当前位置:首页>文档>专题28圆的方程及直线、圆的位置关系(教师版)_02高考数学_通用版(老高考)复习资料_2024年复习资料_完备战2024年高考数学一轮复习考点帮(全国通用)_核心考点讲练

专题28圆的方程及直线、圆的位置关系(教师版)_02高考数学_通用版(老高考)复习资料_2024年复习资料_完备战2024年高考数学一轮复习考点帮(全国通用)_核心考点讲练

  • 2026-04-13 06:03:25 2026-04-13 06:03:25

文档预览

专题28圆的方程及直线、圆的位置关系(教师版)_02高考数学_通用版(老高考)复习资料_2024年复习资料_完备战2024年高考数学一轮复习考点帮(全国通用)_核心考点讲练
专题28圆的方程及直线、圆的位置关系(教师版)_02高考数学_通用版(老高考)复习资料_2024年复习资料_完备战2024年高考数学一轮复习考点帮(全国通用)_核心考点讲练
专题28圆的方程及直线、圆的位置关系(教师版)_02高考数学_通用版(老高考)复习资料_2024年复习资料_完备战2024年高考数学一轮复习考点帮(全国通用)_核心考点讲练
专题28圆的方程及直线、圆的位置关系(教师版)_02高考数学_通用版(老高考)复习资料_2024年复习资料_完备战2024年高考数学一轮复习考点帮(全国通用)_核心考点讲练
专题28圆的方程及直线、圆的位置关系(教师版)_02高考数学_通用版(老高考)复习资料_2024年复习资料_完备战2024年高考数学一轮复习考点帮(全国通用)_核心考点讲练
专题28圆的方程及直线、圆的位置关系(教师版)_02高考数学_通用版(老高考)复习资料_2024年复习资料_完备战2024年高考数学一轮复习考点帮(全国通用)_核心考点讲练
专题28圆的方程及直线、圆的位置关系(教师版)_02高考数学_通用版(老高考)复习资料_2024年复习资料_完备战2024年高考数学一轮复习考点帮(全国通用)_核心考点讲练
专题28圆的方程及直线、圆的位置关系(教师版)_02高考数学_通用版(老高考)复习资料_2024年复习资料_完备战2024年高考数学一轮复习考点帮(全国通用)_核心考点讲练
专题28圆的方程及直线、圆的位置关系(教师版)_02高考数学_通用版(老高考)复习资料_2024年复习资料_完备战2024年高考数学一轮复习考点帮(全国通用)_核心考点讲练
专题28圆的方程及直线、圆的位置关系(教师版)_02高考数学_通用版(老高考)复习资料_2024年复习资料_完备战2024年高考数学一轮复习考点帮(全国通用)_核心考点讲练
专题28圆的方程及直线、圆的位置关系(教师版)_02高考数学_通用版(老高考)复习资料_2024年复习资料_完备战2024年高考数学一轮复习考点帮(全国通用)_核心考点讲练
专题28圆的方程及直线、圆的位置关系(教师版)_02高考数学_通用版(老高考)复习资料_2024年复习资料_完备战2024年高考数学一轮复习考点帮(全国通用)_核心考点讲练
专题28圆的方程及直线、圆的位置关系(教师版)_02高考数学_通用版(老高考)复习资料_2024年复习资料_完备战2024年高考数学一轮复习考点帮(全国通用)_核心考点讲练
专题28圆的方程及直线、圆的位置关系(教师版)_02高考数学_通用版(老高考)复习资料_2024年复习资料_完备战2024年高考数学一轮复习考点帮(全国通用)_核心考点讲练
专题28圆的方程及直线、圆的位置关系(教师版)_02高考数学_通用版(老高考)复习资料_2024年复习资料_完备战2024年高考数学一轮复习考点帮(全国通用)_核心考点讲练
专题28圆的方程及直线、圆的位置关系(教师版)_02高考数学_通用版(老高考)复习资料_2024年复习资料_完备战2024年高考数学一轮复习考点帮(全国通用)_核心考点讲练
专题28圆的方程及直线、圆的位置关系(教师版)_02高考数学_通用版(老高考)复习资料_2024年复习资料_完备战2024年高考数学一轮复习考点帮(全国通用)_核心考点讲练
专题28圆的方程及直线、圆的位置关系(教师版)_02高考数学_通用版(老高考)复习资料_2024年复习资料_完备战2024年高考数学一轮复习考点帮(全国通用)_核心考点讲练
专题28圆的方程及直线、圆的位置关系(教师版)_02高考数学_通用版(老高考)复习资料_2024年复习资料_完备战2024年高考数学一轮复习考点帮(全国通用)_核心考点讲练
专题28圆的方程及直线、圆的位置关系(教师版)_02高考数学_通用版(老高考)复习资料_2024年复习资料_完备战2024年高考数学一轮复习考点帮(全国通用)_核心考点讲练
专题28圆的方程及直线、圆的位置关系(教师版)_02高考数学_通用版(老高考)复习资料_2024年复习资料_完备战2024年高考数学一轮复习考点帮(全国通用)_核心考点讲练
专题28圆的方程及直线、圆的位置关系(教师版)_02高考数学_通用版(老高考)复习资料_2024年复习资料_完备战2024年高考数学一轮复习考点帮(全国通用)_核心考点讲练
专题28圆的方程及直线、圆的位置关系(教师版)_02高考数学_通用版(老高考)复习资料_2024年复习资料_完备战2024年高考数学一轮复习考点帮(全国通用)_核心考点讲练
专题28圆的方程及直线、圆的位置关系(教师版)_02高考数学_通用版(老高考)复习资料_2024年复习资料_完备战2024年高考数学一轮复习考点帮(全国通用)_核心考点讲练
专题28圆的方程及直线、圆的位置关系(教师版)_02高考数学_通用版(老高考)复习资料_2024年复习资料_完备战2024年高考数学一轮复习考点帮(全国通用)_核心考点讲练
专题28圆的方程及直线、圆的位置关系(教师版)_02高考数学_通用版(老高考)复习资料_2024年复习资料_完备战2024年高考数学一轮复习考点帮(全国通用)_核心考点讲练
专题28圆的方程及直线、圆的位置关系(教师版)_02高考数学_通用版(老高考)复习资料_2024年复习资料_完备战2024年高考数学一轮复习考点帮(全国通用)_核心考点讲练
专题28圆的方程及直线、圆的位置关系(教师版)_02高考数学_通用版(老高考)复习资料_2024年复习资料_完备战2024年高考数学一轮复习考点帮(全国通用)_核心考点讲练
专题28圆的方程及直线、圆的位置关系(教师版)_02高考数学_通用版(老高考)复习资料_2024年复习资料_完备战2024年高考数学一轮复习考点帮(全国通用)_核心考点讲练
专题28圆的方程及直线、圆的位置关系(教师版)_02高考数学_通用版(老高考)复习资料_2024年复习资料_完备战2024年高考数学一轮复习考点帮(全国通用)_核心考点讲练
专题28圆的方程及直线、圆的位置关系(教师版)_02高考数学_通用版(老高考)复习资料_2024年复习资料_完备战2024年高考数学一轮复习考点帮(全国通用)_核心考点讲练
专题28圆的方程及直线、圆的位置关系(教师版)_02高考数学_通用版(老高考)复习资料_2024年复习资料_完备战2024年高考数学一轮复习考点帮(全国通用)_核心考点讲练
专题28圆的方程及直线、圆的位置关系(教师版)_02高考数学_通用版(老高考)复习资料_2024年复习资料_完备战2024年高考数学一轮复习考点帮(全国通用)_核心考点讲练
专题28圆的方程及直线、圆的位置关系(教师版)_02高考数学_通用版(老高考)复习资料_2024年复习资料_完备战2024年高考数学一轮复习考点帮(全国通用)_核心考点讲练
专题28圆的方程及直线、圆的位置关系(教师版)_02高考数学_通用版(老高考)复习资料_2024年复习资料_完备战2024年高考数学一轮复习考点帮(全国通用)_核心考点讲练
专题28圆的方程及直线、圆的位置关系(教师版)_02高考数学_通用版(老高考)复习资料_2024年复习资料_完备战2024年高考数学一轮复习考点帮(全国通用)_核心考点讲练
专题28圆的方程及直线、圆的位置关系(教师版)_02高考数学_通用版(老高考)复习资料_2024年复习资料_完备战2024年高考数学一轮复习考点帮(全国通用)_核心考点讲练
专题28圆的方程及直线、圆的位置关系(教师版)_02高考数学_通用版(老高考)复习资料_2024年复习资料_完备战2024年高考数学一轮复习考点帮(全国通用)_核心考点讲练
专题28圆的方程及直线、圆的位置关系(教师版)_02高考数学_通用版(老高考)复习资料_2024年复习资料_完备战2024年高考数学一轮复习考点帮(全国通用)_核心考点讲练
专题28圆的方程及直线、圆的位置关系(教师版)_02高考数学_通用版(老高考)复习资料_2024年复习资料_完备战2024年高考数学一轮复习考点帮(全国通用)_核心考点讲练
专题28圆的方程及直线、圆的位置关系(教师版)_02高考数学_通用版(老高考)复习资料_2024年复习资料_完备战2024年高考数学一轮复习考点帮(全国通用)_核心考点讲练
专题28圆的方程及直线、圆的位置关系(教师版)_02高考数学_通用版(老高考)复习资料_2024年复习资料_完备战2024年高考数学一轮复习考点帮(全国通用)_核心考点讲练
专题28圆的方程及直线、圆的位置关系(教师版)_02高考数学_通用版(老高考)复习资料_2024年复习资料_完备战2024年高考数学一轮复习考点帮(全国通用)_核心考点讲练
专题28圆的方程及直线、圆的位置关系(教师版)_02高考数学_通用版(老高考)复习资料_2024年复习资料_完备战2024年高考数学一轮复习考点帮(全国通用)_核心考点讲练
专题28圆的方程及直线、圆的位置关系(教师版)_02高考数学_通用版(老高考)复习资料_2024年复习资料_完备战2024年高考数学一轮复习考点帮(全国通用)_核心考点讲练
专题28圆的方程及直线、圆的位置关系(教师版)_02高考数学_通用版(老高考)复习资料_2024年复习资料_完备战2024年高考数学一轮复习考点帮(全国通用)_核心考点讲练
专题28圆的方程及直线、圆的位置关系(教师版)_02高考数学_通用版(老高考)复习资料_2024年复习资料_完备战2024年高考数学一轮复习考点帮(全国通用)_核心考点讲练
专题28圆的方程及直线、圆的位置关系(教师版)_02高考数学_通用版(老高考)复习资料_2024年复习资料_完备战2024年高考数学一轮复习考点帮(全国通用)_核心考点讲练
专题28圆的方程及直线、圆的位置关系(教师版)_02高考数学_通用版(老高考)复习资料_2024年复习资料_完备战2024年高考数学一轮复习考点帮(全国通用)_核心考点讲练
专题28圆的方程及直线、圆的位置关系(教师版)_02高考数学_通用版(老高考)复习资料_2024年复习资料_完备战2024年高考数学一轮复习考点帮(全国通用)_核心考点讲练
专题28圆的方程及直线、圆的位置关系(教师版)_02高考数学_通用版(老高考)复习资料_2024年复习资料_完备战2024年高考数学一轮复习考点帮(全国通用)_核心考点讲练
专题28圆的方程及直线、圆的位置关系(教师版)_02高考数学_通用版(老高考)复习资料_2024年复习资料_完备战2024年高考数学一轮复习考点帮(全国通用)_核心考点讲练
专题28圆的方程及直线、圆的位置关系(教师版)_02高考数学_通用版(老高考)复习资料_2024年复习资料_完备战2024年高考数学一轮复习考点帮(全国通用)_核心考点讲练
专题28圆的方程及直线、圆的位置关系(教师版)_02高考数学_通用版(老高考)复习资料_2024年复习资料_完备战2024年高考数学一轮复习考点帮(全国通用)_核心考点讲练
专题28圆的方程及直线、圆的位置关系(教师版)_02高考数学_通用版(老高考)复习资料_2024年复习资料_完备战2024年高考数学一轮复习考点帮(全国通用)_核心考点讲练

文档信息

文档格式
docx
文档大小
3.059 MB
文档页数
51 页
上传时间
2026-04-13 06:03:25

文档内容

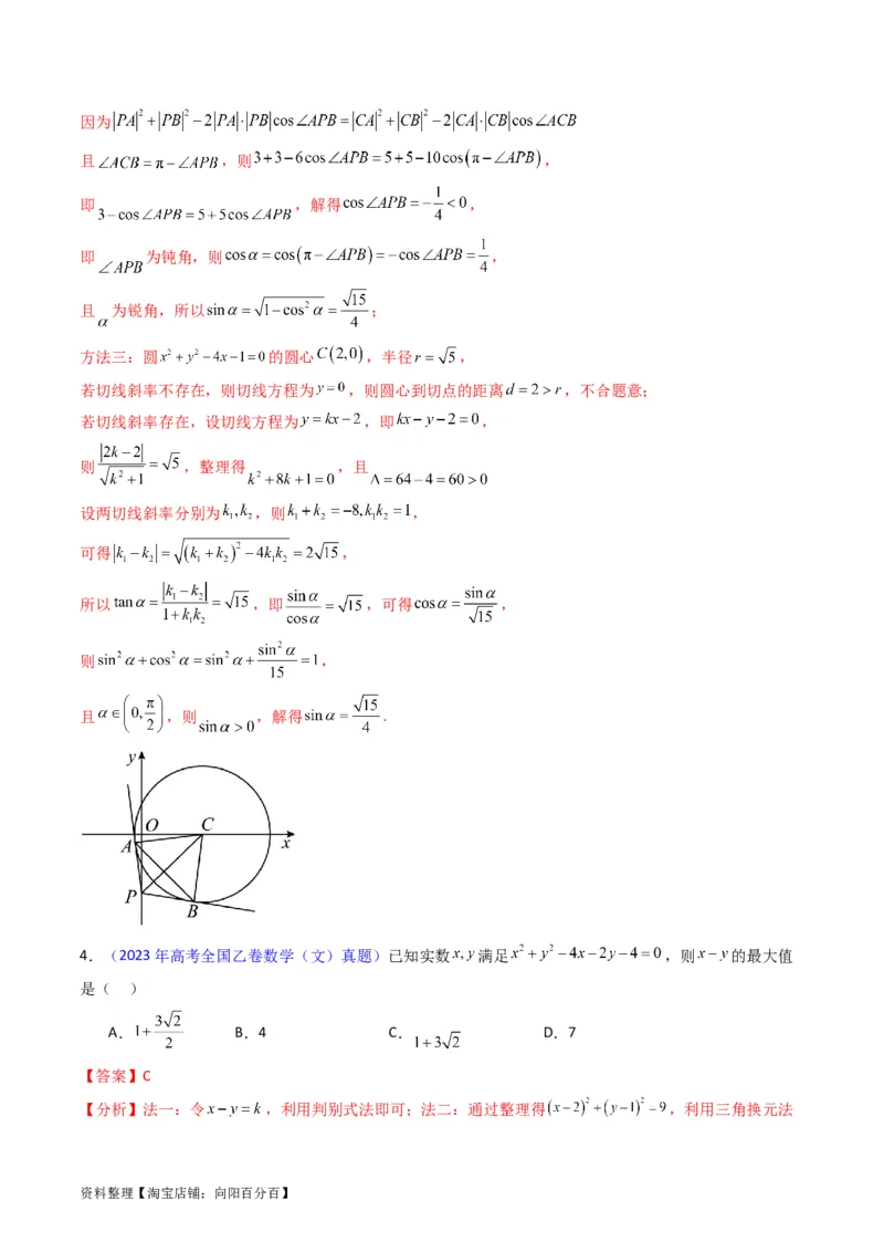
专题 28 圆的方程及直线、圆的位置关系 (核心考点精讲精练) 1. 近几年真题考点分布 圆锥曲线近几年考情 考题示例 考点分析 关联考点 2023年全国乙(文科),第11题,5分 直线与圆的位置关系, 参数方程 2023年全国乙(文科),第13题,5分 根据抛物线上的点求标准方程,抛物线的定义 2023年全国乙(理科),第3题,5分 通过三视图求几何体的表面积 2023年全国乙(文科),第3题,5分 2023年全国乙(理科),第5题,5分 根据标准方程确定圆的圆心和半径 几何概型 2023年全国乙(文科),第7题,5分 2023年全国乙(理科),第11题,5分 直线与双曲线的位置关系,求线段的中点坐标 2023年全国乙(文科),第12题,5分 2023年全国乙(理科),第12题,5分 直线与圆的位置关系 向量的数量积 2023年全国乙(理科),第20题,12分 1、根据离心率求椭圆方程; 2023年全国乙(文科),第21题,12分 2、椭圆中的定点问题; 2023年全国甲(文科),第7题,5分 椭圆中焦点三角形的面积问题 2023年全国甲(理科),第8题,5分 双曲线的渐近线、离心率、圆的中点弦 2023年全国甲(文科),第9题,5分 2023年全国甲(理科),第12题,5分 椭圆的定义、焦点三角形 1、根据直线与抛物线相交所得弦长求抛物线 2023年全国甲(理科),第20题,12分 方程; 2023年全国甲(文科),第20题,12分 2、抛物线中的三角形面积问题 2. 命题规律及备考策略 资料整理【淘宝店铺:向阳百分百】【命题规律】1.本节内容为高考常考内容,常考选填题; 2.考查圆的方程,判断圆心与半径; 3.考查直线与圆的位置关系,圆与圆的位置关系; 4.考查与圆相关的最值问题 【备考策略】1.理解确定圆的几何要素,在平面直角坐标系中,掌握圆的标准方程与一般方程. 2.初步了解用代数方法处理几何问题的思想. 3.能根据给定直线、圆的方程判断直线与圆的位置关系,能根据给定两个圆的方程判断两个圆 的位置关系. 4.能用直线和圆的方程解决一些简单的问题. 5.初步了解用代数方法处理几何问题的思想. 【命题预测】1.考查圆的方程,判断圆心与半径; 2.考查直线与圆的位置关系,圆与圆的位置关系; 3.考查与圆相关的最值问题 知识讲解 一、圆的定义和圆的方程 定义 平面内与定点的距离等于定长的点的集合(轨迹) 资料整理【淘宝店铺:向阳百分百】标准 圆心: , 方程 半径: ( D) 2 , 即 x+ + 一般 2 圆心: , 方程 ( E) 2 D2+E2-4F y+ = (D2+E2-4F>0) 2 4 半径: 1.几种特殊位置的圆的方程 标准方程的设法 一般方程的设法 圆心在原点 过原点 圆心在 轴上 圆心在 轴上 与 轴相切 与 轴相切 2.以 为直径端点的圆的方程为 . 二、点与圆的位置关系 点 与圆 的位置关系: 1.若点 在圆外,则 > ; 2.若点 在圆上,则 = ; 3.若点 在圆内,则 < . 求圆的方程的两种方法 (1)几何法:根据圆的几何性质,直接求出圆心的坐标和半径,进而写出方程. (2)待定系数法:①若已知条件与圆心 和半径 有关,则设圆的标准方程,求出 的值;②选择圆 的一般方程, 依据已知条件列出关于 的方程组,进而求出 的值. 求与圆有关的轨迹问题时,根据题设条件的不同常采用以下方法: ①直接法:直接根据题目提供的条件列出方程. ②定义法:根据圆与直线的定义列出方程. ③几何法:利用圆的几何性质列出方程. ④相关点代入法:找到要求点与已知点的关系,代入已知点满足的关系式. 把有关式子进行转化或利用所给式子的几何意义解题,充分体现了数形结合以及转化的数学思想,其中以 下几类转化较为常见: (1)形如 的最值问题,可转化为动直线斜率的最值问题. (2)形如 的最值问题,可转化为动直线截距的最值问题. 资料整理【淘宝店铺:向阳百分百】(3)形如 的最值问题,可转化为两点间距离的平方的最值问题. 求解形如 (其中 均为动点)且与圆 有关的折线段的最值问题的基本思路: (1)“动化定”,把与圆上动点的距离转化为与圆心的距离; (2)“曲化直”,即将折线段之和转化为同一直线上的两线段之和,一般要通过对称性解决. 利用已知或隐含的不等关系,先构建以待求量为元的不等式,再借助基本不等式求最值. 三、判断直线与圆的位置关系常用的两种方法 1.三种位置关系: 相交 、 相切 、 相离 . 2.两种研究方法 {Δ>0 ⇔ 相交 , Δ=0 ⇔ 相切 , (1) Δ<0 ⇔ 相离 . {dr⇔ 相离 . 四、圆与圆的位置关系 设圆 ,圆 . 位置 几何法:圆心距 与 的关 代数法:两圆方程联立组成方程组的解的情况 关系 系 外离 无解 外切 一组实数解 相交 两组不同的实数解 内切 一组实数解 内含 无解 1.与圆的切线有关的结论 (1)过圆 上一点 的切线方程为 ; (2)过圆 上一点 的切线方程为 ; (3)过圆 外一点 作圆的两条切线,切点分别为 ,则过 两点的直线方程为 . 2.直线被圆截得的弦长 弦心距 ,弦长 的一半 及圆的半径 构成一直角三角形,且有 . 3.两圆相交时公共弦所在直线的方程 设圆 , ① 圆 . ② 若两圆相交,则有一条公共弦,其公共弦所在直线的方程由①-②得到,即(D -D )x+(E -E )y+(F -F )=0. 1 2 1 2 1 2 4.常用的圆系方程 (1)圆心为定点 的同心圆系方程为 ,其中 为定值, 是参数. 资料整理【淘宝店铺:向阳百分百】(2)半径为定值 的圆系方程为 ,其中 为参数, 是定值. (3) 过 圆 与 直 线 的 交 点 的 圆 系 方 程 为 . (4)过圆 与圆 交点的圆系方程为 ,此圆系中不含圆 . 判断直线与圆的位置关系的常见方法 (1)几何法:利用 与 的关系. (2)代数法:联立方程之后利用Δ判断. (3)点与圆的位置关系法:若直线恒过定点且定点在圆内,可判断直线与圆相交. 上述方法中最常用的是几何法,点与圆的位置关系适用于动直线问题. 圆的切线方程的求法 (1)几何法:设切线方程为 ,利用点到直线的距离公式表示出圆心到切线的距离 ,然后 令 ,进而求出 . (2)代数法:设切线方程为 ,与圆的方程组成方程组,消元后得到一个一元二次方程,然后 令其根的判别式 ,进而求得 . 注意:若点在圆上(即为切点),则过该点的切线只有一条;若点在圆外,则过该点的切线有两条(若通过上述 方法只求出一个 ,则说明另一条切线的斜率一定不存在,此时另一条切线的方程为 ). 求解圆的弦长的3种方法 1.几何法:根据半径、弦心距、弦长的一半构成直角三角形,求解. 2.公式法:根据公式 求解. 3.距离法:联立直线与圆的方程,解方程组求出两交点的坐标,用两点间距离公式求解. 几何法判断圆与圆的位置的步骤 (1)确定两圆的圆心坐标和半径长. (2)利用平面内两点间的距离公式求出圆心距 和 , 的值. (3)比较 , , 的大小,写出结论. 若两圆相交,则两圆的公共弦所在直线的方程可由两圆的方程作差消去 项得到. 同时与两个圆相切的直线称为两圆的公切线.当两圆的位置关系不同时,公切线的条数也不同.具体情况 如下表: 位置关系 切线条数 外离 4 外切 3 相交 2 内切 1 内含 0 考点一、圆的标准方程与一般方程 资料整理【淘宝店铺:向阳百分百】1.圆 关于直线 对称的圆的方程是( ) A. B. C. D. 【答案】D 【分析】先求得圆 关于直线 对称的圆的圆心坐标,进而即可得到该圆的 方程. 【详解】圆 的圆心坐标为 ,半径为3 设点 关于直线 的对称点为 , 则 ,解之得 则圆 关于直线 对称的圆的圆心坐标为 则该圆的方程为 . 2.与圆 同圆心,且过点 的圆的方程是( ) A. B. C. D. 【答案】B 【分析】根据同圆心,可设圆的一般式方程为 ,代入点即可求解. 【详解】设所求圆的方程为 ,由该圆过点 ,得m=4, 所以所求圆的方程为 . 3.(2022年全国高考甲卷数学(文)试题)设点M在直线 上,点 和 均在 上, 则 的方程为 . 【答案】 【分析】设出点M的坐标,利用 和 均在 上,求得圆心及半径,即可得圆的方程. 【详解】[方法一]:三点共圆 ∵点M在直线 上, ∴设点M为 ,又因为点 和 均在 上, ∴点M到两点的距离相等且为半径R, 资料整理【淘宝店铺:向阳百分百】∴ , ,解得 , ∴ , , 的方程为 . 故答案为: [方法二]:圆的几何性质 由题可知,M是以(3,0)和(0,1)为端点的线段垂直平分线 y=3x-4与直线 的交点(1,-1). , 的方程为 . 1.若圆 与圆C关于直线 对称,则圆C的方程为( ) A. B. C. D. 【答案】C 【分析】由对称性得出的圆C圆心坐标,进而写出方程. 【详解】圆 的标准方程为 ,其圆心为 ,半径为 因为 关于直线 对称的点为 ,所以圆C的方程为 即 . 2.若方程 表示一个圆,则m的取值范围是( ) A. B. C. D. 【答案】A 【分析】运用配方法,结合圆的标准方程的特征进行求解即可. 【详解】由 ,得 ,则 . 3.(2022年全国高考乙卷数学(理)试题)过四点 中的三点的一个圆的方程为 . 【答案】 或 或 或 . 【分析】方法一:设圆的方程为 ,根据所选点的坐标,得到方程组,解得即可; 【详解】[方法一]:圆的一般方程 依题意设圆的方程为 , 资料整理【淘宝店铺:向阳百分百】(1)若过 , , ,则 ,解得 , 所以圆的方程为 ,即 ; (2)若过 , , ,则 ,解得 , 所以圆的方程为 ,即 ; (3)若过 , , ,则 ,解得 , 所以圆的方程为 ,即 ; (4)若过 , , ,则 ,解得 ,所以圆的方程为 ,即 ; 故答案为: 或 或 或 . [方法二]:【最优解】圆的标准方程(三点中的两条中垂线的交点为圆心) 设 (1)若圆过 三点,圆心在直线 ,设圆心坐标为 , 则 ,所以圆的方程为 ; (2)若圆过 三点, 设圆心坐标为 ,则 ,所以圆 的方程为 ; (3)若圆过 三点,则线段 的中垂线方程为 ,线段 的中垂线方程 为 , 资料整理【淘宝店铺:向阳百分百】联立得 ,所以圆的方程为 ; (4)若圆过 三点,则线段 的中垂线方程为 , 线段 中垂线方程为 ,联立 得 ,所以圆的方程为 . 【整体点评】方法一;利用圆过三个点,设圆的一般方程,解三元一次方程组,思想简单,运算稍繁; 方法二;利用圆的几何性质,先求出圆心再求半径,运算稍简洁,是该题的最优解. 考点二、与圆有关的轨迹问题 1.若圆 与圆 关于直线 对称,且过点C(-a,a)的圆P与y轴相 切,则圆心P的轨迹方程为( ) A. B. C. D. 【答案】C 【分析】先利用对称求得 ,再根据题意给出的几何特征建立方程化简即可. 【详解】设圆 的圆心 关于直线y=x-1的对称点是 , 则由题意可得 ,计算可得 , 由题知它是圆 的圆心,所以a=2. 设点P的坐标为(x,y),则有 ,化简得 . 2.(2023年河北省模拟数学试题)点A是圆 上的一个动点,点 ,当点A在圆上运动时, 线段 的中点P的轨迹方程为 . 【答案】 【分析】设 ,利用中点坐标公式可用x,y表示出 ,再根据点A在圆 上, 资料整理【淘宝店铺:向阳百分百】即可得到答案. 【详解】设 ,又点 , 则 , 所以 , , 又点A在圆 上, 则 ,即 , 所以线段AB的中点P的轨迹方程为 . 3.已知圆C :(x+3)2+y2=1和圆C :(x-3)2+y2=9,动圆M同时与圆C 及圆C 相外切,则动圆 1 2 1 2 圆心M的轨迹方程为 . 【答案】 【分析】设动圆圆心 的坐标为 ,半径为 ,由题意可得 ,可得点 的轨迹是 以 、 为焦点的双曲线的左支.根据 , ,求得 的值,可得点 的轨迹方程. 【详解】设动圆圆心 的坐标为 ,半径为 , 则由题意可得 , ,相减可得 , 故点 的轨迹是以 、 为焦点的双曲线的左支, 由题意可得 , , ,故点 的轨迹方程为 . 4.(2023-2024学年湖北省模拟考试数学试题)已知圆O的直径 ,动点M满足 ,则点 M的轨迹与圆O的相交弦长为( ) A. B. C. D. 【答案】A 【分析】设 ,由距离公式化简整理可得点M的轨迹,两圆相减得公共弦直线方程,利用几何关系即 可求出弦长. 【详解】由题意,以线段AB的中点O为原点,以直线AB为x轴,建立平面直角坐标系, 可设 , ,明显,圆O的半径为2,其方程为: ①, 设动点 ,由 ,从而有 , 化简得: ,即 ②, 资料整理【淘宝店铺:向阳百分百】由 可得相交弦的方程为: ,圆心 到 距离 , 所以公共弦长为 . 1.(2023年广东省模拟数学试题)点 ,点 是圆 上的一个动点,则线段 的中点 的 轨迹方程是( ) A. B. C. D. 【答案】A 【分析】设出点 坐标,得出 点坐标,代入圆方程,即可得到线段 的中点M的轨迹方程. 【详解】设点 的坐标为 ,因为 点是线段 的中点, 可得 ,点 在圆上,则 ,即 . 2.已知两条直线 , ,有一动圆(圆心和半径都在变动)与 都相交, 并且 被截在圆内的两条线段的长度分别是定值26,24,则动圆圆心的轨迹方程为( ) A. B. C. D. 【答案】D 【分析】利用点到直线距离公式与圆内弦长与半径关系即可求解. 【详解】设动圆圆心 ,半径为 ,则 到 的距离 , 到 的距离 , 资料整理【淘宝店铺:向阳百分百】因为 被截在圆内的两条线段的长度分别是定值26,24, ,化简后得 ,相减得 ,将 , 代入后化简可得 . 3.(2023年山东省模拟数学试题)两定点A,B的距离为3,动点M满足 ,则M点的轨迹长 为( ) A. B. C. D. 【答案】A 【分析】由题意建立坐标系,由题意可得点M的轨迹方程,进而可得M点的轨迹长. 【详解】以点A为坐标原点,直线AB为x轴,建立直角坐标系,如图, 则 ,设点 , 由 ,得 ,化简并整理得: , 于是得点M的轨迹是以点 为圆心,2为半径的圆,其周长为 ,所以M点的轨迹长为 . 4.已知点 是圆 上的定点,点 是圆内一点, 、 为圆上的动点. (1)求线段AP的中点 的轨迹方程. (2)若 ,求线段 中点 的轨迹方程. 【答案】(1) ;(2) . 【分析】(1)根据中点坐标公式,结合相关点法即可求解, (2)根据直角三角形的性质,结合勾股定理即可由点点距离求解. 【详解】(1)设 中点为 ,由中点坐标公式可知, 点坐标为 ∵ 点在圆 上,∴ .故线段 中点的轨迹方程为 . 资料整理【淘宝店铺:向阳百分百】(2)设 的中点为 ,在 中, , 设 为坐标原点,则 ,所以 , 所以 .故线段 中点的轨迹方程为 . 考点三、与圆有关的最值问题 1.若x,y满足 ,则 的最小值是( ) A.5 B. C. D.无法确定 【答案】C 【分析】由 为圆上的点与原点距离的平方,结合圆的性质即得. 【详解】由 ,可得 , 表示以 为圆心,以 为半径的圆, 设原点 , , 则 ( 为圆上的点与原点距离的平方)的最小值是 . 资料整理【淘宝店铺:向阳百分百】2.(2020年全国统一高考数学试卷(理科)(新课标Ⅰ))已知⊙M: ,直线 : , 为 上的动点,过点 作⊙M的切线 ,切点为 ,当 最小时,直线 的方程为( ) A. B. C. D. 【答案】D 【分析】由题意可判断直线与圆相离,根据圆的知识可知,四点 共圆,且 ,根据 可知,当直线 时, 最小,求出以 为直径的圆的方程,根 据圆系的知识即可求出直线 的方程. 【详解】圆的方程可化为 ,点 到直线 的距离为 ,所以直线 与圆相离. 依圆的知识可知,四点 四点共圆,且 ,所以 ,而 , 当直线 时, , ,此时 最小. ∴ 即 ,由 解得, . 所以以 为直径的圆的方程为 ,即 , 两圆的方程相减可得: ,即为直线 的方程. 【点睛】本题主要考查直线与圆,圆与圆的位置关系的应用,以及圆的几何性质的应用,意在考查学生的 转化能力和数学运算能力,属于中档题. 3.(2020年全国统一高考数学试卷(文科)(新课标Ⅰ))已知圆 ,过点(1,2)的直线 被该圆所截得的弦的长度的最小值为( ) A.1 B.2 C.3 D.4 【答案】B 【分析】当直线和圆心与点 的连线垂直时,所求的弦长最短,即可得出结论. 【详解】圆 化为 ,所以圆心 坐标为 ,半径为 , 设 ,当过点 的直线和直线 垂直时,圆心到过点 的直线的距离最大,所求的弦长最短,此时 ,根据弦长公式得最小值为 . 资料整理【淘宝店铺:向阳百分百】【点睛】本题考查圆的简单几何性质,以及几何法求弦长,属于基础题. 4.(2018年全国卷Ⅲ理数高考试题)直线 分别与 轴, 轴交于 , 两点,点 在圆 上,则 面积的取值范围是( ) A. B. C. D. 【答案】A 【详解】分析:先求出A,B两点坐标得到 再计算圆心到直线距离,得到点P到直线距离范围,由面 积公式计算即可 详解: 直线 分别与 轴, 轴交于 , 两点 ,则 点P在圆 上 圆心为(2,0),则圆心到直线距离 故点P到直线 的距离 的范围为 则 点睛:本题主要考查直线与圆,考查了点到直线的距离公式,三角形的面积公式,属于中档题. 5.若圆 )与圆 交于A、B两点,则 tan∠ANB的最大值为( ) A. B. C. D. 【答案】D 【分析】分析出AB为圆M与圆N的公共弦,且圆M的半径为1, , 当 的坐标为 时, , 由余弦函数的单调性确定 时, 最大,此时 最大,最大值为 . 【详解】 可化为 , 故圆N的圆心为 ,半径为 , 资料整理【淘宝店铺:向阳百分百】由题意可知:AB为圆M与圆N的公共弦,且圆M的半径为1, 所以 且 ,故 , 当 的坐标为 时, , 在 NAB中, , △ 又 , 在 上单调递减, 故 为锐角,且当 时, 最大, 又 在 上单调递增, 所以当 最大时, 取得最大值,且最大值为 . 1.已知点 是圆 上的动点,则 的最大值为( ) A. B. C.6 D.5 【答案】A 【分析】根据圆的标准方程,设x、y的参数方程,利用辅助角公式及正弦型函数的性质求最值即可. 【详解】由 ,令 ,则 , 所以当 时, 的最大值为 . 资料整理【淘宝店铺:向阳百分百】2.已知圆 的方程为 ,点 在直线 上,线段 为圆 的直径,则 的 最小值为( ) A.2 B. C.3 D. 【答案】B 【解析】将 转化为 ,利用圆心到直线的距离求得 的取值范围求得 的最小值. 【详解】 . 故 【点睛】本小题主要考查向量的线性运算,考查点到直线距离公式,考查化归与转化的数学思想方法,属 于中档题. 3.(2021年北京市高考数学试题)已知直线 ( 为常数)与圆 交于点 ,当 变 化时,若 的最小值为2,则 ( ) A. B. C. D. 【答案】C 【分析】先求得圆心到直线距离,即可表示出弦长,根据弦长最小值得出 【详解】由题可得圆心为 ,半径为2, 则圆心到直线的距离 , 则弦长为 , 则当 时, 取得最小值为 ,解得 . 4.已知边长为2的等边三角形 , 是平面 内一点,且满足 ,则三角形 面积 的最小值是( ) A. B. C. D. 【答案】A 【分析】建立直角坐标系,设 ,写出 的坐标,利用 列式得关于 的等式,可 得点 的轨迹为以 为圆心,以 为半径的圆,写出直线 的方程,计算 和点 距离直线 的 最小距离 ,代入三角形面积公式计算. 资料整理【淘宝店铺:向阳百分百】【详解】以 的中点 为原点,建立如图所示的直角坐标系,则 , , , 设 ,因为 ,所以 ,得 , 所以点 的轨迹为以 为圆心,以 为半径的圆,当点 距离直线 距离最大时, 面积最大, 已知直线 的方程为: , ,点 距离直线 的最小距离为: ,所以 面积的最小值为 . 5.已知圆 : 与圆 : 相外切,则 的最大值为( ) A.2 B. C. D.4 【答案】A 【分析】由圆的方程求得圆心坐标与半径,再由两圆外切可得 ,要使 取得最大值,则 , 同 号,不妨取 , ,然后利用基本不等式求得 的最大值. 【详解】圆 的圆心为 ,半径 , 圆 的圆心为 ,半径 , 由圆C 与圆C 相外切,得 1 2 即 , ∴ ; 要使 取得最大值,则 , 同号,不妨取 , , 由基本不等式,得 ,当且仅当 时等号成立, 资料整理【淘宝店铺:向阳百分百】∴ab的最大值为2. 考点四、直线与圆的位置关系 1.(2020年全国统一高考数学试卷(理科)(新课标Ⅲ))若直线l与曲线y= 和x2+y2= 都相切,则l 的方程为( ) A.y=2x+1 B.y=2x+ C.y= x+1 D.y= x+ 【答案】D 【分析】根据导数的几何意义设出直线 的方程,再由直线与圆相切的性质,即可得出答案. 【详解】设直线 在曲线 上的切点为 ,则 , 函数 的导数为 ,则直线 的斜率 , 设直线 的方程为 ,即 , 由于直线 与圆 相切,则 , 两边平方并整理得 ,解得 , (舍), 则直线 的方程为 ,即 . 【点睛】本题主要考查了导数的几何意义的应用以及直线与圆的位置的应用,属于中档题. 2.若直线 与圆 相交于 两点, 且 (其中 为原点), 则 的值为( ) A. 或 B. C. 或 D. 【答案】A 【分析】根据点到直线的距离公式即可求解. 【详解】由 可知,圆心 到直线 的距离为 ,根据点到直线的距离公式可得 . 资料整理【淘宝店铺:向阳百分百】3.(2021年普通高等学校招生全国统一考试模拟数学试题)已知抛物线 上三点 ,直 线 是圆 的两条切线,则直线 的方程为( ) A. B. C. D. 【答案】B 【解析】先利用点 求抛物线方程,利用相切关系求切线AB,AC,再分别联立直线和抛物线求出点 ,即求出直线 方程. 【详解】 在抛物线 上,故 , 即 ,抛物线方程为 , 设过点 与圆 相切的直线的方程为: ,即 , 则圆心 到切线的距离 ,解得 , 如图,直线 ,直线 . 资料整理【淘宝店铺:向阳百分百】联立 ,得 , 故 ,由 得 ,故 , 联立 ,得 , 故 ,由 得 ,故 , 故 ,又由 在抛物线上可知, 直线 的斜率为 , 故直线 的方程为 ,即 . 【点睛】方法点睛: 求圆的切线的方程的求法: (1)几何法:设直线的方程,利用圆心到直线的距离等于半径构建关系求出参数,即得方程; (2)代数法:设直线的方程,联立直线与圆的方程,使判别式等于零解出参数,即可得方程. 4.若直线 与曲线 有两个交点,则实数 的取值范围是( ) A. B. C. D. 【答案】C 【分析】根据直线 和曲线方程在平面直角坐标系中画出图形,数形结合分析即可. 【详解】由题意,直线 的方程可化为 ,所以直线 恒过定点 , ,可 化为 其表示以 为圆心,半径为2的圆的一部分,如图. 资料整理【淘宝店铺:向阳百分百】当 与该曲线相切时,点 到直线的距离 ,解得 . 设 ,则 .由图可得,若要使直线 与曲线 有两个交点,则 . 1.已知直线 经过点 ,且 与圆 相切,则 的方程为( ) A. B. C. D. 【答案】A 【分析】直线 经过点 ,且 与圆 相切可知 ,再使用点斜式即可. 【详解】直线 经过点 ,且 与圆 相切,则 , 故直线 的方程为 ,即 . 2.设 为实数,若直线 与圆 相交于M,N两点,且 ,则 ( ) A.3 B.-1 C.3或-1 D.-3或1 【答案】C 【分析】化出圆的标准方程,求出圆心和半径,利用垂径定理列方程求解即可. 【详解】圆 的标准方程为 ,圆心为 ,半径为 , 直线 的一般方程为 资料整理【淘宝店铺:向阳百分百】则由已知得 , 解得 或 . 3.(2023届广东省二模数学试题)若斜率为1的直线 与曲线 和圆 都相切,则实数 的值为( ) A. B.0 C.2 D.0或2 【答案】D 【分析】设直线 与曲线 的切点为 ,先根据导数的几何意义求出 在切点 处的切线方程,再根据直线与圆相切和圆心到直线距离的关系列式求解即可. 【详解】设直线 与曲线 的切点为 , 由 ,则 ,则 , ,即切点为 ,所以直线 为 , 又直线 与圆 都相切,则有 ,解得 或 . 4.已知直线l: 与圆C: 交于A,B两点,O为坐标原点,则 的 最小值为( ). A. B. C. D. 【答案】A 【分析】由题意直线l过圆心 ,则 ,当OC垂直直线l时, 取得最小值得出答案. 【详解】圆 的圆心 ,满足 ,所以直线l过圆心 , 所以 , 当OC垂直直线l时, 取得最小值,所以 的最小值为 所以 的得最小值为 ,故 的最小值为 . 资料整理【淘宝店铺:向阳百分百】考点五、圆与圆的位置关系 1.已知两圆分别为圆 和圆 ,这两圆的位置关系是( ) A.相离 B.相交 C.内切 D.外切 【答案】B 【分析】先求出两圆圆心和半径,再由两圆圆心之间的距离和两圆半径和及半径差比较大小即可求解. 【详解】由题意得,圆 圆心 ,半径为7;圆 ,圆心 ,半径为4, 两圆心之间的距离为 ,因为 ,故这两圆的位置关系是相交. 2.设圆 ,圆 ,则圆 , 的公切线有( ) A.1条 B.2条 C.3条 D.4条 【答案】B 【分析】先根据圆的方程求出圆心坐标和半径,再根据圆心距与半径的关系即可判断出两圆的位置关系, 从而得解. 【详解】由题意,得圆 ,圆心 ,圆 ,圆心 ,∴ ,∴ 与 相交,有2条公切线. 3.已知圆 , ,则这两圆的公共弦长为( ) A.4 B. C.2 D.1 【答案】C 【分析】先求出两圆的公共弦所在直线的方程,用垂径定理求弦长. 【详解】由题意知 , ,将两圆的方程相减, 得 ,所以两圆的公共弦所在直线的方程为 . 又因为圆 的圆心为 ,半径 , 所以圆 的圆心到直线 的距离 . 所以这两圆的公共弦的弦长为 . 资料整理【淘宝店铺:向阳百分百】1.(2023届广西阶段性联合检测数学(文)试题)圆 与圆 的 位置关系为( ) A.相交 B.内切 C.外切 D.相离 【答案】A 【分析】根据两圆的位置关系的判定方法,即可求解. 【详解】由 与圆 , 可得圆心 ,半径 , 则 ,且 , 所以 ,所以两圆相交. 2.已知圆 : 与圆 : ,若圆 与圆 有且仅有一个公共 点,则实数a等于( ) A.14 B.34 C.14或45 D.34或14 【答案】D 【分析】根据两圆内切或外切可得圆心距,从而可求实数a. 【详解】圆 : 的圆心为 , 圆 : 的圆心为 , , 因为圆 与圆 有且仅有一个公共点,故圆 与圆 相内切或外切, 故 或 ,从而 或 , 所以 或 ,解得: 或 所以实数a等于34或14. 3.已知圆 与圆 的公共弦所在直线恒过点P,则点P的坐标为 ( ) A. B. C. D. 【答案】A 【分析】两圆方程相减可得公共弦所在直线方程,然后k取特值解方程组可得交点. 资料整理【淘宝店铺:向阳百分百】【详解】由 , 两式相减得公共弦所在直线方程为: , 分别取 ,得 ,解得 ,即 . 4.设 与 相交于 两点,则 . 【答案】 【分析】先求出两圆的公共弦所在的直线方程,然后求出其中一个圆心到该直线的距离,再根据弦长、半 径以及弦心距三者之间的关系求得答案. 【详解】将 和 两式相减: 得过 两点的直线方程: ,则圆心 到 的距离为 ,所以 . 考点六、圆在情景中的应用 1.古希腊数学家阿波罗尼斯(约前262—前190年)的著作《圆锥曲线论》是古代光辉的科学成果,著作 中有这样一个命题:平面内与两定点距离的比为常数 且 的点的轨迹是圆,后人将这个圆称为 阿波罗尼斯圆.已知 , ,圆 上有且仅有一个点P满足 , 则r的取值为( ) A.1 B.5 C.1或5 D.不存在 【答案】C 【分析】直接设点P ,根据 可以求得点P的轨迹为圆,根据题意两圆有且仅有一个公共 点,则两圆外切或内切,可得 或 . 【详解】设点P ∵ 即 整理得: ∴点P的轨迹为以 为圆心,半径 的圆, 资料整理【淘宝店铺:向阳百分百】∵圆 的 为圆心,半径 的圆 由题意可得: 或 ∴ 或 . 2.19世纪法国著名数学家加斯帕尔·蒙日,创立了画法几何学,推动了空间几何学的独立发展.提出了著名 的蒙日圆定理:椭圆的两条切线互相垂直,则切线的交点位于一个与椭圆同心的圆上,称为蒙日圆,且该 圆的半径等于椭圆长半轴长与短半轴长的平方和的算术平方根.若圆 上有且只有一个点 在椭圆 的蒙日圆上,则 的值为( ) A. B. C. D. 【答案】C 【分析】根据题意得椭圆 的蒙日圆方程为 ,进而得该圆与已知圆相切,再根据圆的位 置关系求解即可. 【详解】解:根据题意,椭圆 的蒙日圆方程为 , 因为圆 上有且只有一个点在椭圆 的蒙日圆上, 所以该圆与已知圆相切, 又两圆圆心间距离为 ,所以 或 (无解,舍去),解得 . 1.古希腊数学家阿波罗尼奥斯(约公元前262~公元前190年)的著作《圆锥曲线论》是古代世界光辉的科学 成果,著作中有这样一个命题:平面内与两定点距离的比为常数k(k>0且k≠1)的点的轨迹是圆,后人将这 个圆称为阿波罗尼斯圆.已知O(0,0),A(3,0),动点P(x,y)满 ,则动点P轨迹与圆 的位置关系是( ) A.相交 B.相离 C.内切 D.外切 【答案】A 【分析】首先求得点 的轨迹,再利用圆心距与半径的关系,即可判断两圆的位置关系. 【详解】由条件可知, , 化简为: ,动点 的轨迹是以 为圆心,2为半径的圆, 资料整理【淘宝店铺:向阳百分百】圆 是以 为圆心, 为半径的圆,两圆圆心间的距离 , 所以两圆相交. 2.19世纪法国著名数学家加斯帕尔·蒙日,创立了画法几何学,推动了空间几何学的独立发展,提出了著 名的蒙日圆定理:椭圆的两条切线互相垂直,则切线的交点位于一个与椭圆同心的圆上,称为蒙日圆,且 该圆的半径等于椭圆长半轴长与短半轴长的平方和的算术平方根.若圆 与椭圆 的蒙日圆有且仅有一个公共点,则b的值为( ) A. B. C. D. 【答案】B 【分析】由题意求出蒙日圆方程,再由两圆只有一个交点可知两圆相切,从而列方程可求出b的值 【详解】由题意可得椭圆 的蒙日圆的半径 , 所以蒙日圆方程为 ,因为圆 与椭圆 的蒙日圆有且仅有一个公共点, 所以两圆相切,所以 ,解得 . 【基础过关】 1.已知圆的圆心在直线x-2y-3=0上,且过点A(2,-3),B(-2,-5),则圆的一般方程为 . 【答案】x2+y2+2x+4y-5=0 【分析】方法一:设出圆的标准方程,代入点的坐标,建立方程组,求出答案; 方法二:求出线段AB的垂直平分线方程,联立x-2y-3=0求出圆心坐标,进而计算出半径,写出圆的标 准方程,化为一般方程. 【详解】方法一:设所求圆的标准方程为(x-a)2+(y-b)2=r2, 由题意得: , 解得: 资料整理【淘宝店铺:向阳百分百】故所求圆的方程为(x+1)2+(y+2)2=10, 即x2+y2+2x+4y-5=0. 方法二:线段 的中点坐标为 ,即 , 直线 的斜率为 , 所以线段AB的垂直平分线的斜率为-2, 所以线段AB的垂直平分线方程为 , 即2x+y+4=0, 由几何性质可知:线段AB的垂直平分线与 的交点为圆心, 联立 , 得交点坐标 , 又点O到点A的距离 , 即半径为 , 所以圆的方程为(x+1)2+(y+2)2=10, 即x2+y2+2x+4y-5=0. 2.(2023年四川省模拟数学试题)自 引圆 的割线ABC,则弦 中点P的轨迹方程 . 【答案】 ( ) 【分析】设 ,根据 ⊥ ,利用斜率列出方程,再考虑 的取值范围. 【详解】设 ,则 ⊥ , 当 时,有 ,即 ,整理得 ①, 当 时,此时割线ABC的中点为原点,代入①式,也成立, 故弦 中点P的轨迹方程为 (在圆 内部分), 资料整理【淘宝店铺:向阳百分百】联立 ,解得 , 故轨迹方程为 ( ) 3.过点 作圆 的切线,则切线方程为( ) A. B. C. D. 或 【答案】C 【分析】讨论直线斜率,由相切关系及点线距离公式求斜率,进而写出切线方程. 【详解】由圆心为 ,半径为 , 斜率存在时,设切线为 , 则 ,可得 , 所以 ,即 , 斜率不存在时 ,显然不与圆相切; 综上,切线方程为 . 4.(2022年北京市高考数学试题)若直线 是圆 的一条对称轴,则 ( ) A. B. C.1 D. 【答案】A 【分析】若直线是圆的对称轴,则直线过圆心,将圆心代入直线计算求解. 【详解】由题可知圆心为 ,因为直线是圆的对称轴, 所以圆心在直线上,即 ,解得 . 5.圆 的圆心和半径分别是( ) A. , B. , C. , D. , 【答案】D 【分析】先化为标准方程,再求圆心半径即可. 【详解】先化为标准方程可得 ,故圆心为 ,半径为 . 6.已知点A(1,2)在圆C: 外,则实数m的取值范围为( ) 资料整理【淘宝店铺:向阳百分百】A. B. C. D. 【答案】A 【分析】由 表示圆可得 ,点A(1,2)在圆C外可得 ,求解即可 【详解】由题意, 表示圆 故 ,即 或 点A(1,2)在圆C: 外 故 ,即 故实数m的取值范围为 或 即 7.若实数 满足 ,则 的最大值是( ) A. B. C. D. 【答案】A 【分析】先化简曲线方程,判断曲线的形状,明确 的几何意义,结合图像解答. 【详解】 , 表示以 为圆心,3为半径的圆. 表示以圆 上的任意一点 到 两点间距离, 的最大值即为 8.已知直线 : 恒过点 ,过点 作直线与圆C: 相交于A,B两点, 则 的最小值为( ) A. B.2 C.4 D. 【答案】A 【分析】写出直线的定点坐标并判断与圆的位置关系,进而确定 最小时直线与直线 的位置关系, 即可得结果. 【详解】由 恒过 , 又 ,即 在圆C内, 资料整理【淘宝店铺:向阳百分百】要使 最小,只需圆心 与 的连线与该直线垂直,所得弦长最短, 由 ,圆的半径为5, 所以 . 9.(2020年北京市高考数学试题)已知半径为1的圆经过点 ,则其圆心到原点的距离的最小值为 ( ). A.4 B.5 C.6 D.7 【答案】A 【分析】求出圆心 的轨迹方程后,根据圆心 到原点 的距离减去半径1可得答案. 【详解】设圆心 ,则 , 化简得 , 所以圆心 的轨迹是以 为圆心,1为半径的圆, 所以 ,所以 , 当且仅当 在线段 上时取得等号, 【点睛】本题考查了圆的标准方程,属于基础题. 10.(2023届广东省调研数学试题)已知圆 关于直线 ( , ) 对称,则 的最小值为( ) A. B.9 C.4 D.8 【答案】B 【分析】由题可得 ,然后利用基本不等式即得. 资料整理【淘宝店铺:向阳百分百】【详解】圆 的圆心为 ,依题意,点 在直线 上, 因此 ,即 , ∴ , 当且仅当 ,即 时取“=”,所以 的最小值为9. 11.直线 分别与x轴,y轴交于 两点,点 在圆 ,则 面积的取值范 围是( ) A. B. C. D. 【答案】C 【分析】由题意首先求得 的长度,然后确定圆上的点到直线 的距离 ,最后确定三角形面积的取 值范围. 【详解】解:因为 ,所以 . 圆的标准方程 ,圆心 , 圆心 到直线 的距离为 , 所以,点 到直线 的距离 的取值范围为: , 所以 . 12.(2020年全国统一高考数学试卷(文科)(新课标Ⅱ))若过点(2,1)的圆与两坐标轴都相切,则 圆心到直线 的距离为( ) A. B. C. D. 【答案】B 【分析】由题意可知圆心在第一象限,设圆心的坐标为 ,可得圆的半径为 ,写出圆的标准方 程,利用点 在圆上,求得实数 的值,利用点到直线的距离公式可求出圆心到直线 的距 离. 【详解】由于圆上的点 在第一象限,若圆心不在第一象限, 则圆与至少与一条坐标轴相交,不合乎题意,所以圆心必在第一象限, 资料整理【淘宝店铺:向阳百分百】设圆心的坐标为 ,则圆的半径为 , 圆的标准方程为 . 由题意可得 , 可得 ,解得 或 , 所以圆心的坐标为 或 , 圆心 到直线 的距离均为 ; 圆心 到直线 的距离均为 圆心到直线 的距离均为 ; 所以,圆心到直线 的距离为 . 【点睛】本题考查圆心到直线距离的计算,求出圆的方程是解题的关键,考查计算能力,属于中等题. 13.已知直线 与圆 交于 两个不同点,则当弦 最短时, 圆 与圆 的位置关系是( ) A.内切 B.相离 C.外切 D.相交 【答案】D 【分析】由直线 过定点 且定点在圆 内,当弦 最短时直线 垂直 ,根据 斜率乘积为 求出 ,进而求出圆 的方程,再根据圆心距与两圆半径的关系确定答案. 【详解】易知直线 过定点 ,弦 最短时直线 垂直 , 又 ,所以 ,解得 , 此时圆 的方程是 . 两圆圆心之间的距离 , 又 ,所以这两圆相交. 14.古希腊数学家阿波罗尼奥斯(约公元首262~公元前190年)的著作《圆锥曲线论》是古代世界光辉 的科学成果,著作中有这样一个命题:平面内与两定点距离的比为常数k( 且 )的点的轨迹是圆, 后人将这个圆称为阿波罗尼斯圆.已知 , ,圆 上有且仅有一个点 P 满足 ,则r的取值可以为( ) 资料整理【淘宝店铺:向阳百分百】A.1 B.2 C.3 D.4 【答案】A 【分析】设动点P的坐标,利用已知条件列出方程,化简可得点P的轨迹方程,由点P是圆C: 上有且仅有的一点,可得两圆相切,进而可求得r的值. 【详解】设动点 ,由 ,得 ,整理得 , 又点 是圆 : 上有且仅有的一点,所以两圆相切. 圆 的圆心坐标为 ,半径为2, 圆C: 的圆心坐标为 ,半径为r,两圆的圆心距为3, 当两圆外切时, ,得 , 当两圆内切时, , ,得 . 【点睛】结论点睛:本题考查阿波罗尼斯圆,考查两圆相切的应用,判断圆与圆的位置关系几何法:圆心 距d与r ,r 的关系:(1)外离 ;(2)外切 ;(3)相交 ;(4)内切 1 2 ;(5)内含 ,考查学生的数形结合思想和逻辑推理能力,属于中 档题. 【能力提升】 1.求过两圆 和 的交点,且圆心在直线 上的圆的方程 ( ) A. B. C. D. 【答案】D 【分析】先计算出两圆的交点 所在直线,进而求出线段 的垂直平分线,与 联立求出 资料整理【淘宝店铺:向阳百分百】圆心坐标,再求出半径,写出圆的标准方程,从而求出圆的一般方程. 【详解】 与 相减得: , 将 代入 得: , 即 , 设两圆 和 的交点为 , 则 , ,则 , 不妨设 , 所以线段 的中点坐标为 , 因为直线 的斜率为1,所以线段 的垂直平分线的斜率为-1, 所以线段 的垂直平分线为 , 与 联立得: , 故圆心坐标为 ,半径 , 所以圆的方程为 , 整理得: . 2.已知直线 与圆 相交于两点 ,当 变化时, 的面积的最大值 为( ) △ A. B. C. D. 【答案】C 【分析】将 的面积表示出来即可求出最大值. 【详解】因△为直线直线 恒过点 在圆内,所以直线与圆相交, 圆 的圆心 ,所以 的面积的最大值为: △ . 资料整理【淘宝店铺:向阳百分百】3.已知 为正方体 表面上的一动点,且满足 ,则动点 运动轨迹的 周长为 . 【答案】 【分析】首先根据条件确定P点所处的平面,再建立坐标系求出动点P的轨迹方程,据此求出轨迹的长. 【详解】由 可知,正方体表面上到点A距离最远的点为 , 所以P点只可能在面 ,面 ,面 上运动, 当P在面 上运动时,如图示,建立平面直角坐标系, 则 , 设 ,由 得: , 即 ,即P点在平面ABCD内的轨迹是以E(4,0)为圆心,以 为半径的一段圆弧, 因为 ,故 , 所以P点在面ABCD内的轨迹的长即为 资料整理【淘宝店铺:向阳百分百】同理,P点在面 内情况亦为 ; P点在面 上时,因为 , , 所以 , 所以此时P点轨迹为以B为圆心,2为半径的圆弧, 其长为 , 综上述,P点运动轨迹的周长为 . 4.(2024届河北省调研监测数学试题)过圆 : 上一点 作圆 : 的两切 线,切点分别为 , ,设两切线的夹角为 ,当 取最小值时, . 【答案】 / 【分析】易得 ,从而可得 ,求出 取得最小值时, 的值即可. 【详解】由题意可得 , 圆 的圆心 ,半径 , 圆 的圆心 ,半径 , 则 , 当 取最小值时,则 取得最小值, , 此时 , 又 为锐角,所以 , 所以 , 即当 取最小值时, . 资料整理【淘宝店铺:向阳百分百】5.(2023届湖北省调研数学试题)若两条直线 与圆 的四个 交点能构成矩形,则 . 【答案】8 【分析】由题意知圆心到两直线的距离相等,得到等量关系求解即可. 【详解】由题意直线 平行,且与圆的四个交点构成矩形, 则可知圆心到两直线的距离相等, 由圆 的圆心为: , 圆心到 的距离为: , 圆心到 的距离为: ,所以 , 由题意 ,所以 . 【点睛】关键点点睛:由圆的切线的性质将所求转化为求 的最小值是解决本题的关键. 6.直线 被圆O; 截得的弦长最短,则实数m= . 【答案】1 【分析】求出直线MN过定点A(1,1),进而判断点A在圆内,当 时,|MN|取最小值,利用两 直线斜率之积为-1计算即可. 资料整理【淘宝店铺:向阳百分百】【详解】直线MN的方程可化为 , 由 ,得 , 所以直线MN过定点A(1,1), 因为 ,即点A在圆 内. 当 时,|MN|取最小值, 由 ,得 ,∴ . 7.已知抛物线 ,圆 ,直线 与 交于A、B两点,与 交于 M、N两点,若 ,则 ( ) A. B. C. D. 【答案】B 【分析】联立直线方程和抛物线方程,设 , ,根据抛物线焦点弦长公式 和韦达 定理可求出k,根据圆的弦长公式 即可求 . 【详解】由 得, , 设 , ,∵ ,∴ , ∵ 过抛物线的焦点(1,0),故AB为焦点弦, ∴ ,∴ ,∴ ,解得 , 由圆关于x轴对称可知,k=1和k=-1时 相同, 故不妨取k=1,l为y=x-1,即x-y-1=0, 圆心(2,1)到l的距离 , ∴ ﹒ 8.已知圆 的面积被直线 平分,圆 , 则圆 与圆 的位置关系是( ) A.外离 B.相交 C.内切 D.外切 资料整理【淘宝店铺:向阳百分百】【答案】B 【分析】由圆 的面积被直线 平分,可得圆心在直线上,求出 ,进而利用圆心距与半径和 以及半径差的关系可得圆 与圆 的位置关系. 【详解】因为圆 的面积被直线 平分,所以圆 的圆心 在直线 上, 所以 ,解得 ,所以圆 的圆心为 ,半径为 . 因为圆 的圆心为 ,半径为 ,所以 , 故 ,所以圆 与圆 的位置关系是相交. 9.已知过点 的动直线l与圆C: 交于A,B两点,过A,B分别作C的切线,两切线交于 点N.若动点 ,则 的最小值为( ) A.6 B.7 C.8 D.9 【答案】B 【分析】先判断出 四点在以 为直径的圆上,求出该圆方程,进而求得 方程,由点 在直线 上得出 点轨迹为 ,又 在圆 上,进而将 的最小值即为圆心到 直线的距离减去半径,即可求解. 【详解】 易得圆心 ,半径为4,如图,连接 ,则 ,则 四点在以 为直径 的圆上,设 ,则该圆的圆心为 ,半径为 ,圆的方程为 资料整理【淘宝店铺:向阳百分百】,又该圆和圆 的交点弦即为 , 故 ,整理得 ,又点 在直线 上, 故 ,即 点轨迹为 ,又 在圆 上,故 的最小值为 圆心 到直线 的距离减去半径1,即 . 10.古希腊数学家阿波罗尼奥斯(约公元首262~公元前190年)的著作《圆锥曲线论》是古代世界光辉的 科学成果,著作中这样一个命题:平面内与两定点距离的比为常数 且 的点的轨迹是圆,后人 将这个圆称为阿波罗尼斯圆,已知点 , ,圆 ,在圆上存在 点 满足 ,则实数 的取值范围是( ) A. B. C. D. 【答案】D 【分析】设 ,根据 求出点 的轨迹方程,根据题意可得两个圆有公共点,根据圆心距大 于或等于半径之差的绝对值小于或等于半径之和,解不等式即可求解. 【详解】设 ,因为点 , , , 所以 即 , 所以 ,可得圆心 ,半径 , 由圆 可得圆心 ,半径 , 因为在圆 上存在点 满足 , 所以圆 与圆 有公共点, 所以 ,整理可得: , 解得: , 所以实数 的取值范围是 . 资料整理【淘宝店铺:向阳百分百】11.已知 : ,直线 : , 为直线 上的动点,过点 作 的切 线 , ,切点为 , ,当四边形 的面积取最小值时,直线AB的方程为 . 【答案】 【分析】易知四边形MACB的面积为 ,然后由 最小,可得直线 的方程, 与 的方程联立,得到 点坐标及 的值,进而得到以 为直径的圆的方程,与 的方程作差可 得直线 的方程. 【详解】 : 的标准方程为 , 则圆心 ,半径 . 因为四边形 的面积 , 要使四边形 面积最小,则需 最小,此时 与直线 垂直, 直线 的方程为 ,即 , 联立 ,解得 .则 , 则以 为直径的圆的方程为 , 与 的方程作差可得直线 的方程为 . 12.(2022年全国新高考I卷数学试题)写出与圆 和 都相切的一条直线的 方程 . 【答案】 或 或 【分析】先判断两圆位置关系,分情况讨论即可. 【详解】[方法一]: 显然直线的斜率不为0,不妨设直线方程为 , 于是 , 故 ①, 于是 或 , 再结合①解得 或 或 , 所以直线方程有三条,分别为 , , 填一条即可 资料整理【淘宝店铺:向阳百分百】[方法二]: 设圆 的圆心 ,半径为 , 圆 的圆心 ,半径 ,则 ,因此两圆外切, 由图像可知,共有三条直线符合条件,显然 符合题意; 又由方程 和 相减可得方程 , 即为过两圆公共切点的切线方程, 又易知两圆圆心所在直线OC的方程为 ,直线OC与直线 的交点为 , 设过该点的直线为 ,则 ,解得 , 从而该切线的方程为 填一条即可 [方法三]: 圆 的圆心为 ,半径为 ,圆 的圆心 为 ,半径为 , 两圆圆心距为 ,等于两圆半径之和,故两圆外切, 如图, 资料整理【淘宝店铺:向阳百分百】当切线为l时,因为 ,所以 ,设方程为 O到l的距离 ,解得 ,所以l的方程为 , 当切线为m时,设直线方程为 ,其中 , , 由题意 ,解得 , 当切线为n时,易知切线方程为 . 13.平面上两点A、B,则所有满足 且k不等于1的点P的轨迹是一个圆,这个轨迹最先由古希腊 数学家阿波罗尼斯发现,故称阿氏圆.已知圆 上的动点P满足: 其中O为坐标原点,A点的坐标 为 . (1)直线 上任取一点Q,作圆 的切线,切点分别为M,N,求四边形 面积的最小值; (2)在(1)的条件下,证明:直线MN恒过一定点并写出该定点坐标. 【答案】(1)4;(2)证明见解析, . 【分析】(1)设点P的坐标为 ,求出点P的轨迹方程为 ,求出 , ,求出 最小值即得解; (2)设 ,两圆方程相减可得MN的方程为 ,即得解. (1) 解:设点P的坐标为 ,根据题设条件有 , 所以有 , 化简得 . 所以 , 由题知,当 时,此时 , |QM|最小, 即四边形 面积取得最小值4. (2) 资料整理【淘宝店铺:向阳百分百】解;设 ,由几何性质,可知M,N两点在以 为直径的圆上, 此圆的方程为 , 而直线MN是此圆与圆 的相交弦所在直线, 相减可得MN的方程为 , 所以直线MN恒过定点 . 【真题感知】 1.(2023年高考全国甲卷数学(理)真题)已知双曲线 的离心率为 ,C的一 条渐近线与圆 交于A,B两点,则 ( ) A. B. C. D. 【答案】D 【分析】根据离心率得出双曲线渐近线方程,再由圆心到直线的距离及圆半径可求弦长. 【详解】由 ,则 ,解得 ,所以双曲线的一条渐近线不妨取 , 则圆心 到渐近线的距离 ,所以弦长 . 2.(2023年高考全国乙卷数学(理)真题)设O为平面坐标系的坐标原点,在区域 内随机取一点,记该点为A,则直线OA的倾斜角不大于 的概率为( ) A. B. C. D. 【答案】C 【分析】根据题意分析区域的几何意义,结合几何概型运算求解. 【详解】因为区域 表示以 圆心,外圆半径 ,内圆半径 的圆环, 则直线 的倾斜角不大于 的部分如阴影所示,在第一象限部分对应的圆心角 , 结合对称性可得所求概率 . 资料整理【淘宝店铺:向阳百分百】3.(2023年新课标全国Ⅰ卷数学真题)过点 与圆 相切的两条直线的夹角为 ,则 ( ) A.1 B. C. D. 【答案】B 【分析】方法一:根据切线的性质求切线长,结合倍角公式运算求解;方法二:根据切线的性质求切线长, 结合余弦定理运算求解;方法三:根据切线结合点到直线的距离公式可得 ,利用韦达定理结 合夹角公式运算求解. 【详解】方法一:因为 ,即 ,可得圆心 ,半径 , 过点 作圆C的切线,切点为 , 因为 ,则 , 可得 , 则 , , 即 为钝角, 所以 ; 法二:圆 的圆心 ,半径 , 过点 作圆C的切线,切点为 ,连接 , 可得 ,则 , 资料整理【淘宝店铺:向阳百分百】因为 且 ,则 , 即 ,解得 , 即 为钝角,则 , 且 为锐角,所以 ; 方法三:圆 的圆心 ,半径 , 若切线斜率不存在,则切线方程为 ,则圆心到切点的距离 ,不合题意; 若切线斜率存在,设切线方程为 ,即 , 则 ,整理得 ,且 设两切线斜率分别为 ,则 , 可得 , 所以 ,即 ,可得 , 则 , 且 ,则 ,解得 . 4.(2023年高考全国乙卷数学(文)真题)已知实数 满足 ,则 的最大值 是( ) A. B.4 C. D.7 【答案】C 【分析】法一:令 ,利用判别式法即可;法二:通过整理得 ,利用三角换元法 资料整理【淘宝店铺:向阳百分百】即可,法三:整理出圆的方程,设 ,利用圆心到直线的距离小于等于半径即可. 【详解】法一:令 ,则 , 代入原式化简得 , 因为存在实数 ,则 ,即 , 化简得 ,解得 , 故 的最大值是 , 法二: ,整理得 , 令 , ,其中 , 则 , ,所以 ,则 ,即 时, 取得最大值 , 法三:由 可得 , 设 ,则圆心到直线 的距离 , 解得 5.(2023年新课标全国Ⅱ卷数学真题)已知直线 与 交于A,B两点, 写出满足“ 面积为 ”的m的一个值 . 【答案】 ( 中任意一个皆可以) 【分析】根据直线与圆的位置关系,求出弦长 ,以及点 到直线 的距离,结合面积公式即可解出. 【详解】设点 到直线 的距离为 ,由弦长公式得 , 所以 ,解得: 或 , 由 ,所以 或 ,解得: 或 . 故答案为: ( 中任意一个皆可以). 6.(2022年全国新高考II卷数学试题)设点 ,若直线 关于 对称的直线与圆 有公共点,则a的取值范围是 . 资料整理【淘宝店铺:向阳百分百】【答案】 【分析】首先求出点 关于 对称点 的坐标,即可得到直线 的方程,根据圆心到直线的距离小于等 于半径得到不等式,解得即可; 【详解】解: 关于 对称的点的坐标为 , 在直线 上, 所以 所在直线即为直线 ,所以直线 为 ,即 ; 圆 ,圆心 ,半径 , 依题意圆心到直线 的距离 , 即 ,解得 ,即 ; 7.(2022年高考天津卷数学真题)若直线 与圆 相交所得的弦长为 ,则 . 【答案】 【分析】计算出圆心到直线的距离,利用勾股定理可得出关于 的等式,即可解得 的值. 【详解】圆 的圆心坐标为 ,半径为 , 圆心到直线 的距离为 , 由勾股定理可得 ,因为 ,解得 . 8.(2022年全国高考甲卷数学(理)试题)若双曲线 的渐近线与圆 相切,则 . 【答案】 【分析】首先求出双曲线的渐近线方程,再将圆的方程化为标准式,即可得到圆心坐标与半径,依题意圆 心到直线的距离等于圆的半径,即可得到方程,解得即可. 【详解】解:双曲线 的渐近线为 , 即 , 不妨取 ,圆 , 即 , 所以圆心为 ,半径 , 资料整理【淘宝店铺:向阳百分百】依题意圆心 到渐近线 的距离 , 解得 或 (舍去). 9.(2020年浙江省高考数学试题)设直线 与圆 和圆 均相切,则 ;b= . 【答案】 【分析】由直线与两圆相切建立关于k,b的方程组,解方程组即可. 【详解】设 , ,由题意, 到直线的距离等于半径,即 , , 所以 ,所以 (舍)或者 , 解得 . 【点晴】本题主要考查直线与圆的位置关系,考查学生的数学运算能力,是一道基础题. 10.(2020年天津市高考数学试题)已知直线 和圆 相交于 两点.若 ,则 的值为 . 【答案】5 【分析】根据圆的方程得到圆心坐标和半径,由点到直线的距离公式可求出圆心到直线的距离 ,进而利 用弦长公式 ,即可求得 . 【详解】因为圆心 到直线 的距离 , 由 可得 ,解得 . 【点睛】本题主要考查圆的弦长问题,涉及圆的标准方程和点到直线的距离公式,属于基础题. 资料整理【淘宝店铺:向阳百分百】