长,结合三角形面积求解即得. 【详解】将 代入 ,得 ,由对称性不妨设 在 轴上方, 则点 , , , , 因此 ,所以 . 故选:A 2.已知 为坐标原点,过抛物线 焦点 的直线与 交于A,B两点,若 ,则 ( ) A.5 B.9 C.10 D.18 【答案】B 【分析】由 及抛物线方程可求出A点坐标,从而得直线 的方程,联立抛物线和直线方程, 结合韦达定理求出 ,由抛物线定义可得结果. 【详解】如图:由抛物线 可知焦点坐标 ,取线段 中点D,即 , 【淘宝店铺:向阳百分百】又 ,所以 ,故设 ,因点A在抛物线上,得 , 根据对称性取 ,又因直线 过焦点F, 所以直线 的方程为: , 联立 ,得 ①, 设 ,则 为①式两根,所以 , 由抛物线定义可知 , 故选:B. 3.已知抛物线 的焦点为 ,过点 且斜率为 的直线 交抛物线于 两点,若 ,则 ( ) A. B. C. D. 【答案】D 【分析】根据题意,作出抛物线与直线AB的图像,利用抛物线的定义将曲线上的点到焦点的距离转化为 曲线上的点到准线的距离,借助几何图形可判断直线AB的倾斜角,从而可得答案. 【详解】如图,当点 在第一象限时,过点 分别向准线作垂线,垂足为 ,作 ,垂足为 , 【淘宝店铺:向阳百分百】则 轴,设 ,则 , , 由抛物线的定义得 ,则有 , 在 中, 等于直线 的倾斜角,其正切值即为 值, , ,∴ , 于是直线l的倾斜角为 ,斜率 . 当点 在第四象限时,根据抛物线的对称性可得斜率为 . 故选:D. 4.已知抛物线 与过焦点的一条直线相交于A,B两点,若弦 的中点M的横坐标为 ,则弦 的长 【答案】 【分析】根据题意设 ,联立抛物线及韦达定理,结合弦中点横坐标求参数 ,最后应用弦长公 式求 即可. 【详解】由题意抛物线焦点 ,且直线 斜率不为0,设 , 联立抛物线得 , ,故 , , 所以 ,即 , 则 . 【淘宝店铺:向阳百分百】故答案为: 5.已知抛物线 的顶点为坐标原点,准线为 ,直线 与抛物线 交于 两点,若线段 的中点 为 ,则直线 的方程为 . 【答案】 【分析】由题意可求得抛物线的方程,设 ,由“点差法”求出直线 的斜率,再由点斜 式方程即可得出答案. 【详解】因为抛物线 的顶点为坐标原点,准线为 , 所以易得抛物线的方程为 , 设 , 因为线段 的中点为 , 故 , 则 ,由 , 两式相减得 ,所以 , 故直线 的方程为 ,即 . 故答案为: . 6.已知抛物线 ,过 的直线 交抛物线 于 两点,且 ,则直线 的方程为 . 【淘宝店铺:向阳百分百】【答案】 【分析】根据中点坐标以及点差法即可求解斜率,进而由点斜式求直线方程. 【详解】因为 在抛物线 内部,又 ,所以 是 的中点. 设 ,所以 ,即 , 又 在抛物线 上,所以 ,两式作差,得 ,所以 , 所以直线 的方程为 ,即 . 故答案为: 7.已知倾斜角为 的直线 经过抛物线 : ( )的焦点 ,且与抛物线 交于 , 两点(点 在第一象限),与抛物线 的准线 交于点 ,则( ) A.以 为直径的圆与 轴相切 B.准线 上存在唯一点 ,使得 C. D. 【答案】ABC 【分析】由抛物线的定义和过焦点的直线确定A;由过焦点的线段的长度和准线确定B;由抛物线与直线 的关系解三角形确定CD. 【淘宝店铺:向阳百分百】【详解】对于A:设 , , , 的中点为 , 由抛物线的定义,得 , 的中点到 轴的距离为 , 故以 为直径的圆与 轴相切,故A正确; 对于B: , 的中点到准线的距离为 , 因此以 为直径的圆与准线相切,故准线 上存在唯一点 ,使得 ,故B正确; 对于C、D:如图所示,过点 , 作准线 的垂线,垂足分别为点 , ,由倾斜角为 , 可得 ,设 ,则 ,因为 , 所以 , ,故C正确; 设 ,则 ,因为 , 所以 ,所以 ,所以 ,故D错误. 故选:ABC. 8.(多选题)已知抛物线C: 的焦点为F,过F作直线l与抛物线C交于A、B两点,分别 【淘宝店铺:向阳百分百】以A、B为切点作抛物线C的切线,两切线交于点T,设线段 的中点为M.若点T的坐标为 , 则( ) A.点M的横坐标为2 B.点M的纵坐标为3 C.直线l的斜率等于2 D. 【答案】ACD 【详解】抛物线C: ,直线AB: 设 显然当 时,根据对称性易得 点位于 轴上,不 合题意,故 ,且均大于0, , , ,整理: ,得: ,① 同理 ,②,① ②: , 又因为直线 由此知: 故 ;因为 ,所以 设交点 ,过点 的切线斜率为 , 所以切线方程为 ,整理得 ,即 ,同理,过点 的切线的方程为 ,又点T 在直线上,代入得AB直线方程: 故选项C正确;由 消去 整 【淘宝店铺:向阳百分百】理得 ,因为直线与抛物线相交, 设 ,则 , 故点M的横坐标 故A正确,因为点M的横坐标 所以 ,故选项B错误,D正确;故选:ACD 【淘宝店铺:向阳百分百】