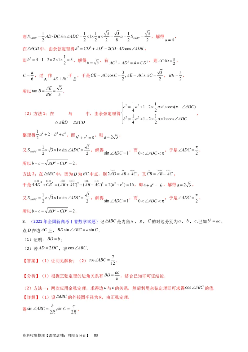
当前位置:首页>文档>专题13正、余弦定理与解三角形(教师版)_02高考数学_通用版(老高考)复习资料_2024年复习资料_完备战2024年高考数学一轮复习考点帮(全国通用)_核心考点讲练

专题13正、余弦定理与解三角形(教师版)_02高考数学_通用版(老高考)复习资料_2024年复习资料_完备战2024年高考数学一轮复习考点帮(全国通用)_核心考点讲练

  • 2026-05-12 06:47:15 2026-04-12 00:50:29

文档预览

专题13正、余弦定理与解三角形(教师版)_02高考数学_通用版(老高考)复习资料_2024年复习资料_完备战2024年高考数学一轮复习考点帮(全国通用)_核心考点讲练
专题13正、余弦定理与解三角形(教师版)_02高考数学_通用版(老高考)复习资料_2024年复习资料_完备战2024年高考数学一轮复习考点帮(全国通用)_核心考点讲练
专题13正、余弦定理与解三角形(教师版)_02高考数学_通用版(老高考)复习资料_2024年复习资料_完备战2024年高考数学一轮复习考点帮(全国通用)_核心考点讲练
专题13正、余弦定理与解三角形(教师版)_02高考数学_通用版(老高考)复习资料_2024年复习资料_完备战2024年高考数学一轮复习考点帮(全国通用)_核心考点讲练
专题13正、余弦定理与解三角形(教师版)_02高考数学_通用版(老高考)复习资料_2024年复习资料_完备战2024年高考数学一轮复习考点帮(全国通用)_核心考点讲练
专题13正、余弦定理与解三角形(教师版)_02高考数学_通用版(老高考)复习资料_2024年复习资料_完备战2024年高考数学一轮复习考点帮(全国通用)_核心考点讲练
专题13正、余弦定理与解三角形(教师版)_02高考数学_通用版(老高考)复习资料_2024年复习资料_完备战2024年高考数学一轮复习考点帮(全国通用)_核心考点讲练
专题13正、余弦定理与解三角形(教师版)_02高考数学_通用版(老高考)复习资料_2024年复习资料_完备战2024年高考数学一轮复习考点帮(全国通用)_核心考点讲练
专题13正、余弦定理与解三角形(教师版)_02高考数学_通用版(老高考)复习资料_2024年复习资料_完备战2024年高考数学一轮复习考点帮(全国通用)_核心考点讲练
专题13正、余弦定理与解三角形(教师版)_02高考数学_通用版(老高考)复习资料_2024年复习资料_完备战2024年高考数学一轮复习考点帮(全国通用)_核心考点讲练
专题13正、余弦定理与解三角形(教师版)_02高考数学_通用版(老高考)复习资料_2024年复习资料_完备战2024年高考数学一轮复习考点帮(全国通用)_核心考点讲练
专题13正、余弦定理与解三角形(教师版)_02高考数学_通用版(老高考)复习资料_2024年复习资料_完备战2024年高考数学一轮复习考点帮(全国通用)_核心考点讲练
专题13正、余弦定理与解三角形(教师版)_02高考数学_通用版(老高考)复习资料_2024年复习资料_完备战2024年高考数学一轮复习考点帮(全国通用)_核心考点讲练
专题13正、余弦定理与解三角形(教师版)_02高考数学_通用版(老高考)复习资料_2024年复习资料_完备战2024年高考数学一轮复习考点帮(全国通用)_核心考点讲练
专题13正、余弦定理与解三角形(教师版)_02高考数学_通用版(老高考)复习资料_2024年复习资料_完备战2024年高考数学一轮复习考点帮(全国通用)_核心考点讲练
专题13正、余弦定理与解三角形(教师版)_02高考数学_通用版(老高考)复习资料_2024年复习资料_完备战2024年高考数学一轮复习考点帮(全国通用)_核心考点讲练
专题13正、余弦定理与解三角形(教师版)_02高考数学_通用版(老高考)复习资料_2024年复习资料_完备战2024年高考数学一轮复习考点帮(全国通用)_核心考点讲练
专题13正、余弦定理与解三角形(教师版)_02高考数学_通用版(老高考)复习资料_2024年复习资料_完备战2024年高考数学一轮复习考点帮(全国通用)_核心考点讲练
专题13正、余弦定理与解三角形(教师版)_02高考数学_通用版(老高考)复习资料_2024年复习资料_完备战2024年高考数学一轮复习考点帮(全国通用)_核心考点讲练
专题13正、余弦定理与解三角形(教师版)_02高考数学_通用版(老高考)复习资料_2024年复习资料_完备战2024年高考数学一轮复习考点帮(全国通用)_核心考点讲练
专题13正、余弦定理与解三角形(教师版)_02高考数学_通用版(老高考)复习资料_2024年复习资料_完备战2024年高考数学一轮复习考点帮(全国通用)_核心考点讲练
专题13正、余弦定理与解三角形(教师版)_02高考数学_通用版(老高考)复习资料_2024年复习资料_完备战2024年高考数学一轮复习考点帮(全国通用)_核心考点讲练
专题13正、余弦定理与解三角形(教师版)_02高考数学_通用版(老高考)复习资料_2024年复习资料_完备战2024年高考数学一轮复习考点帮(全国通用)_核心考点讲练
专题13正、余弦定理与解三角形(教师版)_02高考数学_通用版(老高考)复习资料_2024年复习资料_完备战2024年高考数学一轮复习考点帮(全国通用)_核心考点讲练
专题13正、余弦定理与解三角形(教师版)_02高考数学_通用版(老高考)复习资料_2024年复习资料_完备战2024年高考数学一轮复习考点帮(全国通用)_核心考点讲练
专题13正、余弦定理与解三角形(教师版)_02高考数学_通用版(老高考)复习资料_2024年复习资料_完备战2024年高考数学一轮复习考点帮(全国通用)_核心考点讲练
专题13正、余弦定理与解三角形(教师版)_02高考数学_通用版(老高考)复习资料_2024年复习资料_完备战2024年高考数学一轮复习考点帮(全国通用)_核心考点讲练
专题13正、余弦定理与解三角形(教师版)_02高考数学_通用版(老高考)复习资料_2024年复习资料_完备战2024年高考数学一轮复习考点帮(全国通用)_核心考点讲练
专题13正、余弦定理与解三角形(教师版)_02高考数学_通用版(老高考)复习资料_2024年复习资料_完备战2024年高考数学一轮复习考点帮(全国通用)_核心考点讲练
专题13正、余弦定理与解三角形(教师版)_02高考数学_通用版(老高考)复习资料_2024年复习资料_完备战2024年高考数学一轮复习考点帮(全国通用)_核心考点讲练
专题13正、余弦定理与解三角形(教师版)_02高考数学_通用版(老高考)复习资料_2024年复习资料_完备战2024年高考数学一轮复习考点帮(全国通用)_核心考点讲练
专题13正、余弦定理与解三角形(教师版)_02高考数学_通用版(老高考)复习资料_2024年复习资料_完备战2024年高考数学一轮复习考点帮(全国通用)_核心考点讲练
专题13正、余弦定理与解三角形(教师版)_02高考数学_通用版(老高考)复习资料_2024年复习资料_完备战2024年高考数学一轮复习考点帮(全国通用)_核心考点讲练
专题13正、余弦定理与解三角形(教师版)_02高考数学_通用版(老高考)复习资料_2024年复习资料_完备战2024年高考数学一轮复习考点帮(全国通用)_核心考点讲练
专题13正、余弦定理与解三角形(教师版)_02高考数学_通用版(老高考)复习资料_2024年复习资料_完备战2024年高考数学一轮复习考点帮(全国通用)_核心考点讲练
专题13正、余弦定理与解三角形(教师版)_02高考数学_通用版(老高考)复习资料_2024年复习资料_完备战2024年高考数学一轮复习考点帮(全国通用)_核心考点讲练
专题13正、余弦定理与解三角形(教师版)_02高考数学_通用版(老高考)复习资料_2024年复习资料_完备战2024年高考数学一轮复习考点帮(全国通用)_核心考点讲练
专题13正、余弦定理与解三角形(教师版)_02高考数学_通用版(老高考)复习资料_2024年复习资料_完备战2024年高考数学一轮复习考点帮(全国通用)_核心考点讲练
专题13正、余弦定理与解三角形(教师版)_02高考数学_通用版(老高考)复习资料_2024年复习资料_完备战2024年高考数学一轮复习考点帮(全国通用)_核心考点讲练
专题13正、余弦定理与解三角形(教师版)_02高考数学_通用版(老高考)复习资料_2024年复习资料_完备战2024年高考数学一轮复习考点帮(全国通用)_核心考点讲练
专题13正、余弦定理与解三角形(教师版)_02高考数学_通用版(老高考)复习资料_2024年复习资料_完备战2024年高考数学一轮复习考点帮(全国通用)_核心考点讲练
专题13正、余弦定理与解三角形(教师版)_02高考数学_通用版(老高考)复习资料_2024年复习资料_完备战2024年高考数学一轮复习考点帮(全国通用)_核心考点讲练
专题13正、余弦定理与解三角形(教师版)_02高考数学_通用版(老高考)复习资料_2024年复习资料_完备战2024年高考数学一轮复习考点帮(全国通用)_核心考点讲练
专题13正、余弦定理与解三角形(教师版)_02高考数学_通用版(老高考)复习资料_2024年复习资料_完备战2024年高考数学一轮复习考点帮(全国通用)_核心考点讲练
专题13正、余弦定理与解三角形(教师版)_02高考数学_通用版(老高考)复习资料_2024年复习资料_完备战2024年高考数学一轮复习考点帮(全国通用)_核心考点讲练
专题13正、余弦定理与解三角形(教师版)_02高考数学_通用版(老高考)复习资料_2024年复习资料_完备战2024年高考数学一轮复习考点帮(全国通用)_核心考点讲练
专题13正、余弦定理与解三角形(教师版)_02高考数学_通用版(老高考)复习资料_2024年复习资料_完备战2024年高考数学一轮复习考点帮(全国通用)_核心考点讲练
专题13正、余弦定理与解三角形(教师版)_02高考数学_通用版(老高考)复习资料_2024年复习资料_完备战2024年高考数学一轮复习考点帮(全国通用)_核心考点讲练
专题13正、余弦定理与解三角形(教师版)_02高考数学_通用版(老高考)复习资料_2024年复习资料_完备战2024年高考数学一轮复习考点帮(全国通用)_核心考点讲练
专题13正、余弦定理与解三角形(教师版)_02高考数学_通用版(老高考)复习资料_2024年复习资料_完备战2024年高考数学一轮复习考点帮(全国通用)_核心考点讲练
专题13正、余弦定理与解三角形(教师版)_02高考数学_通用版(老高考)复习资料_2024年复习资料_完备战2024年高考数学一轮复习考点帮(全国通用)_核心考点讲练
专题13正、余弦定理与解三角形(教师版)_02高考数学_通用版(老高考)复习资料_2024年复习资料_完备战2024年高考数学一轮复习考点帮(全国通用)_核心考点讲练
专题13正、余弦定理与解三角形(教师版)_02高考数学_通用版(老高考)复习资料_2024年复习资料_完备战2024年高考数学一轮复习考点帮(全国通用)_核心考点讲练
专题13正、余弦定理与解三角形(教师版)_02高考数学_通用版(老高考)复习资料_2024年复习资料_完备战2024年高考数学一轮复习考点帮(全国通用)_核心考点讲练
专题13正、余弦定理与解三角形(教师版)_02高考数学_通用版(老高考)复习资料_2024年复习资料_完备战2024年高考数学一轮复习考点帮(全国通用)_核心考点讲练
专题13正、余弦定理与解三角形(教师版)_02高考数学_通用版(老高考)复习资料_2024年复习资料_完备战2024年高考数学一轮复习考点帮(全国通用)_核心考点讲练
专题13正、余弦定理与解三角形(教师版)_02高考数学_通用版(老高考)复习资料_2024年复习资料_完备战2024年高考数学一轮复习考点帮(全国通用)_核心考点讲练
专题13正、余弦定理与解三角形(教师版)_02高考数学_通用版(老高考)复习资料_2024年复习资料_完备战2024年高考数学一轮复习考点帮(全国通用)_核心考点讲练
专题13正、余弦定理与解三角形(教师版)_02高考数学_通用版(老高考)复习资料_2024年复习资料_完备战2024年高考数学一轮复习考点帮(全国通用)_核心考点讲练
专题13正、余弦定理与解三角形(教师版)_02高考数学_通用版(老高考)复习资料_2024年复习资料_完备战2024年高考数学一轮复习考点帮(全国通用)_核心考点讲练
专题13正、余弦定理与解三角形(教师版)_02高考数学_通用版(老高考)复习资料_2024年复习资料_完备战2024年高考数学一轮复习考点帮(全国通用)_核心考点讲练
专题13正、余弦定理与解三角形(教师版)_02高考数学_通用版(老高考)复习资料_2024年复习资料_完备战2024年高考数学一轮复习考点帮(全国通用)_核心考点讲练
专题13正、余弦定理与解三角形(教师版)_02高考数学_通用版(老高考)复习资料_2024年复习资料_完备战2024年高考数学一轮复习考点帮(全国通用)_核心考点讲练
专题13正、余弦定理与解三角形(教师版)_02高考数学_通用版(老高考)复习资料_2024年复习资料_完备战2024年高考数学一轮复习考点帮(全国通用)_核心考点讲练
专题13正、余弦定理与解三角形(教师版)_02高考数学_通用版(老高考)复习资料_2024年复习资料_完备战2024年高考数学一轮复习考点帮(全国通用)_核心考点讲练
专题13正、余弦定理与解三角形(教师版)_02高考数学_通用版(老高考)复习资料_2024年复习资料_完备战2024年高考数学一轮复习考点帮(全国通用)_核心考点讲练
专题13正、余弦定理与解三角形(教师版)_02高考数学_通用版(老高考)复习资料_2024年复习资料_完备战2024年高考数学一轮复习考点帮(全国通用)_核心考点讲练
专题13正、余弦定理与解三角形(教师版)_02高考数学_通用版(老高考)复习资料_2024年复习资料_完备战2024年高考数学一轮复习考点帮(全国通用)_核心考点讲练
专题13正、余弦定理与解三角形(教师版)_02高考数学_通用版(老高考)复习资料_2024年复习资料_完备战2024年高考数学一轮复习考点帮(全国通用)_核心考点讲练
专题13正、余弦定理与解三角形(教师版)_02高考数学_通用版(老高考)复习资料_2024年复习资料_完备战2024年高考数学一轮复习考点帮(全国通用)_核心考点讲练
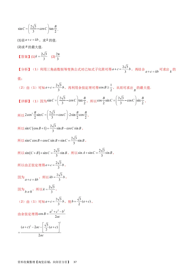
专题13正、余弦定理与解三角形(教师版)_02高考数学_通用版(老高考)复习资料_2024年复习资料_完备战2024年高考数学一轮复习考点帮(全国通用)_核心考点讲练
专题13正、余弦定理与解三角形(教师版)_02高考数学_通用版(老高考)复习资料_2024年复习资料_完备战2024年高考数学一轮复习考点帮(全国通用)_核心考点讲练
专题13正、余弦定理与解三角形(教师版)_02高考数学_通用版(老高考)复习资料_2024年复习资料_完备战2024年高考数学一轮复习考点帮(全国通用)_核心考点讲练
专题13正、余弦定理与解三角形(教师版)_02高考数学_通用版(老高考)复习资料_2024年复习资料_完备战2024年高考数学一轮复习考点帮(全国通用)_核心考点讲练
专题13正、余弦定理与解三角形(教师版)_02高考数学_通用版(老高考)复习资料_2024年复习资料_完备战2024年高考数学一轮复习考点帮(全国通用)_核心考点讲练
专题13正、余弦定理与解三角形(教师版)_02高考数学_通用版(老高考)复习资料_2024年复习资料_完备战2024年高考数学一轮复习考点帮(全国通用)_核心考点讲练
专题13正、余弦定理与解三角形(教师版)_02高考数学_通用版(老高考)复习资料_2024年复习资料_完备战2024年高考数学一轮复习考点帮(全国通用)_核心考点讲练
专题13正、余弦定理与解三角形(教师版)_02高考数学_通用版(老高考)复习资料_2024年复习资料_完备战2024年高考数学一轮复习考点帮(全国通用)_核心考点讲练
专题13正、余弦定理与解三角形(教师版)_02高考数学_通用版(老高考)复习资料_2024年复习资料_完备战2024年高考数学一轮复习考点帮(全国通用)_核心考点讲练
专题13正、余弦定理与解三角形(教师版)_02高考数学_通用版(老高考)复习资料_2024年复习资料_完备战2024年高考数学一轮复习考点帮(全国通用)_核心考点讲练
专题13正、余弦定理与解三角形(教师版)_02高考数学_通用版(老高考)复习资料_2024年复习资料_完备战2024年高考数学一轮复习考点帮(全国通用)_核心考点讲练
专题13正、余弦定理与解三角形(教师版)_02高考数学_通用版(老高考)复习资料_2024年复习资料_完备战2024年高考数学一轮复习考点帮(全国通用)_核心考点讲练
专题13正、余弦定理与解三角形(教师版)_02高考数学_通用版(老高考)复习资料_2024年复习资料_完备战2024年高考数学一轮复习考点帮(全国通用)_核心考点讲练
专题13正、余弦定理与解三角形(教师版)_02高考数学_通用版(老高考)复习资料_2024年复习资料_完备战2024年高考数学一轮复习考点帮(全国通用)_核心考点讲练
专题13正、余弦定理与解三角形(教师版)_02高考数学_通用版(老高考)复习资料_2024年复习资料_完备战2024年高考数学一轮复习考点帮(全国通用)_核心考点讲练
专题13正、余弦定理与解三角形(教师版)_02高考数学_通用版(老高考)复习资料_2024年复习资料_完备战2024年高考数学一轮复习考点帮(全国通用)_核心考点讲练
专题13正、余弦定理与解三角形(教师版)_02高考数学_通用版(老高考)复习资料_2024年复习资料_完备战2024年高考数学一轮复习考点帮(全国通用)_核心考点讲练
专题13正、余弦定理与解三角形(教师版)_02高考数学_通用版(老高考)复习资料_2024年复习资料_完备战2024年高考数学一轮复习考点帮(全国通用)_核心考点讲练
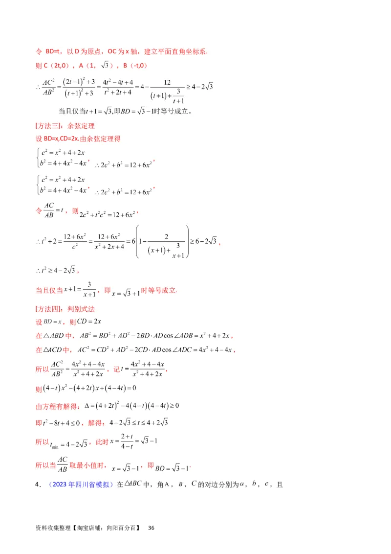
专题13正、余弦定理与解三角形(教师版)_02高考数学_通用版(老高考)复习资料_2024年复习资料_完备战2024年高考数学一轮复习考点帮(全国通用)_核心考点讲练
专题13正、余弦定理与解三角形(教师版)_02高考数学_通用版(老高考)复习资料_2024年复习资料_完备战2024年高考数学一轮复习考点帮(全国通用)_核心考点讲练
专题13正、余弦定理与解三角形(教师版)_02高考数学_通用版(老高考)复习资料_2024年复习资料_完备战2024年高考数学一轮复习考点帮(全国通用)_核心考点讲练

文档信息

文档格式
docx
文档大小
5.547 MB
文档页数
87 页
上传时间
2026-04-12 00:50:29

文档内容

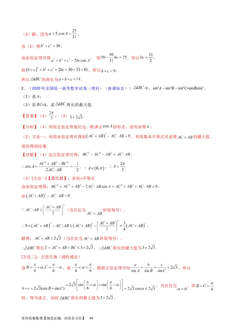
专题 13 正、余弦定理与解三角形 (核心考点精讲精练) 1. 近几年真题考点分布 正、余弦定理与解三角形近几年考情 考题示例 考点分析 关联考点 1、利用正弦定理求角 2022年全国乙(文科),第17题,12分 诱导公式 2、利用正、余弦定理证明不等式 1、利用正、余弦定理证明不等式 2022年全国乙(理科),第17题,12分 2、利用正、余弦定理求三角形的周长 2022年全国甲(理科),第16题,5分 用余弦定理解三角形,边长比取最值 基本不等式 时,求边长 2022年全国甲(文科),第16题,5分 2023年全国乙(文科),第4题,5分 利用正弦定理求角 诱导公式 1、利用余弦定理求角的正弦值 2023年全国乙(理科),第18题,12分 同角公式 2、利用面积公式求面积 2023年全国乙(理科),第9题,5分 利用正、余弦定理线面角的正切值 线面角、二面角 2023年全国甲(理科),第16题,5分 正、余弦定理解三角形,求边长 1、求边长的乘积 2023年全国甲(文科),第17题,12分 恒等变换 2、正、余弦定理解三角形,求面积 2. 命题规律及备考策略 【命题规律】1.本节高考常考,各种题型均有出现; 2.常以最值问题出现在小题的压轴题位置; 3.常考查利用正、余弦定理解三角形,求面积、周长及代数式的取值范围 4.考查正、余弦定理在实际情景中的应用 【备考策略】1.能用正弦定理及面积公式解三角形; 2.能用余弦定理解三角形; 3.掌握正、余弦定理的简单实际应用; 【命题预测】1.利用正、余弦定理证明不等式 资料收集整理【淘宝店铺:向阳百分百】 12.利用正、余弦定理解三角形,求面积、周长及代数式的取值范围 3.正、余弦定理中的结构不良问题 4.正、余弦定理在实际情景中的应用 知识讲解 一、正弦定理、余弦定理 在△ABC中,若角A,B,C所对的边分别是a,b,c,R为△ABC外接圆的半径,则 定理 正弦定理 余弦定理 a2=b2+c2-2bccos A; a b c 内容 = = =2R b2= c 2 +a 2 - 2 ca cos B ; sinA sinB sinC c2=a2+b2-2abcos C (1)a=2Rsin A,b= 2 R sin B ,c=2Rsin C; b2 +c2 −a2 a b c cosA= (2)sin A= ,sin B= ,sin C= ; 2bc ; 变形 2R 2R 2R a2 +c2 −b2 (3)a∶b∶c= si n A ∶si n B ∶si n C ; cosB= (4)asin B=bsin A,bsin C=csin B,asin C=csin A 2ac ; 资料收集整理【淘宝店铺:向阳百分百】 2a2 +b2 −c2 cosC= 2ab . 二、三角形的面积公式 1 1 1 S= ah= bh= ch 2 a 2 b 2 c (h ,h ,h 分别表示a,b,c边上的高); a b c 1 1 1 S= absinC= acsinB= bcsinA 2 2 2 ; 1 S= (a+b+c)r 2 (r为△ABC内切圆的半径); abc S= 4R (R为△ABC外接圆的半径); ( 1 ) S=√p(p−a)(p−b)(p−c) p= (a+b+c) 2 三、在△ABC中,已知a,b和角A时,解的情况如下: 图形 关系式 解的个数 a=bsin A 一解 b si n A b 一解 直角 四、实际应用中的常用术语 1.仰角和俯角 与目标视线在同一铅垂平面内的水平线和目标视线的夹角,目标线在水平线上方时叫仰角,目标视线在水平线 下方时叫俯角(如图①). 2.方向角 相对于某正方向的水平角,如南偏东30°,北偏西45°等. 3.方位角 指从正北方向顺时针转到目标方向线所成的水平角.如点B的方位角为α(如图②). 4.坡度(又称坡比) 坡面的垂直高度与水平长度之比. 资料收集整理【淘宝店铺:向阳百分百】 3A+B π C = − 2 2 2 1.三角形内角和定理:在△ABC中,A+B+C=π,变形为 . 2.三角形中的三角函数关系 (1)sin(A+B)= sin C ,sin(A+C)=sin B,sin(B+C)=sin A; (2)cos(A+B)= - cos C,cos(A+C)= - co s B,cos(B+C)= - cos A; A+B C A+C B B+C A sin =sin sin =sin sin =sin 2 2 2 2 2 2 (3) , , ; A+B C A+C B B+C A cos =sin cos =sin cos =sin 2 2 2 2 2 2 (4) , , ; 3.在△ABC中,sin A>sin B⇔A>B⇔a>b,cos A>cos B⇔A0且cosB>0且cosC>0 7.若△ABC为锐角三角形,则 或三个角中最大角的余弦值为正. cosA<0或cosB<0或cosC<0 8.若△ABC为钝角三角形,则 . sinA>0,sinB>0,sinC>0 9.在△ABC中,各个角的正弦值一定大于0,即 . 利用正弦、余弦定理判断三角形形状的思路 (1)“角化边”:利用正弦、余弦定理把已知条件转化为只含边的关系,通过因式分解、配方等得出边的关 系,从而判断三角形的形状. (2)“边化角”:利用正弦、余弦定理把已知条件转化为只含内角的三角函数间的关系,通过三角函数恒等 变形,得出内角的关系,从而判断三角形的形状,此时要注意应用A+B+C=π这个结论. 1.求三角形面积的方法 (1)若三角形中已知一个角(角的大小或该角的正、余弦值)以及该角的两边,代入公式求面积; (2)若已知三角形的三边,可先求其一个角的余弦值,再求其正弦值,代入公式求面积. 总之,结合图形恰当选择面积公式是解题的关键. 2.已知三角形面积求边、角的方法 (1)若求角,就寻求夹这个角的两边的关系,利用面积公式列方程求解; (2)若求边,就寻求与该边(或两边)有关联的角,利用面积公式列方程求解. 平面几何图形中研究或求与角有关的长度、角度、面积的最值、优化设计等问题,通常是转化到三角形中,利 用正、余弦定理,通过运算的方法加以解决.在解决某些具体问题时,常先引入变量,如边长、角度等,然后把要 解三角形的边或角用所设变量表示出来,再利用正、余弦定理列出方程求解,若研究最值,常使用函数思想. 解三角形与三角函数综合问题的一般步骤: 资料收集整理【淘宝店铺:向阳百分百】 4利用向量的有关知识,把问题转化为三角形的边角关系,再结合正弦、余弦定理解三角形. 距离问题的类型及解法 (1)类型:两点间既不可达也不可视,两点间可视但不可达,两点都不可达. (2)解法:选择合适的辅助测量点,构造三角形,将问题转化为求某个三角形的边长问题,从而利用正、余弦 定理求解. 求解高度问题:理解仰角、俯角(在铅垂面上所成的角)、方向(位)角(在水平面上所成的角)是关键,遇到空 间与平面(地面)同时研究的问题,这时最好画两个图形,一个空间图形,一个平面图形,这样处理起来既清楚又 不容易搞错. 1.测量角度问题的关键是在弄清题意的基础上,画出表示实际问题的图形,并在图形中标出有关的角和距 离,再用正弦定理或余弦定理解三角形,最后将解得的结果转化为实际问题的解. 2.方向角是相对于某点而言的,因此在确定方向角时,必须先弄清楚是哪一个点的方向角. 考点一、判断三角形的形状 1.△ABC的内角A,B,C所对的边分别为 a,b,c ,若bcosC+ccosB=asinA,则△ABC的形状为 . 【答案】直角三角形 【详解】(法一)因为bcosC+ccosB=asinA, 所以由正弦定理知 sinBcosC+sinCcosB=sinAsinA, 得 sin(B+C)=sinAsinA . π 又 sin(B+C)=sinA ,得 sinA=1,即A= 2 , 因此△ABC是直角三角形. a2 +b2 −c2 a2 +c2 −b2 2a2 (法二)因为bcosC+ccosB=b⋅ +c⋅ = =a , 2ab 2ab 2a π 所以 ,即 ,故 A= ,因此△ABC是直角三角形. asinA=a sinA=1 2 sinA a 2.在△ABC中,角A,B,C的对边分别为 ,若 = ,(b+c+a)(b+c−a)=3bc ,则△ABC是 a,b,c sinB c 三角形. 【答案】等边 sinA a a a 【详解】因为 = ,所以 = ,所以 . sinB c b c b=c 又(b+c+a)(b+c−a)=3bc ,所以4b2 −a2 =3b2 ,所以a=b=c,所以△ABC是等边三角形. 3.(2023年四川省模拟)在 中,若 , ,则 的形状 为( ) 资料收集整理【淘宝店铺:向阳百分百】 5A.等边三角形 B.等腰直角三角形 C.钝角三角形 D.有一个内角为 的直角三角形 【答案】D 【分析】由正弦定理推出 ,结合 推出 , ,可得答案. 【详解】由 以及正弦定理得 ,即 ,则 , , , 又 ,所以 , , ,即 的形状为有一个内角为 的直角三角形. 1.(2023年重庆市模拟)设 中角 , , 所对的边分别为 , , ;若 , , ; 则 为( ) A.锐角三角形 B.直角三角形 C.钝角三角形 D.以上都有可能 【答案】A 【分析】根据余弦定理即可求解. 144+169−289 cosC= >0 【详解】由余弦定理可得 ,故 为锐角, 2×12×13 由于 ,因此 均为锐角,故 为锐角三角形. 2.(2023年江苏省模拟)一个三角形的三条高的长度分别是 , , ,则该三角形( ) A.一定是锐角三角形 B.一定是直角三角形 C.一定是钝角三角形 D.有可能是锐角三角形,也可能是钝角三角形 【答案】C 【分析】根据给定条件,利用三角形面积 表示边长,再利用余弦定理计算判断作答. 【详解】设这个三角形面积为 ,三边长分别为 ,依题意, , ,显然 ,即边c所对角 是最大角, 由余弦定理得 ,则 是钝角, 所以该三角形一定是钝角三角形. 3.(2020年全国统一高考数学试卷(文科)(新课标Ⅱ))△ABC的内角A,B,C的对边分别为a,b, c,已知 . (1)求A; 资料收集整理【淘宝店铺:向阳百分百】 6(2)若 ,证明:△ABC是直角三角形. 【答案】(1) ;(2)证明见解析 【分析】(1)根据诱导公式和同角三角函数平方关系, 可化为 ,即可解出; (2)根据余弦定理可得 ,将 代入可找到 关系, 再根据勾股定理或正弦定理即可证出. 【详解】(1)因为 ,所以 , 即 , 解得 ,又 ,所以 ; (2)因为 ,所以 , 即 ①, 又 ②, 将②代入①得, , 即 ,而 ,解得 , 所以 , 故 , 即 是直角三角形. 【点睛】本题主要考查诱导公式和平方关系的应用,利用勾股定理或正弦定理,余弦定理判断三角形的形 状,属于基础题. 考点二、利用正、余弦定理求三角形的角 1.(2019年全国统一高考数学试卷(文科)(新课标Ⅱ)) 的内角A,B,C的对边分别为a,b, c.已知bsinA+acosB=0,则B= . 资料收集整理【淘宝店铺:向阳百分百】 7【答案】 . 【分析】先根据正弦定理把边化为角,结合角的范围可得. 【详解】由正弦定理,得 . , 得 , 即 , 故选D. 【点睛】本题考查利用正弦定理转化三角恒等式,渗透了逻辑推理和数学运算素养.采取定理法,利用转 化与化归思想解题.忽视三角形内角的范围致误,三角形内角均在 范围内,化边为角,结合三角函 数的恒等变化求角. 2.(2023年高考全国乙卷数学(文)真题)在 中,内角 的对边分别是 ,若 ,且 ,则 ( ) A. B. C. D. 【答案】C 【分析】首先利用正弦定理边化角,然后结合诱导公式和两角和的正弦公式求得 的值,最后利用三角 形内角和定理可得 的值. 【详解】由题意结合正弦定理可得 , 即 , 整理可得 ,由于 ,故 , 据此可得 ,则 . 1.(【全国市级联考】2017年贵州省适应性考试文科数学试题) 的内角 的对边分别为 , 若 ,则 . 【答案】 【分析】根据正弦定理将边化为角,再根据两角和正弦公式以及诱导公式化简得 cosB的值,即得B角. 【详解】解法一:由2bcosB=acosC+ccosA及正弦定理,得2sinBcosB=sinAcosC+sinCcosA. ∴2sinBcosB=sin(A+C). 资料收集整理【淘宝店铺:向阳百分百】 8又A+B+C=π,∴A+C=π−B.∴ 2sinBcosB=sin(π−B)=sinB . 1 π 又 ,∴ cosB= .∴ B= . sinB≠0 2 3 1 解法二∵在△ABC中, ,∴条件等式变为 ,∴ cosB= . acosC+ccosA=b 2bcosB=b 2 π 又 ,∴ B= . 00,解得: , 由 可得, , 解得: . 故答案为: . 方法二:由余弦定理可得, ,因为b>0,解得: , 由正弦定理可得, ,解得: , , 因为 ,所以 , , 又 ,所以 ,即 . 【点睛】本题压轴相对比较简单,既可以利用三角形的面积公式解决角平分线问题,也可以用角平分定义 结合正弦定理、余弦定理求解,知识技能考查常规. 2.(2021年全国高考甲卷数学(文)试题)在 中,已知 , , ,则 ( ) A.1 B. C. D.3 【答案】D 【分析】利用余弦定理得到关于BC长度的方程,解方程即可求得边长. 【详解】设 , 结合余弦定理: 可得: , 即: ,解得:a=3(a=−5舍去), 故 . 故选:D. 【点睛】利用余弦定理及其推论解三角形的类型: (1)已知三角形的三条边求三个角; 资料收集整理【淘宝店铺:向阳百分百】 10(2)已知三角形的两边及其夹角求第三边及两角; (3)已知三角形的两边与其中一边的对角,解三角形. 3.(2018年全国普通高等学校招生统一考试理数(全国卷II))在 中, ,BC=1,AC=5,则 AB=( ) A. B. C. D. 【答案】A 【详解】分析:先根据二倍角余弦公式求 cosC,再根据余弦定理求AB. 详解:因为 所以 ,选A. 点睛:解三角形问题,多为边和角的求值问题,这就需要根据正、余弦定理结合已知条件灵活转化边和角 之间的关系,从而达到解决问题的目的. 4.(2018年全国普通高等学校招生统一考试理科数学(新课标I卷))在平面四边形 中, , , , . (1)求 ; (2)若 ,求 . 【答案】(1) ;(2) . 【分析】(1)方法一:根据正弦定理得到 ,求得 ,结合角的范围,利用 同角三角函数关系式,求得 ; (2)方法一:根据第一问的结论可以求得 ,在 中,根据余弦定理即可 求出. 【详解】(1)[方法1]:正弦定理+平方关系 在 中,由正弦定理得 ,代入数值并解得 .又因为 ,所以 ,即 为锐角,所以 . [方法2]:余弦定理 在 中, ,即 ,解得: 资料收集整理【淘宝店铺:向阳百分百】 11,所以, . [方法3]:【最优解】利用平面几何知识 如图,过B点作 ,垂足为E, ,垂足为F.在 中,因为 , , 所以 .在 中,因为 ,则 . 所以 . [方法4]:坐标法 以D为坐标原点, 为x轴, 为y轴正方向,建立平面直角坐标系(图略). 设 ,则 .因为 ,所以 . 从而 ,又 是锐角,所以 , α . (2)[方法1]:【通性通法】余弦定理 在 ,由(1)得, , ,所以 . [方法2]:【最优解】利用平面几何知识 作 ,垂足为F,易求, , ,由勾股定理得 . 【整体点评】(1)方法一:根据题目条件已知两边和一边对角,利用正弦定理和平方关系解三角形,属 于通性通法; 方法二:根据题目条件已知两边和一边对角,利用余弦定理解三角形,也属于通性通法; 方法三:根据题意利用几何知识,解直角三角形,简单易算. 方法四:建立坐标系,通过两点间的距离公式,将几何问题转化为代数问题,这是解析思想的体现. (2)方法一:已知两边及夹角,利用余弦定理解三角形,是通性通法. 方法二:利用几何知识,解直角三角形,简单易算. 资料收集整理【淘宝店铺:向阳百分百】 121.(2023年江西省模拟)已知 的内角 , , 的边分别对应 , , ,若 , 为 中点,若 , ,则 ( ) A. B. C. D. 【答案】B 【分析】利用正弦定理将边化角,再由诱导公式及两角和的正弦公式求出 ,再由余弦定理求出 ,即 可得到 ,最后由勾股定理计算 即可. 【详解】 中, , 由正弦定理可得: , 又在三角形中, , 所以 , 可得 , 由 , ,则 ,即 ,则有 , 为 中点,若 , ,则 , , 中, , , 由余弦定理 ,整理得 ,解得 , 则 , ,如图所示, 所以在 中, ,则 . 2.△ABC的内角A、B、C的对边分别为a、b、c.已知 , , ,则b=( ) 资料收集整理【淘宝店铺:向阳百分百】 13A. B. C.2 D.3 【答案】D 2 【详解】由余弦定理得5=b2 +4−2×b×2× , 3 1 解得 b=3(b=− 舍去),故选D. 3 【考点】余弦定理 【名师点睛】本题属于基础题,考查内容单一,根据余弦定理整理出关于b的一元二次方程,再通过解方程求 b.运算失误是基础题失分的主要原因,请考生切记! 3.(2019年全国统一高考数学试卷(文科)(新课标Ⅰ))△ABC的内角A,B,C的对边分别为a,b, c,已知asinA-bsinB=4csinC,cosA=- ,则 =( ) A.6 B.5 C.4 D.3 【答案】A a,b,c 【分析】利用余弦定理推论得出 关系,在结合正弦定理边角互换列出方程,解出结果. 【详解】详解:由已知及正弦定理可得 ,由余弦定理推论可得 ,故选A. 【点睛】本题考查正弦定理及余弦定理推论的应用. 考点四、利用正、余弦定理求三角函数值 1.(2020年全国统一高考数学试卷(理科)(新课标Ⅲ))在△ABC中,cosC= ,AC=4,BC=3,则 cosB=( ) A. B. C. D. 【答案】A 【分析】根据已知条件结合余弦定理求得 ,再根据 ,即可求得答案. 【详解】 在 中, , , 根据余弦定理: 资料收集整理【淘宝店铺:向阳百分百】 14可得 ,即 由 故 . 【点睛】本题主要考查了余弦定理解三角形,考查了分析能力和计算能力,属于基础题. 2.(2021年浙江省高考数学试题)在 中, ,M是 的中点, ,则 , . 【答案】 【分析】由题意结合余弦定理可得 ,进而可得 ,再由余弦定理可得 . 【详解】由题意作出图形,如图, 在 中,由余弦定理得 , 即 ,解得 (负值舍去), 所以 ,在 中,由余弦定理得 , 所以 ;在 中,由余弦定理得 . 3.(2019年北京市高考数学试卷(理科))在△ABC中,a=3,b−c=2,cosB= . (Ⅰ)求b,c的值; (Ⅱ)求sin(B–C)的值. 【答案】(Ⅰ) ;(Ⅱ) . a,b,c b,c 【分析】(Ⅰ)由题意列出关于 的方程组,求解方程组即可确定 的值; (Ⅱ)由题意结合正弦定理和两角和差正余弦公式可得 的值. 资料收集整理【淘宝店铺:向阳百分百】 15{ a2 +c2 −b2 1 cosB= =− 2ac 2 { a=3 【详解】(Ⅰ)由题意可得: ,解得: . b−c=2 b=7 a=3 c=5 (Ⅱ)由同角三角函数基本关系可得: , 结合正弦定理 可得: , 很明显角C为锐角,故 , 故 . 【点睛】本题主要考查余弦定理、正弦定理的应用,两角和差正余弦公式的应用等知识,意在考查学生的 转化能力和计算求解能力. 1.(2019年浙江省高考数学试卷)在 中, , , ,点 在线段 上,若 ,则 ; . 【答案】 【分析】本题主要考查解三角形问题,即正弦定理、三角恒等变换、数形结合思想及函数方程思想.在 、 中应用正弦定理,由 建立方程,进而得解. 【详解】在 中,正弦定理有: , 而 , , , 所以 . 资料收集整理【淘宝店铺:向阳百分百】 16【点睛】解答解三角形问题,要注意充分利用图形特征. 2.(2018年全国普通高等学校招生统一考试数学(浙江卷))在 ABC中,角A,B,C所对的边分别为 a,b,c.若 ,b=2,A=60°,则sin B= ,c= △ . 【答案】 3 【详解】分析:根据正弦定理得 sinB,根据余弦定理解出c. a sinA sinB= 2 ×sin π = √21 详解:由正弦定理得 = ,所以 , b sinB √7 3 7 由余弦定理得a2 =b2 +c2 −2bccosA,∴7=4+c2 −2c,∴c=3(负值舍去). 点睛:解三角形问题,多为边和角的求值问题,这就需要根据正、余弦定理结合已知条件灵活转化为边和 角之间的关系,从而达到解决问题的目的. 3.(2020年全国统一高考数学试卷(理科)(新课标Ⅰ))如图,在三棱锥P–ABC的平面展开图中, AC=1, ,AB⊥AC,AB⊥AD,∠CAE=30°,则cos∠FCB= . 【答案】 【分析】在 中,利用余弦定理可求得 ,可得出 ,利用勾股定 理计算出 、 ,可得出 ,然后在 中利用余弦定理可求得 的值. 【详解】 , , , 由勾股定理得 , 同理得 , , 在 中, , , , 由余弦定理得 , , 在 中, , , , 资料收集整理【淘宝店铺:向阳百分百】 17由余弦定理得 . 【点睛】本题考查利用余弦定理解三角形,考查计算能力,属于中等题. 4.(2019年天津市高考数学试卷(文科)) 在 中,内角 所对的边分别为 .已知 , . (Ⅰ)求 的值; (Ⅱ)求 的值. 【答案】(Ⅰ) ;(Ⅱ) . 【分析】(Ⅰ)由题意结合正弦定理得到 的比例关系,然后利用余弦定理可得 的值 (Ⅱ)利用二倍角公式首先求得 的值,然后利用两角和的正弦公式可得 的值. 【详解】(Ⅰ)在 中,由正弦定理 得 , 又由 ,得 ,即 . 又因为 ,得到 , . 由余弦定理可得 . (Ⅱ)由(Ⅰ)可得 , 从而 , . 故 . 【点睛】本题主要考查同角三角函数的基本关系,两角和的正弦公式,二倍角的正弦与余弦公式,以及正 弦定理、余弦定理等基础知识.考查计算求解能力. 考点五、面积公式的应用 资料收集整理【淘宝店铺:向阳百分百】 181.(2021年全国高考乙卷数学(文)试题)记 的内角A,B,C的对边分别为a,b,c,面积为 , , ,则 . 【答案】 【分析】由三角形面积公式可得 ,再结合余弦定理即可得解. 【详解】由题意, , 所以 , 所以 ,解得 (负值舍去). 2.(2019年全国统一高考数学试卷(理科)(新课标Ⅱ)) 的内角 的对边分别为 .若 ,则 的面积为 . 【答案】 【分析】本题首先应用余弦定理,建立关于 的方程,应用 的关系、三角形面积公式计算求解,本题属 于常见题目,难度不大,注重了基础知识、基本方法、数学式子的变形及运算求解能力的考查. 【详解】由余弦定理得 , 所以 , 即 解得 (舍去) 所以 , 【点睛】本题涉及正数开平方运算,易错点往往是余弦定理应用有误或是开方导致错误.解答此类问题, 关键是在明确方法的基础上,准确记忆公式,细心计算. 3.(2018年全国卷Ⅲ理数高考试题) 的内角 的对边分别为 , , ,若 的面积为 ,则 ( ) A. B. C. D. 【答案】C 【详解】分析:利用面积公式 和余弦定理 进行计算可得. 详解:由题可知 资料收集整理【淘宝店铺:向阳百分百】 19所以 由余弦定理 所以 . 点睛:本题主要考查解三角形,考查了三角形的面积公式和余弦定理. 1.(2018年全国普通高等学校招生统一考试文科数学(新课标I卷)) 的内角 的对边分 别为 ,已知 , ,则 △ 的面积为 . △ 【答案】 . 【分析】方法一:由正弦定理可得 ,化简求得 ,利用余弦定理, 结合题中的条件,可以得到 ,由 为锐角,求得 , ,利用三角形面积公式 即可解出. 【详解】[方法一]:【最优解】边化角 因为 ,由正弦定理得 , 因为 ,所以 .又因为 , 由余弦定理 ,可得 , 所以 ,即 为锐角,且 ,从而求得 , 所以 的面积为 . 故答案为: . [方法二]:角化边 因为 ,由正弦定理得 , 即 ,又 , 所以, .又因为 , 由余弦定理 ,可得 , 资料收集整理【淘宝店铺:向阳百分百】 20所以 ,即 为锐角,且 ,从而求得 , 所以 的面积为 . 【整体点评】方法一:利用正弦定理边化角,求出 ,再结合余弦定理求出 ,即可求出面积,该法 是本题的最优解; 方法二:利用正弦定理边化角,求出 ,再结合余弦定理求出 ,即可求出面积. 2.记 的内角 的对边分别为 ,点 为 边三等分点(靠近C).若 , ,则 的面积为 . 【答案】 / 【分析】在 中,由余弦定理求出 的关系,再在 和 中,利用双余弦定理求出 的关 系,从而求出 ,再根据三角形的面积公式即可得解. 【详解】在 中,由余弦定理得 , 即 , 由点 为 边三等分点(靠近C), 得 , 在 中,由余弦定理得 , 在 中,由余弦定理得 , 因为 , 所以 , 即 , 所以 , 所以 ,所以 , 则 ,所以 , 所以 . 3.在 ABC中, . (1)求C△的大小; (2)已知 ,求 ABC的面积的最大值. △ 资料收集整理【淘宝店铺:向阳百分百】 21【答案】(1) (2) 【分析】(1)先把题给条件化为 ,再利用余弦定理即可求解C的值. (2)先用基本不等式求出ab的最大值,再代入三角形的面积公式即可求得△ABC的面积的最大值. 【详解】(1)∵ , ∴ , ∴ ,∴ , ∴ , 又∵C∈(0,π),∴C . (2)∵ (当且仅当 时取等号),∴ , ∴ 的最大值为 . 考点六、三角形有解的个数问题 1.(2023年河南省联考数学试题)在 中,内角 的对边分别为 .已知 , 则此三角形( ) A.无解 B.有一解 C.有两解 D.解的个数不确定 【答案】C 【分析】利用正弦定理解出 再根据 ,得到 ,可得角 有两个解. 【详解】由正弦定理 ,得 ,解得 . 因为 ,所以 .又因为 ,所以 或 ,故此三角形有两解. 2.(2023年河南省模拟理科)在 ABC中,角A,B,C所对的边分别为a,b,c,a=2,B=45°,若三角 形有两解,则b的取值范围是 . △ 【答案】 资料收集整理【淘宝店铺:向阳百分百】 22【分析】由正弦定理可得 ,由 有两解,可得 ,且 ,从而即可求 解. 【详解】由正弦定理可得 ,即 ,又 , 所以 , 因为 有两解,所以 ,且 , 所以 , 所以 的取值范围为 . 3.(2023年云南省学业质量监测数学试题)在 中,角A,B,C的对边分别为a,b,c,已知条件: ① , , ;② , , .由条件①与条件②分别计算得到角B的解的个 数为m,n,且正数x,y满足 ,则 的最小值为 . 【答案】 【分析】由正弦定理找到①②两组情况的角B分别有两个解和一个解,所以 ,再由代“1”法,利 用基本不等式求解. 【详解】①由正弦定理, , 故满足条件的B角有两个,一个钝角一个锐角,角B有两个解; ②由正弦定理, ,所以 ,只有一个解; 故 , 当且仅当 时取到等号. 1.(2023年上海市模拟)在 中, , , ,则 的解的个数是 个. 【答案】2 资料收集整理【淘宝店铺:向阳百分百】 23【分析】利用正弦定理即可判断三角形有两解. 【详解】在 中, , , , ,由 则 ,如图: 所以此时 有两解. 2.(2023年浙江省模拟)在 中,a,b,c分别为角A,B,C的对边,已知 , , , 若 有两解,则 的取值范围是 . 【答案】 【分析】根据正弦定理结合大边对大角即可. 【详解】由正弦定理得: ,即 , , 若 有两解,则 ,且 ,即 , 所以 . 3.(2023年四川省模拟)在 中,角A,B,C所对的边分别为a,b,c,若 , 的 恰有一个,则实数b的取值范围为 . 【答案】 【分析】利用正弦定理表示 为 的函数,即可求解. 【详解】由正弦定理可得 , ,又 , , 所以 在 有唯一解,故 或 考点七、正、余弦定理在平面几何中的应用 1.(2023年高考数学真题完全解读(全国甲卷理科))在 中, , ,D 为BC上一点,AD为 的平分线,则 . 【答案】 【分析】在 中,根据正弦定理可求出 ,从而可得 ,即得 . 【详解】如图, 在 中, , , 资料收集整理【淘宝店铺:向阳百分百】 24由正弦定理可得 , ,又 , , , 又 为 的平分线,且 , ,又 , , . 2.(2023年江苏省模拟)在 中, ,点D在边BC上, ,若 的面积为 , 则AD的最大值为 . 【答案】 【分析】先根据三角形的面积公式求出 ,再利用 和 的面积和为 以及基本不等式求 解. 【详解】设 的角 , , 所对的边分别为 ,则 在 中, , 的面积为 , 所以 ,解得 , 因为 ,所以 ,所以 , 因为 和 的面积和为 , 所以 ,解得 , 因为 ,当且仅当 ,即 时取等号,所以 . 1.(2023届河北省冲刺模拟数学试题)如图,在 中,点D在BC边上,BD的垂直平分线过点A, 且满足 , ,则 的大小为 . 【答案】 【分析】根据题意可得 ,结合正弦定理与、三角形内角和定理与两角和差余弦公式即可求得 资料收集整理【淘宝店铺:向阳百分百】 25,从而得 的大小. 【详解】因为BD的垂直平分线过点A,所以 ,则 ,所以 . 又因为在 中, , ,所以 . 在 中,由正弦定理,得 ,所以 , 因为 ,所以 为锐角,所以 , 则 , 又 ,所以 . 2.(2023届四川省统一考试理科数学试题)如图,圆的内接四边形 中, 与 相交于点 , 平分 , , .则 的面积为 . 【答案】 / 【分析】作出图形,分析可得 、 的长,利用余弦定理可求得 的长,然后利用斜率求解即可. 【详解】作出四边形 的外接圆,如下图所示: 因为 , , ,则 , 由余弦定理可得 , 则 ,因为 平分 ,则 , 所以, ,则 , 由余弦定理可得 , 整理可得 , , 即的 , 故 . 3.(2023届陕西省一模文科数学试题)在 中,点D是边BC上一点,且 , . , 资料收集整理【淘宝店铺:向阳百分百】 26,则DC= . 【答案】3 【分析】在 中,利用余弦定理得到 进而在 中,利用两角差正弦公式 得到结果. 【详解】在 中, ,可得 . 又由余弦定理, ,可得 . 在 中, , 由此可得 , 由已知可得 ,代入可得 , 所以 ,所以 . 考点八、正、余弦定理在实际情景中的应用 1.(2021年全国高考乙卷数学(理)试题)魏晋时刘徽撰写的《海岛算经》是有关测量的数学著作,其 中第一题是测海岛的高.如图,点 , , 在水平线 上, 和 是两个垂直于水平面且等高的测 量标杆的高度,称为“表高”, 称为“表距”, 和 都称为“表目距”, 与 的差称为 “表目距的差”则海岛的高 ( ) A. 表高 B. 表高 C. 表距 D. 表距 【答案】A 资料收集整理【淘宝店铺:向阳百分百】 27【分析】利用平面相似的有关知识以及合分比性质即可解出. 【详解】如图所示: 由平面相似可知, ,而 ,所以 ,而 , 即 = . 【点睛】本题解题关键是通过相似建立比例式,围绕所求目标进行转化即可解出. 2.(2021年全国高考甲卷数学(理)试题)2020年12月8日,中国和尼泊尔联合公布珠穆朗玛峰最新高 程为8848.86(单位:m),三角高程测量法是珠峰高程测量方法之一.如图是三角高程测量法的一个示意 图,现有A,B,C三点,且A,B,C在同一水平面上的投影 满足 , . 由C点测得B点的仰角为 , 与 的差为100;由B点测得A点的仰角为 ,则A,C两点到水平 面 的高度差 约为( )( ) A.346 B.373 C.446 D.473 【答案】B 【分析】通过做辅助线,将已知所求量转化到一个三角形中,借助正弦定理,求得 ,进而得到答案. 【详解】过 作 ,过 作 , 故 , 由题,易知 为等腰直角三角形, 所以 . 所以 . 资料收集整理【淘宝店铺:向阳百分百】 28因为 ,所以 在 中,由正弦定理得: , 而 , 所以 所以 . 【点睛】本题关键点在于如何正确将 的长度通过作辅助线的方式转化为 . 3.(2023年重庆市模拟)如图所示;测量队员在山脚A测得山顶 的仰角为 ,沿着倾斜角为 的斜坡 向上走 到达 处,在 处测得山顶 的仰角为 .若 , , ,(参考数据: , , , , , ),则山的高度约为( ) A.181.13 B.179.88 C.186.12 D.190.21 【答案】C 【分析】在 中,利用正弦定理求 ,进而在Rt 中求山的高度. 【详解】在 中,则 , 因为 , 则 , 在Rt 中,则 . 资料收集整理【淘宝店铺:向阳百分百】 291.(2023年江西省质量检测数学试题)北极阁位于鹰潭公园的东侧,前门是大码头,旧时为鹰潭最繁华 的街市.某同学为测量北极阁的高度MN,在北极阁的正北方向找到一座建筑物AB,高约为30m,在地面 上点C处(B,C,N三点共线)测得建筑物顶部A,北极阁顶部M的仰角分别为30°和45°,在A处测得北 极阁顶部M的仰角为15°,北极阁的高度约为( ) A.45m B.52m C.60m D.65m 【答案】C 【分析】在 中求得AC,然后在 中,利用正弦定理求得MC即可. 【详解】解:由题意得:在 中, , 在 中, , , . 由正弦定理得, , 得 , 故MN=60. 2.(2023年黑龙江省模拟)滕王阁,江南三大名楼之一,因初唐诗人王勃所作《滕王阁序》中的“落霞 与孤鹜齐飞,秋水共长天一色”而名传千古,流芳后世.如图,在滕王阁旁地面上共线的三点A,B,C处 测得阁顶端点P的仰角分别为 , , ,且 米,则滕王阁的高度 ( )米. 资料收集整理【淘宝店铺:向阳百分百】 30A. B. C. D. 【答案】B 【分析】设 ,利用直角三角形边角关系、余弦定理建立方程,再解方程组求解作答. 【详解】设 ,在 中, , , 在 中, , ,在 中, , , 在 中, ,即 , 在 中, ,即 , 由 ,得 ,于是 ,解得 , 所以滕王阁的高度 (米). 3.(2023年四川省模拟)伯乐树是中国特有国家一级保护树种,被誉为“植物中的龙凤”,常散生于湿 润的沟谷坡地或小溪旁.一植物学家为了监测一棵伯乐树的生长情况,需测量树的高度.他在与树干底部在 同一水平面的一块平地上利用测角仪(高度忽略不计)进行测量.如图, 、 是与树根处 点在同一水平 面内的两个观测点,树顶端为 点.植物学家在 、 两点测得 的仰角分别为45°,30°, , 且 ,则树的高度 ( ) A.25米 B. 米 C.30米 D. 米 【答案】C 【分析】根据已知仰角求出 ,再在 应用余弦定理求解即可. 【详解】设 , 、 两点测得 的仰角分别为45°,30°, 在 , 在 , 在 , , 资料收集整理【淘宝店铺:向阳百分百】 31应用余弦定理得 . 考点九、利用正、余弦定理处理代数式的取值范围问题 1.(2022年全国新高考I卷数学试题)记 的内角A,B,C的对边分别为a,b,c,已知 . (1)若 ,求B; (2)求 的最小值. 【答案】(1) ;(2) . 【分析】(1)根据二倍角公式以及两角差的余弦公式可将 化成 ,再 结合 ,即可求出; (2)由(1)知, , ,再利用正弦定理以及二倍角公式将 化成 ,然后利用基本不等式即可解出. 【详解】(1)因为 ,即 , 而 ,所以 ; (2)由(1)知, ,所以 , 而 , 所以 ,即有 ,所以 资料收集整理【淘宝店铺:向阳百分百】 32所以 . 当且仅当 时取等号,所以 的最小值为 . 2.(2020年浙江省高考数学试卷)在锐角△ABC中,角A,B,C的对边分别为a,b,c,且 . (I)求角B的大小; (II)求cosA+cosB+cosC的取值范围. 【答案】(I) ;(II) 【分析】(I)方法二:首先利用正弦定理边化角,然后结合特殊角的三角函数值即可确定角B的大小; (II)方法二:结合(Ⅰ)的结论将含有三个角的三角函数式化简为只含有角A的三角函数式,然后由三角形 为锐角三角形确定角A的取值范围,最后结合三角函数的性质即可求得 的取值范围. 【详解】(I) [方法一]:余弦定理 由 ,得 ,即 . 结合余弦定 , ∴ , 即 , 即 , 即 , 即 , ∵ 为锐角三角形,∴ , ∴ , 所以 , 又B为 的一个内角,故 . [方法二]【最优解】:正弦定理边化角 资料收集整理【淘宝店铺:向阳百分百】 33由 ,结合正弦定理可得: 为锐角三角形,故 . (II) [方法一]:余弦定理基本不等式 因为 ,并利用余弦定理整理得 , 即 . 结合 ,得 . 由临界状态(不妨取 )可知 . 而 为锐角三角形,所以 . 由余弦定理得 , ,代入化简得 故 的取值范围是 . [方法二]【最优解】:恒等变换三角函数性质 结合(1)的结论有: . 由 可得: , , 则 , . 即 的取值范围是 . 资料收集整理【淘宝店铺:向阳百分百】 34【整体点评】(I)的方法一,根据已知条件,利用余弦定理经过较复杂的代数恒等变形求得 ,运算能力要求较高;方法二则利用正弦定理边化角,运算简洁,是常用的方法,确定为 最优解;(II)的三种方法中,方法一涉及到较为复杂的余弦定理代入化简,运算较为麻烦,方法二直接 使用三角恒等变形,简洁明快,确定为最优解. 3.(2022年全国高考甲卷数学(理)试题)已知 中,点D在边BC上, .当 取得最小值时, . 【答案】 / 【分析】设 ,利用余弦定理表示出 后,结合基本不等式即可得解. 【详解】[方法一]:余弦定理 设 , 则在 中, , 在 中, , 所以 , 当且仅当 即 时,等号成立, 所以当 取最小值时, . [方法二]:建系法 资料收集整理【淘宝店铺:向阳百分百】 35令 BD=t,以D为原点,OC为x轴,建立平面直角坐标系. 则C(2t,0),A(1, ),B(-t,0) [方法三]:余弦定理 设BD=x,CD=2x.由余弦定理得 , , , , 令 ,则 , , , 当且仅当 ,即 时等号成立. [方法四]:判别式法 设 ,则 在 中, , 在 中, , 所以 ,记 , 则 由方程有解得: 即 ,解得: 所以 ,此时 所以当 取最小值时, ,即 . 4.(2023年四川省模拟)在 中,角 , , 的对边分别为 , , ,且 资料收集整理【淘宝店铺:向阳百分百】 36. (1)若 ,求 的值. (2)求 的最大值. 【答案】(1) (2) 【分析】(1)利用三角函数恒等变换公式对已知式子化简可得 ,再结合 可求出 的 值; (2)由(1)可知 ,再利用余弦定理可得 ,从而可求出 的最大值. 【详解】(1)因为 ,所以 , 所以 , 所以 , 所以 , 所以 ,所以 , 所以由正弦定理得 , 因为 ,所以 , 因为 ,所以 , (2)由(1)可知 ,则 , 由余弦定理得 资料收集整理【淘宝店铺:向阳百分百】 37, 当且仅当 时取等号, 因为 ,所以 , 所以 的最大值为 . 1.(2023年四川省模拟)已知钝角 的角 , , 所对的边分别为 , , , , ,则 最大边 的取值范围为( ) A. B. C. D. 【答案】C 【分析】根据给定条件利用余弦定理建立不等关系即可计算作答. 【详解】因 是钝角三角形, , ,且 是最大边,则由余弦定理得: , 于是得 , ,解得 ,又有 ,即 , 所以最大边 的取值范围是: . 2.(2023年广东省模拟)在 中,已知内角 , , 所对的边分别为 , ,且满足 . (1)求角 的大小; (2)若 ,求 的最大值. 【答案】(1) (2)4 【分析】(1)由正弦定理得 ,利用三角恒等变换可求 ; (2)由正弦定理可求 ,进而由余弦定理可得 ,由基本不等式可求 的最大值. 【详解】(1)因为 , 由正弦定理得 , 资料收集整理【淘宝店铺:向阳百分百】 38,由三角形的内角和定理得 , 所以得 ,因为 , 所以解得 , , ; (2)若 , , 由正弦定理得 ,解得 , 由余弦定理得 , ,利用基本不等式可得 , 所以 (当且仅当 时,取等号),即 的最大值为4. 3.(2023年辽宁省重点高中模拟)在 中,角A,B,C所对的边分别为a,b,c, . (1)求A; (2)若 ,求a的取值范围. 【答案】(1) (2) 【分析】(1)正弦定理化边为角,结合三角恒等变换求得角A; (2)由正弦定理结合三角恒等变换把 用 表示,代入 可得 ,进而可得 ,结合三角函数性质可得结论. 【详解】(1)因为 ,由正弦定理可得 , 且 ,则 , 则 ,整理得 , 且 ,则 , 所以 ,解得 . (2)设 的外接圆半径为 , 资料收集整理【淘宝店铺:向阳百分百】 39因为 ,可得 , 又因为 ,可得 , 2 1 a=2RsinA= ⋅sinA= 所以 ( π) ( π), √3sin B+ sin B+ 6 6 又因为 ,则 ,可得 , 1 a= ∈[1,2) 则 ( π) ,所以a的取值范围 . sin B+ 6 4.(2023年湖北省期末联考数学试题)在锐角 中, 角 所对应的边分别为 , 且 . (1)求角 的值; (2)若 , 求 边上高的取值范围. 【答案】(1) (2) 【分析】(1)首先根据正弦定理,边角互化,再结合余弦定理,即可求解; (2)首先结合三角形面积公式,表示 ,再结合正弦定理和三角函数的性质,即可求解值域. 【详解】(1)∵ , , 即 , 由余弦定理得 , 因为 , 所以 . (2)设 边上的高为 ,锐角 中, =2, ,由正弦定理: , 又因为在 中面积 ,所以 , 即 资料收集整理【淘宝店铺:向阳百分百】 40因为锐角 中, , 则 , , 解得: , , 故 , 则 ,所以 边上的高的取值范围是 . 考点十、解答题中的面积问题 1.(2023年高考全国甲卷数学(文)真题)记 的内角 的对边分别为 ,已知 . (1)求 ; (2)若 ,求 面积. 【答案】(1) (2) 【分析】(1)根据余弦定理即可解出; (2)由(1)可知,只需求出 即可得到三角形面积,对等式恒等变换,即可解出. 【详解】(1)因为 ,所以 ,解得: . (2)由正弦定理可得 , 变形可得: ,即 , 而 ,所以 ,又 ,所以 , 故 的面积为 . 2.(2023年黑龙江省模拟)已知 内角, , , 的对边分别为 , , ,且 资料收集整理【淘宝店铺:向阳百分百】 41. (1)求角 ; (2)若 , 的面积为 ,求 , 的值. 【答案】(1) (2)2,2 【分析】(1)首先化简等式,再根据余弦定理求角 ; (2)根据面积公式和余弦定理求边长. 【详解】(1)由 , 可知, ,即 , 即 , , 即 ; (2) ,即 , 根据余弦定理, , 即 ,得 , 由 ,得 .所以 3.(2019年全国统一高考数学试卷(文科)(新课标Ⅲ)) 的内角 的对边分别为 ,已 知 . (1)求 ; (2)若 为锐角三角形,且 ,求 面积的取值范围. 【答案】(1) ; (2) . 【分析】(1)利用正弦定理化简题中等式,得到关于B的三角方程,最后根据A,B,C均为三角形内角解得 . (2)根据三角形面积公式 ,又根据正弦定理和 得到 关于 的函数,由于 是 锐角三角形,所以利用三个内角都小于 来计算 的定义域,最后求解 的值域. 【详解】(1) [方法一]【最优解:利用三角形内角和为 结合正弦定理求角度】 资料收集整理【淘宝店铺:向阳百分百】 42由三角形的内角和定理得 , 此时 就变为 . 由诱导公式得 ,所以 . 在 中,由正弦定理知 , 此时就有 ,即 , 再由二倍角的正弦公式得 ,解得 . [方法二]【利用正弦定理解方程求得 的值可得 的值】 由解法1得 , 两边平方得 ,即 . 又 ,即 ,所以 , 进一步整理得 , 解得 ,因此 . [方法三]【利用正弦定理结合三角形内角和为 求得 的比例关系】 根据题意 ,由正弦定理得 , 因为 ,故 , 消去 得 . , ,因为故 或者 , 而根据题意 ,故 不成立, 所以 ,又因为 ,代入得 ,所以 . (2) [方法一]【最优解:利用锐角三角形求得 的范围,然后由面积函数求面积的取值范围】 因为 是锐角三角形,又 ,所以 , 资料收集整理【淘宝店铺:向阳百分百】 43则 . 因为 ,所以 ,则 , 从而 ,故 面积的取值范围是 . [方法二]【由题意求得边 的取值范围,然后结合面积公式求面积的取值范围】 由题设及(1)知 的面积 . 因为 为锐角三角形,且 , 所以 即 又由余弦定理得 ,所以 即 , 所以 ,故 面积的取值范围是 . [方法三]【数形结合,利用极限的思想求解三角形面积的取值范围】 如图1,在 中,过点A作 ,垂足为 ,作 与 交于点 . 由题设及(1)知 的面积 ,因为 为锐角三角形,且 , 所以点C位于在线段 上且不含端点,从而 , 即 ,即 ,所以 , 故 面积的取值范围是 . 资料收集整理【淘宝店铺:向阳百分百】 44【整体点评】(1)方法一:正弦定理是解三角形的核心定理,与三角形内角和相结合是常用的方法; 方法二:方程思想是解题的关键,解三角形的问题可以利用余弦值确定角度值; 方法三:由正弦定理结合角度关系可得内角的比例关系,从而确定角的大小. (2)方法一:由题意结合角度的范围求解面积的范围是常规的做法; 方法二:将面积问题转化为边长的问题,然后求解边长的范围可得面积的范围; 方法三:极限思想和数形结合体现了思维的灵活性,要求学生对几何有深刻的认识和灵活的应用. 1.(2022年浙江省高考数学试题)在 中,角A,B,C所对的边分别为a,b,c.已知 . (1)求 的值; (2)若 ,求 的面积. 【答案】(1) ;(2) . 【分析】(1)先由平方关系求出 ,再根据正弦定理即可解出; (2)根据余弦定理的推论 以及 可解出 ,即可由三角形面积公式 求出面积. 【详解】(1)由于 , ,则 .因为 , 由正弦定理知 ,则 . (2)因为 ,由余弦定理,得 , 即 ,解得 ,而 , , 资料收集整理【淘宝店铺:向阳百分百】 45所以 的面积 . 2.(2017年全国普通高等学校招生统一考试理科数学(新课标2卷)) 的内角 的对边分别 为 ,已知 . (1)求 ; (2)若 ,ΔABC 面积为2,求 . 【答案】(1) ;(2)2. 【详解】试题分析:(1)利用三角形的内角和定理可知 ,再利用诱导公式化简 , 利用降幂公式化简 ,结合 ,求出 ;(2)由(1)可知 ,利用三角形 面积公式求出 ,再利用余弦定理即可求出 . 试题解析:(1) ,∴ ,∵ , ∴ ,∴ ,∴ ; (2)由(1)可知 ,∵ ,∴ , ∴ , ∴ . 3.(2023年安徽省质量统测数学试卷)记 的内角 的对边分别为 ,已知 . (1)求 ; (2)设 边上的高为 ,且 ,求 面积的最小值. 【答案】(1) (2) . 【分析】(1)根据题意,由正弦定理求得 ,得到 ,即可求解; (2)由余弦定理得到 ,根据三角形面积相等得到 ,联立方程组,结合基本不等式 求得 ,进而求得 面积的最小值. 【详解】(1)解:因为 ,由正弦定理可得 , 又 ,所以 ,所以 , 由 ,可得 ,所以 , 资料收集整理【淘宝店铺:向阳百分百】 46又由 ,所以 . (2)解:在 中,由余弦定理可得 , ① 由 ,可得 , ② 联立①②得 ,所以 ,即 , 所以 ,当且仅当 时,等号成立. 从而 面积的最小值为 . 4.(2023年江西省模拟)锐角 中,内角 的边分别对应 ,已知 . (1)求 ; (2)若 ,求 的取值范围. 【答案】(1) (2) 【分析】(1)根据题意,化简得到 ,结合余弦定理,即可求解; (2)由正弦定理得到 , ,化简 ,根据 为锐角三角形,求 得 ,结合三角函数的性质,求得 ,利用三角形的面积公式,即可求解. 【详解】(1)解:因为 ,由正弦定理得 , 整理得 ,所以 , 因为 ,所以 . (2)解:设 的外接圆的半径为 , 因为 ,且 ,可得 , 由正弦定理可得 , , 又因为 ,可得 , 资料收集整理【淘宝店铺:向阳百分百】 47所以 , 因为 为锐角三角形,可得 ,解得 , 所以 ,可得 , 所以 ,所以 . 考点十一、解答题中的周长问题 1.(2022年全国高考乙卷数学(理)试题)记 的内角 的对边分别为 ,已知 . (1)证明: ; (2)若 ,求 的周长. 【答案】(1)见解析 (2)14 【分析】(1)利用两角差的正弦公式化简,再根据正弦定理和余弦定理化角为边,从而即可得证; (2)根据(1)的结论结合余弦定理求出 ,从而可求得 ,即可得解. 【详解】(1)证明:因为 , 所以 , 所以 , 即 , 所以 ; 资料收集整理【淘宝店铺:向阳百分百】 48(2)解:因为 , 由(1)得 , 由余弦定理可得 , 则 ,所以 , 故 ,所以 , 所以 的周长为 . 2.(2020年全国统一高考数学试卷(理科)(新课标Ⅱ)) 中,sin2A-sin2B-sin2C=sinBsinC. (1)求A; (2)若BC=3,求 周长的最大值. 【答案】(1) ;(2) . 【分析】(1)利用正弦定理角化边,配凑出 的形式,进而求得 ; (2)方法一:利用余弦定理可得到 ,利用基本不等式可求得 的最大值, 进而得到结果. 【详解】(1)由正弦定理可得: , , , . (2)[方法一]【最优解】:余弦+不等式 由余弦定理得: , 即 . (当且仅当 时取等号), , 解得: (当且仅当 时取等号), 周长 , 周长的最大值为 . [方法二]:正弦化角(通性通法) 设 ,则 ,根据正弦定理可知 ,所以 ,当且仅当 ,即 时,等号成立.此时 周长的最大值为 . 资料收集整理【淘宝店铺:向阳百分百】 49[方法三]:余弦与三角换元结合 在 中,角 所对的边分别为 .由余弦定理得 ,即 .令 A,B,C a,b,c ,得 ,易知当 时, , 所以 周长的最大值为 . 【整体点评】本题考查解三角形的相关知识,涉及到正弦定理角化边的应用、余弦定理的应用、三角形周 长最大值的求解问题; 方法一:求解周长最大值的关键是能够在余弦定理构造的等式中,结合基本不等式构造不等关系求得最值. 方法二采用正弦定理边化角,利用三角函数的范围进行求解最值,如果三角形是锐角三角形或有限制条件 的,则采用此法解决. 方法三巧妙利用三角换元,实现边化角,进而转化为正弦函数求最值问题. 3.(2023年四川省模拟)在 中,内角A,B,C所对的边分别为a,b,c,已知 . (1)求角A的大小; (2)若 ,求 周长的取值范围. 【答案】(1) (2) 【分析】(1)利用余弦定理化简计算可得; (2)由正弦定理边角关系可得 ,再应用辅助角公式、正弦函数的性质即可求 解. 【详解】(1)因为 , 所以 ,所以 , 又 ,所以 ; (2)由正弦定理可知: ,则 , 所以 , 资料收集整理【淘宝店铺:向阳百分百】 50因为 ,所以 ,所以 , 所以 ,所以 , 所以 周长的取值范围为 . 1.(2017年全国普通高等学校招生统一考试理科数学(新课标1卷))△ABC的内角 的对边分 别为 ,已知△ABC的面积为 (1)求 ; (2)若 求△ABC的周长. 【答案】(1) (2) . 【详解】试题分析:(1)由三角形面积公式建立等式 ,再利用正弦定理将边化成角,从 而得出 的值;(2)由 和 计算出 ,从而求出角 ,根 据题设和余弦定理可以求出 和 的值,从而求出 的周长为 . 试题解析:(1)由题设得 ,即 . 由正弦定理得 . 故 . (2)由题设及(1)得 ,即 . 所以 ,故 . 由题设得 ,即 . 由余弦定理得 ,即 ,得 . 故 的周长为 . 点睛:在处理解三角形问题时,要注意抓住题目所给的条件,当题设中给定三角形的面积,可以使用面积公 资料收集整理【淘宝店铺:向阳百分百】 51式建立等式,再将所有边的关系转化为角的关系,有时需将角的关系转化为边的关系;解三角形问题常见 的一种考题是“已知一条边的长度和它所对的角,求面积或周长的取值范围”或者“已知一条边的长度和 它所对的角,再有另外一个条件,求面积或周长的值”,这类问题的通法思路是:全部转化为角的关系, 建立函数关系式,如 ,从而求出范围,或利用余弦定理以及基本不等式求范围;求具 体的值直接利用余弦定理和给定条件即可. 2.(2023年广西南宁市模拟)已知锐角 的内角 , , 的对边分别为 , , ,且 . (1)求角 的大小; (2)若 ,求 的取值范围. 【答案】(1) (2) 【分析】(1)先利用诱导公式及正弦定理化边为角,再结合两角和的正弦公式化简即可得解; (2)先利用正弦定理求出 ,再根据三角恒等变换结合正弦函数的性质即可得解. 【详解】(1)由 ,即 , 得 , 由正弦定理可得 , 即 , 所以 , 所以 ,因为 ,所以 , 所以 ,又 ,所以 ; (2)由正弦定理 , 所以 , 因为 为锐角三角形,且 , 资料收集整理【淘宝店铺:向阳百分百】 52所以 ,解得 ,所以 , 所以 , , 所以 的取值范围为 . 3.(2023年河南省模拟)已知锐角 的内角 所对的边分别为 ,向量 , ,且 . (1)求角 的值; (2)若 ,求 周长的取值范围. 【答案】(1) (2) 【分析】(1)利用向量垂直的坐标形式结合三角变换可得 ,故可求 . (2)利用正弦定理结合三角变换公式可得 ,据此可求周长的取值范围. 【详解】(1)因为 ,故 , 整理得到: , 故 ,而 ,故 , 所以 ,而 ,故 . (2) , 因为 为锐角三角形,故 ,故 , 资料收集整理【淘宝店铺:向阳百分百】 53所以 ,故 ,所以 , 故周长的取值范围为 . 考点十二、解答题中结构不良问题 1.(2021年北京市高考数学试题)在 中, , . (1)求 ; (2)再从条件①、条件②、条件③这三个条件中选择一个作为已知,使 存在且唯一确定,求 边 上中线的长. 条件①: ; 条件②: 的周长为 ; 条件③: 的面积为 ; 【答案】(1) ;(2)答案不唯一,具体见解析. 【分析】(1)由正弦定理化边为角即可求解; (2)若选择①:由正弦定理求解可得不存在; 若选择②:由正弦定理结合周长可求得外接圆半径,即可得出各边,再由余弦定理可求; 若选择③:由面积公式可求各边长,再由余弦定理可求. 【详解】(1) ,则由正弦定理可得 , , , , , ,解得 ; (2)若选择①:由正弦定理结合(1)可得 , 与 矛盾,故这样的 不存在; 若选择②:由(1)可得 , 设 的外接圆半径为 , 资料收集整理【淘宝店铺:向阳百分百】 54则由正弦定理可得 , , 则周长 , 解得 ,则 , 由余弦定理可得 边上的中线的长度为: ; 若选择③:由(1)可得 ,即 , 则 ,解得 , 则由余弦定理可得 边上的中线的长度为: . 2.(2020年新高考全国卷Ⅰ数学高考试题(山东卷))在① ,② ,③ 这三个条件 中任选一个,补充在下面问题中,若问题中的三角形存在,求 的值;若问题中的三角形不存在,说明理 由. 问题:是否存在 ,它的内角 的对边分别为 ,且 , ,________? 注:如果选择多个条件分别解答,按第一个解答计分. 【答案】详见解析 【分析】方法一:由题意结合所给的条件,利用正弦定理角化边,得到a,b的比例关系,根据比例关系, 设出长度长度,由余弦定理得到 的长度,根据选择的条件进行分析判断和求解. 【详解】[方法一]【最优解】:余弦定理 由 可得: ,不妨设 , 则: ,即 . 若选择条件①: 据此可得: , ,此时 . 若选择条件②: 据此可得: , 资料收集整理【淘宝店铺:向阳百分百】 55则: ,此时: ,则: . 若选择条件③: 可得 , ,与条件 矛盾,则问题中的三角形不存在. [方法二]:正弦定理 由 ,得 . 由 ,得 ,即 , 得 .由于 ,得 .所以 . 若选择条件①: 由 ,得 ,得 . 解得 .所以,选条件①时问题中的三角形存在,此时 . 若选择条件②: 由 ,得 ,解得 ,则 . 由 ,得 ,得 . 所以,选条件②时问题中的三角形存在,此时 . 若选择条件③: 由于 与 矛盾,所以,问题中的三角形不存在. 【整体点评】方法一:根据正弦定理以及余弦定理可得 的关系,再根据选择的条件即可解出,是本 题的通性通法,也是最优解; 方法二:利用内角和定理以及两角差的正弦公式,消去角 ,可求出角 ,从而可得 ,再根据选择条件即可解出. 3.(2022年贵州省质量检测数学试题)在① ;② 的最小值为 ;③ .这三个条件中任选一个,补充在下面问题中,并解答.在 中,内角 , , 的对边为 , , ,且______. (1)求 ; 资料收集整理【淘宝店铺:向阳百分百】 56(2)若 是内角平分线,交 于 , , ,求 的面积. 注:如果选择多个条件分别解答,按第一个解答计分. 【答案】(1) (2) 【分析】(1)若选①,由 结合正弦的和差角公式化简,即可得到结果; 若选②,由辅助角公式即可得到 ,然后代入计算,即可得到结果; 若选③,将“切”化为“弦”,然后结合正弦的和差角公式,即可得到结果; (2)根据题意,由三角形的面积公式可得 ,然后由余弦定理即可得到 ,从而得到结果. 【详解】(1)若选①,由 可得, , 可得 ,因为 ,所以 , 且 ,所以 . 若选②, ,且其最小值为 , 所以 ,即 , ,又因为 , 所以 . 若选③,由 可得 , 所以 , 即 ,所以 , 因为 ,所以 ,又因为 ,所以 . (2)因为 是角 的平分线,且 ,由 , 所以 ,且 ,由余弦定理可得 , 即 ,即 ,所以 , 故 . 资料收集整理【淘宝店铺:向阳百分百】 571.(2020年北京市高考数学试卷)在 中, ,再从条件①、条件②这两个条件中选择一个 作为已知,求: (Ⅰ)a的值: (Ⅱ) 和 的面积. 条件①: ; 条件②: . 注:如果选择条件①和条件②分别解答,按第一个解答计分. 【答案】选择条件①(Ⅰ)8(Ⅱ) , ; 选择条件②(Ⅰ)6(Ⅱ) , . 【分析】选择条件①(Ⅰ)根据余弦定理直接求解,(Ⅱ)先根据三角函数同角关系求得 ,再根据正 弦定理求 ,最后根据三角形面积公式求结果; 选择条件②(Ⅰ)先根据三角函数同角关系求得 ,再根据正弦定理求结果,(Ⅱ)根据两角和 正弦公式求 ,再根据三角形面积公式求结果. 【详解】选择条件①(Ⅰ) (Ⅱ) 由正弦定理得: 选择条件②(Ⅰ) 资料收集整理【淘宝店铺:向阳百分百】 58由正弦定理得: (Ⅱ) 【点睛】本题考查正弦定理、余弦定理,三角形面积公式,考查基本分析求解能力,属中档题. 2.(2023年江苏省模拟)在① ,② ,③ ,这三个条件中任选一个补充在横线上,回答下面问题. 在 中,已知内角A,B,C所对的边分别为a,b,c,若___________. (1)求A的值; (2)若边长 ,求 面积的最大值. 【答案】(1) (2) 【分析】(1)根据正弦定理边角互化,结合三角恒等变换即可求解, (2)由余弦定理结合基本不等式即可求解. 【详解】(1)若选①:由 及正弦定理有: , 由于 ,所以 , 由于 ,即 所以 所以 ; 若选②: , 由正弦定理得 , 即 , ,又 ,所以 ; 若选③: , 由正弦定理得 ,即 , , , 资料收集整理【淘宝店铺:向阳百分百】 59由于 ,所以 ; (2)由余弦定理得: ,即 , ,当且仅当 时等号成立, 则 , 则 面积的最大值为 . 3.(2023年湖北省部分市级示范校联考数学试题)在 中,内角 的对边分别为 ,若 ______, 在以下条件中任选一个:①向量 , ,且 ;②向量 , ,且 ,并解答下列问题: (1)求角 ; (2)若 的外接圆的半径为 ,且 ,求 的面积. 【答案】(1) (2) 【分析】(1)若选①,利用平面向量共线的坐标表示,以及正弦定理和余弦定理,求得 ,即可 求解 的值; 若选②,利用平面向量垂直的坐标表示,以及正弦定理求得 ,即可求解 的值; (2)由正弦定理求得 ,利用余弦定理列出方程求得 ,结合三角形的面积公式,即可求解. 【详解】(1)解:若选①:向量 , ,且 ; 可得 , 由正弦定理得 ,即 , 所以 ,因为 ,所以 . 若选②:向量 , ,且 , 可得 ,即 由正弦定理得 ,所以 , 因为 ,所以 . (2)因为 的外接圆的半径为 ,且 , , 资料收集整理【淘宝店铺:向阳百分百】 60由正弦定理知 ,可得 , 又由余弦定理得 ,即 , 解得 ,所以 的面积为 . 4.(2023年四川省模拟)已知 的角 , , 所对的边分别为 , , ,且 , . (1)若 ,求 ; (2)再从条件①、条件②这两个条件中选择一个作为已知,求函数 的 值域. 条件①: ; 条件②: . 注:如果选择条件①和条件②分别解答,按第一个解答计分. 【答案】(1) (2) 【分析】(1)由 及正弦定理得 ,利 用诱导公式及三角恒等变换可得 ,结合角的范围即可求解; (2)利用三角恒等变换化简为 ,选择①由 ,可得 ,结合余弦定理可得 ,再利用正弦函数的性质即可求解;选择②,由 ,可得 ,再利用正弦函数的性质即可求解. 【详解】(1)由 及正弦定理得 . 因为 , 所以 . 由于 , ,所以 . 又 , ,故 ,即 . (2) . 选择条件①: 资料收集整理【淘宝店铺:向阳百分百】 61因为 ,所以 , 根据余弦定理可得, . 所以 ,又 ,所以 . 所以 ,即 , 故 . 选择条件②: 因为 ,又 ,所以 , 所以 ,即 . 故 . 【基础过关】 1.(2023年江苏省模拟)在 中,角 的对边分别为 , , ,若 , ,则 . 【答案】 【分析】运用正弦定理和余弦定理,将角化成边. 【详解】因为 ,由正弦定理和余弦定理有 ,整理得 又 ,所以 ,则 . 2.在 中,若 , ,则 . 【答案】4 【分析】根据题意得到 ,由正弦定理和余弦定理化简得到 ,联立方程组,即可 求解. 【详解】因为 ,可得 , 资料收集整理【淘宝店铺:向阳百分百】 62由正弦定理和余弦定理得 ,整理得 , 又因为 ,联立方程组,可得 ,解得 . 3.(2023年重庆市阶段性测试数学试题)在 中,已知 , , ,则满足条件的三角 形有 个. 【答案】2 【分析】根据正弦定理得 ,再根据 ,得B有两解,进而求解. 【详解】在 中,由 , 即 , 所以 由 ,得 , 所以 或 , 所以满足条件的三角形有2个. 4.(2023年黑龙江省模拟)在 中,已知角A,B的对边分别为a,b, , , ,则 ( ). A. B. C. D. 【答案】C 【分析】由正弦定理求解即可. 【详解】由正弦定理可得: , 则 ,即 , 则 . 5.(2023年江西省模拟) 的内角A,B,C的对边分别为a,b,c,已知 , ,则 的面积为 . 【答案】 资料收集整理【淘宝店铺:向阳百分百】 63【分析】根据正弦定理边角化得 ,进而可得 ,由余弦定理和面积公式即 可求解. 【详解】由正弦定理可得 , 由于 , 所以 , 由 得 , 故 , 所以 , 故 的面积为 . 6.(2023年青海省联考数学试题)如图,小明同学在山顶A处观测到一辆汽车在一条水平的公路上沿直 线匀速行驶,小明在A处测得公路上B,C两点的俯角分别为 , ,且 .若山高 m,汽车从C点到B点历时25s,则这辆汽车的速度为 . 【答案】 【分析】根据余弦定理即可求解. 【详解】由题意可知, , ,所以 m, m,由余弦定理可得 (m),这辆汽车的速度为 ( ). 7.(2023年安徽省质量检测数学试题(A卷))已知 的内角 的对边分别为 , , ,若 , , 的面积为 ,则 的周长为 . 资料收集整理【淘宝店铺:向阳百分百】 64【答案】 / 【分析】根据三角形面积公式以及余弦定理,即可求得答案. 【详解】由题意 , , 的面积为 , 可得 , 又 ,即 , 故 的周长为 . 8.(2020年全国统一高考数学试卷(文科)(新课标Ⅲ))在△ABC中,cosC= ,AC=4,BC=3,则 tanB=( ) A. B.2 C.4 D.8 【答案】C 【分析】先根据余弦定理求 ,再根据余弦定理求 ,最后根据同角三角函数关系求 【详解】设 【点睛】本题考查余弦定理以及同角三角函数关系,考查基本分析求解能力,属基础题. 9.(2023年黑龙江省模拟)设 的内角 , , 所对的边分别为 , , ,且 , , ,则 的面积 . 【答案】 / 【分析】由题干所给数据结合余弦定理可先求出 的值,再由 求出 的值,再代入面 积公式 求出答案. 【详解】因为 , , 所以 ,解得 , 所以 , 所以 的面积 . 10.(2023年江西省模拟)在锐角 中,内角 , , 的边分别对应 , , ,若 , 资料收集整理【淘宝店铺:向阳百分百】 65则 的取值范围是 . 【答案】 【分析】先对 边角互换化简,得到 ,再锐角 中,找到 ,再化简 即可求解. 【详解】因为 ,由正弦定理得, , ,化简得 , 在 中,则 ,则 , 所以锐角 中, , . 11.(2023年贵州省模拟)设 的内角 , , 所对的边分别为 , , ,若 ,则 的形状可能为( ) A.直角三角形 B.等边三角形 C.钝角三角形 D.三边比为 的三角形 【答案】B 【分析】由已知结合正弦定理及二倍角公式化简可得 , , 的关系,进而可判断. 【详解】由 , 利用正弦定理得 ,即 , 因为 ,所以 或 , 所以 或 , 故 的形状可能为等腰三角形或以 为直角的直角三角形; 又由 , 利用正弦定理得 ,即 , 因为 ,所以 或 , 所以 或 , 故 的形状可能为等腰三角形或以 为直角的直角三角形; 资料收集整理【淘宝店铺:向阳百分百】 66综上可得 ,所以 为等边三角形. 12.(2015年全国普通高等学校招生统一考试文科数学(新课标Ⅰ))已知 分别是 内角 的对边, . (1)若 ,求 (2)若 ,且 求 的面积. 【答案】(1) ;(2)1 【详解】试题分析:(1)由 ,结合正弦定理可得: ,再利用余弦定理即可得 出 (2)利用(1)及勾股定理可得c,再利用三角形面积计算公式即可得出 试题解析:(1)由题设及正弦定理可得 又 ,可得 由余弦定理可得 (2)由(1)知 因为 ,由勾股定理得 故 ,得 ,所以ΔABC的面积为1 考点:正弦定理,余弦定理解三角形. 13.(2016年全国普通高等学校招生统一考试理科数学(全国1卷)) 的内角A,B,C的对边分别 为a,b,c.已知 . (1)求角C;(2)若 , ,求 的周长. 【答案】(1) (2) 【详解】试题分析:(1)根据正弦定理把 化成 ,利用和角公式可得 从而求得角 ;(2)根据三角形的面积 和角 的值求得 ,由余弦定理求得边 得到 的周长. 试题解析:(1)由已知可得 (2) 资料收集整理【淘宝店铺:向阳百分百】 67又 , 的周长为 考点:正余弦定理解三角形. 【能力提升】 1.(2023年江苏省模拟)北斗三号全球卫星导航系统是我国航天事业的重要成果.在卫星导航系统中, 地球静止同步轨道卫星的轨道位于地球赤道所在平面,轨道高度为 (轨道高度是指卫星到地球表 面的距离).将地球看作是一个球心为 ,半径 为 的球,若地球表面上的观测者 与某颗地球静 止同步轨道卫星 处于相同经度,且 能直接观测到 ,设点 的维度( 与赤道平面所成角的度数)的 最大值为 ,则 ( ) A. B. C. D. 【答案】B 【分析】通过构造直角三角形的方法求得 . 【详解】设 表示卫星,过 作截面,截地球得大圆 , 过 作圆 的切线 , ,线段 交圆 于 ,如图, 则 , , , , 则 . 2.(2023年安徽省学业水平监测数学试题)“一部剧带火一座城”,五一期间,我市的地标建筑——中 国南北分界线雕塑成为了网红打卡地,某校数学课外兴趣小组,拟借助所学知识测量该建筑的高度.记该雕 塑的最高点为点A,其在地面的投影点为点H,在点H南偏西60°方向的点B处测得点A的仰角为60°,在 点H正东方向的点C处测得点A的仰角为45°,点B,C相距 米,则该雕塑的高度为 米. 【答案】40 【分析】设 ,则 ,在 中,可求 ,在 中,由余弦定理解得 的值,即 资料收集整理【淘宝店铺:向阳百分百】 68可求解该雕塑的高度. 【详解】由题意可得 , , , 米, 设 ,则 , 在 中,由于 ,可得 , 所以 , 在 中,由余弦定理 , 可得 , 解得 ,即该雕塑的高度 的值为40米. 3.(2023年福建省模拟)在锐角 中,角 , , 的对边分别为 , , ,若 , ,则 周长的取值范围是( ) A. B. C. D. 【答案】B 【分析】先求出 ,可得 ,由正弦定理得 的周长为 ,再求出 ,进而可得答案. 【详解】因为 所以 , ∵ ,∴ , ,∵ ,∴ , , ∴ ,∴ ,由正弦定理得 ∴ , , 所以 的周长为 资料收集整理【淘宝店铺:向阳百分百】 69∵ , ∴ 的周长为 . 4.(2023年河北省模拟)在锐角三角形 中,角A,B,C的对边分别为a,b,c,且满足 ,则 的取值范围为( ). A. B. C. D. 【答案】A 【分析】利用正余弦定理进行边角互化,从而可得 ,进而求得 ,再把 化为 ,结合 即可求解. 【详解】 , , 即 , , , , , , 资料收集整理【淘宝店铺:向阳百分百】 70. 5.(2023年江苏省模拟)在 中,角 , , 所对的边分别为 , , ,则下列说法中错误的是 ( ) A.若 ,则 B.若 为锐角三角形,则 C.若 ,则 为钝角三角形 D.若 ,则 为等腰三角形 【答案】D 【分析】由 ,得到 ,结合正弦定理可判定A;由 为锐角三角形,得到 ,结合正 弦函数的单调性可判定B;根据余弦定理可判断C;由 ,结合两角和差的正弦公式求解可判 定D. 【详解】对于A,因为 ,得 ,所以 ( 为 外接圆的半径), 所以 ,故A正确; 对于B,由 为锐角三角形,可得 ,则 , 因为 ,可得 , 又函数 在 上单调递增,所以 ,故B正确; 对于C,若 ,则 ,而 , 所以角 为钝角,即 为钝角三角形,故C正确; 对于D,由 ,得 , 展开整理得 , 因为 ,可得 或 , 所以 是直角三角形或等腰三角形,故D错误. 6.(2023年湖北省模拟)已知锐角 中, ,则 的取值范围 . 【答案】 资料收集整理【淘宝店铺:向阳百分百】 71【分析】由正弦定理、余弦定理结合两角和与差的正弦公式化简已知等式知 ,分别讨论 或 ,结合题意即可求出 ,由正弦定理将 化简为 ,代入即可求出答案. 【详解】因为 ,所以 , 所以 ,由正弦定理可得: , 在 中,因为 , 又 , 所以 所以 , ①当 时,且 , 若 是锐角三角形,则 , 所以 ,不成立; ②当 时,且 , 所以 ,所以 , 则 ,且 , 且 , , 又 , , , ,所以 . 7. 的内角 的对边分别为 已知 . (1)求角 和边长 ; (2)设 为 边上一点,且 ,求 的面积. 【答案】(1) , ;(2) . 资料收集整理【淘宝店铺:向阳百分百】 72【详解】试题分析:(1)先根据同角的三角函数的关系求出 从而可得 的值,再根据余弦定 理列方程即可求出边长 的值;(2)先根据余弦定理求出 ,求出 的长,可得 ,从而得 到 ,进而可得结果. 试题解析:(1) , ,由余弦定理可得 ,即 ,即 ,解得 (舍去)或 ,故 . (2) , , , , , . 8.(2023年黑龙江省模拟)在 中,角A,B,C所对的边分别为a,b,c,已知 . (1)求B的值; (2)给出以下三个条件:① ;② , ;③ ,若这三个条件中仅有两个 正确,请选出正确的条件,并求 的周长. 【答案】(1) ;(2)①③, . 【分析】(1)根据给定条件,利用和差角的正弦公式求解作答. (2)由(1)判断正确的条件,再利用余弦定理、三角形面积公式求解作答. 【详解】(1)在 中,由 ,得 , 因此 ,而 ,则 ,又 , 所以 . (2)在 中,由(1)知, ,则 ,显然条件②不成立,因此正确的条件为①③, 由 ,得 ,由余弦定理得 , 于是 ,而 ,解得 ,由 ,得 ,即有 ,则 , 因此 ,而 ,解得 , 所以 的周长 . 资料收集整理【淘宝店铺:向阳百分百】 739.(2023年江西省模拟)已知a,b,c分别为 三个内角A,B,C的对边,若 , , ,则 . 【答案】2 【分析】根据题意,由同角三角函数的平方关系可得 ,然后结合正弦定理可求得 的 外接圆半径 ,即可得到结果. 【详解】在 中, , , 所以 , ,且 , 所以 , 设 的外接圆半径为 ,则 , ,且 , 解得 ,因为 ,所以 . 10.(2023年云南省模拟)在 中,角 所对的边分别为 ,已知 (其中: ). (1)求角A的大小; (2)已知 的外接圆半径为 ,求 的最大值. 【答案】(1) (2) 【分析】(1)根据题意利用正、余弦定理可得 ,结合三角恒等变换运 算求解即可; (2)利用正项定理可得 ,利用余弦定理结合基本不等式可得 , ,换元结 合函数单调性求最值. 【详解】(1)因为 ,由余弦定理可得 , 由正弦定理可得: , 资料收集整理【淘宝店铺:向阳百分百】 74又因为 , 可得 , 且 且 ,则 , 可得 ,所以 . (2)由正弦定理可得 ,则 , 由余弦定理可得 , 即 ,则 , 因为 ,当且仅当 时,等号成立, 解得 , 又因为 , 令 ,则 , 所以 , 因为 在 上单调递增, 所以当 时, 取到最大值为 ,故 的最大值为 . 11.(2023年河南省模拟)已知 为锐角三角形,内角A,B,C的对边分别是a,b,c, 的面 积为S,且满足 . (1)求角A的大小; (2)若 ,求 周长的范围. 【答案】(1) (2) 【分析】(1)利用诱导公式以及同角的三角函数关系结合正弦定理边化角化简,求值可得答案; (2)由正弦定理表示出 ,利用三角恒等变换化简可得 ,求出角B范围,结合正切函数 性质,即可求得答案. 资料收集整理【淘宝店铺:向阳百分百】 75【详解】(1)在 中, , ∴由 ,得 , 则 , ∵ ,∴ ,∴ , 又∵ ,∴ . (2)由正弦定理结合 得, , 即 , 则 , 因为 为锐角三角形,故 , 故 ,而 , 即 , 故 , 故 ,即 周长的范围为 . 12.(2023年江苏省期末联考数学试题) 的内角A,B,C的对边分别为a,b,c,已知 . (1)求A; (2)若 为锐角三角形,且 ,求 面积的取值范围. 【答案】(1) (2) 【分析】(1)由正弦定理结合 得到 ,利用辅助角公式得到 , 资料收集整理【淘宝店铺:向阳百分百】 76结合角 的范围得到 ; (2)法一:由(1)中 ,结合三角形面积公式得到 ,由正弦定理求出 ,得到面积 的取值范围; 法二:由余弦定理得到 ,结合三角形为锐角三角形得到 ,从而求出 , 求出面积的取值范围. 【详解】(1)由正弦定理可得: , 因为 , 所以 , 所以 , 因为 ,所以 ,所以 , 所以 , 因为 , 所以 ,即 ; (2)法一:由 及(1)知 的面积 . 由正弦定理得 . 由于 为锐角三角形,故 , . 由(1)知 ,所以 , 因为 在 上单调递增,故 ,故 , 故 ,从而 . 因此 面积的取值范围是 ; 法二:因为 , , 由余弦定理得 ,即 ,故 , 资料收集整理【淘宝店铺:向阳百分百】 77为锐角三角形,则 ,即 , 由①得 ,解得 , 由②得 ,解得 或 (舍去), 综上 , 所以 . 【真题感知】 1.(2023年北京高考数学真题)在 中, ,则 ( ) A. B. C. D. 【答案】B 【分析】利用正弦定理的边角变换与余弦定理即可得解. 【详解】因为 , 所以由正弦定理得 ,即 , 则 ,故 , 又 ,所以 . 2.(2020年山东省春季高考数学真题)在 中,内角 , , 的对边分别是 , , ,若 ,且 ,则 等于( ) A.3 B. C.3或 D.-3或 【答案】A 【分析】利用余弦定理求出 ,并进一步判断 ,由正弦定理可得 ,最后利用两角和的正切公式,即可得到答案; 【详解】 , , , 资料收集整理【淘宝店铺:向阳百分百】 78, , , , . 3.(2023年高考全国乙卷数学(理)真题)在 中,已知 , , . (1)求 ; (2)若D为BC上一点,且 ,求 的面积. 【答案】(1) ;(2) . 【分析】(1)首先由余弦定理求得边长 的值为 ,然后由余弦定理可得 ,最后由同角 三角函数基本关系可得 ; (2)由题意可得 ,则 ,据此即可求得 的面积. 【详解】(1)由余弦定理可得: , 则 , , . (2)由三角形面积公式可得 , 则 . 4.(2023年新高考天津数学高考真题)在 中,角 所对的边分別是 .已知 . (1)求 的值; (2)求 的值; 资料收集整理【淘宝店铺:向阳百分百】 79(3)求 . 【答案】(1) ; (2) ; (3) ; 【分析】(1)根据正弦定理即可解出; (2)根据余弦定理即可解出; (3)由正弦定理求出 ,再由平方关系求出 ,即可由两角差的正弦公式求出. 【详解】(1)由正弦定理可得, ,即 ,解得: ; (2)由余弦定理可得, ,即 , 解得: 或 (舍去). (3)由正弦定理可得, ,即 ,解得: ,而 , 所以 都为锐角,因此 , , 故 . 5.(2023年新课标全国Ⅰ卷数学真题)已知在 中, . (1)求 ; (2)设 ,求 边上的高. 【答案】(1) ; (2)6 【分析】(1)根据角的关系及两角和差正弦公式,化简即可得解; (2)利用同角之间的三角函数基本关系及两角和的正弦公式求 ,再由正弦定理求出 ,根据等面积法 求解即可. 【详解】(1) , ,即 , 又 , , , , 即 ,所以 , 资料收集整理【淘宝店铺:向阳百分百】 80. (2)由(1)知, , 由 , 由正弦定理, ,可得 , , . 6.(2022年高考天津卷数学真题)在 中,角A、B、C的对边分别为a,b,c.已知 . (1)求 的值; (2)求 的值; (3)求 的值. 【答案】(1) (2) (3) 【分析】(1)根据余弦定理 以及 解方程组即可求出; (2)由(1)可求出 ,再根据正弦定理即可解出; (3)先根据二倍角公式求出 ,再根据两角差的正弦公式即可求出. 【详解】(1)因为 ,即 ,而 ,代入得 ,解得: . (2)由(1)可求出 ,而 ,所以 ,又 ,所以 . (3)因为 ,所以 ,故 ,又 , 所以 资料收集整理【淘宝店铺:向阳百分百】 81, , 而 ,所以 , 故 . 7.(2023年新课标全国Ⅱ卷数学真题)记 的内角 的对边分别为 ,已知 的面积为 , 为 中点,且 . (1)若 ,求 ; (2)若 ,求 . 【答案】(1) ;(2) . 【分析】(1)方法1,利用三角形面积公式求出 ,再利用余弦定理求解作答;方法2,利用三角形面积 公式求出 ,作出 边上的高,利用直角三角形求解作答. (2)方法1,利用余弦定理求出a,再利用三角形面积公式求出 即可求解作答;方法2,利用向量 运算律建立关系求出a,再利用三角形面积公式求出 即可求解作答. 【详解】(1)方法1:在 中,因为 为 中点, , , 则 ,解得 , 在 中, ,由余弦定理得 , 即 ,解得 ,则 , , 所以 . 方法2:在 中,因为 为 中点, , , 资料收集整理【淘宝店铺:向阳百分百】 82则 ,解得 , 在 中,由余弦定理得 , 即 ,解得 ,有 ,则 , ,过 作 于 ,于是 , , 所以 . (2)方法1:在 与 中,由余弦定理得 , 整理得 ,而 ,则 , 又 ,解得 ,而 ,于是 , 所以 . 方法2:在 中,因为 为 中点,则 ,又 , 于是 ,即 ,解得 , 又 ,解得 ,而 ,于是 , 所以 . 8.(2021年全国新高考Ⅰ卷数学试题)记 是内角 , , 的对边分别为 , , .已知 , 点 在边 上, . (1)证明: ; (2)若 ,求 . 【答案】(1)证明见解析;(2) . 【分析】(1)根据正弦定理的边角关系有 ,结合已知即可证结论. (2)方法一:两次应用余弦定理,求得边 与 的关系,然后利用余弦定理即可求得 的值. 【详解】(1)设 的外接圆半径为R,由正弦定理, 得 , 资料收集整理【淘宝店铺:向阳百分百】 83因为 ,所以 ,即 . 又因为 ,所以 . (2)[方法一]【最优解】:两次应用余弦定理 因为 ,如图,在 中, ,① 在 中, .② 由①②得 ,整理得 . 又因为 ,所以 ,解得 或 , 当 时, (舍去). 当 时, .所以 . [方法二]:等面积法和三角形相似 如图,已知 ,则 ,即 , 而 ,即 ,故有 ,从而 . 由 ,即 ,即 ,即 ,故 ,即 , 资料收集整理【淘宝店铺:向阳百分百】 84又 ,所以 ,则 . [方法三]:正弦定理、余弦定理相结合 由(1)知 ,再由 得 . 在 中,由正弦定理得 . 又 ,所以 ,化简得 . 在 中,由正弦定理知 ,又由 ,所以 . 在 中,由余弦定理,得 . 故 . [方法四]:构造辅助线利用相似的性质 如图,作 ,交 于点E,则 . 由 ,得 .在 中, . 在 中 .因为 , 所以 ,整理得 . 又因为 ,所以 ,即 或 . 下同解法1. [方法五]:平面向量基本定理 资料收集整理【淘宝店铺:向阳百分百】 85因为 ,所以 . 以向量 为基底,有 . 所以 , 即 , 又因为 ,所以 .③ 由余弦定理得 , 所以 ④ 联立③④,得 . 所以 或 . 下同解法1. [方法六]:建系求解 以D为坐标原点, 所在直线为x轴,过点D垂直于 的直线为y轴, 长为单位长度建立直角坐标系, 如图所示,则 . 由(1)知, ,所以点B在以D为圆心,3为半径的圆上运动. 设 ,则 .⑤ 由 知, , 即 .⑥ 联立⑤⑥解得 或 (舍去), , 代入⑥式得 , 由余弦定理得 . 【整体点评】(2)方法一:两次应用余弦定理是一种典型的方法,充分利用了三角形的性质和正余弦定理的 资料收集整理【淘宝店铺:向阳百分百】 86性质解题; 方法二:等面积法是一种常用的方法,很多数学问题利用等面积法使得问题转化为更为简单的问题,相似 是三角形中的常用思路; 方法三:正弦定理和余弦定理相结合是解三角形问题的常用思路; 方法四:构造辅助线作出相似三角形,结合余弦定理和相似三角形是一种确定边长比例关系的不错选择; 方法五:平面向量是解决几何问题的一种重要方法,充分利用平面向量基本定理和向量的运算法则可以将 其与余弦定理充分结合到一起; 方法六:建立平面直角坐标系是解析几何的思路,利用此方法数形结合充分挖掘几何性质使得问题更加直 观化. 资料收集整理【淘宝店铺:向阳百分百】 87