当前位置:首页>文档>微考点6-2圆锥曲线中的弦长面积类问题(解析版)_02高考数学_新高考复习资料_2024年新高考资料_二轮复习资料_分层练_教师版(含答案解析)

微考点6-2圆锥曲线中的弦长面积类问题(解析版)_02高考数学_新高考复习资料_2024年新高考资料_二轮复习资料_分层练_教师版(含答案解析)

  • 2026-04-15 09:09:47 2026-04-15 08:42:51

文档预览

微考点6-2圆锥曲线中的弦长面积类问题(解析版)_02高考数学_新高考复习资料_2024年新高考资料_二轮复习资料_分层练_教师版(含答案解析)
微考点6-2圆锥曲线中的弦长面积类问题(解析版)_02高考数学_新高考复习资料_2024年新高考资料_二轮复习资料_分层练_教师版(含答案解析)
微考点6-2圆锥曲线中的弦长面积类问题(解析版)_02高考数学_新高考复习资料_2024年新高考资料_二轮复习资料_分层练_教师版(含答案解析)
微考点6-2圆锥曲线中的弦长面积类问题(解析版)_02高考数学_新高考复习资料_2024年新高考资料_二轮复习资料_分层练_教师版(含答案解析)
微考点6-2圆锥曲线中的弦长面积类问题(解析版)_02高考数学_新高考复习资料_2024年新高考资料_二轮复习资料_分层练_教师版(含答案解析)
微考点6-2圆锥曲线中的弦长面积类问题(解析版)_02高考数学_新高考复习资料_2024年新高考资料_二轮复习资料_分层练_教师版(含答案解析)
微考点6-2圆锥曲线中的弦长面积类问题(解析版)_02高考数学_新高考复习资料_2024年新高考资料_二轮复习资料_分层练_教师版(含答案解析)
微考点6-2圆锥曲线中的弦长面积类问题(解析版)_02高考数学_新高考复习资料_2024年新高考资料_二轮复习资料_分层练_教师版(含答案解析)
微考点6-2圆锥曲线中的弦长面积类问题(解析版)_02高考数学_新高考复习资料_2024年新高考资料_二轮复习资料_分层练_教师版(含答案解析)
微考点6-2圆锥曲线中的弦长面积类问题(解析版)_02高考数学_新高考复习资料_2024年新高考资料_二轮复习资料_分层练_教师版(含答案解析)
微考点6-2圆锥曲线中的弦长面积类问题(解析版)_02高考数学_新高考复习资料_2024年新高考资料_二轮复习资料_分层练_教师版(含答案解析)
微考点6-2圆锥曲线中的弦长面积类问题(解析版)_02高考数学_新高考复习资料_2024年新高考资料_二轮复习资料_分层练_教师版(含答案解析)
微考点6-2圆锥曲线中的弦长面积类问题(解析版)_02高考数学_新高考复习资料_2024年新高考资料_二轮复习资料_分层练_教师版(含答案解析)
微考点6-2圆锥曲线中的弦长面积类问题(解析版)_02高考数学_新高考复习资料_2024年新高考资料_二轮复习资料_分层练_教师版(含答案解析)
微考点6-2圆锥曲线中的弦长面积类问题(解析版)_02高考数学_新高考复习资料_2024年新高考资料_二轮复习资料_分层练_教师版(含答案解析)
微考点6-2圆锥曲线中的弦长面积类问题(解析版)_02高考数学_新高考复习资料_2024年新高考资料_二轮复习资料_分层练_教师版(含答案解析)
微考点6-2圆锥曲线中的弦长面积类问题(解析版)_02高考数学_新高考复习资料_2024年新高考资料_二轮复习资料_分层练_教师版(含答案解析)
微考点6-2圆锥曲线中的弦长面积类问题(解析版)_02高考数学_新高考复习资料_2024年新高考资料_二轮复习资料_分层练_教师版(含答案解析)
微考点6-2圆锥曲线中的弦长面积类问题(解析版)_02高考数学_新高考复习资料_2024年新高考资料_二轮复习资料_分层练_教师版(含答案解析)
微考点6-2圆锥曲线中的弦长面积类问题(解析版)_02高考数学_新高考复习资料_2024年新高考资料_二轮复习资料_分层练_教师版(含答案解析)
微考点6-2圆锥曲线中的弦长面积类问题(解析版)_02高考数学_新高考复习资料_2024年新高考资料_二轮复习资料_分层练_教师版(含答案解析)
微考点6-2圆锥曲线中的弦长面积类问题(解析版)_02高考数学_新高考复习资料_2024年新高考资料_二轮复习资料_分层练_教师版(含答案解析)
微考点6-2圆锥曲线中的弦长面积类问题(解析版)_02高考数学_新高考复习资料_2024年新高考资料_二轮复习资料_分层练_教师版(含答案解析)
微考点6-2圆锥曲线中的弦长面积类问题(解析版)_02高考数学_新高考复习资料_2024年新高考资料_二轮复习资料_分层练_教师版(含答案解析)
微考点6-2圆锥曲线中的弦长面积类问题(解析版)_02高考数学_新高考复习资料_2024年新高考资料_二轮复习资料_分层练_教师版(含答案解析)
微考点6-2圆锥曲线中的弦长面积类问题(解析版)_02高考数学_新高考复习资料_2024年新高考资料_二轮复习资料_分层练_教师版(含答案解析)
微考点6-2圆锥曲线中的弦长面积类问题(解析版)_02高考数学_新高考复习资料_2024年新高考资料_二轮复习资料_分层练_教师版(含答案解析)
微考点6-2圆锥曲线中的弦长面积类问题(解析版)_02高考数学_新高考复习资料_2024年新高考资料_二轮复习资料_分层练_教师版(含答案解析)
微考点6-2圆锥曲线中的弦长面积类问题(解析版)_02高考数学_新高考复习资料_2024年新高考资料_二轮复习资料_分层练_教师版(含答案解析)
微考点6-2圆锥曲线中的弦长面积类问题(解析版)_02高考数学_新高考复习资料_2024年新高考资料_二轮复习资料_分层练_教师版(含答案解析)
微考点6-2圆锥曲线中的弦长面积类问题(解析版)_02高考数学_新高考复习资料_2024年新高考资料_二轮复习资料_分层练_教师版(含答案解析)
微考点6-2圆锥曲线中的弦长面积类问题(解析版)_02高考数学_新高考复习资料_2024年新高考资料_二轮复习资料_分层练_教师版(含答案解析)
微考点6-2圆锥曲线中的弦长面积类问题(解析版)_02高考数学_新高考复习资料_2024年新高考资料_二轮复习资料_分层练_教师版(含答案解析)
微考点6-2圆锥曲线中的弦长面积类问题(解析版)_02高考数学_新高考复习资料_2024年新高考资料_二轮复习资料_分层练_教师版(含答案解析)
微考点6-2圆锥曲线中的弦长面积类问题(解析版)_02高考数学_新高考复习资料_2024年新高考资料_二轮复习资料_分层练_教师版(含答案解析)
微考点6-2圆锥曲线中的弦长面积类问题(解析版)_02高考数学_新高考复习资料_2024年新高考资料_二轮复习资料_分层练_教师版(含答案解析)
微考点6-2圆锥曲线中的弦长面积类问题(解析版)_02高考数学_新高考复习资料_2024年新高考资料_二轮复习资料_分层练_教师版(含答案解析)
微考点6-2圆锥曲线中的弦长面积类问题(解析版)_02高考数学_新高考复习资料_2024年新高考资料_二轮复习资料_分层练_教师版(含答案解析)
微考点6-2圆锥曲线中的弦长面积类问题(解析版)_02高考数学_新高考复习资料_2024年新高考资料_二轮复习资料_分层练_教师版(含答案解析)
微考点6-2圆锥曲线中的弦长面积类问题(解析版)_02高考数学_新高考复习资料_2024年新高考资料_二轮复习资料_分层练_教师版(含答案解析)
微考点6-2圆锥曲线中的弦长面积类问题(解析版)_02高考数学_新高考复习资料_2024年新高考资料_二轮复习资料_分层练_教师版(含答案解析)
微考点6-2圆锥曲线中的弦长面积类问题(解析版)_02高考数学_新高考复习资料_2024年新高考资料_二轮复习资料_分层练_教师版(含答案解析)
微考点6-2圆锥曲线中的弦长面积类问题(解析版)_02高考数学_新高考复习资料_2024年新高考资料_二轮复习资料_分层练_教师版(含答案解析)
微考点6-2圆锥曲线中的弦长面积类问题(解析版)_02高考数学_新高考复习资料_2024年新高考资料_二轮复习资料_分层练_教师版(含答案解析)
微考点6-2圆锥曲线中的弦长面积类问题(解析版)_02高考数学_新高考复习资料_2024年新高考资料_二轮复习资料_分层练_教师版(含答案解析)
微考点6-2圆锥曲线中的弦长面积类问题(解析版)_02高考数学_新高考复习资料_2024年新高考资料_二轮复习资料_分层练_教师版(含答案解析)
微考点6-2圆锥曲线中的弦长面积类问题(解析版)_02高考数学_新高考复习资料_2024年新高考资料_二轮复习资料_分层练_教师版(含答案解析)
微考点6-2圆锥曲线中的弦长面积类问题(解析版)_02高考数学_新高考复习资料_2024年新高考资料_二轮复习资料_分层练_教师版(含答案解析)
微考点6-2圆锥曲线中的弦长面积类问题(解析版)_02高考数学_新高考复习资料_2024年新高考资料_二轮复习资料_分层练_教师版(含答案解析)
微考点6-2圆锥曲线中的弦长面积类问题(解析版)_02高考数学_新高考复习资料_2024年新高考资料_二轮复习资料_分层练_教师版(含答案解析)
微考点6-2圆锥曲线中的弦长面积类问题(解析版)_02高考数学_新高考复习资料_2024年新高考资料_二轮复习资料_分层练_教师版(含答案解析)
微考点6-2圆锥曲线中的弦长面积类问题(解析版)_02高考数学_新高考复习资料_2024年新高考资料_二轮复习资料_分层练_教师版(含答案解析)
微考点6-2圆锥曲线中的弦长面积类问题(解析版)_02高考数学_新高考复习资料_2024年新高考资料_二轮复习资料_分层练_教师版(含答案解析)
微考点6-2圆锥曲线中的弦长面积类问题(解析版)_02高考数学_新高考复习资料_2024年新高考资料_二轮复习资料_分层练_教师版(含答案解析)
微考点6-2圆锥曲线中的弦长面积类问题(解析版)_02高考数学_新高考复习资料_2024年新高考资料_二轮复习资料_分层练_教师版(含答案解析)
微考点6-2圆锥曲线中的弦长面积类问题(解析版)_02高考数学_新高考复习资料_2024年新高考资料_二轮复习资料_分层练_教师版(含答案解析)
微考点6-2圆锥曲线中的弦长面积类问题(解析版)_02高考数学_新高考复习资料_2024年新高考资料_二轮复习资料_分层练_教师版(含答案解析)
微考点6-2圆锥曲线中的弦长面积类问题(解析版)_02高考数学_新高考复习资料_2024年新高考资料_二轮复习资料_分层练_教师版(含答案解析)
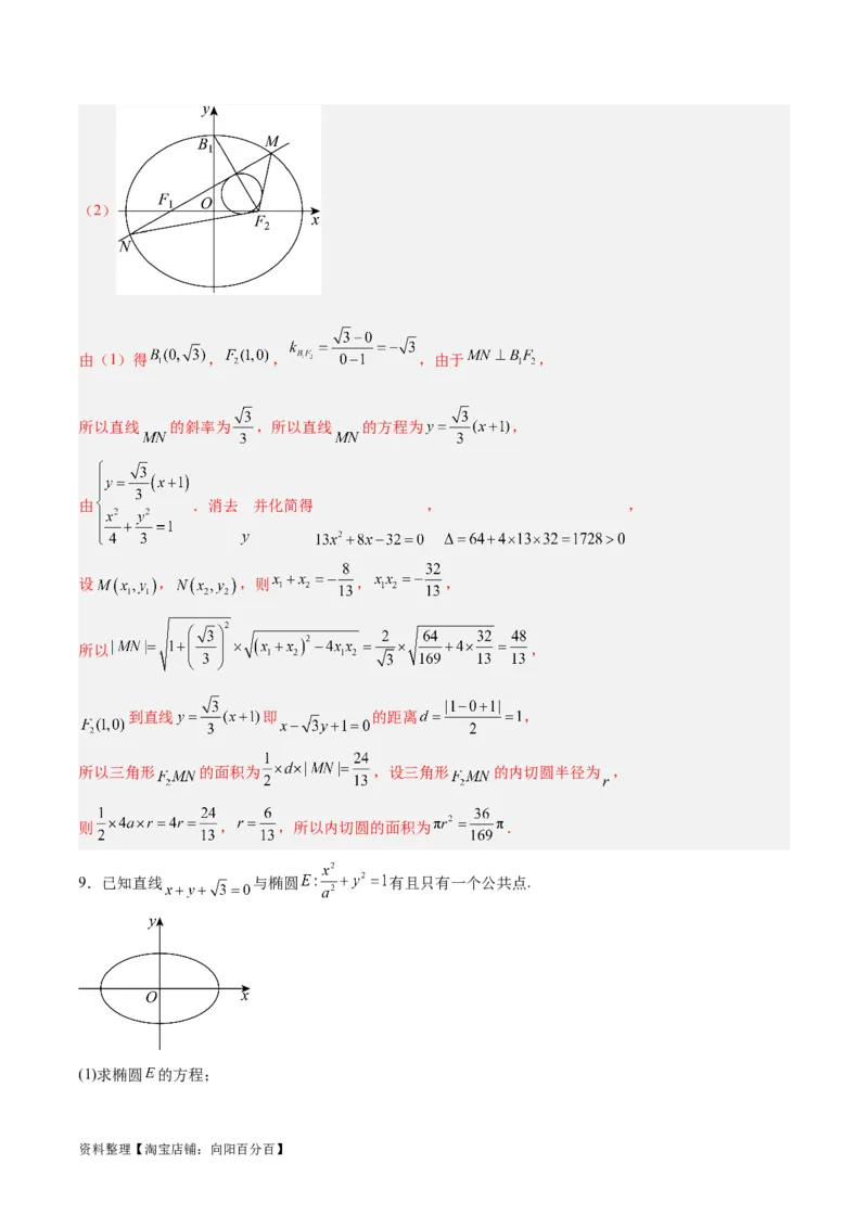
微考点6-2圆锥曲线中的弦长面积类问题(解析版)_02高考数学_新高考复习资料_2024年新高考资料_二轮复习资料_分层练_教师版(含答案解析)
微考点6-2圆锥曲线中的弦长面积类问题(解析版)_02高考数学_新高考复习资料_2024年新高考资料_二轮复习资料_分层练_教师版(含答案解析)

文档信息

文档格式
docx
文档大小
4.540 MB
文档页数
56 页
上传时间
2026-04-15 08:42:51

文档内容

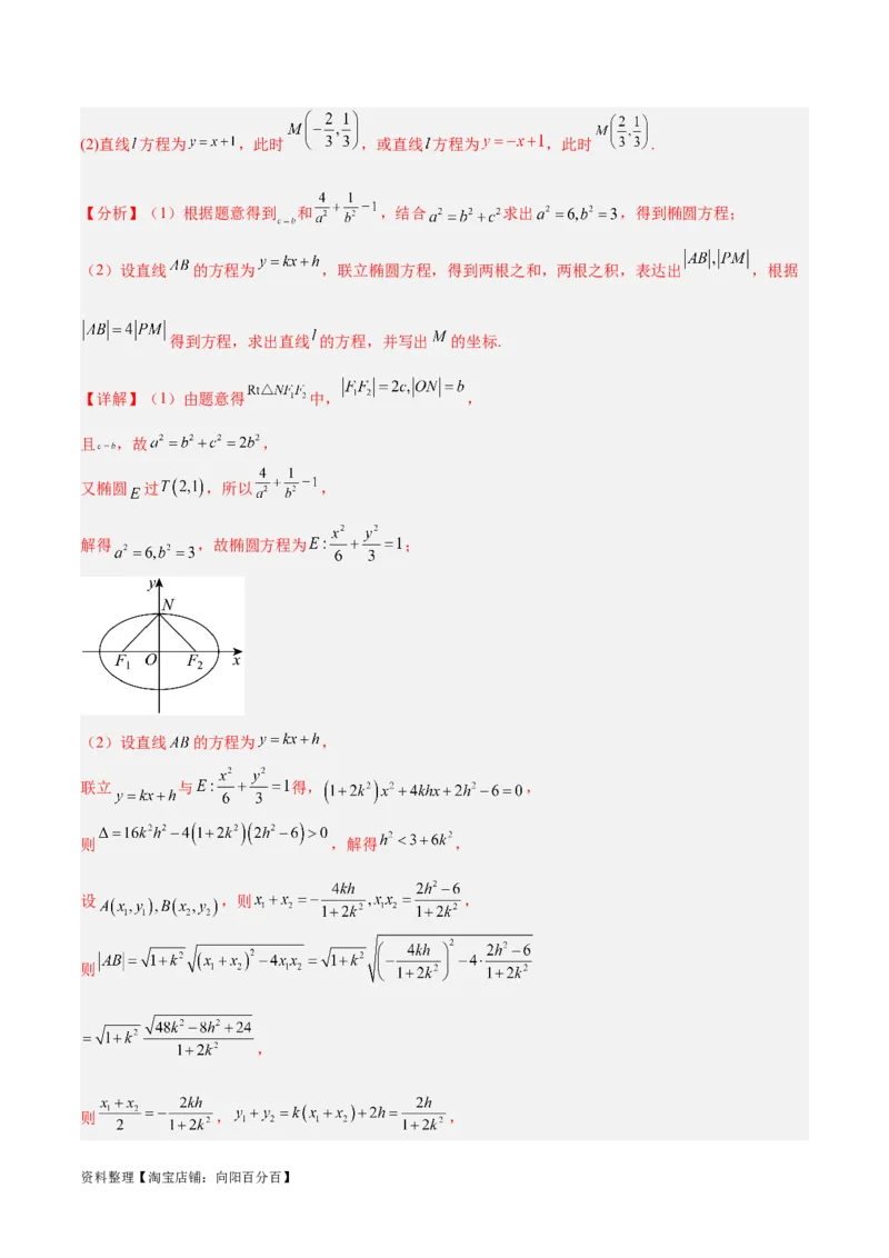
微考点 6-2 圆锥曲线中的弦长面积类问题(三大题型) 直线与圆锥曲线相交,弦和某个定点所构成的三角形的面积,处理方法: 1 ①一般方法: S= 2 |AB|d (其中 |AB| 为弦长,d为顶点到直线AB的距离),设直线为斜截式 y=kx+m . S= 1 |AB|d 1 √1+k2√(x +x ) 2 −4x x |kx 0 −y 0 +m| 进一步, 2 =2 1 2 1 1 √1+k2 ②特殊方法:拆分法,可以将三角形沿着x轴或者y轴拆分成两个三角形,不过在拆分的时候给定的顶点一 般在x轴或者y轴上,此时,便于找到两个三角形的底边长. 1 S = |x y −x y | ③坐标法:设 A(x 1 ,y 1 ),B(x 2 ,y 2 ),则 ΔAOB 2 1 2 2 1 ④面积比的转化: 三角形的面积比及其转化有一定的技巧性,一般的思路就是将面积比转化为可以利用设线法完成的线段之 比或者设点法解决的坐标形式,通常有以下类型: 1.两个三角形同底,则面积之比转化为高之比,进一步转化为点到直线距离之比 2.两个三角形等高,则面积之比转化为底之比,进一步转化为长度(弦长之比) 3.利用三角形面积计算的正弦形式,若等角转化为腰长之比 资料整理【淘宝店铺:向阳百分百】4.面积的割补和转化 ⑤四边形的面积计算 在高考中,四边形一般都比较特殊,常见的情况是四边形的两对角线相互垂直,此时我们借助棱形面积公 式,四边形面积等于两对角线长度乘积的一半;当然也有一些其他的情况,此时可以拆分成两个三角形, 借助三角形面积公式求解. ⑥注意某条边过定点的三角形和四边形 当三角形或者四边形某条边过定点时,我们就可以把三角形,四边形某个定顶点和该定点为边,这样就转 化成定底边的情形,最终可以简化运算.当然,你需要把握住一些常见的定点结论,才能察觉出问题的关键. 题型一:利用弦长公式距离公式解决弦长问题 【精选例题】 【例1】已知椭圆 , , 分别为左右焦点,点 , 在椭圆E 上. (1)求椭圆E的离心率; (2)过左焦点 且不垂直于坐标轴的直线l交椭圆E于A,B两点,若 的中点为M,O为原点,直线 交直线 于点N,求 取最大值时直线l的方程. 【答案】(1) ,(2) (1)解:将 , 代入椭圆方程, 解得 ,所以椭圆 的方程为 , 资料整理【淘宝店铺:向阳百分百】又 ,所以 (2)解:设直线 方程为 , , ,联立 可得 ;则 ,且 , , 设 的中点 ,则 , ,∴ 坐标为 , ,因此直线 的方程为 ,从而点 为 ,又 , ,所以 ,令 ,则 ,因此当 ,即 时, 最大值为3. 所以 的最大值为 ,此时,直线l的方程为 . 【例2】已知圆 : 和圆 : ,以动点 为圆心的圆与其中一个圆外 切,与另一个圆内切,记动点 的轨迹为 . (1)求轨迹 的方程; (2)若斜率为 的直线交轨迹 于 , 两点,求 的长度的最大值. 【答案】(1) ;(2) . 【分析】(1)确定圆 在圆 内,设 且对应圆半径为 ,根据题设及两点距离公式得到 关于 资料整理【淘宝店铺:向阳百分百】关系,代入距离公式整理即得轨迹方程; (2)设出直线 的方程,与椭圆方程联立,利用弦长公式建立关系并求出最大值即得. 【详解】(1)依题意,圆 的圆心 ,半径 ,圆 的圆心 ,半径 , 显然 ,即圆 在圆 内, 设 ,半径为 ,显然以 为圆心的圆与圆 外切,与圆 内切, 则有 , 则 , 所以轨迹 的方程为 . (2)由(1)知,轨迹 的方程为 ,设直线 的方程为 , 由 消去y并整理得 , 显然 ,解得 , 设 ,则 , 因此 ,当且仅当 时取等号, 资料整理【淘宝店铺:向阳百分百】所以 长度的最大值为 . 【跟踪训练】 1.已知椭圆C: ,圆O: ,若圆O过椭圆C的左顶点及右焦点. (1)求椭圆C的方程; (2)过点 作两条相互垂直的直线 , ,分别与椭圆相交于点A,B,D,E,试求 的取值范 围. 【答案】(1) ,(2) (1)圆O: 与x轴的交点为 ,即椭圆C的左顶点及右焦点分别为 , 故 ,故 ,所以椭圆C的方程为: ; (2)当直线 , 中,有一条直线斜率不存在,一条直线斜率为0时,弦长分别为 ,此时 ; 当直线 , 斜率都存在时,设 ,联立 ,可得 , , , , 同理 , , 资料整理【淘宝店铺:向阳百分百】令 ,则 , ,因为 ,所 以 ,所以 的取值范围为 . 2.已知椭圆 : 的两焦点 , ,且椭圆 过 . (1)求椭圆 的标准方程; (2)过点 作不与坐标轴垂直的直线 交椭圆 于 , 两点,线段 的垂直平分线与 轴负半轴交于点 , 若点 的纵坐标的最大值为 ,求 的取值范围. 【答案】(1) (2) , . 【分析】(1)由题意列出方程组,求解即可; (2)设直线 的方程为 为不等于0的实数),联立直线方程与椭圆方程,结合韦达定理可得 中点坐标,进而得线段 的中垂线方程,求出 的纵坐标,结合题意求得 ,由弦长公式可得 ,令 , ,根据函数 的单调性求出其值域即得答案. 【详解】(1)由题意可得: ,解得 , 所以椭圆的方程为: ; (2)因为左焦点 , 由题意可得直线 的斜率存在且不为0, 资料整理【淘宝店铺:向阳百分百】设直线 的方程为 为不等于0的实数), , , , , 由 ,可得 , 则 , , , 所以 , 所以 的中点为 , , 所以线段 的中垂线方程为: , 令 ,则 ,即 点纵坐标为 , 又因为是与 轴交于负半轴,所以 , , 又因为点 的纵坐标的最大值为 , 所以 ,解得 , 又因为 , 因为 , 令 , ,由于函数 在 单调递增, 所以 在 , 上单调递增, 所以 , , 所以 , , 即 的取值范围为: , . 资料整理【淘宝店铺:向阳百分百】【点睛】方法点睛:圆锥曲线中取值范围问题的五种求解策略: (1)利用圆锥曲线的几何性质或判别式构造不等关系,从而确定参数的取值范围; (2)利用已知参数的范围,求新的参数的范围,解这类问题的核心是建立两个参数之间的等量关系; (3)利用隐含的不等关系建立不等式,从而求出参数的取值范围; (4)利用已知的不等关系建立不等式,从而求出参数的取值范围; (5)利用求函数值域的方法将待求量表示为其他变量的函数,求其值域,从而确定参数的取值范围. 题型二:利用弦长公式距离公式解决三角形面积类问题 【精选例题】 【例1】已知椭圆 的方程为 ,称圆心在坐标原点 ,半径为 的圆为椭圆 的“蒙日圆”,椭圆 的焦距为 ,离心率为 . (1)求椭圆 的方程; (2)若直线 与椭圆 交于 、 两点,与其“蒙日圆”交于 、 两点,当 时,求 面积的最 大值. 【答案】(1) ;(2) 【分析】(1)根据已知条件可得出关于 、 、 的方程组,解出这三个量的值,即可得出椭圆 的方程; (2)对直线 的斜率是否存在进行分类讨论,在直线 的斜率不存在时,根据 的值求出 的方程,进而 可求得 的面积;在直线 的斜率存在时,设直线 的方程为 ,根据 可得出 , 将直线 的方程与椭圆方程联立,列出韦达定理,利用弦长公式、三角形的面积公式以及基本不等式可求 得 面积的最大值. 资料整理【淘宝店铺:向阳百分百】【详解】(1)解:因为椭圆 的焦距为 ,离心率为 , 则 ,可得 ,故椭圆 的方程为 . (2)解:由题意,蒙日圆方程为 ,圆心为 ,半径 , ①当 轴时,设直线 的方程为 , 将 代入“蒙日圆”的方程得 ,解得 , 则 ,解得: , 将直线 的方程代入椭圆C的方程可得 ,解得 ,则 , 所以, ; ②当直线 不垂直 轴时,设直线 的方程为 ,即 , 圆心 到直线 的距离为 ,得 , 联立 ,消去 得 , ,可得 , 资料整理【淘宝店铺:向阳百分百】设 、 ,则 , , , 所以, , 当且仅当 时,即当 时,等号成立, 又因为 ,故 的面积的最大值为 . 【点睛】方法点睛:圆锥曲线中的最值问题解决方法一般分两种: 一是几何法,特别是用圆锥曲线的定义和平面几何的有关结论来求最值; 二是代数法,常将圆锥曲线的最值问题转化为二次函数或三角函数的最值问题,然后利用基本不等式、函 数的单调性或三角函数的有界性等求最值. 【例2】已知椭圆 的左、右焦点分别是 , ,上顶点为A,椭圆的焦距等于椭圆的 长半轴长,且 的面积为 . (1)求椭圆的标准方程; (2)若B,C是椭圆上不同的两点,且直线AB和直线AC的斜率之积为 ,求 面积的最大值. 【答案】(1) ;(2) 【分析】(1)根据椭圆的几何性质即可列方程求解 , , , (2)联立直线与椭圆方程,得到韦达定理,进而根据弦长公式以及点到直线的距离公式表达出三角形的 面积,利用换元法及基本不等式求 面积的最大值. 【详解】(1)由题意得, ,① 资料整理【淘宝店铺:向阳百分百】由 的面积为 ,得 ,② 又 ,得 , , , 所以椭圆的标准方程为 . (2)由(1)知点 , 易知直线AB和直线AC的斜率均存在,所以点B,C与椭圆的上、下顶点均不重合. 若直线BC的斜率不存在,不妨设 ,则 , 直线AB和直线AC的斜率分别是 , , 所以 , 又点 在椭圆上,所以 ,所以 ,所以 ,这与直线AB和直 线AC的斜率之积为 矛盾, 所以直线BC的斜率存在. 设直线BC的方程为 ,其中 , 将直线BC的方程代入 ,得 , 则 , 设 , , 则 , . 直线AB和直线AC的斜率分别是 , , 资料整理【淘宝店铺:向阳百分百】所以 , 又 ,所以 ,即 , 所以 ,故 ,即 , 所以直线 的方程为 , , , 所以 , 点 到直线BC的距离 , 所以 的面积 . 令 ,则 , 所以 , 当且仅当 ,即 , 时,等号成立, 所以 面积的最大值为 . 资料整理【淘宝店铺:向阳百分百】【点睛】方法点睛:圆锥曲线中最值与范围问题的常见求法:(1)几何法,若题目的条件能明显体现几 何特征和意义,则考虑利用图形性质来解决;(2)代数法,若题目的条件能体现一种明确的函数关系, 则可首先建立目标函数,再求这个函数的最值,如本题需先将 的面积用k表示出来,然后再利用基 本不等式长最值. 【例3】动点 满足方程 . (1)求动点P的轨迹 的方程; (2)设过原点的直线l与轨迹 相交于 两点,设 ,连接 并分别延长交轨迹 于点 ,记 的面积分别是 ,求 的取值范围. 【答案】(1) ;(2) 【分析】(1)根据椭圆的定义求得 ,从而求得轨迹 的方程. (2)通过联立方程组的方法求得 两点的横坐标,求得 的表达式,并利用不等式的性质求得 的 取值范围. 【详解】(1)方程 , 表示平面内到定点 、 的距离的和是常数 的点的轨迹, 它的轨迹是以 、 为焦点,长轴 ,焦距 的椭圆. , , , 轨迹 的方程是 . (2)设 , , , , , 所以直线 的方程为 . 资料整理【淘宝店铺:向阳百分百】与 的方程联立, , 消去y得 . 即 , ,则 ,同理 , ∴ , ∵ ,∴ , , 则 ,即 . 【点睛】求解动点的轨迹方程,可通过定义法来进行求解.定义法是根据已知条件,判断出动点满足哪种类 型的轨迹的定义,由此来求得轨迹方程.圆锥曲线问题中,求解面积的范围问题,可根据面积的表达式,利 资料整理【淘宝店铺:向阳百分百】用不等式的性质、基本不等式等知识来进行求解. 【例4】已知椭圆C的中心在原点,一个焦点为 ,且长轴长是短轴长的 倍. (1)求椭圆C的标准方程; (2)设过焦点F的直线l与椭圆C交于A、B两点, 是椭圆的另一个焦点,若 内切圆的半径 , 求直线l的方程. 【答案】(1) ;(2) 【分析】(1)由题意可求得 , ,并且 ,求得 , , ,代入椭圆标准方程可得解; (2)设出直线 方程与椭圆方程联立,根据韦达定理可得 , ,可求得 ,再根据内切圆半径可表示出 ,由此求得答案. 【详解】(1)由题可得 ,焦点在x轴上, , , ,解得 , , 所以椭圆 : . (2)设 , ,设直线 的方程为 , 的根为 , , , ,且 , 又∵ , , 资料整理【淘宝店铺:向阳百分百】∴ , 所以直线 的方程为: . 【点睛】思路点睛:本题第二小问属于直线与圆锥曲线综合性问题,设出过点 的直线 与椭圆联立,由 韦达定理可得 , ,可求出 ,另根据三角形内切圆半径和面积的关系可求 得 ,由此可求得直线 的方程. 【跟踪训练】 1.如图,已知椭圆 的焦点为 , ,离心率为 ,椭圆 的上、下顶点分别为 ,右 顶点为 ,直线 过点 且垂直于 轴,点 在椭圆 上(且在第一象限),直线 与 交于点 ,直线 与 轴交于点 . (1)求椭圆 的标准方程; (2)判定 ( 为坐标原点)与 的面积之和是否为定值?若是,请求出该定值;若不是,请说 明理由. 资料整理【淘宝店铺:向阳百分百】【答案】(1) ;(2)面积和为定值,定值为 【分析】(1)根据题意求 即可得到椭圆方程; (2)设 ,分别求出点 , 坐标,然后求三角形面积即可. 【详解】(1) 设椭圆 方程为 ,焦距为 ,则 , , 所以 , , 所以椭圆 的标准方程为 . (2)由题意得 , ,直线 : , 设点 , , ,则 ①, 直线 : ,令 ,则 , 所以 , 直线 : ,令 ,则 , 所以 , , 由①得 ,所以 . 资料整理【淘宝店铺:向阳百分百】2.已知椭圆C的方程为 ,其离心率为 , , 为椭圆的左右焦点,过 作一条 不平行于坐标轴的直线交椭圆于A,B两点, 的周长为 . (1)求椭圆C的方程; (2)过B作x轴的垂线交椭圆于点D. ①试讨论直线AD是否恒过定点,若是,求出定点坐标;若不是,请说明理由. ②求 面积的最大值. 【答案】(1) ;(2)①恒过定点 ;② . 【分析】(1)根据已知焦点三角形周长,由椭圆定义及其离心率求椭圆参数即可得方程; (2)①设直线AD为 且 , , , ,联立椭圆方程,应用韦达定理 并结合A,B, 共线有 ,整理化简求参数m,即可确定定点;②由直线AD所过定点,结 合 并将韦达公式代入化简,应用基本不等式求面积最大值,注意取值条件. 【详解】(1)由题 的周长 ,可得 , 又 ,则 , ,故椭圆的方程为 . (2)①由题,设直线AD为 且 , , , , 联立方程可得: ,化简可得: 资料整理【淘宝店铺:向阳百分百】, 所以 , , 因为A,B, 共线,则有 ,化简可得 , 即 ,化简可得 恒成立. ∴ ,即直线AD的方程为 恒过定点 . ②设直线AD恒过定点记为 , 由上 ,可得 , 所以 , · , 令 ,则 , 当且仅当 ,即 时,取等号. ∴ 面积的最大值为 . 【点睛】关键点点睛:第二问,设直线AD为 且 ,利用椭圆方程,应用韦达定理及已知条件 求出参数m为关键. 资料整理【淘宝店铺:向阳百分百】3.已知抛物线 的顶点为坐标原点 ,焦点为 .椭圆 的中心为 ,左焦点为 ,上顶点为 , 右顶点为 ,且 . (1)求抛物线 和椭圆 的标准方程. (2)设直线 经过点 ,与抛物线 交于 , 两点,与椭圆 交于 , 两点.记 和 的面 积分别为 和 ,是否存在直线 ,使得 ?若存在,求出 的方程;若不存在,请说明理由. 【答案】(1) , (2)存在,其方程为 或 【分析】(1)根据抛物线的焦点坐标直接可得抛物线方程,再设 , ,结合 ,可 得椭圆方程; (2)设直线 的方程,联立直线与椭圆方程,结合韦达定理及弦长公式,可得面积,再根据 , 可得直线方程. 【详解】(1)由抛物线 的焦点为 , 可知 ,所以 , 所以抛物线的方程为 ; 设椭圆 的标准方程为 ,则 , , 所以 , , 由 ,可得 , 又 , 所以 ,解得 或 (舍), 则 , 所以椭圆方程为 ; 资料整理【淘宝店铺:向阳百分百】(2) 由题意可知,直线 的斜率一定不为 , 则设直线 的方程为 , , , , , 联立直线与抛物线 ,得 , , 则 , , 所以 的面积 , 联立直线与椭圆 ,得 , , 则 , , 所以 的面积 , 资料整理【淘宝店铺:向阳百分百】又 , 所以 ,解得 , 所以存在满足条件的直线 ,且直线方程为 或 . 【点睛】(1)解答直线与椭圆的题目时,时常把两个曲线的方程联立,消去x(或y)建立一元二次方程,然后 借助根与系数的关系,并结合题设条件建立有关参变量的等量关系. (2)涉及到直线方程的设法时,务必考虑全面,不要忽略直线斜率为0或不存在等特殊情形. 题型三:利用弦长公式距离公式解决定四边形面积问题 【精选例题】 【例1】如图所示,椭圆 的上顶点和右顶点分别是 和 ,离心率 , , 是椭圆上的两个动点,且 . (1)求椭圆的标准方程; (2)求四边形 面积的最大值; (3)试判断直线 与 的斜率之积是否为定值,若是,求出定值;若不是,请说明理由. 【答案】(1) ;(2)4;(3)是,定值为 【分析】(1)由题意求出b的值,根据离心率可求出 ,即得答案; (2)设直线 的方程,联立椭圆方程可得根与系数的关系式,结合弦长公式求出 的表达式,即可求 得四边形 面积的表达式,利用三角代换,结合二次函数性质即可求得面积的最大值; (3)求出直线 与 的斜率之积的表达式,结合根与系数的关系化简,即可得结论. 【详解】(1)因为 ,所以 ,又离心率为 ,所以 , 资料整理【淘宝店铺:向阳百分百】即 , , 所以椭圆的标准方程为 (2)因为 ,所以 ,所以 , 设直线 的方程为 , , , 由 ,得 , 由 得 , 则 , ,故 , 直线 方程为 , ,所以 , 直线 与 之间的距离为 , 故四边形 的面积为 , 令 ,则 , 令 ,则 , , 所以 ,而函数 在 上单调递增, 所以当 时,即 时,四边形 面积的最大值为4; (3)由第(2)问得 , , 资料整理【淘宝店铺:向阳百分百】, 故直线 与 的斜率之积为定值,且定值为 . 【例2】已知 , 分别为椭圆Γ: 的左、右焦点,过点 的直线 与椭圆Γ交于A,B两点, 且 的周长为 . (1)求椭圆Γ的标准方程; (2)若过点 的直线 与椭圆Γ交于C,D两点,且 ,求四边形ACBD面积的取值范围. 【答案】(1) ;(2) 【分析】(1)根据题意,由 的周长即可得到 ,从而求得 ,即可得到结果; (2)根据题意,分直线斜率存在与不存在讨论,联立直线与椭圆方程,结合韦达定理,弦长公式,代入 计算,即可得到结果. 【详解】(1)设 , ,所以 的周长为 , 解得 ,所以 . 所以椭圆Γ的标准方程为 . (2) 资料整理【淘宝店铺:向阳百分百】当直线 , 中的一条直线的斜率不存在、另一条直线的斜率为0时,四边形ACBD的面积 . 当直线 , 的斜率都存在且不为0时, 设 的方程为 , , , 联立得 ,整理得 , 则 , 则 , , , 因为 ,故直线 的方程为 , 同理可得 ,(把上式中的k替换为 ,即可得到 ) 则四边形ACBD的面积 , 令 ,则 ,故 , 易知函数 在 上单调递增,则 . 资料整理【淘宝店铺:向阳百分百】所以 . 综上所述,四边形ACBD面积的取值范围为 . 【跟踪训练】 1.已知椭圆 : ,椭圆 : ,动点 在 上运动,过 作 的两 条切线,切点分别为A,B.(提示:过椭圆C: 上一点 与C相切的直线方程 为 ) (1)求直线AB的方程(用 , 表示); (2)O为坐标原点,求四边形OAPB的面积. 【答案】(1) ;(2) 【分析】(1)根据题意求切线方程,进而可得直线AB的方程; (2)分 和 两种情况,根据弦长公式求面积,结合韦达定理分析求解. 【详解】(1)不妨设 , , : , : , 由题知A,B处的切线方程分别为 , , 因为这两条直线均过 ,则 , 所以 : . (2)当 时,联立方程 ,消去y得 , 资料整理【淘宝店铺:向阳百分百】因为 ,则 代入上式,化简得 , 则 ,且 , 所以 , 到直线 的距离 , O到直线 的距离 , 所以 ; 当 时,则 ,直线 : , 由 ,解得 ,可得 ; 所以综上:四边形OAPB的面积为定值 . 2.已知焦距为2的椭圆 : , , 分别为其左右焦点,过点 的直线 与椭圆交 于 , 两点, 的周长为8. (1)求椭圆 的方程; (2)若过点 的直线 与椭圆交于 , 两点且满足 ,求四边形 面积的最小值. 资料整理【淘宝店铺:向阳百分百】【答案】(1) ;(2) 【分析】(1)由椭圆的性质直接求即可; (2)分斜率不存在,等于零,不等于零三种情况讨论,由弦长公式得出面积的表达式再用二次函数的单 调性求得结果. 【详解】(1)设 因为过点 的直线 与椭圆交于 , 两点, 的周长为8 所以则有 所以 所以 所以 的方程为 (2) 斜率不存在时. 方程为 , 方程为 则有 所以 斜率为 时. 方程为 ,此时无法构成 ,不符合题意; 斜率存在且不为 时.设 方程为 则 方程为 资料整理【淘宝店铺:向阳百分百】所以 由 得 所以 所以 同理,设 代入并化简可得 . 所以 即 ... 资料整理【淘宝店铺:向阳百分百】令 则 即 所以此时当 时,面积最小, 【点睛】本题计算量较大,属于弦长问题;第一问直接由椭圆的定义可得;第二问需要分类讨论斜率不存 在,等于零,不等于零三种情况,再由弦长公式得到面积的表达式,最后得出结果. 1.设椭圆 的左右顶点分别为 ,左右焦点 .已知 , . (1)求椭圆方程. (2)若斜率为1的直线 交椭圆于A,B两点,与以 为直径的圆交于C,D两点.若 , 求直线 的方程. 【答案】(1) ;(2) 【分析】(1)根据椭圆的几何性质列式计算得 , , ,得解; (2)设直线为 ,由圆心到直线 的距离小于半径得出 的范围,由圆的性质求出弦 的长,将 直线 的方程与椭圆方程联立得出韦达定理,求出弦 的长,由条件得出方程,可得答案. 【详解】(1)由题意, , , 解得 , , , 所以椭圆方程为 . (2)设直线 为 , , ,由题意,以 为直径的圆的方程为 , 则圆心到直线 的距离 ,即 , 资料整理【淘宝店铺:向阳百分百】所以 , 由 ,消去 ,整理得 , ,解得 ,又 ,所以 , , , , 因为 ,所以 ,解得 ,又 ,所以 , 所以直线 的方程为: 或 . 2.已知圆O: ,点M是圆O上任意一点,M在x轴上的射影为N,点P满足 ,记 点P的轨迹为E. (1)求曲线E的方程; (2)已知 ,过F的直线m与曲线E交于A,B两点,过F且与m垂直的直线n与圆O交于C,D两点, 求 的取值范围. 【答案】(1) ;(2) 【分析】(1)设点 , ,则 ,根据已知可推得 ,即可得出 坐标, 资料整理【淘宝店铺:向阳百分百】代入圆的方程,即可得出答案; (2)先求出直线 的斜率为0以及不存在的情况.然后设 ,则 ,根据点到直 线的距离公式结合垂径定理得出 .联立直线与椭圆的方程,根据韦达定理得出弦长 ,即可得出 .根据不等式的性质求出 ,换元令 , 则 , .构造函数 , .求出导函数得出函数的单调性,即 可得出答案. 【详解】(1)设点 , ,则 , 所以, , . 由 ,可得 , 所以 , . 由点M在圆 上, 所以 ,整理得 , 所以曲线E的方程是 . (2)当直线m的斜率为0时,直线m的方程为 , 代入椭圆方程可得 , . 直线 的方程 ,代入圆的方程可得 , , 资料整理【淘宝店铺:向阳百分百】所以 , , ; 当直线m的斜率不存在时,直线m的方程为 , 代入椭圆方程可得 , . 直线 的方程 ,代入圆的方程可得 , , 所以 , , ; 当直线m的斜率存在且不为0时,设 ,则 , 点O到直线n的距离 ,圆的半径 , 根据垂径定理可得,所以 . 将 代入曲线E的方程 , 整理得 , 恒成立. 设 , , 由韦达定理可得, , , 则 . 所以 . 因为 ,所以 ,所以 . 资料整理【淘宝店铺:向阳百分百】令 ,则 , . 令 , , 则 在 上恒成立, 所以 在 上单调递减. 又 , , 所以 ,即 . 综上所述, 的取值范围是 . 【点睛】方法点睛:设出直线的方程,与椭圆方程联立,根据韦达定理结合弦长公式得出弦长. 3.已知椭圆 的两个焦点与短轴的一个端点是直角三角形的三个顶点,且椭圆 过 ,斜率为 的直线 与椭圆 交于 、 . (1)求椭圆 的标准方程; (2)若线段 的垂直平分线交 轴于点 ,记 的中点为 坐标为 且 ,求直线 的方程,并写出 的坐标. 【答案】(1) 资料整理【淘宝店铺:向阳百分百】(2)直线 方程为 ,此时 ,或直线 方程为 ,此时 . 【分析】(1)根据题意得到 和 ,结合 求出 ,得到椭圆方程; (2)设直线 的方程为 ,联立椭圆方程,得到两根之和,两根之积,表达出 ,根据 得到方程,求出直线 的方程,并写出 的坐标. 【详解】(1)由题意得 中, , 且 ,故 , 又椭圆 过 ,所以 , 解得 ,故椭圆方程为 ; (2)设直线 的方程为 , 联立 与 得, , 则 ,解得 , 设 ,则 , 则 , 则 , , 资料整理【淘宝店铺:向阳百分百】故 ,故 , 因为线段 的垂直平分线交 轴于点 , 故 ,解得 , 且 , 因为 , 所以 , 平方后,将 代入,化简得 , 即 ,解得 , 当 得 ,此时满足 ,直线 方程为 , , 当 得 ,此时满足 ,直线 方程为 , , 【点睛】直线 与圆锥曲线相交,通常要求解弦长或面积,其中弦长公式为: 或 . 资料整理【淘宝店铺:向阳百分百】4.已知椭圆 的左、右焦点分别为 ,离心率为 ,点 在椭圆 上. (1)求椭圆 的标准方程; (2)过点 的直线 与椭圆 相交于 , 两点,记 的面积为 ,求 的最大值. 【答案】(1) ;(2) 【分析】(1)根据题意,列出关于 , , 的方程即可求解; (2)设直线方程(有两种方法,一种设 ;另一种设 ),与椭圆方程联立,结合韦达 定理及基本不等式即可求出面积的最大值. 【详解】(1)因为 ,所以 ,则 , 所以 的标准方程为 , 因为点 在 上,所以 , 解得 ,从而 , . 所以 的标准方程为 . (2)易知点 在 的外部,则直线 的斜率存在且不为0, 设 , , , 联立方程组 消去 得 , 由 得 ,由根与系数的关系知 所以 , 资料整理【淘宝店铺:向阳百分百】化简得 . 设点 到直线 的距离为 ,则 , 所以 的面积 令 ,得 ,所以 , 因为 ,所以 , 当且仅当 ,即 时,等号成立. 因为 满足 ,所以 的最大值为 . 评分细则: 第二问另解: (2)设 , , , 联立方程组 ,消去 得 . 由 得 ,由根与系数的关系知 . 所以 , 化简得 . 资料整理【淘宝店铺:向阳百分百】设点 到直线 的距离为 ,则 , 所以 的面积 . 令 ,得 , 所以 , 因为 ,所以 , 当且仅当 ,即 时,等号成立. 因为 满足 ,所以 的最大值为 . 5.已知椭圆C: 的离心率为 ,椭圆上一动点P与左、右焦点构成的三角形面积的 最大值为 . (1)求椭圆C的方程; (2)设椭圆C的左、右顶点分别为A,B,直线PQ交椭圆C于P,Q两点,记直线AP的斜率为 ,直线BQ 的斜率为 ,已知 ,设 和 的面积分别为 , ,求 的最大值. 【答案】(1) ;(2) 【分析】(1)依题意列式即可求解; (2)先讨论直线PQ的斜率为0的情况,斜率不为0时,联立直线方程和椭圆方程,用韦达定理结合已知 条件证明直线PQ恒过x轴上一定点,再表示出 即可求解. 资料整理【淘宝店铺:向阳百分百】【详解】(1)由题意知 解得 所以椭圆C的方程为 . (2)依题意, , ,设 , . 若直线PQ的斜率为0,则点P,Q关于y轴对称,必有 ,即 ,不合题意. 所以直线PQ的斜率必不为0,设其方程为 , 与椭圆C的方程联立 得 , 所以 ,且 因为 是椭圆上一点,满足 , 所以 , 则 ,即 . 因为 资料整理【淘宝店铺:向阳百分百】, 所以 ,此时 , 故直线PQ恒过x轴上一定点 . 因此 , , 所以 , 则 ,当 即 时, 取得最大值 . 6.已知椭圆 的离心率为 ,左、右焦点分别为 ,直线 与椭圆 交于 资料整理【淘宝店铺:向阳百分百】两点,且 的周长最大值为8. (1)求椭圆 的标准方程; (2)已知点 是椭圆 上一动点(不与端点重合), 分别为椭圆 的左右顶点,直线 交 轴于点 ,若 与 的面积相等,求直线 的方程. 【答案】(1) (2) 或 . 【分析】(1)确定当 过右焦点 时, 的周长取最大值,由此求得a的值,再根据离心率求得 c,继而求出b,即可求得答案. (2)分类讨论,考虑点Q的位置,即点 在椭圆外和椭圆内,根据 与 的面积相等,推出 相关线段的比例关系,从而求出点P的坐标,即可求得答案. 【详解】(1)设 与 轴的交点为 ,由题意可知 , 则 ,当 重合时取等号, 故当 过右焦点 时, 的周长取最大值 ,所以 因为椭圆 的离心率为 ,所以 , 所以椭圆 的标准方程为 资料整理【淘宝店铺:向阳百分百】(2)由题意得: ①当点 在椭圆外,由于 与 的面积相等, ,故 , 则 ,故 , 设 ,则 , 又P点在 上,则 ,即 ,故 , 又 ,所以直线 的方程为 ,即 ; ②当点 在椭圆内,此时 , 同理可得 , 又P点在 上,则 ,即 ,故 , 资料整理【淘宝店铺:向阳百分百】又 ,所以直线 的方程为 ,即 综上:直线 的方程为: 或 . 【点睛】难点点睛:解答本题关于直线和椭圆的位置关系类问题,难点就在于计算复杂,计算量较大,解 答时要注意分类讨论,即考虑Q点位置,结合 与 的面积相等,推出线段间的比例关系,由 此求出P点坐标,即可求解直线 的方程. 7.在平面直角坐标系 中, 、 为圆 : 与 轴的交点,点 为该平面内异于 、 两点 的动点,且______,从下列条件中任选一个补充在上面问题中作答. 条件①:直线 与直线 的斜率之积为 ; 条件②:设 为圆 上的动点, 为点 在 轴上的射影,且 为 的中点; 注:如果选择多个条件作答,按第一个计分. (1)求动点 的轨迹方程 ; (2)若直线 与(1)问中轨迹方程 交于 、 两点,与圆 相交于 、 两点,且 ,求 面积最大值. 【答案】(1)①: ;②: ;(2) 【分析】(1)选①:表示出两条直线的斜率,整理方程,可得答案;选②:表示出点的坐标,利用中点 坐标公式,建立等量关系,结合圆的方程,可得答案. (2)根据圆心角求得弦心距,利用直线与椭圆的弦长公式,结合分类讨论以及函数思想,可得答案. 【详解】(1)选①: 设 ,由圆 ,则 , , 所以直线 的斜率分为为 , ,其中 , 由题意可得 ,整理可得 . 选②: 资料整理【淘宝店铺:向阳百分百】设 , ,则 , , 由 为 的中点,则 ,解得 , 可得 ,整理可得 . (2) 在圆 中,由 , ,则 , 在 中, ,则 , 当直线 的斜率不存在时,可得 ,代入方程 , 可得: ,解得 ,可得 ; 当直线 的斜率存在时,可设 ,联立可得 , 消去 整理可得: , , 根据韦达定理可得: , , 整理可得 ,则 ,解得 , 资料整理【淘宝店铺:向阳百分百】, 令 ,则 , 令 ,解得 或 ,可得下表: 所以 ,则 的最大值为 , 综上所述, 的最大值为 . 8.设椭圆 的左、右焦点分别为 , ,上、下顶点分别为 , ,短轴长为 , 过 且垂直于长轴的直线与椭圆 相交所得的弦长为3. (1)求椭圆 的标准方程; (2)过点 的直线 与椭圆 交于不同的两点 , ,若 ,试求 内切圆的面积. 【答案】(1) ;(2) 【分析】(1)根据短轴长以及通经的计算公式,建立方程组,可得答案; (2)根据垂直直线,写出直线方程,联立椭圆方程,写出韦达定理,根据内切圆与三角形的关系,结合 圆的面积公式,可得答案. 【详解】(1)依题意得 .解得 .所以 . 资料整理【淘宝店铺:向阳百分百】(2) 由(1)得 , , ,由于 , 所以直线 的斜率为 ,所以直线 的方程为 , 由 .消去 并化简得 , , 设 , ,则 , , 所以 , 到直线 即 的距离 , 所以三角形 的面积为 ,设三角形 的内切圆半径为 , 则 , ,所以内切圆的面积为 . 9.已知直线 与椭圆 有且只有一个公共点. (1)求椭圆 的方程; 资料整理【淘宝店铺:向阳百分百】(2)是否存在实数 ,使椭圆 上存在不同两点 、 关于直线 对称?若存在,求 的取值范 围;若不存在,请说明理由; (3)椭圆 的内接四边形 的对角线 与 垂直相交于椭圆的左焦点, 是四边形 的面积,求 的最小值. 【答案】(1) ;(2)存在, ;(3) 【分析】(1)将直线方程和椭圆方程联立,利用 求解即可; (2)假设存在实数 ,设 ,通过 求出 的范围,然后与椭圆联立,求出线段 的 中点,代入直线 ,求出 与 的关系,进而可得 大范围; (3)先求出对角线 与 中有一个斜率不存在,另一个斜率为零时的 ,再求对角线 与 的斜率 即存在,又不为零时的 ,对于这种情况,设 ,与椭圆联立,然后利用弦长公式求出 ,同理求出 ,通过 计算求其范围,然后综合可得 的最小值. 【详解】(1)联立 ,消去 得 直线 与椭圆 有且只有一个公共点, ,解得 即椭圆 的方程为 ; (2)假设存在实数 ,使椭圆 上存在不同两点 、 关于直线 对称, 设 , 联立 ,消去 得 , 资料整理【淘宝店铺:向阳百分百】则 ,解得 , 由韦达定理得 , , , , 存在实数 ,使椭圆 上存在不同两点 、 关于直线 对称,且 的取值范围是 . (3)椭圆的左焦点为 , 当对角线 与 中有一个斜率不存在,另一个斜率为零时, , 当对角线 与 的斜率即存在,又不为零时, 设 , 则 , 联立 ,消去 得 , 则 , , 资料整理【淘宝店铺:向阳百分百】同理: , 令 , 则 , 因为 , , 综合得 ,当且仅当 时,等号成立. 即 的最小值为 . 10.已知点 与定点 的距离和它到定直线 的距离的比是 . (1)求点 的轨迹 的标准方程; (2)设点 ,若点 是曲线 上两点,且在 轴上方,满足 ,求四边形 面积的最大 值. 【答案】(1) ;(2) 【分析】(1)根据题意设 ,然后根据题中的几何条件得出方程,从而求解出轨迹方程; (2)根据题意设出直线,求出直线与椭圆相交弦长,并结合点到直线距离知识从而求解. 【详解】(1)依题意,得 ,整理化简得, , 资料整理【淘宝店铺:向阳百分百】所以:点 的轨迹 的方程为: . (2)设 为坐标原点,连接 ,延长交椭圆 于点 ,连接 , 由椭圆对称性可知: , 又 ,所以 为为平行四边形, 所以: ,则: ,且 三点共线, 所以:四边形 的面积 , 设直线 , 由 ,得: , 所以: , 又 ,所以:点 到直线 的距离即为点 到直线 的距离, 因为:点 到直线 的距离 , 所以 , 设: ,则: , 所以: , 又因为: ,所以当 时,即 时,四边形 面积取得最大值,最大值为 . 资料整理【淘宝店铺:向阳百分百】【点睛】方法点睛:本题(2)中对 面积的求解转化为对 的面积求解,然后设出直线 与椭 圆联立求出弦长,然后再结合基本不等式求解出最值. 11.已知椭圆 与椭圆 有相同的离心率,椭圆 焦点在y轴上且经过点 . (1)求椭圆 的标准方程: (2)设A为椭圆 的上顶点,经过原点的直线 交椭圆于 干P,Q,直线AP、AQ与椭圆 的另一个交点分 别为点M和N,若 与 的面积分别为 和 ,求 取值范围. 【答案】(1) ;(2) 【分析】(1)由椭圆 确定 离心率,设出其方程,利用点的坐标求得 ,即可求得答案; (2)设 ,利用椭圆方程推出 ,从而设 的方程,联立椭圆方程,求得相关点 坐标,得到 , ,从而可求出 的表达式,利用换元法,结合二次函数 性质,即可求解答案. 【详解】(1)由题意知椭圆 的离心率为 ,故椭圆 的离心率也为 , 设椭圆 的方程为 ,则 , 即 ,将 代入得 , 资料整理【淘宝店铺:向阳百分百】则椭圆 的方程为 ; (2)由于A为椭圆 的上顶点,故 , 不妨设P在第一象限以及x轴正半轴上, ,则 ,则 , 故 , 由题意知直线AP存在斜率,设其方程为 , 则AQ的直线方程为 , 联立直线AP和椭圆 的方程 ,整理得 , 解得 ,即 ; 联立直线AP和椭圆 的方程 ,整理得 , 解得 ,即 ; 故 ,同理可求得 , 所以 , 资料整理【淘宝店铺:向阳百分百】设 ,则 , 而 , 由于 ,故 在 时单调递减, 即 , 故 ,即 . 【点睛】难点点睛:本题考查了椭圆方程的求解以及直线和椭圆位置关系中的参数的取值范围问题,难点 在于 的取值范围的求解,解答时要利用联立直线和椭圆方程求解相关点的坐标,继而求出 的表达式, 利用换元法,结合二次函数性质求解答案,计算过程比较复杂,计算量较大. 12.已知椭圆 的离心率为 ,焦距为2,过 的左焦点 的直线 与 相交于 , 两点,与直线 相交于点 . (1)求椭圆方程; (2)若 ,求证: ; (3)过点 作直线 的垂线 与 相交于 , 两点,与直线 相交于点 .求 的最大值. 【答案】(1) ;(2)详见解析;(3) 【分析】(1)根据题意得到 求解; (2)易知 , ,与椭圆方程联立,求得A,B的横坐标,再利用弦长公式证明; (3)设直线l方程为 ,则直线m的方程为 ,将直线l的方程与椭圆方程联立, 资料整理【淘宝店铺:向阳百分百】结合韦达定理,利用弦长公式得到 的表达式,进而得到 的表达式求解. 【详解】(1)解:由题意得: , 则 , 所以椭圆的标准方程为: ; (2)易知 , ,设 , 由 ,得 ,解得 , 则 , , 所以 ; (3)图所示: 若直线l,m中两条直线分别与两条坐标轴垂直,则其中有一条必与直线 平行, 所以直线l的斜率存在且不为零,设直线l方程为 ,则直线m的方程为 ,设 , 由 ,消去y得 , 资料整理【淘宝店铺:向阳百分百】则 , , 易知 ,将 代入直线l的方程得 ,即 , 则 , , , 同理 , 所以 , , 当且仅当 ,即 时,等号成立, 所以 的最大值为 . 【点睛】方法点睛:本题第二三问都体现了“曲”化“直”的思想,涉及到线段问题,注意弦长公式的应 用. 资料整理【淘宝店铺:向阳百分百】