当前位置:首页>文档>第22讲平面向量的概念及其线性运算(精讲)一轮复习讲义2024年高考数学高频考点题型归纳与方法总结(新高考通用)原卷版_2.2025数学总复习_2024年新高考资料_1.2024一轮复习

第22讲平面向量的概念及其线性运算(精讲)一轮复习讲义2024年高考数学高频考点题型归纳与方法总结(新高考通用)原卷版_2.2025数学总复习_2024年新高考资料_1.2024一轮复习

  • 2026-04-01 14:03:58 2026-03-25 09:47:50

文档预览

第22讲平面向量的概念及其线性运算(精讲)一轮复习讲义2024年高考数学高频考点题型归纳与方法总结(新高考通用)原卷版_2.2025数学总复习_2024年新高考资料_1.2024一轮复习
第22讲平面向量的概念及其线性运算(精讲)一轮复习讲义2024年高考数学高频考点题型归纳与方法总结(新高考通用)原卷版_2.2025数学总复习_2024年新高考资料_1.2024一轮复习
第22讲平面向量的概念及其线性运算(精讲)一轮复习讲义2024年高考数学高频考点题型归纳与方法总结(新高考通用)原卷版_2.2025数学总复习_2024年新高考资料_1.2024一轮复习
第22讲平面向量的概念及其线性运算(精讲)一轮复习讲义2024年高考数学高频考点题型归纳与方法总结(新高考通用)原卷版_2.2025数学总复习_2024年新高考资料_1.2024一轮复习
第22讲平面向量的概念及其线性运算(精讲)一轮复习讲义2024年高考数学高频考点题型归纳与方法总结(新高考通用)原卷版_2.2025数学总复习_2024年新高考资料_1.2024一轮复习
第22讲平面向量的概念及其线性运算(精讲)一轮复习讲义2024年高考数学高频考点题型归纳与方法总结(新高考通用)原卷版_2.2025数学总复习_2024年新高考资料_1.2024一轮复习
第22讲平面向量的概念及其线性运算(精讲)一轮复习讲义2024年高考数学高频考点题型归纳与方法总结(新高考通用)原卷版_2.2025数学总复习_2024年新高考资料_1.2024一轮复习
第22讲平面向量的概念及其线性运算(精讲)一轮复习讲义2024年高考数学高频考点题型归纳与方法总结(新高考通用)原卷版_2.2025数学总复习_2024年新高考资料_1.2024一轮复习
第22讲平面向量的概念及其线性运算(精讲)一轮复习讲义2024年高考数学高频考点题型归纳与方法总结(新高考通用)原卷版_2.2025数学总复习_2024年新高考资料_1.2024一轮复习
第22讲平面向量的概念及其线性运算(精讲)一轮复习讲义2024年高考数学高频考点题型归纳与方法总结(新高考通用)原卷版_2.2025数学总复习_2024年新高考资料_1.2024一轮复习
第22讲平面向量的概念及其线性运算(精讲)一轮复习讲义2024年高考数学高频考点题型归纳与方法总结(新高考通用)原卷版_2.2025数学总复习_2024年新高考资料_1.2024一轮复习

文档信息

文档格式
docx
文档大小
0.574 MB
文档页数
11 页
上传时间
2026-03-25 09:47:50

文档内容

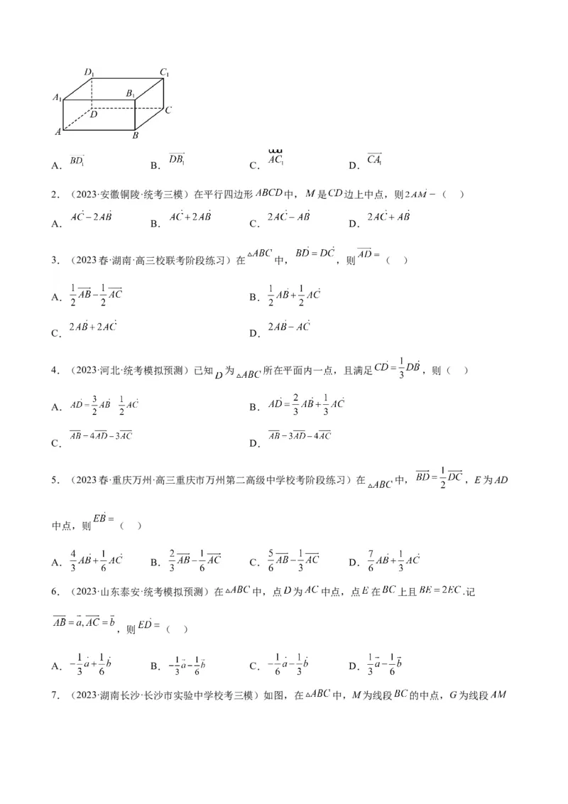
【一轮复习讲义】2024年高考数学高频考点题型归纳与方法总结(新高考通用) 第 22 讲 平面向量的概念及其线性运算(精讲) 题型目录一览 ①平面向量的概念 ②平面向量的线性运算 ③共线向量定理的应用 一、知识点梳理 一、向量的有关概念 (1)定义:既有大小又有方向的量叫做向量,向量的大小叫做向量的长度(或模). (2)向量的模:向量 的大小,也就是向量 的长度,记作 . (3)特殊向量:①零向量:长度为0的向量,其方向是任意的. ②单位向量:长度等于1个单位的向量. ③平行向量:方向相同或相反的非零向量.平行向量又叫共线向量.规定: 与任一向量平行. ④相等向量:长度相等且方向相同的向量. ⑤相反向量:长度相等且方向相反的向量. 二、向量的线性运算和向量共线定理 (1)向量的线性运算 运算 定义 法则(或几何意义) 运算律 ①交换律 a+b 求两个向量和的 b b a+b 加法 运算 ②结合律 a a 三角形法则平行四边形法则 a-b 求 与 的相反 b 向量 的和的 减法 运算叫做 与 a 的差 三角形法则 数乘 求实数 与向量 (1) 的积的运算(2)当 时, 与 的方向相同;当 时, 与 的方向相同; 当 时, 注:①向量表达式中的零向量写成 ,而不能写成0. ②两个向量共线要区别与两条直线共线,两个向量共线满足的条件是:两个向量所在直线平行或重合,而 在直线中,两条直线重合与平行是两种不同的关系. 三、平面向量基本定理和性质 (1)共线向量定理 如果 ,则 ;反之,如果 且 ,则一定存在唯一的实数 ,使 .(口 诀:数乘即得平行,平行必有数乘). (2)三点共线定理 平面内三点A,B,C共线的充要条件是:存在实数 ,使 ,其中 , 为平面 内一点. 若A、B、C三点共线 存在唯一的实数 ,使得 存在唯一的实数 ,使得 存在唯一的实数 ,使得 存在 ,使得 . (3)中线向量定理 如图所示,在 中,若点D是边BC的中点,则中线向量 ,反之亦正确. A B C D 【常用结论】 ①向量的三角形法则适用于任意两个向量的加法,并且可以推广到两个以上的非零向量相加,称为多边形 法则.一般地,首尾顺次相接的多个向量的和等于从第一个向量起点指向最后一个向量终点的向量. 即 . ②特别地: 或 当且仅当 至少有一个为 时或者两向量共线时,向量不等式的等号成立. ③ 、 、 三点共线 ,这是直线的向量式方程. 二、题型分类精讲 题型 一 平面向量的概念 策略方法 解答与向量有关概念的四个关注点 (1)平行向量就是共线向量,二者是等价的. (2)向量与数量不同,数量可以比较大小,向量则不能,但向量的模是非负实数,可以比较大 小. (3)向量可以平移,平移后的向量与原向量是相等向量,解题时,不要把它与函数图象的平移 混为一谈. (4)非零向量a与的关系:是与a同方向的单位向量. 【典例1】(多选题)下列说法正确的是( ) A.向量 的长度与向量 的长度相等 B.零向量与任意非零向量平行 C.长度相等方向相反的向量共线 D.方向相反的向量可能相等 【题型训练】 一、单选题 1.(2023·全国·高三专题练习)如图,点O为正六边形ABCDEF的中心,下列向量中,与 相等的是 ( ) A. B. C. D. 2.(2023·全国·高三专题练习)下列命题正确的是( )A.向量 与 是相等向量 B.共线的单位向量是相等向量 C.零向量与任一向量共线 D.两平行向量所在直线平行 3.(2023·全国·高三专题练习)给出如下命题: ①向量 的长度与向量 的长度相等; ②向量 与 平行,则 与 的方向相同或相反; ③两个有共同起点而且相等的向量,其终点必相同; ④两个公共终点的向量,一定是共线向量; ⑤向量 与向量 是共线向量,则点 , , , 必在同一条直线上. 其中正确的命题个数是( ) A.1 B.2 C.3 D.4 4.(2023·全国·高三专题练习)下列说法中正确的是( ) A.单位向量都相等 B.平行向量不一定是共线向量 C.对于任意向量 ,必有 D.若 满足 且 与 同向,则 5.(2023·广东揭阳·校考二模)设 是单位向量, , , ,则四边形 是 ( ) A.梯形 B.菱形 C.矩形 D.正方形 6.(2023·北京大兴·校考三模)设 , 是非零向量,“ ”是“ ”的( ) A.充分而不必要条件 B.必要而不充分条件 C.充分必要条件 D.既不充分也不必要条件 二、填空题 7.(2023·全国·高三专题练习)如图所示,已知正六边形ABCDEF,O是它的中心.(1)与 相等的向量有______________;(2)与 相等的向量有__________;(3)与 共线的向量有__________. 8.(2023·全国·高三专题练习)有下列命题: ①单位向量一定相等; ②起点不同,但方向相同且模相等的几个向量是相等向量; ③相等的非零向量,若起点不同,则终点一定不同; ④方向相反的两个单位向量互为相反向量; ⑤起点相同且模相等的向量的终点的轨迹是圆. 其中正确的命题的个数为______. 题型二 平面向量的线性运算 策略方法 平面向量的线性运算技巧 (1)不含图形的情况:可直接运用相应运算法则求解. (2)含图形的情况:将它们转化到三角形或平行四边形中,充分利用相等向量、相反向量、三 角形的中位线等性质,把未知向量用已知向量表示出来求解. 【典例1】(多选题)已知M为 ABC的重心,D为边BC的中点,则( ) △ A. B. C. D. 【题型训练】 一、单选题 1.(2023·山东枣庄·统考模拟预测)如图,在长方体 中,化简 ( )A. B. C. D. 2.(2023·安徽铜陵·统考三模)在平行四边形 中, 是 边上中点,则 ( ) A. B. C. D. 3.(2023春·湖南·高三校联考阶段练习)在 中, ,则 ( ) A. B. C. D. 4.(2023·河北·统考模拟预测)已知 为 所在平面内一点,且满足 ,则( ) A. B. C. D. 5.(2023春·重庆万州·高三重庆市万州第二高级中学校考阶段练习)在 中, ,E为AD 中点,则 ( ) A. B. C. D. 6.(2023·山东泰安·统考模拟预测)在 中,点 为 中点,点 在 上且 .记 ,则 ( ) A. B. C. D. 7.(2023·湖南长沙·长沙市实验中学校考三模)如图,在 中,M为线段 的中点,G为线段上一点, ,过点G的直线分别交直线 , 于P,Q两点, , ,则 的最小值为( ). A. B. C.3 D.9 二、多选题 8.(2023春·云南昆明·高三校考阶段练习)下列能化简为 的是( ) A. B. C. D. 9.(2023·全国·高三专题练习)如图,在 中,若点 , , 分别是 , , 的中点,设 , , 交于一点 ,则下列结论中成立的是( ) A. B. C. D. 三、填空题 10.(2023·全国·高三专题练习)化简: =______. 11.(2023·河南商丘·商丘市实验中学校联考模拟预测)已知在平行四边形ABCD中,点E满足 ,,则实数 ______. 12.(2023春·贵州黔东南·高三校考阶段练习)在 中,若点 满足 ,设 , 则 ______. 题型三 共线向量定理的应用 策略方法 共线向量定理的三个应用 【典例1】(单选题)已知 是不共线的向量,且 ,则( ) A.A、B、D三点共线 B.A、B、C三点共线 C.B、C、D三点共线 D.A、C、D三点共线 【典例2】如图,在 中,点D,E是线段BC上两个动点,且 ,则 ____________, 的最小值为_____________. 【题型训练】 一、单选题1.(2023·全国·高三专题练习)已知 ,若M、P、Q三点共线,则 ( ) A.1 B.2 C.4 D.-1 2.(2023·全国·高三专题练习)若平面四边形ABCD满足: , ,则该四边 形一定是( ) A.平行四边形 B.菱形 C.矩形 D.正方形 3.(2023·全国·高三专题练习)已知向量 , 不共线,若向量 与向量 共线,则 的值为( ) A. B.0或 C.0或1 D.0或3 4.(2023春·湖北·高三统考阶段练习)已知向量 ,则“ 与 共线”是“存在唯一实数 使得 ”的( ) A.充分不必要条件 B.必要不充分条件 C.充要条件 D.既不充分也不必要条件 5.(2023·全国·高三专题练习)设 , 是不共线的两个平面向量,已知 , ,若 , , 三点共线,则 ( ) A.2 B. C.6 D. 6.(2023·全国·高三专题练习)已知P是△ABC所在平面内的一点,若 ,其中λ∈R,则点 P一定在( ) A.AC边所在的直线上 B.BC边所在的直线上 C.AB边所在的直线上 D.△ABC的内部 7.(2023·全国·高三专题练习)在 中,点 是边 上一点,若 ,则实数 ( ) A. B. C. D.8.(2023·全国·高三专题练习)已知点 在 所在平面内,满 , , 则点 依次是 的( ) A.重心,外心 B.内心,外心 C.重心,内心 D.垂心,外心 9.(2023·全国·高三专题练习)在 中,点 为 的中点, , 与 交于点 ,且满 足 ,则 的值为( ) A. B. C. D. 二、多选题 10.(2023春·辽宁·高三朝阳市第一高级中学校联考阶段练习)在 所在的平面上存在一点 , ,则下列说法错误的是( ) A.若 ,则点 的轨迹不可能经过 的外心 B.若 ,则点 的轨迹不可能经过 的垂心 C.若 ,则点 的轨迹不可能经过 的重心 D.若 , ,则点 的轨迹一定过 的外心 三、填空题 11.(2023·河南·统考二模)已知 不共线,向量 , ,且 ,则 _______. 12.(2023·甘肃酒泉·统考三模)已知 是平行四边形 对角线上的一点,且 ,其中 ,写出满足条件的 与 的一组 的值__________. 13.(2023春·上海杨浦·高三复旦附中校考开学考试)在 中,点F为线段BC上任一点(不含端点), 若 ,则 的最小值为____________.