当前位置:首页>文档>专题27直线方程与两条直线的位置关系(教师版)_02高考数学_通用版(老高考)复习资料_2024年复习资料_完备战2024年高考数学一轮复习考点帮(全国通用)_核心考点讲练

专题27直线方程与两条直线的位置关系(教师版)_02高考数学_通用版(老高考)复习资料_2024年复习资料_完备战2024年高考数学一轮复习考点帮(全国通用)_核心考点讲练

  • 2026-05-12 19:03:28 2026-04-13 05:58:08

文档预览

专题27直线方程与两条直线的位置关系(教师版)_02高考数学_通用版(老高考)复习资料_2024年复习资料_完备战2024年高考数学一轮复习考点帮(全国通用)_核心考点讲练
专题27直线方程与两条直线的位置关系(教师版)_02高考数学_通用版(老高考)复习资料_2024年复习资料_完备战2024年高考数学一轮复习考点帮(全国通用)_核心考点讲练
专题27直线方程与两条直线的位置关系(教师版)_02高考数学_通用版(老高考)复习资料_2024年复习资料_完备战2024年高考数学一轮复习考点帮(全国通用)_核心考点讲练
专题27直线方程与两条直线的位置关系(教师版)_02高考数学_通用版(老高考)复习资料_2024年复习资料_完备战2024年高考数学一轮复习考点帮(全国通用)_核心考点讲练
专题27直线方程与两条直线的位置关系(教师版)_02高考数学_通用版(老高考)复习资料_2024年复习资料_完备战2024年高考数学一轮复习考点帮(全国通用)_核心考点讲练
专题27直线方程与两条直线的位置关系(教师版)_02高考数学_通用版(老高考)复习资料_2024年复习资料_完备战2024年高考数学一轮复习考点帮(全国通用)_核心考点讲练
专题27直线方程与两条直线的位置关系(教师版)_02高考数学_通用版(老高考)复习资料_2024年复习资料_完备战2024年高考数学一轮复习考点帮(全国通用)_核心考点讲练
专题27直线方程与两条直线的位置关系(教师版)_02高考数学_通用版(老高考)复习资料_2024年复习资料_完备战2024年高考数学一轮复习考点帮(全国通用)_核心考点讲练
专题27直线方程与两条直线的位置关系(教师版)_02高考数学_通用版(老高考)复习资料_2024年复习资料_完备战2024年高考数学一轮复习考点帮(全国通用)_核心考点讲练
专题27直线方程与两条直线的位置关系(教师版)_02高考数学_通用版(老高考)复习资料_2024年复习资料_完备战2024年高考数学一轮复习考点帮(全国通用)_核心考点讲练
专题27直线方程与两条直线的位置关系(教师版)_02高考数学_通用版(老高考)复习资料_2024年复习资料_完备战2024年高考数学一轮复习考点帮(全国通用)_核心考点讲练
专题27直线方程与两条直线的位置关系(教师版)_02高考数学_通用版(老高考)复习资料_2024年复习资料_完备战2024年高考数学一轮复习考点帮(全国通用)_核心考点讲练
专题27直线方程与两条直线的位置关系(教师版)_02高考数学_通用版(老高考)复习资料_2024年复习资料_完备战2024年高考数学一轮复习考点帮(全国通用)_核心考点讲练
专题27直线方程与两条直线的位置关系(教师版)_02高考数学_通用版(老高考)复习资料_2024年复习资料_完备战2024年高考数学一轮复习考点帮(全国通用)_核心考点讲练
专题27直线方程与两条直线的位置关系(教师版)_02高考数学_通用版(老高考)复习资料_2024年复习资料_完备战2024年高考数学一轮复习考点帮(全国通用)_核心考点讲练
专题27直线方程与两条直线的位置关系(教师版)_02高考数学_通用版(老高考)复习资料_2024年复习资料_完备战2024年高考数学一轮复习考点帮(全国通用)_核心考点讲练
专题27直线方程与两条直线的位置关系(教师版)_02高考数学_通用版(老高考)复习资料_2024年复习资料_完备战2024年高考数学一轮复习考点帮(全国通用)_核心考点讲练
专题27直线方程与两条直线的位置关系(教师版)_02高考数学_通用版(老高考)复习资料_2024年复习资料_完备战2024年高考数学一轮复习考点帮(全国通用)_核心考点讲练
专题27直线方程与两条直线的位置关系(教师版)_02高考数学_通用版(老高考)复习资料_2024年复习资料_完备战2024年高考数学一轮复习考点帮(全国通用)_核心考点讲练
专题27直线方程与两条直线的位置关系(教师版)_02高考数学_通用版(老高考)复习资料_2024年复习资料_完备战2024年高考数学一轮复习考点帮(全国通用)_核心考点讲练
专题27直线方程与两条直线的位置关系(教师版)_02高考数学_通用版(老高考)复习资料_2024年复习资料_完备战2024年高考数学一轮复习考点帮(全国通用)_核心考点讲练
专题27直线方程与两条直线的位置关系(教师版)_02高考数学_通用版(老高考)复习资料_2024年复习资料_完备战2024年高考数学一轮复习考点帮(全国通用)_核心考点讲练
专题27直线方程与两条直线的位置关系(教师版)_02高考数学_通用版(老高考)复习资料_2024年复习资料_完备战2024年高考数学一轮复习考点帮(全国通用)_核心考点讲练
专题27直线方程与两条直线的位置关系(教师版)_02高考数学_通用版(老高考)复习资料_2024年复习资料_完备战2024年高考数学一轮复习考点帮(全国通用)_核心考点讲练
专题27直线方程与两条直线的位置关系(教师版)_02高考数学_通用版(老高考)复习资料_2024年复习资料_完备战2024年高考数学一轮复习考点帮(全国通用)_核心考点讲练
专题27直线方程与两条直线的位置关系(教师版)_02高考数学_通用版(老高考)复习资料_2024年复习资料_完备战2024年高考数学一轮复习考点帮(全国通用)_核心考点讲练
专题27直线方程与两条直线的位置关系(教师版)_02高考数学_通用版(老高考)复习资料_2024年复习资料_完备战2024年高考数学一轮复习考点帮(全国通用)_核心考点讲练
专题27直线方程与两条直线的位置关系(教师版)_02高考数学_通用版(老高考)复习资料_2024年复习资料_完备战2024年高考数学一轮复习考点帮(全国通用)_核心考点讲练
专题27直线方程与两条直线的位置关系(教师版)_02高考数学_通用版(老高考)复习资料_2024年复习资料_完备战2024年高考数学一轮复习考点帮(全国通用)_核心考点讲练
专题27直线方程与两条直线的位置关系(教师版)_02高考数学_通用版(老高考)复习资料_2024年复习资料_完备战2024年高考数学一轮复习考点帮(全国通用)_核心考点讲练
专题27直线方程与两条直线的位置关系(教师版)_02高考数学_通用版(老高考)复习资料_2024年复习资料_完备战2024年高考数学一轮复习考点帮(全国通用)_核心考点讲练
专题27直线方程与两条直线的位置关系(教师版)_02高考数学_通用版(老高考)复习资料_2024年复习资料_完备战2024年高考数学一轮复习考点帮(全国通用)_核心考点讲练
专题27直线方程与两条直线的位置关系(教师版)_02高考数学_通用版(老高考)复习资料_2024年复习资料_完备战2024年高考数学一轮复习考点帮(全国通用)_核心考点讲练
专题27直线方程与两条直线的位置关系(教师版)_02高考数学_通用版(老高考)复习资料_2024年复习资料_完备战2024年高考数学一轮复习考点帮(全国通用)_核心考点讲练
专题27直线方程与两条直线的位置关系(教师版)_02高考数学_通用版(老高考)复习资料_2024年复习资料_完备战2024年高考数学一轮复习考点帮(全国通用)_核心考点讲练
专题27直线方程与两条直线的位置关系(教师版)_02高考数学_通用版(老高考)复习资料_2024年复习资料_完备战2024年高考数学一轮复习考点帮(全国通用)_核心考点讲练
专题27直线方程与两条直线的位置关系(教师版)_02高考数学_通用版(老高考)复习资料_2024年复习资料_完备战2024年高考数学一轮复习考点帮(全国通用)_核心考点讲练
专题27直线方程与两条直线的位置关系(教师版)_02高考数学_通用版(老高考)复习资料_2024年复习资料_完备战2024年高考数学一轮复习考点帮(全国通用)_核心考点讲练
专题27直线方程与两条直线的位置关系(教师版)_02高考数学_通用版(老高考)复习资料_2024年复习资料_完备战2024年高考数学一轮复习考点帮(全国通用)_核心考点讲练
专题27直线方程与两条直线的位置关系(教师版)_02高考数学_通用版(老高考)复习资料_2024年复习资料_完备战2024年高考数学一轮复习考点帮(全国通用)_核心考点讲练
专题27直线方程与两条直线的位置关系(教师版)_02高考数学_通用版(老高考)复习资料_2024年复习资料_完备战2024年高考数学一轮复习考点帮(全国通用)_核心考点讲练
专题27直线方程与两条直线的位置关系(教师版)_02高考数学_通用版(老高考)复习资料_2024年复习资料_完备战2024年高考数学一轮复习考点帮(全国通用)_核心考点讲练
专题27直线方程与两条直线的位置关系(教师版)_02高考数学_通用版(老高考)复习资料_2024年复习资料_完备战2024年高考数学一轮复习考点帮(全国通用)_核心考点讲练
专题27直线方程与两条直线的位置关系(教师版)_02高考数学_通用版(老高考)复习资料_2024年复习资料_完备战2024年高考数学一轮复习考点帮(全国通用)_核心考点讲练
专题27直线方程与两条直线的位置关系(教师版)_02高考数学_通用版(老高考)复习资料_2024年复习资料_完备战2024年高考数学一轮复习考点帮(全国通用)_核心考点讲练
专题27直线方程与两条直线的位置关系(教师版)_02高考数学_通用版(老高考)复习资料_2024年复习资料_完备战2024年高考数学一轮复习考点帮(全国通用)_核心考点讲练
专题27直线方程与两条直线的位置关系(教师版)_02高考数学_通用版(老高考)复习资料_2024年复习资料_完备战2024年高考数学一轮复习考点帮(全国通用)_核心考点讲练
专题27直线方程与两条直线的位置关系(教师版)_02高考数学_通用版(老高考)复习资料_2024年复习资料_完备战2024年高考数学一轮复习考点帮(全国通用)_核心考点讲练
专题27直线方程与两条直线的位置关系(教师版)_02高考数学_通用版(老高考)复习资料_2024年复习资料_完备战2024年高考数学一轮复习考点帮(全国通用)_核心考点讲练
专题27直线方程与两条直线的位置关系(教师版)_02高考数学_通用版(老高考)复习资料_2024年复习资料_完备战2024年高考数学一轮复习考点帮(全国通用)_核心考点讲练
专题27直线方程与两条直线的位置关系(教师版)_02高考数学_通用版(老高考)复习资料_2024年复习资料_完备战2024年高考数学一轮复习考点帮(全国通用)_核心考点讲练
专题27直线方程与两条直线的位置关系(教师版)_02高考数学_通用版(老高考)复习资料_2024年复习资料_完备战2024年高考数学一轮复习考点帮(全国通用)_核心考点讲练

文档信息

文档格式
docx
文档大小
2.848 MB
文档页数
48 页
上传时间
2026-04-13 05:58:08

文档内容

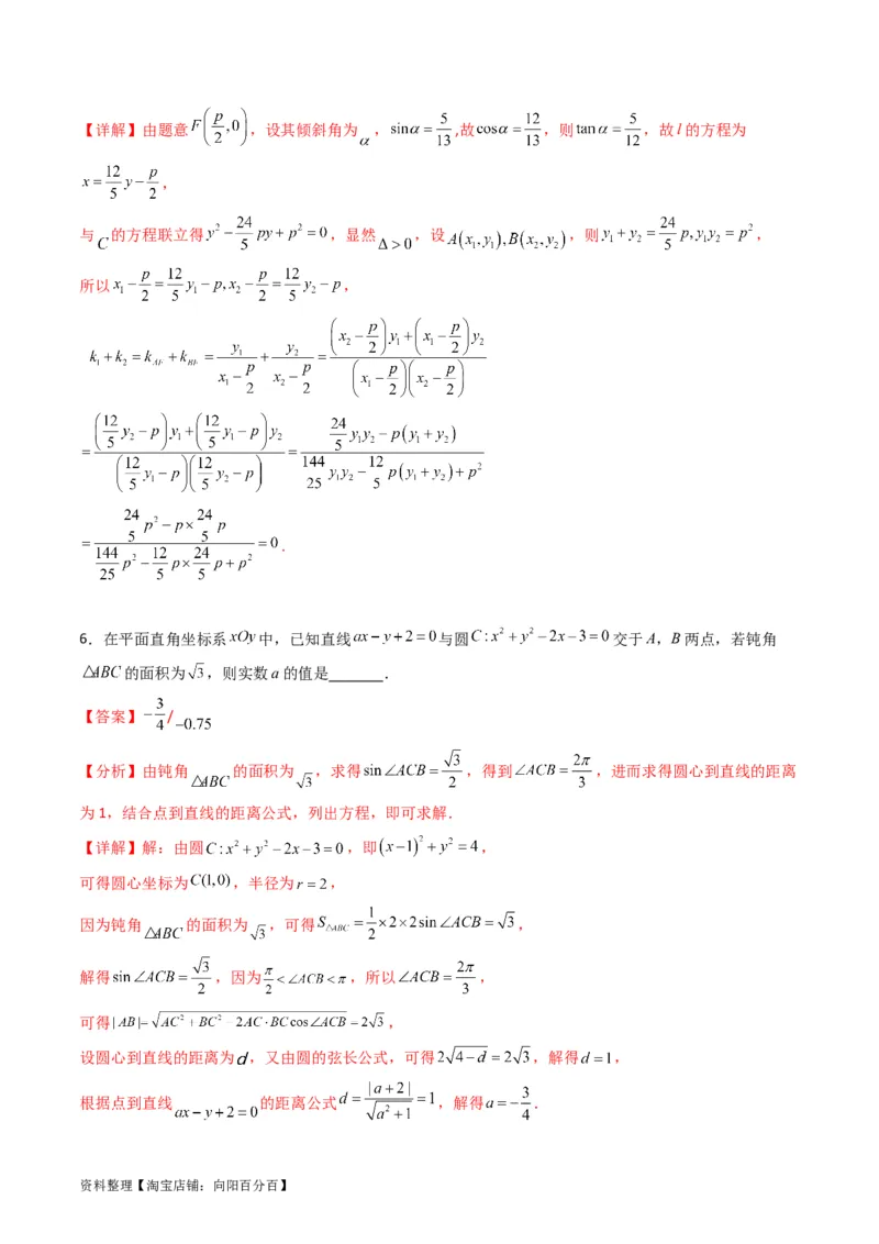
专题 27 直线方程与两条直线的位置关系 (核心考点精讲精练) 1. 近几年真题考点分布 圆锥曲线近几年考情 考题示例 考点分析 关联考点 2023年全国乙(文科),第11题,5分 直线与圆的位置关系, 参数方程 2023年全国乙(文科),第13题,5分 根据抛物线上的点求标准方程,抛物线的定义 2023年全国乙(理科),第3题,5分 通过三视图求几何体的表面积 2023年全国乙(文科),第3题,5分 2023年全国乙(理科),第5题,5分 根据标准方程确定圆的圆心和半径 几何概型 2023年全国乙(文科),第7题,5分 2023年全国乙(理科),第11题,5分 直线与双曲线的位置关系,求线段的中点坐标 2023年全国乙(文科),第12题,5分 2023年全国乙(理科),第12题,5分 直线与圆的位置关系 向量的数量积 2023年全国乙(理科),第20题,12分 1、根据离心率求椭圆方程; 2023年全国乙(文科),第21题,12分 2、椭圆中的定点问题; 2023年全国甲(文科),第7题,5分 椭圆中焦点三角形的面积问题 2023年全国甲(理科),第8题,5分 双曲线的渐近线、离心率、圆的中点弦 2023年全国甲(文科),第9题,5分 2023年全国甲(理科),第12题,5分 椭圆的定义、焦点三角形 1、根据直线与抛物线相交所得弦长求抛物线 2023年全国甲(理科),第20题,12分 方程; 2023年全国甲(文科),第20题,12分 2、抛物线中的三角形面积问题 2. 命题规律及备考策略 资料整理【淘宝店铺:向阳百分百】【命题规律】1.本节为高考常考知识点,常常与椭圆、双曲线及抛物线一起综合考查; 2.考查根据斜率判断倾斜角的取值范围,求直线方程,求斜率的取值范围 3.求平面上两点间的距离公式、点到直线的距离公式,会求两条平行直线间的距离 4.能根据斜率的关系判定两条直线平行或垂直. 【备考策略】1.在平面直角坐标系中,结合具体图形,探索确定直线位置的几何要素. 2.理解直线的倾斜角和斜率的概念,掌握过两点的直线斜率的计算公式. 3.根据确定直线位置的几何要素,探索并掌握直线方程的几种形式(点斜式、两点式、斜截式、 截距式及一般式). 4.能根据斜率的关系判定两条直线平行或垂直. 5.能用解方程组的方法求两条直线的交点坐标. 6.掌握平面上两点间的距离公式、点到直线的距离公式,会求两条平行直线间的距离. 【命题预测】1.常常与椭圆、双曲线及抛物线一起综合考查; 2.考查根据斜率判断倾斜角的取值范围,求直线方程,求斜率的取值范围 3.求平面上两点间的距离公式、点到直线的距离公式,会求两条平行直线间的距离 4.能根据斜率的关系判定两条直线平行或垂直. 知识讲解 一、直线的倾斜角与斜率 资料整理【淘宝店铺:向阳百分百】1.直线的倾斜角 (1)定义:当直线 与 轴相交时,我们取 轴作为基准, 轴正向与直线 向上方向 之间所成的角叫作直线 的倾斜角.当直线 与 轴 平行或重合 时,规定它的倾斜角为 . (2)范围:直线 倾斜角的取值范围是 [ 0 , π ) . 2.斜率公式 (1)若直线 的倾斜角 ,则斜率 ta n α . (2)若点 , 在直线 上,且 ,则直线 的斜率 . 二、直线方程的五种形式 名称 方程 适用范围 点斜式 不含直线 斜截式 不含垂直于 轴的直线 两点式 不含直线 和直线 截距式 不含垂直于坐标轴和过原点的直线 一般式 平面内所有直线都适用 1.直线的斜率 和倾斜角 之间的函数关系 如图,当 时,斜率 ;当 时,斜率 不存在;当 时,斜率 . 2.求直线方程时要注意判断直线斜率是否存在;每条直线都有倾斜角,但不一定每条直线都存在斜率. 3.截距为一个实数,既可以为正数,也可以为负数,还可以为 ,这是解题时容易忽略的一点. (1)倾斜角 与斜率 的关系 ①当 时,斜率k∈[0,+∞); ②当 时,斜率 不存在; ③当 时,斜率 . (2)斜率的两种求法 ①定义法: . 资料整理【淘宝店铺:向阳百分百】②公式法: . (3)求倾斜角 的取值范围或直线斜率的取值范围时,要充分利用 的单调性. 求直线方程一般有以下两种方法 (1)直接法:首先由题意确定出直线方程的适当形式,然后直接写出其方程. (2)待定系数法:先由直线满足的条件设出直线方程,方程中含有待定的系数,再由题设条件求出待定系数, 即得所求直线方程. 1.求解与直线方程有关的最值问题,先根据题意建立目标函数,再利用基本不等式(或函数的性质)求解最值. 2.求解直线方程与函数相结合的问题,一般利用直线方程中 的关系,将问题转化为关于 (或 )的函 数,再借助函数的性质解决问题. 1.含有参数的直线方程可看作直线系方程,这时要能够整理成过定点的直线系,能够看出“动中有定”.若 直线的方程为 ,则直线过定点 . 2.求解与直线方程有关的面积问题,应根据直线方程求解相应坐标或者相关长度,进而求得多边形的面积. 三、两条直线平行或垂直的判定 1.两条直线平行 (1)对于两条不重合的直线 , ,若其斜率分别为 , ,则有 k =k ; 1 2 (2)当直线 , 不重合且斜率都不存在时, . 2.两条直线垂直 (1)如果两条直线 , 的斜率存在,设为 , ,则有 k k =- 1 ; 1 2 (2)当其中一条直线的斜率不存在,而另一条直线的斜率为0时, . 在判定两条直线平行或垂直的情况时不要忽略了一条直线或两条直线斜率不存在的情形. 由一般式方程确定两直线位置关系的方法 直线方程 : , 与 : 垂直的 充要条件 平行的 充要条件 相交的 充要条件 重合的 充要条件 四、两条直线相交 {A x+B y+C =0, 1 1 1 1.交点:直线 : 和 : 的公共点的坐标与方程组 A x+B y+C =0 2 2 2 的解一一对应. 2.相交⇔方程组有 唯一解 ,交点坐标就是方程组的解. 3.平行⇔方程组 无解 . 4.重合⇔方程组有 无数个解 . 五、三种距离公式 1.两点间的距离公式 资料整理【淘宝店铺:向阳百分百】平面上任意两点 间的距离公式为 . 2.点到直线的距离公式 点 到直线 : 的距离 . 利用点到直线的距离公式时,需要先将直线方程化为一般式. 3.两条平行直线间的距离公式两条平行直线 与 间的距离 . 1.当含参数的直线方程为一般式时,若要表示出直线的斜率,不仅要考虑到斜率存在的一般情况,也要考虑 到斜率不存在的特殊情况,同时还要注意 的系数不能同时为零这一隐含条件. 2.在判断两直线的平行、垂直时,也可直接利用直线方程的系数间的关系得出结论. 点到直线、两平行线间的距离公式的使用条件 (1)求点到直线的距离时,应先化直线方程为一般式. (2)求两平行线之间的距离时,应先将方程化为一般式且 的系数对应相等. {x'=2a-x, 中心对称:①点 关于点 的对称点 满足 y'=2b- y. ②直线关于点的对称问题 可转化为点关于点的对称问题来解决. 点 关 于 直 线 的 对 称 点 为 , 则 有 { n-b ( A) · - =−1, m-a B a+m b+n A· +B· +C=0. 2 2 线关于点对称的两种求解方法 (1)在已知直线上取两点,利用中点坐标公式求出它们关于已知点对称的两点坐标,再由两点式求出直线 方程. (2)求出一个对称点,再利用两对称直线平行,由点斜式得到所求的直线方程. 求直线 关于直线 对称的直线 ,有两种处理方法 (1)在直线 上取两点(一般取特殊点),利用求点关于直线的对称点的方法求出这两点关于直线 的对称点, 再利用两点式写出直线 的方程. (2)设点 是直线 上任意一点,其关于直线 的对称点为 ( 在直线 上),根据点关于直 线对称建立方程组,用 表示出 ,再代入直线 的方程,即得直线 的方程. 考点一、直线的倾斜角与斜率 资料整理【淘宝店铺:向阳百分百】1.(2023年山东省模拟数学试题)直线 的倾斜角 ( ) A. B. C. D. 【答案】B 【分析】确定直线的斜率,根据斜率与倾斜角的关系,即可求得答案. 【详解】由题意可得直线 的斜率为 , 直线倾斜角为 ,则 , 故 . 2.(2023年天津市模拟数学试题)已知直线 的倾斜角为 ,则实数 的值为( ) A. B. C. D. 【答案】A 【分析】根据斜率公式以及斜率的定义可得出关于 的等式,解之即可. 【详解】由题意可知,直线 的斜率为 ,解得 . 3.直线l经过 两点,那么直线l的倾斜角的取值范围为( ) A. B. ∪ C. D. 【答案】D 【分析】根据题意先求出直线的斜率,再由斜率与倾斜角可求得答案. 【详解】直线l的斜率 , 因为 ,所以 , 设直线l的倾斜角为 ,则 , 因为 ,所以 或 ,所以直线l的倾斜角的取值范围是 . 资料整理【淘宝店铺:向阳百分百】1.已知点 , ,则直线AB的斜率为( ) A.2 B.-2 C.1 D.-1 【答案】A 【分析】由两点的斜率公式计算. 【详解】点 , ,则直线AB的斜率为 . 2.已知两点 所在直线的倾斜角为45°,则m= . 【答案】2 【分析】根据题意利用斜率公式列方程求解即可 【详解】由题意知k=tan 45°=1.由斜率公式得 ,解得m=2. 3.已知两点 , ,直线 过点 且与线段 有交点,则直线 的倾斜角的取值范围为 ( ) A. B. C. D. 【答案】C 【分析】作出图形,求出 的斜率,数形结合可求得直线 的斜率的取值范围,再由斜率与倾斜角的 关系可求出倾斜角的取值范围. 【详解】如图所示,直线 的斜率 ,直线 的斜率 . 由图可知,当直线 与线段 有交点时,直线 的斜率 , 因此直线 的倾斜角的取值范围是 . 考点二、直线的方程 资料整理【淘宝店铺:向阳百分百】1.(2023届广东省二模数学试题)若过点 的直线 与圆 交于 两点,则弦 最 短时直线 的方程为( ) A. B. C. D. 【答案】D 【分析】根据题意,由条件可知,当 最短时,直线 ,即可得到 ,从而得到结果. 【详解】 当 最短时,直线 ,所以 . 又 ,所以 , 所以 的方程为 ,即 . 2.已知直线 经过点 ,且 与圆 相切,则 的方程为( ) A. B. C. D. 【答案】A 【分析】直线 经过点 ,且 与圆 相切可知 ,再使用点斜式即可. 【详解】直线 经过点 ,且 与圆 相切,则 , 故直线 的方程为 ,即 . 3.(2023-2024学年江苏省检测数学试题)已知直线 经过点 ,且点 , 到直线 的距 离相等,则直线 的方程为 . 【答案】 或 资料整理【淘宝店铺:向阳百分百】【分析】根据直线 与直线 的位置关系, 分类讨论,可得其斜率之间的关系,求得斜率,可得答案. 【详解】设直线 的斜率为 ,直线 的斜率为 , 当直线 时,显然点 , 到直线 的距离相等, 如下图: 则此时 ,由 ,且直线 过 , 则直线 的方程为 ,整理可得 ; 当直线 与直线 相交时,作 于 , 于 ,如下图: 若 ,由 , ,则 , 可得 ,即 为 的中点,其坐标为 , 此时直线 的斜率 ,直线 的方程为 ,整理可得 . 故答案为: 或 . 1.(2023届吉林省调研考试数学试题) 中, , , ,则 边上的高所在的直 线方程是( ) A. B. 资料整理【淘宝店铺:向阳百分百】C. D. 【答案】A 【分析】设 边上的高所在的直线为 ,求出直线l的斜率,代入点斜式方程,整理即可得出答案. 【详解】设 边上的高所在的直线为 , 由已知可得, ,所以直线l的斜率 . 又 过 ,所以 的方程为 , 整理可得, . 2.(2023届新疆摸底强基数学试题)已知 ,则线段AB的垂直平分线的一般方程为 . 【答案】 【分析】先求出直线AB的斜率与AB的中点坐标,由点斜式方程求解即可. 【详解】因为 ,所以直线AB的斜率为 , 所以AB的垂直平分线的斜率为 ,AB的中点坐标为 , 故线段AB的垂直平分线的方程为: ,化为一般式为: . 3.(2023届安徽省模拟数学试题)已知圆 : 和圆 : 的公共弦所 在直线横过定点P,若过点P的直线l被圆 上截得的弦长为 ,则直线l的方程为 . 【答案】x=2或y=1 【分析】两圆方程相减,可得公共弦所在直线方程,从而得定点 的坐标,由题意知圆心 到直线l 的距离为1,设直线l的方程为 ,利用点到直线的距离公式求出m,然后验证直线x=2也满 足题意,即可得出答案. 【详解】两圆方程相减,可得公共弦所在直线为 , 令 ,则 , 所以该直线过定点 , 过点P的直线l被圆 上截得的弦长为 时,圆心 到直线l的距离为1, 设直线l的方程为 , 资料整理【淘宝店铺:向阳百分百】所以 , ∴m=0,直线l的方程为y=1, 显然直线l的方程为x=2时也满足题意. 考点三、直线方程的综合应用 1.在平面直角坐标系xOy(O为坐标原点)中,不过原点的两直线 , 的交点为P,过点O分别向直线 , 引垂线,垂足分别为M,N,则四边形OMPN面积的最大值为( ) A.3 B. C.5 D. 【答案】D 【解析】由 、 的方程可得它们都过定点 , ,然后可得四边形OMPN为矩形,且 , 然后可求出答案. 【详解】将直线 的方程变形得 , 由 ,得 ,则直线 过定点 ,同理可知,直线 过定点 , 所以,直线 和直线 的交点P的坐标为 ,易知,直线 ,如图所示, 易知,四边形OMPN为矩形,且 , 设 , ,则 ,四边形OMPN的面积为 , 当且仅当 ,即当 时,等号成立,因此,四边形OMPN面积的最大值为 . 2.在平面直角坐标系内,设 , 为不同的两点,直线l的方程为 , ,下面四个命题中的假命题为( ) A.存在唯一的实数δ,使点N在直线 上 资料整理【淘宝店铺:向阳百分百】B.若 ,则过M,N两点的直线与直线l平行 C.若 ,则直线经过线段M,N的中点; D.若 ,则点M,N在直线l的同侧,且直线l与线段M,N的延长线相交; 【答案】A 【分析】根据题意对 一一分析,逐一验证. 【详解】解:对于 , 化为: ,即点 , 不在直线 上,因此 不正确. 对于 , ,则 ,即过 , 两点的直线与直线 的斜率相等,又点 , 不在直线 上,因此两条直线平行,故 正确; 对于 , ,则 ,化为 ,因此直线 经过线段 的 中点,故 正确; 对于 , ,则 ,则点 , 在直线 的同侧,故 正确; 【点睛】本题考查了直线系方程的应用、平行直线的判定、点与直线的位置关系,考查了推理能力与计算 能力,属于难题. 3.(2023年江苏省模拟数学试题)已知 、 分别在直线 与直线 上,且 ,点 , ,则 的最小值为 . 【答案】 / 【分析】利用线段的等量关系进行转化,找到 最小值即为所求. 【详解】由直线 与 间的距离为 得 ,过 作直线 垂直于 ,如图, 则直线 的方程为: ,将 沿着直线 往上平移 个单位到 点,有 , 连接 交直线 于点P,过P作 于Q,连接BQ,有 ,即四边形 为平 行四边形, 则 ,即有 ,显然 是直线 上的点与点 距离和的最小值, 资料整理【淘宝店铺:向阳百分百】因此 的最小值,即 的最小值 ,而 , 所以 的最小值为 = 【点睛】思路点睛:(1)合理的利用假设可以探究取值的范围,严谨的思维是验证的必要过程. (2)转化与划归思想是解决距离最值问题中一种有效的途径. (3)数形结合使得问题更加具体和形象,从而使得方法清晰与明朗. 1.在直角坐标系 中,全集 ,集合 , 已知集合A的补集 所对应区域的对称中心为M,点P是线段 ( , )上的动点,点 Q是x轴上的动点,则 周长的最小值为( ) A.24 B. C.14 D. 【答案】B 【分析】根据集合 可判断出集合 表示圆 ,再 画图,根据做对称点的方法转换 的周长,再求最小值即可. 【详解】∵点 到直线 的距离 , ∴直线 始终与圆 相切,∴集合A表示除圆 以外所有的点组 成的集合,∴集合 表示圆 ,其对称中心 如图所示:设 是点 关于直线线段 ( )的对称点,设 ,则由 求得 ,可得 .设 关于x 轴的对称点为 ,易得 ,则直线 ,和线段的交点为P,则此时, 的周长为 ,为最小值. 资料整理【淘宝店铺:向阳百分百】【点睛】本题主要考查了点到直线距离公式的应用以及“将军饮马”问题的应用,需要根据题意作出对称点, 再转换所求求最值即可.属于难题. 2.(2023届上海市一模数学试题)设点 满足 ,则“ ”是“ 为定值”的( ). A.充分不必要条件 B.必要不充分条件 C.充要条件 D.既不充分也不必要条件 【答案】B 【分析】根据几何意义,将所求式转化为点到直线的距离,进而研究图像求解. 【详解】若 为定值, 即点 到直线 两条直线距离之和为定值, 显然,这两条直线平行,如图, 所以当点 在与这两条直线平行的直线上时,此时直线 满足 且 , 即 ,且 , 为定值, 所以“ ”是“ 为定值”的必要不充分条件. 资料整理【淘宝店铺:向阳百分百】3.已知点P在直线 上,点Q在直线 , 的中点为 ,且 , 则 的取值范围是 . 【答案】 . 【分析】先求出M的轨迹方程,结合 可求. 【详解】设 ,则 , 两式相加可得 , 由于 的中点为 ,所以 . 设 ,则 代入上式可得 .因为 ,所以 , 解之得 .故填 . 【点睛】本题主要考查代数式的取值范围的求法,把多个变量化归为一个变量是主要途径. 考点四、直线的平行与垂直 1.(2024届四川省模拟考试数学(文)试题)直线 : 与直线 : 平行,则 ( ) A. B. C.2 D. 【答案】A 【分析】由两直线平行得到方程和不等式,求出答案. 【详解】由题意得 ,解得 . 2.(2023年浙江省联考数学试题)若曲线 在点 处的切线与直线 垂直,则 的值 为( ) A. B. C. D.1 【答案】A 【分析】运用导数几何意义及导数公式求得切线的斜率,结合两直线垂直进而求得a的值. 【详解】由题设,知 处的切线的斜率为 , 资料整理【淘宝店铺:向阳百分百】又因为 , 所以 ,解得 . 3.(2023届天津市二模数学试题)已知抛物线 上一点 到其焦点的距离为 5,双曲线 的左顶点为A,若双曲线的一条渐近线与直线AM平行,则实数a的值为( ) A. B. C. D. 【答案】A 【分析】由 得抛物线方程, 在抛物线上求得 坐标,再根据双曲线一条渐近线与直线 平 行可得答案. 【详解】根据题意,抛物线 上一点 到其焦点的距离为5, 则点 到抛物线的准线 的距离也为5,即 ,解得 , 所以抛物线的方程为 ,则 ,所以 ,即M的坐标为 , 又双曲线 的左顶点 ,一条渐近线为 , 而 ,由双曲线的一条渐近线与直线 平行,则有 ,解得 . 4.已知直线 , ,且 ,则 的最小值为( ) A. B. C. D. 【答案】A 【分析】由两直线垂直得到 ,再代入消元利用二次函数的性质求解. 【详解】解: ,则 ,∴ , 所以 , 二次函数的抛物线的对称轴为 , 当 时, 取最小值 . 资料整理【淘宝店铺:向阳百分百】1.(2023届江西三模考试数学(理)试题)若 为实数,则“ ”是“直线 与 平行”的( )条件 A.充分不必要 B.必要不充分 C.充要 D.既不充分也不必要 【答案】C 【分析】根据直线平行求得 ,结合充分、必要条件分析判断. 【详解】若“直线 与 平行”, 则 ,解得 或 , 当 时,直线 , ,此时 // ,符合题意; 当 时,直线 ,即 , , 此时 , 重合,不符合题意; 综上所述:“直线 与 平行”等价于 . 所以“ ”是“直线 与 平行”的充要条件. 2.(2023届黑龙江省一模考试数学试题)若曲线 在原点处的切线与直线 垂直,则 实数a的值是( ) A.3 B. C.1 D.0 【答案】D 【分析】利用导数求出 在原点处的切线斜率,然后根据直线的垂直关系可得. 【详解】因为 , 所以 , 因为曲线 在原点处的切线与直线 垂直, 所以直线 的斜率不存在,即 . 3.(2023届山东省三模数学试题)瑞士数学家欧拉在《三角形的几何学》一书中提出:任意三角形的外 心、重心、垂心在同一条直线上.这条直线被称为欧拉线.已知 的顶点 , , , 资料整理【淘宝店铺:向阳百分百】若直线l: 与 的欧拉线平行,则实数a的值为( ) A.-2 B.-1 C.-1或3 D.3 【答案】B 【分析】根据三角形顶点坐标得出重心与外心,求出三角形欧拉线,根据直线平行得解. 【详解】由 的顶点 , , 知, 重心为 ,即 , 又三角形为直角三角形,所以外心为斜边中点 ,即 , 所以可得 的欧拉线方程 , 即 , 因为 与 平行, 所以 , 解得 . 4.已知 、 ,直线 , ,且 ,则 的最小值为 ( ) A. B. C. D. 【答案】D 【分析】先由 ,可得 ,变形得 ,所以 , 化简后利用基本不等式求解即可 【详解】因为 、 ,直线 , ,且 , 所以 ,即 , 所以 ,所以 , 所以 资料整理【淘宝店铺:向阳百分百】, 当且仅当 ,即 时,取等号, 所以 的最小值为 . 考点五、直线的交点与距离问题 1.已知直线 与直线 相交于点P,点 ,O为坐标原点,则 的最 大值为( ) A. B. C.1 D. 【答案】B 【分析】根据给定条件求出点P的轨迹,再借助几何图形,数形结合求解作答. 【详解】直线 恒过定点 ,直线 恒过定点 , 而 ,即直线 与直线 垂直,当P与N不重合时, , , 当P与N重合时, ,令点 ,则 , , 于是得 ,显然点P与M不重合,因此,点P的轨迹是以原点为圆心,2为半径的圆(除点M 外),如图, 观察图形知,射线AP绕点A旋转 ,当旋转到与圆O: 相切时, 最大, 最大, 资料整理【淘宝店铺:向阳百分百】因 , 为切线,点 为切点, , ,则 , 所以 最大值为 , . 【点睛】思路点睛:涉及在垂直条件下求动点的轨迹问题,可以借助向量垂直的坐标表示求解,以简化计 算,快捷解决问题. 2.当点 到直线 的距离最大时,m的值为( ) A.3 B.0 C. D.1 【答案】C 【分析】求得直线所过的定点 ,当 和直线垂直时,距离取得最大值,根据斜率乘积等于 列方程, 由此求得 的值. 【详解】直线 可化为 ,故直线过定点 ,当 和直线垂直时,距离 取得最大值,故 . 【点睛】本小题主要考查含有参数的直线过定点的问题,考查点到直线距离的最值问题,属于基础题. 3.(2023届四川省统一监测理科数学试题)若点 是曲线 上任意一点,则点 到直线 距离的最小值为( ) A. B. C. D. 【答案】C 【分析】由题知过点 作曲线 的切线,当切线与直线 平行时,点 到直线 距离的最小,再根据导数的几何意义求解即可. 【详解】解:过点 作曲线 的切线,当切线与直线 平行时,点 到直线 距离的最小. 设切点为 , , 所以,切线斜率为 , 由题知 得 或 (舍), 所以, ,此时点 到直线 距离 . 4.传说,意大利的西西里岛有个山洞是用来关押罪犯的,罪犯们曾多次密谋商议逃跑,但不管多完美的 资料整理【淘宝店铺:向阳百分百】计划都会被狱警发现,原来山洞内的空间是一个椭球体,最大截面部分是一个椭圆面,罪犯和狱警所待的 地方正好是椭圆的两个焦点,罪犯们说的话经过洞壁的反射,最终都传向了狱警所在的地方,即椭圆的另 一个焦点,这里面含着椭圆的光学性质.请利用椭圆的该性质解决下列问题:已知 是椭圆 : 上的点. 、 是椭圆 的左右焦点, , 为坐标原点, 到椭圆 在 处的切线的距离为 ( ) A. B. C. D. 【答案】B 【分析】先求出 的坐标,再求出 的角平分线与 的交点,从而可求切线方程, 故可得 到椭圆 在 处的切线的距离. 【详解】 由椭圆的对称性,不妨设 在第一象限. 由椭圆方程 可得半焦距 ,故 ,且 , 因为 ,故 , 资料整理【淘宝店铺:向阳百分百】故 即 , 所以 , 故 即 ,故 , 所以 ,同理 , 设 的平分线交 轴于 ,则 , 故 ,故 ,故 , 由题设中的椭圆性质可得过 切线与 垂直,故切线的斜率为 , 故切线的方程为: , 故原点到切线的距离为 . 1.数学家欧拉在1765年发现,任意三角形的外心、重心、垂心位于同一条直线上,这条直线称为欧拉线 已知 的顶点 ,若其欧拉线的方程为 ,则顶点 的坐标为 A. B. C. D. 【答案】A 【分析】设出点 的坐标,由重心坐标公式求得重心,代入欧拉线得一方程,求出 的垂直平分线,和 欧拉线方程联立求得三角形的外心,由外心到两个顶点的距离相等得另一方程,两方程联立求得点 的坐 标 【详解】设 ,由重心坐标公式得,三角形 的重心为 代入欧拉线方程得: 整理得: ① 的中点为 , 的中垂线方程为 , 资料整理【淘宝店铺:向阳百分百】即 .联立 解得 ∴ 的外心为 . 则 ,整理得: ② 联立①②得: 或 . 当 时 重合,舍去.∴顶点 的坐标是 . 【点睛】本题考查了直线方程,求直线方程的一般方法:①直接法:根据已知条件,选择适当的直线方程 形式,直接求出直线方程.②待定系数法: 先设出直线的方程,再根据已知条件求出假设系数,最后代 入直线方程,待定系数法常适用于斜截式,已知两点坐标等. 2.(2021年全国新高考II卷数学试题)抛物线 的焦点到直线 的距离为 ,则 ( ) A.1 B.2 C. D.4 【答案】B 【分析】首先确定抛物线的焦点坐标,然后结合点到直线距离公式可得 的值. 【详解】抛物线的焦点坐标为 , 其到直线 的距离: , 解得: ( 舍去). 3.若点P是曲线 上任意一点,则点P到直线 的距离的最小值为( ) A. B. C. D. 【答案】A 【分析】求出平行于直线 且与曲线 相切的切点坐标,再利用点到直线的距离公式, 即可求解. 【详解】设平行于直线 且与曲线 相切的切线对应切点为 , 资料整理【淘宝店铺:向阳百分百】由 ,则 , 令 , 解得 或 (舍去), 故点P的坐标为 , 故点P到直线 的最小值为: . 考点六、对称问题 1.点 关于直线 的对称点是( ) A. B. C. D. 【答案】B 【分析】设出对称点,根据对称 关系列出式子即可求解. 【详解】解:设点 关于直线 的对称点是 , 则有 ,解得 , , 故点 关于直线 的对称点是 . 【点睛】方法点睛:关于轴对称问题: 资料整理【淘宝店铺:向阳百分百】(1)点 关于直线 的对称点 ,则有 ; (2)直线关于直线的对称可转化为点关于直线的对称问题来解决. 2.直线 关于点 对称的直线方程为( ) A. B. C. D. 【答案】D 【分析】设对称的直线方程上的一点的坐标为 ,则其关于点 对称的点的坐标为 ,代入 已知直线即可求得结果. 【详解】设对称的直线方程上的一点的坐标为 ,则其关于点 对称的点的坐标为 ,以 代换原直线方程中的 得 ,即 . 3.(2024届广东省摸底联考数学试题)汉代初年成书的《淮南万毕术》记载:“取大镜高悬,置水盆于 下,则见四邻矣”.这是中国古代入民利用平面镜反射原理的首个实例,体现了传统文化中的数学智慧. 在平面直角坐标系 中,一条光线从点 射出,经 轴反射后的光线所在的直线与圆 相切,则反射光线所在直线的斜率为( ) A. B. 或1 C.1 D.2 【答案】C 【分析】由对称性可知反射光线过 且又在该圆上,即可得 为切点,再由斜率乘积为 即可求出 答案. 【详解】易知 关于 轴的对称点为 , 由平面镜反射原理,反射光线所在的直线过 且与该圆相切, 将圆 化简后可得 ,所以圆心 , 易知 在该圆上,所以 即为切点, 因此圆心与切点连线与反射光线垂直,设反射光线所在直线的斜率为 , 即 ,解得 . 资料整理【淘宝店铺:向阳百分百】1.点 关于直线 的对称点 的坐标为( ) A. B. C. D. 【答案】A 【分析】根据点关于线对称的特点,利用中点坐标公式及两直线垂直的斜率的关系即可求解. 【详解】设点 关于直线 的对称点的坐标为 , 则 ,解得 .所以点 的坐标为 . 2.(2020年山东省春季高考数学真题)直线 关于点 对称的直线方程是( ) A. B. C. D. 【答案】D 【分析】设对称的直线方程上的一点的坐标为 ,则其关于点 对称的点的坐标为 , 代入已知直线即可求得结果. 【详解】设对称的直线方程上的一点的坐标为 , 则其关于点 对称的点的坐标为 ,因为点 在直线 上, 所以 即 . 3.(2023届广东省二模数学试题)已知椭圆C: ( ),过点 且方向向量为 的光线,经直线 反射后过C的右焦点,则C的离心率为( ) A. B. C. D. 【答案】A 【分析】设过点 且方向向量为 的光线,经直线 的点为 ,右焦点为C,根据方向 向量 的直线斜率为 ,结合反射的性质可得 ,再结合等腰直角三角形的性质列式求解 即可. 【详解】设过点 且方向向量为 的光线,经直线 的点为 ,右焦点为C. 资料整理【淘宝店铺:向阳百分百】因为方向向量 的直线斜率为 ,则 , ,又由反射光的性质可得 ,故 ,所以 为等腰直角三角形,且 到 的距离为 ,又 ,故 , ,则 ,故 ,离心率 . 【基础过关】 1.经过点A(3,4)且在两坐标轴上的截距绝对值相等的直线方程为( ) 资料整理【淘宝店铺:向阳百分百】A. 或 B. 或 或 C. 或 D. 或 或 【答案】B 【分析】根据直线在两坐标轴上的截距相等进行分类讨论,设直线方程,求出每一种情况的直线方程即可. 【详解】①当直线经过原点时,斜率 ,所以直线方程为: ,即 ; ②当直线在两坐标轴上的截距相等时,设直线方程为 ,将点 代入,的 ,解得 , 所以直线方程为: ,即 ; ③当直线在两坐标轴上的截距互为相反数时,设直线方程为 ,将点 代入,的 , 解得 ,所以直线方程为: ,即 ; 综上所述,直线方程为: 或 或 . 2.已知直线l: 在x轴上的截距的取值范围是( ,3),则其斜率的取值范围 是( ) A. B. 或 C. 或 D. 或 【答案】D 【分析】先求出含参数的直线所过定点坐标,然后求出直线两端点的斜率, 画出示意图,写出范围即可. 【详解】已知直线l:(2+a)x+(a−1)y−3a=0,所以(x+y-3)a+2x-y=0 ,所以直线 过点 , 由题知,在 轴上的截距取值范围是 , 所以直线端点的斜率分别为: ,如图: 或 . 资料整理【淘宝店铺:向阳百分百】3.(2023年福建省模拟数学试题)若过点 的直线与以点 为端点的线段相交,则 直线的倾斜角取值范围为( ) A. B. C. D. 【答案】A 【分析】先在直角坐标系中作出 三点,再求出 的斜率,进而求出对应的倾斜角,结合图象可 知直线的倾斜角的取值范围. 【详解】如图所示,设 的倾斜角为 , 的倾斜角为 ,则所求直线的倾斜角的取值范围为 , 易得 , , 又因为 ,所以 , 所以所求直线的倾斜角的取值范围为 . . 4.(2023届上海市模拟数学试题)设点P是函数 图象上的任意一点,点P处 切线的倾斜角为 ,则角 的取值范围是( ) A. B. C. D. 【答案】B 【分析】求出 ,令 后可求 ,再根据导数的取值范围可得 的范围,从而可得 的取值 资料整理【淘宝店铺:向阳百分百】范围. 【详解】∵ ,∴ , ∴ ,∴ ,∴ , ∴ ,∴ 或 . 5.(2023届辽宁省三模数学试题)已知双曲线C: 的一条渐近线与直线 垂直,则该双曲线C的离心率为( ) A. B. C.2 D. 【答案】A 【分析】求出双曲线C渐近线的方程,再由垂直关系列式,求出 的关系计算离心率作答. 【详解】依题意,双曲线C的渐近线方程为: ,依题意, ,于是 , 双曲线C的实半轴长为 ,虚半轴长为 ,半焦距 , 所以双曲线C的离心率 . 6.(2023届贵州省诊断性考试(三)数学(文)试题)直线 ,直线 ,下列说法正确的是( ) A. ,使得 B. ,使得 C. , 与 都相交 D. ,使得原点到 的距离为3 【答案】B 【分析】对A,要使 ,则 ,所以 ,解之再验证即可判断; 对B,要使 , , ,解之再验证即可判断; 对C,当 时, 与 重合,即可判断; 对D,根据点到直线距离列方程即可判断. 【详解】对A,要使 ,则 ,所以 ,解之得 ,此时 与 重合,选项A错误; 资料整理【淘宝店铺:向阳百分百】对B,要使 , , ,解之得 ,所以B正确; 对C, 过定点 ,该定点在 上,但是当 时, 与 重合,所以C错误; 对D, ,化简得 ,此方程 , 无实数解,所以D 错误. 7.(2023届黑龙江省教学质量检测数学试题)直线l经过点 , ,若直线l与直线 平 行,则 . 【答案】 /0.5 【分析】由题意,利用两直线平行的性质,直线的斜率公式,求得m的值. 【详解】∵直线l经过点 , ,且与直线 平行, ∴ ,求得 . 8.(2023届河南省模拟(理科)数学试题)已知函数 的图象在点 处的切线与直线 互相垂直,则实数 . 【答案】 【分析】对函数 求导得到 ,从而得到在点 处的切线斜率,根据条件结合两直线垂直的 斜率关系得到关于 的方程,即可求解. 【详解】由题意得: , 则在点 处的切线斜率 , 又因为在点 处的切线与直线 互相垂直, 且直线 的斜率为 , 所以 ,解得: . 9.已知直线 恒过定点 ,点 也在直线 上,其中 , 均为正数,则 的最小值为( ) A.2 B.4 C.8 D.6 资料整理【淘宝店铺:向阳百分百】【答案】B 【分析】先将直线方程变形得到定点 的坐标,根据点 在直线 上确定出 所满足的关系, 最后根据“ ”的妙用求解出 的最小值. 【详解】已知直线 整理得: , 直线恒过定点 ,即 . 点 也在直线 上, 所以 ,整理得: , 由于 , 均为正数,则 , 取等号时 ,即 , 【点睛】方法点睛:已知 ,求 的最小值的方法: 将 变形为 ,将其展开可得 ,然后利用基本不等式可求最小值, 即 ,取等号时 . 10.(2023年河南省模拟考试数学试题)直线 关于点 对称的直线方程为( ) A.4x+3y-4=0 B.4x+3y-12=0 C.4x-3y-4=0 D.4x-3y-12=0 【答案】B 【分析】首先设对称直线上任意一点 ,得到 关于 对称点为 ,再代入直线 即可得到答案。 【详解】设直线 关于点 对称的直线上任意一点 , 则 关于 对称点为 , 又因为 在 上,所以 ,即 . 11.已知直线 : 恒过点 ,过点 作直线与圆C: 相交于A,B两 点,则 的最小值为( ) 资料整理【淘宝店铺:向阳百分百】A. B.2 C.4 D. 【答案】A 【分析】写出直线的定点坐标并判断与圆的位置关系,进而确定 最小时直线与直线 的位置关系, 即可得结果. 【详解】由 恒过 , 又 ,即 在圆C内, 要使 最小,只需圆心 与 的连线与该直线垂直,所得弦长最短, 由 ,圆的半径为5, 所以 . 12.已知直线 过定点 ,则点 关于 对称点的坐标为( ) A. B. C. D. 【答案】A 【解析】根据直线方程得到定点A的坐标,设其关于 的对称点坐标,列出方程组,解之即可. 【详解】直线 即 ,故 , 设点 关于 的对称点坐标为 . 则 解得 . 点 关于 的对称点坐标为 . 13.直线ax+y+3a-1=0恒过定点M,则直线2x+3y-6=0关于点M对称的直线方程为( ) A.2x+3y-12=0 B.2x+3y+12=0 C.3x-2y-6=0 D.2x+3y+6=0 【答案】B 【分析】先求出定点M的坐标,再设出与直线2x+3y-6=0关于点M对称的直线方程,利用点到直线距 离公式求出答案. 【详解】由ax+y+3a-1=0得 , 由 ,得 ,∴M(-3,1). 设直线2x+3y-6=0关于点M对称的直线方程为 , 资料整理【淘宝店铺:向阳百分百】∴ ,解得:C=12或C=-6(舍去), ∴直线2x+3y-6=0关于点M对称的直线方程为2x+3y+12=0. 14.直线 被圆O; 截得的弦长最短,则实数m= . 【答案】1 【分析】求出直线MN过定点A(1,1),进而判断点A在圆内,当 时,|MN|取最小值,利用两 直线斜率之积为-1计算即可. 【详解】直线MN的方程可化为 , 由 ,得 , 所以直线MN过定点A(1,1), 因为 ,即点A在圆 内. 当 时,|MN|取最小值, 由 ,得 ,∴ . 15.设 ,过定点 的动直线 和过定点 的动直线 相交于点 不 重合),则 面积的最大值是( ) A. B.5 C. D. 【答案】D 【分析】由题意结合直线位置关系的判断可得两直线互相垂直,由直线过定点可得定点 与定点 ,进而 可得 ,再利用基本不等式及三角形面积公式即得. 【详解】由题意直线 过定点 , 直线 可变为 ,所以该直线过定点 , 所以 , 又 , 所以直线 与直线 互相垂直, 所以 , 所以 即 , 资料整理【淘宝店铺:向阳百分百】当且仅当 时取等号, 所以, ,即 面积的最大值是 . 【能力提升】 1.(2023届湖南省教学质量监测(三)数学试题)写出与圆 和 都相切的 一条直线方程 . 【答案】 或 中任何一个答案均可 【分析】先判断两圆的位置关系,可知公切线斜率存在,方程可设为 ,根据圆心到直线的距离等 于半径列出方程组,解之即可得出答案. 【详解】圆 的圆心为 ,半径为 , 圆 的圆心为 ,半径为 , 则 , 所以两圆外离, 由两圆的圆心都在 轴上,则公切线的斜率一定存在, 设公切线方程为 ,即 , 则有 , 解得 或 或 或 所以公切线方程为 或 . 故答案为: .(答案不唯一,写其它三条均可) 2.动直线 分别与直线 ,曲线 相交于 两点,则 的最小值为( ) 资料整理【淘宝店铺:向阳百分百】A. B. C. D. 【答案】A 【分析】当点 处的切线和直线 平行时, 的值最小,结合导数和解析式求得点 ,再由点到 直线距离公式即可求解. 【详解】设点 是直线 上任意一点﹐点 是曲线 上任意一点,当点 处的切线和直 线 平行时,这两条平行线间的距离 的值最小﹐ 因为直线 的斜率等于 , 曲线 的导数 ,令 , 可得 或 (舍去),故此时点 的坐标为 , . 3.已知 , , 的最小值为( ) A. B.2 C. D. 【答案】B 【分析】设 是函数 图象上的点, 是函数 上的点,把 看成 ,利用几何法判断出当与直线 平行且与 的图象相切时,切 点到直线 的距离为 的最小值,即可求解. 【详解】 可以转化为: 是函数 图象上的点, 是函数 上的点, . 当与直线 平行且与 的图象相切时,切点到直线 的距离为 的最小值. 令 ,解得 或 ,(舍去),又 , 所以切点 到直线 的距离即为 的最小值. 所以 ,所以 . 【点睛】方法点睛:距离的计算方法有两类: (1)几何法:利用几何图形求最值; (2)代数法:把距离表示为函数,利用函数求最值. 资料整理【淘宝店铺:向阳百分百】4.(2023-2024学年江苏省质量检测数学试题)若直线l: 与曲线C: 有两个 交点,则实数k的取值范围是 . 【答案】 【分析】根据题意分析可得曲线C是以 为圆心,1为半径的右半圆,结合图象分析求解. 【详解】因为 ,可得 ,且 , 所以曲线C是以 为圆心,1为半径的右半圆, 直线l: 过定点 ,斜率为 ,如图所示: 当直线l过 时,可得 ; 当直线l: 与曲线C相切,则 ,解得 ; 所以实数k的取值范围是 . 5.(2023届江西省模拟(文科)数学试题)已知抛物线 的焦点为 ,倾斜角为 的直 线 过点 ,且与抛物线 交于 两点, ,设直线 的斜率分别为 ,则 . 【答案】0 【分析】当直线l的斜率 时,设直线l的方程为 ,与抛物线方程联立,结合韦达定理 得出 . 资料整理【淘宝店铺:向阳百分百】【详解】由题意 ,设其倾斜角为 , ,故 ,则 ,故l的方程为 , 与 的方程联立得 ,显然 ,设 ,则 , 所以 , . 6.在平面直角坐标系 中,已知直线 与圆 交于A,B两点,若钝角 的面积为 ,则实数a的值是 . 【答案】 / 【分析】由钝角 的面积为 ,求得 ,得到 ,进而求得圆心到直线的距离 为1,结合点到直线的距离公式,列出方程,即可求解. 【详解】解:由圆 ,即 , 可得圆心坐标为 ,半径为 , 因为钝角 的面积为 ,可得 , 解得 ,因为 ,所以 , 可得 , 设圆心到直线的距离为 ,又由圆的弦长公式,可得 ,解得 , 根据点到直线 的距离公式 ,解得 . 资料整理【淘宝店铺:向阳百分百】7.(2023届湖北省调研数学试题)若两条直线 与圆 的四个 交点能构成矩形,则 . 【答案】8 【分析】由题意知圆心到两直线的距离相等,得到等量关系求解即可. 【详解】由题意直线 平行,且与圆的四个交点构成矩形, 则可知圆心到两直线的距离相等, 由圆 的圆心为: , 圆心到 的距离为: , 圆心到 的距离为: , 所以 , 由题意 , 所以 . 8.过点 的直线与椭圆 交于点 和 ,且 .点 满足 ,若 为坐标原 点,则线段 长度的最小值为 . 【答案】 【分析】利用向量数乘的坐标运算可得 ,由此可求得 点轨迹为直 线,将问题转化为原点到直线距离的求解即可. 【详解】设 , , , , , , , 由 , 得: , , 资料整理【淘宝店铺:向阳百分百】两式相乘得: ,同理可得: , , 由题意知: 且 ,否则与 矛盾, , 点轨迹为 ,即直线 , 线段 长度的最小值即为原点到直线的距离, . 【点睛】关键点点睛:本题解题关键是能够利用向量坐标运算求得动点 的轨迹方程,根据轨迹为直线可 将问题转化为坐标原点到直线距离的求解. 9.已知直线 过定点A,直线 过定点B, 与 的交点为C,则 的最大值为 . 【答案】 【分析】由已知直线方程可得 、 且 、 相互垂直,进而可知 的轨迹是以 为直径的 圆,令 则 且 ,利用基本不等式求 的最大值,注意等号成立条 件,即可知 的最大值. 【详解】由 ,则 过定点 , 由 ,则 过定点 , 显然 ,即 、 相互垂直,而 与 的交点为C, 所以 的轨迹是以 为直径的圆,且圆心为 、半径为 , 令 ,则 ,且 , 所以 , 当且仅当 ,即 时等号成立, 所以 的最大为 . 10.(2023届福建省考前最后一卷数学试题)已知圆C: ,直线l的横纵截距相等且与 圆C相切﹐则直线l的方程为 . 【答案】 ,或 ,或 【分析】对切线的是否过原点进行分类讨论,设出直线方程,利用圆心到直线的距离等于半径,求出参数 的值,即可得出直线的方程. 资料整理【淘宝店铺:向阳百分百】【详解】圆 的标准方程为 ,圆心为 ,半径为 , 因为直线l的横纵截距相等,所以直线 的斜率存在, 当直线 过原点时,设直线 的方程为 ,因为直线l与圆C相切, 此时圆心到直线 的距离等于半径,可得 ,解得 ,所以切线方程为 ; 当直线 不过原点时,设直线 的方程为 ,因为直线l与圆C相切, 此时圆心到直线 的距离等于半径,可得 ,解得 ,所以切线方程为 或 , 综上所述,直线l的方程为 ,或 ,或 . 11.(2022年普通高等学校招生全国统一考试数学模拟测试(新高考))阿基米德(公元前287年——公 元前212年)是古希腊伟大的物理学家、数学家、天文学家,不仅在物理学方面贡献巨大,还享有“数学 之神”的称号.抛物线上任意两点A、B处的切线交于点P,称 为“阿基米德三角形”.已知抛物线 C: 的焦点为F,过A、B两点的直线的方程为 ,关于“阿基米德三角形” , 下列结论正确的是 . ①. ②. ③.点P的坐标为 ④. 【答案】①②④ 【分析】由直线方程与抛物线方程联立,解得 两点的坐标,计算线段 的长判断①,利用导数的几 何意义求得切线方程,由切线斜率关系判断②,两切线方程联立求得交点 的坐标判断③,由直线 的斜率关系判断④. 【详解】设 , , 联立 ,可得 , 资料整理【淘宝店铺:向阳百分百】解得 或 , 不妨设 , ,则 , , 故 , , ,①项正确; 又因为 ,所以 ,故直线PA的斜率为 , 直线PA的方程为 ,即 , 同理可得直线PB的方程为 , , 所以 ,②项正确; 联立 ,可得 , 故点P的坐标为 ,③项错误; 易知点F的坐标为 , , , 所以 ,④项正确. 12.(2023届江苏省调研测试数学试题)已知抛物线 的焦点为 ,以该抛物线上三点 为切 点的切线分别是 ,直线 相交于点 与 分别相交于点 .记 的横坐标分别为 , 则( ) ①. ②. ③. ④. 【答案】②③④ 【分析】利用导函数和斜率的关系表示出切线方程可求出 的坐标可判断①,根据向量数量积的坐标运算 判断②并根据两点间的距离公式运算求解即可判断③④. 【详解】设 , 资料整理【淘宝店铺:向阳百分百】所以 ,即 , 同理 , ,即 ,也即 ,②正确; 不一定为 ①错误; ③正确; ,④正确. 13.如图, , 是某景区的两条道路(宽度忽略不计, 为东西方向),Q为景区内一景点,A为 道路 上一游客休息区,已知 , (百米),Q到直线 , 的距离分别为3 资料整理【淘宝店铺:向阳百分百】(百米), (百米),现新修一条自A经过Q的有轨观光直路并延伸至道路 于点B,并在B处修 建一游客休息区. (1)求有轨观光直路 的长; (2)已知在景点Q的正北方6百米的P处有一大型组合音乐喷泉,喷泉表演一次的时长为9分钟,表演 时,喷泉喷洒区域以P为圆心,r为半径变化,且t分钟时, (百米)( , ).当喷 泉表演开始时,一观光车S(大小忽略不计)正从休息区B沿(1)中的轨道 以 (百米/分钟)的速 度开往休息区A,问:观光车在行驶途中是否会被喷泉喷洒到,并说明理由. 【答案】(1) ;(2)喷泉的水流不会洒到观光车上,理由见解析 【分析】(1)建立如图平面直角坐标系,易得 ,直线 的方程为 , ,由点 到直线距离,求出 ,从而直线 的方程为 ,联产方程组求出 的坐标,由此能求出轨 道的长; (2)将喷泉记为圆 ,由题意得 ,生成 分钟时,观光车在线段AB上的点C处,则 , ,从而 ,若喷泉不会洒到观光车上,则 对 恒成立,由此能求出喷泉 的水流不会洒到观光车上. 【详解】(1)以点O为坐标原点,直线 为x轴,建立平面直角坐标系,如图所示. 则由题设得: ,直线 的方程为 , ( ). 由 ,解得 ,所以 . 故直线 的方程为 , 资料整理【淘宝店铺:向阳百分百】由 得 即 ,故 , 答:水上旅游线 的长为 . (2)将喷泉记为圆P,由题意可得 , 生成t分钟时,观光车在线段 上的点C处, 则 , ,所以 . 若喷泉不会洒到观光车上,则 对 恒成立, 即 , 当 时,上式成立, 当 时, , ,当且仅当 时取等号, 因为 ,所以 恒成立,即喷泉的水流不会洒到观光车上. 答:喷泉的水流不会洒到观光车上. 【点睛】本题考查轨道长的求法,考查喷泉的水流能否洒到观光车上的判断,考查函数性质有生产生活中 的应用等基础知识,考查运算求解能力和应用意识,属于中档题. 资料整理【淘宝店铺:向阳百分百】【真题感知】 1.(2022年全国高考甲卷数学(理)试题)椭圆 的左顶点为A,点P,Q均在C 上,且关于y轴对称.若直线 的斜率之积为 ,则C的离心率为( ) A. B. C. D. 【答案】A 【分析】设 ,则 ,根据斜率公式结合题意可得 ,再根据 ,将 用 表示,整理,再结合离心率公式即可得解. 【详解】[方法一]:设而不求 设 ,则 则由 得: , 由 ,得 , 所以 ,即 , 所以椭圆 的离心率 ,故选A. [方法二]:第三定义 设右端点为B,连接PB,由椭圆的对称性知: 资料整理【淘宝店铺:向阳百分百】故 , 由椭圆第三定义得: , 故 所以椭圆 的离心率 . 2.(2022年全国新高考II卷数学试题)设点 ,若直线 关于 对称的直线与圆 有公共点,则a的取值范围是 . 【答案】 【分析】首先求出点 关于 对称点 的坐标,即可得到直线 的方程,根据圆心到直线的距离小于等 于半径得到不等式,解得即可; 【详解】解: 关于 对称的点的坐标为 , 在直线 上, 所以 所在直线即为直线 ,所以直线 为 ,即 ; 圆 ,圆心 ,半径 ,依题意圆心到直线 的距离 , 即 ,解得 ,即 ; 3.(2021年全国高考乙卷数学(文)试题)双曲线 的右焦点到直线 的距离为 . 【答案】 【分析】先求出右焦点坐标,再利用点到直线的距离公式求解. 【详解】由已知, ,所以双曲线的右焦点为 , 所以右焦点 到直线 的距离为 . 资料整理【淘宝店铺:向阳百分百】4.(2018年全国卷Ⅲ文数高考试题)已知双曲线 的离心率为 ,则点 到 的渐近线的距离为 A. B. C. D. 【答案】D 【详解】分析:由离心率计算出 ,得到渐近线方程,再由点到直线距离公式计算即可. 详解: , ,所以双曲线的渐近线方程为 所以点(4,0)到渐近线的距离 点睛:本题考查双曲线的离心率,渐近线和点到直线距离公式,属于中档题. 资料整理【淘宝店铺:向阳百分百】