当前位置:首页>文档>专题44推理与证明、算法初步(教师版)_02高考数学_通用版(老高考)复习资料_2024年复习资料_完备战2024年高考数学一轮复习考点帮(全国通用)_核心考点讲练

专题44推理与证明、算法初步(教师版)_02高考数学_通用版(老高考)复习资料_2024年复习资料_完备战2024年高考数学一轮复习考点帮(全国通用)_核心考点讲练

  • 2026-04-14 10:57:59 2026-04-14 03:11:18

文档预览

专题44推理与证明、算法初步(教师版)_02高考数学_通用版(老高考)复习资料_2024年复习资料_完备战2024年高考数学一轮复习考点帮(全国通用)_核心考点讲练
专题44推理与证明、算法初步(教师版)_02高考数学_通用版(老高考)复习资料_2024年复习资料_完备战2024年高考数学一轮复习考点帮(全国通用)_核心考点讲练
专题44推理与证明、算法初步(教师版)_02高考数学_通用版(老高考)复习资料_2024年复习资料_完备战2024年高考数学一轮复习考点帮(全国通用)_核心考点讲练
专题44推理与证明、算法初步(教师版)_02高考数学_通用版(老高考)复习资料_2024年复习资料_完备战2024年高考数学一轮复习考点帮(全国通用)_核心考点讲练
专题44推理与证明、算法初步(教师版)_02高考数学_通用版(老高考)复习资料_2024年复习资料_完备战2024年高考数学一轮复习考点帮(全国通用)_核心考点讲练
专题44推理与证明、算法初步(教师版)_02高考数学_通用版(老高考)复习资料_2024年复习资料_完备战2024年高考数学一轮复习考点帮(全国通用)_核心考点讲练
专题44推理与证明、算法初步(教师版)_02高考数学_通用版(老高考)复习资料_2024年复习资料_完备战2024年高考数学一轮复习考点帮(全国通用)_核心考点讲练
专题44推理与证明、算法初步(教师版)_02高考数学_通用版(老高考)复习资料_2024年复习资料_完备战2024年高考数学一轮复习考点帮(全国通用)_核心考点讲练
专题44推理与证明、算法初步(教师版)_02高考数学_通用版(老高考)复习资料_2024年复习资料_完备战2024年高考数学一轮复习考点帮(全国通用)_核心考点讲练
专题44推理与证明、算法初步(教师版)_02高考数学_通用版(老高考)复习资料_2024年复习资料_完备战2024年高考数学一轮复习考点帮(全国通用)_核心考点讲练
专题44推理与证明、算法初步(教师版)_02高考数学_通用版(老高考)复习资料_2024年复习资料_完备战2024年高考数学一轮复习考点帮(全国通用)_核心考点讲练
专题44推理与证明、算法初步(教师版)_02高考数学_通用版(老高考)复习资料_2024年复习资料_完备战2024年高考数学一轮复习考点帮(全国通用)_核心考点讲练
专题44推理与证明、算法初步(教师版)_02高考数学_通用版(老高考)复习资料_2024年复习资料_完备战2024年高考数学一轮复习考点帮(全国通用)_核心考点讲练
专题44推理与证明、算法初步(教师版)_02高考数学_通用版(老高考)复习资料_2024年复习资料_完备战2024年高考数学一轮复习考点帮(全国通用)_核心考点讲练
专题44推理与证明、算法初步(教师版)_02高考数学_通用版(老高考)复习资料_2024年复习资料_完备战2024年高考数学一轮复习考点帮(全国通用)_核心考点讲练
专题44推理与证明、算法初步(教师版)_02高考数学_通用版(老高考)复习资料_2024年复习资料_完备战2024年高考数学一轮复习考点帮(全国通用)_核心考点讲练
专题44推理与证明、算法初步(教师版)_02高考数学_通用版(老高考)复习资料_2024年复习资料_完备战2024年高考数学一轮复习考点帮(全国通用)_核心考点讲练
专题44推理与证明、算法初步(教师版)_02高考数学_通用版(老高考)复习资料_2024年复习资料_完备战2024年高考数学一轮复习考点帮(全国通用)_核心考点讲练
专题44推理与证明、算法初步(教师版)_02高考数学_通用版(老高考)复习资料_2024年复习资料_完备战2024年高考数学一轮复习考点帮(全国通用)_核心考点讲练
专题44推理与证明、算法初步(教师版)_02高考数学_通用版(老高考)复习资料_2024年复习资料_完备战2024年高考数学一轮复习考点帮(全国通用)_核心考点讲练
专题44推理与证明、算法初步(教师版)_02高考数学_通用版(老高考)复习资料_2024年复习资料_完备战2024年高考数学一轮复习考点帮(全国通用)_核心考点讲练
专题44推理与证明、算法初步(教师版)_02高考数学_通用版(老高考)复习资料_2024年复习资料_完备战2024年高考数学一轮复习考点帮(全国通用)_核心考点讲练
专题44推理与证明、算法初步(教师版)_02高考数学_通用版(老高考)复习资料_2024年复习资料_完备战2024年高考数学一轮复习考点帮(全国通用)_核心考点讲练
专题44推理与证明、算法初步(教师版)_02高考数学_通用版(老高考)复习资料_2024年复习资料_完备战2024年高考数学一轮复习考点帮(全国通用)_核心考点讲练
专题44推理与证明、算法初步(教师版)_02高考数学_通用版(老高考)复习资料_2024年复习资料_完备战2024年高考数学一轮复习考点帮(全国通用)_核心考点讲练
专题44推理与证明、算法初步(教师版)_02高考数学_通用版(老高考)复习资料_2024年复习资料_完备战2024年高考数学一轮复习考点帮(全国通用)_核心考点讲练
专题44推理与证明、算法初步(教师版)_02高考数学_通用版(老高考)复习资料_2024年复习资料_完备战2024年高考数学一轮复习考点帮(全国通用)_核心考点讲练
专题44推理与证明、算法初步(教师版)_02高考数学_通用版(老高考)复习资料_2024年复习资料_完备战2024年高考数学一轮复习考点帮(全国通用)_核心考点讲练
专题44推理与证明、算法初步(教师版)_02高考数学_通用版(老高考)复习资料_2024年复习资料_完备战2024年高考数学一轮复习考点帮(全国通用)_核心考点讲练
专题44推理与证明、算法初步(教师版)_02高考数学_通用版(老高考)复习资料_2024年复习资料_完备战2024年高考数学一轮复习考点帮(全国通用)_核心考点讲练
专题44推理与证明、算法初步(教师版)_02高考数学_通用版(老高考)复习资料_2024年复习资料_完备战2024年高考数学一轮复习考点帮(全国通用)_核心考点讲练
专题44推理与证明、算法初步(教师版)_02高考数学_通用版(老高考)复习资料_2024年复习资料_完备战2024年高考数学一轮复习考点帮(全国通用)_核心考点讲练
专题44推理与证明、算法初步(教师版)_02高考数学_通用版(老高考)复习资料_2024年复习资料_完备战2024年高考数学一轮复习考点帮(全国通用)_核心考点讲练
专题44推理与证明、算法初步(教师版)_02高考数学_通用版(老高考)复习资料_2024年复习资料_完备战2024年高考数学一轮复习考点帮(全国通用)_核心考点讲练
专题44推理与证明、算法初步(教师版)_02高考数学_通用版(老高考)复习资料_2024年复习资料_完备战2024年高考数学一轮复习考点帮(全国通用)_核心考点讲练
专题44推理与证明、算法初步(教师版)_02高考数学_通用版(老高考)复习资料_2024年复习资料_完备战2024年高考数学一轮复习考点帮(全国通用)_核心考点讲练
专题44推理与证明、算法初步(教师版)_02高考数学_通用版(老高考)复习资料_2024年复习资料_完备战2024年高考数学一轮复习考点帮(全国通用)_核心考点讲练
专题44推理与证明、算法初步(教师版)_02高考数学_通用版(老高考)复习资料_2024年复习资料_完备战2024年高考数学一轮复习考点帮(全国通用)_核心考点讲练
专题44推理与证明、算法初步(教师版)_02高考数学_通用版(老高考)复习资料_2024年复习资料_完备战2024年高考数学一轮复习考点帮(全国通用)_核心考点讲练
专题44推理与证明、算法初步(教师版)_02高考数学_通用版(老高考)复习资料_2024年复习资料_完备战2024年高考数学一轮复习考点帮(全国通用)_核心考点讲练
专题44推理与证明、算法初步(教师版)_02高考数学_通用版(老高考)复习资料_2024年复习资料_完备战2024年高考数学一轮复习考点帮(全国通用)_核心考点讲练
专题44推理与证明、算法初步(教师版)_02高考数学_通用版(老高考)复习资料_2024年复习资料_完备战2024年高考数学一轮复习考点帮(全国通用)_核心考点讲练
专题44推理与证明、算法初步(教师版)_02高考数学_通用版(老高考)复习资料_2024年复习资料_完备战2024年高考数学一轮复习考点帮(全国通用)_核心考点讲练
专题44推理与证明、算法初步(教师版)_02高考数学_通用版(老高考)复习资料_2024年复习资料_完备战2024年高考数学一轮复习考点帮(全国通用)_核心考点讲练
专题44推理与证明、算法初步(教师版)_02高考数学_通用版(老高考)复习资料_2024年复习资料_完备战2024年高考数学一轮复习考点帮(全国通用)_核心考点讲练
专题44推理与证明、算法初步(教师版)_02高考数学_通用版(老高考)复习资料_2024年复习资料_完备战2024年高考数学一轮复习考点帮(全国通用)_核心考点讲练
专题44推理与证明、算法初步(教师版)_02高考数学_通用版(老高考)复习资料_2024年复习资料_完备战2024年高考数学一轮复习考点帮(全国通用)_核心考点讲练
专题44推理与证明、算法初步(教师版)_02高考数学_通用版(老高考)复习资料_2024年复习资料_完备战2024年高考数学一轮复习考点帮(全国通用)_核心考点讲练
专题44推理与证明、算法初步(教师版)_02高考数学_通用版(老高考)复习资料_2024年复习资料_完备战2024年高考数学一轮复习考点帮(全国通用)_核心考点讲练
专题44推理与证明、算法初步(教师版)_02高考数学_通用版(老高考)复习资料_2024年复习资料_完备战2024年高考数学一轮复习考点帮(全国通用)_核心考点讲练
专题44推理与证明、算法初步(教师版)_02高考数学_通用版(老高考)复习资料_2024年复习资料_完备战2024年高考数学一轮复习考点帮(全国通用)_核心考点讲练
专题44推理与证明、算法初步(教师版)_02高考数学_通用版(老高考)复习资料_2024年复习资料_完备战2024年高考数学一轮复习考点帮(全国通用)_核心考点讲练
专题44推理与证明、算法初步(教师版)_02高考数学_通用版(老高考)复习资料_2024年复习资料_完备战2024年高考数学一轮复习考点帮(全国通用)_核心考点讲练
专题44推理与证明、算法初步(教师版)_02高考数学_通用版(老高考)复习资料_2024年复习资料_完备战2024年高考数学一轮复习考点帮(全国通用)_核心考点讲练
专题44推理与证明、算法初步(教师版)_02高考数学_通用版(老高考)复习资料_2024年复习资料_完备战2024年高考数学一轮复习考点帮(全国通用)_核心考点讲练
专题44推理与证明、算法初步(教师版)_02高考数学_通用版(老高考)复习资料_2024年复习资料_完备战2024年高考数学一轮复习考点帮(全国通用)_核心考点讲练
专题44推理与证明、算法初步(教师版)_02高考数学_通用版(老高考)复习资料_2024年复习资料_完备战2024年高考数学一轮复习考点帮(全国通用)_核心考点讲练
专题44推理与证明、算法初步(教师版)_02高考数学_通用版(老高考)复习资料_2024年复习资料_完备战2024年高考数学一轮复习考点帮(全国通用)_核心考点讲练
专题44推理与证明、算法初步(教师版)_02高考数学_通用版(老高考)复习资料_2024年复习资料_完备战2024年高考数学一轮复习考点帮(全国通用)_核心考点讲练
专题44推理与证明、算法初步(教师版)_02高考数学_通用版(老高考)复习资料_2024年复习资料_完备战2024年高考数学一轮复习考点帮(全国通用)_核心考点讲练
专题44推理与证明、算法初步(教师版)_02高考数学_通用版(老高考)复习资料_2024年复习资料_完备战2024年高考数学一轮复习考点帮(全国通用)_核心考点讲练
专题44推理与证明、算法初步(教师版)_02高考数学_通用版(老高考)复习资料_2024年复习资料_完备战2024年高考数学一轮复习考点帮(全国通用)_核心考点讲练
专题44推理与证明、算法初步(教师版)_02高考数学_通用版(老高考)复习资料_2024年复习资料_完备战2024年高考数学一轮复习考点帮(全国通用)_核心考点讲练
专题44推理与证明、算法初步(教师版)_02高考数学_通用版(老高考)复习资料_2024年复习资料_完备战2024年高考数学一轮复习考点帮(全国通用)_核心考点讲练
专题44推理与证明、算法初步(教师版)_02高考数学_通用版(老高考)复习资料_2024年复习资料_完备战2024年高考数学一轮复习考点帮(全国通用)_核心考点讲练
专题44推理与证明、算法初步(教师版)_02高考数学_通用版(老高考)复习资料_2024年复习资料_完备战2024年高考数学一轮复习考点帮(全国通用)_核心考点讲练
专题44推理与证明、算法初步(教师版)_02高考数学_通用版(老高考)复习资料_2024年复习资料_完备战2024年高考数学一轮复习考点帮(全国通用)_核心考点讲练
专题44推理与证明、算法初步(教师版)_02高考数学_通用版(老高考)复习资料_2024年复习资料_完备战2024年高考数学一轮复习考点帮(全国通用)_核心考点讲练
专题44推理与证明、算法初步(教师版)_02高考数学_通用版(老高考)复习资料_2024年复习资料_完备战2024年高考数学一轮复习考点帮(全国通用)_核心考点讲练
专题44推理与证明、算法初步(教师版)_02高考数学_通用版(老高考)复习资料_2024年复习资料_完备战2024年高考数学一轮复习考点帮(全国通用)_核心考点讲练
专题44推理与证明、算法初步(教师版)_02高考数学_通用版(老高考)复习资料_2024年复习资料_完备战2024年高考数学一轮复习考点帮(全国通用)_核心考点讲练

文档信息

文档格式
docx
文档大小
3.252 MB
文档页数
67 页
上传时间
2026-04-14 03:11:18

文档内容

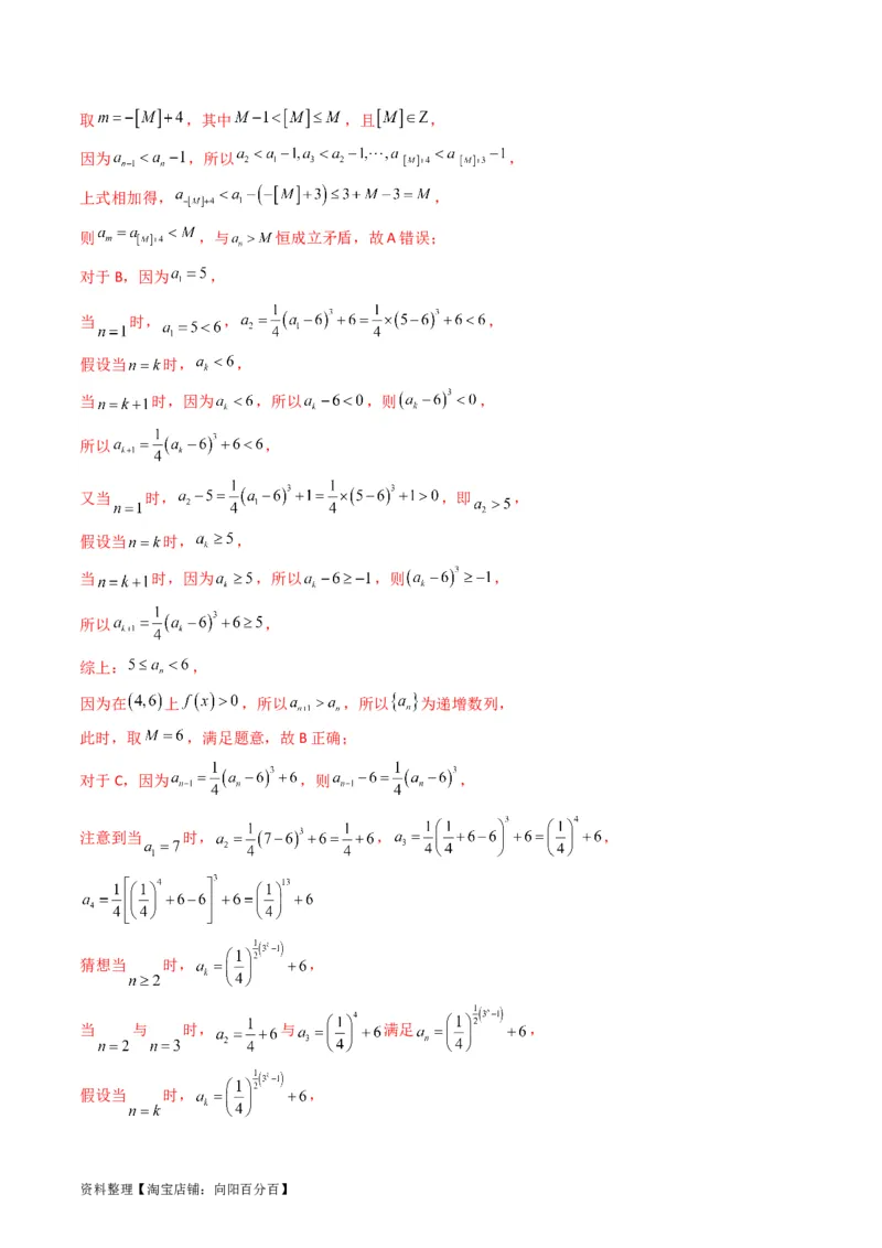
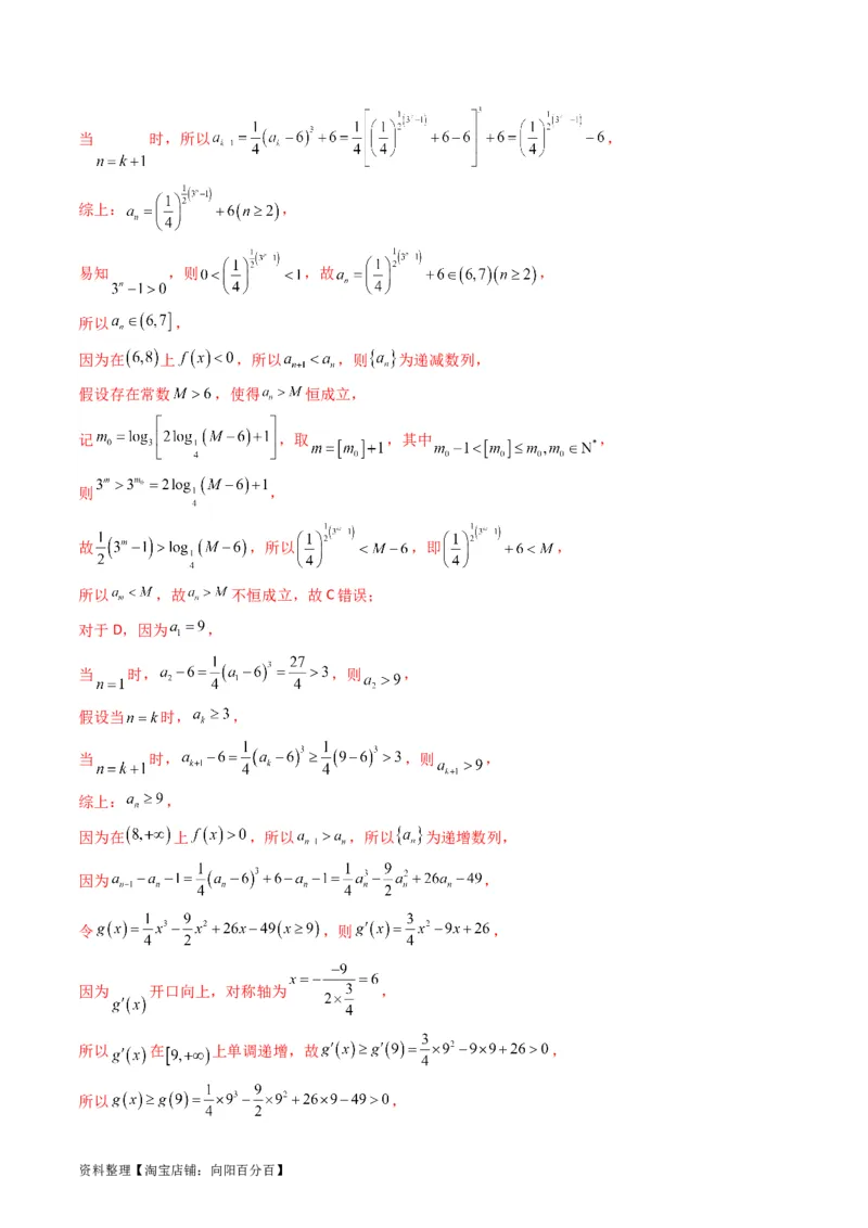
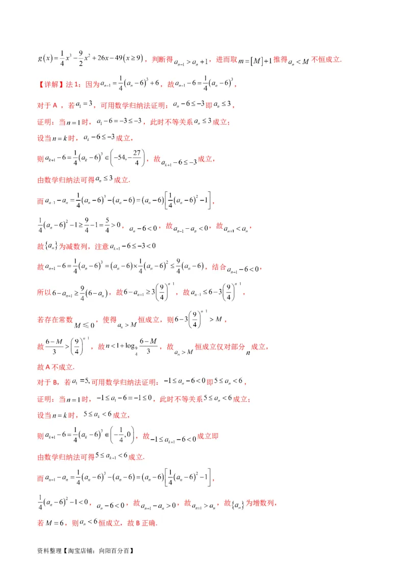
专题 44 推理与证明、算法初步 (核心考点精讲精练) 1. 近几年真题考点分布 推理与证明、算法初步近几年考情 考题示例 考点分析 关联考点 2020年新课标II(文科),第7题,5分 程序框图 2020年新课标I(文科),第9题,5分 程序框图 2021年新高考I卷,第16题,5分 归纳推理 2022年全国乙(理科),第6题,5分 程序框图 2022年全国乙(文科),第7题,5分 2023年北京卷,第10题,5分 数学归纳法 2023年全国甲(理科),第3题,5分 程序框图 2023年全国甲(文科),第6题,5分 2. 命题规律及备考策略 【命题规律】1.主要考察的是逻辑推理能力。需要掌握并运用各种推理方法,如归纳推理、类比推理等。 同时需要注意,推理过程需要符合逻辑,结论需要经过证明才能确定为真; 2.主要考察的是编程和算法基础。需要理解算法的概念、表示方法、基本结构等,同时需要 掌握一些基本的算法,如排序、查找等。在解题时,需要能够分析算法的时间复杂度、空间 复杂度等,并能够根据问题选择合适的算法进行解决; 【备考策略】1.需要理解推理与证明和算法初步的基本概念和基础知识,如基本概念的定义、性质、定理 等,以及算法的基本结构和步骤; 2.需要学习和掌握一些经典的推理和证明方法,如直接证明、间接证明、数学归纳法、反证 法等,以及常用的算法,如排序、查找等; 3..结合实际应用场景来学习和理解推理与证明和算法初步的知识,如利用算法解决实际问题、 利用逻辑推理解决争议等; 4.在解题时,需要注意细节和规范,如逻辑推理的严密性、算法实现的正确性等; 【命题预测】1.推理与证明:这部分的命题可能会涉及各种逻辑推理和证明方法,如归纳推理、类比推理、 反证法等。题目可能会给出一些条件,要求考生根据这些条件进行推理和证明。同时,考生 资料整理【淘宝店铺:向阳百分百】需要注意推理过程的严密性和正确性; 2.算法初步:这部分的命题可能会涉及各种算法,如排序、查找、动态规划等。题目可能会 要求考生根据问题选择合适的算法进行解决,并分析算法的时间复杂度和空间复杂度。此外, 还可能涉及到程序设计和代码实现等方面; 知识讲解 一、合情推理 (1)归纳推理 ①定义:由某类事物的部分对象具有某些特征,推出该类事物的全部对象都具有这些特征的推理,或者由 个别事实概括出一般结论的推理,称为归纳推理(简称归纳). ②特点:由部分到整体、由个别到一般的推理. (2)类比推理 ①定义:由两类对象具有某些类似特征和其中一类对象的某些已知特征,推出另一类对象也具有这些特征 的推理称为类比推理(简称类比). ②特点:由特殊到特殊的推理. (3)合情推理 归纳推理和类比推理都是根据已有的事实,经过观察、分析、比较、联想,再进行归纳、类比,然后提出 猜想的推理,我们把它们统称为合情推理. 二、演绎推理 (1)演绎推理 从一般性的原理出发,推出某个特殊情况下的结论,我们把这种推理称为演绎推理.简言之,演绎推理是 由一般到特殊的推理. 资料整理【淘宝店铺:向阳百分百】(2)“三段论”是演绎推理的一般模式,包括: ①大前提——已知的一般原理; ②小前提——所研究的特殊情况; ③结论——根据一般原理,对特殊情况做出的判断. 三、直接证明 (1)综合法 ①定义:一般地,利用已知条件和某些数学定义、公理、定理等,经过一系列的推理论证,最后推导出所 要证明的结论成立,这种证明方法叫做综合法. ②框图表示:―→―→―→…―→ (其中P表示已知条件、已有的定义、公理、定理等,Q表示所要证明的结论). ③思维过程:由因导果. (2)分析法 ①定义:一般地,从要证明的结论出发,逐步寻求使它成立的充分条件,直至最后,把要证明的结论归结 为判定一个明显成立的条件(已知条件、定理、定义、公理等)为止,这种证明方法叫做分析法. ②框图表示:―→―→―→…―→ (其中Q表示要证明的结论). ③思维过程:执果索因. 四、间接证明 反证法:一般地,假设原命题不成立(即在原命题的条件下,结论不成立),经过正确的推理,最后得出矛 盾,因此说明假设错误,从而证明原命题成立的证明方法. 数学归纳法 一般地,证明一个与正整数 有关的命题,可按下列步骤进行: (1)(归纳奠基)证明当 取第一个值 时命题成立; (2)(归纳递推)假设当 时命题成立,证明当 时命题也成立. 只要完成这两个步骤,就可以断定命题对从 开始的所有正整数 都成立. 五、算法 1.算法的概念 (1)古代定义:指的是用阿拉伯数字进行算术运算的过程。 (2)现代定义:算法通常是指按照一定规则解决某一类问题的明确和有限的步骤。 (3)应用:算法通常可以编成计算机程序,让计算机执行并解决问题。 2.算法的特征: ①指向性:能解决某一个或某一类问题; ②精确性:每一步操作的内容和顺序必须是明确的;算法的每一步都应当做到准确无误,从开始的“第一 步”直到“最后一步”之间做到环环相扣,分工明确.“前一步”是“后一步”的前提,“后一步”是“前 一步”的继续. ③有限性:必须在有限步内结束并返回一个结果;算法要有明确的开始和结束,当到达终止步骤时所要解 资料整理【淘宝店铺:向阳百分百】决的问题必须有明确的结果,也就是说必须在有限步内完成任务,不能无限制的持续进行. ④构造性:一个问题可以构造多个算法,算法有优劣之分。 3.算法的表示方法: (1) 用自然语言表示算法: 优点是使用日常用语, 通俗易懂;缺点是文字冗长, 容易出现歧义; (2) 用程序框图表示算法:用图框表示各种操作,优点是直观形象, 易于理解。 注:泛泛地谈算法是没有意义的,算法一定以问题为载体。 六、流程图 1. 流程图的概念: 流程图,是由一些图框和流程线组成的,其中图框表示各种操作的类型,图框中的文字和符合表示操作的 内容,流程线表示操作的先后次序。 2.流程图常用符号: 图形符号 名称 含义 开始/结束框 用于表示算法的开始与结束 输入/输出框 用于表示数据的输入或结果的输出 处理框 描述基本的操作功能,如“赋值”操作、数 学运算等 判断框 判断某一条件是否成立,成立时在出口处标 明“是”或“Y”;不成立时标明“否”或 “N” 流程线 表示流程的路径和方向 连接点 用于连接另一页或另一部分的框图 注释框 框中内容是对某部分流程图做的解释说明 3.画流程图的规则: (1)使用标准的框图的符号; (2)框图一般按从上到下、从左到右的方向画; (3)除判断框图外,大多数框图符号只有一个进入点和一个退出点。判断框是具有超过一个退出点的唯一符 号; (4)一种判断框是“是”与“不是”两分支的判断,而且有且仅有两个结果;另一种是多分支判断,有几种 不同的结果; (5)在图形符号内描述的语言要非常简练清楚。 4.算法的三种基本逻辑结构: (1)顺序结构:由若干个按从上到下的顺序依次进行的处理步骤(语句或框)组成。这是任何一个算法都 资料整理【淘宝店铺:向阳百分百】离不开的基本结构。 (2)条件结构:算法流程中通过对一些条件的判断,根据条件是否成立而取不同的分支流向的结构。它是 依据指定条件选择执行不同指令的控制结构。 (3)循环结构:根据指定条件,决定是否重复执行一条或多条指令的控制结构称为循环结构。 七、基本算法语句 程序设计语言由一些有特定含义的程序语句构成,与算法程序框图的三种基本结构相对应,任何程序设计 语言都包含输入输出语句 、赋值语句、条件语句和循环语句。以下均为BASIC语言。 1.输入语句 这个语句的一般格式是:INPUT “提示内容”;变量 其中,“提示内容”一般是提示用户输入什么样的信息。每次运行程序时,计算机每次都把新输入的值赋 给变量“x”,并按“x”新获得的值执行下面的语句。 INPUT语句不但可以给单个变量赋值,还可以给多个变量赋值,其格式为: INPUT “提示内容1,提示内容2,提示内容3,…”;变量1,变量2,变量3,… 注: ①“提示内容”与变量之间必须用分号“;”隔开。 ②各“提示内容”之间以及各变量之间必须用逗号“,”隔开,但最后的变量的后面不需要。 2.输出语句 它的一般格式是:PRINT “提示内容”;表达式 同输入语句一样,表达式前也可以有“提示内容”。 输出语句的用途: (1)输出常量,变量的值和系统信息; (2)输出数值计算的结果。 3.赋值语句 用来表明赋给某一个变量一个具体的确定值的语句。它的一般格式是:变量=表达式 赋值语句中的“=”叫做赋值号。 赋值语句的作用: 先计算出赋值号右边表达式的值,然后把这个值赋给赋值号左边的变量,使该变量的值等于表达式的值。 注: ①赋值号左边只能是变量名字,而不能是表达式。如:2=X是错误的。 ②赋值号左右不能对换。如“A=B”与“B=A”的含义运行结果是不同的。 ③不能利用赋值语句进行代数式的演算。(如化简、因式分解、解方程等)。 ④赋值号“=”与数学中的等号意义不同。 4.条件语句 算法中的条件结构是由条件语句来表达的,是处理条件分支逻辑结构的算法语句。 它的一般格式是:(IF-THEN-ELSE格式) IF 条件 THEN 语句1 ELSE 语句2 END IF 资料整理【淘宝店铺:向阳百分百】当计算机执行上述语句时,首先对IF后的条件进行判断,如果条件符合,就执行THEN后的语句1,否则 执行ELSE后的语句2。 在某些情况下,也可以只使用IF-THEN语句:(即IF-THEN格式) IF 条件 THEN 语句 END IF 计算机执行这种形式的条件语句时,也是首先对IF后的条件进行 判 断,如果条件符合,就执行THEN后的语句,如果条件不符合,则直接结束该条件语句,转而执行其他语 句。 注:条件语句的作用:在程序执行过程中,根据判断是否满足约定的条件而决定是否需要转换到何处去。 需要计算机按条件进行分析、比较、判断,并按判断后的不同情况进行不同的处理。 5.循环语句 算法中的循环结构是由循环语句来实现的。对应于程序框图中的两种循环结构,一般程序设计语言中也有 当型(WHILE型)和直到型(UNTIL型)两种语句结构,即WHILE语句和UNTIL语句。 (1)WHILE语句的一般格式是: WHILE 条件 循环体 WEND 其中循环体是由计算机反复执行的一组语句构成的。WHLIE后面的“条件”是用于控制计算机执行循环体 或跳出循环体的。当计算机遇到WHILE语句时,先判断条件的真假,如果条件符合,就执行WHILE与WEND 之间的循环体;然后再检查上述条件,如果条件仍符合,再次执行循环体,这个过程反复进行,直到某一 次条件不符合为止。这时,计算机将不执行循环体,直接跳到WEND语句后,接着执行WEND之后的语句。 因此,当型循环有时也称为“前测试型”循环。 (2)UNTIL语句的一般格式是: DO 循环体 LOOP UNTIL 条件 考点一、归纳推理 1.观察下列等式: ; 资料整理【淘宝店铺:向阳百分百】; ; ; …… 照此规律, ________. 【答案】 通过类比,可以发现,最前面的数字是 ,接下来是和项数有关的两项的乘积, 即 ,故答案为: . 2.观察下列不等式: , , ,…,可归纳的一个 不等式是 __________ ( 且 ). 【答案】 不等式右边是从 开始的逐渐增加1, 每个式子的左边的分母逐渐增加1,末项分母分别为 . 所以归纳的一个不等式是 故答案为: 资料整理【淘宝店铺:向阳百分百】1.设函数 ,观察 , , ,根据以上事实,由归纳推理可得第5个等式为______. 【答案】 由题意得: , . 故答案为: . 2.分形几何学是一门以不规则几何形态为研究对象的几何学,它的创立,为解决传统科学众多领域的难 题提供了全新的思路.如图是按照一定的分形规律生长成的一个树形图,则第13行中实心圆点的个数是 __________. 【答案】144 由题意及图形知,不妨构造数列 表示第 行实心圆点的个数的变换规律, 其中每一个实心圆点的下一行均分为一个实心圆点与一个空心圆点,每个空心圆点下一行均为实心圆点. 故从第三行开始,每行的实心圆点数均为前两行实心圆点数之和. 即 ,且 时, , 故第1行到第13行中实心圆点的个数分别为: 资料整理【淘宝店铺:向阳百分百】0,1,1,2,3,5,8,13,21,34,55,89,144. 考点 二 、类比推理 1.“已知关于 的不等式 的解集为 ,解关于 ”给有如下的一种解法: 解:由 的解集为 ,得 的解集为 即关于 的不等式 的解集为 类比上述解法:若关于 的解集为 ,则关于 的不等式 的解集为____________. 【答案】 根据题意:由关于 的解集为 得: 的解集为 , 即 的解集为 . 2.我国古代数学名著《九章算术》中割圆术有:“割之弥细,所失弥少,割之又割,以至于不可割,则 与圆周合体而无所失矣.”其体现的是一种无限与有限的转化过程,比如在 中“…”即代表 无限次重复,但原式却是个定值x,这可以通过方程 确定x=2,则 =________. 【答案】 令 ,即 , , 资料整理【淘宝店铺:向阳百分百】解得 , (舍),故 . 1.①用数学归纳法证明不等式 <n(n≥2,n∈N*)的过程中,由n=k到n=k+1,不 等式的左边增加了2k﹣1项. ②一段演绎推理的“三段论”是这样的:对于可导函数f(x),如果f′(x )=0,那x=x 为函数f(x)的极值 0 0 点因为f(x)=x3满足f′(0)=0,所以x=0是函数f(x)=x3的极值点此三段论的结论错误是因为大前提错误; ③在直角△ABC中,若∠C=90°,AC=b,BC=a,则△ABC外接圆半径为r= .运用此类比推理, 若一个三棱锥的三条侧棱两两垂直,且长度分别为a,b,c,则该三棱锥外接球的半径为R= . 以上三个命题不正确的是 . 【答案】①③. 解:对于①,当 时,不等式左边为1+ +…+ , 当 时,不等式左边为1+ +…+ +…+ , 可得增加了 项,故①错误; 对于②,如果 ,则 不一定函数 的极值点,若 在 处附近导数同号,就不 是极值点,故②正确; 对于③,可将三棱锥补为以互相垂直的三条侧棱为边的长方体,可得长方体的对角线为外接球的直径, 可得该三棱锥外接球的半径为R= ,故③错误. 2.在直角 中,若 , , ,则 外接圆半径为 .运用此 类比推理,若一个三棱锥的三条侧棱两两垂直,且长度分别为a,b,c,则该三棱锥外接球的半径为 ________. 资料整理【淘宝店铺:向阳百分百】【答案】 解:若三棱锥三条侧棱两两垂直,侧棱长分别为 , , ,可补成一个长方体,体对角线长为 , 体对角线就是外接球的直径, 棱锥的外接球半径 . 考点 三、演绎推理 1.设m为实数,利用三段论求证:方程 有两个相异实根. 【答案】 大前提:一元二次方程 中,若 ,则方程有两个相异实根, 小前提:方程 中, , 结论:所以方程 有两个相异实根. 2.已知“三段论”中的三段:① 可化为 ;② 是周期函数;③ 是周期函数.其中为小前提的是__________.(填写序号) 【答案】① 【解析】大前提② 是周期函数; 小前提① 可化为 ; 结论③ 是周期函数. 故答案是① 1.设有三个命题:“①0< <1.②函数f(x)= 是减函数.③当0<a<1时,函数 减 资料整理【淘宝店铺:向阳百分百】函数”.当它们构成三段论时,其“小前提”是________.(填序号) 【答案】①将以上命题写成三段论形式: 大前提:③当 时,函数 减函数”,小前提:①0< <1, 结论:②函数 是减函数. 故答案为:① 2.利用导数和三段论证明:函数 在 上是增函数.(必须用三段论,否则0分) 【答案】 如果函数 在其定义域上,有 ,那么函数 在其定义域上为增函数. 因为函数 在 上,有 , 当 时 , 所以函数 在 上是增函数. 考点 四、 综合法的应用 1.设 ,用综合法证明: . 【答案】证明见解析. 证明如下: 又 ,而 故 即 2.用综合法证明:如果 ,则 . 【答案】见证明 资料整理【淘宝店铺:向阳百分百】由题意,当 时,有 , 根据对数函数的单调性,可得 , ∴ ,∴ . 1.已知a、b、c>0,求证: . 【答案】证明见解析 证明:∵ , ∴ ,∴ , ∴ , ∴ . 同理, , ,当且仅当 等号成立 将三式相加得, . ∴ . ∴ . 2.已知 . (I)试猜想 与 的大小关系; (II)证明(I)中你的结论. 【答案】(1) ;(2)证明见解析. 【解析】(I)取 ,则 , ,则有 ; 再取 ,则 , ,则有 . 故猜想 . 资料整理【淘宝店铺:向阳百分百】(II)令 ,则 ,当 时, , 即函数 在 上单调递减, 又因为 ,所以 , 即 , 故 . 3.已知: ; ; . 通过观察上述三个等式的规律,写出能反映一般规律的等式,并证明你的结论. 【答案】 【解析】已知 ; ; . 发现三个角为公差是 的等差数列,形式为平方和等于定值 所以 证明: 等式左边可化为 资料整理【淘宝店铺:向阳百分百】原式得证 考点 五、分析法的应用 1.已知a>0,证明: - ≥a+ -2. 【答案】证明见解析. 证明:要证 - ≥a+ -2, 只需证 ≥ -(2- ). 因为a>0, , 所以 -(2- )>0, 所以只需证 ≥ , 即2(2- ≥8-4 , 只需证a+ ≥2. 因为a>0,a+ ≥2显然成立当a= =1时等号成立, 所以要证的不等式成立. 2.用分析法证明:若a,b,m都是正数,且 ,则 .完成下列证明过程. 因为 , ,所以要证原不等式成立,只需证明 ,即只需证明________. 因为 ,所以只需证明 ,由已知显然成立,所以原不等式成立. 【答案】 资料整理【淘宝店铺:向阳百分百】解:因为 , ,所以要证原不等式成立,只需证明 , 而 可化为 , 所以只需证明 即可. 1.若 , ,则 的大小关系________. 【答案】 . 【解析】 假设 ,因为要证 ,只需要证 , 只需要证 , 只需要证 , 只需要证 . 因为 成立,所以 . 2.要证明“ ”可选择的方法有以下几种,其中最合理的是__________.(填序号) ①反证法 ②分析法 ③综合法 【答案】② 要证“ ”, 只需证“ ”, 即证“ ”, 只需证“ ”, 即证“ ”,显然成立, 故分析法更合理, 故答案为:② 3.用综合法或分析法证明: (1) ; 资料整理【淘宝店铺:向阳百分百】(2)如果 , ,则 . 【答案】(1)证明见解析;(2)证明见解析. 证明:(1)要证 ,只要证 , 即 ,即证 ,这是显然成立的,所以,原不等式成立; (2)当 , 时,由基本不等式可得 ,所以, . 当且仅当 时,等号成立. 考点 六、反证法的应用 1.用反证法证明:在一个三角形中,至少有一个内角大于或等于 . 【答案】证明见解析 在 中,由内角和定理得 , 假设至少有一个内角大于或等于 不正确,则三个角都小于 ,即 , , , 则 ,这与三角形内角和定理相矛盾, 故假设不成立,所证结论正确. 2.已知 是有理数, 是无理数,求证: 是无理数. 【答案】证明过程见解析. 假设 是无理数不成立,即 是有理数, 因为 是有理数,所以 是互质的整数 , 因为 是有理数,所以 是互质的整数 , 因此 ,因为 是整数,显然 也是整数, 故 是有理数,这与已知 是无理数矛盾,故假设不成立,所以 是无理数. 资料整理【淘宝店铺:向阳百分百】1.(1)已知 , .求证: ; (2)在 中,内角 的对边分别为 .若 ,用反证法证明: . 【答案】(1)证明见解析;(2)证明见解析. (1)证明 , , , , 可得 , , 又因为 , 所以 . (2)假设 , 又因为 是三角形的内角,) 所以 , 因为 ,可得 ,则 , 所以 ,与 矛盾, 即假设不成立,因此 成立. 2.设x,y都是正数,且 ,证明: 和 中至少有一个成立. 【答案】证明见解析 证明: (反证法)假设结论不成立, 即有 且 ,由已知 , 所以有 且 , 故 , 与已知 矛盾,假设不成立, 资料整理【淘宝店铺:向阳百分百】所以有 与 中至少有一个小于3成立. 3.(1)已知 ,证明:若 ,则a,b,c中至少有一个小于 ; (2)已知 ,判断“ ”是“a,b,c中至少有一个小于 ”的什么条件?并说明理由. 【答案】(1)证明见解析;(2)充分非必要条件,证明见解析. (1)证明:假设 , , , 则 ,这与 矛盾, 所以 中至少有一个小于 . (2)由(1)可得 中至少有一个小于 , 反之不一定成立,例如: , , ,则 , 所以“ ”是“ 中至少有一个小于 ” 的充分非必要条件. 考点 七、 用数学归纳法证明等式 1.用数学归纳法证明: 【答案】证明见解析 证明:①当 时,左边 ,右边 ,左边 右边 ②假设 时等式成立, 即 那么当 时, 资料整理【淘宝店铺:向阳百分百】可得 , 即等式成立. 综合①②可得等式成立. 2.用数学归纳法证明: . 【答案】详见解析 证明(1)当 时,左边 ,右边 ,命题成立. (2)假设 时,命题成立,即 . 则当 时, . 所以当 时,命题成立. 综合(1)(2)可知,原命题成立. 3.用数学归纳法证明: . 【答案】答案见解析 证明:①当 时,左边 ,右边 ,左边 右边,不等式成立; ②假设当 时,不等式成立,即 , 则当 , 左边= =右边, 所以当 时不等式成立, 综上可得 资料整理【淘宝店铺:向阳百分百】1.是否存在常数 使得等式 对一切正整数 都成立?若存在,求出 值,并用数学归纳法证明你的结论;若不存在,请说明理由. 【答案】见解析 【解析】分别令 ,可得 ,解得 . 故猜想等式 对一切正整数 都成立. 下面用数学归纳法证明: ①当n=1时,由上面的探求可知等式成立. ②假设 时猜想成立, 即 . 当n=k+1时, . 所以当n=k+1时,等式也成立. 由①②知猜想成立,即存在 使命题成立. 2.观察下列等式: 按照以上式子规律: 资料整理【淘宝店铺:向阳百分百】(1)写出第5个等式,并猜想第 个等式;( ) (2)用数学归纳法证明上述所猜想的第 个等式成立.( ) 【答案】(1) , .(2)见解析. (1)第5个等式为 ; 第 个等式为 , . (2)①当 时,等式左边 ,等式右边 ,所以等式成立. ②假设 时,等式成立,即 ,( , ) 那么,当 时, . 即 时等式成立. 根据①和②,可知对任何 ,等式都成立. 考点 八、 归纳—猜想—证明 1.如图,曲线 与直线 相交于 ,作 交 轴于 ,作 交曲线 资料整理【淘宝店铺:向阳百分百】于 ,……,以此类推. (1)写出点 和 的坐标; (2)猜想 的坐标,并用数学归纳法加以证明. 【答案】(1) , , ; , , ;(2) ,证明见解析. (1)由 得: ,即 ; 直线 方程为: ,即 , 令 ,解得: , ; 直线 方程为: ,由 得: ,即 ; 直线 方程为: ,即 , 令 ,解得: , ; 直线 方程为: , 由 得: ,即 ; 直线 方程为 ,即 , 令 ,解得: , ; 资料整理【淘宝店铺:向阳百分百】(2)由(1)猜想 的坐标为 , 设 , ,则直线 的方程为: , 令 ,解得: , , 直线 的斜率为 ,即 ,即 , , 用数学归纳法证明 的坐标如下: ①当 时, 满足 ; ②假设当 时, 成立, 那么当 时,由 得: ,解得: , 即当 时, 成立; 综上所述: . 2.设 为正整数,如果表达式 同时满足下列性质,则称之为“交错和”.① , ;② ;③当 时, ( );④规定:当 时, 也是“交错和”. (1)请将7和10表示为“交错和”; (2)若正整数 可以表示为“交错和” ,求证: ; (3)对于任意正整数 ,判断 一共有几种“交错和”的表示方法,并证明你的结论. 【答案】(1) 或 ; 或 ;(2)证明见解析; (3)两种,证明见解析. (1) 或 , 或 (2)假设 , 当 时, ,这与“n是正整数”矛盾! 资料整理【淘宝店铺:向阳百分百】当 时,因为 , 所以 , 这与“n是正整数”矛盾! 故 . (3)①首先 使 ,若 必有 ,这是因为若 ,不论m为奇数或偶数,由正负交错, 矛盾, 所以 . ② 时, 仅有 或 两种交错和表示. (i)当n=1时,不难发现1=1, 均为交错和表示,且由①知 ,所以1仅 有1=1或 两种交错和表示. (i)假设 仅有 或 两种交错和表示,又因为 或 为 的两种交错和表示,假设 又不同于上述两种交错和的 新表示 ,因为 为偶数,所以 , 所以 为 的不同于 或 的交错和表示,与假设矛盾, 所以 或 为 的唯二交错和表示. ③ 时,n均只有两种交错和表示. (i) 当n=3时,3=-1+4或3=1- 2+4为3的两种交错和表示,又由①知 , 且 均不成立,所以3的交错和仅上述两种. (ii) 假设对于 ,n均只有两种交错和表示,对于 ,因为 ,其中 ,所以由归纳 假设及②知 仅两种交错和交错和表示,且 的交错和表示中相应的 (由①可得),所以此时 已有两种交错和表示,若l还 有其他不同的交错和表示,此表示对应 ,所以 也有第三种交错和表 资料整理【淘宝店铺:向阳百分百】示,与假设矛盾,所以 , l仅有两种交错和表示. 综上, 有两种交错和表示. 1.数列 满足 , , ,其中 为实数. (1)证明: 对任意 成立的充分必要条件是 ; (2)设 ,证明: ; (3)设 ,证明: . 【答案】(1)证明见解析;(2)证明见解析;(3)证明见解析. (1)必要性: , ,又因为 ,解得 ; 充分性:设 ,对任意的 ,利用数学归纳法证明 . 当 时, ; 假设当 时, , 那么当 时, , , 所以, . 由数学归纳法可知,对任意的 , ; (2)当 时,当 时, ,结论成立; 当 时, , , ,由(1)可知 ,则 , 所以, , 故 , 故 . 资料整理【淘宝店铺:向阳百分百】综上所述,若 ,对任意的 , ; (3)若 ,当 时, ,结论成立; 当 时,由(2)可知, , 则 , 所以, . 综上所述,若 ,对任意的 , . 2.已知函数 , (其中 ,且 ), (1)若 ,求实数k的值; (2)能否从(1)的结论中获得启示,猜想出一个一般性的结论并证明你的猜想. 【答案】(1) ;(2) ,证明见解析. (1) . 因为函数 与 具有相同的单调性,且都是单调函数, 是单调函数, . (2)由 ,猜想: . 证明: . 资料整理【淘宝店铺:向阳百分百】所以 . 3.已知数列 的前n项和为 ,其中 且 . (1)求 ; (2)猜想数列 的通项公式,并证明. 【答案】(1) , ,;(2)猜想 ,证明见解析. (1)由题意,数列 满足 ,且 , 可得 , 即 , 又由 ,可得 ,可得 . (2)由 , , , 猜想: , 证明:当 时,由(1)可知等式成立; 假设 时,猜想成立,即 , 当 时,由题设可得 , 所以 , ,又由 ,所以 , 所以 , 即当 时,命题也成立,综上可得,命题 对任意 都成立. 资料整理【淘宝店铺:向阳百分百】考点 九、程序框图 1.为计算 ,设计了下面的程序框图,则在空白框中应填入( ) A. B. C. D. 【答案】B 【解析】分析:根据程序框图可知先对奇数项累加,偶数项累加,最后再相减.因此累加量为隔项. 详解:由 得程序框图先对奇数项累加,偶数项累加,最后再相减.因此在 空白框中应填入 . 点睛:算法与流程图的考查,侧重于对流程图循环结构的考查.先明晰算法及流程图的相关概念,包括选择 结构、循环结构、伪代码,其次要重视循环起点条件、循环次数、循环终止条件,更要通过循环规律,明 确流程图研究的数学问题,是求和还是求项. 2.如图是为了求出满足 的最小偶数 ,那么在 和 两个空白框中,可以分别填入 ( ) 资料整理【淘宝店铺:向阳百分百】A. 和 B. 和 C. 和 D. 和 【答案】D 【解析】由题意,因为 ,且框图中在“否”时输出,所以判定框内不能输入 ,故 填 ,又要求 为偶数且初始值为0,所以矩形框内填 ,故选D. 点睛:解决此类问题的关键是读懂程序框图,明确顺序结构、条件结构、循环结构的真正含义.本题巧妙地 设置了两个空格需要填写,所以需要抓住循环的重点,偶数该如何增量,判断框内如何进行判断可以根据 选项排除. 3.执行如图所示的程序框图,如果输入的 ,则输出的 ( ) A.2 B.3 C.4 D.5 【答案】B 【详解】阅读流程图,初始化数值 . 资料整理【淘宝店铺:向阳百分百】循环结果执行如下: 第一次: ; 第二次: ; 第三次: ; 第四次: ; 第五次: ; 第六次: , 结束循环,输出 .故选B. 点睛:算法与流程图的考查,侧重于对流程图循环结构的考查.求解时,先明晰算法及流程图的相关概念, 包括选择结构、循环结构、伪代码,其次要重视循环起点条件、循环次数、循环终止条件,更要通过循环 规律,明确流程图研究的数学问题,如:是求和还是求项. 1.执行下面的程序框图,为使输出S的值小于91,则输入的正整数N的最小值为( ) A.5 B.4 C.3 D.2 【答案】D 【解析】若 ,第一次进入循环, 成立, , 成立,第二次进 入循环,此时 , 不成立,所以输出 成立,所以输入 的正整数 的最小值是2. 2.执行如图的程序框图,如果输入的 ,则输出 的值满足( ) 资料整理【淘宝店铺:向阳百分百】A. B. C. D. 【答案】C 【详解】当 时, ,不满足 ; ,不满足 ; ,满 足 ;输出 ,则输出的 的值满足 . 【点睛】程序框图基本是高考每年必考知识点,一般以客观题的形式出现,难度不大,求解此类问题只需按照 程序逐步列出运行结果. 3.中国古代有计算多项式值的秦九韶算法,右图是实现该算法的程序框图.执行该程序框图,若输入的 , ,依次输入的 为2,2,5,则输出的 ( ) A.7 B.12 C.17 D.34 【答案】C 资料整理【淘宝店铺:向阳百分百】【解析】第一次循环: ;第二次循环: ;第三次循环: ;结束循环,输出 . 点睛:算法与流程图的考查,侧重于对流程图循环结构的考查.先明晰算法及流程图的相关概念,包括选择 结构、循环结构、伪代码,其次要重视循环起点条件、循环次数、循环终止条件,更要通过循环规律,明 确流程图研究的数学问题,是求和还是求项. 4.用数学归纳法证明:对于任意大于1的正整数n,不等式 都成立. 【答案】证明见解析 证明:(1)当n=2时,左边= ,右边 ,左边<右边,成立; (2)假设当n=k(k∈N*,k≥2)时,不等式 都成立. 则当n=k+1时,左边= , =右边. ∴当n=k+1时,不等式成立. 综上可得:对于任意大于1的正整数n,不等式 都成立. 5.证明不等式1+ + +…+ <2 (n∈N*). 【答案】证明见解析 当n=1时,左边=1,右边=2,左边<右边,不等式成立. 假设当n=k(k∈N*)时,不等式成立,即 , 当n=k+1时, , 资料整理【淘宝店铺:向阳百分百】所以当n=k+1时,不等式成立. 综上,原不等式对任意n∈N*都成立. 6.试比较 与 的大小关系,并用数学归纳法证明. 【答案】答案见解析 证明:当 时, ,即 当 时, ,即 当 时, ,即 当 时, ,即 当 时, ,即 当 时, ,即 猜测:当 时, , 下面用数学归纳法证明猜测成立. ①当 时,由上可知猜测成立. ②假设 时,命题成立,即 , 当 时,可得 , 即 时命题也成立,由①②可得,当 时, . 资料整理【淘宝店铺:向阳百分百】【基础过关】 1.执行如图所示的程序框图,则输出的 ___________. 【答案】 【分析】由框图可知,此程序是计算1到19这19个自然数的和 【详解】解:由题意可得 . 2.执行右图程序框图,如果输入的x,t均为2,则输出的S=( ) 资料整理【淘宝店铺:向阳百分百】A.4 B.5 C.6 D.7 【答案】D 【解析】试题分析:根据程序框图,第一次循环时, , , ,符合 判断条件,继续执行循环, , , ,不符合判断条件,退出循环, 输出 . 考点:程序框图. 3.已知 分子是一种由60个碳原子构成的分子,它形似足球,因此又名足球烯, 是单纯由碳原 子结合形成的稳定分子,它具有60个顶点和若干个面,.各个面的形状为正五边形或正六边形,结构如图. 已知其中正六边形的面为20个,则正五边形的面为__________个. 【答案】12 设 中的正五边形的面有 个,根据每个顶点由三个面共用可得 ,解得: . 4.如图是求 的程序框图,图中空白框中应填入( ) 资料整理【淘宝店铺:向阳百分百】A.A= B.A= C.A= D.A= 【答案】A 【分析】本题主要考查算法中的程序框图,渗透阅读、分析与解决问题等素养,认真分析式子结构特征与 程序框图结构,即可找出作出选择. 【详解】执行第1次, 是,因为第一次应该计算 = , =2,循环,执 行第2次, ,是,因为第二次应该计算 = , =3, ,否,输出, 故循环体为 . 【点睛】秒杀速解 认真观察计算式子的结构特点,可知循环体为 . 5.如图所示,椭圆中心在坐标原点,F为左焦点,当FB⊥AB时,其离心率为 ,此类椭圆被称为 “黄金椭圆”.类比“黄金椭圆”可推出“黄金双曲线”的离心率e等于________. 【答案】 资料整理【淘宝店铺:向阳百分百】类比“黄金椭圆”,设双曲线方程为 (a>0,b>0), 则F(-c,0),B(0,b),A(a,0),所以 =(c,b), =(-a,b). 易知 ⊥ ,所以 · =b2-ac=0, 所以c2-a2-ac=0,即e2-e-1=0,又e>1,所以e= . 6.运行如图所示的程序框图,若输入的 , 的值分别为2,3,输出的 的值为111,则判断框中可以填 ( ) A. B. C. D. 【答案】C 【分析】模拟程序的运行,当 时,确定n的值,即可得出答案. 【详解】运行该程序,第一次, , , , ;第二次, , , , ; 第三次, , , , ;第四次, , , , ,此时输出 资料整理【淘宝店铺:向阳百分百】,故判断框中可以填 . 7.执行下边的程序框图,则输出的 ( ) A.87 B.89 C.91 D.93 【答案】B 【分析】根据给定的程序框图,可得该程序框图的计算功能,结合等差数列的求和公式,即可求解. 【详解】由题意,根据给定的程序框图,可得该程序框图的计算功能是 的求和,根 据等差数列的求和公式,可得 , 要使得 且 ,可得 ,当 时,此时 ,所以输出 的结果为 . 8.执行如图所示的程序框图,则输出 的值为( ) A. B. C. D. 【答案】C 【分析】按照循环结构,依次计算即可. 资料整理【淘宝店铺:向阳百分百】【详解】 时, ; 时, ; 时, ; 时. 此时退出循环,输出的 . 9.执行如图所示的程序框图,则输出的 ( ) A.171 B.190 C.210 D.231 【答案】B 【分析】根据所给数值,判断是否满足判断框中的条件,不满足继续循环,满足条件退出循环,得出结果. 【详解】由题意可得. ; ; ; ; ; , 则输出 . 10.甲、乙、丙、丁四位同学一起去向老师询问成语竞赛的成绩,老师说,你们四人中有2位优秀,2位 良好,我现在给甲看乙、丙的成绩,给乙看丙的成绩,给丁看甲的成绩,看后甲对大家说:我还是不知道 我的成绩,根据以上信息,则( ) A.乙可以知道甲、丁两人的成绩 B.乙、丁可以知道自己的成绩 C.乙、丁可以知道对方的成绩 D.丁可以知道乙、丙两人的成绩 【答案】B 【分析】根据所给信息进行分析推理,即可判断选项. 资料整理【淘宝店铺:向阳百分百】【详解】甲、乙、丙、丁四位同学中有2位优秀,2位良好, 因为甲看乙、丙的成绩后仍不知道自己的成绩,可知乙、丙一人优秀一人良好, 则甲、丁一人优秀一人良好,乙看到丙的结果则知道自己的结果,丁看到甲的结果则知道自己的结果. 11.(2014年全国普通高等学校招生统一考试理科数学(北京卷))学生的语文、数学成绩均被评定为三 个等级,依次为“优秀”“合格”“不合格”.若学生甲的语文、数学成绩都不低于学生乙,且其中至少 有一门成绩高于乙,则称“学生甲比学生乙成绩好”.如果一组学生中没有哪位学生比另一位学生成绩好, 并且不存在语文成绩相同、数学成绩也相同的两位学生,那么这组学生最多有( ) A.2人 B.3人 C.4人 D.5人 【答案】B 【详解】试题分析:用 分别表示优秀、及格和不及格,显然语文成绩得 的学生最多只有 个,语 文成绩得 也最多只有 个,得 的最多只有 个,因此人数最多只有 人,显然 满足条件, 故选B. 考点:合情推理的应用. 12.(2019年全国统一高考数学试卷(文科)(新课标Ⅱ))在“一带一路”知识测验后,甲、乙、丙三 人对成绩进行预测. 甲:我的成绩比乙高. 乙:丙的成绩比我和甲的都高. 丙:我的成绩比乙高. 成绩公布后,三人成绩互不相同且只有一个人预测正确,那么三人按成绩由高到低的次序为 ( ) A.甲、乙、丙 B.乙、甲、丙 C.丙、乙、甲 D.甲、丙、乙 【答案】A 【分析】利用逐一验证的方法进行求解. 【详解】若甲预测正确,则乙、丙预测错误,则甲比乙成绩高,丙比乙成绩低,故3人成绩由高到低依次 为甲,乙,丙;若乙预测正确,则丙预测也正确,不符合题意;若丙预测正确,则甲必预测错误,丙比乙 的成绩高,乙比甲成绩高,即丙比甲,乙成绩都高,即乙预测正确,不符合题意,故选A. 【点睛】本题将数学知识与时政结合,主要考查推理判断能力.题目有一定难度,注重了基础知识、逻辑 推理能力的考查. 13.(2019年全国统一高考数学试卷(文科)(新课标Ⅰ))古希腊时期,人们认为最美人体的头顶至肚 脐的长度与肚脐至足底的长度之比是 ( ≈0.618,称为黄金分割比例),著名的“断臂维纳斯” 便是如此.此外,最美人体的头顶至咽喉的长度与咽喉至肚脐的长度之比也是 .若某人满足上述两 个黄金分割比例,且腿长为105cm,头顶至脖子下端的长度为26 cm,则其身高可能是 资料整理【淘宝店铺:向阳百分百】A.165 cm B.175 cm C.185 cm D.190cm 【答案】B 【分析】理解黄金分割比例的含义,应用比例式列方程求解,计算可估计身高. 【详解】头顶至脖子下端的长度为26cm, 说明头顶到咽喉的长度小于26cm, 由头顶至咽喉的长度与咽喉至肚脐的长度之比是 ≈0.618, 可得咽喉至肚脐的长度小于 ≈42cm, 由头顶至肚脐的长度与肚脐至足底的长度之比是 , 可得肚脐至足底的长度小于 =110,即有该人的身高小于110+68=178cm, 又肚脐至足底的长度大于105cm,可得头顶至肚脐的长度大于105×0.618≈65cm, 即该人的身高大于65+105=170cm,即人的身高大于170 小于178 , 14.(2012年全国普通高等学校招生统一考试理科数学(湖北卷))我国古代数学名著《九章算术》中 “开立圆术”曰:置积尺数,以十六乘之,九而一,所得开立方除之,即立圆径. “开立圆术”相当于给出 了已知球的体积 ,求其直径 的一个近似公式 . 人们还用过一些类似的近似公式. 根据 判断,下列近似公式中最精确的一个是( ) A. B. C. D. 【答案】D 【详解】由 ,得 ,设选项中常数为 ,则 ; 中代入得 , 中代入得 , 中代入得 , 中代入得 ,由于 资料整理【淘宝店铺:向阳百分百】中值最接近 的真实值,故选择 . 15.(2011年江西省普通高中招生考试文科数学).观察下列各式:则 ,…,则 的末两位数字为( ) A.01 B.43 C.07 D.49 【答案】B 【分析】依次计算 ,观察其后两位数,得出周期性后可得结论. 【详解】根据题意, , , ,则 的末两位数字为07, 进而可得 的末两位数字为49, 的末两位数字为43, 的末两位数字为01, 的末两位数字为07, … 分析可得规律: 从2开始,4个一组,成周期性变化,即 的末两位数字依次为49、43、01、07, 则 72011的与 对应,其末两位数字43; 【能力提升】 1.执行如图所示的程序框图,若输出的结果 ,则 的取值范围是______. 【答案】 (或写成 ) 【分析】根据流程图依次计算,再根据输出的结果 可得 的取值范围. 【详解】由 , ; , ; 资料整理【淘宝店铺:向阳百分百】, ; , ; , 退出结束, 则 . 故答案为: . 2.执行下面的程序框图,如果输入的 ,则输出的 ( ) A. B. C. D. 【答案】C 【详解】执行第1次, , , ,是,循环, 执行第2次, ,是,循环, 执行第3次, ,是,循环, 执行第4次, ,是,循环, 执行第5次, ,是,循环, 资料整理【淘宝店铺:向阳百分百】执行第6次, ,是,循环, 执行第7次, ,否,输出 . 考点:程序框图 3.如图是计算 的值的一个程序框图,其中判断框内应填的是( ) A. B. C. D. 【答案】C 【分析】分析式子 的特征,可以得到程序框图的功能是求 的值, 观察循环量 的特征,得到结果. 【详解】由于程序框图的功能是求 的值, 分母 的初值为1,终值为19,步长为2,故程序共执行10次, 故循环变量 的值不大于10时,应不满足条件,继续执行循环, 大于10时,应满足条件,退出循环,故判断框内应填的是 . 【点睛】思路点睛:该题考查的是有关程序框图的问题,解题思路如下: (1)观察式子的特征,得到程序框图的功能; (2)由式子的项数,得到循环量 的特征,得到结果. 4.执行如图所示的程序框图,结果是( ) 资料整理【淘宝店铺:向阳百分百】A.11 B.12 C.13 D.14 【答案】B 【分析】根据已知的程序语句可得,该程序的功能是利用循环结构计算并输出 的值,模拟程序的运行过 程,可得答案. 【详解】根据题意,模拟程序框图的运行过程,如下: 17不是偶数, , , ; 52是偶数, , , ; 26是偶数, , , ; 13不是偶数, , , ; 40是偶数, , , ; 20是偶数, , , ; 10是偶数, , , ; 5不是偶数, , , ; 16是偶数, , , ; 8是偶数, , , ; 资料整理【淘宝店铺:向阳百分百】4是偶数, , , ; 2是偶数, , , ; 【点睛】关键点睛:解题的关键是要读懂程序框图,模拟程序框图的运行过程,即突破难点. 5.设 , (其中 ,且 ) (1)请将 用 , 来表示; (2)如果(1)中获得了一个结论,请你推测能否将其推广 【答案】(1) ;(2)结论为: , 可以推广 (1)由题意得: 又 (2)由 ,即 推测: 证明:因为 , 所以 , , 所以 可知 可以推广 6.已知 满足 , . (1)求 ,并猜想 的表达式; (2)用数学归纳法证明对 的猜想. 资料整理【淘宝店铺:向阳百分百】【答案】(1) ( ) (2)见解析 【解析】(1) 猜想: ( ) (2)下面用数学归纳法证明 ( ) ①当 时, ,显然成立; ②假设当 )时,猜想成立,即 , 则当 时, 即对 时,猜想也成立; 结合①②可知,猜想 对一切 都成立. 7.(2006年普通高等学校招生考试数学(理)试题(辽宁卷))已知 , ,其中 ,设 , . (1)写出 ; (2)证明:对任意的 ,恒有 . 【答案】(1) (2)证明见解析 【分析】(1)依题意求出 、 、 ,即可猜想 ,再由数形归纳法证明, 资料整理【淘宝店铺:向阳百分百】最后将 代入计算可得; (2)首先得到 的解析式,根据函数的奇偶性与单调性,求出 得到结论即可; 【详解】(1)解:因为 , , 则 , , , , 即可猜想 , 显然当 时上式成立, 假设 时成立,即 , 所以 也成立, 所以 ,所以 . (2)证明:当 时, , 则 ,即函数 为偶函数, 又 ,且 ,所以当 时, , 所以 在 上为增函数,所以 在 上为减函数, 所以对任意的 , , , 又 ,2,3, , 所以 , 所以 . 【点睛】思路点睛:本题解答的关键是理解题意,利用不完全归纳法得到 的解析式,再利用数学归 纳法证明,对于第二问主要是结合函数的奇偶性与单调性,转化为计算 ,再结合组合数公式及 性质计算. 资料整理【淘宝店铺:向阳百分百】8.(2006年普通高等学校春季招生考试数学试题(上海卷))已知数列 、 、 、 ,其中 、 、 、 是首项为 ,公差为 的等差数列; 、 、 、 是公差为 的等差数列; 、 、 、 是公差为 的等差数列 . (1)若 ,求 ; (2)试写出 关于 的关系式,并求 的取值范围; (3)续写已知数列,使得 、 、 、 是公差为 的等差数列, ,依次类推,把已知数列推广为无 穷数列.提出同(2)类似的问题(2)应当作为特例),并进行研究,你能得到什么样的结论? 【答案】(1) (2) ,且 的取值范围是 (3)答案见解析 【分析】(1)求出 的值,再由 可求得 的值; (2)根据等差数列的定义可得出 关于 的表达式,利用二次函数的基本性质可求得 的取值范围; (3)根据题意归纳出:当 时,数列 、 、 、 是公差为 的等差数列,可以续写出已 知数列,并利用类似(2)中的方法归纳出 的取值范围. 【详解】(1)解:由已知可得 , . (2)解: , , 因为 , . (3)解:所给数列可推广为无穷数列 ,其中 、 、 、 是首项为 ,公差为 的等差数列, 当 时,数列 、 、 、 是公差为 的等差数列, 研究的问题是:试写出 关于 关系式,并求 的取值范围. 研究的结论可以是:由 , 依次类推可得 , 当 时, 的取值范围为 资料整理【淘宝店铺:向阳百分百】9.(2006年普通高等学校招生考试数学(理)试题(北京卷))在数列 中,若 是正整数,且 ,则称 为“绝对差数列”. (1)举出一个前五项不为零的“绝对差数列”(只要求写出前十项): (2)若“绝对差数列” 中, ,数列 满足 ,分别判断当 时, 与 的极限是否存在,如果存在,求出其极限值; (3)证明:任何“绝对差数列”中总含有无穷多个为零的项. 【答案】(1) (答案不唯一); (2) 的极限不存在, ; (3)证明见解析. 【分析】(1)根据“绝对差数列”的定义,列举一个符合题意的即可;(2)由绝对差数列题意可求得该数 列自第20项开始.每三个相邻的项周期地取值3,0,3.即可求极限;(3)根据定义,数列{an}必在有限项后出 现零项.再由反证法进行证明 必有零项.皮带秤第一次出现的零项为第n项,记 ,则自第n项 开始,每三个相邻的项周期地取值 .即可证明. 【详解】(1)由“绝对差数列”的定义,不妨取: (答案不唯一) (2)因为“绝对差数列” 中, , 所以从第20项起, , . 即自第20项开始每三个相邻的项周期地取值3,0,3. 所以当 时, 的极限不存在. 当 时, ,所以 . (3)根据定义,数列 必在有限项后出现零项. 证明如下:假设 中没有零项,因为 所以对于任意的n,都有 ,从而当 时, 当 时, 即 的值要么比 至少小1,要么比 至少小1. 令 则 . 由于 是确定的正整数,这样减少下去,必然存在某项 ,这与 ,矛盾. 资料整理【淘宝店铺:向阳百分百】从而 必有零项. 若第一次出现的零项为第n项,记 ,则自第n项开始,每三个相邻的项周期地取值 . 即 (其中 ), 所以“绝对差数列” 中有无穷多个为零的项. 【点睛】(1)“新定义”主要是指即时定义新概念、新公式、新定理、新法则、新运算五种,然后根据 此新定义去解决问题,有时还需要用类比的方法去理解新的定义,这样有助于对新定义的透彻理解.但是, 透过现象看本质,它们考查的还是基础数学知识; (2)一些问题正面思考比较困难时,可以“正难则反”,利用反证法突破. 10.(2003年普通高等学校招生考试数学(理)试题(北京卷))设 是定义在区间 上的函 数,且满足条件: ① ; ②对任意的 ,都有 . (1)证明:对任意的 ; (2)证明:对任意的 ; (3)在区间 上是否存在满足题设条件的奇函数 ;且使得 ,若 存在,请举一例;若不存在,请说明理由. 【答案】(1)答案见详解 (2)答案见详解 (3)答案见详解 【分析】(1)根据条件可得 ,进而即得; (2)分类讨论,验证满足条件即得; (3)利用反证法,结合条件得出矛盾即得. 【详解】(1)由题可知对任意的 ,有 , 所以 ; (2)对任意的 ,当 时,有 , 当 时,有 ,设 ,则 , 所以 资料整理【淘宝店铺:向阳百分百】综上可得,对任意的 . (3)不存在,理由如下:由 得, , 又 所以, . 又 为奇函数,所以有 , 由 得, , 则 与前面结论矛盾, 所以假设不成立,这样的函数不存在. 【点睛】数学证明题有时候正面证明非常复杂,而且难度较大,这时候常用反证法.应用反证法时必须先否 定结论,把结论的反面作为条件,且必须根据这一条件进行推理,否则,仅否定结论,不从结论的反面出 发进行推理,就不是反证法. 11.(2003年普通高等学校招生考试数学(文)试题(北京卷))设 是定义在区间 上的函 数,且满足条件: ① ; ②对任意的 ,都有 . (1)证明:对任意的 ; (2)判断函数 是否满足题设条件; (3)在区间 上是否存在满足题设条件的函数 ,且使得对任意的 ,都有 ,若存在,请举一例:若不存在,请说明理由. 【答案】(1)详见解析; (2) 满足题设条件,详见解析; (3)这样的函数不存在,详见解析. 【分析】(1)根据条件可得 ,进而即得; (2)分类讨论,验证满足条件即得; (3)利用反证法,结合条件得出矛盾即得. 【详解】(1)由题可知对任意的 ,有 , 所以 ; 资料整理【淘宝店铺:向阳百分百】(2) 满足题设条件, 因为 , 对于任意的 , 当 时, , 当 时, , 当 时,不妨设 ,则 ; 所以 满足题设条件; (3)这样的函数不存在, 假设存在函数 满足条件,则由 , 可得 , 又对任意的 ,都有 , 所以 ,这与 矛盾, 所以假设不成立,即这样的函数不存在. 12.(2007年普通高等学校招生全国统一考试理科数学卷(福建))等差数列 的前 项和为 . (Ⅰ)求数列 的通项 与前 项和 ; (Ⅱ)设 ,求证:数列 中任意不同的三项都不可能成为等比数列. 【答案】(Ⅰ) ;(Ⅱ)见解析. 【详解】(Ⅰ)由已知得 , , 故 . (Ⅱ)由(Ⅰ)得 . 假设数列 中存在三项 ( 互不相等)成等比数列,则 . 即 . , 资料整理【淘宝店铺:向阳百分百】. 与 矛盾. 所以数列 中任意不同的三项都不可能成等比数列. 13.(2017年全国普通高等学校招生统一考试理科数学(北京卷))设 和 是两个等差数列,记 , 其中 表示 这 个数中最大的数. (Ⅰ)若 , ,求 的值,并证明 是等差数列; (Ⅱ)证明:或者对任意正数 ,存在正整数 ,当 时, ;或者存在正整数 ,使得 是等差数列. 【答案】(1)见解析(2)见解析 【详解】试题分析:(Ⅰ)分别代入求 ,观察规律,再证明当 时, ,所以 关于 单调递减. 所以 ,从而得证;(Ⅱ)首先求 的通项公式,分 三种情况讨论证明. 试题解析:(Ⅰ) , . 当 时, , 所以 关于 单调递减. 所以 . 所以对任意 ,于是 , 所以 是等差数列. (Ⅱ)设数列 和 的公差分别为 ,则 . 所以 资料整理【淘宝店铺:向阳百分百】①当 时,取正整数 ,则当 时, ,因此 . 此时, 是等差数列. ②当 时,对任意 , 此时, 是等差数列. ③当 时, 当 时,有 . 所以 对任意正数 ,取正整数 , 故当 时, . 【名师点睛】近几年北京卷理科压轴题一直为新信息题,本题考查学生对新定义的理解能力和使用能力, 本题属于偏难问题,反映出学生对新的信息的理解和接受能力,本题考查数列的有关知识及归纳法证明, 即考查了数列(分段形函数)求值,又考查了归纳法证明和对数据的分析研究,考查了学生的分析问题能 力和逻辑推理能力,本题属于拔高难题,特别是第二问难度较大,适合选拔优秀学生. 14.若无穷数列 满足:只要 ,必有 ,则称 具有性质 . (1)若 具有性质 ,且 , ,求 ; (2)若无穷数列 是等差数列,无穷数列 是公比为正数的等比数列, , , 判断 是否具有性质 ,并说明理由; (3)设 是无穷数列,已知 .求证:“对任意 都具有性质 ”的充要条件 为“ 是常数列”. 【答案】(1) .(2) 不具有性质 .(3)见解析. 【详解】试题分析:(1)根据已知条件,得到 ,结合 求解即可. (2)根据 的公差为 , 的公比为 ,写出通项公式,从而可得 . 通过计算 , , , ,即知 不具有性质 . 资料整理【淘宝店铺:向阳百分百】(3)从充分性、必要性两方面加以证明,其中必要性用反证法证明. 试题解析:(1)因为 ,所以 , , . 于是 ,又因为 ,解得 . (2) 的公差为 , 的公比为 , 所以 , . . ,但 , , , 所以 不具有性质 . [证](3)充分性: 当 为常数列时, . 对任意给定的 ,只要 ,则由 ,必有 . 充分性得证. 必要性: 用反证法证明.假设 不是常数列,则存在 , 使得 ,而 . 下面证明存在满足 的 ,使得 ,但 . 设 ,取 ,使得 ,则 , ,故存在 使得 . 取 ,因为 ( ),所以 , 依此类推,得 . 但 ,即 . 所以 不具有性质 ,矛盾. 必要性得证. 综上,“对任意 , 都具有性质 ”的充要条件为“ 是常数列”. 【考点】等差数列、等比数列、充要条件的证明、反证法 【名师点睛】本题对考生的逻辑推理能力要求较高,是一道难题.解答此类题目时,熟练掌握等差数列、等 比数列的相关知识及反证法是基础,灵活应用已知条件进行推理是关键.本题易错主要有两个原因,一是不 得法,二是对复杂式子的变形能力不足,导致错漏百出.本题能较好地考查考生的逻辑思维及推理能力、运 算求解能力、分析问题解决问题的能力等. 资料整理【淘宝店铺:向阳百分百】【真题感知】 1.(2023年全国高考甲卷数学(理)试题)执行下面的程序框图,输出的 ( ) A.21 B.34 C.55 D.89 【答案】B 【分析】根据程序框图模拟运行,即可解出. 【详解】当 时,判断框条件满足,第一次执行循环体, , , ; 当 时,判断框条件满足,第二次执行循环体, , , ; 当 时,判断框条件满足,第三次执行循环体, , , ; 当 时,判断框条件不满足,跳出循环体,输出 . 2.(2022年全国高考乙卷数学(理)试题)执行下边的程序框图,输出的 ( ) 资料整理【淘宝店铺:向阳百分百】A.3 B.4 C.5 D.6 【答案】B 【分析】根据框图循环计算即可. 【详解】执行第一次循环, , , ; 执行第二次循环, , , ; 执行第三次循环, , , ,此时输出 . 3.(2020年全国统一高考数学试卷(文科)(新课标Ⅰ))执行下面的程序框图,则输出的n=( ) 资料整理【淘宝店铺:向阳百分百】A.17 B.19 C.21 D.23 【答案】C 【分析】根据程序框图的算法功能可知,要计算满足 的最小正奇数 ,根据等差数列 求和公式即可求出. 【详解】依据程序框图的算法功能可知,输出的 是满足 的最小正奇数, 因为 ,解得 ,所以输出的 . 【点睛】本题主要考查程序框图的算法功能的理解,以及等差数列前 项和公式的应用,属于基础题. 4.(2020年全国统一高考数学试卷(文科)(新课标Ⅱ))执行右面的程序框图,若输入的k=0,a=0, 则输出的k为( ) A.2 B.3 C.4 D.5 【答案】C 资料整理【淘宝店铺:向阳百分百】【分析】由已知中的程序框图可知:该程序的功能是利用循环结构计算并输出的 值,模拟程序的运行过 程,分析循环中各变量值的变化情况,即可求得答案. 【详解】由已知中的程序框图可知:该程序的功能是利用循环结构计算并输出的 值 模拟程序的运行过程 第1次循环, , 为否 第2次循环, , 为否 第3次循环, , 为否 第4次循环, , 为是 退出循环 输出 . 【点睛】本题考查求循环框图的输出值,解题关键是掌握模拟循环语句运行的计算方法,考查了分析能力 和计算能力,属于基础题. 5.(2023年北京高考数学真题)已知数列 满足 ,则( ) A.当 时, 为递减数列,且存在常数 ,使得 恒成立 B.当 时, 为递增数列,且存在常数 ,使得 恒成立 C.当 时, 为递减数列,且存在常数 ,使得 恒成立 D.当 时, 为递增数列,且存在常数 ,使得 恒成立 【答案】B 【分析】法1:利用数列归纳法可判断ACD正误,利用递推可判断数列的性质,故可判断B的正误. 法2:构造 ,利用导数求得 的正负情况,再利用数学归纳法判断得各选项 所 在区间,从而判断 的单调性;对于A,构造 ,判断得 , 进而取 推得 不恒成立;对于B,证明 所在区间同时证得后续结论;对于C,记 ,取 推得 不恒成立;对于D,构造 资料整理【淘宝店铺:向阳百分百】,判断得 ,进而取 推得 不恒成立. 【详解】法1:因为 ,故 , 对于A ,若 ,可用数学归纳法证明: 即 , 证明:当 时, ,此时不等关系 成立; 设当 时, 成立, 则 ,故 成立, 由数学归纳法可得 成立. 而 , , ,故 ,故 , 故 为减数列,注意 故 ,结合 , 所以 ,故 ,故 , 若存在常数 ,使得 恒成立,则 , 故 ,故 ,故 恒成立仅对部分 成立, 故A不成立. 对于B,若 可用数学归纳法证明: 即 , 证明:当 时, ,此时不等关系 成立; 设当 时, 成立, 则 ,故 成立即 由数学归纳法可得 成立. 而 , , ,故 ,故 ,故 为增数列, 若 ,则 恒成立,故B正确. 资料整理【淘宝店铺:向阳百分百】对于C,当 时, 可用数学归纳法证明: 即 , 证明:当 时, ,此时不等关系成立; 设当 时, 成立, 则 ,故 成立即 由数学归纳法可得 成立. 而 ,故 ,故 为减数列, 又 ,结合 可得: ,所以 , 若 ,若存在常数 ,使得 恒成立, 则 恒成立,故 , 的个数有限,矛盾,故C错误. 对于D,当 时, 可用数学归纳法证明: 即 , 证明:当 时, ,此时不等关系成立; 设当 时, 成立, 则 ,故 成立 由数学归纳法可得 成立. 而 ,故 ,故 为增数列, 又 ,结合 可得: ,所以 , 若存在常数 ,使得 恒成立,则 , 故 ,故 ,这与n的个数有限矛盾,故D错误. 故选:B. 资料整理【淘宝店铺:向阳百分百】法2:因为 , 令 ,则 , 令 ,得 或 ; 令 ,得 ; 所以 在 和 上单调递增,在 上单调递减, 令 ,则 ,即 ,解得 或 或 , 注意到 , , 所以结合 的单调性可知在 和 上 ,在 和 上 , 对于A,因为 ,则 , 当 时, , ,则 , 假设当 时, , 当 时, ,则 , 综上: ,即 , 因为在 上 ,所以 ,则 为递减数列, 因为 , 令 ,则 , 因为 开口向上,对称轴为 , 所以 在 上单调递减,故 , 所以 在 上单调递增,故 , 故 ,即 , 假设存在常数 ,使得 恒成立, 资料整理【淘宝店铺:向阳百分百】取 ,其中 ,且 , 因为 ,所以 , 上式相加得, , 则 ,与 恒成立矛盾,故A错误; 对于B,因为 , 当 时, , , 假设当 时, , 当 时,因为 ,所以 ,则 , 所以 , 又当 时, ,即 , 假设当 时, , 当 时,因为 ,所以 ,则 , 所以 , 综上: , 因为在 上 ,所以 ,所以 为递增数列, 此时,取 ,满足题意,故B正确; 对于C,因为 ,则 , 注意到当 时, , , 猜想当 时, , 当 与 时, 与 满足 , 假设当 时, , 资料整理【淘宝店铺:向阳百分百】当 时,所以 , 综上: , 易知 ,则 ,故 , 所以 , 因为在 上 ,所以 ,则 为递减数列, 假设存在常数 ,使得 恒成立, 记 ,取 ,其中 , 则 , 故 ,所以 ,即 , 所以 ,故 不恒成立,故C错误; 对于D,因为 , 当 时, ,则 , 假设当 时, , 当 时, ,则 , 综上: , 因为在 上 ,所以 ,所以 为递增数列, 因为 , 令 ,则 , 因为 开口向上,对称轴为 , 所以 在 上单调递增,故 , 所以 , 资料整理【淘宝店铺:向阳百分百】故 ,即 , 假设存在常数 ,使得 恒成立, 取 ,其中 ,且 , 因为 ,所以 , 上式相加得, , 则 ,与 恒成立矛盾,故D错误. 【点睛】关键点睛:本题解决的关键是根据首项给出与通项性质相关的相应的命题,再根据所得命题结合 放缩法得到通项所满足的不等式关系,从而可判断数列的上界或下界是否成立. 资料整理【淘宝店铺:向阳百分百】