当前位置:首页>文档>微考点6-1圆锥曲线中的非对称韦达定理问题(解析版)_02高考数学_新高考复习资料_2024年新高考资料_二轮复习资料_分层练_教师版(含答案解析)

微考点6-1圆锥曲线中的非对称韦达定理问题(解析版)_02高考数学_新高考复习资料_2024年新高考资料_二轮复习资料_分层练_教师版(含答案解析)

  • 2026-04-15 09:08:01 2026-04-15 08:37:08

文档预览

微考点6-1圆锥曲线中的非对称韦达定理问题(解析版)_02高考数学_新高考复习资料_2024年新高考资料_二轮复习资料_分层练_教师版(含答案解析)
微考点6-1圆锥曲线中的非对称韦达定理问题(解析版)_02高考数学_新高考复习资料_2024年新高考资料_二轮复习资料_分层练_教师版(含答案解析)
微考点6-1圆锥曲线中的非对称韦达定理问题(解析版)_02高考数学_新高考复习资料_2024年新高考资料_二轮复习资料_分层练_教师版(含答案解析)
微考点6-1圆锥曲线中的非对称韦达定理问题(解析版)_02高考数学_新高考复习资料_2024年新高考资料_二轮复习资料_分层练_教师版(含答案解析)
微考点6-1圆锥曲线中的非对称韦达定理问题(解析版)_02高考数学_新高考复习资料_2024年新高考资料_二轮复习资料_分层练_教师版(含答案解析)
微考点6-1圆锥曲线中的非对称韦达定理问题(解析版)_02高考数学_新高考复习资料_2024年新高考资料_二轮复习资料_分层练_教师版(含答案解析)
微考点6-1圆锥曲线中的非对称韦达定理问题(解析版)_02高考数学_新高考复习资料_2024年新高考资料_二轮复习资料_分层练_教师版(含答案解析)
微考点6-1圆锥曲线中的非对称韦达定理问题(解析版)_02高考数学_新高考复习资料_2024年新高考资料_二轮复习资料_分层练_教师版(含答案解析)
微考点6-1圆锥曲线中的非对称韦达定理问题(解析版)_02高考数学_新高考复习资料_2024年新高考资料_二轮复习资料_分层练_教师版(含答案解析)
微考点6-1圆锥曲线中的非对称韦达定理问题(解析版)_02高考数学_新高考复习资料_2024年新高考资料_二轮复习资料_分层练_教师版(含答案解析)
微考点6-1圆锥曲线中的非对称韦达定理问题(解析版)_02高考数学_新高考复习资料_2024年新高考资料_二轮复习资料_分层练_教师版(含答案解析)
微考点6-1圆锥曲线中的非对称韦达定理问题(解析版)_02高考数学_新高考复习资料_2024年新高考资料_二轮复习资料_分层练_教师版(含答案解析)
微考点6-1圆锥曲线中的非对称韦达定理问题(解析版)_02高考数学_新高考复习资料_2024年新高考资料_二轮复习资料_分层练_教师版(含答案解析)
微考点6-1圆锥曲线中的非对称韦达定理问题(解析版)_02高考数学_新高考复习资料_2024年新高考资料_二轮复习资料_分层练_教师版(含答案解析)
微考点6-1圆锥曲线中的非对称韦达定理问题(解析版)_02高考数学_新高考复习资料_2024年新高考资料_二轮复习资料_分层练_教师版(含答案解析)
微考点6-1圆锥曲线中的非对称韦达定理问题(解析版)_02高考数学_新高考复习资料_2024年新高考资料_二轮复习资料_分层练_教师版(含答案解析)
微考点6-1圆锥曲线中的非对称韦达定理问题(解析版)_02高考数学_新高考复习资料_2024年新高考资料_二轮复习资料_分层练_教师版(含答案解析)
微考点6-1圆锥曲线中的非对称韦达定理问题(解析版)_02高考数学_新高考复习资料_2024年新高考资料_二轮复习资料_分层练_教师版(含答案解析)
微考点6-1圆锥曲线中的非对称韦达定理问题(解析版)_02高考数学_新高考复习资料_2024年新高考资料_二轮复习资料_分层练_教师版(含答案解析)
微考点6-1圆锥曲线中的非对称韦达定理问题(解析版)_02高考数学_新高考复习资料_2024年新高考资料_二轮复习资料_分层练_教师版(含答案解析)
微考点6-1圆锥曲线中的非对称韦达定理问题(解析版)_02高考数学_新高考复习资料_2024年新高考资料_二轮复习资料_分层练_教师版(含答案解析)
微考点6-1圆锥曲线中的非对称韦达定理问题(解析版)_02高考数学_新高考复习资料_2024年新高考资料_二轮复习资料_分层练_教师版(含答案解析)
微考点6-1圆锥曲线中的非对称韦达定理问题(解析版)_02高考数学_新高考复习资料_2024年新高考资料_二轮复习资料_分层练_教师版(含答案解析)
微考点6-1圆锥曲线中的非对称韦达定理问题(解析版)_02高考数学_新高考复习资料_2024年新高考资料_二轮复习资料_分层练_教师版(含答案解析)
微考点6-1圆锥曲线中的非对称韦达定理问题(解析版)_02高考数学_新高考复习资料_2024年新高考资料_二轮复习资料_分层练_教师版(含答案解析)
微考点6-1圆锥曲线中的非对称韦达定理问题(解析版)_02高考数学_新高考复习资料_2024年新高考资料_二轮复习资料_分层练_教师版(含答案解析)
微考点6-1圆锥曲线中的非对称韦达定理问题(解析版)_02高考数学_新高考复习资料_2024年新高考资料_二轮复习资料_分层练_教师版(含答案解析)
微考点6-1圆锥曲线中的非对称韦达定理问题(解析版)_02高考数学_新高考复习资料_2024年新高考资料_二轮复习资料_分层练_教师版(含答案解析)
微考点6-1圆锥曲线中的非对称韦达定理问题(解析版)_02高考数学_新高考复习资料_2024年新高考资料_二轮复习资料_分层练_教师版(含答案解析)
微考点6-1圆锥曲线中的非对称韦达定理问题(解析版)_02高考数学_新高考复习资料_2024年新高考资料_二轮复习资料_分层练_教师版(含答案解析)
微考点6-1圆锥曲线中的非对称韦达定理问题(解析版)_02高考数学_新高考复习资料_2024年新高考资料_二轮复习资料_分层练_教师版(含答案解析)
微考点6-1圆锥曲线中的非对称韦达定理问题(解析版)_02高考数学_新高考复习资料_2024年新高考资料_二轮复习资料_分层练_教师版(含答案解析)
微考点6-1圆锥曲线中的非对称韦达定理问题(解析版)_02高考数学_新高考复习资料_2024年新高考资料_二轮复习资料_分层练_教师版(含答案解析)
微考点6-1圆锥曲线中的非对称韦达定理问题(解析版)_02高考数学_新高考复习资料_2024年新高考资料_二轮复习资料_分层练_教师版(含答案解析)
微考点6-1圆锥曲线中的非对称韦达定理问题(解析版)_02高考数学_新高考复习资料_2024年新高考资料_二轮复习资料_分层练_教师版(含答案解析)
微考点6-1圆锥曲线中的非对称韦达定理问题(解析版)_02高考数学_新高考复习资料_2024年新高考资料_二轮复习资料_分层练_教师版(含答案解析)
微考点6-1圆锥曲线中的非对称韦达定理问题(解析版)_02高考数学_新高考复习资料_2024年新高考资料_二轮复习资料_分层练_教师版(含答案解析)
微考点6-1圆锥曲线中的非对称韦达定理问题(解析版)_02高考数学_新高考复习资料_2024年新高考资料_二轮复习资料_分层练_教师版(含答案解析)
微考点6-1圆锥曲线中的非对称韦达定理问题(解析版)_02高考数学_新高考复习资料_2024年新高考资料_二轮复习资料_分层练_教师版(含答案解析)
微考点6-1圆锥曲线中的非对称韦达定理问题(解析版)_02高考数学_新高考复习资料_2024年新高考资料_二轮复习资料_分层练_教师版(含答案解析)
微考点6-1圆锥曲线中的非对称韦达定理问题(解析版)_02高考数学_新高考复习资料_2024年新高考资料_二轮复习资料_分层练_教师版(含答案解析)

文档信息

文档格式
docx
文档大小
2.188 MB
文档页数
37 页
上传时间
2026-04-15 08:37:08

文档内容

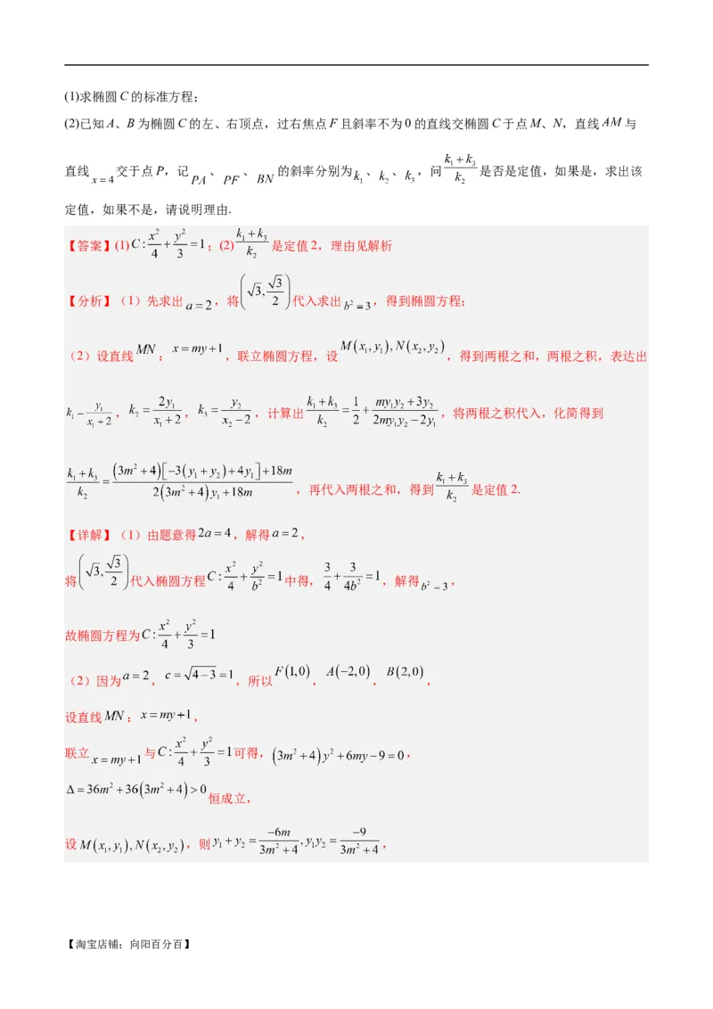
微考点 6-1 圆锥曲线中的非对称韦达定理问题(三大题型) 在一些定点、定值、定线问题中,还常出现需要证明类似 为定值的情形,通过直线代换可得: ,但此时式子并不能完全整理为韦达定理的形式,这种式子一般称为 y −t 1 k x x y −tx kx x +(m−t)x PA 1 2 1 2 1 2 2 = = = “非对称韦达定理”.或者在处理斜率比值的时候:k y −t x y −tx kx x +(m−t)x PB 2 1 2 1 1 2 1 x 2 我们明明求了韦达定理却无法代入,这时我们就需要通过所求得的韦达定理找到 和 之间的关 系,将其中一个替换,常用手段是把乘法的替换成加法. 这样的非对称形式,即韦达定理无法直接代入,可以通过韦达定理构造互化公式,先局部互化,然后可整 理成对称型. 具体办法: {x + x =f (t ) ¿ ¿ ¿ ¿ ①联立方程后得到韦达定理: 代入之后进行代换消元解题. 1 2 ②利用点在椭圆方程上代换 题型一:利用非对称韦达定理思想解决定点问题 【精选例题】 【例1】已知双曲线 的左顶点为A,右焦点为F,P是直线 上一点,且P不在x 轴上,以点P为圆心,线段PF的长为半径的圆弧AF交C的右支于点N. (1)证明: ; (2)取 ,若直线PF与C的左、右两支分别交于E,D两点,过E作l的垂 【淘宝店铺:向阳百分百】线,垂足为R,试判断直线DR是否过定点若是,求出定点的坐标;若不是,请说明理由. 【答案】(1)证明见解析;(2)答案见解析 【分析】(1)过N作l的垂线,垂足为H,且与圆弧AF交于点M,则 ,结合圆的知识可得 , ,设点 ,则 ,由 ,可得 ,即得 (用双曲线的第二定义来说明,也可以),由相等弦长所对的圆心角相等,得 ,进而求解;(2)设直线PF的方程为 ,由题意可得 ,联立方程组,结合韦达定理可得 , ,由题知,直线DR的方程为 ,令 ,化简即可求解. 【详解】(1)证明:过N作l的垂线,垂足为H,且与圆弧AF交于点M,则 , 连接AM,PM,NF.因为在圆P中, ,所以 . 由题易知右焦点 ,设点 ,则 ,整理得 . 因为 , 所以 ,所以 . 【淘宝店铺:向阳百分百】【这里若学生用双曲线的第二定义来说明,也可以.见下:因为直线 为双曲线 的准线,根据双曲线的第二定义,可知 ,即 ,即得 .】 在圆P中,由相等弦长所对的圆心角相等,得 , 所以 . (2)由题知双曲线 ,渐近线为: ,右焦点为 , 直线PF的斜率不为0,设直线PF的方程为 因为直线PF与C的左,右两支分别交于E,D两点,则 . 设 , 联立方程组 ,得 , 则 . 由题知,直线 的方程为 , 令 ,得 【淘宝店铺:向阳百分百】, 所以直线DR过定点 . 【跟踪训练】 1.已知椭圆 的中心为坐标原点,对称轴为坐标轴,且过点 , , , 为椭圆 上关于 轴对称的两点(不与点B重合), ,直线 与椭圆 交于另一点 ,直线 垂直于直线 , 为垂足. (1)求 的方程; (2)证明:(i)直线 过定点,(ii)存在定点 ,使 为定值. 【答案】(1) ;(2)(i)证明见解析;(ii)证明见解析. 【分析】(1)设方程为 ,代入 点的坐标,得出方程组,求解即得. (2)(i)设 的方程为 ,与椭圆方程联立,根据韦达定理表示出坐标关系,得出 的 方程为 ,令 ,整理可得 ,即可得出定点;(ii)由已知可得 ,即 可得出 的轨迹,得出答案. 【详解】(1)设 的方程为 ,则 ,解得 , 所以 的方程为 . (2)(i)依题意,直线 的斜率存在且不为0,设 的方程为 , 设点 , ,则 , 【淘宝店铺:向阳百分百】由 消去 并整理得 ,则 , , ,显然 , 直线 的斜率 ,直线 的方程为 , 令 ,则 , 所以直线 恒过定点 . (ii)令直线 过的定点 为点 ,由 , 在 上,得 , 则点 在以 为直径的圆上,从而 的中点 为定点,使 为定值 . 【点睛】思路点睛:设 的方程为 ,与椭圆联立得出方程,根据韦达定理得出坐标关系. 进而整理化简,即可得出定点坐标. 2.椭圆C: 的一个焦点为 ,且过点 . (1)求椭圆C的标准方程和离心率; (2)若过点 且斜率不为0的直线与椭圆C交于M,N两点,点P在直线 上,且NP与x轴平行, 求直线MP恒过的定点. 【答案】(1)标准方程为C: ,离心率为 ;(2) 【淘宝店铺:向阳百分百】【分析】(1)法一:由题意可得 ,解方程即可求出 ,可求出椭圆C的标准方程和离心 率;法二:由椭圆的定义求出 ,再结合 求出 ,可求出椭圆C的标准方程和离心率; (2)设方程为 , , ,联立直线MN方程和椭圆的方程可得 , 表示出直线MP方程,对称性可知直线MP恒过的定点在x轴上,令 ,将 代入化简 即可得出答案. 【详解】(1)法一:由题意 ,可得 , 则椭圆C的标准方程为C: ,离心率为 ; 法二:设椭圆的左焦点为 , 则由椭圆的定义知 , 所以 ,又 ,得 ,则椭圆C的标准方程为C: , 离心率为 ; (2)因为直线MN过点 且斜率不为0, 所以设直线MN方程为 , , ,则 , 联立 ,消去x得, , 【淘宝店铺:向阳百分百】所以 ,所以 , 直线MP方程为 ,由对称性可知直线MP恒过的定点在x轴上, 所以令 ,得 ,且 , 所以 , 可得 ,直线MP恒过的定点 . 【点睛】方法点睛:求解直线过定点问题常用方法如下: (1)“特殊探路,一般证明”:即先通过特殊情况确定定点,再转化为有方向、有目的的一般性证明; (2)“一般推理,特殊求解”:即设出定点坐标,根据题设条件选择参数,建立一个直线系或曲线的方 程,再根据参数的任意性得到一个关于定点坐标的方程组,以这个方程组的解为坐标的点即为所求点; (3)求证直线过定点 ,常利用直线的点斜式方程或截距式 来证明. 题型二:利用非对称韦达定理思想解决斜率定值问题 【精选例题】 【例1】椭圆 的长轴长为4,且椭圆C过点 . 【淘宝店铺:向阳百分百】(1)求椭圆C的标准方程; (2)已知A、B为椭圆C的左、右顶点,过右焦点F且斜率不为0的直线交椭圆C于点M、N,直线 与 直线 交于点P,记 、 、 的斜率分别为 、 、 ,问 是否是定值,如果是,求出该 定值,如果不是,请说明理由. 【答案】(1) ;(2) 是定值2,理由见解析 【分析】(1)先求出 ,将 代入求出 ,得到椭圆方程; (2)设直线 : ,联立椭圆方程,设 ,得到两根之和,两根之积,表达出 , , ,计算出 ,将两根之积代入,化简得到 ,再代入两根之和,得到 是定值2. 【详解】(1)由题意得 ,解得 , 将 代入椭圆方程 中得, ,解得 , 故椭圆方程为 (2)因为 , ,所以 , , , 设直线 : , 联立 与 可得, , 恒成立, 设 ,则 , 【淘宝店铺:向阳百分百】直线 : ,令 得 ,故 , , , , 则 . 为定值2. 【点睛】定值问题常见方法:(1)从特殊入手,求出定值,再证明这个值与变量无关; (2)直接推理计算,并在计算推理的过程中消去变量,从而得到定值. 【例2】已知椭圆C: + =1(a>b>0)的左、右顶点分别为A,B,离心率为 ,点P 为椭圆上一 点. 【淘宝店铺:向阳百分百】(1)求椭圆C的标准方程; (2)如图,过点C(0,1)且斜率大于1的直线l与椭圆交于M,N两点,记直线AM的斜率为k,直线BN 1 的斜率为k,若k=2k,求直线l斜率的值. 2 1 2 【答案】(1) + =1;(2) . 【分析】(1)由椭圆的离心率,和点P 在椭圆上求出椭圆的标准方程; (2) 由椭圆的对称性可知直线l的斜率一定存在,设其方程为y=kx+1, 设M(x,y),N(x,y), 联立方程 1 1 2 2 组消去y,再将k=2k 用坐标表示,利用点在椭圆上和韦达定理求出直线l的斜率. 1 2 【详解】(1)因为椭圆的离心率为 ,所以a=2c. 又因为a2=b2+c2,所以b= c. 所以椭圆的标准方程为 + =1. 又因为点P 为椭圆上一点,所以 + =1,解得c=1. 所以椭圆的标准方程为 + =1. (2) 由椭圆的对称性可知直线l的斜率一定存在,设其方程为y=kx+1. 设M(x,y),N(x,y). 1 1 2 2 联立方程组 消去y可得(3+4k2)x2+8kx-8=0. 所以由根与系数关系可知x+x=- ,xx=- . 1 2 1 2 【淘宝店铺:向阳百分百】因为k= ,k= ,且k=2k,所以 = . 1 2 1 2 即 = . ① 又因为M(x,y),N(x,y)在椭圆上, 1 1 2 2 所以 = (4- ), = (4- ). ② 将②代入①可得: = ,即3xx+10(x+x)+12=0. 1 2 1 2 所以3 +10 +12=0,即12k2-20k+3=0. 解得k= 或k= ,又因为k>1,所以k= . 【点睛】本题考查直线与椭圆的位置关系,考查椭圆的标准方程和椭圆的几何性质,考查学生分析解决问题 的能力,属于中档题. 【跟踪训练】 1.已知点F为椭圆 的右焦点,A,B分别为其左、右顶点,过F作直线l与椭圆交于M,N 两点(不与A,B重合),记直线AM与BN的斜率分别为 证明 为定值. 解析:方法1.先联 ,消x得 ,易知△>0,则 . ,代入目标信息得, 稍作整理,即可得 【淘宝店铺:向阳百分百】,为定值,得证. 2.已知双曲线 : 的离心率为 ,点 在双曲线 上.过 的左焦点F作直线 交 的左支于A、B两点. (1)求双曲线C的方程; (2)若 ,试问:是否存在直线 ,使得点M在以 为直径的圆上?请说明理由. (3)点 ,直线 交直线 于点 .设直线 、 的斜率分别 、 ,求证: 为定值. 【答案】(1) ;(2)不存在,理由见解析;(3)证明见解析 【分析】(1)根据题意列式求 ,进而可得双曲线方程; (2)设 , , ,联立方程,利用韦达定理可得 ,结合圆的性质分 析判断; (3)用 两点坐标表示出直线 ,得点 坐标,表示出 ,结合韦达定理,证明 为定值. 【详解】(1)由题意,双曲线 的离心率为 ,且 在双曲线 上, 可得 ,解得 , ,所以双曲线的方程为 . (2)双曲线 的左焦点为 , 当直线 的斜率为0时,此时直线为 ,与双曲线 左支只有一个交点,舍去; 当直线 的斜率不为0时,设 , 联立方程组 ,消 得 ,易得 , 由于过点 作直线 交 的左支于 两点, 【淘宝店铺:向阳百分百】设 , ,则 , , 可得 , 因为 , , 则 , 即 ,可得 与 不相互垂直, 所以不存在直线 ,使得点M在以 为直径的圆上. (3)由直线 ,得 , 所以 ,又 , 所以 , 因为 ,所以 ,且 , 所以 ,即 为定值. 【点睛】方法点睛:解答直线与双曲线的题目时,时常把两个曲线的方程联立,消去x(或y)建立一元二次 方程,然后借助根与系数的关系,并结合题设条件建立有关参变量的等量关系.涉及到直线方程的设法时, 【淘宝店铺:向阳百分百】务必考虑全面,不要忽略直线斜率为0或不存在等特殊情形.强化有关直线与双曲线联立得出一元二次方 程后的运算能力,重视根与系数之间的关系、弦长、斜率、三角形的面积等问题. 题型三:利用非对称韦达定理思想解决定直线问题 【精选例题】 【例1】已知 为 的两个顶点, 为 的重心,边 上的两条中线长度之和 为6. (1)求点 的轨迹 的方程. (2)已知点 ,直线 与曲线 的另一个公共点为 ,直线 与 交于点 , 试问:当点 变化时,点 是否恒在一条定直线上?若是,请证明;若不是,请说明理由. 【答案】(1) (2)是,证明见解析 【分析】(1)依题意 ,根据椭圆的定义可知 的轨迹 是以 、 为焦点的椭圆(不包括长 轴的端点),从而求出椭圆方程; (2)设直线 的方程为: , , ,联立直线与椭圆方程,消元、列出韦达定理, 即可得到 ,再求出直线 、 的方程,联立求出交点的横坐标,整理可得求出定直 线方程. (1) 解:因为 为 的重心,且边 上的两条中线长度之和为6, 所以 , 故由椭圆的定义可知 的轨迹 是以 为焦点的椭圆(不包括长轴的端点), 且 ,所以 , 所以 的轨迹 的方程为 ; (2) 【淘宝店铺:向阳百分百】解:设直线 的方程为: , , , 联立方程 得: , 则 , , 所以 , 又直线 的方程为: , 又直线 的方程为: , 联立方程 ,解得 , 把 代入上式得: , 所以当点 运动时,点 恒在定直线 上 【例2】已知双曲线C的中心为坐标原点,左焦点为 ,离心率为 . (1)求C的方程; (2)记C的左、右顶点分别为 , ,过点 的直线与C的左支交于M,N两点,M在第二象限,直线 与 交于点P.证明:点 在定直线上. 【答案】(1) ;(2)证明见解析. 【分析】(1)由题意求得 的值即可确定双曲线方程; (2)设出直线方程,与双曲线方程联立,然后由点的坐标分别写出直线 与 的方程,联立直线方程, 【淘宝店铺:向阳百分百】消去 ,结合韦达定理计算可得 ,即交点的横坐标为定值,据此可证得点 在定直线 上. 【详解】(1)设双曲线方程为 ,由焦点坐标可知 , 则由 可得 , , 双曲线方程为 . (2)由(1)可得 ,设 , 显然直线的斜率不为0,所以设直线 的方程为 ,且 , 与 联立可得 ,且 , 则 , 直线 的方程为 ,直线 的方程为 , 联立直线 与直线 的方程可得: , 由 可得 ,即 , 【淘宝店铺:向阳百分百】据此可得点 在定直线 上运动. 【点睛】关键点点睛:求双曲线方程的定直线问题,意在考查学生的计算能力,转化能力和综合应用能力, 其中根据设而不求的思想,利用韦达定理得到根与系数的关系可以简化运算,是解题的关键. 【跟踪训练】 1.已知圆 ,圆 ,动圆 与圆 和圆 均相切,且一个内切、一 个外切. (1)求动圆圆心 的轨迹 的方程. (2)已知点 ,过点 的直线 与轨迹 交于 两点,记直线 与直线 的交点为 . 试问:点 是否在一条定直线上?若在,求出该定直线;若不在,请说明理由. 【答案】(1) ;(2)点 恒在定直线 上 【分析】(1)设动圆的圆心为 ,利用两圆外切和内切的关系得到 ,由椭圆 的定义即可得到动点的轨迹,利用待定系数法求出方程即可; (2)设直线 的方程为 ,直曲联立,结合韦达定理得到 ,求出直线 与直线 的方程,进而得到点 满足的关系式,整理化简可得点 恒在定直线 上. 【详解】(1)设点 的坐标为 ,圆 的半径为 . 由已知条件,得 . ①当动圆 与圆 外切,与圆 内切时, , 从而 . ②当动圆 与圆 内切,与圆 外切时, , 从而 . 综上可知,圆心 的轨迹 是以 为焦点,6为长轴长的椭圆. 【淘宝店铺:向阳百分百】易得圆 与圆 交于点 与 , 所以动圆圆心 的轨迹 的方程为 . (2)设直线 的方程为 , . 联立直线 与轨迹 的方程,得 消去 并整理,得 . 所以 , , 则有 . 由已知条件,得直线 的方程为 , 直线 的方程为 , 则点 的坐标 满足 . 又 , 所以 . 把 代入上式,得 . 故点 恒在定直线 上. 2.已知椭圆 : 的左、右焦点分别为 , ,上顶点为 , 到直线 的距离为 , 且 . (1)求椭圆 的标准方程; 【淘宝店铺:向阳百分百】(2)若过 且斜率为 的直线 与椭圆 交于 , 两点,椭圆 的左、右顶点分别为 , ,证明: 直线 与 的交点在定直线上. 【答案】(1) ;(2)证明见解析 【分析】(1)首先求出直线 的方程,利用点到直线的距离公式得到 ,再由 ,即 可求出 、 ,从而求出椭圆方程; (2)联立直线与椭圆方程,设 , ,消元,列出韦达定理,即可得到直线 、 的方 程,设直线 与 的交点坐标为 ,求出 ,即可得解. 【详解】(1)依题意可得直线 的方程为 ,即 , 则 到直线 的距离为 . 又 , ,故 , , 所以椭圆 的标准方程为 . (2)由(1)得 ,所以直线 的方程为 , 由 可得 , 设 , ,显然 , 所以 , ,故 . 由(1)可得 , ,则直线 的方程为 , 【淘宝店铺:向阳百分百】直线 的方程为 , 设直线 与 的交点坐标为 ,则 , 故 , 解得 ,故直线 与 的交点在直线 上. 【点睛】方法点睛:利用韦达定理法解决直线与圆锥曲线相交问题的基本步骤如下: (1)设直线方程,设交点坐标为 、 ; (2)联立直线与圆锥曲线的方程,得到关于 (或 )的一元二次方程,必要时计算 ; (3)列出韦达定理; (4)将所求问题或题中的关系转化为 、 的形式; 【淘宝店铺:向阳百分百】(5)代入韦达定理求解. 3.已知椭圆 的长轴长为4,左、右顶点分别为A,B,经过点P(1,0)的动直线与椭 圆 相交于不同的两点C,D(不与点A,B重合). (1)求椭圆 的方程及离心率; (2)若直线CB与直线AD相交于点M,判断点M是否位于一条定直线上?若是,求出该直线的方程;若不 是,说明理由. 【答案】(1)椭圆方程为 ,离心率为 ;(2) 点在定直线 上. 【分析】(1)由长轴长求得 得椭圆方程,然后由离心率公式离心率; (2)设动直线方程为 ,设 ,直线方程代入椭圆方程应用韦达定理得 , 写出直线 方程,联立求得 点横坐标 ,利用直线方程,及韦达定理的结果代入后可得 ,即为 定直线方程. 【详解】(1)由题意 , ,所以椭圆方程为 , , ,则 ,离心率为 ; (2)由题意设动直线方程为 ,设 , , 由 得 , 显然 , 直线 方程为 ,直线 方程为 , 联立方程组 ,得 【淘宝店铺:向阳百分百】又 ,代入得 , 由 , 得 ,即 , 所以 , 所以 点在定直线 上. 【点睛】方法点睛:椭圆中的定直线问题,可设出交点坐标为 ,设出动直线方程代入椭圆方 程后应用韦达定理,然后由直线与椭圆的交点坐标求出相关的交点坐标,对这个坐标进行分析得出定直线 方程,本题中对横坐标进行分析,代入交点坐标的关系及韦达定理的结果即得出结论,实际上本题可从对 称性确定定直线与 轴垂直,再坐标特殊值(如动直线与 轴垂直)求得定直线方程,然后只要验证一般 情形即可(这个寻找过程在解题中还不必反映出来). 1.已知椭圆E的左、右焦点分别为 , ,点M在椭圆E上, , 的 周长为 ,面积为 . (1)求椭圆E的方程. (2)设椭圆E的左、右顶点分别为A,B,过点 的直线l与椭圆E交于C,D两点(不同于左右顶点), 记直线AC的斜率为 ,直线BD的斜率为 ,问是否存在实常数 ,使得 ,恒成立?若成立,求 出 的值,若不成立,说明理由. 【答案】(1) (2)存在实数 【分析】(1)根据焦点三角形面积及周长列方程求出 ,即可写出椭圆方程; 【淘宝店铺:向阳百分百】(2)先设直线,再和椭圆联立方程组,结合韦达定理及斜率公式计算 化简求解即可. 【详解】(1)依题意,得 ,即 , 解得 ,所以椭圆E的方程为 . (2) 依题意,可设直线l的方程为 , 联立方程 ,化简整理,得 , 易得 恒成立, 设 , ,由韦达定理, 得 ,可得 , 于是 【淘宝店铺:向阳百分百】, 故存在实数 ,使得 恒成立. 2.椭圆 的左、右顶点分别为A,B,过左焦点 的直线与椭圆交于C,D两点 (其中C点位于x轴上方),当CD垂直于x轴时, (1)求椭圆的方程; (2)记直线AC,BD的斜率分别为 ,问; 是否为定值,若是,求出该定值;若不是,请说明理由. 【答案】(1) (2)是定值,定值为3. 【分析】(1)根据题意结合通径长即可求出椭圆的标准方程. (2)设出直线方程,与椭圆方程联立,得到根与系数关系,将 表示出化简即可. 【详解】(1)因为椭圆 的左焦点为 , 所以 ,将 代入 ,得 , 故 ,所以 解得 ,所以 , 所以椭圆方程为 . 【淘宝店铺:向阳百分百】(2) 因为直线CD过点 , 且点C位于x轴上方, 所以直线CD斜率不为0,设直线CD的方程为 , 联立 消去x得, 方程 的判别式 , 设 ,由已知 , 于是 , 所以 , 又椭圆 的左顶点A的坐标为 ,右顶点B的坐标为(2,0), 所以 , 因为 , 所以 , 所以 【淘宝店铺:向阳百分百】所以 定值,定值为3. 3.已知圆 ,圆 ,动圆 与圆 和圆 均相切,且一个内切、一 个外切. (1)求动圆圆心 的轨迹 的方程. (2)已知点 ,过点 的直线 与轨迹 交于 两点,记直线 与直线 的交点为 . 试问:点 是否在一条定直线上?若在,求出该定直线;若不在,请说明理由. 【答案】(1) (2)点 恒在定直线 上 【分析】(1)设动圆的圆心为 ,利用两圆外切和内切的关系得到 ,由椭圆 的定义即可得到动点的轨迹,利用待定系数法求出方程即可; (2)设直线 的方程为 ,直曲联立,结合韦达定理得到 ,求出直线 与直线 的方程,进而得到点 满足的关系式,整理化简可得点 恒在定直线 上. 【详解】(1)设点 的坐标为 ,圆 的半径为 . 由已知条件,得 . ①当动圆 与圆 外切,与圆 内切时, , 从而 . ②当动圆 与圆 内切,与圆 外切时, , 从而 . 【淘宝店铺:向阳百分百】综上可知,圆心 的轨迹 是以 为焦点,6为长轴长的椭圆. 易得圆 与圆 交于点 与 , 所以动圆圆心 的轨迹 的方程为 . (2)设直线 的方程为 , . 联立直线 与轨迹 的方程,得 消去 并整理,得 . 所以 , , 则有 . 由已知条件,得直线 的方程为 , 直线 的方程为 , 则点 的坐标 满足 . 又 , 所以 . 把 代入上式,得 . 故点 恒在定直线 上. 4.已知椭圆 的长轴长为4,左、右顶点分别为A,B,经过点P(1,0)的动直线与 椭圆 相交于不同的两点C,D(不与点A,B重合). 【淘宝店铺:向阳百分百】(1)求椭圆 的方程及离心率; (2)若直线CB与直线AD相交于点M,判断点M是否位于一条定直线上?若是,求出该直线的方程;若不 是,说明理由. 【答案】(1)椭圆方程为 ,离心率为 ; (2) 点在定直线 上. 【分析】(1)由长轴长求得 得椭圆方程,然后由离心率公式离心率; (2)设动直线方程为 ,设 ,直线方程代入椭圆方程应用韦达定理得 , 写出直线 方程,联立求得 点横坐标 ,利用直线方程,及韦达定理的结果代入后可得 ,即为 定直线方程. 【详解】(1)由题意 , ,所以椭圆方程为 , , ,则 ,离心率为 ; (2)由题意设动直线方程为 ,设 , , 由 得 , 显然 , 直线 方程为 ,直线 方程为 , 联立方程组 ,得 又 ,代入得 , 【淘宝店铺:向阳百分百】由 , 得 ,即 , 所以 , 所以 点在定直线 上. 【点睛】方法点睛:椭圆中的定直线问题,可设出交点坐标为 ,设出动直线方程代入椭圆方 程后应用韦达定理,然后由直线与椭圆的交点坐标求出相关的交点坐标,对这个坐标进行分析得出定直线 方程,本题中对横坐标进行分析,代入交点坐标的关系及韦达定理的结果即得出结论,实际上本题可从对 称性确定定直线与 轴垂直,再坐标特殊值(如动直线与 轴垂直)求得定直线方程,然后只要验证一般 情形即可(这个寻找过程在解题中还不必反映出来). 5.已知椭圆 的左、右焦点分别为 , ,O为坐标原点,点 在椭圆C上, 且 ,直线 过点 且与椭圆C交于A,B两点. (1)求椭圆C的标准方程; (2)已知 , ,若直线 , 交于点D,探究:点D是否在某定直线上?若是,求出 该直线的方程;若不是,请说明理由. 【答案】(1) (2)点D在直线 上. 【分析】(1)利用两点距离公式可计算焦点坐标,待定系数法计算椭圆方程即可; (2)由题意先确定M、N位置,设直线 与 、 坐标,联立直线与椭圆方程利用韦达定理得出 、 纵 坐标关系式,再利用点 、 坐标表示直线 、 ,法一、求出D点横坐标化简计算即可;法二、直 接利用直线 、 方程作比计算 为定值,计算即可. 【详解】(1)设 , , , 则 , 【淘宝店铺:向阳百分百】则 ,解得 ( 舍去), 则 ,① 代入点 得 ,② 联立①②,解得 , , 故椭圆C的标准方程为 ; (2) 依题意, , , 设直线 ,联立 , 整理得 , ; 设 , , 则 , , 所以 . 可设直线 ,直线 , 【淘宝店铺:向阳百分百】法一:联立 得 , 故点D在直线 上. 法二:故 , 解得 , 故点D在直线 上. 【点睛】方法点睛:利用韦达定理法解决直线与圆锥曲线相交问题的基本步骤如下: (1)设直线方程,设交点坐标为 ; (2)联立直线与圆锥曲线的方程,得到关于 (或 )的一元二次方程,必要时计算 ; (3)列出韦达定理; (4)将所求问题或题中的关系转化为 、 (或 、 )的形式; (5)代入韦达定理求解. 6.已知椭圆 : , 为椭圆 的右焦点,三点 , , 中恰有两点在椭圆 上. 【淘宝店铺:向阳百分百】(1)求椭圆 的标准方程; (2)设点 为椭圆 的左右端点,过点 作直线交椭圆 于 , 两点(不同于 ),求证:直 线 与直线 的交点 在定直线上运动,并求出该直线的方程. 【答案】(1) (2)证明见解析, 【分析】(1)由对称性得到点 , 在椭圆 上,结合焦点坐标,得到方程组,求出 , ,求出椭圆方程; (2)设直线 的方程为 ,联立椭圆方程,设 , , ,得到两根之和, 两根之积,由 和 共线得到方程组,联立后得到 ,求出 ,得到交点 在定直 线上,并求出该直线的方程. 【详解】(1)因为 为椭圆 的右焦点,所以 ①, 由对称性得,点 , 在椭圆 上,代入得 ②, 联立①②解得, , , 所以椭圆 的标准方程为: . (2)由条件知直线 与直线 不重合,故直线 的斜率不为0, 设直线 的方程为 , 【淘宝店铺:向阳百分百】联立 ,可得 , 设 , , , 则 , , , 由(1)可得 , , 由 共线得: ③, 由 共线得: ④, 由③÷④消去 并整理得, , 即 ,所以 , 综上所述,直线 与直线 的交点 在定直线 上运动. 【点睛】定值问题常见方法:(1)从特殊入手,求出定值,再证明这个值与变量无关; (2)直接推理计算,并在计算推理的过程中消去变量,从而得到定值. 7.已知 是椭圆 的左焦点, 为坐标原点, 为椭圆上任意一点,椭圆的离心率 为 , 的面积的最大值为 . (1)求椭圆 的方程; (2) , 为椭圆的左,右顶点,点 ,当 不与 , 重合时,射线 交椭圆 于点 ,直线 , 交于点 ,求 的最大值. 【答案】(1) 【淘宝店铺:向阳百分百】(2) 【分析】(1)根据条件,列出关于 的方程,即可求解;(2)首先设直线 的方程为 , 与椭圆方程联立,得到根与系数的关系,并利用坐标表示直线 的方程,并且联立方程求点 的轨 迹方程,再利用两直线的倾斜角表示 ,利用斜率表示 ,再利用基本不等式即可求解. 【详解】(1)由 ,解得 , , 所以椭圆 的方程为 . (2)由题知 不与 轴重合,设直线 的方程为 , 联立方程组 ,消 整理得 , , 设 、 ,则 , . 因为 的方程为 , 的方程为 两直线方程联立得: 因为 .所以 ,解得 . 所以动点 的轨迹方程为 由椭圆的对称性不妨设 ,直线 、 的倾斜角为 , , 由图可知 ,且 ,因为 ,则 , 因为 , , 【淘宝店铺:向阳百分百】所以 当且仅当 时等号成立,此时 , ,所以 的最大值为 . 【点睛】关键点点睛:本题考查直线与椭圆的位置关系,动点轨迹,第二问的关键是根据韦达定理,联立 两直线方程可化简求得点 的轨迹,再利用倾斜角表示 . 8.已知椭圆 : 的离心率为 ,右焦点为 , , 分别为椭圆 的左、右 顶点. (1)求椭圆 的方程; (2)过点 作斜率不为 的直线 ,直线 与椭圆 交于 , 两点,记直线 的斜率为 ,直线 的 斜率为 ,求证: 为定值; (3)在(2)的条件下,直线 与直线 交于点 ,求证:点 在定直线上. 【答案】(1) (2)证明见解析 (3)证明见解析 【分析】(1)根据椭圆的几何性质列出方程组求出 ,即可得出椭圆 的方程; (2)设 , ,直线 的方程为 ,与椭圆方程联立得到 ,代入 的表达 式,即可得出 为定值; 【淘宝店铺:向阳百分百】(3)根据(1)中的结论,设 ,则 ,求出直线AP、BQ的方程,联立即可求出点M的坐标, 从而可知其在定直线上. 【详解】(1)依题可得 ,解得 ,所以 , 所以椭圆 的方程为 . (2)设 , ,因为直线 过点 且斜率不为 , 所以可设 的方程为 ,代入椭圆方程 得 , 其判别式 ,所以 , . 两式相除得 ,即 . 因为 分别为椭圆 的左、右顶点,所以点 的坐标为 ,点 的坐标为 , 所以 , . 从而 . (3)由(1)知 ,设 ,则 , 所以直线 的方程为 ,直线 的方程为 , 联立 可得 , 所以直线 与直线 的交点 的坐标为 , 所以点 在定直线 上. 【淘宝店铺:向阳百分百】【点睛】方法点睛:利用韦达定理法解决直线与圆锥曲线相交问题的基本步骤如下: (1)设直线方程,设交点坐标为 、 ; (2)联立直线与圆锥曲线的方程,得到关于 (或 )的一元二次方程,必要时计算 ; (3)列出韦达定理; (4)将所求问题或题中的关系转化为 、 的形式; (5)代入韦达定理求解. 【淘宝店铺:向阳百分百】