当前位置:首页>文档>专题32提升专题求曲线的轨迹方程(教师版)_02高考数学_通用版(老高考)复习资料_2024年复习资料_完备战2024年高考数学一轮复习考点帮(全国通用)_核心考点讲练

专题32提升专题求曲线的轨迹方程(教师版)_02高考数学_通用版(老高考)复习资料_2024年复习资料_完备战2024年高考数学一轮复习考点帮(全国通用)_核心考点讲练

  • 2026-04-13 10:20:59 2026-04-13 10:20:59

文档预览

专题32提升专题求曲线的轨迹方程(教师版)_02高考数学_通用版(老高考)复习资料_2024年复习资料_完备战2024年高考数学一轮复习考点帮(全国通用)_核心考点讲练
专题32提升专题求曲线的轨迹方程(教师版)_02高考数学_通用版(老高考)复习资料_2024年复习资料_完备战2024年高考数学一轮复习考点帮(全国通用)_核心考点讲练
专题32提升专题求曲线的轨迹方程(教师版)_02高考数学_通用版(老高考)复习资料_2024年复习资料_完备战2024年高考数学一轮复习考点帮(全国通用)_核心考点讲练
专题32提升专题求曲线的轨迹方程(教师版)_02高考数学_通用版(老高考)复习资料_2024年复习资料_完备战2024年高考数学一轮复习考点帮(全国通用)_核心考点讲练
专题32提升专题求曲线的轨迹方程(教师版)_02高考数学_通用版(老高考)复习资料_2024年复习资料_完备战2024年高考数学一轮复习考点帮(全国通用)_核心考点讲练
专题32提升专题求曲线的轨迹方程(教师版)_02高考数学_通用版(老高考)复习资料_2024年复习资料_完备战2024年高考数学一轮复习考点帮(全国通用)_核心考点讲练
专题32提升专题求曲线的轨迹方程(教师版)_02高考数学_通用版(老高考)复习资料_2024年复习资料_完备战2024年高考数学一轮复习考点帮(全国通用)_核心考点讲练
专题32提升专题求曲线的轨迹方程(教师版)_02高考数学_通用版(老高考)复习资料_2024年复习资料_完备战2024年高考数学一轮复习考点帮(全国通用)_核心考点讲练
专题32提升专题求曲线的轨迹方程(教师版)_02高考数学_通用版(老高考)复习资料_2024年复习资料_完备战2024年高考数学一轮复习考点帮(全国通用)_核心考点讲练
专题32提升专题求曲线的轨迹方程(教师版)_02高考数学_通用版(老高考)复习资料_2024年复习资料_完备战2024年高考数学一轮复习考点帮(全国通用)_核心考点讲练
专题32提升专题求曲线的轨迹方程(教师版)_02高考数学_通用版(老高考)复习资料_2024年复习资料_完备战2024年高考数学一轮复习考点帮(全国通用)_核心考点讲练
专题32提升专题求曲线的轨迹方程(教师版)_02高考数学_通用版(老高考)复习资料_2024年复习资料_完备战2024年高考数学一轮复习考点帮(全国通用)_核心考点讲练
专题32提升专题求曲线的轨迹方程(教师版)_02高考数学_通用版(老高考)复习资料_2024年复习资料_完备战2024年高考数学一轮复习考点帮(全国通用)_核心考点讲练
专题32提升专题求曲线的轨迹方程(教师版)_02高考数学_通用版(老高考)复习资料_2024年复习资料_完备战2024年高考数学一轮复习考点帮(全国通用)_核心考点讲练
专题32提升专题求曲线的轨迹方程(教师版)_02高考数学_通用版(老高考)复习资料_2024年复习资料_完备战2024年高考数学一轮复习考点帮(全国通用)_核心考点讲练
专题32提升专题求曲线的轨迹方程(教师版)_02高考数学_通用版(老高考)复习资料_2024年复习资料_完备战2024年高考数学一轮复习考点帮(全国通用)_核心考点讲练
专题32提升专题求曲线的轨迹方程(教师版)_02高考数学_通用版(老高考)复习资料_2024年复习资料_完备战2024年高考数学一轮复习考点帮(全国通用)_核心考点讲练
专题32提升专题求曲线的轨迹方程(教师版)_02高考数学_通用版(老高考)复习资料_2024年复习资料_完备战2024年高考数学一轮复习考点帮(全国通用)_核心考点讲练
专题32提升专题求曲线的轨迹方程(教师版)_02高考数学_通用版(老高考)复习资料_2024年复习资料_完备战2024年高考数学一轮复习考点帮(全国通用)_核心考点讲练
专题32提升专题求曲线的轨迹方程(教师版)_02高考数学_通用版(老高考)复习资料_2024年复习资料_完备战2024年高考数学一轮复习考点帮(全国通用)_核心考点讲练
专题32提升专题求曲线的轨迹方程(教师版)_02高考数学_通用版(老高考)复习资料_2024年复习资料_完备战2024年高考数学一轮复习考点帮(全国通用)_核心考点讲练
专题32提升专题求曲线的轨迹方程(教师版)_02高考数学_通用版(老高考)复习资料_2024年复习资料_完备战2024年高考数学一轮复习考点帮(全国通用)_核心考点讲练
专题32提升专题求曲线的轨迹方程(教师版)_02高考数学_通用版(老高考)复习资料_2024年复习资料_完备战2024年高考数学一轮复习考点帮(全国通用)_核心考点讲练
专题32提升专题求曲线的轨迹方程(教师版)_02高考数学_通用版(老高考)复习资料_2024年复习资料_完备战2024年高考数学一轮复习考点帮(全国通用)_核心考点讲练
专题32提升专题求曲线的轨迹方程(教师版)_02高考数学_通用版(老高考)复习资料_2024年复习资料_完备战2024年高考数学一轮复习考点帮(全国通用)_核心考点讲练
专题32提升专题求曲线的轨迹方程(教师版)_02高考数学_通用版(老高考)复习资料_2024年复习资料_完备战2024年高考数学一轮复习考点帮(全国通用)_核心考点讲练
专题32提升专题求曲线的轨迹方程(教师版)_02高考数学_通用版(老高考)复习资料_2024年复习资料_完备战2024年高考数学一轮复习考点帮(全国通用)_核心考点讲练
专题32提升专题求曲线的轨迹方程(教师版)_02高考数学_通用版(老高考)复习资料_2024年复习资料_完备战2024年高考数学一轮复习考点帮(全国通用)_核心考点讲练
专题32提升专题求曲线的轨迹方程(教师版)_02高考数学_通用版(老高考)复习资料_2024年复习资料_完备战2024年高考数学一轮复习考点帮(全国通用)_核心考点讲练
专题32提升专题求曲线的轨迹方程(教师版)_02高考数学_通用版(老高考)复习资料_2024年复习资料_完备战2024年高考数学一轮复习考点帮(全国通用)_核心考点讲练
专题32提升专题求曲线的轨迹方程(教师版)_02高考数学_通用版(老高考)复习资料_2024年复习资料_完备战2024年高考数学一轮复习考点帮(全国通用)_核心考点讲练
专题32提升专题求曲线的轨迹方程(教师版)_02高考数学_通用版(老高考)复习资料_2024年复习资料_完备战2024年高考数学一轮复习考点帮(全国通用)_核心考点讲练
专题32提升专题求曲线的轨迹方程(教师版)_02高考数学_通用版(老高考)复习资料_2024年复习资料_完备战2024年高考数学一轮复习考点帮(全国通用)_核心考点讲练
专题32提升专题求曲线的轨迹方程(教师版)_02高考数学_通用版(老高考)复习资料_2024年复习资料_完备战2024年高考数学一轮复习考点帮(全国通用)_核心考点讲练
专题32提升专题求曲线的轨迹方程(教师版)_02高考数学_通用版(老高考)复习资料_2024年复习资料_完备战2024年高考数学一轮复习考点帮(全国通用)_核心考点讲练
专题32提升专题求曲线的轨迹方程(教师版)_02高考数学_通用版(老高考)复习资料_2024年复习资料_完备战2024年高考数学一轮复习考点帮(全国通用)_核心考点讲练

文档信息

文档格式
docx
文档大小
2.179 MB
文档页数
32 页
上传时间
2026-04-13 10:20:59

文档内容

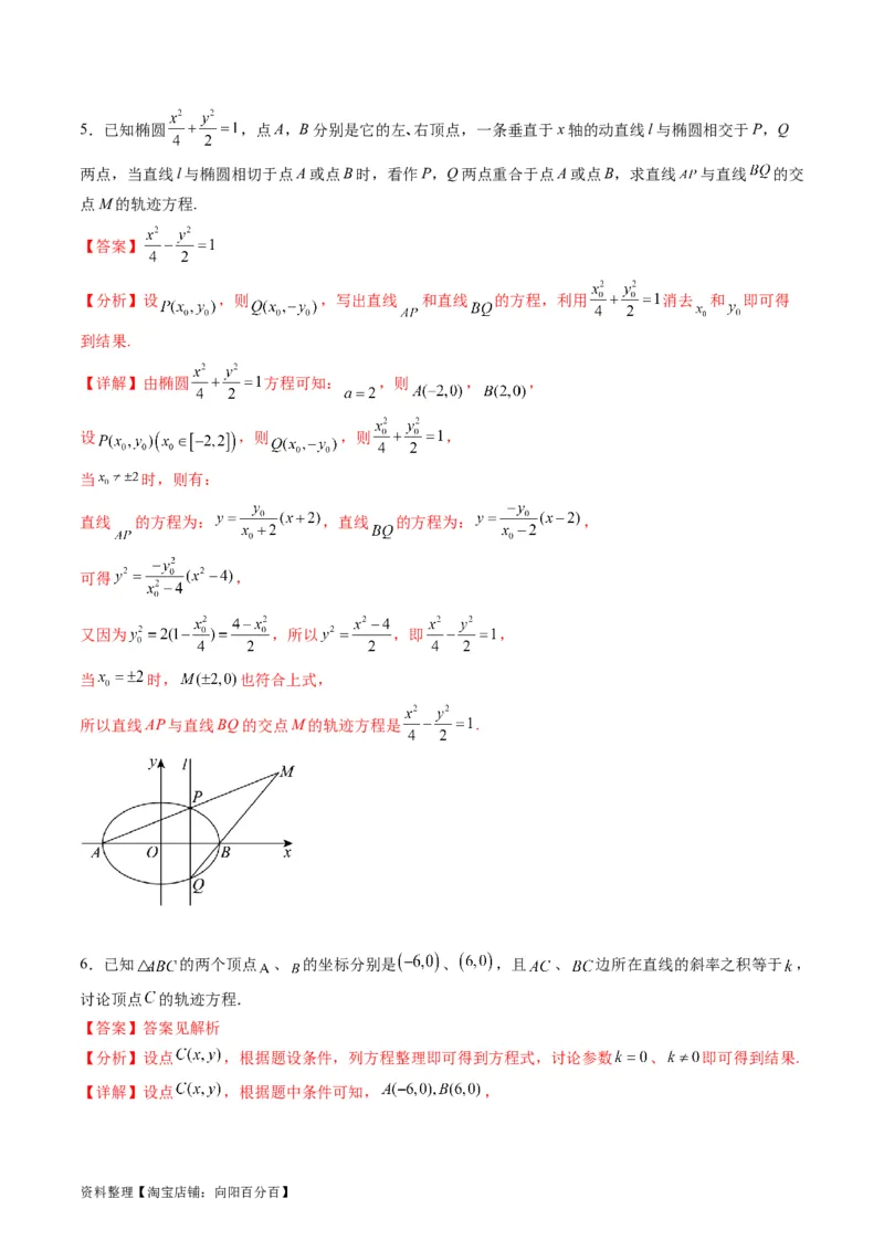
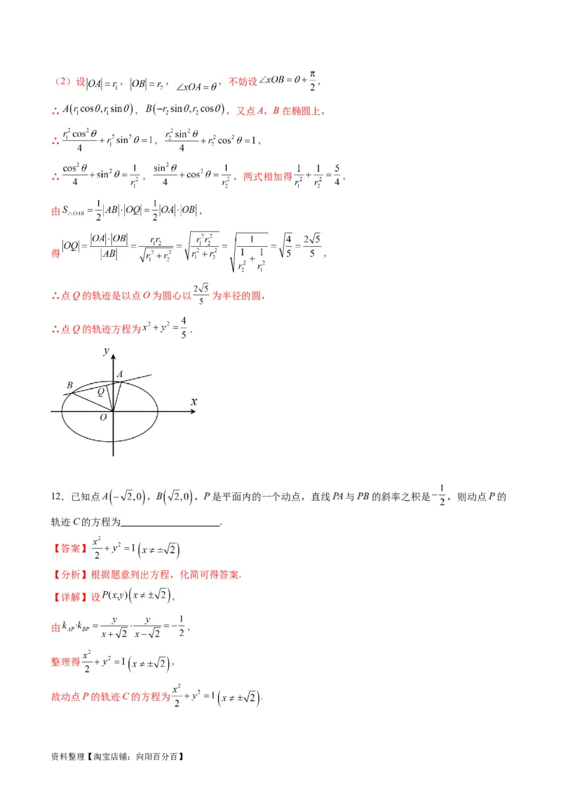
专题 32 求曲线的轨迹方程(提升专题) (核心考点精讲精练) 类型一、判断轨迹形状 类型二、代入法求轨迹方程 类型三、直接法求轨迹方程 类型四、定义法求轨迹方程 类型五、轨迹方程的综合应用 高考中对轨迹方程的考查方向可能包括以下几种: 1、直接求轨迹方程:给出已知动点的坐标满足的关系,要求考生求出轨迹方程,这通常涉及 到曲线的基本方程或参数法求解。 2、利用轨迹方程进行推理证明:有时会给出一些已知曲线或曲线的某些性质,要求考生利用 这些信息证明某些结论或计算某个数值。 3、求动点轨迹方程的参数:在某些情况下,已知动点坐标与某一参数的关系,要求考生求出 这个参数与动点坐标之间的关系,进而求出动点的轨迹方程。 4、交轨法求轨迹方程:有时会给出两个或多个动曲线方程,要求考生求出这些曲线的交点轨 迹方程,这通常涉及到消去参数法求解。 综上所述,高考中对轨迹方程的考查方向主要在于轨迹方程的直接求解和利用轨迹方程进行 推理证明,同时也会考查参数法求解和交轨法求解等技巧。 类型一、判断轨迹形状 1.已知 是椭圆 的长轴上的两个顶点,点 是椭圆上异于长轴顶点的任意一点,点 与 点 关于 轴对称,则直线 与直线 的交点 所形成的轨迹为( ) A.双曲线 B.抛物线 C.椭圆 D.两条互相垂直的直线 【答案】A 【分析】由题意设出点 , 坐标,然后求出直线 与直线 的方程,根据直线方程的特点,两方程相 乘,从而得到点 的轨迹方程,进而得解. 资料整理【淘宝店铺:向阳百分百】【详解】 由于 是椭圆 的长轴上的两个顶点,所以 , 设 ,则 , 所以直线 的方程为 ①,直线 的方程为 ②, ① ②得 , 又因为 在椭圆 上,所以 ,即 , 所以 ,即 , 即直线 与直线 的交点 在双曲线 上. 2.(2023年上海市模拟数学试题)已知空间直线 、 和平面 满足: , , .若点 , 且点 到直线 、 的距离相等,则点 的轨迹是( ) A.直线 B.椭圆 C.双曲线 D.抛物线 【答案】C 【分析】画图分析,根据题意建立等量关系即可得到点 的轨迹是双曲线. 【详解】如图: 不妨设 在平面 内射影为 ,则 与 相交, 与 垂直, 设直线 与平面 的距离为 ,则在平面 内,以 为 轴, 为 轴建立平面直角坐标系, 则 到 的距离为 , 到 的距离为 ,从而 到直线 的距离为 , 所以 ,即 ,故轨迹为双曲线. 资料整理【淘宝店铺:向阳百分百】3.(2018年北京大学自主招生数学试题)在正方体 中,动点M在底面 内运动且满 足 ,则动点M在底面 内的轨迹为( ) A.圆的一部分 B.椭圆的一部分 C.双曲线一支的一部分 D.前三个答案都不对 【答案】A 【分析】根据 可得 在圆锥面上,故可得 的轨迹. 【详解】因为 ,故 在圆锥面上,该圆锥以 为轴, 为顶点, 而M在底面 内, 故动点M在底面 内的轨迹是以D为圆心的四分之一圆弧 . 4.在平面内,A,B是两个定点,C是动点,若 =2,则点C的轨迹为( ) A.椭圆 B.射线 C.圆 D.直线 【答案】C 【分析】建立合适的平面直角坐标系,设 ,根据 以及向量数量积的坐 标形式求解出 满足的关系式,即可判断出轨迹形状. 【详解】因为点 是两个定点,不妨设 , 以 所在直线为x轴,线段 的垂直平分线为y轴,建立平面直角坐标系, 设 , , ,所以 , , 由 得: ,即 ,所以点C的轨迹为圆. 5.(2023届北京名校一轮总复习数学试题)如图,定点A和B都在平面 内,定点 ,C是 内异于A和B的动点,且 .那么,动点C在平面 内的轨迹是( ) 资料整理【淘宝店铺:向阳百分百】A.一条线段,但要去掉两个点 B.一个圆,但要去掉两个点 C.一个椭圆,但要去掉两个点 D.半圆,但要去掉两个点 【答案】B 【分析】利用线面垂直判定定理和性质定理即可求得 ,进而得到动点C在平面 内的轨迹是以 为直径的圆(去掉 两个点). 【详解】连接 . ,则 ,又 , , 平面 ,则 平面 , 又 平面 ,则 ,则动点C在平面 内的轨迹是以 为直径的圆(去掉 两个点). 6.若动点 到定点 和直线 : 的距离相等,则动点 的轨迹是( ) A.线段 B.直线 C.椭圆 D.抛物线 【答案】B 【分析】设动点 的坐标为 ,由条件列方程化简可得点 的轨迹方程,由方程确定轨迹. 【详解】设动点 的坐标为 ,则 . 化简得 .故动点P的轨迹是直线 . 7.(2024届辽宁省调研考试数学试题)正四面体 中,在 内有一个动点 ,满足 到底面 的距离等于 的 倍,则动点 的轨迹形状为( ). A.一段圆弧 B.椭圆的一部分 C.双曲线的一部分 D.抛物线的一部分 【答案】D 【分析】根据正四面体的性质、面面角、圆锥曲线的定义等知识确定正确答案. 【详解】设 是 的中心,则 平面 , 设 是 的中点,则 三点共线,且 , 设正四面体的边长为 ,则 , 资料整理【淘宝店铺:向阳百分百】所以 , 由于 ,所以 是二面角 的平面角, 设二面角 的平面角为 ,则 . 过 作 平面 ,垂足为 ;过 作 ,垂足为 , 连接 ,由于 平面 ,所以 , 平面 ,所以 平面 , 由于 平面 ,所以 ,所以 , 依题意, 到底面 的距离等于 的 倍,即 , 则 ,即 ,即 到定点 和到定直线 的距离相等, 所以 点的轨迹是抛物线的一部分. 8.以 为圆心的两圆均过 ,与 轴正半轴分别交于 ,且满足 ,则 点 的轨迹是( ) A.直线 B.圆 C.椭圆 D.双曲线 【答案】A 【分析】根据题意,算出 ,再根据 ,即可求出 的关系,即可求解. 【详解】因为 ,则 ,同理可得 ,又因为 ,所以 , 资料整理【淘宝店铺:向阳百分百】则 ,即 ,则 ,设 ,所以 ,即轨迹为直线. 9.(2023届广东省联考数学试题)已知点 为定圆 上的动点,点A为圆 所在平面上的定点,线段 的中垂线交直线 于点 ,则点 的轨迹可能是; 、 . 【答案】 一个点 椭圆(答案不唯一) 【分析】根据分类讨论思想,分点A在圆内、圆上、圆外三种情况,结合椭圆、双曲线的定义,可得答案 【详解】分以下几种情况讨论:设定圆 的半径为 , ①当点A在圆 上,连接 ,则 ,所以点 在线段 的中垂线上,由中垂线的性质可知 . 又因为点 是线段 的中垂线与 的公共点,此时点 与点 重合,此时,点 的轨迹为圆心 ;一个 点 ②当点 在圆 内,且点 不与圆心 重合,连接 ,由中垂线的性质可得 , 所以, ,此时,点 的轨迹是以点 为焦点,且长轴长为 的 椭圆; ③当点 在圆 外:连接 ,由中垂线的性质可得 ,所以, , 此时,点 的轨迹是以点 为焦点,且实轴长为 的双曲线. 资料整理【淘宝店铺:向阳百分百】④若点 与 重合,则有 ,故点 的轨迹是以 为圆心, 为半径的圆. 故答案为:一个点;椭圆. 类型二、代入法求轨迹方程 使用代入法求轨迹方程的步骤如下: 1、判断动点:根据题目所给的条件,判断已知曲线上的一个动点如何运动。 2、求出关系式:找到与动点有关的关系式。 3、将点的坐标表达式代入已知曲线方程:将上述关系式中的点的坐标表达式代入已知曲线方 程,得到新的方程式。 1.(2023年上海市模拟数学试题)动点 在曲线 上移动,则点 和定点 连线的中点的 轨迹方程是 . 【答案】 【分析】设 ,点P和定点 连线的中点坐标为 ,求出坐标之间的关系,结合 , 即可求得答案. 【详解】设 ,点P和定点 连线的中点坐标为 , 则 ,又 ,∴ , 代入 得, , ∴ ,即点 和定点 连线的中点的轨迹方程是 . 2.求连接定点 和曲线 上动点 的线段 的中点 的轨迹方程. 【答案】 【分析】设点 的坐标为 ,点 的坐标为 ,根据中点坐标公式得到 ,再由点 再曲线 上,代入即可求出点 的轨迹方程. 【详解】设点 的坐标为 ,点 的坐标为 , 资料整理【淘宝店铺:向阳百分百】因为点 是线段 的中点,所以 ,即 , 又点 在曲线 上 点 在曲线 上. 由此可见,所求的点 的轨迹方程为 , 化简得 . 3.(2023年四川省模拟考试数学(理科)试题)已知面积为16的正方形ABCD的顶点A、B分别在x轴 和y轴上滑动,O为坐标原点, ,则动点P的轨迹方程是( ) A. B. C. D. 【答案】B 【分析】利用相关点法即可求得动点P的轨迹方程. 【详解】设 ,不妨令 , 正方形ABCD的面积为16,则 , 则 , 由 , 可得 , 即 , 则 , 整理得 . 4.已知曲线 和定点 ,点 为曲线 上任意一点,若 ,当点 在曲线 上运动 时,求点 的轨迹方程. 【答案】 资料整理【淘宝店铺:向阳百分百】【分析】设出点 和点 ,由 ,得到这两个坐标的关系,再根据 点在抛物线上,满 足抛物线方程,即可得 , 的关系,亦即轨迹方程. 【详解】设点 的坐标 ,点 的坐标为 , 又 , 所以 , , , , , , 点 在抛物线上, , , 整理得 , 所以点 的轨迹方程为 . 5.在边长为 的正 内有一动点P,已知 ,求点P的轨迹方程. 【答案】 , 【分析】以 所在直线为 轴,以 的中垂线为 轴,建立平面直角坐标系,根据两点间的距离公式建 立方程求解即可. 【详解】如图,以 所在直线为 轴,以 的中垂线为 轴,建立平面直角坐标系, 则 , , ,设 , 因为 , , , 而 , 则 , 化简得 , 由题意知 , 所以点P的轨迹方程为 , . 资料整理【淘宝店铺:向阳百分百】6.如图,已知点A(-1,0)与点B(1,0),C是圆x2+y2=1上异于A,B两点的动点,连接BC并延长至D, 使得|CD|=|BC|,求线段AC与OD的交点P的轨迹方程. 【答案】 【分析】首先判断点 是 的重心,代入重心坐标公式,利用代入法,即可求点 的轨迹方程. 【详解】设动点P(x,y),由题意可知P是△ABD的重心,由A(-1,0),B(1,0), 令动点C(x,y),则D(2x-1,2y), 0 0 0 0 由重心坐标公式得 , 则 代入 ,整理得 故所求轨迹方程为 . 7.(3.3抛物线)求解下列问题: 资料整理【淘宝店铺:向阳百分百】(1)如图,动圆 : , 与椭圆 : 相交于A,B,C,D四点,点 , 分别为 的左、右顶点.求直线 与直线 的交点M的轨迹方程. (2)已知 , 分别为椭圆C: 的左、右焦点,点P为椭圆C上的动点,求 的重心G的 轨迹方程. 【答案】(1) ( , ) (2) 【分析】(1)交轨法求动点轨迹方程,选择适当的参数表示两条直线的方程,联立方程,消去参数,即 可得交点M的轨迹方程; (2)相关点法求动点轨迹方程,用所求点 表示已知 点坐标,再代入已知椭圆方程,化简整理可得. 【详解】(1)由椭圆 : ,知 , . 设点A的坐标为 ,由曲线的对称性,得点B的坐标为 . 设点M的坐标为 ,则直线 的方程为 ①; 直线 的方程为 ②. 由①②相乘得 ③. 又点 在椭圆C上,所以 ④. 将④代入③得 ( , ). 因此点M的轨迹方程为 ( , ) (由于A,B仅在y轴的左侧,因此点M的轨迹只能在第三象限). (2)依题意知点 , ,设点 , . 资料整理【淘宝店铺:向阳百分百】由三角形重心坐标关系可得 即 代入 , 得 的重心G的轨迹方程为 . 8.椭圆 上有动点P,点 , 分别是椭圆的左、右焦点,求 的重心M的轨迹方程. 【答案】 . 【分析】根据重心坐标公式以及相关点代入法求出M的轨迹方程. 【详解】设点P,M的坐标分别为 , , ∵在已知椭圆的方程中, , , ∴ , 则已知椭圆的两焦点为 , . ∵ 存在,∴ . 由三角形重心坐标公式有 即 ∵ ,∴ . ∵点P在椭圆上,∴ , ∴ , 故 的重心M的轨迹方程为 . 9.已知点P为椭圆 上的任意一点,O为原点,M满足 ,则点M的轨迹方程为 . 资料整理【淘宝店铺:向阳百分百】【答案】 . 【分析】先设点 ,再由 应用相关点法求轨迹方程即可. 【详解】设点 , 由 得点 , 而点P为椭圆 上的任意一点, 于是得 , 整理得: , 所以点M的轨迹方程是 . 类型三、直接法求轨迹方程 直接法:根据已知条件及一些基本公式如两点间距离公式、点到直线的距离公式、直线的斜 率公式等,直接列出动点满足的等量关系式,从而求得轨迹方程。 直接法求轨迹方程的步骤如下: 1、建系:建立适当的平面直角坐标系。 2、设点:用(x,y)表示轨迹(曲线)上任一点M的坐标。 3、列式:列出关于x,y的方程。 4、化简:把方程化简为最简形式。 5、求轨迹:证明以化简后的方程的解为坐标的点都是曲线上的点。 1.(2023届湖北省省考模拟测试数学试题)如图,已知圆 ,圆 ,已 知 为两圆外的动点,过点 分别作两圆的割线 和 ,总有 ,则点 的轨迹方程是 ( ) 资料整理【淘宝店铺:向阳百分百】A. B. C. D. 【答案】A 【分析】根据题意,由 可得 ,然后由割线定理可得 ,从而得到点 的轨迹方程. 【详解】 因为圆 ,圆心 ,半径 , 圆 ,圆心 ,半径 , 由 ,可得 , 所以 ,即 , 由割线定理可知,过 的切线是 到割线与圆交点的两条线段长的比例中项, 过 分别做圆 的切线,切点为 , 则 , ,所以 , 连接 , 则 , , 所以 , 即 ,所以 , 即 , 设 ,则 , 化简可得 , 资料整理【淘宝店铺:向阳百分百】所以点 的轨迹方程是 . 2.(2023年广东省模拟数学试题)已知 ,若动点P满足直线 与直线 的斜率之积为 ,则动点P的轨迹方程为( ) A. B. C. D. 【答案】C 【分析】设出动点 ,利用条件直接建立关系 ,化简得出 , 从而得出结论. 【详解】设 ,因为 ,所以 , 又因为直线 与直线 的斜率之积为 ,所以 , 整理得 . 3.(2023届广西高考数学模拟试题)若圆 与圆 关于直线 对称,过 点 的圆P与y轴相切,则圆心P的轨迹方程为( ) A. B. C. D. 【答案】C 【分析】求出两个圆的圆心坐标,两个半径,利用两个圆关于直线的对称知识,求出a的值,然后设出圆 心P的坐标为 ,圆心到点C的距离等于圆心到y轴的距离,列出方程求出圆心P的轨迹方程. 【详解】圆 的圆心为 ,圆 的圆心为 , 因为圆 与圆 关于直线 对称, 所以 的中点 满足直线 方程,解得 , 过点 的圆P与y轴相切,设圆心P的坐标为 , 资料整理【淘宝店铺:向阳百分百】所以 解得: . 4.(2023年甘肃省模拟数学试题)在平面直角坐标系 中,点 到点 的距离比它到 轴的距离 多1,记点 的轨迹为 . (1)求轨迹为 的方程 (2)设斜率为 的直线 过定点 ,求直线 与轨迹 恰好有一个公共点时 的相应取值范围. 【答案】(1) ; (2) 【分析】(1)根据题意,设出点 的坐标,列出等式,进而求得点 的轨迹 的方程; (2)设出直线 的方程,将直线 的方程与轨迹 的方程联立,结合判别式和根的范围,即可求解. 【详解】(1)解:设 是轨迹 上的任意一点, 因为点 到点 的距离比它到 的距离多 ,可得 , 即 ,整理得 , 所以点 的轨迹 的方程为 . (2)解:在点轨迹 中,记 , 因为斜率 的直线 过定点 ,不妨设直线 的方程为 , 联立方程组 ,整理得 , 当 时, ,此时 ,可得直线 与轨迹 恰好有一个公共点 ; 当 时,可得 ,不妨设直线 与 轴的交点为 , 令 ,解得 , 若直线 与轨迹 恰好有一个公共点,则满足 , 解得 或 , 综上,当 时,直线 与轨迹 恰好有一个公共点. 资料整理【淘宝店铺:向阳百分百】5.已知椭圆 ,点A,B分别是它的左、右顶点,一条垂直于x轴的动直线l与椭圆相交于P,Q 两点,当直线l与椭圆相切于点A或点B时,看作P,Q两点重合于点A或点B,求直线 与直线 的交 点M的轨迹方程. 【答案】 【分析】设 ,则 ,写出直线 和直线 的方程,利用 消去 和 即可得 到结果. 【详解】由椭圆 方程可知: ,则 , , 设 ,则 ,则 , 当 时,则有: 直线 的方程为: ,直线 的方程为: , 可得 , 又因为 ,所以 ,即 , 当 时, 也符合上式, 所以直线AP与直线BQ的交点M的轨迹方程是 . 6.已知 的两个顶点 、 的坐标分别是 、 ,且 、 边所在直线的斜率之积等于 , 讨论顶点 的轨迹方程. 【答案】答案见解析 【分析】设点 ,根据题设条件,列方程整理即可得到方程式,讨论参数 、 即可得到结果. 【详解】设点 ,根据题中条件可知, , 资料整理【淘宝店铺:向阳百分百】所以直线 的斜率为 ,直线 的斜率为 , 因为 ,所以 ,即 . 当 时, ,此时点 在 轴上,不符合题意,舍去; 当 时,顶点 的轨迹方程为 . 综上所述,当 时,顶点 的轨迹方程不存在; 当 时,顶点 的轨迹方程为 . 7.给定 、 两点,求证:与这两点距离相等的点 的轨迹方程是 . 【答案】证明见解析 【分析】设点 ,根据 由距离公式得到方程,整理即可得到轨迹方程,在证明满足方程的 点到 、 两点的距离均相等,即可得证. 【详解】设点 ,因为 , 所以 , 即 , 整理得 , 则点 的坐标都满足 , 反过来,设平面上一点 的坐标 也满足方程,即有 , 则 , , 所以 ,即满足方程 的点到 、 两点的距离均相等, 综上所述,与这两点距离相等的点 的轨迹方程是 . 8.若点 与点 的距离比它到直线 的距离小2,求点 的轨迹方程. 【答案】 【分析】直接由题意列出方程,注意到要用分类讨论思想化简即可. 【详解】不妨设点 ,因为点 与点 的距离比它到直线 的距离小2, 资料整理【淘宝店铺:向阳百分百】所以点 的轨迹方程为 ,接下来我们分以下三种情形来化简该方程: 情形一:当 时,方程变为 ,两边同时平方得 , 化简并整理得点 的轨迹方程为 ;如下图所示: 此时点 对应的轨迹为顶点在原点,分别以点 、直线 为焦点和准线的一条抛物线. 情形二:当 时,方程变为 ,此时方程左边非负且右边恒负,所以此时方 程无解, 即此时点 的轨迹不存在,就无轨迹方程可言了; 情形三:当 时,方程变为 , 两边同时平方得 , 化简并整理得 ,注意到 且 ,此时产生了矛盾, 因此此时点 的轨迹不存在,也无轨迹方程可言. 综上所述:满足题意的点 的轨迹方程为 ,(其中 ). 9.(2023年湖南省入学考试数学试题)已知椭圆C: 的长轴长为 ,离心率为 . (1)求椭圆C的标准方程; (2)若动点P为椭圆C外一点,且过点P的椭圆C的两条切线相互垂直,求点P的轨迹方程. 【答案】(1) (2) 【分析】(1)由椭圆的相关概念及离心率求解即可; (2)设出动点P的坐标,求出切线方程,联立方程组由 求解即可(注意分类讨论). 【详解】(1)由题意可知 , 资料整理【淘宝店铺:向阳百分百】解得 , , ∵ , ∴椭圆C的标准方程为 ; (2)设点 , ①当两条切线斜率均存在时,设其中一条切线为 ,另一条为 , 联立方程 , 消去y得 , ∴ , 即 , 则 , 是方程 的两个不等实根, ∴ , 又∵两条切线相互垂直,∴ , ∴ , 整理得 , 即点P的轨迹方程为 , ②当两条切线中有一条斜率不存在时,即A、B两点分别位于椭圆长轴与短轴的端点, P的坐标为 ,把点 代入 亦成立, 综上所述,点P的轨迹方程为: . 10.古希腊数学家阿波罗尼奥斯的著作《圆锥曲线论》中给出圆的另一种定义:平面内,到两个定点距离 之比值为常数 的点的轨迹是圆,我们称之为阿波罗尼奥斯圆.已知点P到 的距离是 点P到 的距离的2倍.求点P的轨迹方程; 资料整理【淘宝店铺:向阳百分百】【答案】 ; 【分析】设点 ,根据题意得 ,利用两点之间的距离公式化简整理,即可求解. 【详解】解:设点 ,点P到 的距离是点P到 的距离的2倍,可得 , 即 ,整理得 , 所以点P的轨迹方程为 ; 11.(2023届湖南省一模数学试题)已知椭圆C: ,直线l与椭圆C交于A,B两点. (1)点 为椭圆C上的动点(与点A,B不重合),若直线PA,直线PB的斜率存在且斜率之积为 , 试探究直线l是否过定点,并说明理由; (2)若 .过点O作 ,垂足为点Q,求点Q的轨迹方程. 【答案】(1)直线l过定点 ; (2) 【分析】(1)利用点在椭圆上和直线斜率公式即可证得直线l过定点 ; (2)利用三角函数设出A,B两点坐标,再利用题给 即可求得 ,进而得到点Q的轨 迹方程. 【详解】(1)直线 过定点 ,下面证明: 设 , , , 又 , , ∴ , ∴直线 过原点满足 . 又当PA两点固定时 为定值,有且仅有一个斜率值与之相乘之积为 , 则直线 重合,则 重合, ∴直线l过定点 . 资料整理【淘宝店铺:向阳百分百】(2)设 , , ,不妨设 , ∴ , ,又点A,B在椭圆上, ∴ , , ∴ , ,两式相加得 , 由 , 得 , ∴点Q的轨迹是以点O为圆心以 为半径的圆, ∴点Q的轨迹方程为 . 12.已知点A ,B ,P是平面内的一个动点,直线PA与PB的斜率之积是 ,则动点P的 轨迹C的方程为 . 【答案】 【分析】根据题意列出方程,化简可得答案. 【详解】设 , 由 , 整理得 , 故动点P的轨迹C的方程为 . 资料整理【淘宝店铺:向阳百分百】13.(2023年四川省月考数学试题)自 引圆 的割线ABC,则弦 中点P的轨迹方程 . 【答案】 ( ) 【分析】设 ,根据 ⊥ ,利用斜率列出方程,再考虑 的取值范围. 【详解】设 ,则 ⊥ , 当 时,有 ,即 ,整理得 ①, 当 时,此时割线ABC的中点为原点,代入①式,也成立, 故弦 中点P的轨迹方程为 (在圆 内部分), 联立 ,解得 , 故轨迹方程为 ( ) 14.已知 是椭圆 中垂直于长轴的动弦, 是椭圆长轴的两个端点,则直线 和 的交点 的轨迹方程为 . 【答案】 ( ). 【分析】设 ,直线 和 的交点为 ,根据 三点共线及 三点共线, 可得两个式子,两式相乘,再结合 在椭圆上即可得出答案. 【详解】设 , 因为椭圆 的长轴端点为 , 设直线 和 的交点为 , 资料整理【淘宝店铺:向阳百分百】因为 三点共线,所以 , , 因为 三点共线,所以 , 两式相乘得 ,( ), 因为 ,所以 ,即 , 所以 ,整理得 ( ), 所以直线 和 的交点 的轨迹方程 ( ). 类型四、定义法求轨迹方程 定义法:通过图形的几何性质判断动点的轨迹是何种图形,再求其轨迹方程。这种方法叫做 定义法,运用定义法求其轨迹,一要熟练掌握常用轨迹的定义,如线段的垂直平分线、圆、 椭圆、双曲线、抛物线等,二是熟练掌握平面几何的一些性质定理。 定义法求轨迹方程的步骤如下: 1、根据已知条件判断动点轨迹的条件符合哪个基本轨迹(如圆、椭圆、双曲线、抛物线等)。 2、直接根据定义写出动点的轨迹方程。 定义法求轨迹方程的关键是识别出轨迹的形状,然后利用该形状的定义来写出方程。 资料整理【淘宝店铺:向阳百分百】1.(2023年安徽省模拟数学试题)已知直线 交抛物线 : 于 轴异侧两点 , ,且 , 过 向 作垂线,垂足为 ,则点 的轨迹方程为( ) A. ( ) B. ( ) C. ( ) D. ( ) 【答案】B 【分析】设直线方程 ,代入抛物线消去x,由 和韦达定理,解得 可得直线 经过定 点 ,由 可知 在以 为直径的圆上,可求轨迹方程. 【详解】设直线 ,将它与抛物线方程联立得: , 则 , 设 ,则 , 所以 ,故 或 , 当 时, 在直线 上,故舍去,所以 , 所以直线 经过定点 ,由 可知 在以 为直径的圆 (原点除外)上. 2.(2023年全国高中数学联合竞赛一试及加试试题(A卷))平面直角坐标系 中,抛物线 , 为 的焦点, , 为 上的两个不重合的动点,使得线段 的一个三等分点 位于线段 上(含端 点),记 为线段 的另一个三等分点.求点 的轨迹方程. 【答案】 【分析】设 , ,由三等分点关系可得 ,根据 的位置特征可设设 , ,从而可得 的坐标(用 表示),故可求点 的轨迹方程. 【详解】 解:设 , .不妨设 ,则 . 资料整理【淘宝店铺:向阳百分百】易知 .由于点 位于线段 上,故 , . 可设 , ,则 , .此时有 , 且由 , 不重合知 ,所以 . 设 ,则 , ,有 . 注意到 ,故点 的轨迹方程为 . 3.已知 的三边a,b,c成等差数列,且 ,A、C两点的坐标分别为 ,则顶点B的 轨迹方程为 . 【答案】 【分析】由 的三边a,b,c成等差数列,可得点B的轨迹满足椭圆的定义,可求出椭圆方程,再结 合 和B、A、C三点构成 ,可得顶点B的轨迹是此椭圆的部分,可得其轨迹方程. 【详解】因为 的三边a,b,c成等差数列,A、C两点的坐标分别为 , 所以 ,即 , 所以点B的轨迹满足椭圆的定义,此椭圆是以A、C为焦点,长轴长为4的椭圆, 故椭圆方程为 , 因为 ,所以 ,所以 , 又因为B、A、C三点构成 ,所以B、A、C三点不能在一条直线上,所以 , 所以顶点B的轨迹方程为 . 4.已知过抛物线 焦点 的直线交抛物线于 、 两点,过原点 作 ,使 ,垂足为点 ,求点 的轨迹方程. 【答案】 【分析】根据条件可得点 的轨迹是以 为直径的圆,从而可得其轨迹方程. 【详解】依题意 , 因为 ,所以 , 所以点 的轨迹是以 为直径的圆,则其圆心为 ,半径为 , 资料整理【淘宝店铺:向阳百分百】故可得点 的轨迹方程为 5.已知圆 : ,圆 : ,圆 与圆 、圆 外切,求圆心 的轨迹方程 【答案】 【分析】根据圆C与圆A、圆B外切,得到 ,再利用双曲线的定义求解. 【详解】因为圆C与圆A、圆B外切,设C点坐标 ,圆C半径为 , 则 , ,所以 , 所以点 的轨迹是双曲线的一支, 又 , , , 所以其轨迹方程为 . 类型五、轨迹方程的综合应用 1.(2023届山东省联合考试数学试题)古希腊亚历山大时期一位重要的几何学家帕普斯(Pappus,公元3 世纪末)在其代表作《数学汇编》中研究了“三线轨迹”问题:即到两条已知直线距离的乘积与到第三条 直线距离的平方之比等于常数的动点轨迹为圆锥曲线.今有平面内三条给定的直线 ,且 ,均与 垂直.若动点M到 的距离的乘积是M到 的距离的平方的4倍,则动点M在直线 之间(含边界) 的轨迹是( ) A.圆 B.椭圆 C.双曲线 D.抛物线 【答案】B 【分析】根据题意得到三条直线的关系,不妨设 为 ,直线 为 , 为 , 进而可 资料整理【淘宝店铺:向阳百分百】根据条件表示出动点M的轨迹方程,从而得出结论. 【详解】因为在平面内三条给定的直线 , , ,且 , 均与 垂直,所以 , 平行,记 为 ,直 线 为 , 为 , 设 ,且动点M在直线 之间,所以 ,所以M到 的距离为 ,M到 的距离为 , M到 的距离为 , 又因为动点M到 的距离的乘积与到 的距离的平方4倍相等,所以 , 所以 ,即 ,故动点M的轨迹为椭圆. 2.(2023年浙江省模拟数学试题)古希腊数学家欧几里得在《几何原本》中描述了圆锥曲线的共性,并 给出了圆锥曲线的统一定义,只可惜对这一定义欧几里得没有给出证明.经过了500年,到了3世纪,希 腊数学家帕普斯在他的著作《数学汇篇》中,完善了欧几里得关于圆锥曲线的统一定义,并对这一定义进 行了证明.他指出,到定点的距离与到定直线的距离的比是常数e的点的轨迹叫做圆锥曲线;当 时, 轨迹为椭圆;当 时,轨迹为抛物线;当 时,轨迹为双曲线.现有方程 表示的曲线是椭圆,则m的取值范围为( ) A. B. C. D. 【答案】D 【分析】根据所给方程可得 ,根据椭圆的离心率取值范围即可求解. 【详解】由 可得 , 所以 , 所以 , 即动点 到定点 的距离与到定直线 的距离之比为常数 , 资料整理【淘宝店铺:向阳百分百】因为方程 表示的曲线是椭圆,所以 解得 . 3.(2023届宁夏联合考试一模数学(理)试题)2022年卡塔尔世界杯会徽(如图)正视图近似伯努利双 纽线.在平面直角坐标系 中,把到定点 , 距离之积等于 的点的轨迹称为双纽线. 已知点 是双纽线 上一点,有如下说法: ①双纽线 关于原点 中心对称; ② ; ③双纽线 上满足 的点 有两个; ④ 的最大值为 . 其中所有正确的说法为( ) A.①② B.①③ C.①②③ D.①②④ 【答案】D 【分析】对于①,根据双纽线的定义求出曲线方程,然后将 替换方程中的 进行判断,对于②, 根据三角形的等面积法分析判断,对于③,由题意得 ,从而可得点 在 轴上,进行可判断, 对于④,由向量的性质结合余弦定理分析判断,据此可求出选项. 【详解】对于①,因为定义在平面直角坐标系 中,把到定点 距离之积等于 的 点的轨迹称为双纽线 ,所以 , 用 替换方程中的 ,原方程不变,所以双纽线 关于原点 中心对称,所以①正确; 对于②,当 时,符合题意; 当 时,根据三角形的等面积法可知 , 即 , 综上得 ,所以②正确; 资料整理【淘宝店铺:向阳百分百】对于③,若双纽线 上的点 满足 ,则点 在 轴上,即 , 所以 ,得 ,所以这样的点 只有一个,所以③错误; 对于④,因为 , 所以 , 由余弦定理得 , 所以 , 所以 的最大值为 ,所以④正确. 4.(2023年内蒙古模拟数学文科试题)发现土星卫星的天文学家乔凡尼卡西尼对把卵形线描绘成轨道有 兴趣.像笛卡尔卵形线一样,笛卡尔卵形线的作法也是基于对椭圆的针线作法作修改,从而产生更多的卵 形曲线.卡西尼卵形线是由下列条件所定义的:曲线上所有点到两定点(焦点)的距离之积为常数.已知: 曲线 是平面内与两个定点 和 的距离的积等于常数 的点的轨迹,则下列命题中错 误的是( ) A.曲线 过坐标原点 B.曲线 关于坐标原点对称 C.曲线 关于坐标轴对称 D.若点 在曲线 上,则 的面积不大于 【答案】A 【分析】动点坐标为 ,根据题意可得曲线 的方程为 ,对各个选项 逐一验证,即可得出结论. 【详解】解:由题意设动点坐标为 ,则 , 即 , 即曲线 的方程为 , 若曲线 过坐标原点 ,将点 代入曲线 的方程中可得 与已知 矛盾, 故曲线 不过坐标原点,故A错误; 把方程中的 被 代换, 被 代换,方程不变, 故曲线 关于坐标原点对称,故B正确; 因为把方程中的 被 代换,方程不变,故此曲线关于 轴对称, 把方程中的 被 代换,方程不变,故此曲线关于 轴对称, 资料整理【淘宝店铺:向阳百分百】故曲线 关于坐标轴对称,故C正确; 若点 在曲线 上,则 , ,当且仅当 时等号成立, 故 的面积不大于 ,故D正确. 5.(2023年江苏省模拟数学试题)若曲线 上存在点 ,使 到平面内两点 , 距离之差 的绝对值为8,则称曲线 为“好曲线”.以下曲线不是“好曲线”的是( ) A. B. C. D. 【答案】B 【分析】先求出 点的轨迹方程为 ,“好曲线”一定与 有公共点,联立后求出交点坐 标或由 判断出有无公共点,判断出结论. 【详解】由题意知: 平面内两点 , 距离之差的绝对值为8, 由双曲线定义知: 的轨迹是以 , 为焦点的双曲线且 , , 故 , 即轨迹方程为: , “好曲线”一定与 有公共点, 联立 与 得: , , 故 与 有公共点,A为“好曲线”, 联立 与 得: ,无解,B不是“好曲线”, 联立 与 得: , ,有解,C为“好曲线”, 联立 与 得: , ,有解,故D为“好曲线”. 故不是“好曲线”的是B. 6.一种作图工具如图1所示. 是滑槽 的中点,短杆ON可绕O转动,长杆MN通过N处铰链与ON 连接,MN上的栓子D可沿滑槽AB滑动,且 , .当栓子D在滑槽AB内作往复运动时, 带动N绕 转动一周(D不动时,N也不动),M处的笔尖画出的曲线记为C.以 为原点, 所在的直 资料整理【淘宝店铺:向阳百分百】线为 轴建立如图2所示的平面直角坐标系.求曲线C的轨迹方程; 【答案】 【分析】利用相关点法,由点M、N的关系及N的轨迹建立方程消元化简计算即可. 【详解】设点 ,依题意, ,且 , 即 ,由于当点 不动时,点N也不动,所以 不恒等于0, 于是 ,故 ,代入 ,可得 , 即所求的曲线 的方程为 . 资料整理【淘宝店铺:向阳百分百】