当前位置:首页>文档>专题24空间角与距离、空间向量及其应用(理科专用)(教师版)_02高考数学_通用版(老高考)复习资料_2024年复习资料_完备战2024年高考数学一轮复习考点帮(全国通用)

专题24空间角与距离、空间向量及其应用(理科专用)(教师版)_02高考数学_通用版(老高考)复习资料_2024年复习资料_完备战2024年高考数学一轮复习考点帮(全国通用)

  • 2026-04-13 05:28:41 2026-04-13 04:22:57

文档预览

专题24空间角与距离、空间向量及其应用(理科专用)(教师版)_02高考数学_通用版(老高考)复习资料_2024年复习资料_完备战2024年高考数学一轮复习考点帮(全国通用)
专题24空间角与距离、空间向量及其应用(理科专用)(教师版)_02高考数学_通用版(老高考)复习资料_2024年复习资料_完备战2024年高考数学一轮复习考点帮(全国通用)
专题24空间角与距离、空间向量及其应用(理科专用)(教师版)_02高考数学_通用版(老高考)复习资料_2024年复习资料_完备战2024年高考数学一轮复习考点帮(全国通用)
专题24空间角与距离、空间向量及其应用(理科专用)(教师版)_02高考数学_通用版(老高考)复习资料_2024年复习资料_完备战2024年高考数学一轮复习考点帮(全国通用)
专题24空间角与距离、空间向量及其应用(理科专用)(教师版)_02高考数学_通用版(老高考)复习资料_2024年复习资料_完备战2024年高考数学一轮复习考点帮(全国通用)
专题24空间角与距离、空间向量及其应用(理科专用)(教师版)_02高考数学_通用版(老高考)复习资料_2024年复习资料_完备战2024年高考数学一轮复习考点帮(全国通用)
专题24空间角与距离、空间向量及其应用(理科专用)(教师版)_02高考数学_通用版(老高考)复习资料_2024年复习资料_完备战2024年高考数学一轮复习考点帮(全国通用)
专题24空间角与距离、空间向量及其应用(理科专用)(教师版)_02高考数学_通用版(老高考)复习资料_2024年复习资料_完备战2024年高考数学一轮复习考点帮(全国通用)
专题24空间角与距离、空间向量及其应用(理科专用)(教师版)_02高考数学_通用版(老高考)复习资料_2024年复习资料_完备战2024年高考数学一轮复习考点帮(全国通用)
专题24空间角与距离、空间向量及其应用(理科专用)(教师版)_02高考数学_通用版(老高考)复习资料_2024年复习资料_完备战2024年高考数学一轮复习考点帮(全国通用)
专题24空间角与距离、空间向量及其应用(理科专用)(教师版)_02高考数学_通用版(老高考)复习资料_2024年复习资料_完备战2024年高考数学一轮复习考点帮(全国通用)
专题24空间角与距离、空间向量及其应用(理科专用)(教师版)_02高考数学_通用版(老高考)复习资料_2024年复习资料_完备战2024年高考数学一轮复习考点帮(全国通用)
专题24空间角与距离、空间向量及其应用(理科专用)(教师版)_02高考数学_通用版(老高考)复习资料_2024年复习资料_完备战2024年高考数学一轮复习考点帮(全国通用)
专题24空间角与距离、空间向量及其应用(理科专用)(教师版)_02高考数学_通用版(老高考)复习资料_2024年复习资料_完备战2024年高考数学一轮复习考点帮(全国通用)
专题24空间角与距离、空间向量及其应用(理科专用)(教师版)_02高考数学_通用版(老高考)复习资料_2024年复习资料_完备战2024年高考数学一轮复习考点帮(全国通用)
专题24空间角与距离、空间向量及其应用(理科专用)(教师版)_02高考数学_通用版(老高考)复习资料_2024年复习资料_完备战2024年高考数学一轮复习考点帮(全国通用)
专题24空间角与距离、空间向量及其应用(理科专用)(教师版)_02高考数学_通用版(老高考)复习资料_2024年复习资料_完备战2024年高考数学一轮复习考点帮(全国通用)
专题24空间角与距离、空间向量及其应用(理科专用)(教师版)_02高考数学_通用版(老高考)复习资料_2024年复习资料_完备战2024年高考数学一轮复习考点帮(全国通用)
专题24空间角与距离、空间向量及其应用(理科专用)(教师版)_02高考数学_通用版(老高考)复习资料_2024年复习资料_完备战2024年高考数学一轮复习考点帮(全国通用)
专题24空间角与距离、空间向量及其应用(理科专用)(教师版)_02高考数学_通用版(老高考)复习资料_2024年复习资料_完备战2024年高考数学一轮复习考点帮(全国通用)
专题24空间角与距离、空间向量及其应用(理科专用)(教师版)_02高考数学_通用版(老高考)复习资料_2024年复习资料_完备战2024年高考数学一轮复习考点帮(全国通用)
专题24空间角与距离、空间向量及其应用(理科专用)(教师版)_02高考数学_通用版(老高考)复习资料_2024年复习资料_完备战2024年高考数学一轮复习考点帮(全国通用)
专题24空间角与距离、空间向量及其应用(理科专用)(教师版)_02高考数学_通用版(老高考)复习资料_2024年复习资料_完备战2024年高考数学一轮复习考点帮(全国通用)
专题24空间角与距离、空间向量及其应用(理科专用)(教师版)_02高考数学_通用版(老高考)复习资料_2024年复习资料_完备战2024年高考数学一轮复习考点帮(全国通用)
专题24空间角与距离、空间向量及其应用(理科专用)(教师版)_02高考数学_通用版(老高考)复习资料_2024年复习资料_完备战2024年高考数学一轮复习考点帮(全国通用)
专题24空间角与距离、空间向量及其应用(理科专用)(教师版)_02高考数学_通用版(老高考)复习资料_2024年复习资料_完备战2024年高考数学一轮复习考点帮(全国通用)
专题24空间角与距离、空间向量及其应用(理科专用)(教师版)_02高考数学_通用版(老高考)复习资料_2024年复习资料_完备战2024年高考数学一轮复习考点帮(全国通用)
专题24空间角与距离、空间向量及其应用(理科专用)(教师版)_02高考数学_通用版(老高考)复习资料_2024年复习资料_完备战2024年高考数学一轮复习考点帮(全国通用)
专题24空间角与距离、空间向量及其应用(理科专用)(教师版)_02高考数学_通用版(老高考)复习资料_2024年复习资料_完备战2024年高考数学一轮复习考点帮(全国通用)
专题24空间角与距离、空间向量及其应用(理科专用)(教师版)_02高考数学_通用版(老高考)复习资料_2024年复习资料_完备战2024年高考数学一轮复习考点帮(全国通用)
专题24空间角与距离、空间向量及其应用(理科专用)(教师版)_02高考数学_通用版(老高考)复习资料_2024年复习资料_完备战2024年高考数学一轮复习考点帮(全国通用)
专题24空间角与距离、空间向量及其应用(理科专用)(教师版)_02高考数学_通用版(老高考)复习资料_2024年复习资料_完备战2024年高考数学一轮复习考点帮(全国通用)
专题24空间角与距离、空间向量及其应用(理科专用)(教师版)_02高考数学_通用版(老高考)复习资料_2024年复习资料_完备战2024年高考数学一轮复习考点帮(全国通用)
专题24空间角与距离、空间向量及其应用(理科专用)(教师版)_02高考数学_通用版(老高考)复习资料_2024年复习资料_完备战2024年高考数学一轮复习考点帮(全国通用)
专题24空间角与距离、空间向量及其应用(理科专用)(教师版)_02高考数学_通用版(老高考)复习资料_2024年复习资料_完备战2024年高考数学一轮复习考点帮(全国通用)
专题24空间角与距离、空间向量及其应用(理科专用)(教师版)_02高考数学_通用版(老高考)复习资料_2024年复习资料_完备战2024年高考数学一轮复习考点帮(全国通用)
专题24空间角与距离、空间向量及其应用(理科专用)(教师版)_02高考数学_通用版(老高考)复习资料_2024年复习资料_完备战2024年高考数学一轮复习考点帮(全国通用)
专题24空间角与距离、空间向量及其应用(理科专用)(教师版)_02高考数学_通用版(老高考)复习资料_2024年复习资料_完备战2024年高考数学一轮复习考点帮(全国通用)
专题24空间角与距离、空间向量及其应用(理科专用)(教师版)_02高考数学_通用版(老高考)复习资料_2024年复习资料_完备战2024年高考数学一轮复习考点帮(全国通用)
专题24空间角与距离、空间向量及其应用(理科专用)(教师版)_02高考数学_通用版(老高考)复习资料_2024年复习资料_完备战2024年高考数学一轮复习考点帮(全国通用)
专题24空间角与距离、空间向量及其应用(理科专用)(教师版)_02高考数学_通用版(老高考)复习资料_2024年复习资料_完备战2024年高考数学一轮复习考点帮(全国通用)
专题24空间角与距离、空间向量及其应用(理科专用)(教师版)_02高考数学_通用版(老高考)复习资料_2024年复习资料_完备战2024年高考数学一轮复习考点帮(全国通用)
专题24空间角与距离、空间向量及其应用(理科专用)(教师版)_02高考数学_通用版(老高考)复习资料_2024年复习资料_完备战2024年高考数学一轮复习考点帮(全国通用)
专题24空间角与距离、空间向量及其应用(理科专用)(教师版)_02高考数学_通用版(老高考)复习资料_2024年复习资料_完备战2024年高考数学一轮复习考点帮(全国通用)
专题24空间角与距离、空间向量及其应用(理科专用)(教师版)_02高考数学_通用版(老高考)复习资料_2024年复习资料_完备战2024年高考数学一轮复习考点帮(全国通用)
专题24空间角与距离、空间向量及其应用(理科专用)(教师版)_02高考数学_通用版(老高考)复习资料_2024年复习资料_完备战2024年高考数学一轮复习考点帮(全国通用)
专题24空间角与距离、空间向量及其应用(理科专用)(教师版)_02高考数学_通用版(老高考)复习资料_2024年复习资料_完备战2024年高考数学一轮复习考点帮(全国通用)
专题24空间角与距离、空间向量及其应用(理科专用)(教师版)_02高考数学_通用版(老高考)复习资料_2024年复习资料_完备战2024年高考数学一轮复习考点帮(全国通用)
专题24空间角与距离、空间向量及其应用(理科专用)(教师版)_02高考数学_通用版(老高考)复习资料_2024年复习资料_完备战2024年高考数学一轮复习考点帮(全国通用)
专题24空间角与距离、空间向量及其应用(理科专用)(教师版)_02高考数学_通用版(老高考)复习资料_2024年复习资料_完备战2024年高考数学一轮复习考点帮(全国通用)
专题24空间角与距离、空间向量及其应用(理科专用)(教师版)_02高考数学_通用版(老高考)复习资料_2024年复习资料_完备战2024年高考数学一轮复习考点帮(全国通用)
专题24空间角与距离、空间向量及其应用(理科专用)(教师版)_02高考数学_通用版(老高考)复习资料_2024年复习资料_完备战2024年高考数学一轮复习考点帮(全国通用)
专题24空间角与距离、空间向量及其应用(理科专用)(教师版)_02高考数学_通用版(老高考)复习资料_2024年复习资料_完备战2024年高考数学一轮复习考点帮(全国通用)
专题24空间角与距离、空间向量及其应用(理科专用)(教师版)_02高考数学_通用版(老高考)复习资料_2024年复习资料_完备战2024年高考数学一轮复习考点帮(全国通用)
专题24空间角与距离、空间向量及其应用(理科专用)(教师版)_02高考数学_通用版(老高考)复习资料_2024年复习资料_完备战2024年高考数学一轮复习考点帮(全国通用)
专题24空间角与距离、空间向量及其应用(理科专用)(教师版)_02高考数学_通用版(老高考)复习资料_2024年复习资料_完备战2024年高考数学一轮复习考点帮(全国通用)
专题24空间角与距离、空间向量及其应用(理科专用)(教师版)_02高考数学_通用版(老高考)复习资料_2024年复习资料_完备战2024年高考数学一轮复习考点帮(全国通用)
专题24空间角与距离、空间向量及其应用(理科专用)(教师版)_02高考数学_通用版(老高考)复习资料_2024年复习资料_完备战2024年高考数学一轮复习考点帮(全国通用)
专题24空间角与距离、空间向量及其应用(理科专用)(教师版)_02高考数学_通用版(老高考)复习资料_2024年复习资料_完备战2024年高考数学一轮复习考点帮(全国通用)
专题24空间角与距离、空间向量及其应用(理科专用)(教师版)_02高考数学_通用版(老高考)复习资料_2024年复习资料_完备战2024年高考数学一轮复习考点帮(全国通用)
专题24空间角与距离、空间向量及其应用(理科专用)(教师版)_02高考数学_通用版(老高考)复习资料_2024年复习资料_完备战2024年高考数学一轮复习考点帮(全国通用)
专题24空间角与距离、空间向量及其应用(理科专用)(教师版)_02高考数学_通用版(老高考)复习资料_2024年复习资料_完备战2024年高考数学一轮复习考点帮(全国通用)
专题24空间角与距离、空间向量及其应用(理科专用)(教师版)_02高考数学_通用版(老高考)复习资料_2024年复习资料_完备战2024年高考数学一轮复习考点帮(全国通用)
专题24空间角与距离、空间向量及其应用(理科专用)(教师版)_02高考数学_通用版(老高考)复习资料_2024年复习资料_完备战2024年高考数学一轮复习考点帮(全国通用)
专题24空间角与距离、空间向量及其应用(理科专用)(教师版)_02高考数学_通用版(老高考)复习资料_2024年复习资料_完备战2024年高考数学一轮复习考点帮(全国通用)
专题24空间角与距离、空间向量及其应用(理科专用)(教师版)_02高考数学_通用版(老高考)复习资料_2024年复习资料_完备战2024年高考数学一轮复习考点帮(全国通用)
专题24空间角与距离、空间向量及其应用(理科专用)(教师版)_02高考数学_通用版(老高考)复习资料_2024年复习资料_完备战2024年高考数学一轮复习考点帮(全国通用)
专题24空间角与距离、空间向量及其应用(理科专用)(教师版)_02高考数学_通用版(老高考)复习资料_2024年复习资料_完备战2024年高考数学一轮复习考点帮(全国通用)
专题24空间角与距离、空间向量及其应用(理科专用)(教师版)_02高考数学_通用版(老高考)复习资料_2024年复习资料_完备战2024年高考数学一轮复习考点帮(全国通用)
专题24空间角与距离、空间向量及其应用(理科专用)(教师版)_02高考数学_通用版(老高考)复习资料_2024年复习资料_完备战2024年高考数学一轮复习考点帮(全国通用)
专题24空间角与距离、空间向量及其应用(理科专用)(教师版)_02高考数学_通用版(老高考)复习资料_2024年复习资料_完备战2024年高考数学一轮复习考点帮(全国通用)
专题24空间角与距离、空间向量及其应用(理科专用)(教师版)_02高考数学_通用版(老高考)复习资料_2024年复习资料_完备战2024年高考数学一轮复习考点帮(全国通用)
专题24空间角与距离、空间向量及其应用(理科专用)(教师版)_02高考数学_通用版(老高考)复习资料_2024年复习资料_完备战2024年高考数学一轮复习考点帮(全国通用)
专题24空间角与距离、空间向量及其应用(理科专用)(教师版)_02高考数学_通用版(老高考)复习资料_2024年复习资料_完备战2024年高考数学一轮复习考点帮(全国通用)
专题24空间角与距离、空间向量及其应用(理科专用)(教师版)_02高考数学_通用版(老高考)复习资料_2024年复习资料_完备战2024年高考数学一轮复习考点帮(全国通用)
专题24空间角与距离、空间向量及其应用(理科专用)(教师版)_02高考数学_通用版(老高考)复习资料_2024年复习资料_完备战2024年高考数学一轮复习考点帮(全国通用)
专题24空间角与距离、空间向量及其应用(理科专用)(教师版)_02高考数学_通用版(老高考)复习资料_2024年复习资料_完备战2024年高考数学一轮复习考点帮(全国通用)
专题24空间角与距离、空间向量及其应用(理科专用)(教师版)_02高考数学_通用版(老高考)复习资料_2024年复习资料_完备战2024年高考数学一轮复习考点帮(全国通用)
专题24空间角与距离、空间向量及其应用(理科专用)(教师版)_02高考数学_通用版(老高考)复习资料_2024年复习资料_完备战2024年高考数学一轮复习考点帮(全国通用)
专题24空间角与距离、空间向量及其应用(理科专用)(教师版)_02高考数学_通用版(老高考)复习资料_2024年复习资料_完备战2024年高考数学一轮复习考点帮(全国通用)
专题24空间角与距离、空间向量及其应用(理科专用)(教师版)_02高考数学_通用版(老高考)复习资料_2024年复习资料_完备战2024年高考数学一轮复习考点帮(全国通用)
专题24空间角与距离、空间向量及其应用(理科专用)(教师版)_02高考数学_通用版(老高考)复习资料_2024年复习资料_完备战2024年高考数学一轮复习考点帮(全国通用)
专题24空间角与距离、空间向量及其应用(理科专用)(教师版)_02高考数学_通用版(老高考)复习资料_2024年复习资料_完备战2024年高考数学一轮复习考点帮(全国通用)
专题24空间角与距离、空间向量及其应用(理科专用)(教师版)_02高考数学_通用版(老高考)复习资料_2024年复习资料_完备战2024年高考数学一轮复习考点帮(全国通用)
专题24空间角与距离、空间向量及其应用(理科专用)(教师版)_02高考数学_通用版(老高考)复习资料_2024年复习资料_完备战2024年高考数学一轮复习考点帮(全国通用)
专题24空间角与距离、空间向量及其应用(理科专用)(教师版)_02高考数学_通用版(老高考)复习资料_2024年复习资料_完备战2024年高考数学一轮复习考点帮(全国通用)

文档信息

文档格式
docx
文档大小
4.430 MB
文档页数
82 页
上传时间
2026-04-13 04:22:57

文档内容

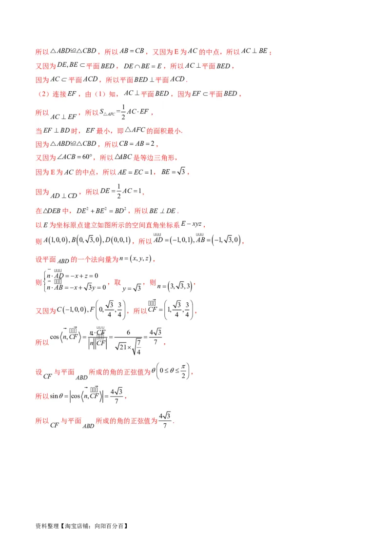
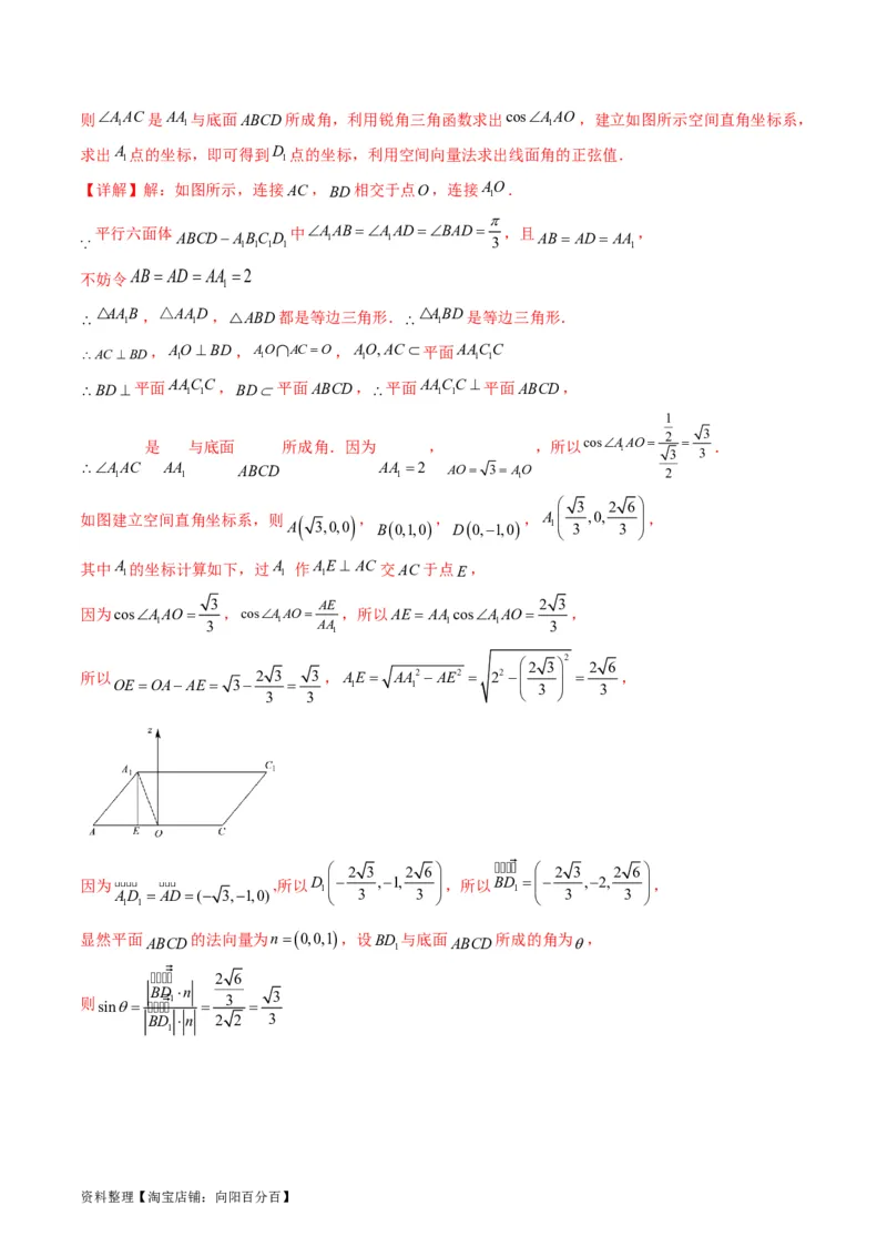
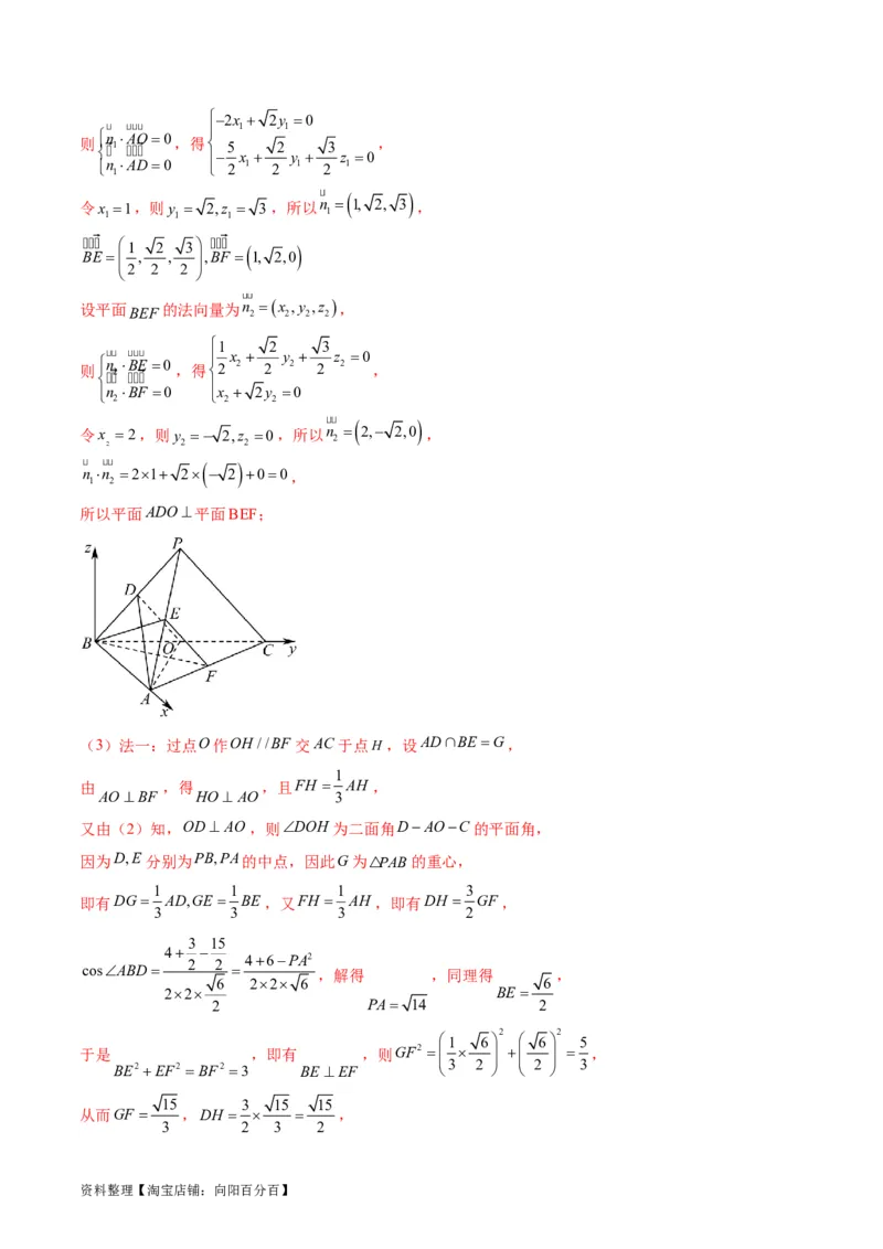
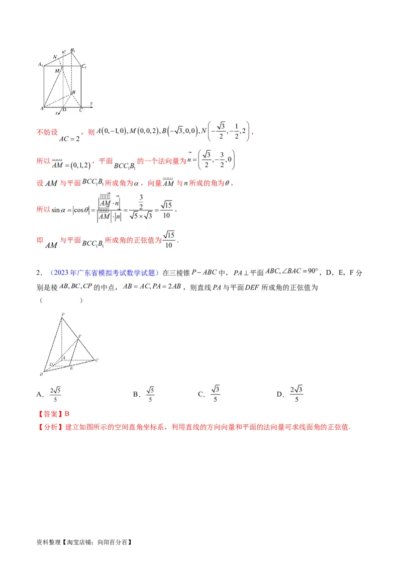
专题 24 空间角与距离、空间向量及其应用 (核心考点精讲精练) 1. 近几年真题考点分布 空间空间与立体几何近几年考情 考题示例 考点分析 关联考点 2023年全国乙(文科),第16题,5分 已知三棱锥外接求半径,求线段长 1、证明线面平行; 2023年全国乙(文科),第19题,12分 2、求三棱锥的体积; 2023年全国乙(理科),第3题,5分 通过三视图求几何体的表面积 2023年全国乙(文科),第3题,5分 2023年全国乙(理科),第8题,5分 圆锥体积相关计算 证明面面垂直,由二面角求线段长,从而求线 2023年全国乙(理科),第9题,5分 面角的正切值 1、证明线面平行; 2023年全国乙(理科),第19题,12分 2、证明面面垂直; 3、求二面角 2023年全国甲(文科),第10题,5分 证明线面垂直,求三棱锥的体积 2023年全国甲(文科),第16题,5分 正方体的外接球、棱切球问题 1、证明面面垂直; 2023年全国甲(文科),第18题,12分 2、求四棱锥的高 余弦定理解三 2023年全国甲(理科),第11题,5分 四棱锥表面积有关计算 角形 2023年全国甲(理科),第15题,5分 正方体的棱切球问题 1、已知点面距,证明线面垂直,从而得到线 2023年全国甲(理科),第18题,12分 线相等; 2、已知平行线间的距离,求线面角的正弦值 2. 命题规律及备考策略 【命题规律】1.本节为理科必考知识,常出现在解答题中; 资料整理【淘宝店铺:向阳百分百】2.用空间向量求点线、点面、线线、线面、面面距离; 3.用空间向量求异面直线、线面、、面面所成角; 4.用空间向量证明线线、线面、面面平行与垂直. 【备考策略】1.会用空间直角坐标系刻画点的位置,掌握空间中两点间的距离公式. 2.了解空间向量基本定理及其意义,理解空间向量的坐标表示. 3.掌握空间向量的数量积运算. 4.能用向量方法判断或证明点、线、面之间的位置关系. 5.能用向量方法解决空间中的距离问题. 6.能用向量方法求解空间中的角度问题. 【命题预测】1.用空间向量求点线、点面、线线、线面、面面距离; 2.用空间向量求异面直线、线面、、面面所成角; 3.用空间向量证明线线、线面、面面平行与垂直. 知识讲解 一、空间向量的有关概念 名称 定义 资料整理【淘宝店铺:向阳百分百】空间向量 在空间中,具有 大小 和 方向 的量 相等向量 方向 相同 且模 相等 的向量 相反向量 方向 相反 且模 相等 的向量 共线向量 表示空间向量的有向线段所在的直线互相 平行或重合 的向量 (或平行向量) 共面向量 平行于 同一个平面 的向量 二、空间向量的有关定理 1.共线向量定理:对空间任意两个向量 的充要条件是存在唯一的实数 ,使得 . 2.共面向量定理:如果两个向量 不共线,那么向量 与向量 共面的充要条件是存在唯一的实数对 ,使 . 3.空间向量基本定理:如果三个向量 不共面,那么对空间中任一向量 ,存在有序实数组 ,使 得 ,其中, 叫作空间的一个基底. 三、两个向量的数量积 1.非零向量 的数量积 . 2.空间向量数量积的运算律: (1)结合律: . (2)交换律: . (3)分配律: . 四、空间向量的坐标表示及其应用 设 . 向量表示 坐标表示 数量积 共线 垂直 模 √x2+ y2+z2 1 1 1 夹角 恰当选择基向量是用向量解决立体几何问题的关键.用已知基向量表示指定向量时,应结合已知和所求 向量,观察图形,将已知向量和未知向量转化至三角形或平行四边形中,然后利用三角形法则或平行四边形法 则进行运算. 证明三点共线、空间四点共面的方法 三点(P,A,B)共线 空间四点(M,P,A,B)共面 ⃗PA=λ⃗PB且同过点P ⃗MP=x⃗MA+y⃗MB 对空间任一点O,⃗OP=⃗OA 对空间任一点O,⃗OP=⃗OM+x⃗MA+y⃗MB +t⃗AB 对空间任一点O,⃗OP=x 对空间任一点O,⃗OP=x⃗OM+y⃗OA+(1-x-y)⃗OB ⃗OA+(1-x)⃗OB 资料整理【淘宝店铺:向阳百分百】利用空间向量数量积求夹角和长度 (1)求夹角,设向量 所成的角为 ,则 ,进而可求出两异面直线所成的角,注意两异面直线 所成角的范围是 ; (2)求长度(距离),运用公式 ,可将线段长度的计算问题转化为向量数量积的计算问题. (3)利用向量的数量积可解决有关垂直的问题: . 五、直线的方向向量与平面的法向量 1.直线的方向向量:如果表示非零向量 的有向线段所在的直线与直线 平行或共线,那么称向量 为直线 的方向向量. 2.平面的法向量:若直线 ⊥平面 ,取直线 的方向向量为 ,则向量 叫作平面 的法向量. 3.方向向量和法向量均为非零向量且均不唯一. 六、空间位置关系的向量表示 位置关系 向量表示 直线 , 的方向向量 ∥ 分别为 , ⊥ 直线 的方向向量为 ∥ ,平面 的法向量为 ⊥ m 平面 , 的法向量 ∥ 分别为 , ⊥ 七、空间角公式 1.异面直线所成角公式 设 , 分别为异面直线 , 上的方向向量, 为异面直线所成的角,则 . 2.线面角公式 设 为一条与平面 相交的直线, 为 的方向向量, 为平面 的法向量, 为 与 所成的角,则 . 3.二面角公式 设 , 分别为平面 , 的法向量,平面 , 形成的二面角为 ,则 或 (需要根 据具体情况判断是相等还是互补),其中 . 八、求解空间中的距离 1.异面直线间的距离 资料整理【淘宝店铺:向阳百分百】如图,设两条异面直线 , 的公垂线的方向向量为 ,这时分别在 , 上任取A,B两点,则向量⃗AB在 上的正 射影长就是两条异面直线 , 的距离 ,则 .即两异面直线间的距离,等于在两异面直 线上分别任取两点的向量和公垂线方向向量的数量积的绝对值与公垂线方向向量的模的比值. 2.点到平面的距离 如图, 为平面 外一点, 为平面 的法向量,过 作平面 的斜线 及垂线 , 为 与平面 所 成的角,则 . 3.平面与平面、直线与平面之间的距离问题可转化为点到平面的距离问题求解. 1.利用空间向量证明平行的方法 线线平行 证明两直线的方向向量共线 ①证明该直线的方向向量与平面的某一法向量垂直;②证明直线的方向向量与平面内某直线的方 线面平行 向向量平行 面面平行 ①证明两平面的法向量为共线向量;②转化为线面平行、线线平行问题 2.利用空间向量证明垂直的方法 线线垂直 证明两直线所在的方向向量互相垂直,即证它们的数量积为零 线面垂直 证明直线的方向向量与平面的法向量共线,或将线面垂直的判定定理用向量表示 面面垂直 证明两个平面的法向量垂直,或将面面垂直的判定定理用向量表示 用向量法求异面直线所成角的一般步骤: (1)选择三条两两垂直的直线建立空间直角坐标系.(2)确定异面直线上两个点的坐标,从而确定异面直线的方 向向量.(3)利用向量的夹角公式求出向量夹角的余弦值.(4)两异面直线所成角的余弦值等于两向量夹角余弦 值的绝对值.相关公式如下:设 , 分别是两异面直线 , 的方向向量,则 与 的 夹 角 与 所成的角 范围 关系 利用向量法求线面角的方法 方法一:分别求出斜线和它在平面内的射影直线的方向向量,转化为求两个方向向量的夹角(或其补角). 方法二:通过平面的法向量来求,即求出斜线的方向向量与平面的法向量的夹角(夹角为钝角时取其补角), 取其余角就是斜线和平面所成的角.相关公式如下:如图,设直线 的方向向量为 ,平面 的法向量为 ,直线 与平面 所成的角为 ,两向量 与 的夹角为 ,则有 . 资料整理【淘宝店铺:向阳百分百】1.利用空间向量求二面角的方法: 方法 1:如图①, , 分别是二面角 的两个面内与棱 垂直的直线,则二面角的大小 . 方法2:如图②③, , 分别是二面角 的两个半平面 , 的法向量,则二面角的大小 满足 ,二面角的平面角大小是向量 与 的夹角(或其补角). 2.向量法求二面角时需注意:(1)建立空间直角坐标系时,若垂直关系不明确,则应先给出证明;(2)对于某些 平面的法向量,要结合题目条件和图形多观察,判断该法向量是否已经隐含着,不用单独求;(3)注意判断二面角 的平面角是锐角还是钝角,可结合图形判断,以防结论失误. 求点到平面的距离的步骤: ①建系:结合图形的特点,建立恰当的空间直角坐标系. ②求向量:在坐标系中求出点 到平面内任一点 对应的向量 . ③求法向量:设出平面的法向量,利用向量垂直的条件转化为求解方程组,求出法向量 . ④得距离:根据点到平面的距离公式 ,计算得出距离. 考点一、空间向量的线性运算 1.(2023年福建模拟数学试题)如图,在平行六面体 中, , , , 资料整理【淘宝店铺:向阳百分百】是 的中点, 是 上的一点,且 ,用 表示向量 的结果是( ). A. B. C. D. 【答案】D 【详解】∵ 是 的中点, ,∴ . 2.(2023年宜阳模拟数学试题)已知向量 是空间的一个基底,向量 是空间的另一个 基底,一向量 在基底 下的坐标为 ,则向量 在基底 下的坐标为( ). A. B. C. D. 【答案】A 【详解】设 在基底 下的坐标为 , 则 , 所以 解得 故 在基底 下的坐标为 . 如 图 所 示 , 在 平 行 六 面 体 中 , 设 , , , , , 分 别 是 的中点,试用 表示以下各向量: 资料整理【淘宝店铺:向阳百分百】(1)⃗AP; (2)⃗A N; 1 (3)⃗MP+⃗NC . 1 【详解】(1)因为 是 的中点,所以 . (2)因为 是 的中点,所以 . (3)因为 是 的中点,所以 , 又 , 所以 . 考点二、共线、共面的判断与证明 1.已知O为空间任意一点,A、B、C、P满足任意三点不共线,但四点共面,且 , 则m的值为( ) A. B.2 C. D. 【答案】C 【分析】 为空间任意一点, 满足任意三点不共线,但四点共面,均有结论 ,其中 ,故可由 进行转化,利用结论即可 【详解】 , ∵ 为空间任意一点, 满足任意三点不共线,但四点共面, ∴ ,∴ . 2.如图所示,已知斜三棱柱 ,点 分别在 上,且满足 , 资料整理【淘宝店铺:向阳百分百】. (1)向量 是否与向量 共面? (2)直线 是否与平面 平行? 【详解】(1)因为 , , 所以 , 所以由共面向量定理知,向量 与向量 共面. (2)当 时,点 重合,点 重合, 在平面 内,不平行; 当 时, 不在平面 内, 又由(1)知 与 共面,所以 平面 . 综上所述,当 时,不平行,当 时,平行. 1.下列命题中正确的是( ) A.若 , ,则 与 所在直线平行 B.向量 、 、 共面即它们所在直线共面 C.空间任意两个向量共面 D.若 ,则存在唯一的实数λ,使 【答案】C 【分析】根据空间向量的相关观念逐一判断即可. 【详解】对于A,若 , ,当 时 与 所在直线可以不平行,因此不正确; 对于B,向量 、 、 共面,则它们所在直线可能共面,也可能不共面,因此不正确; 对于C,根据共面向量基本定理可知:空间任意两个向量共面,正确; 对于D,若 且 ,则存在唯一的实数λ,使 ,因此不正确. 2.(2023年河南省模拟数学试题)已知向量 , , ,若 , , 三 资料整理【淘宝店铺:向阳百分百】向量共面,则实数 ( ) A. B.2 C. D.3 【答案】B 【分析】根据共面向量定理列等式,解方程即可. 【详解】∵ , , 三向量共面, ∴存在实数 , ,使得 ,即 , ∴ ,解得 , , . 3.已知 分别是空间四边形 的边 的中点,用向量方法求证: (1) 四点共面; (2) 平面 . 【详解】(1)如图,连接 , 则 , 由向量共面定理知, 四点共面. (2)因为 , 又 四点不共线,所以 . 因为 平面 , 平面 ,所以 平面 . 考点三、空间向量的数量积与坐标运算 资料整理【淘宝店铺:向阳百分百】1.(2023年河南省模拟数学试题)如图,在平行六面体 中,以顶点A为端点的三条棱 长均为6,且它们彼此的夹角都是60°,下列说法中不正确的是( ) A. B.BD⊥平面ACC₁ C.向量 与 的夹角是60° D.直线BD₁与AC所成角的余弦值为 【答案】C 【分析】利用空间向量法,通过计算线段长度、向量夹角、线线角以及证明线面垂直等知识确定正确答案. 【详解】以 为空间一组基底. , , 所以 ,A选项正确. 由于四边形 是菱形,所以 , , , 所以 ,即 , 由于 ,所以 平面 ,B选项正确. ,三角形 是等边三角形, 由图可知 与 的夹角为钝角,也即 与 的夹角为钝角,C选项错误. , ,所以 . 资料整理【淘宝店铺:向阳百分百】, , 所以 . . 设直线 与直线 所成角为 , 则 ,D选项正确. 2.(2023 年四川绵阳质量检测数学试题)如图,在大小为 45°的二面角 中,四边形 都是边长为1的正方形,则 两点间的距离是( ). A. B. C. D. 【答案】D 【详解】因为 ,所以 . 3.(2023年山东临沂联考数学试题)若向量 ,且 ,则实数 ( ). A. B. C. D. 【答案】C 【详解】因为 ,所以 ,即 , 所以 ,解得 . 资料整理【淘宝店铺:向阳百分百】1.(2023年福建省质量监测数学试题)如图,平行六面体 的底面 是矩形,其中 , , ,且 ,则线段 的长为( ) A.9 B. C. D. 【答案】C 【分析】由 ,两边平方,利用勾股定理以及数量积的定义求出 的值, 进而可得答案 【详解】由 , . 因为底面 是矩形, , , , 所以 , , 因为 , 所以 所以 , . 2.若向量 , , 夹角的余弦值为 ,则实数 ( ). A.1 B.3 C.2 D.4 【答案】A 【详解】∵ , , ∴ , , . 又 夹角的余弦值为 ∴ ,可知 ,解得 . 考点四、求法向量 资料整理【淘宝店铺:向阳百分百】1.已知 , ,则平面ABC的一个单位法向量为( ) A. B. C. D. 【答案】B 【分析】设平面 的法向量为 ,进而得 ,再根据 为单位向量即可得答案. 【详解】设平面 的法向量为 , 则有 取 ,则 . 所以 .因为 , 所以平面 的一个单位法向量可以是 . 【点睛】本题考查平面的法向量的求法,考查运算求解能力,解题得关键在于掌握单位向量 的表示形 式,是中档题. 2.如图,在正方体 中,以 为原点建立空间直角坐标系, 为 的中点, 为 的 中点,则下列向量中,能作为平面 的法向量的是( ). A.(1, ,4) B.( ,1, ) C.(2, ,1) D.(1,2, ) 【答案】B 【分析】设正方体的棱长为2,依次求出各点坐标,设向量 是平面 的法向量,根据法向量的 定义,逐一验证各选项即可求出答案. 【详解】解:设正方体的棱长为2,则 , , ∴ , 设向量 是平面 的法向量, 则 取 ,得 , 则 是平面 的一个法向量, 结合其他选项,只需和 共线即可, 资料整理【淘宝店铺:向阳百分百】检验可知,ACD选项均不与 共线. 所以能作为平面 的法向量只有选项B 1.(2023年黑龙江省模拟考试数学试题)已知 ,则平面 的一个单位法向量 是( ) A. B. C. D. 【答案】D 【分析】根据给定条件,求出平面 的法向量,再逐项判断作答. 【详解】依题意, ,设平面 的一个法向量为 , 则 ,令 ,得 , 于是得与 同向的单位向量为 , 与 反向的单位向量为 ,D满足, 显然选项A,B,C中的向量与 不共线,即A,B,C不满足. 2.已知平面 上三点 , , ,则平面 的一个法向量为( ) A. B. C. D. 【答案】B 【解析】设平面 的一个法向量为 ,由题意得出 ,可得出关于 、 、 的等式,对 赋值可得出平面 的一个法向量的坐标. 【详解】由已知 , , 设平面 的一个法向量为 ,由 ,可得 , 取 ,可得 , , 所以,平面 的一个法向量为 . 资料整理【淘宝店铺:向阳百分百】考点五、向量法求点面、线面距离 1.如图,在长方体ABCD-A1B1C1D1中,AD=AA1=1,AB=2,点E是棱AB的中点,则点E到平面 ACD1的距离为( ) A. B. C. D. 【答案】C 【分析】以 为坐标原点, ,分别为 轴, 输、 轴正方向建立空间直角坐标系,用向 量法求解. 【详解】如图, 以 为坐标原点, ,分别为 轴, 输、 轴正方向建立空间直角坐标系,则 .从而 . 设平面 的法向量为 ,则 ,即 ,得 , 令 ,则 ,所以点 到平面 的距离为 . 2.在棱长为1的正方体 中,E为线段 的中点,F为线段AB的中点,则直线FC到平 面 的距离为 . 【答案】 / 【分析】建立如图所示的空间直角坐标系,求出平面 的法向量后可求线面距. 【详解】建立如图所示的空间直角坐标系, 资料整理【淘宝店铺:向阳百分百】则 , 故 ,故 , 而 平面 , 平面 ,故 平面 , 故直线 到平面 的距离为即为 到平面 的距离. 设平面 的法向量为 , 又 ,故 ,取 ,则 , 而 ,故 到平面 的距离为 . 3.如图,已知正方体 的棱长为1,则线段 上的动点P到直线 的距离的最小值为 ( ) A.1 B. C. D. 【答案】D 【分析】利用坐标法,设 ,可得动点 到直线 的距离为 ,然后 利用二次函数的性质即得. 【详解】如图建立空间直角坐标系,则 , 资料整理【淘宝店铺:向阳百分百】设 ,则 , ∴动点 到直线 的距离为 ,当 时取等号, 即线段 上的动点 到直线 的距离的最小值为 . 1.已知直线 过定点 ,且方向向量为 ,则点 到 的距离为( ) A. B. C. D. 【答案】A 【分析】本题首先可根据题意得出 ,然后求出 与 ,最后根据空间点到直线的距离公式即可 得出结果. 【详解】因为 , ,所以 , 则 , , 由点到直线的距离公式得 . 2.(2023届浙江省适应性考试(三模)数学试题)四面体 满足 , 点 在棱 上,且 ,点 为 的重心,则点 到直线 的距离 为( ) 资料整理【淘宝店铺:向阳百分百】A. B. C. D. 【答案】A 【分析】根据给定条件,建立空间直角坐标系,再利用向量求出点到直线的距离作答. 【详解】四面体 满足 ,即 两两垂直, 以点O为原点,以射线 的正方向分别为 轴的正方向建立空间直角坐标系,如图, 因为 , ,则 , 于是 , , 所以点 到直线 的距离 . 3.如图,在长方体 中, , , 、 、 分别是 、 、 的中点, 则直线 到平面 的距离为 . 【答案】 【分析】以 为原点, , , 所在直线分别为 轴, 轴, 轴建立空间直角坐标系,得到 , , , , 各点坐标,由向量可判定 平面 ,则将问题转化为点 到平面 的距离,先 求得平面 的法向量,再根据距离 求解即可. 【详解】以 为原点, , , 所在直线分别为 轴, 轴, 轴建立空间直角坐标系,如图所 示, 资料整理【淘宝店铺:向阳百分百】由题,则 , , 因为 、 、 分别是 、 、 的中点, 所以 , , , 则 ,所以 ,所以 平面 ,所以点 到平面 的距离即为直线 到 平面 的距离, 设平面 的法向量为 ,则 , 因为 ,所以 ,取 ,则 , , 所以 是平面 的一个法向量,又向量 ,所以点 到平面 的距离为 ,即直线 到平面 的距离为 . 考点六、向量法求点线距离 1.(2023年河北省模拟数学试题)已知直线 过点 ,且方向向量为 ,则点 到 的距离为( ) A. B. C. D.3 【答案】B 【分析】根据直线 一个方向向量为 ,取直线 的一个单位方向向量为 ,计算 ,代入点到直线 的距离公式 计算即可. 【详解】 直线 的一个方向向量为 ,取直线 一个单位方向向量为 资料整理【淘宝店铺:向阳百分百】,又 为直线外一点,且直线 过点 , , , 点 到直线 的距离为 . 2.如图,在正三棱柱 中,若 ,则C到直线 的距离为( ) A. B. C. D. 【答案】D 【分析】取 的中点 ,建立如图所示的空间直角坐标系 ,根据点到线距离的向量求法和投影的 定义计算即可. 【详解】由题意知, ,取 的中点 ,则 , 建立如图所示的空间直角坐标系 ,则 , 所以 ,所以 在 上的投影的长度为 , 故点 到直线 的距离为: . 资料整理【淘宝店铺:向阳百分百】1.(2023年辽宁省模拟数学试题)已知直线l经过点 ,且 是l的方向向量,则点 到l的距离为( ). A. B. C. D. 【答案】C 【分析】由题意 ,应用空间向量夹角的坐标表示求 ,再根据点线距离为 即可求结果. 【详解】由题设 ,则 , 所以 ,而 ,故 到 的距离为 . 2.(2023年山东省模拟数学试题)已知空间中三点 ,则点 到直线 的距离为( ) A. B. C. D. 【答案】C 【分析】根据点到直线距离的向量坐标公式计算即可求解. 【详解】因为 ,所以 , 则点 到直线 的距离为 . 3.如图,已知正方体 的棱长为2,点 为线段 上的动点,则点 到直线 的距 离的最小值为( ) 2 3 6 A.1 B. C. D. 3 4 【答案】C 【分析】以D为坐标原点,DA、DC 、DD 所在直线分别为x轴,y轴,z 轴,建立空间直角坐标系, 1 利用向量法求异面直线距离可得. 资料整理【淘宝店铺:向阳百分百】【详解】解:正方体ABCD ABC D 的棱长为2,点P为线段BC 上的动点, 1 1 1 1 1 以D为坐标原点,DA、DC 、DD 所在直线分别为x轴,y轴,z 轴,建立空间直角坐标系, 1 则A(2,0,0),C(0,2,0),B(2,2,0),设P(2t,2,t),(0t 2), ⃗ ⃗ ⃗ BP(t,0,t),AC (2,2,0),AB(0,2,0), ⃗ ⃗ ⃗ 设异面直线BP,AC的公共法向量为n(x,y,z), ⃗ ⃗  ACn2x2y0 则⃗ ⃗ ,取 ,得⃗ , BPntxtz0 x1 n(1,1,1) ∴点P到直线AC 的距离为: ⃗ ⃗ nAB 2 2 3 d  ⃗   , n 3 3 2 3 点 到直线 的距离的最小值为 . P AC 3 考点七、向量法求异面直线的距离 1.定义:两条异面直线之间的距离是指其中一条直线上任意一点到另一条直线距离的最小值.在长方体 ABCDA 1 B 1 C 1 D 1 中,AB1,BC 2,AA 1 3,则异面直线AC与BC 1 之间的距离是( ) 5 7 6 6 A. B. C. D. 5 7 6 7 【答案】D ⃗ ⃗ ⃗ ⃗ 【解析】以D为坐标原点建立空间直角坐标系,求出AC和BC 1 的公垂线的方向向量n,求出AB,再由 ⃗⃗  ABn d  ⃗ 可求出. n 【详解】如图,以D为坐标原点建立空间直角坐标系, 则A2,0,0,C0,1,0,B2,1,0,C 0,1,3 , 1 资料整理【淘宝店铺:向阳百分百】⃗ ⃗ 则AC 2,1,0 ,BC 2,0,3 , 1 ⃗ ⃗ ⃗ 设AC和BC 的公垂线的方向向量nx,y,z , 1 (cid:4) (cid:4) nAC0 2xy0 则(cid:4) (cid:4) ,即 ,令 ,则⃗ , nBC 1 0 2x3z0 x3 n3,6,2 ⃗  AB0,1,0 , ⃗⃗  ABn 6 d  ⃗  . n 7 【点睛】本题考查异面直线距离的求解,解题的关键是建立空间直角坐标系,利用向量的方法求解. 2.定义:两条异面直线之间的距离是指其中一条直线上任意一点到另一条直线距离的最小值.在棱长为1 的正方体ABCDABCD 中,直线AC与BC 之间的距离是( ) 1 1 1 1 1 2 3 1 A. B. C.1 D. 2 3 2 3 【答案】B ⃗ ⃗ ⃗ ⃗ ⃗ ⃗ 【分析】在AC上任取点M ,作MN BC 1 ,设AM AC, BN BC 1 ,根据MN BC 1 得出和的 ⃗ 关系,从而可得|MN|关于(或)的函数关系,再求出此函数的最小值即可. 【详解】 设M 为直线AC上任意一点, 过M 作MN BC 1 ,垂足为N ,可知此时M 到直线BC 1 距离最短 ⃗ ⃗ ⃗ ⃗ ⃗ ⃗ ⃗ ⃗ 设AM AC ABAD,BN BC ADAA , 1 1 ⃗ ⃗ ⃗ ⃗ ⃗ ⃗ ⃗ ⃗ ⃗ 则MN  ANAM  ABBNAM (1)AB()ADAA , 1 ⃗ ⃗ ⃗ BC  ADAA , 1 1 ⃗ ⃗  MN BC 1 , MN·BC 1 0, 资料整理【淘宝店铺:向阳百分百】⃗ ⃗ ⃗ ⃗ ⃗ 即[(1)AB()ADAA](ADAA)0, 1 1 ⃗ ⃗ 2 2 ()AD AA 0,即0, 1 2, ⃗ ⃗ ⃗ ⃗  MN (12)ABADAA 1 , ⃗ (cid:4) (cid:4) (cid:4) (cid:4) (cid:4) (cid:4) MN  12ABADAA  12ABADAA 2 1  1 ,  12222  6241 6   1  2  1  3 3 当 1 时, ⃗ 取得最小值 1  3 ,  3 |MN| 3 3 3 故直线 与 之间的距离是 . AC BC 3 1 3.在长方体ABCDA 1 B 1 C 1 D 1 中,AB1,BC 2,AA 1 3,则异面直线AC与BC 1 之间的距离是 ( ) 5 7 6 6 A. B. C. D. 5 7 6 7 【答案】D 【分析】建立空间直角坐标系,求解直线AC与BC 的公垂线的方向向量,利用异面直线距离的向量公式, 1 即得解 【详解】 如图所示,以D为原点,DA,DC,DD 1 所在直线为x,y,z轴如图建立空间直角坐标系 则A(2,0,0),C(0,1,0),B(2,1,0),C (0,1,3) 1 ⃗ ⃗ CA(2,1,0),BC (2,0,3) 1 ⃗ 设直线AC与BC 的公垂线的方向向量为n(x,y,z) 1 (cid:4) (cid:4) nCA0 2xy0 则(cid:4) (cid:4)  nBC 0 2x3z0 1 ⃗ 不妨令z2x3,y6n(3,6,2) 资料整理【淘宝店铺:向阳百分百】⃗⃗  ABn 6 6 又⃗ ,则异面直线 与 之间的距离d | ⃗ |  . AB(0,1,0) AC BC |n| 326222 7 1 1.长方体ABCDA 1 B 1 C 1 D 1 中,AB AA 1 2,AD1,E为CC 1 的中点,则异面直线BC 1 与AE之间的距 离是( ) 1 21 2 2 21 A. B. C. D. 3 21 3 21 【答案】D 【分析】建立如图所示的空间直角坐标系,得出各点坐标,求出BC 1 与AE的公垂线的一个方向向量,由 空间向量的数量积求得结论. 【详解】建立如图所示的空间直角坐标系,则A(1,0,0),B(1,2,0),C(0,2,0),C (0,2,2),E(0,2,1), 1 ⃗ ⃗ ⃗ AE(1,2,1),BC 1 (1,0,2),设BC 1 与 AE 的公垂线的一个方向向量为n(x,y,z), (cid:4) (cid:4) 则   n (cid:4)   A  E (cid:4) x2yz0 ,取 ,得 ,y 1 ,即n ⃗ (2, 1 ,1), nBC 1 x2z0 z1 x2 2 2 ⃗⃗  1 ABn 2 2 2 21 又 ,所以异面直线 与 之间的距离为 d  ⃗   . ⃗ n 22( 1 )212 21 AB(0,2,0) BC 1 AE 2 2.如图是一棱长为1的正方体,则异面直线A 1 B与B 1 D 1 之间的距离为( ) 资料整理【淘宝店铺:向阳百分百】3 2 A. B. C.1 D. 3 3 2 2 【答案】B ⃗ 【分析】建立空间直角坐标系,求出与DB 和AB垂直的向量坐标,求出异面直线间的距离. 1 1 1 【详解】以D为原点,DA,DC ,DD 分别为x,y,z 轴,建立如图空间直角坐标系, 1 ⃗ ⃗ ⃗ ⃗ 则DB (1,1,0),AB(0,1,1),设n(x,y,z)与DB 和AB都垂直, 1 1 1 1 1 1 ⃗ ⃗ 则    D  1⃗ B 1  ⃗ n0 ,即   xy0 ,取r ,又因为⃗ , ABn0 yz0 n(1,1,1) DA (1,0,0) 1 1 1 ⃗⃗  DA n 1 3 1 1 所以异面直线 和 间的距离为 ⃗   . DB AB n 3 3 1 1 1 3.(2023年陕西省模拟考试(理科)数学试题)如图,已知ABC- ABC 是侧棱长和底面边长均等于a的 1 1 1 直三棱柱,D是侧棱CC 1 的中点.则点C到平面AB 1 D的距离为( ) 2 2 3 2 2 A. a B. a C. a D. a 4 8 4 2 【答案】A ⃗ ⃗ ⃗ 【分析】取AB的中点O,连接CO,以点O为坐标原点,OB、OC、BB 1 的方向分别为x、y、 z 轴的正 方向建立空间直角坐标系,利用空间向量法可求得点C到平面ABD的距离. 1 【详解】取AB的中点O,连接CO,因为ABC为等边三角形,O为AB的中点,则COAB, 资料整理【淘宝店铺:向阳百分百】⃗ ⃗ ⃗ 以点O为坐标原点,OB、OC、BB 1 的方向分别为x、y、 z 轴的正方向建立如下图所示的空间直角坐标 系,  3   a  a   3 a 则C   0, 2 a,0   、A   2 ,0,0  、B 1  2 ,0,a  、D   0, 2 a, 2    , ⃗ a 3 a 设平面 的法向量为⃗ ,⃗ ,AD , a, , ABD nx,y,z AB a,0,a   2 2 2   1 1 ⃗ ⃗ nAB axaz0  1 由 ⃗ ⃗ a 3 a ,取 ,可得 ⃗ , nAD x ay z0 n1,0,1  2 2 2 x1 ⃗⃗  a ⃗ a 3  ACn 2 2a AC  , a,0 ,所以,点 到平面 的距离为d  ⃗   .   2 2   C ABD n 2 4 1 考点八、向量法求平面到平面的距离 1.已知正方体ABCDABCD 的棱长为a,则平面ABD 与平面BDC 的距离为( ) 1 1 1 1 1 1 1 2 3 A. B. C. a D. a 2a 3a 3 3 【答案】D 【分析】建立空间直角坐标系,用空间向量求解 【详解】由正方体的性质,AB 1 ∥DC 1 ,D 1 B 1 ∥DB,AB 1 D 1 B 1 B 1 ,DC 1 DBD, 易得平面ABD∥平面BDC , 1 1 1 则两平面间的距离可转化为点B到平面ABD 的距离. 1 1 以D为坐标原点,DA,DC,DD 所在的直线分别为x轴、y轴、z轴 1 建立空间直角坐标系, 资料整理【淘宝店铺:向阳百分百】则Aa,0,0 ,Ba,a,0 ,A a,0,a ,C0,a,0 ,B a,a,a ,D 0,0,a 1 1 1 ⃗ ⃗ ⃗ ⃗ 所以CA a,a,a ,BA0,a,0 ,AB 0,a,a,BD a,a,0 . 1 1 1 1 ⃗ ⃗ ⃗ ⃗ 连接AC,由CA AB a,a,a0,a,a0,CA BD a,a,aa,a,00,且AB I BD B ,可 1 1 1 1 1 1 1 1 1 1 ⃗ 知AC 平面ABD ,得平面ABD 的一个法向量为n1,1,1 , 1 1 1 1 1 ⃗ ⃗ BAn a 3 则两平面间的距离d  ⃗   a. n 3 3 2.空间直角坐标系中A0,0,0 、B1,1,1 、C1,0,0 )、D1,2,1 ,其中A,B,C,D, 已知平面//平面,则平面与平面间的距离为( ) 26 13 3 5 A. B. C. D. 26 13 3 5 【答案】A 【分析】由已知得  A ⃗ B  ,C  D ⃗ ,  A ⃗ C  ,设向量n ⃗ x,y,z 与向量  A ⃗ B  、C  D ⃗ 都垂直,由向量垂直的坐标运算 ⃗ 可求得n,再由平面平行和距离公式计算可得选项. 【详解】解:由已知得  A ⃗ B  1,1,1 ,C  D ⃗ 2,2,1 ,  A ⃗ C  1,0,0 ,设向量n ⃗ x,y,z 与向量  A ⃗ B  、C  D ⃗ 都 垂直,则 (cid:4) (cid:4) nAB0 x+y+z0  n (cid:4) C  D (cid:4) 0 ,即 2x+2y+z0 ,取 x1 , n ⃗ 1,3,4 , ⃗⃗  ACn 11+30+40 26 又平面 平面 ,则平面 与平面 间的距离为d  ⃗   . //    n 1232+42 26 3.正方体ABCDABC D 的棱长为a,则平面ABD 与平面BDC 的距离为 . 1 1 1 1 1 1 1 3 【答案】 a 3 【分析】转化为求点B到平面AB1D1的距离后,建立空间直角坐标系,利用点到面的距离的向量公式可 求得结果. 【详解】∵B 1 D 1 //BD,B 1 D 1 平面BDC 1 ,BD平面BDC 1 ,所以B 1 D 1 //平面BDC 1 , 资料整理【淘宝店铺:向阳百分百】同理AD //平面BDC ,又BD AD D , 1 1 1 1 1 1 所以平面AB D//平面BDC ,则两平行平面间的距离等于点B到平面AB D 的距离. 1 1 1 1 1 以D为坐标原点,DA,DC,DD 所在直线分别为x轴,y轴,z轴建立空间直角坐标系, 1 则A(a,0,0),B(a,a,0),C(0,a,0),A(a,0,a),B(a,a,a),D(0,0,a), 1 1 1 ⃗ ⃗ ⃗ 则AB (0,a,a),BD (a,a,0),BA(0,a,0), 1 1 1 ⃗ 设平面AB D 的一个法向量为n(x,y,z), 1 1 ⃗ (cid:4) nAB 0 ayaz0 则⃗ (cid:4)1 ,即 ,令 ,则 , ,则r , nB 1 D 1 0 axay0 x1 y1 z1 n(1,1,1) ⃗ ⃗ |nBA| |0a0| 3 则点B到平面AB D 的距离d  ⃗   a, 1 1 |n| 111 3 3 所以平面AB D 与平面BDC 的距离为 a. 1 1 1 3 3 故答案为: a 3 【点睛】关键点点睛:利用点到面的距离的向量公式求解是解题关键. 1.(2023年河北省阶段测试数学试题)两平行平面,分别经过坐标原点O和点A1,2,3 ,且两平面的 ⃗ 一个法向量n1,0,1 ,则两平面间的距离是( ) 2 A. B. C. D. 2 2 3 3 2 【答案】A 【分析】由空间向量求解 ⃗ 【详解】∵两平行平面,分别经过坐标原点O和点A(1,2,3),OA(1,2,3), ⃗ 且两平面的一个法向量n (1,0,1), 资料整理【淘宝店铺:向阳百分百】⃗ ⃗ |nOA| 2 ∴两平面间的距离d  ⃗   2. |n| 2 2.在棱长为1的正方体ABCDA 1 B 1 C 1 D 1 中,则平面AB 1 C与平面A 1 C 1 D之间的距离为( ) 3 3 2 3 3 A. B. C. D. 6 3 3 2 【答案】B ⃗ 【分析】建立如图所示的直角坐标系,求得AD(1,0,0)和平面ACD的一个法向量m(1,1,1), 1 1 利用向量的距离公式,即可求解. 【详解】建立如图所示的直角坐标系,则A(1,0,0),C (0,1,0),D(0,0,1),A(1,0,1), 1 1 ⃗ ⃗ ⃗ 所以DA (1,0,1),DC (0,1,1),AD(1,0,0), 1 1 (cid:4) mDA 设平面 的一个法向量 ,则 (cid:4)1 , ACD m(x,y,1) mDC 1 1 1 (cid:4) mDA x10 x1 即 (cid:4)1 ,解得 ,故 , mDC 1  y10 y1 m(1,1,1) 显然平面ABC∥平面ACD, 1 1 1 ⃗ |ADm| 1 3 所以平面 与平面 之间的距离d    . ABC ACD |m| 3 3 1 1 1 【点睛】本题主要考查了空间向量在求解距离中的应用,对于利用空间向量求解点到平面的距离的步骤通 常为:①求平面的法向量;②求斜线段对应的向量在法向量上的投影的绝对值,即为点到平面的距离.空 间中其他距离问题一般都可转化为点到平面的距离求解.着重考查了推理与运算能力,属于基础题. 3.正方体ABCD-A BC D 的棱长为4,M,N,E,F分别为AD,AB,C D,BC 的中点,则平面AMN 1 1 1 1 1 1 1 1 1 1 1 1 与平面EFBD的距离为 . 资料整理【淘宝店铺:向阳百分百】8 【答案】 3 【分析】建立空间直角坐标系,计算平面AMN的一个法向量,然后使用等价转化的思想,面面距转为点 面距,最后计算即可. 【详解】如图所示,建立空间直角坐标系Dxyz, 则A(4,0,0),M(2,0,4),D(0,0,0),B(4,4,0),E(0,2,4), F(2,4,4),N(4,2,4). ⃗ ⃗ ⃗ ⃗ ∴EF=(2,2,0),MN=(2,2,0),AM =(2,0,4),BF=(2,0,4), ⃗ ⃗ ⃗ ⃗ ∴EF MN,BF  AM , ∴EF∥MN,BF∥AM,EF∩BF=F,MN∩AM=M. ∴平面AMN∥平面EFBD. ⃗ 设n=(x,y,z)是平面AMN的一个法向量, (cid:4)(cid:4) n·MN 2x2y0, x2z, 则(cid:4)(cid:4) 解得 n·AM 2x4z0, y2z. ⃗ 取z=1,则x=2,y=-2,得n=(2,2,1). 平面AMN到平面EFBD的距离就是点B到平面EFBD的距离. ⃗ ⃗ |nAB| 8 ∵⃗ =(0,4,0),∴平面AMN与平面EFBD间的距离d= ⃗  . AB |n| 3 8 故答案为: 3 【点睛】本题考查面面距,使用数形结合,形象直观,并采用向量的方法,将几何问题代数化,便于计算, 属基础题. 考点九、向量法求异面直线所成角 1.已知正四面体ABCD,M为BC中点,N为AD中点,则直线BN与直线DM所成角的余弦值为( ) 资料整理【淘宝店铺:向阳百分百】1 2 21 4 21 A. B. C. D. 6 3 21 21 【答案】B 【分析】利用空间向量的线性运算性质,结合空间向量夹角公式进行求解即可. 【详解】设该正面体的棱长为1,因为M 为BC中点,N 为AD中点, ⃗ ⃗ 1 3 所以 BN  DM  12( 1)2  , 2 2 因为M 为BC中点,N 为AD中点, ⃗ ⃗ ⃗ ⃗ 1⃗ 所以有BN BAAN AB AD, 2 ⃗ ⃗ ⃗ ⃗ ⃗ 1⃗ ⃗ ⃗ 1 ⃗ ⃗ ⃗ 1⃗ 1⃗ DM DBBM DAAB BC ADAB (ACAB)AD AB AC, 2 2 2 2 ⃗ ⃗ BNDM ⃗ 1⃗ ⃗ 1⃗ 1⃗ (AB AD)(AD AB AC) 2 2 2 ⃗ ⃗ 1⃗ 2 1⃗ ⃗ 1⃗ 2 1⃗ ⃗ 1⃗ ⃗  ABAD AB  ABAC AD  ABAD ACAD 2 2 2 4 4 1 1 1 1 1 1 1 1 1 11  12 11  12 11  11 2 2 2 2 2 4 2 4 2 1  , 2 ⃗ ⃗ 1 ⃗ ⃗ BNDM  2 2 cosBN,DM ⃗ ⃗   , BN  DM 3 3 3  2 2 2 根据异面直线所成角的定义可知直线BN 与直线 DM 所成角的余弦值为 3 . 2.(2018年全国普通高等学校招生统一考试理数(全国卷II))在长方体ABCDABCD 中, 1 1 1 1 ABBC 1,AA  3,则异面直线AD 与DB 所成角的余弦值为( ) 1 1 1 1 5 5 2 A. B. C. D. 5 6 5 2 【答案】C 【详解】分析:先建立空间直角坐标系,设立各点坐标,利用向量数量积求向量夹角,再根据向量夹角与 线线角相等或互补关系求结果. 详解:以D为坐标原点,DA,DC,DD 为x,y,z轴建立空间直角坐标系,则 1 ⃗ ⃗ D(0,0,0),A(1,0,0),B(1,1, 3),D(0,0, 3),所以AD (1,0, 3),DB (1,1, 3), 1 1 1 1 (cid:4) (cid:4) (cid:4) (cid:4) AD DB 13 5 因为 cos AD 1 ,DB 1   A  D (cid:4)1  D  B (cid:4)1  2 5  5 ,所以异面直线 AD 与 DB 所成角的余弦值为 5 ,选C. 1 1 1 1 5 资料整理【淘宝店铺:向阳百分百】点睛:利用法向量求解空间线面角的关键在于“四破”:第一,破“建系关”,构建恰当的空间直角坐标 系;第二,破“求坐标关”,准确求解相关点的坐标;第三,破“求法向量关”,求出平面的法向量;第 四,破“应用公式关”. 3.如图圆锥的高SO 3,底面直径AB2,C是圆O上一点,且AC 1,则SA与BC所成角的余弦值为 ( ) 3 3 1 1 A. B. C. D. 4 3 4 3 【答案】A ⃗ ⃗ 【分析】建立空间直角坐标系,写出各个点的坐标,利用向量数量积即可求得AS与BC夹角的余弦值. 【详解】 建立如图所示的空间直角坐标系得:  3 1  , , ,C  , ,0 . A(0,1,0) B(0,1,0) S(0,0,3)  2 2  设 ⃗ ⃗ 的夹角为 ,0  AS,BC  2 ⃗ ⃗  3 3  又AS (0,1, 3),BC  , ,0   2 2   ⃗ ⃗ ASBC 3 则cos ⃗ ⃗  |AS|BC| 4  因为0 2 3 即 与 所成角的余弦值为 . SA BC 4 【点睛】本题考查了空间向量的数量积的运算及利用空间向量求异面直线的夹角,属中档题. 资料整理【淘宝店铺:向阳百分百】1.正方体ABCDABCD 中,E,F分别为DC ,BB 的中点,则异面直线AE与FC所成角的余弦值为 1 1 1 1 1 1 1 ( ) 5 4 5 2 5 2 5 A. B. C. D. 15 15 15 15 【答案】D 【分析】建立空间直接坐标系,利用空间向量求解. 【详解】如图,建立空间直接坐标系,设正方体的棱长为2, 因为E,F 分别为DC ,BB 的中点,易知,A(2,0,0),E(0,1,2), 1 1 1 ⃗ ⃗ C(0,2,0),F(2,2,1),所以AE(2,1,2),CF (2,0,1), ⃗ ⃗ AECF 2 5 所以 <⃗ ⃗ >= ⃗ ⃗ =- . cos AE,CF |AE||CF| 15 因为异面直线AE与FC所成角为锐角. 2 5 所以异面直线 与 所成角的余弦值为 .故A,B,C错误. AE FC 15 2.在平行六面体ABCDA 1 B 1 C 1 D 1 中,AB2,AD2,AA 1 4,BADBAA 1 DAA 1 60,则 BC 与CA所成角的正弦值为( ) 1 1 21 3 21 5 7 A. B. C. D. 42 42 14 14 【答案】D ⃗ ⃗ 【分析】先利用基底表示向量BC ,CA ,再利用向量的夹角公式求解. 1 1 ⃗ ⃗ ⃗ ⃗ ⃗ ⃗ ⃗ ⃗ ⃗ 【详解】解:BC  ADAA,CA  AA AC  AA ADAB, 1 1 1 1 1 资料整理【淘宝店铺:向阳百分百】⃗ ⃗ ⃗ ⃗ ⃗ ⃗ ⃗     则BC CA  ADAA  AA ADAB , 1 1 1 1 ⃗ ⃗ ⃗ ⃗ ⃗ ⃗ ⃗ ⃗ ⃗ ⃗ 2 2  ADAA AD ADABAA ADAA ABAA 6, 1 1 1 1 ⃗ ⃗ ⃗ ⃗ ⃗ ⃗ ⃗  2 2 2 BC  ADAA  AD 2ADAA AA 2 7, 1 1 1 1 ⃗ ⃗ ⃗ ⃗ 2  2 CA  AA ADAB , 1 1 ⃗ ⃗ ⃗ ⃗ ⃗ ⃗ ⃗ ⃗ ⃗ 2 2 2  AA AD AB 2AA AD2ABAA 2ADAB 2 3, 1 1 1 ⃗ ⃗ ⃗ ⃗ BC CA 3 cos BC 1 ,CA 1   B  C ⃗1 C  A ⃗1  2 21 , 1 1 ⃗ ⃗  3  2 5 7 所以sin BC 1 ,CA 1  1  2 21    14 . 3.如图,在三棱锥M ABC中,MA平面ABC,ABC是边长为2的正三角形,MA2 3,F 是MC 的中点,则异面直线MB与AF 所成角的余弦值是( ) 3 3 13 5 A. B. C. D. 3 4 3 8 【答案】D 【分析】解法一:可以通过几何法找到异面直线所成角的平面角,结合余弦定理可以求出; 解法二:通过空间向量法,用坐标运算可以求出. 【详解】解法一:设E为BC的中点,连接FE,如图, ∵E是BC的中点, ∴FE∥BM ,MB4,FE 2,AF 2,AE 3; 资料整理【淘宝店铺:向阳百分百】22+22-3 5 在 中,由余弦定理可知cos�AFE = . △AFE 2创2 2 8 5 ∴异面直线 与 所成角的余弦值为 , BE AF 8 解法二:以A为坐标原点,AC ,AM 所在直线分别为 y ,z 轴建立空间直角坐标系如图所示,       易知A0,0,0,B 3,1,0 ,F 0,1, 3 ,M 0,0,2 3 ⃗ ⃗     所以MB 3,1,2 3 ,AF  0,1, 3 , ⃗ ⃗ ⃗ ⃗ MBAF 5 5 则 cos MB,AF  ⃗ ⃗   , MB  AF 42 8 5 ∴异面直线 与 所成角的余弦值为 . BE AF 8 考点十、向量法求直线与平面所成角 1.直三棱柱ABC-A1B1C1中,△ABC为等边三角形, AA1=AB,M是A1C1的中点,则AM与平面 BCCB 所成角的正弦值为( ) 1 1 7 15 85 15 A. B. C. D. 10 10 10 10 【答案】B 【分析】取AC的中点D,以D为原点,BD,DC,DM 所在直线分别为x轴、 y 轴、z 轴,建立空间直角 坐标系,即可根据线面角的向量公式求出. 【详解】如图所示,取AC的中点D,以D为原点,BD,DC,DM 所在直线分别为x轴、 y 轴、z 轴,建 立空间直角坐标系, 资料整理【淘宝店铺:向阳百分百】不妨设 ,则A0,1,0,M0,0,2,B   3,0,0  ,N   3 , 1 ,2  ,  2 2  AC 2   ⃗  3 3  所以⃗ ,平面 的一个法向量为n , ,0 AM 0,1,2 BCCB   2 2   1 1 ⃗ ⃗ 设AM 与平面BCC 1 B 1 所成角为,向量AM 与n所成的角为, ⃗ ⃗ 3 AMn 所以sin cos ⃗ ⃗  2  15 , AM  n 5 3 10 15 即 与平面 所成角的正弦值为 . AM BCCB 10 1 1 2.(2023年广东省模拟考试数学试题)在三棱锥PABC中,PA平面ABC,BAC 90,D,E,F分 别是棱AB,BC,CP的中点,AB AC,PA2AB,则直线PA与平面DEF 所成角的正弦值为 ( ) 2 5 5 3 2 3 A. B. C. D. 5 5 5 5 【答案】B 【分析】建立如图所示的空间直角坐标系,利用直线的方向向量和平面的法向量可求线面角的正弦值. 资料整理【淘宝店铺:向阳百分百】【详解】 因为PA平面ABC,而AB,AC平面ABC, 故PA AB,PA AC,而BAC90,故可建立如图所示的空间直角坐标系, 设 AB 2,则 AC 2, PA 4且P0,0,4,A0,0,0,B2,0,0,C0,2,0 , 故D1,0,0,E1,1,0,F0,1,2 , ⃗ ⃗ ⃗ 故AP0,0,4 ,DE0,1,0 ,EF 1,0,2 , ⃗ 设平面 的法向量为nx,y,z ,则: EFD ⃗ ⃗  nDE0 y0 由⃗ ⃗ 可得 ,取 ,则⃗ , nEF 0 x2z0 z1 n2,0,1 设直线PA与平面DEF 所成角为, ⃗ ⃗ 4 5 则sin cos AP,n   . 4 5 5 3.如图,在正方体ABCDA 1 B 1 C 1 D 1 中,O是AC中点,点P在线段A 1 C 1 上,若直线OP与平面A 1 BC 1 所成 的角为,则sin的取值范围是( ).  2 3 1 1  3 3 1 1 A. ,  B. , C. ,  D. ,  3 3   3 2    4 3   4 3   【答案】A AP 【分析】先设棱长为1, 1 01 ,建立如图坐标系,根据 ⃗ ⃗ 计算点 坐标和向量⃗ , AC APAC P OP 1 1 1 1 1 ⃗ ⃗ ⃗ 再写出平面ABC 的一个法向量DB 的坐标,根据sin cos OP,DB 1 构建关系,求其值域即可. 1 1 1 资料整理【淘宝店铺:向阳百分百】AP 1 01 ⃗ ⃗ 【详解】如图,设正方体棱长为1, ,则 , AC APAC 1 1 1 1 1 以D为原点,分别以DA,DC,DD 1 所在直线为x,y,z轴建立空间直角坐标系. 则A1,0,0,C0,1,0,O    1 2 , 1 2 ,0    ,故  A  1  C ⃗ 1   A ⃗ C  1,1,0,  A  1 ⃗ P,,0,又 A 1 1,0,1,则 P1,,1, ⃗ 1 1  所以OP , ,1. 2 2  在正方体ABCDABCD 中,可知体对角线BD平面ABC , 1 1 1 1 1 1 1 ⃗ 所以DB 1,1,1 是平面ABC 的一个法向量, 1 1 1 1   1 ⃗ ⃗  2      2   1 1 所以sin cos OP,DB   . 1 1  2  1 2  1 2 3     1 6  3 2   2  2 1 3 2 所以当 时, 取得最大值 ,当 或1时, 取得最小值 . 2 sin 3 0 sin 3  2 3 所以sin , . 3 3   【点睛】方法点睛:求空间中直线与平面所成角的常见方法为: (1)定义法:直接作平面的垂线,找到线面成角; (2)等体积法:不作垂线,通过等体积法间接求点到面的距离,距离与斜线长的比值即线面成角的正弦 值; (3)向量法:利用平面法向量与斜线方向向量所成的余弦值的绝对值,即是线面成角的正弦值. 1.正方体ABCDA 1 B 1 C 1 D 1 棱长为2,E是棱AB的中点,F 是四边形AA 1 D 1 D内一点(包含边界),且 ⃗ ⃗ 3 FEFD ,当三棱锥 的体积最大时, 与平面 所成角的正弦值为( ) ABBA 4 FAED EF 1 1 2 5 2 5 5 A. B. C. D. 3 3 5 2 资料整理【淘宝店铺:向阳百分百】【答案】A  1 【分析】建立空间直角坐标系,设出 F0,m,n,利用向量的数量积及体积最大值求得F  0,1, 2   ,从而得 到EF与平面ABB 1 A 1 所成角的正弦值. 【详解】如图,以A为坐标原点,AB,AD,AA 所在直线分别为x,y,z轴,建立空间直角坐标系, 1 则A0,0,0 ,E1,0,0 ,D0,2,0 ,设F0,m,n ,m0,2,n0,2 , (cid:4) (cid:4) 3 则FEFD1,m,n0,2m,nm22mn2  , 4 由于S ADE 为定值,要想三棱锥FAED的体积最大,则F 到底面ADE 的距离最大, 3 1 其中n2  m22mm12  , 4 4 1 所以当 时, 取得最大值 , m1 n2 4 因为n0,2 , 1 所以n的最大值为 , 2  1 (cid:4)  1 所以F0,1, ,EF 1,1, ,  2  2 ⃗ 平面ABBA 的法向量n 0,1,0, 1 1 1 (cid:4) (cid:4) (cid:4) (cid:4) EFn 1 2 1 cosEF,n  (cid:4) (cid:4)   所以 与平面 所成角的正弦值为 1 EF  n 1 3 1 11 EF ABB 1 A 1 4  2.平行六面体 中,AABAADBAD ,AB AD AA ,则 与底面 ABCDABCD 1 1 3 1 BD ABCD 1 1 1 2 1 所成的线面角的正弦值是( ) 3 6 3 A. B. C.1 D. 3 3 2 2 【答案】A 【分析】连接AC,BD相交于点O,依题意可得BD平面AA 1 C 1 C,从而得到平面AA 1 C 1 C 平面ABCD, 资料整理【淘宝店铺:向阳百分百】则AAC是AA 与底面ABCD所成角,利用锐角三角函数求出cosAAO,建立如图所示空间直角坐标系, 1 1 1 求出A点的坐标,即可得到D 点的坐标,利用空间向量法求出线面角的正弦值. 1 1 【详解】解:如图所示,连接AC,BD相交于点O,连接A 1 O.  平行六面体 中AABAADBAD ,且 ,  ABCDA 1 B 1 C 1 D 1 1 1 3 AB AD AA 1 AB AD AA 2 不妨令 1 AA 1 B,△AA 1 D,△ABD都是等边三角形.A 1 BD是等边三角形. ACBD,A 1 OBD,A 1 OACO,A 1 O,AC平面AA 1 C 1 C BD平面AA 1 C 1 C,BD平面ABCD,平面AA 1 C 1 C 平面ABCD, 1 2 3 是 与底面 所成角.因为 , ,所以cosAAO  . 1 3 3 A 1 AC AA 1 ABCD AA 1 2 AO 3A 1 O 2  3 2 6 如图建立空间直角坐标系,则 A  3,0,0 , B0,1,0 , D0,1,0 ,A 1   3 ,0, 3   ,   其中A 1 的坐标计算如下,过A 1 作A 1 E AC交AC于点E, 3 AE 2 3 因为cosAAO ,cosAAO ,所以AE AA cosAAO , 1 3 1 AA 1 1 3 1 2 2 3 2 6 所以 2 3 3 ,AE AA2AE2  22   , OEOAAE 3  1 1  3  3 3 3    2 3 2 6 ⃗  2 3 2 6 因为 A  D ⃗   A ⃗ D  ( 3,1,0) ,所以D 1     3 ,1, 3    ,所以BD 1     3 ,2, 3    , 1 1 ⃗ 显然平面ABCD的法向量为n0,0,1,设BD 与底面ABCD所成的角为, 1 ⃗⃗  2 6 BD n 则sin ⃗⃗  1  3  3 BD  n 2 2 3 1 资料整理【淘宝店铺:向阳百分百】3.(2023年湖南省模拟数学试题)PA,PB,PC是从点P出发的三条射线,每两条射线的夹角均为60,那 么直线PC与平面PAB所成角的余弦值是( ) 6 3 2 A. B. C. D.1 3 3 2 2 【答案】B 【分析】作图,找到直线PC在平面PAB上的投影在构建多个直角三角形,找出边与角之间的关系,继而 得到线面角;也可将PA,PB,PC三条射线截取出来放在正方体中进行分析. 【详解】解法一: 如图,设直线PC在平面PAB的射影为PD, 作CGPD于点G ,CH PA于点H ,连接HG, 易得CGPA,又CHCGC,CH,CG平面CHG,则PA平面CHG,又HG平面CHG,则 PAHG,  PH cosCPA   PC 有 PG PH PH cosCPDcosAPD    PC PG PC 故cosCPAcosCPDcosAPD. 已知APC 60,APD30, cosCPA cos60 3 故cosCPD   为所求. cosAPD cos30 3 解法二: 如图所示,把PA,PB,PC放在正方体中,PA,PB,PC的夹角均为60. 资料整理【淘宝店铺:向阳百分百】建立如图所示的空间直角坐标系,设正方体棱长为1, 则P(1,0,0),C(0,0,1),A(1,1,1),B(0,1,0), ⃗ ⃗ ⃗ 所以PC (1,0,1),PA(0,1,1),PB(1,1,0), ⃗ ⃗  nPA yz0 设平面 的法向量 ⃗ ,则⃗ ⃗ PAB n(x,y,z) nPBxy0 ⃗ 令x1,则y=1,z=- 1,所以n(1,1,1), ⃗ ⃗ ⃗ ⃗ PCn 2  6 所以cosPC,n ⃗ ⃗   . |PC||n| 2 3 3 ⃗ ⃗ 6 设直线 与平面 所成角为 ,所以sin|cosPC,n| , PC PAB  3 3 所以cos 1sin2 . 3 考点十一、向量法求平面与平面所成角 1.在正方体ABCD-A1B1C1D1中,点E为BB1的中点,则平面A1ED与平面ABCD所成角的正弦值为 ( ) 5 3 2 A.1 B. C. D. 2 3 3 2 【答案】B 【分析】建立直角坐标系,用空间向量求解两平面的夹角. 【详解】以A为原点,AB,AD,AA 所在直线分别为x轴,y轴,z 轴,建立如图所示的空间直角坐 1  1 标系,设棱长为1,则 A 1 0,0,1,E  1,0, 2   , D0,1,0, 资料整理【淘宝店铺:向阳百分百】∴  A  1  D ⃗ 0,1,1,  A  1 ⃗ E    1,0, 1 2    ⃗ 设平面AED的法向量为n x,y,z , 1 1 (cid:4) (cid:4) 1 AEn x z0 则有 1 1 2 令 得: , (cid:4) (cid:4)  A 1 Dn 1  yz0 x1 z2 y2 ⃗ ∴n 1,2,2 . 1 ∵平面ABCD的法向量为n (0,0,1), 2 ⃗ ⃗ ∴ cos ⃗ n  1 ,n ⃗ 2  ⃗ n  n 1 1   n n ⃗2 2  2 3 ,则sin ⃗ n  1 ,n ⃗ 2  1    2 3    2  3 5 , 5 故平面 与平面 所成角的正弦值为 . A 1 ED ABCD 3 2.若在正方体ABCDABCD 中,点E是BB的中点,则二面角EADD的平面角的正切值为 ( ). A. 2 B.2 C. 5 D.2 2 【答案】B 【分析】建立空间直角坐标系,利用空间向量进行求解二面角的余弦值,进而求出正切值. 【详解】以A为坐标原点,AB所在直线为x轴,AD所在直线为 y 轴,AA所在直线为z 轴建立空间直  a 角坐标系,设正方体棱长为 a ,则E  a,0, 2   , A0,0,a, D0,a,a, D0,a,0,设平面 EAD 的法向量 (cid:4) (cid:4) a mAEax z0 为⃗ m  x,y,z ,则  m (cid:4)   A    D (cid:4) ay 2 0 ,解得: y0 ,令 x1 ,则 z2 ,所以 ⃗ m  1,0,2 ,平面 ADD 的 r 法向量为n1,0,0,设二面角 EADD 的平面角为,可以看出为锐角,则 ⃗⃗  mn 1,0,21,0,0 5 cos ⃗⃗    ,则 2 5 ,故 sin . m  n 5 5 sin 1cos2 tan 2 5 cos 资料整理【淘宝店铺:向阳百分百】3.(2023年江苏省模拟数学试题)如图所示,正方体ABCDA 1 B 1 C 1 D 1 的棱长为2,点E,F 分别是 BC,CC 中点,则二面角FAEC的正切值为( ) 1 5 2 5 5 A. B. C. D. 2 1 5 3 【答案】A 【分析】以点D为原点,分别以DA,DC,DD 1 所在直线分别为x,y,z轴,建立空间直角坐标系,求 出两平面的法向量,利用夹角公式求出余弦值,进而可得答案. 【详解】以点D为原点,分别以DA,DC,DD 1 所在直线分别为x,y,z轴,建立空间直角坐标系, 则D(0,0,2),E(1,2,0),F(0,2,1),A(2,0,0),C(0,2,0), 1 ⃗ ⃗ 则AE(1,2,0),AF (2,2,1), 设平面AEF 的法向量n ⃗ (x,y,z), ⃗ ⃗  nAE x2y0 则⃗ ⃗ ,令 ,则 ,1, , nAF 2x2yz0 x2 n ⃗ (2 2) ⃗ 又因为平面CAE的一个法向量m(0,0,1), ⃗⃗ ⃗⃗ mn 1 2 cosm,n ⃗⃗   , |m||n| 1 9 3 设FAEC的大小为,有图可知为锐角, 2 5 5 则cos sin tan , 3 3 2 资料整理【淘宝店铺:向阳百分百】1.二面角的棱上有A、B两点,直线AC、BD分别在这个二面角的两个半平面内,且都垂直于AB,已知 AB2,AC3,BD4,CD 17,则该二面角的大小为( ) A.30° B.45° C.60° D.120° 【答案】C ⃗ ⃗ ⃗ ⃗ ⃗ ⃗ 【分析】将向量CD转化成CDCAABBD,然后等式两边同时平方表示出向量CD的模,再根据向量 ⃗ ⃗ ⃗ ⃗ 的数量积求出向量CA与BD的夹角,而向量CA与BD的夹角就是二面角的补角. ⃗ ⃗ ⃗ ⃗ ⃗ ⃗ ⃗ ⃗ 【详解】由条件,知CAAB0,ABBD0,CDCAABBD. ⃗ ⃗ ⃗ ⃗ ⃗ ⃗ ⃗ ⃗ ⃗ ⃗ |CD|2|CA|2 |AB|2 |BD|2 2CAAB2ABBD2CABD 2 32 22 42 234cosCA,BD  17 , 1 ⃗ ⃗ cosCA,BD  ,即 ,所以二面角的大小为 CA,BD 120 2 60 2.在二面角的棱上有两个点A、B,线段AC、BD分别在这个二面角的两个面内,并且都垂直于棱AB, 若AB1,AC 2,BD3,CD2 2,则这个二面角的大小为( ) A.30 B.45 C.60 D.90 【答案】C ⃗ ⃗ ⃗ ⃗ 【分析】设这个二面角的度数为,由题意得CDCAABBD,从而得到cos,由此能求出结果. 【详解】设这个二面角的度数为, ⃗ ⃗ ⃗ ⃗ 由题意得CDCAABBD, ⃗ ⃗ ⃗ ⃗ ⃗ ⃗ 2 2 2 2 CD CA AB BD 2CABD cos(), (2 2)2 419223cos, 资料整理【淘宝店铺:向阳百分百】1 解得cos ,∴ ,∴这个二面角的度数为 . 2 60 60 【点睛】本题考查利用向量的几何运算以及数量积研究面面角. 3.(2023年天津质量监测数学试题)如图,在直三棱柱ABC- ABC 中,ACBC,AC 2, 1 1 1 BC CC 1 4,点D是棱AB的中点,则平面ABB 1 A 1 与平面B 1 CD所成角的正弦值为( ) 30 70 30 6 A. B. C. D. 10 10 6 6 【答案】B 【分析】建系,求两平面的法向量,利用空间向量解决面面夹角问题. 【详解】如图,以C为坐标原点建立空间直角坐标系,则A2,0,0,C0,0,0,B0,4,0,D1,2,0,B 0,4,4 , 1 ⃗ 设平面ABBA 的法向量nx,y,z , 1 1 ⃗ ⃗  nBA2x4y0 ∵ ,则⃗ ⃗ , BA(2,4,0),BB (0,0,4) nBB 4z0 1 1 令x2,则y1,z0, ⃗ ∴n2,1,0 , ⃗ 同理可得:平面BCD的法向量m2,1,1 , 1 nm 3 30 cosn,m    故 , n m 5 6 10  π 30 设平面 ABBA 与平面 BCD 所成角为   0, 2   ,则cos 10 , 1 1 1 70 故平面 与平面 所成角的正弦值sin 1cos2 . ABBA BCD 10 1 1 1 资料整理【淘宝店铺:向阳百分百】【基础过关】 ⃗ ⃗ 1.(2023年湖南省模拟考试数学试题)在四棱锥PABCD中,PA1,2,2 ,AB1,2,3 , ⃗ AC 0,1,2 ,则该四棱锥的高为( ) 30 7 6 30 7 6 A. B. C. D. 2 2 6 6 【答案】D ⃗ 【分析】先计算出平面ABCD的法向量,再计算出PA与平面ABCD所成角的正弦值sin,然后根据四棱 ⃗ 锥PABCD的高为h PAsin即可计算结果. ⃗ 【详解】设平面ABCD的法向量为nx,y,z , (cid:4) (cid:4) n AB x2y3z0 则(cid:4) (cid:4) ,即 , n AC y2z0 ⃗ 令y2,可得x=1,z1,则n1,2,1 . ⃗ ⃗ ⃗ ⃗ nPA 7 6 cos n,PA  ⃗ ⃗  . n PA 18 7 6 设 与平面 所成的角为 :则sin . AP ABCD  18 ⃗ 7 6 7 6 故 到平面 的距离为 PAsin ,即四棱锥 的高为 . P ABCD 18 PABCD 6 2.如图,正方体ABCDABCD 的棱长为4,点M是棱AB的中点,点P是底面ABCD内的动点,且P 1 1 1 1 到平面ADDA的距离等于线段PM的长度,则线段BP长度的最小值为 . 1 1 1 【答案】2 6 【分析】根据抛物线的定义,可知点P是以M 为焦点,以AD 为准线的抛物线,然后根据空间中两点的 距离来求解. 【详解】由P到平面ADD 1 A 1 的距离等于线段PM的长度,可知点P是以M 为焦点,以AD 为准线的抛物 资料整理【淘宝店铺:向阳百分百】线.以AM 中点为坐标原点,建立如图所示的空间直角坐标系. M1,0,0 B 3,0,4 ,设Px,y,0 1 点 的方程为:y2 4x,0x3 P BP= x32y216= x22x25 1 当x1时,B 1 P长度最小为2 6 故答案为: 2 6 3.(2023年上海市模拟数学试题)已知空间中三点A0,1,0 ,B2,2,0 ,C1,3,1 ,则下列说法错误的 是( ) 2 5 5  A.⃗ 与⃗ 不是共线向量 B.与⃗ 同向的单位向量是  , ,0  5 5 AB AC AB   55 C. A ⃗ B  和 B  C ⃗ 夹角的余弦值是 11 D.平面 ABC 的一个法向量是1,2,5 【答案】C 【分析】根据向量共线定理可判断A;根据单位向量的概念可判断B;由向量夹角的余弦公式可判断C; 根据法向量的特征可判断D. ⃗ ⃗ 2 1 0 【详解】对于A,AB2,1,0,AC 1,2,1,由于   , 1 2 1 ⃗ ⃗ 所以AB与AC不是共线向量,故A正确; ⃗ AB 2 5 5  对于B,⃗ , ⃗  , ,0,故B正确; AB2,1,0 AB  5 5  ⃗ ⃗ 对于C,AB2,1,0 ,BC 3,1,1 , ⃗ ⃗ ⃗ ⃗ ABBC 5 55 cos AB,BC  ⃗ ⃗   ,故C错误; AB  BC 5 11 11 ⃗ ⃗ ⃗ 对于D,AB2,1,0 ,AC 1,2,1 ,设平面ABC的法向量nx,y,z , 资料整理【淘宝店铺:向阳百分百】(cid:4) (cid:4)  nAB2xy0 则 n (cid:4)   A (cid:4) C  x2yz0 ,取 x1 ,得 n ⃗ 1,2,5 ,故D正确, ⃗ 4.已知a1,1,1 为平面的一个法向量,A1,0,0 为内的一点,则点D1,1,2 到平面的距离为 ( ) 6 5 A. B. C. D. 3 2 2 3 【答案】A 【分析】根据给定条件,利用点到平面的向量求法,列式计算作答. ⃗ ⃗ 【详解】依题意,AD(0,1,2),而a1,1,1 为平面的一个法向量, ⃗ ⃗ |aAD| 3 所以点 到平面 的距离d  ⃗   3. D1,1,2  |a| 3 5.在正方体ABCDA 1 B 1 C 1 D 1 中,E为A 1 B 1 的中点,则异面直线D 1 E和BC 1 间的距离 . 2 6 【答案】 3 【分析】以D为原点,建立空间直角坐标系,求D 1 E和BC 1 公垂线上的向量,代异面直线间的距离公式得 解. ⃗ 【详解】解:设正方体棱长为2,以D为原点,建立如图所示的空间直角坐标系,则D 1 E(2,1,0), ⃗ ⃗ nDE0 20 2 ⃗ ,设 和 公垂线段上的向量为 ⃗ ,则{ ⃗  1⃗ ,即 , , CB(2,0,2) DE BC n(1,,) nCB0 220 1 1 1 1 1 ⃗ ⃗ DC n 4 2 6 ⃗ ,又⃗ , 1 ⃗ 1   ,所以异面直线 和 间的距离为 2 6 . n(1,2,1) DC (0,2,0) n 6 3 DE BC 3 1 1 1 1 2 6 故答案为: . 3 6.(2023年河南省联考(B卷)数学试题)如图,已知四棱锥PABCD的底面ABCD是边长为4的菱形,  且DAB , 底面 ,若点 到平面 的距离为 ,则 ( ) 3 PD ABCD D PAC 2 PD 资料整理【淘宝店铺:向阳百分百】A.2 2 B. 2 C.1 D.2 【答案】D 【分析】建立空间直角坐标系,利用坐标法求解即可.  【详解】设 为 中点,因为底面 是边长为4的菱形,且DAB ,所以 ,而 E BC ABCD 3 DEBC AD∥BC ,所以DE  DA ; ⃗ ⃗ 以D为坐标原点,以DA,DP的方向分别为x,z 轴的正方向建立如图所示的空间直角坐标系Dxyz,   设 ,则P0,0,a,A4,0,0,C 2,2 3,0 . PDa ⃗ ⃗ ⃗   设nx,y,z是平面PAC的法向量,因为PA4,0,a,AC  6,2 3,0 , ⃗ (cid:4)  nPA4xaz0 则⃗ (cid:4) ,令 ,得⃗  . nAC6x2 3y0 xa n a, 3a,4 ⃗⃗  DAn 4a 设点 到平面 的距离为 ,.因为⃗ ,所以d  ⃗   2,得 . D PAC d DA4,0,0 n 4a216 a2 7.如图,在正方体ABCDA 1 B 1 C 1 D 1 中,E,F 分别为棱A 1 B 1 ,BC的中点,则EF与平面A 1 BC 1 所成角的正 弦值为 . 资料整理【淘宝店铺:向阳百分百】2 【答案】 3 【分析】以DA,DC,DD 分别为x,y,z轴建立空间直角坐标系.求出平面ABC 的一个法向量,由向量法求解 1 1 1 线面角. 【详解】在正方体ABCDABCD 中以DA,DC,DD 分别为x,y,z轴建立空间直角坐标系. 1 1 1 1 1 设正方体ABCDABCD 的棱长为2,则E(2,1,2),F(1,2,0),B(2,2,0),A(2,0,2),C (0,2,2). 1 1 1 1 1 1 ⃗ ⃗ ⃗ 所以AC (2,2,0),BA (0,2,2),FE (1,1,2), 1 1 1 ⃗(cid:4) n.AC 0 2x2y0 设平面 的一个法向量为 ⃗ ,则⃗1(cid:4)1 ,即 ,取 ,则 ⃗ ,设 A 1 BC 1 n(x,y,z) n.BA 1 0 2y2z0 y1 n(1,1,1) EF 与平面ABC 所成角为, 1 1 ⃗ ⃗ |n ⃗   F  E ⃗ | 2 2 则sin|cosn,FE| ⃗ ⃗   . |n||FE| 3 6 3 2 故答案为: 3 8.已知长方体ABCDABCD 中,ABBC 4,CC 2,则平面ABC 与平面ABCD所成的锐二面角 1 1 1 1 1 1 1 的余弦值为( ) 6 3 2 A. B. C. D.1 3 3 2 2 【答案】A ⃗ 【分析】建立空间直角坐标系,求得平面ABC 的一个法向量为mx,y,z,易知平面ABCD的一个法向 1 1 ⃗⃗  ⃗⃗ m  n 量为⃗ ,由 cos m,n  ⃗⃗  求解. n0,0,1 m n 【详解】建立如图所示空间直角坐标系: 资料整理【淘宝店铺:向阳百分百】则A4,0,2,B4,4,0,C 0,4,2, 1 1 ⃗ ⃗ 所以AB0,4,2,AC4,4,0, 1 1 ⃗ 设平面ABC 的一个法向量为mx,y,z, 1 1 (cid:4) (cid:4) ABm0 4y2z0 则1(cid:4) (cid:4) ,即 , A 1 Cm0 4x4y0 ⃗ 令 ,则m1,1,2 , z2 ⃗ 易知平面ABCD的一个法向量为n0,0,1, ⃗⃗  ⃗⃗ m  n 2 6 所以 cos m,n  ⃗⃗    , m  n 6 3 6 所以平面 与平面 所成的锐二面角的余弦值为 . ABC ABCD 3 1 1 9.将边长为 2的正方形ABCD沿对角线BD折成直二面角,则点D到平面ABC的距离为 . 2 3 2 【答案】 / 3 3 3 【分析】建立空间直角坐标系,由向量法计算可得. 【详解】记AC与BD的交点为O,图1中,由正方形性质可知ACBD,  所以在图2中,OB AC,OD AC,所以BOD 2 ,即 OBOD 如图建立空间直角坐标系,易知OAOBOC OD1 则A(0,0,1),B(0,1,0),C(1,0,0),D(0,1,0) ⃗ ⃗ ⃗ 则AB(0,1,1),AC(1,0,1),BD(0,2,0) ⃗ 设n(x,y,z)为平面ABC的法向量, (cid:4) (cid:4) ABnyz0 则(cid:4) (cid:4) ,取 ,得⃗ ACnxz0 x1 n(1,1,1) ⃗⃗  BDn 2 2 3 所以点 到平面 的距离d  ⃗   n 3 3 D ABC 资料整理【淘宝店铺:向阳百分百】2 3 故答案为: 3 10.在如图所示的六面体中,四边形ADEH 和BCFG均为直角梯形,A,D,C,B为直角顶点,其他四 个面均为矩形,ABBG3,FC 4,BC1,则平面EFGH 与平面ABCD所成的角为( ) A.30° B.45° C.135° D.45°或135° 【答案】B ⃗ 【分析】由题意,DA,DC,DE两两垂直,以点D为原点建系,平面ABCD的一个法向量为DE,再用 ⃗ ⃗ ⃗ ⃗ nDE 向量法求出平面 的法向量⃗,则由 cos n,DE  ⃗ ⃗ 可得到所求两面角 n DE EFGH n 【详解】因为四边形ADEH 和BCFG均为直角梯形,A,D,C,B为直角顶点,其他四个面均为矩形, 所以这个六面体是四棱柱,由题意可知DA,DC,DE两两垂直,以点D为原点建系如图, 则E0,0,4 ,G1,3,3 ,C0,3,0 ,H1,0,3 , ⃗ ⃗ 则EH 1,0,1 ,HG0,3,0 , ⃗ 根据题意可知 DE 平面ABCD,所以DE0,0,4 ,即为平面ABCD的一个法向量, ⃗ 设nx,y,z 为平面EFGH 的法向量, (cid:4) (cid:4) nEH xy0, 则(cid:4) (cid:4) nHG3y0 取x1,则z1,y0, ⃗ 则n1,0,1 为平面EFGH 的一个法向量, 资料整理【淘宝店铺:向阳百分百】⃗ ⃗ ⃗ ⃗ nDE 4 2 则 cos n,DE  ⃗ ⃗   , n DE 24 2 所以平面EFGH 与平面ABCD所成的角为45°, 故选:B. 11.在三棱锥O-ABC中,OA、OB、OC两两垂直,OA3,OB4,OC 5,D是AB的中点,则CD与平 面OAB所成的角的正切值为 . 【答案】2 ⃗ 【分析】由已知建立空间直角坐标系,求出CD的坐标和平面OAB的法向量,由数量积公式可得CD与平 面OAB所成的角的正弦值,再由三角函数平方关系和商数关系可得答案. 【详解】因为OC、OA、OB两两垂直, 所以以O为原点,OA、OB、OC分别为x、y、z轴的正半轴建立如 图所示空间直角坐标系,连接CD, 3  所以A3,0,0, B0,4,0, C0,0,5,D 2 ,2,0  , ⃗ 3  CD ,2,5,由于 底面 ,所以⃗ 是底面 的法向量, 2  CO OAB CO OAB 且 C  O ⃗ 0,0,5 ,设 CD 与平面 OAB 所成的角为        0,  2       , ⃗ ⃗ ⃗ ⃗ COCD 25 2 sin cos CO,CD  ⃗ ⃗   所以 , CO CD 9 5 5 425 4 1 sin 所以cos 1sin2 ,所以tan 2. 5 cos 即CD与平面OAB所成的角正切值为2. 故答案为:2. 【点睛】本题考查了线面角的求法,解题关键点是建立空间直角坐标系利用向量的数量积公式求解,考查 了学生的空间想象力和计算能力. 资料整理【淘宝店铺:向阳百分百】12.如图,在长方体ABCDA 1 B 1 C 1 D 1 中,AA 1  AB2,BC1,E、F 、H 分别是AB、CD、A 1 B 1 的中点, 则直线EC到平面AFH 的距离为 . 2 【答案】 3 【分析】以D为原点,DC,DA,DD 1 所在直线分别为x轴,y轴,z轴建立空间直角坐标系,得到A, C,E,F,H各点坐标,由向量可判定EC//平面AFH ,则将问题转化为点E到平面AFH 的距离,先求得 ⃗ ⃗ AEn 平面 的法向量,再根据距离d  ⃗ 求解即可. n AFH 【详解】以D为原点,DC,DA,DD 1 所在直线分别为x轴,y轴,z轴建立空间直角坐标系,如图所示, 由题,则A0,1,0 ,C2,0,0 , 因为E、F 、 H 分别是AB、CD、A 1 B 1 的中点, 所以E1,1,0 ,F1,0,0 ,H1,1,2 , ⃗ ⃗ 则EC  AF 1,1,0 ,所以EC//AF,所以EC//平面AFH ,所以点E到平面AFH 的距离即为直线EC到 平面AFH 的距离, (cid:4) ⃗ AFn0 设平面 AFH 的法向量为 n r x,y,z ,则   A (cid:4) H  n ⃗ 0 , xy0 ⃗ 因为 ,所以 ,取 ,则 , , AH 1,0,2 x2z0 x2 y2 z1 资料整理【淘宝店铺:向阳百分百】⃗ 所以n2,2,1 是平面 的一个法向量, AFH ⃗ ⃗ AEn 2 又向量⃗ ,所以点E到平面 的距离为 ⃗  , AE1,0,0 n 3 AFH 2 即直线 到平面 的距离为 . EC AFH 3 2 故答案为: 3 13.如图,正三角形ACB与正三角形ACD所在平面互相垂直,则二面角BCDA的余弦值是 ( ) 1 2 3 5 A. B. C. D. 2 2 3 5 【答案】D 【分析】取AC 的中点E,连接 BE,DE ,证明BE垂直于平面ACD,以点E为原点建立空间直角坐标系, 分别求出平面BCD和平面CDA的法向量,利用空间向量公式即可求出所求二面角的余弦. 【详解】 如图示,取AC 中点E,连结BE,DE,在正三角形ACB与正三角形ACD中, BE  AC ,DE  AC,因为面ACB⊥面ACD,面ACB面ACD=AC,所以BE 面ADC, ⃗ ⃗ ⃗ 以E为原点,ED为x轴正方向,EC为 y 轴正方向,EB为z 轴正方向,建立空间直角坐标系,设 AC 2,则 E0,0,0,D  3,0,0  ,C0,1,0,A0,1,0,B  0,0, 3  , ⃗   平面ACD的一个法向量为EB 0,0, 3 ⃗   ⃗   ⃗ 而CB 0,1, 3 ,CD 3,1,0 ,设nx,y,z为面BCD的一个法向量,则: 资料整理【淘宝店铺:向阳百分百】n (cid:4) ·C (cid:4) B  0  y 3z0 (cid:4)(cid:4) 即  ,不妨令 ,则   n·DC 0 y 3x0 x1 n 1, 3,1 设二面角BCDA的平面角为,则为锐角, 所以cos|cos  E ⃗⃗ B  ,n ||   E    ⃗⃗ B  ⃗⃗  n || 3 | 5 . |EB||n| 3 5 5 【点睛】向量法解决立体几何问题的关键: (1)建立合适的坐标系; (2)把要用到的向量正确表示; (3)利用向量法证明或计算. 14.在棱长为1的正方体ABCDA 1 B 1 C 1 D 1 中,平面AB 1 C与平面A 1 C 1 D间的距离是 . 3 【答案】 3 【分析】以点A为坐标原点,AB、AD、AA 1 所在直线分别为x、y、z轴建立空间直角坐标系,证明出 平面ABC//平面ACD,利用空间向量法可求得平面ABC与平面ACD间的距离. 1 1 1 1 1 1 【详解】以点A为坐标原点,AB、AD、AA 1 所在直线分别为x、y、z轴建立如下图所示的空间直角坐 标系, 则A0,0,0 、B 1,0,1 、C1,1,0 、D0,1,0 、A 0,0,1 、C 1,1,1 , 1 1 1 ⃗ ⃗ ⃗ 设平面ABC的法向量为mx,y,z  ,AB 1,0,1 ,AC 1,1,0 , 1 1 1 1 1 (cid:4) (cid:4) mAB x z 0 由 m (cid:4)   A (cid:4) C 1 x 1 y 1 0 ,取 x 1 ,可得 ⃗ m  1,1,1 , 1 1 1 资料整理【淘宝店铺:向阳百分百】⃗ ⃗ ⃗ 设平面ACD的法向量为nx ,y ,z  ,DA 0,1,1 ,DC 1,0,1 , 1 1 2 2 2 1 1 (cid:4) (cid:4) nDA y z 0 由(cid:4) (cid:4)1 2 2 ,取 ,可得r , nDC x z 0 x 1 n1,1,1 1 2 2 2 ⃗⃗  因为mn,平面ABC与平面ACD不重合,故平面ABC//平面ACD, 1 1 1 1 1 1 ⃗ ⃗ ADm 1 3 ,所以,平面 与平面 间的距离为d  ⃗   . AD  0,1,0  ABC ACD m 3 3 1 1 1 3 故答案为: . 3 15.已知直三棱柱ABC- A 1 B 1 C 1 的所有棱长都相等,M 为A 1 C 1 的中点,则AM 与BC 1 所成角的正弦值为 ( ) 15 5 6 10 A. B. C. D. 3 3 4 4 【答案】C ⃗ 【分析】取线段AC的中点O,则BOAC,设直三棱柱ABC- A 1 B 1 C 1 的棱长为2,以点O为原点,OB、 ⃗ ⃗ OC、AA 1 的方向分别为x、y、 z 的正方向建立空间直角坐标系,利用空间向量法结合同角三角函数的基 本关系可求得结果. 【详解】取线段AC的中点O,则BOAC,设直三棱柱ABC- A 1 B 1 C 1 的棱长为2, ⃗ ⃗ ⃗ 以点O为原点,OB、OC、AA 1 的方向分别为x、y、 z 的正方向建立如下图所示的空间直角坐标系,   则A0,1,0、M0,0,2、B 3,0,0 、C 0,1,2, 1 ⃗ ⃗ ⃗ ⃗ AMBC 5 10 所以, A  M ⃗ 0,1,2 , B  C ⃗    3,1,2 , cos AM,BC 1   A  M ⃗   B  C ⃗1  52 2  4 . 1 1 ⃗ ⃗ ⃗ ⃗ 6 所以,sin AM,BC  1cos2  AM,BC   . 1 1 4 【能力提升】 1.在四棱锥PABCD中,PD面ABCD,底面ABCD为矩形,PDDC4,DA3,M 为PC中点, 资料整理【淘宝店铺:向阳百分百】则异面直线PA与BM 之间的距离为 . 6 34 6 【答案】 / 34 17 17 【分析】设线段EF为异面直线PA与BM 的公垂线段,则线段EF的长即为异面直线PA与BM 之间的距离, 以A为原点建立空间直角坐标系如图所示,利用向量共线表示出点E,F 的坐标,再利用线线垂直求出点 E,F 的坐标,则线段EF的长可求出. 【详解】解:如图,设线段EF为异面直线PA与BM 的公垂线段,则线段EF的长即为异面直线PA与BM 之间的距离,以A为原点建立空间直角坐标系如图所示: 则A(3,0,0),B(3,4,0),P(0,0,4),C(0,4,0),D(0,0,0),M(0,2,2), ⃗ ⃗ AP3,0,4,BM 3,2,2 ⃗ ⃗ 设Em,0,n ,PEPA, m,0,n43,0,4 ,m3,n44, E3,0,44 , ⃗ ⃗ 设Fp,r,s ,BF BM , p3,r4,s3,2,2 ,p33,r24,s2, F33,24,2 , ⃗ EF 333,24,244 , 资料整理【淘宝店铺:向阳百分百】⃗ ⃗ 又AP3,0,4,BM 3,2,2 ⃗ ⃗  EFAP0 ⃗ ⃗ , EFBM 0 999816160  , 999484880 0  解得 25,    17 ⃗  24 18 18 即EF  , ,   17 17 17 ⃗  24 2 18 2  18 2 6 34 EF         .  17 17  17 17 6 34 即异面直线 与 之间的距离为 . PA BM 17 6 34 故答案为: . 17 2.如图,在棱长为2的正方体中,点P在正方体的对角线AB上,点Q在正方体的棱CD上,若P为动点, Q为动点,则PQ的最小值为 . 【答案】 2 【分析】建立空间直角坐标系,利用A,B,P三点共线设出点P(λ,λ,2﹣λ),0≤λ≤2,以及Q(0,2,μ), 0≤μ≤2,根据两点间的距离公式,以及配方法,即可求解. 【详解】建立如图所示空间直角坐标系,设P(λ,λ,2﹣λ), Q(0,2,μ)(0≤λ≤2且0≤μ≤2), 可得PQ= 2(2)2(2)2  2(1)2(2)22, ∵2(λ﹣1)2≥0,(2﹣λ﹣μ)2≥0,∴2(λ﹣1)2+(2﹣λ﹣μ)2+2≥2, 当且仅当λ﹣1=2﹣λ﹣μ=0时,等号成立,此时λ=μ=1, ∴当且仅当P、Q分别为AB、CD的中点时, 资料整理【淘宝店铺:向阳百分百】PQ的最小值为 2. 故答案为: 2. 【点睛】本题考查空间向量法求两点间的距离,将动点用坐标表示是解题的关键,考查配方法求最值,属 于中档题. 3.(2017年普通高等学校招生全国统一考试(浙江卷))已知三棱锥ABCD的所有棱长都相等,若AB  与平面 所成角等于 ,则平面 与平面 所成角的正弦值的取值范围是( )  3 ACD  3 6 3 6 3 6  A. ,  B. ,1 6 6 6      2 3 2 3  2 3  C.  ,   D.  ,1 2 6 2 6 2 6     【答案】A 【分析】设出三棱锥ABCD的边长,设E是CD的中点,求得cosBAE和sinBAE,由此判断出      BAE .设平面 与平面 所成二面角的平面角为 ,由  BAE 和 4 3 ACD   min 2  6       BAE  ,结合三角函数恒等变换,求得 的取值范围,由此得出正确选项. max 2  6 2 sin 【详解】如图,在三棱锥ABCD中,E是CD的中点,不妨设其边长为2,则 AB AC  ADBC BDCD2,CE DE 1,∴AEBE 3.根据余弦定理,有 BA2AE2BE2 2233 3 1 6 cosBAE    ,∴sinBAE  1cos2BAE  1  ,∴ 2BAAE 22 3 3 3 3   BAE .由题可知当平面 与平面 所成二面角的平面角 取最值时,平面 平面 . 4 3 ACD    ABE  ur    ur 当 最小时, 与平面 所成角为 ,则 与平面 的法向量 所成角为   ,∴ 与 所成  AB  3 AB  n 1 2 3 6 AE n 1       角为BAE ,而平面 与平面 所成角为  BAE ,∴sin cosBAE  6 ACD  min 2  6 min  6   3 3 6 1 3 6 cosBAEcos sinBAEsin      6 6 3 2 3 2 6 资料整理【淘宝店铺:向阳百分百】  3 3 6 1 3 6 cosBAEcos sinBAEsin      ; 6 6 3 2 3 2 6     uur uur 当 最大时, 与平面 所成角为 ,则 与平面 的法向量 所成角为   ∴ 与 所成角  AB  3 AB  n 2 2 3 6 AE n 2        为BAE ,而平面 与平面 所成角为  BAE  ,∴sin cosBAE  6 ACD  max 2  6 2 max  6   3 3 6 1 3 6 cosBAEcos sinBAEsin      . 6 6 3 2 3 2 6 3 6 3 6 ∴平面 与平面 所成角的正弦值的取值范围为 , . 6 6 ACD    【点睛】本小题主要考查面面角的求法,考查线面角的概念和运用,考查空间想象能力和逻辑推理能力, 属于难题. 4.如图,在三棱锥DABC中,ABBC CDDA,ABC 90,E,F,O分别为棱BC,DA,AC 的中点,记直线EF与平面BOD所成角为,则的取值范围是 .   【答案】 ,   4 2 【分析】易证得OD AC,OB AC,引入辅助角变量,设BOD,0, ,以O为原点建立空间直 角坐标系,利用向量法求得线面角的正弦值,从而可判断所求角的范围. 【详解】解:因为ABBC CDDA,ABBA, 所以△ABC △ADC, 所以ADC ABC 90, 又因为O为AC的中点, 所以OD AC,OB AC, 又ODOBO,所以AC 平面BOD, 设BOD,0, , 资料整理【淘宝店铺:向阳百分百】如图,以O为原点建立空间直角坐标系, 则平面BOD与平面xOz重合, 不妨设ABBC CDDA 2, 则OAOBOC OD1, 则A0,1,0,B1,0,0,C0,1,0,Dcos,0,sin , 1 1  1 1 1  E , ,0,F cos, , sin, 2 2  2 2 2  ⃗ 1 1  则EF  cos1,1, sin, 2 2  因为AC 平面BOD, ⃗ 所以OC 0,1,0 即为平面BOD的一条法向量,   因为直线 与平面 所成角为 ,  0, , EF BOD   2 ⃗ ⃗ ⃗ ⃗ EFOC 所以sin cos EF,OC  ⃗ ⃗ EF OC 1 2   1 cos1222sin21 3cos, 2 因为0, ,所以cos1,1 ,  2  所以sin ,1,   2     所以 , .  4 2   故答案为: , .  4 2 5.已知正方体ABCDABCD 的棱长为1,点E、O分别是AB 、AC 的中点,P在正方体内部且满足 1 1 1 1 1 1 1 1 ⃗ 3⃗ 1⃗ 2⃗ AP AB AD AA 4 2 3 1 资料整理【淘宝店铺:向阳百分百】⃗ 3⃗ 1⃗ 2⃗ AP AB AD AA ,则下列说法错误的是( ) 4 2 3 1 2 5 2 A.点A到直线BE的距离是 B.点O到平面 的距离为 5 ABC 1 D 1 4 3 25 C.平面 与平面 间的距离为 D.点P到直线AB的距离为 A 1 BD B 1 CD 1 3 36 【答案】D 【分析】建立空间直角坐标系,用向量法直接求解可得. 【详解】如图,建立空间直角坐标系,则A0,0,0 ,B1,0,0 ,D0,1,0 ,A 0,0,1 ,C 1,1,1 , 1 1 ⃗ ⃗ D 1 0,1,1 ,E    1 2 ,0,1    ,所 B ⃗ A  1,0,0 ,  B  E ⃗      1 2 ,0,1    .设 ABE ,则 cos B  B ⃗ A A    B B  E ⃗ E   5 5 , 2 5 2 5 2 5 1cos2 .故 到直线 的距离d  BAsin1  ,故A对; sin 5 A BE 1 5 5 易知C  1  O ⃗  1 2 C  1  A ⃗ 1      1 2 , 1 2 ,0    ,平面 ABC 1 D 1 的一个法向量  D  A ⃗ 1 0,1,1,则点 O 到平面 ABC 1 D 1 的距离 ⃗ ⃗ 1 DA CO d  1⃗1 2 2 ,故B对; 2   DA 1 2 4 (cid:4) (cid:4) nAB0 ⃗ ,⃗ ,⃗ .设平面 的法向量为⃗ ,则(cid:4) 1(cid:4) , A 1 B1,0,1 A 1 D0,1,1 A 1 D 1 0,1,0 A 1 BD n xyz nA 1 D0 xz0 ⃗ 所以 ,令 ,得 , ,所以 ,所以点 到平面 的距离 yz0 z1 y1 x1 n1,1,1 D 1 A 1 BD ⃗ ⃗ AD n 1 3 d 3  1 n ⃗1  3  3 .因为平面 ABD∥ 平面 BCD ,所以平面 ABD 与平面 BCD 间的距离等于点 D 到平 1 1 1 1 1 1 1 3 面 的距离,即为 ,故C对; ABD 1 3 ⃗ ⃗ 因为  A ⃗ P   4 3 A ⃗ B   1 2  A ⃗ D   2 3  A ⃗ A  1 ,所以  A ⃗ P      3 4 , 1 2 , 2 3    , A ⃗ B  1,0,0 ,则 AP  A   ⃗ B  AB  3 4 ,所以点 P 到 AB 的 ⃗ ⃗ 2 ⃗ 2 APAB 181 9 距离d  AP  ⃗   5,故D错. AB 144 16  6 资料整理【淘宝店铺:向阳百分百】⃗ ⃗ ⃗ ⃗ 6.在棱长为1的正四面体ABCD中,点M 满足AM xAByAC1xyAD,点N 满足 ⃗ ⃗ ⃗ ⃗ ⃗ DN DA1DB,当AM、DN 最短时,AM·MN ( ) A. 1 B. 1 C. 2 D. 2 3 3 3 3 【答案】A 【分析】由题知M平面BCD,N直线AB,故当AM 、DN 最短时,AM 平面BCD,DN  AB,再 根据向量的关系计算即可得答案. ⃗ ⃗ ⃗ ⃗ ⃗ ⃗ ⃗ 【详解】 AM xAByAC1xyAD,DN DA1DB,  ⃗ ⃗ ⃗ ⃗ ⃗ ⃗ ⃗ ⃗ ⃗ ⃗       ∴ AM ADx ABAD y ACAD ,DNDB DADB , ⃗ ⃗ ⃗ ⃗ ⃗ 即:DM xDByDC,BN BA; M平面BCD,N直线AB, 所以当AM 、DN 最短时,AM 平面BCD,DN  AB, M 为BCD的中心,N 为线段AB的中点, 如图: 又正四面体的棱长为1, 6 AM  , 3  AM 平面BCD AM BM , ⃗ ⃗ ⃗ ⃗ ⃗ 2 AMAB AM  AB cosAMB AM ,  资料整理【淘宝店铺:向阳百分百】⃗ ⃗ ⃗ ⃗ ⃗    AM ANAM  AMMN   A  M ⃗    1 A ⃗ B    A  M ⃗    1 A  M ⃗   A  M ⃗   A  M ⃗ 2  1  A  M ⃗ 2  1  6  1 . 2  2 2 2 9 3 【点睛】本题考查空间向量的数量积运算,共面向量定理,共线向量定理,解题的关键在于结合共面向量 定理与共线向量定理得M平面BCD,N直线AB,进而当当AM 、DN 最短时,AM 平面BCD, DN  AB,再求解. 7.(2023年河南省摸底考试理科数学试题)在直三棱柱ABC- ABC 中,ABBC,且ABBC 2,若 1 1 1 π 直线 与侧面 所成的角为 ,则异面直线 与 所成的角的正弦值为( ) AB AACC 6 AB AC 1 1 1 1 3 2 3 A.1 B. C. D. 2 3 2 2 【答案】D 【分析】建立空间直角坐标系,设BB 1 aa0 ,利用线面角的向量求法求出a的值,再求异面直线所成 角即可. 【详解】因为直三棱柱ABC- ABC ,所以BB 底面ABC, 1 1 1 1 又因为ABBC,所以BA,BC,BB 两两垂直, 1 以BA,BC,BB 为x,y,z轴建立如图所示坐标系, 1 设BB aa0 ,则A2,0,0 ,A 2,0,a ,B 0,0,a ,C0,2,0 , 1 1 1 ⃗ ⃗ ⃗ 所以AB 2,0,a ,AA 0,0,a,AC 2,2,0 , 1 1 ⃗ 设平面AACC的法向量nx,y,z , 1 1 ⃗ ⃗  AA naz0 则⃗ 1 ⃗ ,解得r , ACn2x2y0 n1,1,0 ⃗⃗  ⃗⃗  AB n 2 1 所以直线 与侧面 所成的角的正弦值sin cos AB n  ⃗⃗  1   , AB AACC 1 AB n 4a2  2 2 1 1 1 1 ⃗ 解得a2,所以A 1 2,0,2 ,A 1 B2,0,2 , 资料整理【淘宝店铺:向阳百分百】⃗ ⃗ ⃗ ⃗ ABAC 4 1 1 设异面直线 与 所成的角为 ,则cos cos AB,AC  ⃗ ⃗   , A 1 B AC  1 A 1 B AC 8 8 2 3 所以异面直线 与 所成的角的正弦值为 1cos2 . AB AC 2 1 8.(2023年广东省模拟数学试题)在四棱锥PABCD中,PA平面ABCD,底面ABCD为矩形, ABPA.若BC边上有且只有一个点Q,使得PQQD,此时二面角APDQ的余弦值为( ) 3 30 6 2 A. B. C. D. 3 6 6 6 【答案】C 【分析】由线面垂直的性质与判定可证得DQ平面PAQ,进而得到DQ AQ,设PA AB2, ADtt0 ,BQm0mt ,利用勾股定理可得关于m的方程,由方程有且仅有一个 0,t 范围内的 解,由Δ0求得 t,m 的值;以A为坐标原点,利用二面角的向量求法可求得结果. 【详解】 PA平面ABCD,DQ平面ABCD,PADQ, 又PQDQ,PAPQP,PQ,PA平面PAQ,∴DQ平面PAQ, 又AQ平面PAQ,DQAQ; 设PA AB2,ADtt0 ,BQm0mt , AQ2 4m2,DQ2 4tm2 ,AD2 t2, 4m24tm2 t2,即m2tm40, t  关于 m 的方程有且仅有一个0,t范围内的解,对称轴为m 2 , t2160,解得:t4,m2, ⃗ ⃗ ⃗ 以A为坐标原点,AD,AB,AP正方向为x,y,z轴,可建立如图所示空间直角坐标系, ⃗ ⃗ 则P0,0,2 ,D4,0,0 ,Q2,2,0 ,PD4,0,2 ,DQ2,2,0 , ⃗  y轴平面 PAD ,平面 PAD 的一个法向量m0,1,0 ; 资料整理【淘宝店铺:向阳百分百】⃗ 设平面PDQ的法向量nx,y,z , ⃗ ⃗  PDn4x2z0 则⃗ ⃗ ,令 ,解得: , , ⃗ , DQn2x2y0 x1 y1 z2 n1,1,2 ⃗⃗  ⃗⃗  mn 1 6 cosm,n  ⃗⃗    , m n 6 6 6 由图形可知:二面角 为锐二面角, 二面角 的余弦值为 . APDQ APDQ  6 【点睛】关键点点睛:本题考查利用向量法求解二面角的问题;解题关键是能够根据线面垂直的判定与性 质证得DQ AQ,从而利用勾股定理构造关于BQ的一元二次方程,根据其根的分布可求得BQ和AD的 长度,进而得到利用向量法求解时所需的线段长度. 9.如图,在四棱锥PABCD中,E,F 分别是AD,PD的中点,PD底面ABCD,AD//BC, PD AD2BC,DAB90,若平面PEC平面ABF l,则二面角FlE的正弦值是 . 3 【答案】 / 5 0.6 【分析】建立空间直角坐标系,写出对应点的坐标与向量的坐标,求解平面的法向量,再由向量的夹角公 式代入求解余弦值,从而可得正弦值. 【详解】设AFPEG,BFPC H ,则平面PEC平面ABF GH, 1 1 由重心的性质可得GH  AB,EG EP, 3 3 因为PD底面ABCD,DAB90,设PD AD2BC 4, AB2,建立如图所示的空间直角坐标系, 则A0,0,0,B2,0,0,E0,2,0,F0,4,2,P0,4,4 , ⃗ 1⃗ 1 2  ⃗ 1⃗ 1  4 2 所以GH  AB 2,0,0 ,0,0,GF  AF  0,4,20, , , 3 3 3  3 3  3 3 ⃗ 1⃗ 1  2 4 EG EP 0,2,40, , , 3 3  3 3 ⃗⃗  设平面GFH ,GEH 的法向量为mx 1 ,y 1 ,z 1 ,nx 2 ,y 2 ,z 2  , 资料整理【淘宝店铺:向阳百分百】 4 2  G (cid:4) F  m (cid:4) 0   3 y 1  3 z 1 0 (cid:4) 则(cid:4) (cid:4)  m0,1,2 , GHm0 2   x 0   3 1  2 4    E  G (cid:4) n (cid:4) 0   3 y 2  3 z 2 0 (cid:4) (cid:4) (cid:4)  n0,2,1 , GHn0 2   x 0   3 2 ⃗⃗  ⃗⃗ m  n 4 4 所以 cos m,n  ⃗⃗    ,由图可知, m  n 5 5 5 4 二面角 的平面角为钝角,所以二面角 的余弦值为 , FlE FlE 5  4 2 3 正弦值为 1   .  5 5 3 故答案为: 5 【点睛】对于立体几何中角的计算问题,往往可以利用空间向量法,通过求解平面的法向量,利用向量的 夹角公式求解. 10.已知A0,0,2 ,B1,1,0 ,点 P 在x轴上,点Q在直线AB上,则线段PQ长的最小值为 . 【答案】255/255 【分析】如图将点放在棱长为2的正方体中,建系如图,取D2,0,0 ,根据题意求异面直线OD和AB之 ⃗⃗  OBn 间的距离即可,先求 和 的公垂线的方向向量⃗ ,再利用公式计算 ⃗ 即可求解. OD AB nx,y,z n 【详解】如图:在棱长为2的正方体中,以O为原点,建系如图: 则O0,0,0 ,D2,0,0 ,A0,0,2 ,B1,1,0 , ⃗ ⃗ 所以OD2,0,0 ,AB1,1,2 , 因为点P在x轴上,点Q在直线AB上, 求线段PQ长的最小值也即是求异面直线OD和AB之间的距离, 资料整理【淘宝店铺:向阳百分百】⃗ 设直线OD和AB的公垂线的方向向量nx,y,z , (cid:4) (cid:4) nOD2x0 由(cid:4) (cid:4) 可得: ,令 ,则 , nABxy2z0 x0 y2 z1 ⃗ 所以n0,2,1 , uuur 因为OB1,1,0, 所以异面直线OD和AB之间的距离为 O ⃗ B  cos O ⃗⃗ B  n  O ⃗ B    O    ⃗⃗⃗  ⃗⃗ B  n  O ⃗⃗ B  n  2  2 5 , OB  n n 5 5 2 5 即线段 长的最小值为 , PQ 5 2 5 故答案为: . 5 资料整理【淘宝店铺:向阳百分百】【真题感知】 1.(2023年高考全国甲卷数学(理)真题)如图,在三棱柱ABC- ABC 中,AC 底面ABC, 1 1 1 1 ACB90,AA 2,A到平面BCCB 的距离为1. 1 1 1 1 (1)证明:AC  AC; 1 (2)已知AA 与BB 的距离为2,求AB 与平面BCCB 所成角的正弦值. 1 1 1 1 1 【答案】(1)证明见解析 13 (2) 13 【分析】(1)根据线面垂直,面面垂直的判定与性质定理可得AO平面BCCB ,再由勾股定理求出O 1 1 1 为中点,即可得证; (2)利用直角三角形求出AB 1 的长及点A到面的距离,根据线面角定义直接可得正弦值. 【详解】(1)如图,  AC 底面ABC,BC面ABC, 1 AC BC,又BC  AC,AC,AC平面ACC A ,ACAC C, 1 1 1 1 1 BC 平面ACC1A1,又BC平面BCCB , 1 1 平面ACC 1 A 1 平面BCC 1 B 1 , 过A作AOCC 交CC 于O,又平面ACC A 平面BCCB CC ,AO平面ACC A , 1 1 1 1 1 1 1 1 1 1 1 1 AO平面BCCB 1 1 1  A 到平面BCCB 的距离为1,AO1, 1 1 1 1 资料整理【淘宝店铺:向阳百分百】在Rt△ACC 中,AC  AC ,CC  AA 2, 1 1 1 1 1 1 1 设COx,则CO2x, 1 △AOC,△AOC ,△ACC 为直角三角形,且CC 2, 1 1 1 1 1 1 CO2AO2  AC2,AO2OC2 C A2,AC2AC2 CC2, 1 1 1 1 1 1 1 1 1 1 1x21(2x)2 4,解得x1, AC  AC  AC  2, 1 1 1 AC  AC 1 (2) AC  AC ,BC  AC,BC  AC, 1 1 1 Rt△ACB≌Rt△ACB 1 BABA , 1 过B作BD AA 1 ,交AA 1 于D,则D为AA 1 中点, 由直线AA 1 与BB 1 距离为2,所以BD2  AD1, ,AB AB 5, 1 BD2 1 在Rt△ABC,BC  AB2AC2  3, 延长AC,使AC CM ,连接CM , 1 由CM∥AC ,CM  AC 知四边形ACMC 为平行四边形, 1 1 1 1 1 1 C 1 M∥A 1 C,C 1 M 平面ABC,又AM 平面ABC, CM  AM 1 则在Rt△ACM 中,AM 2AC,CM  AC,AC  (2AC)2AC2 , 1 1 1 1 1 在Rt△ABC 中,AC  (2AC)2AC2 ,BC BC  3, 1 1 1 1 1 1 AB  (2 2)2( 2)2( 3)2  13, 1 又A到平面BCC 1 B 1 距离也为1, 1 13 所以 与平面 所成角的正弦值为  . AB BCCB 13 13 1 1 1 2.(2023年高考全国乙卷数学(理)真题)如图,在三棱锥PABC中,ABBC,AB2, BC 2 2,PBPC  6,BP,AP,BC的中点分别为D,E,O,AD 5DO,点F在AC上, BF  AO. 资料整理【淘宝店铺:向阳百分百】(1)证明:EF//平面ADO; (2)证明:平面ADO平面BEF; (3)求二面角DAOC的正弦值. 【答案】(1)证明见解析; (2)证明见解析; 2 (3) . 2 【分析】(1)根据给定条件,证明四边形ODEF 为平行四边形,再利用线面平行的判定推理作答. (2)法一:由(1)的信息,结合勾股定理的逆定理及线面垂直、面面垂直的判定推理作答.法二:过点B PA 14   作 轴 平面 ,建立如图所示的空间直角坐标系,设 ,所以由PB 6 求出 点坐标,再  z  BAC Px,y,z  PC 6 P ⃗ ⃗ ⃗ ⃗ 求出平面ADO与平面BEF的法向量n,n ,由n n 0即可证明; 1 2 1 2 (3)法一:由(2)的信息作出并证明二面角的平面角,再结合三角形重心及余弦定理求解作答.法二:求 出平面ADO与平面ACO的法向量,由二面角的向量公式求解即可. 【详解】(1)连接 ,设 ,则 ⃗ ⃗ ⃗ ⃗ ⃗ ,  A ⃗ O    B ⃗ A   1 B  C ⃗ , DE,OF AF tAC BF BAAF (1t)BAtBC 2 BF  AO, 则  B  F ⃗   A ⃗ O  [(1t)  B ⃗ A  t  B  C ⃗ ](  B ⃗ A   1 B  C ⃗ )(t1)B ⃗ A  2  1 tB  C ⃗ 2 4(t1)4t 0, 2 2 1 解得t  ,则 为 的中点,由 分别为 的中点, 2 F AC D,E,O,F PB,PA,BC,AC 资料整理【淘宝店铺:向阳百分百】1 1 于是DE//AB,DE AB,OF //AB,OF  AB,即 ,则四边形 为平行四边形, 2 2 DE//OF,DEOF ODEF EF //DO,EF DO,又EF 平面ADO,DO平面ADO, 所以EF//平面ADO. 6 30 (2)法一:由(1)可知 ,则AO 6,DO ,得AD 5DO , EF//OD 2 2 15 因此OD2AO2  AD2  ,则 ,有 , 2 OD AO EF  AO 又AOBF,BFEF F ,BF,EF 平面BEF, 则有AO平面BEF,又AO平面ADO,所以平面ADO平面BEF. 法二:因为ABBC,过点B作z轴平面BAC,建立如图所示的空间直角坐标系, A2,0,0,,B0,0,0,C  0,2 2,0  , 3 15 4 DB2AB2DA2 2 2 1 在 中,cosPBA   , 2DBAB 6 6 22 △BDA 2  1  在 中,PA2 PB2AB22PBABcosPBA642 62    14, △PBA  6  PA 14  x22 y2z2 14   设 ,所以由  PB 6 可得:x2y2z2 6 ,    2 Px,y,z  PC 6   x2 y2 2 z2 6   可得:x1,y 2,z 3,所以P 1, 2, 3 ,  1 2 3 1 2 3 则D , , ,所以E , , ,  ,  2 2 2  2 2 2  F 1, 2,0     ⃗   ⃗  5 2 3 AO 2, 2,0 ,AD , ,   2 2 2    ⃗ 设平面ADO的法向量为n 1 x 1 ,y 1 ,z 1  , 资料整理【淘宝店铺:向阳百分百】⃗ ⃗   2x 1  2y 1 0 则   ⃗ n  1   A ⃗ O  0 ,得  5 x  2 y  3 z 0 , n AD0  2 1 2 1 2 1 1 ⃗   令x 1,则y  2,z  3,所以n  1, 2, 3 , 1 1 1 1 ⃗ 1 2 3 ⃗   BE , , ,BF  1, 2,0 2 2 2    ⃗ 设平面BEF的法向量为n 2 x 2 ,y 2 ,z 2  , ⃗ ⃗   1 x  2 y  3 z 0 则    n ⃗ 2   B  E ⃗ 0 ,得2 2 2 2 2 2 ,  n BF 0 x  2y 0 2 2 2 ⃗   令x 2,则y  2,z 0,所以n  2, 2,0 , 2 2 2 2 ⃗ ⃗   n n 21 2  2 00, 1 2 所以平面ADO平面BEF; (3)法一:过点O作OH //BF 交AC于点H ,设ADBEG, 1 由 ,得 ,且FH  AH , AOBF HO AO 3 又由(2)知,OD AO,则DOH 为二面角DAOC的平面角, 因为D,E分别为PB,PA的中点,因此G为PAB的重心, 1 1 1 3 即有DG AD,GE  BE,又FH  AH ,即有DH  GF, 3 3 3 2 3 15 4  2 2 46PA2 cosABD  ,解得 ,同理得 , 6 22 6 6 22 BE 2 PA 14 2 2 2 1 6  6 5 于是 ,即有 ,则GF2       ,     BE2EF2 BF2 3 BEEF  3 2   2  3 15 3 15 15 从而GF  ,DH    , 3 2 3 2 资料整理【淘宝店铺:向阳百分百】1 3 6 15 在 中,OH  BF  ,OD ,DH  , △DOH 2 2 2 2 6 3 15   于是cosDOH  4 4 4  2 ,  2 2 2 , 6 3 2 sinDOH  1   2   2  2 2 2   2 所以二面角 的正弦值为 . DAOC 2 ⃗   法二:平面 的法向量为n  1, 2, 3 , ADO 1 ⃗ 平面ACO的法向量为n 3 0,0,1 , ⃗ ⃗ ⃗ ⃗ n n 3 2 所以 cos n 1 ,n 3  ⃗ n 1  n ⃗3  123  2 , 1 3 ⃗ ⃗ ⃗ ⃗ ⃗ ⃗ 2 因为 n,n 0,π,所以sin n,n  1cos2 n,n  , 1 3 1 3 1 3 2 2 故二面角 的正弦值为 . DAOC 2 3.(2022年全国高考甲卷数学(理)试题)在四棱锥PABCD中,PD底面 ABCD,CD∥AB,ADDC CB1,AB2,DP 3. (1)证明:BDPA; (2)求PD与平面PAB所成的角的正弦值. 【答案】(1)证明见解析; 资料整理【淘宝店铺:向阳百分百】5 (2) . 5 【分析】(1)作DEAB于E,CFAB于F ,利用勾股定理证明ADBD,根据线面垂直的性质可得 PDBD,从而可得BD平面PAD,再根据线面垂直的性质即可得证; (2)以点D为原点建立空间直角坐标系,利用向量法即可得出答案. 【详解】(1)证明:在四边形ABCD中,作DEAB于E,CFAB于F , 因为CD//AB,ADCDCB1,AB2, 所以四边形ABCD为等腰梯形, 1 所以AE BF  , 2 3 故DE , , 2 BD DE2BE2  3 所以AD2BD2  AB2, 所以ADBD, 因为PD平面ABCD,BD平面ABCD, 所以PDBD, 又PDAD=D, 所以BD平面PAD, 又因为PA平面PAD, 所以BDPA; (2)解:如图,以点D为原点建立空间直角坐标系, BD 3, 则A1,0,0,B  0, 3,0  ,P  0,0, 3  , ⃗ ⃗ ⃗       则AP 1,0, 3 ,BP 0, 3, 3 ,DP 0,0, 3 , ⃗ 设平面 的法向量nx,y,z , PAB ⃗ ⃗ nAPx 3z0 则有{ ⃗ ⃗ ,可取⃗   , nBP 3y 3z0 n 3,1,1 资料整理【淘宝店铺:向阳百分百】⃗ ⃗ ⃗ ⃗ nDP 5 则 cos n,DP  ⃗ ⃗  , n DP 5 5 所以 与平面 所成角的正弦值为 . PD PAB 5 4.(2022年全国高考乙卷数学(理)试题)如图,四面体ABCD中,ADCD,ADCD,ADBBDC, E为AC的中点. (1)证明:平面BED平面ACD; (2)设ABBD2,ACB60,点F在BD上,当△AFC的面积最小时,求CF与平面ABD所成的角的正 弦值. 【答案】(1)证明过程见解析 4 3 (2) 与平面 所成的角的正弦值为 CF ABD 7 【分析】(1)根据已知关系证明△ABD≌△CBD,得到ABCB,结合等腰三角形三线合一得到垂直关 系,结合面面垂直的判定定理即可证明; (2)根据勾股定理逆用得到BEDE,从而建立空间直角坐标系,结合线面角的运算法则进行计算即可. 【详解】(1)因为ADCD,E为AC的中点,所以ACDE; 在△ABD和△CBD中,因为ADCD,ADBCDB,DBDB, 资料整理【淘宝店铺:向阳百分百】所以△ABD≌△CBD,所以ABCB,又因为E为AC的中点,所以AC BE; 又因为DE,BE平面BED,DEBEE,所以AC 平面BED, 因为AC平面ACD,所以平面BED平面ACD. (2)连接EF,由(1)知,AC 平面BED,因为EF 平面BED, 1 所以 ,所以S = ACEF , AC EF △AFC 2 当EF BD时,EF最小,即△AFC的面积最小. 因为△ABD≌△CBD,所以CB AB2, 又因为ACB60,所以ABC是等边三角形, 因为E为AC的中点,所以AEEC 1,BE 3, 1 因为 ,所以DE  AC 1, ADCD 2 在DEB中,DE2BE2 BD2,所以BEDE. 以E为坐标原点建立如图所示的空间直角坐标系Exyz, ⃗ ⃗ 则A1,0,0,B  0, 3,0  ,D0,0,1 ,所以AD1,0,1,AB  1, 3,0  , ⃗ 设平面 的一个法向量为nx,y,z , ABD (cid:4) (cid:4) nADxz0 则 n (cid:4)   A (cid:4) B  x 3y0 ,取 y 3 ,则 n ⃗   3, 3,3 ,  3 3 ⃗  3 3 又因为C1,0,0,F0, , ,所以CF 1, , ,     4 4 4 4     ⃗ ⃗ ⃗ ⃗ nCF 6 4 3 cos n,CF  ⃗ ⃗   所以 n CF 7 7 , 21 4   设 与平面 所成的角的正弦值为0 , CF ABD  2 ⃗ ⃗ 4 3 所以sin cos n,CF  , 7 4 3 所以 与平面 所成的角的正弦值为 . CF ABD 7 资料整理【淘宝店铺:向阳百分百】资料整理【淘宝店铺:向阳百分百】