当前位置:首页>文档>微考点6-3圆锥曲线中的定点定值问题(三大题型)(解析版)_2.2025数学总复习_2024年新高考资料_2.2024二轮复习

微考点6-3圆锥曲线中的定点定值问题(三大题型)(解析版)_2.2025数学总复习_2024年新高考资料_2.2024二轮复习

  • 2026-04-15 04:14:30 2026-03-20 08:42:23

文档预览

微考点6-3圆锥曲线中的定点定值问题(三大题型)(解析版)_2.2025数学总复习_2024年新高考资料_2.2024二轮复习
微考点6-3圆锥曲线中的定点定值问题(三大题型)(解析版)_2.2025数学总复习_2024年新高考资料_2.2024二轮复习
微考点6-3圆锥曲线中的定点定值问题(三大题型)(解析版)_2.2025数学总复习_2024年新高考资料_2.2024二轮复习
微考点6-3圆锥曲线中的定点定值问题(三大题型)(解析版)_2.2025数学总复习_2024年新高考资料_2.2024二轮复习
微考点6-3圆锥曲线中的定点定值问题(三大题型)(解析版)_2.2025数学总复习_2024年新高考资料_2.2024二轮复习
微考点6-3圆锥曲线中的定点定值问题(三大题型)(解析版)_2.2025数学总复习_2024年新高考资料_2.2024二轮复习
微考点6-3圆锥曲线中的定点定值问题(三大题型)(解析版)_2.2025数学总复习_2024年新高考资料_2.2024二轮复习
微考点6-3圆锥曲线中的定点定值问题(三大题型)(解析版)_2.2025数学总复习_2024年新高考资料_2.2024二轮复习
微考点6-3圆锥曲线中的定点定值问题(三大题型)(解析版)_2.2025数学总复习_2024年新高考资料_2.2024二轮复习
微考点6-3圆锥曲线中的定点定值问题(三大题型)(解析版)_2.2025数学总复习_2024年新高考资料_2.2024二轮复习
微考点6-3圆锥曲线中的定点定值问题(三大题型)(解析版)_2.2025数学总复习_2024年新高考资料_2.2024二轮复习
微考点6-3圆锥曲线中的定点定值问题(三大题型)(解析版)_2.2025数学总复习_2024年新高考资料_2.2024二轮复习
微考点6-3圆锥曲线中的定点定值问题(三大题型)(解析版)_2.2025数学总复习_2024年新高考资料_2.2024二轮复习
微考点6-3圆锥曲线中的定点定值问题(三大题型)(解析版)_2.2025数学总复习_2024年新高考资料_2.2024二轮复习
微考点6-3圆锥曲线中的定点定值问题(三大题型)(解析版)_2.2025数学总复习_2024年新高考资料_2.2024二轮复习
微考点6-3圆锥曲线中的定点定值问题(三大题型)(解析版)_2.2025数学总复习_2024年新高考资料_2.2024二轮复习
微考点6-3圆锥曲线中的定点定值问题(三大题型)(解析版)_2.2025数学总复习_2024年新高考资料_2.2024二轮复习
微考点6-3圆锥曲线中的定点定值问题(三大题型)(解析版)_2.2025数学总复习_2024年新高考资料_2.2024二轮复习
微考点6-3圆锥曲线中的定点定值问题(三大题型)(解析版)_2.2025数学总复习_2024年新高考资料_2.2024二轮复习
微考点6-3圆锥曲线中的定点定值问题(三大题型)(解析版)_2.2025数学总复习_2024年新高考资料_2.2024二轮复习
微考点6-3圆锥曲线中的定点定值问题(三大题型)(解析版)_2.2025数学总复习_2024年新高考资料_2.2024二轮复习
微考点6-3圆锥曲线中的定点定值问题(三大题型)(解析版)_2.2025数学总复习_2024年新高考资料_2.2024二轮复习
微考点6-3圆锥曲线中的定点定值问题(三大题型)(解析版)_2.2025数学总复习_2024年新高考资料_2.2024二轮复习
微考点6-3圆锥曲线中的定点定值问题(三大题型)(解析版)_2.2025数学总复习_2024年新高考资料_2.2024二轮复习
微考点6-3圆锥曲线中的定点定值问题(三大题型)(解析版)_2.2025数学总复习_2024年新高考资料_2.2024二轮复习
微考点6-3圆锥曲线中的定点定值问题(三大题型)(解析版)_2.2025数学总复习_2024年新高考资料_2.2024二轮复习
微考点6-3圆锥曲线中的定点定值问题(三大题型)(解析版)_2.2025数学总复习_2024年新高考资料_2.2024二轮复习
微考点6-3圆锥曲线中的定点定值问题(三大题型)(解析版)_2.2025数学总复习_2024年新高考资料_2.2024二轮复习
微考点6-3圆锥曲线中的定点定值问题(三大题型)(解析版)_2.2025数学总复习_2024年新高考资料_2.2024二轮复习
微考点6-3圆锥曲线中的定点定值问题(三大题型)(解析版)_2.2025数学总复习_2024年新高考资料_2.2024二轮复习
微考点6-3圆锥曲线中的定点定值问题(三大题型)(解析版)_2.2025数学总复习_2024年新高考资料_2.2024二轮复习
微考点6-3圆锥曲线中的定点定值问题(三大题型)(解析版)_2.2025数学总复习_2024年新高考资料_2.2024二轮复习
微考点6-3圆锥曲线中的定点定值问题(三大题型)(解析版)_2.2025数学总复习_2024年新高考资料_2.2024二轮复习
微考点6-3圆锥曲线中的定点定值问题(三大题型)(解析版)_2.2025数学总复习_2024年新高考资料_2.2024二轮复习
微考点6-3圆锥曲线中的定点定值问题(三大题型)(解析版)_2.2025数学总复习_2024年新高考资料_2.2024二轮复习
微考点6-3圆锥曲线中的定点定值问题(三大题型)(解析版)_2.2025数学总复习_2024年新高考资料_2.2024二轮复习
微考点6-3圆锥曲线中的定点定值问题(三大题型)(解析版)_2.2025数学总复习_2024年新高考资料_2.2024二轮复习
微考点6-3圆锥曲线中的定点定值问题(三大题型)(解析版)_2.2025数学总复习_2024年新高考资料_2.2024二轮复习
微考点6-3圆锥曲线中的定点定值问题(三大题型)(解析版)_2.2025数学总复习_2024年新高考资料_2.2024二轮复习
微考点6-3圆锥曲线中的定点定值问题(三大题型)(解析版)_2.2025数学总复习_2024年新高考资料_2.2024二轮复习
微考点6-3圆锥曲线中的定点定值问题(三大题型)(解析版)_2.2025数学总复习_2024年新高考资料_2.2024二轮复习
微考点6-3圆锥曲线中的定点定值问题(三大题型)(解析版)_2.2025数学总复习_2024年新高考资料_2.2024二轮复习
微考点6-3圆锥曲线中的定点定值问题(三大题型)(解析版)_2.2025数学总复习_2024年新高考资料_2.2024二轮复习
微考点6-3圆锥曲线中的定点定值问题(三大题型)(解析版)_2.2025数学总复习_2024年新高考资料_2.2024二轮复习
微考点6-3圆锥曲线中的定点定值问题(三大题型)(解析版)_2.2025数学总复习_2024年新高考资料_2.2024二轮复习
微考点6-3圆锥曲线中的定点定值问题(三大题型)(解析版)_2.2025数学总复习_2024年新高考资料_2.2024二轮复习
微考点6-3圆锥曲线中的定点定值问题(三大题型)(解析版)_2.2025数学总复习_2024年新高考资料_2.2024二轮复习
微考点6-3圆锥曲线中的定点定值问题(三大题型)(解析版)_2.2025数学总复习_2024年新高考资料_2.2024二轮复习
微考点6-3圆锥曲线中的定点定值问题(三大题型)(解析版)_2.2025数学总复习_2024年新高考资料_2.2024二轮复习
微考点6-3圆锥曲线中的定点定值问题(三大题型)(解析版)_2.2025数学总复习_2024年新高考资料_2.2024二轮复习

文档信息

文档格式
docx
文档大小
2.757 MB
文档页数
50 页
上传时间
2026-03-20 08:42:23

文档内容

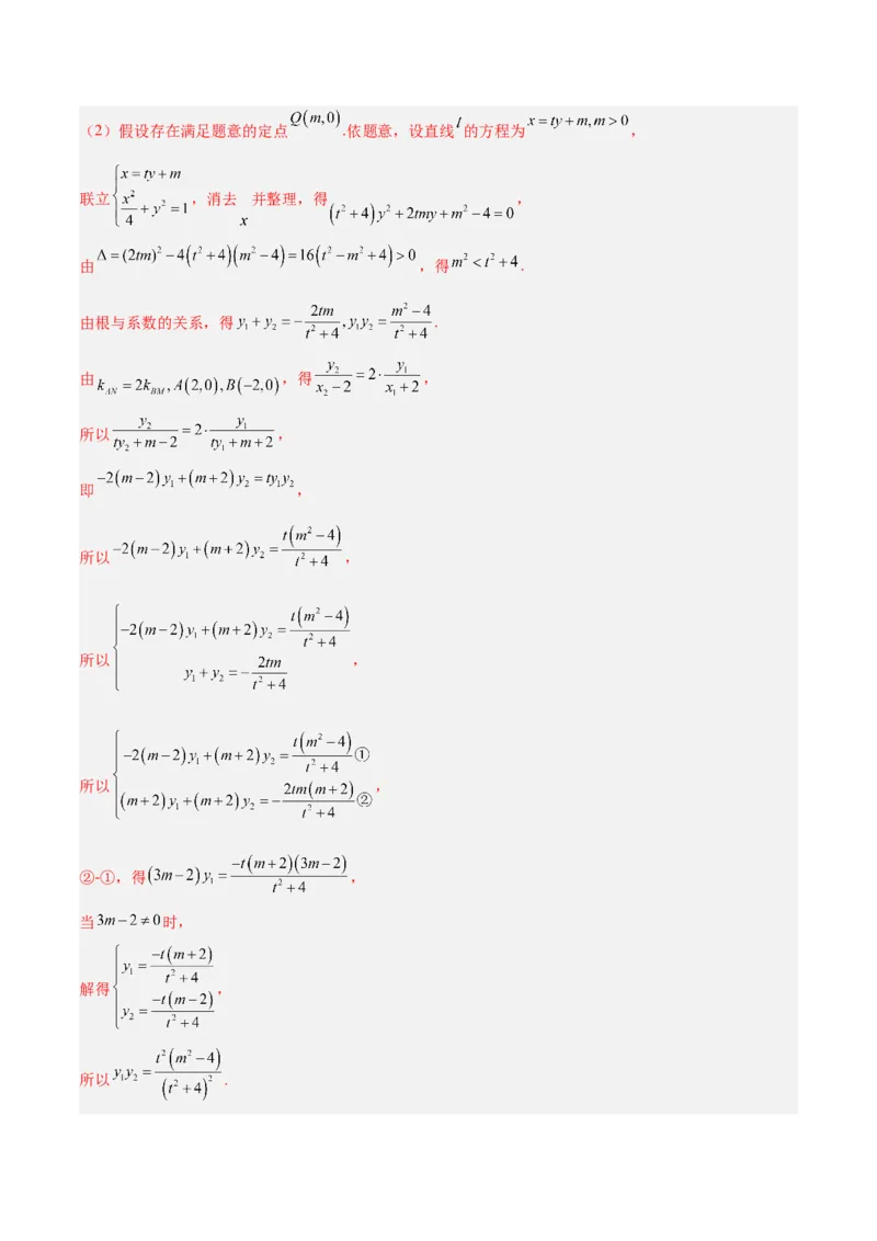
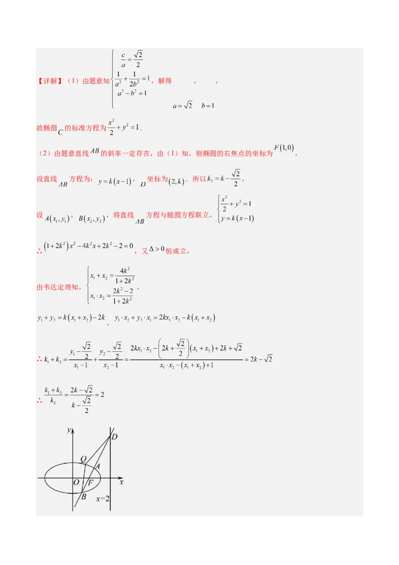
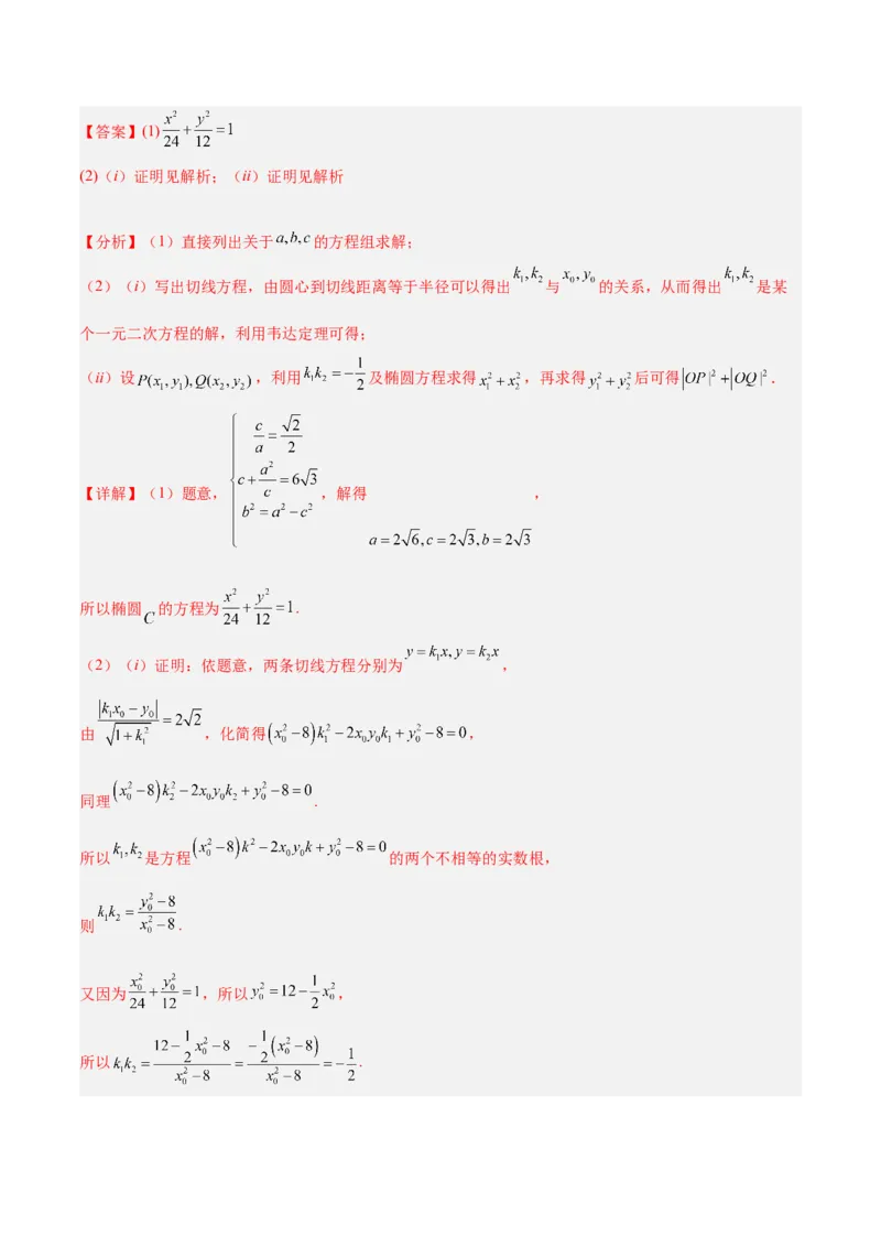
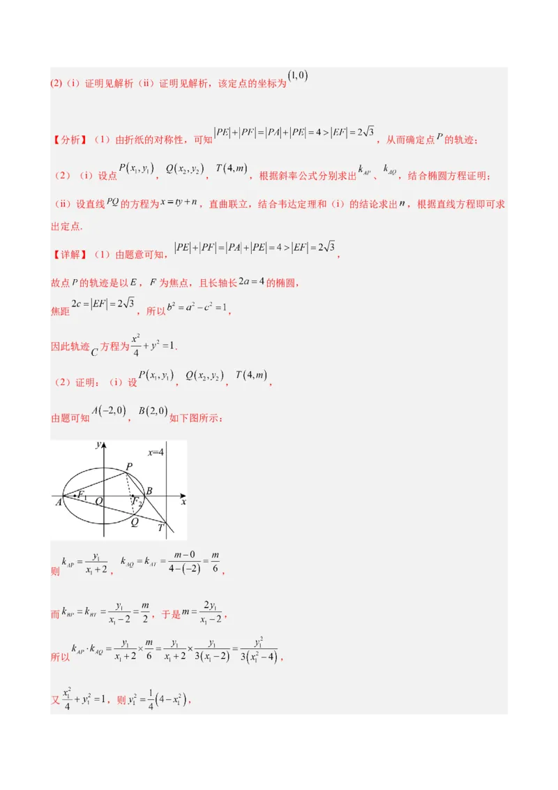
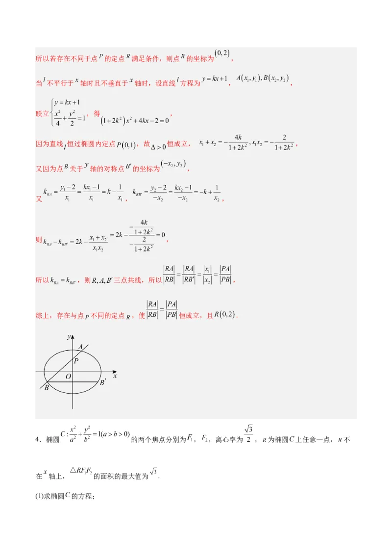
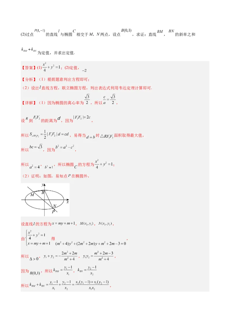
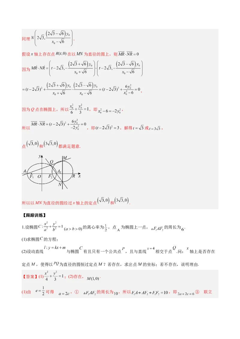
微考点 6-3 圆锥曲线中的定点定值问题(三大题型) 求解直线过定点问题常用方法如下: ①“特殊探路,一般证明”:即先通过特殊情况确定定点,再转化为有方向、有目的的一般性证明; ②“一般推理,特殊求解”:即设出定点坐标,根据题设条件选择参数,建立一个直线系或曲线的方程, 再根据参数的任意性得到一个关于定点坐标的方程组,以这个方程组的解为坐标的点即为所求点; ③求证直线过定点 ,常利用直线的点斜式方程 . ④设直线为y=kx+m,根据题目给出的条件,转化为坐标之间的关系,利用韦达定理找出k与m之间的 关系,即可求出定点。 题型一:圆锥曲线中直线过定点问题 【精选例题】 【例1】已知 为椭圆C: 上一点,点P与椭圆C的两个焦点构成的三角形面积 为 . (1)求椭圆C的标准方程; (2)不经过点P的直线l与椭圆C相交于A,B两点,若直线PA与PB斜率的乘积为-1,证明:直线 必过 定点,并求出这个定点坐标. 【答案】(1) ;(2)证明见解析. 【分析】(1)根据题意求出 即可得解; (2)设 ,分情况讨论,联立方程,利用韦达定理求出 ,再根据直线 与 的斜率之积为 即可得出结论. 【详解】(1)由点 与椭圆 的两个焦点构成的三角形面积为 可知 , 解得: , ,椭圆 的标准方程: ; (2)设 , 当直线 不平行于 轴时,设 方程为: ,由 不经过点 知 由 得 , , , , , , , ,过定点 当直线 平行于 轴时, ,设 由 和 的方程联立解得 , 方程为: ,过定点 综上,直线 必过定点 .【例2】已知椭圆 的离心率 ,且椭圆 经过点 . (1)求椭圆 的标准方程; (2)过点 且斜率不为零的直线与椭圆 交于 两点, 关于 轴的对称点为 ,求证:直线 与 轴交于定点 . 【答案】(1) ;(2)证明见解析 【分析】(1)利用离心率以及椭圆经过点的坐标联立解方程组,即可求得椭圆 的标准方程; (2)设直线 的方程为 并于椭圆联立,利用韦达定理写出直线 的方程,求出点 横坐标表 达式即可得 . 【详解】(1)由离心率可得 , 将点 代入椭圆方程可得 ,又 ; 解得 , 所以椭圆C的方程为 (2)设点 , ,则 ,直线 的方程为 , 直线 与椭圆 联立,消去 ,得 , 则可得 , ,易知 ,得 由题意,直线 的方程为 , 令 ,所以点 的横坐标 , 所以直线 与 轴交于定点 【跟踪训练】 1.“工艺折纸”是一种把纸张折成各种不同形状物品的艺术活动,在我国源远流长,某些折纸活动蕴含 丰富的数学知识,例如:用一张圆形纸片,按如下步骤折纸(如图): 步骤1:设圆心是 ,在圆内异于圆心处取一定点,记为 ; 步骤2:把纸片折叠,使圆周正好通过点 (即折叠后图中的点 与点 重合); 步骤3:把纸片展开,并留下一道折痕,记折痕与 的交点为 ; 步骤4:不停重复步骤2和3,就能得到越来越多的折痕. 现取半径为4的圆形纸片,设点 到圆心 的距离为 ,按上述方法折纸.以线段 的中点为原点,线 段 所在直线为 轴建立平面直角坐标系 ,记动点 的轨迹为曲线 . (1)求 的方程; (2)设轨迹 与 轴从左到右的交点为点 , ,点 为轨迹 上异于 , ,的动点,设 交直线 于 点 ,连结 交轨迹 于点 .直线 、 的斜率分别为 、 . (i)求证: 为定值; (ii)证明直线 经过 轴上的定点,并求出该定点的坐标. 【答案】(1)(2)(i)证明见解析(ii)证明见解析,该定点的坐标为 【分析】(1)由折纸的对称性,可知 ,从而确定点 的轨迹; (2)(i)设点 , , ,根据斜率公式分别求出 、 ,结合椭圆方程证明; (ii)设直线 的方程为 ,直曲联立,结合韦达定理和(i)的结论求出 ,根据直线方程即可求 出定点. 【详解】(1)由题意可知, , 故点 的轨迹是以 , 为焦点,且长轴长 的椭圆, 焦距 ,所以 , 因此轨迹 方程为 . (2)证明:(i)设 , , , 由题可知 , 如下图所示: 则 , , 而 ,于是 , 所以 , 又 ,则 ,因此 为定值. (ii)设直线 的方程为 , , , 由 ,得 , 所以 . 由(i)可知, , 即 , 化简得 ,解得 或 (舍去), 所以直线 的方程为 , 因此直线 经过定点 . 【点睛】本题第二问(ii)解题关键是设出直线方程联立椭圆方程,利用韦达定理结合(i)的结论列方程 可得. 2.已知椭圆 的中心为坐标原点,对称轴为坐标轴,且过点 , , , 为椭圆 上关于 轴对称的两点(不与点B重合), ,直线 与椭圆 交于另一点 ,直线 垂直于直线 , 为垂足. (1)求 的方程; (2)证明:(i)直线 过定点,(ii)存在定点 ,使 为定值. 【答案】(1) ;(2)(i)证明见解析;(ii)证明见解析. 【分析】(1)设方程为 ,代入 点的坐标,得出方程组,求解即得. (2)(i)设 的方程为 ,与椭圆方程联立,根据韦达定理表示出坐标关系,得出 的 方程为 ,令 ,整理可得 ,即可得出定点;(ii)由已知可得 ,即 可得出 的轨迹,得出答案. 【详解】(1)设 的方程为 ,则 ,解得 , 所以 的方程为 . (2)(i)依题意,直线 的斜率存在且不为0,设 的方程为 , 设点 , ,则 , 由 消去 并整理得 ,则 , , ,显然 , 直线 的斜率 ,直线 的方程为 , 令 ,则 , 所以直线 恒过定点 . (ii)令直线 过的定点 为点 ,由 , 在 上,得 , 则点 在以 为直径的圆上,从而 的中点 为定点,使 为定值 .【点睛】思路点睛:设 的方程为 ,与椭圆联立得出方程,根据韦达定理得出坐标关系. 进而整理化简,即可得出定点坐标. 题型二:圆锥曲线中圆过定点问题 【精选例题】 【例1】已知椭圆 : ( )的离心率为 ,其左、右焦点分别为 , , 为椭圆 上任意一点, 面积的最大值为1. (1)求椭圆 的标准方程; (2)已知 ,过点 的直线 与椭圆 交于不同的两点 , ,直线 , 与 轴的交点分别 为 , ,证明:以 为直径的圆过定点. 【答案】(1) ,(2)证明见解析 (1)解:因为椭圆 的离心率为 ,所以 .又当 位于上顶点或者下顶点时, 面积最大,即 . 又 ,所以 , .所以椭圆 的标准方程为 . (2)解:由题知,直线 的斜率存在,所以设直线 的方程为 ,设 , ,将直线 代入椭圆 的方程得: ,由韦达定理得: , ,直线 的方程为 ,直线 的方程为 ,所以 , , 所以以 为直径的圆为 ,整理得: .①因为 , 令①中的 ,可得 ,所以,以 为直径的圆过定点 . 【例2】在平面直角坐标系xOy中,已知椭圆 : 过点 ,离心率为 ,其左右 焦点分别为 , . (1)若点P与 , 的距离之比为 ,求直线 被点P所在的曲线 截得的弦长; (2)设 , 分别为椭圆 的左、右顶点,Q为 上异于 , 的任意一点,直线 , 分别与椭圆 的右准线交于点M,N,求证:以 为直径的圆经过x轴上的定点. 【答案】(1) ;(2)证明见解析 【分析】根据题意,利用 上的点 和离心率得 及 ; (1)由点 与 , 的距离之比化简整理得到点 的轨迹方程是一个圆,利用利用勾股定理可得弦长; (2)根据题意,写出直线 , 的直线方程并求其右准线交于点M,N的坐标,假设 轴上存在点在以 为直径的圆上,利用 求出 的值,从而得证以 为直径的圆经过x轴上的定点. 【详解】(1)因为椭圆 : 过点 ,所以 . 又因为离心率 ,即 ,故 , 所以 ,即 ,所以 ,则 , . 设 ,则 ,即 , 所以点 的轨迹为圆心 ,半径 的圆. 其圆心 到直线 的距离为 , 所以弦长 . 故直线 被点P所在的曲线 截得的弦长为 . (2)证明:由(1)知 ,所以 , ,右准线 . 设 , , 由 : ,则 ,同理 . 假设 轴上存在点 在以 为直径的圆上,则 因为 , 因为Q点在椭圆上,所以 ,即 , 所以 ,即 ,解得 或 , 点 和 都满足题意. 所以以MN为直径的圆经过x轴上的定点 和 . 【跟踪训练】 1.设椭圆 的离心率为 ,点 为椭圆上一点, 的周长为 . (1)求椭圆 的方程; (2)设动直线 与椭圆 有且只有一个公共点 ,且与直线 相交于点 .问: 轴上是否存在 定点 ,使得以 为直径的圆恒过定点 ?若存在,求出点 的坐标;若不存在,说明理由. 【答案】(1) ;(2)存在, . (1)由 可得 ,① 的周长为 ,所以 ,即 ② 联立①②得: , , ,∴椭圆的方程为 ; (2)设点 .由 ,得 , ,化简得 ,∴ , ∴ .由 ,得 ,假设存在点 ,则 , , ∵以 为直径的圆恒过 点,∴ , 即 ,∴ 对任意 都成立. 则 ,解得 ,故存在定点 符合题意. 2.在平面直角坐标系xOy中,已知椭圆C: 的长轴长为4,且经过点 ,其中e 为椭圆C的离心率. (1)求椭圆C的方程; (2)过点 的直线l交椭圆C于A,B两点,点B关于x轴的对称点为 ,直线 交x轴于点Q,过点 Q作l的垂线 ,垂足为H,求证:点H在定圆上. 【答案】(1) ;(2)证明见解析 【分析】(1)根据椭圆的长轴长,以及椭圆过的点,求出b的值,即可求得答案; (2)设l的方程为 ,联立椭圆方程,可得根与系数的关系式,结合 的方程可求得Q点坐标, 从而可得 的方程,并求出其过定点,结合垂直关系,即可证明结论. 【详解】(1)因为椭圆C: 的长轴长为 ,所以 ,因为椭圆 经过点 ,所以 , 又 ,所以 , 整理得 ,解得 或 (舍). 所以椭圆C的方程为 (2)证明:由题意可知,l的斜率存在, 设l的方程为 , ,则 . 由 ,得 , , 所以 , 因为 的方程为 , 令 ,得 , 即 , 因为 ,①当 时, 的斜率为 ,则 的方程为 ,即 , 所以 恒过点 . ②当 时,l的方程为 , ,则 的方程为 , 此时 也过点 . 综上, 恒过定点 , 由题意可知 ,故点H在以PM为直径的定圆上. 【点睛】:关键点睛:本题第二问证明点H在定圆上,关键在于推出直线 过定点 ,从而结合 ,即可证明结论. 题型三:圆锥曲线中圆过定值问题 【精选例题】 【例1】在平面直角坐标系 中,已知椭圆 的离心率为 ,且右焦点 到直线 的距离为 . (1)求椭圆的标准方程; (2)设椭圆 上的任一点 ,从原点 向圆 引两条切线,设两条切线的斜 率分别为 , (i)求证: 为定值; (ii)当两条切线分别交椭圆于 时,求证: 为定值.【答案】(1) (2)(i)证明见解析;(ii)证明见解析 【分析】(1)直接列出关于 的方程组求解; (2)(i)写出切线方程,由圆心到切线距离等于半径可以得出 与 的关系,从而得出 是某 个一元二次方程的解,利用韦达定理可得; (ii)设 ,利用 及椭圆方程求得 ,再求得 后可得 . 【详解】(1)题意, ,解得 , 所以椭圆 的方程为 . (2)(i)证明:依题意,两条切线方程分别为 , 由 ,化简得 , 同理 . 所以 是方程 的两个不相等的实数根, 则 . 又因为 ,所以 , 所以 .(ii)证明:由( 得, ,设 ,则 ,即 , 因为 ,所以 , 得 ,即 , 解得 , 所以 , 所以 为定值. 【例2】已知椭圆 : 离心率 ,且经点 . (1)求椭圆 的标准方程; (2)过椭圆C右焦点的直线l交椭圆于A,B两点,交直线 于点D,且 ,设直线 , , 的斜率分别为 , , ,若 ,证明 为定值. 【答案】(1) ;(2)证明见解析 【分析】(1)由题意可得 ,解方程求出 ,即可得出答案; (2)设 , ,设直线 方程为: ,将直线 方程与随圆方程联立,得到关 于 的一元二次方程,根据韦达定理,可得 的表达式,由此表示出 ,再 代入 化简即可得出答案.【详解】(1)由题意知 ,解得 , , 故椭圆 的标准方程为 . (2)由题意直线 的斜率一定存在,由(1)知,则椭圆的右焦点的坐标为 , 设直线 方程为: , 坐标为 .所以 , 设 , ,将直线 方程与随圆方程联立, ∴ ,又 恒成立, 由韦达定理知, , , ∴ ∴【点睛】关键点睛:解题的关键是根据直线 方程得到 坐标为 ,则 ,直线 方程与 随圆方程联立,化简整理,结合韦达定理表示出 ,代入化简即可得出答案. 【例3】已知椭圆 过点 ,离心率 . (1)求椭圆 的标准方程; (2)设过点 的斜率为 直线 交椭圆 于另一点 ,若 的面积为2,其中 为坐标原点,求直线 的 斜率 的值; (3)设过点 的直线 交椭圆 于点 , ,直线 , 分别交直线 于点 , .求证:线 段 的中点 为定点. 【答案】(1) (2)0 (3)证明见解析 【分析】(1)根据给定条件,列出关于 的方程组并求解即得. (2)由点斜式写出直线 的方程,与椭圆方程联立结合三角形面积求出k值即得. (3)设出直线 的方程,与椭圆方程联立,求出点 的坐标,结合韦达定理计算得解. 【详解】(1)令椭圆半焦距为c,依题意, , 解得 , , ,所以椭圆 的方程为 . (2)设直线 的方程为 , , 则原点到直线 的距离为 ,由 消去 并化简得 , 显然 ,设 ,有 ,则 , 于是 , 则 ,解得 , 所以直线 的方程为 . (3)依题意,直线 的斜率存在,设直线 的方程为 , 由 ,消去 并化简得 , 则 , , 由 ,得 ,所以 , 显然直线 , 的斜率存在,直线 的方程为 , 令 ,得 , 同理得 , 所以, 所以线段 的中点 为定点 . 【点睛】结论点睛:过定点 的直线l:y=kx+b交圆锥曲线于点 , ,则 面积 ; 过定点 直线l:x=ty+a交圆锥曲线于点 , ,则 面积 . 【跟踪训练】 1.如图,D为圆O: 上一动点,过点D分别作x轴,y轴的垂线,垂足分别为A,B,连接 并 延长至点W,使得 ,点W的轨迹记为曲线 . (1)求曲线C的方程; (2)若过点 的两条直线 , 分别交曲线C于M,N两点,且 ,求证:直线MN过定点; (3)若曲线C交y轴正半轴于点S,直线 与曲线C交于不同的两点G,H,直线SH,SG分别交x轴于 P,Q两点.请探究:y轴上是否存在点R,使得 ?若存在,求出点R坐标;若不存在, 请说明理由. 【答案】(1)(2)证明见解析, (3)存在, 【分析】(1)设 ,求得D点并代入 ,化简求得曲线C的方程; (2)设 的方程为 ,直线 的方程为 ,将直线 的方程与曲线C的方程联立,求 得M,N的坐标,对 进行分类讨论,由此证得直线 过定点并求得定点坐标; (3)假设存在点 使得 ,先求得 ,设出G,H的坐标,由直线SH 和直线SG的方程求得P,Q两点的坐标,结合G在曲线C上求得R点的坐标. 【详解】(1)设 , ,则 , 由题意知 ,所以 ,得( ,所以 , 因为 ,得 ,故曲线C的方程为 . (2)由题意可知,直线 不平行坐标轴, 则可设 的方程为: ,此时直线 的方程为 . 由 ,消去 得: , 解得: 或 (舍去),所以 , 所以 ,同理可得: . 当 时,直线 的斜率存在,, 则直线 的方程为 , 所以直线 过定点 . 当 时,直线 斜率不存在,此时直线 方程为: ,也过定点 , 综上所述:直线 过定点 . (3)假设存在点R使得 ,设 , 因为 ,所以 ,即 , 所以 ,所以 , 直线 与曲线C交于不同的两点G、H,易知G、H关于 轴对称, 设 , 易知点 ,直线 方程是 , 令 得点P横坐标 , 直线 方程是 ,令 得点Q横坐标 , 由 ,得 ,又 在椭圆上, 所以 ,所以 ,解得 , 所以存在点 ,使得 成立.3.已知椭圆 的长轴长为4,离心率为 ,定点 . (1)求椭圆 的方程; (2)设直线 与椭圆 分别交于点 ( 不在直线 上),若直线 , 与椭圆 分别交于点 , ,且直线 过定点 ,问直线 的斜率是否为定值?若是,求出定值;若不是,说明理由. 【答案】(1) ;(2)直线 的斜率为定值1 【分析】(1)由长轴长和离心率可求出 ,结合关系式可求出 ,进而求出椭圆 的方程; (2)可设 , , , ,由 , 得 ,将 , 代入椭圆整理得 ,联立 求得 ,同理求得 ,结合 ,化简 求出 , 由 即可求解. 【详解】(1)由椭圆 的长轴长为4可知 , 又椭圆 的离心率为 ,即 ,所以 ,则 , 因此椭圆 的方程为 ;(2) 直线 的斜率为定值,定值为1, 证明:设 , , , ,, , , 由 ,有 , 因为 , 在椭圆上, 所以 , ,因此 , 整理得 , 即 ,因此 , 联立 , 解得 ,同理 , 又因为直线 过定点 ,所以 , 将 , , , 代入,有 ,整理得 , 又 ,所以 . 综上,直线 的斜率为定值1. 【点睛】关键点睛:本题涉及的量比较多,关键是设而不求,整体代换的思想的应用. 4.已知椭圆C: 的左、右顶点分别为A,B,其离心率为 ,点P是C上的一点 (不同于A,B两点),且 面积的最大值为 . (1)求C的方程; (2)若点O为坐标原点,直线AP交直线 于点G,过点O且与直线BG垂直的直线记为l,直线BP交y 轴于点E,直线BP交直线l于点F,试判断 是否为定值?若是,则求出该定值;若不是,请说明理由. 【答案】(1) ;(2)是定值, . 【分析】(1)根据离心率及焦点三角形性质、椭圆参数关系求参数,即可得方程; (2)设 ,且 ,求得 ,再根据已知可得直线 ,而 直线 ,进而求出 坐标,过 作 轴,利用等比例关系求 即可得结论. 【详解】(1)由题意 ,故 .(2)由(1)及题设知: ,直线 的斜率存在且不为0, 设 ,则 ,即 , 所以 ,又过点O且与直线BG垂直的直线记为l,则 , 故直线 ,而直线 ,则 , 联立 ,而 ,可得 , 所以 ,故 ,过 作 轴,如图, 所以 为定值. 1.设椭圆 : 的左、右顶点分别为C,D,且焦距为2.F为椭圆的右焦点,点M在椭 圆上且异于C,D两点.若直线 与 的斜率之积为 . (1)求椭圆 的标准方程;(2)过点 作一条斜率不为0的直线与椭圆E相交于A,B两点(A在B,P之间),直线 与椭圆E 的另一个交点为H,求证:点A,H关于x轴对称. 【答案】(1) ;(2)证明见解析 【分析】(1)根据直线 与 的斜率之积得到 ,故 ,结合焦距得到 , ,得到椭圆方程; (2)设出直线 方程,与椭圆方程联立,得到两根之和,两根之积,表达出 ,得到结论. 【详解】(1)由题意有 , , 设 , ,化简得 ,结合 , 可得 , 由椭圆焦距为2,有 ,得 , , 椭圆E的标准方程为 ; (2)显然直线 方程斜率不存在时,与椭圆方程无交点, 根据椭圆的对称性,欲证 ,H关于 轴对称, 只需证 ,即证 , 设 , ,直线 方程为 , 由 消去 得 ,,解得 , 所以 , . 则 , 因为 , 所以 ,即A,H关于 轴对称. 2.已知椭圆E: 的左、右焦点分别为 , ,左顶点为A, ,P是椭圆E上 一点(异于顶点),O是坐标原点,Q在线段 上,且 ∥ , . (1)求椭圆E的标准方程; (2)若直线l与x轴交于点C、与椭圆E交于点M,N,B与N关于x轴对称,直线MB与x轴交于点D,证 明: 为定值. 【答案】(1) ;(2)证明见解析 【分析】(1)利用三角形中位线定理结合椭圆的定义及已知条件可求出 ,再由 可求出 ,然后 由 可求得 ,从而可求出椭圆方程; (2)由题意知直线MN,MB的斜率均存在且均不为零,设 , , , ,然 后表示出直线MN,MB的方程,分别与椭圆方程联立,利用根与系数的关系,得到两个 相等,化简 可得结论. 【详解】(1)由题知,O是线段 的中点,Q在线段 上, ∥ , 则Q是线段 的中点,可得 , ,所以 ,即 , 又因为 ,则 , 可得 , 所以椭圆E的标准方程为 . (2)由题意知直线MN,MB的斜率均存在且均不为零, 设 , , , ,则 , 可得直线MN的方程为 ,直线MB的方程为 , 联立方程 , 消去y并整理得 , 则 , , 联立方程 , 消去y并整理得 , 则 , . 因为 , 即 , 整理得 , 当 时, ,即 ;当 时,C,D,M三点重合或N,B,C,D四点重合,此时 ; 综上所述: ,为定值. 【点睛】关键点睛:求解定值问题的三个步骤 (1)由特例得出一个值,此值一般就是定值; (2)证明定值,有时可直接证明定值,有时将问题转化为代数式,可证明该代数式与参数(某些变量)无关; 也可令系数等于零,得出定值; (3)得出结论. 3.已知 为圆 : 上任一点, , , ,且满足 . (1)求动点 的轨迹 的方程; (2)过点 的直线与轨迹 相交于 , 两点,是否存在与点 不同的定点 ,使 恒成立?若 存在,求出点 的坐标;若不存在,请说明理由. 【答案】(1) (2)存在,R的坐标为 【分析】(1)由 可得 ,根据向量的加法以及数量积运算可 ,从而得 到 ,结合椭圆的定义即可求出其轨迹方程.(2)当过点 的直线平行于 轴时和垂直于 轴时,求得 ,当 不平行于 轴时且不垂直于 轴 时,联立方程,利用韦达定理和点 关于 轴的对称点 ,结合 ,求得 三点共线,从而满 足 ,即可判断存在点 不同的定点 . 【详解】(1)圆 : ,圆心 ,半径为 ,因为 ,则 , 因为 , ,则 在线段 上,即 , 又因为 ,所以 ,即 , 所以动点 的轨迹 是以 为焦点,长轴长为 的椭圆, 设椭圆方程为 ,则 , ,则 , , 所以 ,则动点 的轨迹 的方程为 . (2)设过点 的直线为 , 当 平行于 轴时,直线与椭圆相交于 两点,如果存在点 满足条件, 则有 ,即 ,所以 点在 轴上,可设 的坐标为 ; 当 垂直于 轴时,直线与椭圆相交于 两点, 如果存在点 满足条件,则有 ,即 ,解得 或 ,所以若存在不同于点 的定点 满足条件,则点 的坐标为 , 当 不平行于 轴时且不垂直于 轴时,设直线 方程为 , , 联立 ,得 , 因为直线 恒过椭圆内定点 ,故 恒成立, , 又因为点 关于 轴的对称点 的坐标为 , 又 , , 则 , 所以 ,则 三点共线,所以 , 综上,存在与点 不同的定点 ,使 恒成立,且 . 4.椭圆 的两个焦点分别为 , ,离心率为 , 为椭圆 上任意一点, 不 在 轴上, 的面积的最大值为 . (1)求椭圆 的方程;(2)过点 的直线 与椭圆 相交于M,N两点,设点 ,求证:直线 , 的斜率之和 为定值,并求出定值. 【答案】(1) ;(2)定值, 【分析】(1)根据题意列出方程即可; (2)设出 直线方程,联立椭圆方程,列出表达式利用韦达定理计算即可. 【详解】(1)因为椭圆的离心率为 ,所以 , 设 到 的距离为 ,因为 , 所以 ,易得当 时 面积取得最大值, 所以 ,因为 , 所以 , ,所以椭圆 的方程为 ; (2)证明:如图,易知点 在椭圆外, 设直线 的方程为 , , , 由 得 , 所以 , , , 因为 ,所以 , 所以 ,所以 , 所以 . 【点睛】关键点点睛:本题的第(2)问的化简,这里化简主要是利用了韦达定理和直线的方程,在化简 过程中同时涉及到通分,计算比较复杂,要认真计算. 5.已知 , ,动圆 与圆 外切且与圆 内切. 圆心 的轨迹 为曲线 . (1)求曲线C的方程; (2)是否存在过点 的直线 交曲线C于A,B两点,使得点Q为中点时,直线 的斜率与直线OQ的 斜率乘积为定值?如果存在,求出这个定值,如果不存在,说明理由. 【答案】(1) (2)存在, 【分析】(1)先根据题意得到圆 与圆 的圆心和半径,再根据题意求得 , ,从 而根据椭圆的定义可知,动点 的轨迹是以 , 为焦点,4为半长轴长的椭圆,进而即可求得曲线C的 方程; (2)先根据题意可得过点 的直线 的斜率存在,从而设直线 为 ,再联立曲线C的 方程,消 整理得到关于 的一元二次方程,再结合点Q为中点,从而求得 的值,进而即可得到结论. 【详解】(1)依题意可得圆 的圆心为 ,半径为1,圆 的圆心为 ,半径为7, 设动圆 的半径为 , 由动圆 与圆 外切且与圆 内切, 则 ,且 , 则由椭圆的定义可知,动点 的轨迹是以 , 为焦点,4为半长轴长的椭圆, 所以 , , ,故曲线C的方程的方程为 . (2)依题意可得过点 的直线 的斜率存在, 则设直线 为 , 联立 ,消 整理得 , 当点Q为中点时,有 ,解得 , 又 ,所以 (定值), 故直线 的斜率与直线OQ的斜率乘积为定值 . 6.已知椭圆 的长轴为双曲线 的实轴,且椭圆 过点 . (1)求椭圆 的标准方程; (2)设点 是椭圆 上异于点 的两个不同的点,直线 与 的斜率均存在,分别记为 ,若,试问直线 是否经过定点,若经过,求出定点坐标;若不经过,请说明理由. 【答案】(1) ;(2)过定点 ,理由见解析 【分析】(1)由题意可得 , ,求出 ,从而可得椭圆方程, (2)分直线 的斜率存在和不存在两种情况讨论,设出直线 的方程,与椭圆方程联立,利用根与系 数的关系,求出直线 与 的斜率,再由 列方程可得参数的关系,代入直线方程可求出直线恒 过的定点. 【详解】(1)因为椭圆 的长轴为双曲线 的实轴, 所以 , 因为椭圆 过点 ,所以 , ,得 , 所以椭圆方程为 ; (2)①当直线 的斜率存在时,设其方程为 , 由 ,得 , , 所以 , , 所以 , , 因为 ,所以 , 所以 , 所以 , 所以 , 化简得 ,即 ,所以 或 , 当 时,直线 的方程为 , 则直线过定点 (舍去), 当 时,直线 的方程为 , 所以直线过定点 , ②当直线 的斜率不存在时,设直线为 ( ), 由 ,得 ,所以 , 所以 , 解得 (舍去),或 , 所以直线也过定点 , 综上,直线 恒过定点 . 【点睛】处理定点问题的思路: (1)确定题目中的核心变量(此处设为 ), (2)利用条件找到 与过定点的曲线 的联系,得到有关 与 的等式, (3)所谓定点,是指存在一个特殊的点 ,使得无论 的值如何变化,等式恒成立,此时要将关于 与 的等式进行变形,直至找到 , ①若等式的形式为整式,则考虑将含 的式子归为一组,变形为“ ”的形式,让括号中式子等于0, 求出定点; ②若等式的形式是分式,一方面可考虑让分子等于0,一方面考虑分子和分母为倍数关系,可消去 变为常数. 8.已知椭圆 的离心率为 ,且过点 . (1)求椭圆 的标准方程. (2)已知过右焦点 的直线 与 交于 两点,在 轴上是否存在一个定点 ,使 ?若存在, 求出定点 的坐标;若不存在,请说明理由. 【答案】(1) ;(2)存在, 【分析】(1)由离心率 与定点 代入椭圆方程,建立方程组 待定系数即可; (2)由 条件转化为 ,设直线 的方程为 ,将斜率坐 标化,利用韦达定理代入,得到 的等式,不论 如何变化,等式恒成立求 值即可. 【详解】(1)因为 ,所以 . 所以椭圆 的方程为 . 因为点 在椭圆 上,所以 ,解得 , 所以 . 所以椭圆 的标准方程为 . (2)存在定点 ,使 .理由如下: 由(1)知, ,则点 . 设在 轴上存在定点 ,使 成立. 当直线 斜率为 时,直线右焦点 的直线 即 轴与 交于长轴两端点, 若 ,则 ,或 . 当直线 斜率不为 时,设直线 的方程为 ,.由 消去 并整理,得 , 则 . 因为 ,所以 , 所以 ,即 . 所以 , 即 , 恒成立, 即对 , 恒成立,则 ,即 . 又点 满足条件 . 综上所述,故存在定点 ,使 . 9.已知椭圆 的左、右焦点分别为 , ,上、下顶点分别为 , ,且四边形 是面积为8的正方形.(1)求C的标准方程; (2)M,N为C上且在x轴上方的两点, , 与 的交点为P,试问 是否为定值?若 是,求出该定值;若不是,请说明理由. 【答案】(1) ;(2)定值为 . 【分析】(1)根据面积求出 ,即可得出椭圆方程; (2)设 ,根据相似三角形表示出 ,利用直线与椭圆方程化简可得 的和积, 代入化简即可得解. 【详解】(1)椭圆 的左、右焦点分别为 , ,上、下顶点分别为 , ,因为四边形 是面积为8的正方形, 所以有 且 ,解得 ,故 , 所以椭圆的标准方程为 ; (2)由已知 ,则 , 设 ,因为 , 所以 . 又因为 ,所以 , 所以. 即 . 设 , 的方程分别为: , , 设 , , 则 , 所以 , 因此 , 同理可得: ,因此 , , 所以 . 所以 为定值,定值为 . 【点睛】关键点点睛:本题的关键在于运算,大量的运算保证了消参的进行,为求证定值的必要条件,运 算能力的培养是解决问题的关键. 10.已知椭圆 的左、右焦点分别为 ,点 在椭圆 上,且满足轴, . (1)求椭圆 的标准方程; (2)设椭圆 的右顶点为 ,左顶点为 ,是否存在异于点 的定点 ,使过定点 的任 一条直线 均与椭圆 交于 (异于 两点)两点,且使得直线 的斜率为直线 的斜率的2倍?若存在,求出 的值;若不存在,请说明理由. 【答案】(1) ;(2)存在定点 满足题意, . 【分析】(1)由 轴,得到 ,从而得到 , ,再利用椭圆定 义求得a即可; (2)假设存在满足题意的定点 ,设直线 的方程为 ,联立 ,由 ,结合韦达定理求解. 【详解】(1)解:因为 轴,所以 , 解得 所以 . 根据椭圆的定义,得 , 解得 . 又 ,所以 , 所以椭圆 的标准方程为 .(2)假设存在满足题意的定点 .依题意,设直线 的方程为 , 联立 ,消去 并整理,得 , 由 ,得 . 由根与系数的关系,得 . 由 ,得 , 所以 , 即 , 所以 , 所以 , 所以 , ②-①,得 , 当 时, 解得 , 所以 .又 ,所以 . 因为上式在 变化时恒成立,所以 .又 ,所以 . 此时点 与点 重合,不合题意,舍去; 所以 ,即 , 此时点 在椭圆 的内部,满足直线 均与椭圆 交于 两点, 所以存在定点 满足题意, . 11.已知椭圆C: ( )的离心率为 ,其左、右焦点分别为 , ,点P是坐标 平面内一点,且 (O为坐标原点). (1)求椭圆C的方程; (2)过点 且斜率为k的动直线l交椭圆于A,B两点,在y轴上是否存在定点M,使以AB为直径的 圆恒过点M?若存在,求出点M的坐标和 面积的最大值;若不存在,说明理由. 【答案】(1) ;(2)存在定点 , 面积的最大值为 【分析】(1)根据向量的数量积运算求得 ,结合离心率求 ,即可得方程; (2) , ,联立方程,根据 结合韦达定理分析可知 ,再利用弦长公式结合基本不等式求面积最大值. 【详解】(1)设椭圆C的半焦距为 , 因为 ,即 ,解得 , 又因为 ,则 ,可得 , 所以椭圆C的方程为 . (2)存在,理由如下: 因为 在椭圆内,则动直线l与椭圆C必相交, 由题意可设: , , 联立方程 ,消去y得 , 则 , 因为 , 若以AB为直径的圆恒过点M, 则 整理得 , 可得 , 令 ,即 , 整理得 ,则 ,解得 , 即 ,可得 ,所以 ,又因为 , 点 到直线 的距离 , 则 面积 , 令 ,则 , 可得 , 因为 在 上单调递增,且 ,则 , 可得 ,则 , 所以当且仅当 时, 面积取到最大值 . 【点睛】方法点睛:存在性问题求解的思路及策略 (1)思路:先假设存在,推证满足条件的结论,若结论正确则存在;若结论不正确则不存在; (2)策略:①当条件和结论不唯一时要分类讨论; ②当给出结论而要推导出存在的条件时,先假设成立,再推出条件; ③当条件和结论都不知,按常规法解题很难时,可先由特殊情况探究,再推广到一般情况. 12.已知椭圆 经过点 ,且右焦点为 (1)求C的标准方程;(2)过点 且斜率不为0的直线l与C交于M,N两点,直线 分别交直线AM,AN于点E,F,以EF 为直径的圆是否过定点?若是,求出定点坐标;若不是,请说明理由. 【答案】(1) (2)以EF为直径的圆过定点 , 【分析】(1)根据条件求出a,b,即可得椭圆方程; (2)设直线l的方程为 ,联立椭圆方程,利用韦达定理,求出E,F坐标,通过 ,求 出 ,即可求得定点坐标 【详解】(1)由题意, , , 所以 , 故C的标准方程为 (2)以EF为直径的圆过定点,理由如下: 设直线l的方程为 ,联立椭圆方程 , 消去x,整理可得 , 则 ,且 , 由直线AM方程为 ,令 ,求得点 由直线AN方程为 ,令 ,求得点 由对称性可知,若以EF为直径的圆过定点,则该定点一定在x轴上, 设该定点为 ,则 , ,可得 由 ,解得 , 故以EF为直径的圆过定点 , 13.已知椭圆 过点 ,离心率为 . (1)求椭圆 的方程; (2)已知 的下顶点为 ,不过 的直线 与 交于点 ,线段 的中点为 ,若 ,试 问直线 是否经过定点?若经过定点,请求出定点坐标;若不过定点,请说明理由. 【答案】(1) (2)过定点, 【分析】(1)根据题意,列出关于 的方程,代入计算,即可得到结果; (2)根据题意,设 的方程为 ,联立直线与椭圆方程,结合韦达定理,由 ,代入计算,即可得到结果.【详解】(1)依题意,得 又 ,解得 所以椭圆方程为 . (2) 因为 ,所以 , 又 为线段 的中点,所以 ,因此 . 根据题意可知直线 的斜率一定存在,设 的方程为 , 联立 消去 , 得 , 根据韦达定理可得 , 因为 , 所以 , 所以 ,整理得 ,解得 或 . 又直线 不经过点 ,所以 舍去, 于是直线 的方程为 ,恒过定点 ,该点在椭圆 内,满足 , 所以直线 恒过定点,定点坐标为 .