当前位置:首页>文档>第六章平面向量、复数(综合检测)一轮复习讲义2024年高考数学高频考点题型归纳与方法总结(新高考通用)参考答案_02高考数学_新高考复习资料_2024年新高考资料_一轮复习资料

第六章平面向量、复数(综合检测)一轮复习讲义2024年高考数学高频考点题型归纳与方法总结(新高考通用)参考答案_02高考数学_新高考复习资料_2024年新高考资料_一轮复习资料

  • 2026-04-19 10:06:31 2026-04-19 10:06:31

文档预览

第六章平面向量、复数(综合检测)一轮复习讲义2024年高考数学高频考点题型归纳与方法总结(新高考通用)参考答案_02高考数学_新高考复习资料_2024年新高考资料_一轮复习资料
第六章平面向量、复数(综合检测)一轮复习讲义2024年高考数学高频考点题型归纳与方法总结(新高考通用)参考答案_02高考数学_新高考复习资料_2024年新高考资料_一轮复习资料
第六章平面向量、复数(综合检测)一轮复习讲义2024年高考数学高频考点题型归纳与方法总结(新高考通用)参考答案_02高考数学_新高考复习资料_2024年新高考资料_一轮复习资料
第六章平面向量、复数(综合检测)一轮复习讲义2024年高考数学高频考点题型归纳与方法总结(新高考通用)参考答案_02高考数学_新高考复习资料_2024年新高考资料_一轮复习资料
第六章平面向量、复数(综合检测)一轮复习讲义2024年高考数学高频考点题型归纳与方法总结(新高考通用)参考答案_02高考数学_新高考复习资料_2024年新高考资料_一轮复习资料
第六章平面向量、复数(综合检测)一轮复习讲义2024年高考数学高频考点题型归纳与方法总结(新高考通用)参考答案_02高考数学_新高考复习资料_2024年新高考资料_一轮复习资料
第六章平面向量、复数(综合检测)一轮复习讲义2024年高考数学高频考点题型归纳与方法总结(新高考通用)参考答案_02高考数学_新高考复习资料_2024年新高考资料_一轮复习资料
第六章平面向量、复数(综合检测)一轮复习讲义2024年高考数学高频考点题型归纳与方法总结(新高考通用)参考答案_02高考数学_新高考复习资料_2024年新高考资料_一轮复习资料
第六章平面向量、复数(综合检测)一轮复习讲义2024年高考数学高频考点题型归纳与方法总结(新高考通用)参考答案_02高考数学_新高考复习资料_2024年新高考资料_一轮复习资料
第六章平面向量、复数(综合检测)一轮复习讲义2024年高考数学高频考点题型归纳与方法总结(新高考通用)参考答案_02高考数学_新高考复习资料_2024年新高考资料_一轮复习资料

文档信息

文档格式
docx
文档大小
0.334 MB
文档页数
6 页
上传时间
2026-04-19 10:06:31

文档内容

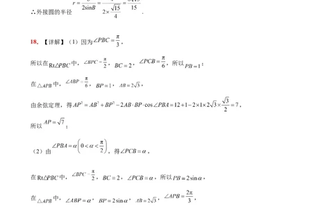
第六章 平面向量、复数章末检测 参考答案 1.C 2.D 3.A 4.B 5.C 6.C 7.B 8.B 9.AC 10.ACD 11.ABC 12.CD 13. 14. 15. 16.1 17.【详解】试题分析:(1)由 结合正弦定理可得 ,可得 . (2)由 ,和(1)中所得可求 ,又由余弦定理 ,再用正弦定理求得 外接圆的半径 . 试题解析:(1)∵ , ∴ , ∴ , ∴ , ∴ , ∴ . (2)∵ , 资料收集整理【淘宝店铺:向阳百分百】∴ ,∴ , 又 为锐角, ∴ , ∴ , ∴ , ∴外接圆的半径 . 18.【详解】(1)因为 , 所以在 中, , , ,所以 ; 在 中, , , , 由余弦定理,得 , 所以 ; (2)由 ,得 , 在 中, , , ,所以 , 在 中, , , , , 由正弦定理得 , 所以 ,又 ,所以 , 由 ,得 . 19.【详解】解:选①: 资料收集整理【淘宝店铺:向阳百分百】(1)因为 , ,三角形中 , 所以 , 所以 ,又因为C为 的一个内角,所以 (2)因为 的面积为 所以 ,所以 因为D为 的中点,所以 , 从而 ,所以 选②: (1)因为 所以 ,三角形中 , 所以 ,又因为C为 的一个内角,所以 (2)下同选①. 选③: (1)因为 ,所以 ,三角形中 , 所以 所以 ,又因为C为 的一个内角,所以 (2)下同选①. 20.【详解】(1)依题意 ,否则 ,则 , 矛盾, 资料收集整理【淘宝店铺:向阳百分百】由 得 ,即得 故 , 整理得 ,从而 又因为 可得 , 从而 . (2)由 ,由(1)可得 故 为锐角, , 故 , 从而 当且仅当 时取等号, 的最小值为 . 21.【详解】(1)因为 , 所以 , 因为 , 所以 , 所以由正弦定理得 , 因为 ,所以 , 所以 , 所以 ,所以 , 所以 ,所以 , 因为 ,所以 , (2)因为 , 的角平分线交 于点 ,所以 , 因为 ,所以 , 资料收集整理【淘宝店铺:向阳百分百】所以 ,所以 , 因为 为 的中点,且 , 所以 ,所以 , 所以 ,所以 , 所以 ,所以 ,解得 或 (舍去), 所以 所以由余弦定理得 , 所以 22.【详解】解:(1) 在 中, , , , 解得 , 在 中,由余弦定理得: , ; (2)由 ,则 , , 在 中, , ,由正弦定理得 , , , 记该计划所费用为 , 资料收集整理【淘宝店铺:向阳百分百】则 , , 令 , 则 , 由 ,解得 , 当 时, , 单调递减, 当 , 时, , 单调递增, 时,该计划所需费用最小. 资料收集整理【淘宝店铺:向阳百分百】