当前位置:首页>文档>专题45坐标系与参数方程(教师版)_02高考数学_通用版(老高考)复习资料_2024年复习资料_完备战2024年高考数学一轮复习考点帮(全国通用)_核心考点讲练

专题45坐标系与参数方程(教师版)_02高考数学_通用版(老高考)复习资料_2024年复习资料_完备战2024年高考数学一轮复习考点帮(全国通用)_核心考点讲练

  • 2026-04-14 05:54:46 2026-04-14 03:18:17

文档预览

专题45坐标系与参数方程(教师版)_02高考数学_通用版(老高考)复习资料_2024年复习资料_完备战2024年高考数学一轮复习考点帮(全国通用)_核心考点讲练
专题45坐标系与参数方程(教师版)_02高考数学_通用版(老高考)复习资料_2024年复习资料_完备战2024年高考数学一轮复习考点帮(全国通用)_核心考点讲练
专题45坐标系与参数方程(教师版)_02高考数学_通用版(老高考)复习资料_2024年复习资料_完备战2024年高考数学一轮复习考点帮(全国通用)_核心考点讲练
专题45坐标系与参数方程(教师版)_02高考数学_通用版(老高考)复习资料_2024年复习资料_完备战2024年高考数学一轮复习考点帮(全国通用)_核心考点讲练
专题45坐标系与参数方程(教师版)_02高考数学_通用版(老高考)复习资料_2024年复习资料_完备战2024年高考数学一轮复习考点帮(全国通用)_核心考点讲练
专题45坐标系与参数方程(教师版)_02高考数学_通用版(老高考)复习资料_2024年复习资料_完备战2024年高考数学一轮复习考点帮(全国通用)_核心考点讲练
专题45坐标系与参数方程(教师版)_02高考数学_通用版(老高考)复习资料_2024年复习资料_完备战2024年高考数学一轮复习考点帮(全国通用)_核心考点讲练
专题45坐标系与参数方程(教师版)_02高考数学_通用版(老高考)复习资料_2024年复习资料_完备战2024年高考数学一轮复习考点帮(全国通用)_核心考点讲练
专题45坐标系与参数方程(教师版)_02高考数学_通用版(老高考)复习资料_2024年复习资料_完备战2024年高考数学一轮复习考点帮(全国通用)_核心考点讲练
专题45坐标系与参数方程(教师版)_02高考数学_通用版(老高考)复习资料_2024年复习资料_完备战2024年高考数学一轮复习考点帮(全国通用)_核心考点讲练
专题45坐标系与参数方程(教师版)_02高考数学_通用版(老高考)复习资料_2024年复习资料_完备战2024年高考数学一轮复习考点帮(全国通用)_核心考点讲练
专题45坐标系与参数方程(教师版)_02高考数学_通用版(老高考)复习资料_2024年复习资料_完备战2024年高考数学一轮复习考点帮(全国通用)_核心考点讲练
专题45坐标系与参数方程(教师版)_02高考数学_通用版(老高考)复习资料_2024年复习资料_完备战2024年高考数学一轮复习考点帮(全国通用)_核心考点讲练
专题45坐标系与参数方程(教师版)_02高考数学_通用版(老高考)复习资料_2024年复习资料_完备战2024年高考数学一轮复习考点帮(全国通用)_核心考点讲练
专题45坐标系与参数方程(教师版)_02高考数学_通用版(老高考)复习资料_2024年复习资料_完备战2024年高考数学一轮复习考点帮(全国通用)_核心考点讲练
专题45坐标系与参数方程(教师版)_02高考数学_通用版(老高考)复习资料_2024年复习资料_完备战2024年高考数学一轮复习考点帮(全国通用)_核心考点讲练
专题45坐标系与参数方程(教师版)_02高考数学_通用版(老高考)复习资料_2024年复习资料_完备战2024年高考数学一轮复习考点帮(全国通用)_核心考点讲练
专题45坐标系与参数方程(教师版)_02高考数学_通用版(老高考)复习资料_2024年复习资料_完备战2024年高考数学一轮复习考点帮(全国通用)_核心考点讲练
专题45坐标系与参数方程(教师版)_02高考数学_通用版(老高考)复习资料_2024年复习资料_完备战2024年高考数学一轮复习考点帮(全国通用)_核心考点讲练
专题45坐标系与参数方程(教师版)_02高考数学_通用版(老高考)复习资料_2024年复习资料_完备战2024年高考数学一轮复习考点帮(全国通用)_核心考点讲练
专题45坐标系与参数方程(教师版)_02高考数学_通用版(老高考)复习资料_2024年复习资料_完备战2024年高考数学一轮复习考点帮(全国通用)_核心考点讲练
专题45坐标系与参数方程(教师版)_02高考数学_通用版(老高考)复习资料_2024年复习资料_完备战2024年高考数学一轮复习考点帮(全国通用)_核心考点讲练
专题45坐标系与参数方程(教师版)_02高考数学_通用版(老高考)复习资料_2024年复习资料_完备战2024年高考数学一轮复习考点帮(全国通用)_核心考点讲练
专题45坐标系与参数方程(教师版)_02高考数学_通用版(老高考)复习资料_2024年复习资料_完备战2024年高考数学一轮复习考点帮(全国通用)_核心考点讲练
专题45坐标系与参数方程(教师版)_02高考数学_通用版(老高考)复习资料_2024年复习资料_完备战2024年高考数学一轮复习考点帮(全国通用)_核心考点讲练
专题45坐标系与参数方程(教师版)_02高考数学_通用版(老高考)复习资料_2024年复习资料_完备战2024年高考数学一轮复习考点帮(全国通用)_核心考点讲练
专题45坐标系与参数方程(教师版)_02高考数学_通用版(老高考)复习资料_2024年复习资料_完备战2024年高考数学一轮复习考点帮(全国通用)_核心考点讲练
专题45坐标系与参数方程(教师版)_02高考数学_通用版(老高考)复习资料_2024年复习资料_完备战2024年高考数学一轮复习考点帮(全国通用)_核心考点讲练
专题45坐标系与参数方程(教师版)_02高考数学_通用版(老高考)复习资料_2024年复习资料_完备战2024年高考数学一轮复习考点帮(全国通用)_核心考点讲练
专题45坐标系与参数方程(教师版)_02高考数学_通用版(老高考)复习资料_2024年复习资料_完备战2024年高考数学一轮复习考点帮(全国通用)_核心考点讲练
专题45坐标系与参数方程(教师版)_02高考数学_通用版(老高考)复习资料_2024年复习资料_完备战2024年高考数学一轮复习考点帮(全国通用)_核心考点讲练
专题45坐标系与参数方程(教师版)_02高考数学_通用版(老高考)复习资料_2024年复习资料_完备战2024年高考数学一轮复习考点帮(全国通用)_核心考点讲练
专题45坐标系与参数方程(教师版)_02高考数学_通用版(老高考)复习资料_2024年复习资料_完备战2024年高考数学一轮复习考点帮(全国通用)_核心考点讲练
专题45坐标系与参数方程(教师版)_02高考数学_通用版(老高考)复习资料_2024年复习资料_完备战2024年高考数学一轮复习考点帮(全国通用)_核心考点讲练
专题45坐标系与参数方程(教师版)_02高考数学_通用版(老高考)复习资料_2024年复习资料_完备战2024年高考数学一轮复习考点帮(全国通用)_核心考点讲练
专题45坐标系与参数方程(教师版)_02高考数学_通用版(老高考)复习资料_2024年复习资料_完备战2024年高考数学一轮复习考点帮(全国通用)_核心考点讲练
专题45坐标系与参数方程(教师版)_02高考数学_通用版(老高考)复习资料_2024年复习资料_完备战2024年高考数学一轮复习考点帮(全国通用)_核心考点讲练
专题45坐标系与参数方程(教师版)_02高考数学_通用版(老高考)复习资料_2024年复习资料_完备战2024年高考数学一轮复习考点帮(全国通用)_核心考点讲练
专题45坐标系与参数方程(教师版)_02高考数学_通用版(老高考)复习资料_2024年复习资料_完备战2024年高考数学一轮复习考点帮(全国通用)_核心考点讲练
专题45坐标系与参数方程(教师版)_02高考数学_通用版(老高考)复习资料_2024年复习资料_完备战2024年高考数学一轮复习考点帮(全国通用)_核心考点讲练
专题45坐标系与参数方程(教师版)_02高考数学_通用版(老高考)复习资料_2024年复习资料_完备战2024年高考数学一轮复习考点帮(全国通用)_核心考点讲练
专题45坐标系与参数方程(教师版)_02高考数学_通用版(老高考)复习资料_2024年复习资料_完备战2024年高考数学一轮复习考点帮(全国通用)_核心考点讲练
专题45坐标系与参数方程(教师版)_02高考数学_通用版(老高考)复习资料_2024年复习资料_完备战2024年高考数学一轮复习考点帮(全国通用)_核心考点讲练
专题45坐标系与参数方程(教师版)_02高考数学_通用版(老高考)复习资料_2024年复习资料_完备战2024年高考数学一轮复习考点帮(全国通用)_核心考点讲练
专题45坐标系与参数方程(教师版)_02高考数学_通用版(老高考)复习资料_2024年复习资料_完备战2024年高考数学一轮复习考点帮(全国通用)_核心考点讲练
专题45坐标系与参数方程(教师版)_02高考数学_通用版(老高考)复习资料_2024年复习资料_完备战2024年高考数学一轮复习考点帮(全国通用)_核心考点讲练
专题45坐标系与参数方程(教师版)_02高考数学_通用版(老高考)复习资料_2024年复习资料_完备战2024年高考数学一轮复习考点帮(全国通用)_核心考点讲练
专题45坐标系与参数方程(教师版)_02高考数学_通用版(老高考)复习资料_2024年复习资料_完备战2024年高考数学一轮复习考点帮(全国通用)_核心考点讲练
专题45坐标系与参数方程(教师版)_02高考数学_通用版(老高考)复习资料_2024年复习资料_完备战2024年高考数学一轮复习考点帮(全国通用)_核心考点讲练
专题45坐标系与参数方程(教师版)_02高考数学_通用版(老高考)复习资料_2024年复习资料_完备战2024年高考数学一轮复习考点帮(全国通用)_核心考点讲练
专题45坐标系与参数方程(教师版)_02高考数学_通用版(老高考)复习资料_2024年复习资料_完备战2024年高考数学一轮复习考点帮(全国通用)_核心考点讲练
专题45坐标系与参数方程(教师版)_02高考数学_通用版(老高考)复习资料_2024年复习资料_完备战2024年高考数学一轮复习考点帮(全国通用)_核心考点讲练
专题45坐标系与参数方程(教师版)_02高考数学_通用版(老高考)复习资料_2024年复习资料_完备战2024年高考数学一轮复习考点帮(全国通用)_核心考点讲练
专题45坐标系与参数方程(教师版)_02高考数学_通用版(老高考)复习资料_2024年复习资料_完备战2024年高考数学一轮复习考点帮(全国通用)_核心考点讲练
专题45坐标系与参数方程(教师版)_02高考数学_通用版(老高考)复习资料_2024年复习资料_完备战2024年高考数学一轮复习考点帮(全国通用)_核心考点讲练
专题45坐标系与参数方程(教师版)_02高考数学_通用版(老高考)复习资料_2024年复习资料_完备战2024年高考数学一轮复习考点帮(全国通用)_核心考点讲练
专题45坐标系与参数方程(教师版)_02高考数学_通用版(老高考)复习资料_2024年复习资料_完备战2024年高考数学一轮复习考点帮(全国通用)_核心考点讲练
专题45坐标系与参数方程(教师版)_02高考数学_通用版(老高考)复习资料_2024年复习资料_完备战2024年高考数学一轮复习考点帮(全国通用)_核心考点讲练
专题45坐标系与参数方程(教师版)_02高考数学_通用版(老高考)复习资料_2024年复习资料_完备战2024年高考数学一轮复习考点帮(全国通用)_核心考点讲练
专题45坐标系与参数方程(教师版)_02高考数学_通用版(老高考)复习资料_2024年复习资料_完备战2024年高考数学一轮复习考点帮(全国通用)_核心考点讲练
专题45坐标系与参数方程(教师版)_02高考数学_通用版(老高考)复习资料_2024年复习资料_完备战2024年高考数学一轮复习考点帮(全国通用)_核心考点讲练
专题45坐标系与参数方程(教师版)_02高考数学_通用版(老高考)复习资料_2024年复习资料_完备战2024年高考数学一轮复习考点帮(全国通用)_核心考点讲练
专题45坐标系与参数方程(教师版)_02高考数学_通用版(老高考)复习资料_2024年复习资料_完备战2024年高考数学一轮复习考点帮(全国通用)_核心考点讲练
专题45坐标系与参数方程(教师版)_02高考数学_通用版(老高考)复习资料_2024年复习资料_完备战2024年高考数学一轮复习考点帮(全国通用)_核心考点讲练
专题45坐标系与参数方程(教师版)_02高考数学_通用版(老高考)复习资料_2024年复习资料_完备战2024年高考数学一轮复习考点帮(全国通用)_核心考点讲练
专题45坐标系与参数方程(教师版)_02高考数学_通用版(老高考)复习资料_2024年复习资料_完备战2024年高考数学一轮复习考点帮(全国通用)_核心考点讲练
专题45坐标系与参数方程(教师版)_02高考数学_通用版(老高考)复习资料_2024年复习资料_完备战2024年高考数学一轮复习考点帮(全国通用)_核心考点讲练
专题45坐标系与参数方程(教师版)_02高考数学_通用版(老高考)复习资料_2024年复习资料_完备战2024年高考数学一轮复习考点帮(全国通用)_核心考点讲练
专题45坐标系与参数方程(教师版)_02高考数学_通用版(老高考)复习资料_2024年复习资料_完备战2024年高考数学一轮复习考点帮(全国通用)_核心考点讲练
专题45坐标系与参数方程(教师版)_02高考数学_通用版(老高考)复习资料_2024年复习资料_完备战2024年高考数学一轮复习考点帮(全国通用)_核心考点讲练
专题45坐标系与参数方程(教师版)_02高考数学_通用版(老高考)复习资料_2024年复习资料_完备战2024年高考数学一轮复习考点帮(全国通用)_核心考点讲练
专题45坐标系与参数方程(教师版)_02高考数学_通用版(老高考)复习资料_2024年复习资料_完备战2024年高考数学一轮复习考点帮(全国通用)_核心考点讲练
专题45坐标系与参数方程(教师版)_02高考数学_通用版(老高考)复习资料_2024年复习资料_完备战2024年高考数学一轮复习考点帮(全国通用)_核心考点讲练
专题45坐标系与参数方程(教师版)_02高考数学_通用版(老高考)复习资料_2024年复习资料_完备战2024年高考数学一轮复习考点帮(全国通用)_核心考点讲练
专题45坐标系与参数方程(教师版)_02高考数学_通用版(老高考)复习资料_2024年复习资料_完备战2024年高考数学一轮复习考点帮(全国通用)_核心考点讲练
专题45坐标系与参数方程(教师版)_02高考数学_通用版(老高考)复习资料_2024年复习资料_完备战2024年高考数学一轮复习考点帮(全国通用)_核心考点讲练
专题45坐标系与参数方程(教师版)_02高考数学_通用版(老高考)复习资料_2024年复习资料_完备战2024年高考数学一轮复习考点帮(全国通用)_核心考点讲练
专题45坐标系与参数方程(教师版)_02高考数学_通用版(老高考)复习资料_2024年复习资料_完备战2024年高考数学一轮复习考点帮(全国通用)_核心考点讲练
专题45坐标系与参数方程(教师版)_02高考数学_通用版(老高考)复习资料_2024年复习资料_完备战2024年高考数学一轮复习考点帮(全国通用)_核心考点讲练
专题45坐标系与参数方程(教师版)_02高考数学_通用版(老高考)复习资料_2024年复习资料_完备战2024年高考数学一轮复习考点帮(全国通用)_核心考点讲练
专题45坐标系与参数方程(教师版)_02高考数学_通用版(老高考)复习资料_2024年复习资料_完备战2024年高考数学一轮复习考点帮(全国通用)_核心考点讲练
专题45坐标系与参数方程(教师版)_02高考数学_通用版(老高考)复习资料_2024年复习资料_完备战2024年高考数学一轮复习考点帮(全国通用)_核心考点讲练
专题45坐标系与参数方程(教师版)_02高考数学_通用版(老高考)复习资料_2024年复习资料_完备战2024年高考数学一轮复习考点帮(全国通用)_核心考点讲练
专题45坐标系与参数方程(教师版)_02高考数学_通用版(老高考)复习资料_2024年复习资料_完备战2024年高考数学一轮复习考点帮(全国通用)_核心考点讲练
专题45坐标系与参数方程(教师版)_02高考数学_通用版(老高考)复习资料_2024年复习资料_完备战2024年高考数学一轮复习考点帮(全国通用)_核心考点讲练
专题45坐标系与参数方程(教师版)_02高考数学_通用版(老高考)复习资料_2024年复习资料_完备战2024年高考数学一轮复习考点帮(全国通用)_核心考点讲练
专题45坐标系与参数方程(教师版)_02高考数学_通用版(老高考)复习资料_2024年复习资料_完备战2024年高考数学一轮复习考点帮(全国通用)_核心考点讲练
专题45坐标系与参数方程(教师版)_02高考数学_通用版(老高考)复习资料_2024年复习资料_完备战2024年高考数学一轮复习考点帮(全国通用)_核心考点讲练
专题45坐标系与参数方程(教师版)_02高考数学_通用版(老高考)复习资料_2024年复习资料_完备战2024年高考数学一轮复习考点帮(全国通用)_核心考点讲练
专题45坐标系与参数方程(教师版)_02高考数学_通用版(老高考)复习资料_2024年复习资料_完备战2024年高考数学一轮复习考点帮(全国通用)_核心考点讲练

文档信息

文档格式
docx
文档大小
5.153 MB
文档页数
86 页
上传时间
2026-04-14 03:18:17

文档内容

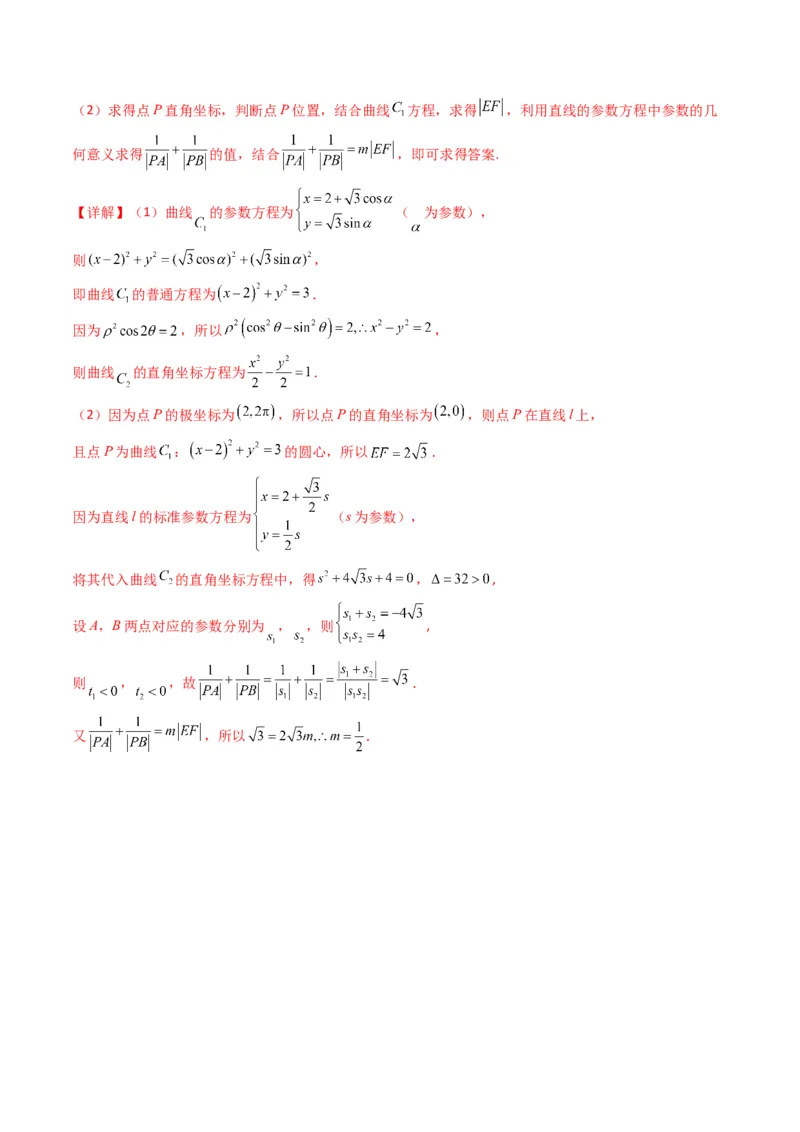
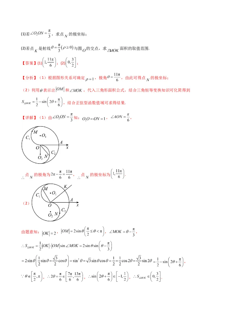
专题 45 坐标系与参数方程 (核心考点精讲精练) 1. 近几年真题考点分布 坐标系与参数方程近几年考情 考题示例 考点分析 关联考点 2021年全国甲(理科),第22题,10分 极坐标与直角坐标互化,直线与圆的位置关系 2021年全国甲(文科),第22题,10分 求参数,圆的参数方程 2021年全国甲(理科),第22题,10分 极坐标方程互化,圆的参数方程 2021年全国甲(文科),第22题,10分 2022年全国乙(理科),第22题,10分 极坐标方程互化,参数方程综合,圆锥曲线的 参数方程求最值 2022年全国乙(文科),第22题,10分 2022年全国甲(理科),第22题,10分 极坐标与直角坐标互化,参数方程化普通方程 2022年全国甲(文科),第22题,10分 2023年全国乙(理科),第22题,10分 极坐标与直角坐标互化,参数方程化普通方程 2023年全国乙(文科),第22题,10分 2023年全国甲(理科),第22题,10分 极坐标方程互化,求弦长 2023年全国甲(文科),第22题,10分 2. 命题规律及备考策略 【命题规律】1.坐标系是解析几何的基础,通过有序实数组确定点的位置,进而用方程刻画几何图形。极 坐标系、柱坐标系、球坐标系等是与直角坐标系不同的坐标系,对于有些几何图形,选用这 些坐标系可以使建立的方程更加简单; 2.参数方程是以参变量为中介来表示曲线上点的坐标的方程,是曲线在同一坐标系下的又一 种表示形式。某些曲线用参数方程表示比用普通方程表示更方便。学习参数方程有助于学生 进一步体会解决问题中数学方法的灵活多变; 【备考策略】1.掌握坐标系和参数方程的基本概念和性质,理解其几何意义和代数表达; 2.参数方程中参数的意义和性质需要理解并掌握,同时要能够将参数方程转化为普通方程; 3.掌握坐标系之间的转换方法和参数方程与普通方程之间的转换方法,以及普通方程与极坐 标方程之间的转换; 4.熟悉常见曲线的参数方程和普通方程,如直线、圆、椭圆、抛物线等,并能够根据问题选 择合适的方程进行解决; 【命题预测】1.坐标系可能会以选择题或填空题的形式出现,主要考察学生对坐标系的基本概念和性质的理解和应用。题目可能会涉及坐标系的建立、点的坐标表示、向量运算等知识点; 2.参数方程可能会以选择题或填空题的形式出现,主要考察学生对参数方程的基本概念和性 质的理解和应用。题目可能会涉及参数方程的建立、参数的意义和性质、参数方程与普通方 程的转换等知识点; 3.坐标系和参数方程之间的转换方法可能会成为高考命题的重点之一,主要考察学生的运算 能力和思维能力。题目可能会涉及普通方程与极坐标方程之间的转换、参数方程与普通方程 之间的转换等; 4.高考命题可能会涉及常见曲线的参数方程和普通方程,如直线、圆、椭圆、抛物线等,主 要考察学生对这些曲线的性质和方程的理解和应用; 5.应用题:高考命题可能会设计应用题,主要考察学生利用坐标系和参数方程解决实际问题 的能力。题目可能会涉及一些实际应用场景,如物理学、工程学、经济学等; 知识讲解 一、极坐标系 极径 ,即M点与极点O间的距离 极角 ,即以极轴 为始边, 为终边的角 二、极坐标与直角坐标的互化点M 直角坐标(x,y) 极坐标(ρ,θ) 互化公式 ρ2= x 2 + y 2 tan θ=(x≠0) 例如 ,则 又 在第三象限,所以 , 三、常见曲线的极坐标方程 曲线 图形 极坐标方程 圆心在极点,半径为 的圆 圆心为(r,0),半径为 的圆 圆心为 ,半径为 的圆 过极点,倾斜角为 的直线 过点 ,与极轴垂直的直线 过点 ,与极轴平行的直线 四、常见曲线的参数方程 ①圆 的参数方程是: ②椭圆 的参数方程是: 倾斜角为 的直线 的标准参数方程为: ③过定点 五、直线的标准参数方程中 的几何意义 过定点 倾斜角为 的直线 的标准参数方程为:点所对应的参数为 ,记直线 与任意曲线相交于 两点所对应的参数分别为 ,则 ①线段 的中点 所对应的参数为 ,如果线段 的中点恰好是 ,则有 ② , ③ , ④ ⑤ 注:①将直线的参数方程代入曲线的方程得到关于 的二次方程,则由韦达定理得出: 六、直线一般式 b {x=x + at ¿¿¿¿ 0 过定点 斜率 =a 的直线的参数方程是 (t为参数) ①若 ,即为标准式,此时参数t具备几何意义 ②若 ,参数t不具备标准式 中t的几何意义. 标准式与一般式的联系与互化: {x=x + at ¿¿¿¿ 0 直线的普通参数方程 ( 为参数)化为直线的标准参数方程的方法是将直线的方向 a { x=x + t ¿¿¿ ¿ 0 √ 2 2 a +b 向量化为直线的单位向量,即是化为参数方程 (t为参数) 考点一、极坐标与参数方程 1.在平面直角坐标系xOy中,已知直线 的参数方程为 (t为参数),抛物线C的极坐标方程 为 . (1)求直线l和抛物线C的直角坐标方程;(2)求直线l被抛物线C截得的弦长. 【详解】(1)因为 ,所以直线 的直角坐标方程为 , 因为抛物线 的极坐标方程为 ,即 , 所以抛物线 的直角坐标方程为 ; (2)将直线的参数方程代入抛物线的方程得 ,即 , 所以 ,所以截得的弦长为 . 2.在平面直角标系xOy中,曲M的参数方程为 ( 为参数).以坐标原点为极点,x轴的正半 轴为极轴建立极坐标系,直线l的极坐标方程为 . (1)求曲线M的普通方程; (2)若D为曲线M上一动点,求D到l距离的取值范围. 【详解】(1)由题意可知: , 由 可得 , 所以 的普通方程为 ; (2)直线 可化简为 ,将 代入直线 可得 , 设 , 则 , , ∴ . 3.在直角坐标系 中,曲线 的参数方程为 ( 为参数),以坐标原点为极点, 轴的正半轴为极轴建立极坐标系,直线 的极坐标方程为 . (1)求直线 的一般方程和曲线 的标准方程; (2)设直线 与曲线 相交于 , 两点,直线 与 轴相交于点 ,求 的值. 【详解】(1)因为曲线 的参数方程为 , 所以 , 所以曲线 的标准方程为 . 因为 , 所以 , 又 , , 所以 ,即直线 的一般式方程为 . (2)由(1)知,直线 的一般式方程为 , 易知点 ,斜率为1,倾斜角为 , 则直线 的参数方程为 ( 为参数), 则可设 , , 将该参数方程代入曲线 的标准方程,可得 , 整理得 ,此时 , 所以 ,所以 . 4.在平面直角坐标系 中,曲线C的参数方程为 (其中 为参数).以坐标原点为极点, x轴非负半轴为极轴建立极坐标系,直线l的极坐标方程为 . (1)求直线l的直角坐标方程和曲线C的普通方程;(2)设直线l与曲线C交于A,B两点,点P是曲线C上的一动点,求 面积的最大值. 【详解】(1)由 得 , 所以直线 的直角坐标方程为 , 曲线 的参数方程为 ,消参得普通方程为 . (2)因为曲线 的圆心 到直线 的距离 ,半径 , 所以 . 又点 到直线 距离的最大值为 , 所以 面积的最大值为 . 5.在平面直角坐标系xOy中,直线l过点 ,且倾斜角为 ,以坐标原点为极点,以x轴的非负半轴 为极轴,建立极坐标系,曲线C的参数方程是为 ( 参数). (1)求曲线C的普通方程和直线l的参数方程; (2)已知曲线C与直线l相交于A,B两点,则 的值. 【详解】(1)根据题意, 由 ,得 ,即 , ∴ ,∴曲线 的普通方程为 ; 由直线 过点 ,倾斜角为 , 得直线 的参数方程为 (t为参数). (2)根据题意,联立直线 的参数方程与曲线 的普通方程可得, , 化简得 ,可得 , 则 . 6.在平面直角坐标系 中,曲线C的参数方程为 ( 为参数),以O为极点,x轴的 正半轴为极轴建立极坐标系,直线l的极坐标方程为 . (1)求曲线C的普通方程和直线l的直角坐标方程; (2)P为l上一点,过P作曲线C的两条切线,切点分别为A,B,若 ,求点P横坐标的取值范围. 【详解】(1)由曲线 的参数方程为 ( 为参数), 可得 由 ,得 ,即 , 曲线 的普通方程为 ,直线 的直角坐标方程为 (2)设 ,连接 ,易得 , 若 ,则 , 在 中, , , ,两边平方得 ,解得 , 点 横坐标的取值范围为 1.在直角坐标系xOy中,直线 的直角坐标方程为 ,曲线 的直角坐标方程为 , 以坐标原点为极点, 轴非负半轴为极轴建立极坐标系. (1)求直线 和曲线 的极坐标方程; (2)设直线 交曲线 于两点A,B,求 的大小. 【详解】(1)依题意, 把 , 代入 , 得直线 的极坐标方程为 ; 把 , 代入 , 得 ,即曲线 的极坐标方程为 . (2)联立 和 , 得 , 即 , , , , 所以 或 , 即 两点对应的极角的正切值分别是 和3, 于是 ,所以 . 2.以坐标原点为极点,x轴的正半轴为极轴建立极坐标系,曲线C的极坐标方程为 ,直线 的参数方程为 (t为参数). (1)若 ,求直线l的普通方程和曲线C的直角坐标方程; (2)过点 向直线l作垂线,垂足为Q,说明点Q的轨迹为何种曲线. 【详解】(1)解:由直线 的参数方程为 ∵ , ∴直线l的普通方程为 ,即 . 由 得 , 因为 , , 所以曲线 的直角坐标方程为 . (2)若 ,由 ,可知直线 的方程为 , 于是过点 向直线 作垂线,垂足为 . 若 ,由直线 的参数方程可知直线 的斜率为 , ∴过点 且与直线 垂直的直线方程为 . 联立方程组 整理得 , ∴点 的轨迹方程为 , 即 , 显然,点 也在 上, 所以动点 的轨迹为以点 为圆心, 为半径的圆.3.在平面直角坐标系xOy中,曲线 的参数方程为 ( 为参数),以坐标原点O为极点,x 轴正半轴为极轴建立极坐标系,曲线 的极坐标方程为 . (1)求曲线 的极坐标方程与曲线 的直角坐标方程; (2)直线l: 与曲线 , 分别交于M、N两点(异于极点O),P为 上的动点,求 PMN △ 面积的最大值. 【详解】(1)解: 的参数方程为 ( 为参数),消去 可得, ,所以曲线 的直角坐标方程为 , 将 , 代入得,曲线 的极坐标方程为 . 的极坐标方程为 ,即 , 所以曲线 的直角坐标方程为 , 综上所述:曲线 的极坐标方程为 ,曲线 的直角坐标方程为 . (2)当 时, , , .显然当点 到直线 的距离最大时, 的面积最大. 直线 的方程为 ,圆心 到直线 的距离为 , 所以点 到直线 的最大距离 ,所以 . 4.在直角坐标系 中,直线 的参数方程为 ( 为参数),以坐标原点 为极点, 轴为 正半轴建立极坐标,椭圆 的极坐标方程为 ,其右焦点为 ,直线 与椭圆 交于 两点. (1)求 的值; (2)若点 是椭圆上任意一点,求 的面积最大值. 【详解】(1)由 得椭圆 的方程为 ,其焦点 坐标为 , 由题意得直线 经过点 ,其参数方程为 ( 为参数), 代入椭圆 的方程整理得 ,所以 ,所以 . (2)由椭圆方程 ,可设点 坐标为 , 又直线 的直角坐标方程为 , ∴点 到直线 的距离 ,其中 , 所以 ,因为 , 所以 的面积最大值为 . 考点二、极坐标(三线及三线段型) 1.在极坐标系下,曲线E的极坐标方程为: (1)以极坐标系的极点为坐标原点,极轴为x轴正半轴建立平面直角坐标系 ,求E直角坐标方程,并说 明E的轨迹是什么图形; (2)A,B,C为曲线E上不同的三点,O为极点, ,证明: 为定值. 【答案】(1) ,轨迹为椭圆(2)证明见解析 【分析】(1)根据极坐标方程直接转化为直角坐标系方程即可,随之可判断曲线的轨迹图形; (2)根据极坐标方程结合极径的几何意义即可证明结论. 【详解】(1)解: ,所以 ,则 所以 ,整理得: ,轨迹为椭圆. (2)解:设 , 则 所以:. 即 为定值2. 2.在直角坐标系 中,曲线 的方程为 ,曲线 的方程为 以坐标原点 为 极点, 轴的正半轴为极轴建立极坐标系,直线 的极坐标方程为 (1)求曲线 , 的极坐标方程; (2)若 ,直线 与曲线 交于 , 两点,与曲线 的一个交点为点 ,且 , 求 的值 【答案】(1) , (2) 【分析】(1)根据曲线的直角坐标与极坐标转化公式,即可求解; (2)将 代入曲线 的极坐标方程,得 ,将 代入曲线 的极坐标方程, 得到韦达定理,并表示 ,即可求 . 【详解】(1)由 ,得 , 所以曲线 的极坐标方程为 由 ,得 ,即 , 此即曲线 的极坐标方程; (2)将 代入 ( ),得 将 代入 ,得 , 设 对应的参数分别是 ,则 , , 所以 ,解得: 1.在平面直角坐标系 中,圆 的方程为 ,圆 以 为圆心且与圆 外切.以坐标原点为极 点, 轴的正半轴为极轴建立极坐标系. (1)求圆 的极坐标方程. (2)若射线 与圆 交于点 ,与圆 交于点 且 ,求直线 的斜率.【答案】(1) (2) 【分析】(1)由圆 与圆 外切,求出半径,得出圆 的普通方程,再由 得出 的极坐标 方程; (2)由题意得 ,所以 ,把 代入圆 的极坐标方程,结合韦达定理求出结果. 【详解】(1)因为圆 以 为圆心且与圆 外切,所以其半径为 . 所以圆 的普通方程为 .展开得 由 得圆 的极坐标方程为 (2)由题意得 所以 把 代入 得 则 是 的两个根, 所以 ,解得 所以 , 所以 ,即直线 的斜率为 考点三、极坐标(极坐标求面积型) 1.如图,在极坐标系中,曲线 是以 为圆心的半圆,曲线 是以 为圆心的圆,曲线 都过极点 . (1)分别写出半圆 ,圆 的极坐标方程; (2)直线 与曲线 分别交于 两点(异于极点 ),求 的面积. 【答案】(1) : , : (2) 【分析】(1)直接利用转换关系的应用,写出极坐标方程; (2)利用三角函数关系式的变换和三角形的面积的公式的应用求出结果. 【详解】(1)曲线 是以 为圆心的半圆, 所以半圆的极坐标方程为 ,曲线 以 为圆心的圆,转换为极坐标方程为 . 故半圆 ,圆 的极坐标方程分别为: , (2)由(1)得: . 点 到直线 的距离 . 所以 .故 的面积为: 2.在平面直角坐标系 中,曲线 的参数方程为 ( 为参数),以坐标原点 为极点, 轴的正半轴为极轴建立极坐标系. (1)求曲线 的极坐标方程; (2)若直线 , 的极坐标方程分别为 , ,设直线 , 与曲线 的交点分别 为 和 ,求 的面积. 【答案】(1) (2) 【分析】(1)先将参数方程化为普通方程,再转化为极坐标方程即可; (2)将 , 代入曲线 的极坐标方程解出 ,再由三角形的面积公式求解即可. 【详解】(1)由参数方程 ( 为参数),消去参数可得曲线 的普通方程为 , 把 代入 ,得 ,所以曲线 的极坐标方程为 . (2)将 , 代入曲线 的极坐标方程 , 可得 , , 又因为 ,所以 . 1.在平面直角坐标系 中,伯努利双纽线C(如图)的普通方程为 ,直线l的参 数方程为 (其中 为直线l倾斜角,t为参数).(1)以O为极点,x轴的非负半轴为极轴建立极坐标系,求C和l的极坐标方程; (2)设A、B是C与x轴异于原点的交点,当 时,l与C在第一象限的交点为M,求 的面积. 【答案】(1) 的极坐标方程为 , 的极坐标方程为 (2) 【分析】(1)根据普通方程与极坐标方程的转化方法即可得到 的极坐标方程,通过消参法可以直线 的 普通方程,再将其转为极坐标方程即可; (2)首先求出 ,联立联立 , 的极坐标方程,代入 求出 ,则得到 的值, 则得到三角形面积. 【详解】(1)由 , 则 为 , 的极坐标方程为 , 由题设,应用消参法可知:直线 的普通方程为 , 则 的极坐标方程为 . (2)由题设,当 时有 ,即 , 是过原点的直线, 联立 , 有 ,且 , 则 ,又 ,且 所以 . 2.已知在平面直角坐标系 中,直线 的参数方程为 ( 为参数),以坐标原点 为极点, 轴的正半轴为极轴,建立极坐标系,曲线 的极坐标方程为 ,点 的极坐标为 . (1)求直线 的极坐标方程以及曲线 的直角坐标方程; (2)记 为直线 与曲线 的一个交点,其中 ,求 的面积. 【答案】(1)直线 的极坐标方程: ,曲线 的直角坐标方程 (2)12 【分析】(1)根据参数方程转化为普通方程、直角坐标方程化为极坐标方程的知识求得正确答案. (2)联立直线 与曲线 的直角坐标,求得 点的坐标,根据极坐标的知识求得 的面积. 【详解】(1)由直线 的参数方程可得直线 的普通方程为 , 将 代入得 ,故直线 的极坐标方程为 . 而曲线 ,即 ,则 , 故曲线 的直角坐标方程为 . (2)由 ,可得 或 ,因为 ,所以点 ,转化为极坐标为 . 由于点 的极坐标为 ,故 的面积 . 考点四、极坐标(极坐标最值型) 1.数学中有许多美丽的曲线,如在平面直角坐标系xOy中,曲线 ,( ) 的形状如心形(如图),我们称这类曲线为笛卡尔心形曲线.以坐标原点O为极点,x轴的正半轴为极轴 建立极坐标系,当 时. (1)求曲线E的极坐标方程; (2)已知P,Q为曲线E上异于O的两点,且 ,求 的最大值. 【答案】(1) (2) 【分析】(1)将 , 代入曲线E,化简可得答案; (2)不妨设 , , , ,则 ,结合三角函数性质求最大值即可. 【详解】(1)将 , 代入曲线E,得 ,即 , 所以,E的极坐标方程为 ; (2)不妨设 , ,即 , , ,而 ,故 . 2.在平面直角坐标系 中,直线 的直角坐标方程为 ,曲线 的参数方程为 ( 为参数),以原点 为极点, 轴正半轴为极轴建立极坐标系. (1)求直线 、曲线 的极坐标方程; (2)若射线 : 分别交直线 ,曲线C于M、N两点(点N异于原点О),求 的最大值. 【答案】(1)直线 : ,曲线 : (2) 【分析】(1)由极坐标与直角坐标互化可得 极坐标方程;将 参数方程化为普通方程,再根据极坐标与 直角坐标互化得到 极坐标方程; (2)将 代入 极坐标方程求得 ,利用三角恒等变换公式可将 化为 ,由三角函数值域可求得结果. 【详解】(1)直线 的直角坐标方程为 , 根据 转换为极坐标方程为 ; 曲线 的参数方程 ( 为参数),转换为普通方程为 , 即 ,根据 转换为极坐标方程为 ; (2)∵射线 : 分别交直线 ,曲线C于M,N两点(点N异于原点O), ∴联立 ,得 ,联立 ,得 , ∴ , 故 的最大值为 . 1.在直角坐标系xOy中,曲线 的参数方程为 (其中 为参数),以 为极点, 轴的正半 轴为极轴建立极坐标系,曲线 的极坐标方程为 .(1)求曲线 的普通方程和曲线 的直角坐标方程; (2)射线 : 与曲线 , 分别交于点A,B(均异于极点),当 时,求 的最小值. 【答案】(1) , (2) 【分析】(1)先消去参数得到 的普通方程,再利用极坐标与直角坐标互化公式将 转化成直角坐标方 程即可; (2)根据 的定义计算 ,化简计算可得 ,再利用 即得结果. 【详解】(1)曲线 的参数方程为 (其中 为参数),消参可得普通方程为 , 由 可得 , 因为 ,所以曲线 的直角坐标方程 整理得 (2)曲线 根据 可得对应的极坐标方程为 整理得 , 联立 ,得 , 联立 ,得 , 因为 ,所以 因为 ,所以 ,所以当 时, 有最小值,该值为 2.在极坐标系 中,若点A为曲线 : 上一动点,点B在射线AO上,且满足 ,记动点B的轨迹为曲线C. (1)求曲线C的极坐标方程; (2)若过极点的直线 交曲线C和曲线 分别于P,Q两点,且线段PQ的中点为M,求 的最大值. 【答案】(1) 或 (2)3 【分析】(1)当点B在线段AO上时,可得到 或 ;当点B不在线段AO上时,设 ,采用相关点法可求得点B的轨迹,再综合两种情况可得结论. (2)当曲线C为 ,此时点P,Q重合,不合题意;曲线C为 ,设直线 :,与曲线C和曲线 的极坐标方程联立可得 , ,由此用 表示出 ,结合正弦型函数值域求法 和 的单调性可求得最大值. 【详解】(1)当点B在线段AO上时,由 ,得 或 . 当点B不在线段AO上时,设 ,则 , 所以 ,所以 . 综上所述,曲线C的极坐标方程为 或 . (2)若曲线C为 ,此时点P,Q重合,不合题意. 若曲线C为 ,设直线 : . 由 ,得 ;由 ,得 . 因为M是线段PQ的中点,所以 . 因为 ,所以 .记 ,则 . 又 在 上单调递减, ,故当 时, 取最大值为3. 考点五、极坐标(面积最值) 1.如图,在极坐标系中,曲线 是以 为圆心的半圆,曲线 是以 为圆心的圆,曲线 、 都过极点O. (1)分别写出半圆 和圆 的极坐标方程; (2)直线 与曲线 、 分别交于M、N两点(异于极点O),P为 上的动点,求 面 积的最大值. 【答案】(1) , (2) 【分析】(1)先求出曲线 、 的直角坐标方程,再根据直角坐标转化为极坐标方程即可; (2)通过联立极坐标方程,即可求得M、N两点的极坐标,进而求得 的长度,若求面积最大值,只需求点 到直线 距离最大,即过 圆心做垂直于 的线反向延长交 的点为 ,通过直角三角形中 边与角的关系,求得圆心到直线距离,进而求得高的最大值,即三角形面积最大值. 【详解】(1)解:因为曲线 是以 为圆心的半圆,且过极点O,所以半径为2, 故曲线 的直角坐标方程为: , , 即 ,将 代入化简可得: , 由 ,即 ,即 ,即 ,故 , 所以 的极坐标方程为 ; 因为曲线 是以 为圆心的圆,且过极点O,所以圆心为 ,半径为1, 故 的直角坐标方程为: ,即 ,将 代入可得: 圆 的极坐标方程为 ; (2)因为M、N是直线 与曲线 、 的两个交点,不妨设 , 由(1)得 : , : , 所以 ,所以 , 若 面积最大,只需P点到直线MN的距离最大,因为P在 上, 所以当P点为过 且与直线MN垂直的直线与圆 的一个交点时,距离最大,如图所示: 设 与直线MN垂直于点H,因为 , 所以 ,在 中, , 所以点P到直线MN的最大距离为 , 所以 面积的最大值为 . 2.如图,在极坐标系 中,圆O的半径为2,半径均为1的两个半圆弧 所在圆的圆心分别为 ,M是半圆弧 上的一个动点.(1)若点A是圆O与极轴的交点,求 的最大值; (2)若点N是射线 与圆O的交点,求 面积的取值范围. 【答案】(1) ;(2) ; 【分析】(1)根据题意,得到半圆弧 的直角坐标方程,从而可得 的最大值; (2)根据题意,表示出 ,结合三角形的面积公式,即可得到 ,再根据三角恒等变换公式 化简,即可得到结果. 【详解】(1)由题知,半圆弧 的极坐标方程为: , 化为直角坐标方程为: ,其圆心为 ,半径为 , 由题可知 ,所以 (2) 由题知 , , , 所以 因为 ,所以 ,即 ,所以 1.在平面直角坐标系 中,已知曲线T的参数方程为 ( 为参数),以坐标原点O 为极点,x轴的非负半轴为极轴建立极坐标系,已知曲线T经过点 . (1)求曲线T的极坐标方程. (2)若直线 和直线 分别与曲线T相交于A,C和B,D两点,求四边形 的面积的最小值. 【答案】(1) (2)【分析】(1)由曲线T的参数方程得曲线T的直角坐标方程,代入点M的直角坐标,可求得参数,进而 由公式法化为极坐标方程; (2)由极坐标方程组结合韦达定理表示弦长 ,说明 讨论最值即可 【详解】(1)极坐标 的直角坐标为 , 由曲线T的参数方程得曲线T的直角坐标方程为 ,代入 可解得 , ∴曲线T的直角坐标方程为 ,则曲线T的极坐标方程为 ; (2)设交点 , 由 得 ∴ , 同理可得,令 代替 ,则 . 由直线 和直线 相交可得 , ∴ ,当 时,取得最小值 . 2.在直角坐标系 中,已知曲线 : ( 为参数).经伸缩变换 后的曲线为 , 以原点О为极点,x轴非负半轴为极轴建立极坐标系. (1)求曲线 的极坐标方程; (2)M,N是曲线 上的两点,且 ,求 面积的取值范围. 【答案】(1) (2) 【分析】(1)根据伸缩变换求出 的普通方程,再根据根据极坐标与直角坐标转化的公式转化为极坐标 方程(2) 转化为极角的关系,用三角函数解决. 【详解】(1) 为参数 ,经过伸缩变换 即 为参数 ,所以 为参数 ,根据极坐标与直角坐标转化的公式 ,可得 (2)由(1)知曲线 的普通方程为 且极坐标方程为 ,设 的极坐标为 , 则 的极坐标为 ,, 又因为 ,所以 , 面积的取值范围为 考点六、极坐标(极坐标求轨迹型) 1.如图,在极坐标系Ox中,点 ,曲线M是以OA为直径, 为圆心的半圆,点B在曲线M上, 四边形OBCD是正方形. (1)当 时,求B,C两点的极坐标; (2)当点B在曲线M上运动时,求D点轨迹的极坐标方程. 【答案】(1)点B的极坐标为 ,点C的极坐标为 (2) 【分析】(1)连接 ,可得到 ,通过数据可得到 ,即可得到点B的极坐标,再 算出 ,即可得到点C的极坐标; (2)设 , ,通过题意可得到 ,通过求出曲线M的极坐标方程即可得到点B的 极坐标方程,将上式关系代入即可得到答案 【详解】(1)连接 ,因为 是直径,所以 ,在 中, , , ∴ ,∴点B的极坐标为 , 在正方形OBCD中, , ,∴点C的极坐标为 ;(2)设 , ,且 ①,由题意可得 的直角坐标为 ,所以曲线M的普通方程为 即 将 代入曲线M的普通方程得极坐标方程为 , 当 时,O,B两点重合,不合题意,∴点B的极坐标方程为 , 将①式代入得点D的极坐标方程为 2.如图,在极坐标系Ox中,圆O的半径为2,半径均为1的两个半圆弧 , 所在圆的圆心分别为 , ,M是半圆弧 上的一个动点. (1)当 时,求点M的极坐标; (2)以O为坐标原点,极轴Ox为x轴正半轴, 的方向为y轴正方向建立平面直角坐标系.若点N为线 段 的中点,求点N的轨迹方程. 【答案】(1) (2) ( 为参数,且 ) 【分析】(1)由题意得到点M的极角为 ,在 中,利用正弦定理列出方程,求得 的长,即 可求解;(2)求得 的参数方程为 ,结合线段 的中点N的坐标为 ,利用中点坐标公式,即 可求解. (1) 解:由 , ,可得点M的极角为 . 在等腰 中,由正弦定理得 ,即 . 所以 ,所以点M的极坐标为 . (2) 解:由题意,在直角坐标系中,点M在以 为圆心,1为半径的半圆弧 上, 其参数方程为 ( 为参数,且 ).设线段 的中点N的坐标为 , 又由点 , ,根据中点坐标公式可得 , 所以点N的轨迹方程为 ( 为参数,且 ). 1.在极坐标系下,设点 为曲线 : 在极轴 上方的一点,且 ,以极点为原点,极 轴为 轴正半轴建立平面直角坐标系 . (1)求曲线 的参数方程; (2)以 为直角顶点, 为一条直角边作等腰直角三角形 在 的右下方 ,求点 轨迹的极坐标方 程. 【答案】(1) , 其中 为参数 ;(2) , 【分析】 先将曲线 的极坐标方程化成直角坐标系中的方程,再利用圆的参数方程即可得解; 使用代入法求轨迹方程,设 为 ,设 为 ,再根据题意可得 两点坐标的关系 ,代入 ,从而得点 轨迹的极坐标方程. 【详解】(1) 曲线 : , , , ,在直角坐标系中,曲线 是以 为圆心, 为半径的圆, 曲线 的参数方程为 , 其中 为参数 ; (2)设 为 ,则 ,且 ,设 为 ,则根据题意可得: , ,又 ,且 , , , , , 点 轨迹的极坐标方程为 , . 2.以坐标原点为极点, 轴的非负半轴为极轴建立极坐标系,曲线 的极坐标方程为 . (1)求曲线 的直角坐标方程; (2)若 是 上一动点, ,作线段 的中垂线交直线 于点 ,求点 的轨迹方程. 【答案】(1) (2) 【分析】(1)根据极坐标与直角坐标方程的互化公式直接求解即可; (2)由题知点 的轨迹是以 为焦点,实轴长为 的双曲线,再求其方程即可. 【详解】(1)解:因为曲线 的极坐标方程为 , , 所以, ,即 , 所以,曲线 的直角坐标方程为 (2)解:因为 ,所以其直角坐标为 所以 为圆 的圆心,圆 的半径为 ,如图, , 所以,点 的轨迹是以 为焦点,实轴长为 的双曲线,记为 所以,焦距 , , , 因为 中点为 ,即曲线 的对称中心为 , 所以,点 的轨迹方程 ,即 .考点七、参数方程(三等分点型) 1.已知 的极坐标方程为 ,以极点O为坐标原点,极轴为x轴正半轴,建立平面直角坐标系, (1)求 的直角坐标方程, (2)过 作直线l交圆 于P,Q两点,且 ,求直线l的斜率. 【答案】(1) (2) 或 【分析】(1)利用极坐标与直角坐标互化公式即可求解; (2)设直线的倾斜角为 ,则直线的参数方程为 (t为参数),代入圆方程中化简,利 用根与系数的关系,结合已知和参数的几何意义即可求解. 【详解】(1)解:因为 的极坐标方程为: ,且 , 所以 , ,故 的直角坐标方程为 . (2)解:设直线的倾斜角为 , 则直线的参数方程为 (t为参数), 与 联立,得 . 点P对应的参数为 ,点Q对应的参数为 , 则 ,因为 ,所以 , 联立可得 ,解得: , 所以直线的斜率为 或 .2.在平面直角坐标系xOy中,直线l的参数方程为 (t为参数).以坐标原点O为极点,x轴的 正半轴为极轴建立极坐标系,曲线C的极坐标方程为 . (1)写出直线l的普通方程和曲线C的直角坐标方程: (2)在平面直角坐标系xOy中,设直线l与曲线C相交于A,B两点,若点 恰为线段AB的一个三等 分点,求正数m的值. 【答案】(1)l: ,C: (2) 【分析】(1)消去参数得直线的普通方程,利用 可得曲线的直角坐标方程; (2)把直线转化为标准形式,再用几何意义求解即可 (1)直线l的参数方程为 (t为参数),转换为普通方程为 ; 曲线C的极坐标方程为 ,根据 , 转换为直角坐标方程为 ; (2) 将直线l的方程转换为参数方程为 (n为参数),代入 ; 得到 ;所以 ; ;由于点 恰为线段AB的一个三等分点, 不妨设 ,由 , ,得 ; 又 ,解得 . 1.在直角坐标系 中,点 ,曲线C的参数方程为 ( 为参数),以坐标原点为 极点,x轴正半轴为极轴建立极坐标系,已知直线l的极坐标方程为 . (1)写出曲线C的普通方程和直线l的直角坐标方程; (2)设点M为C上的动点,点P满足 ,写出P的轨迹 的参数方程,并判断l与 是否有公共点. 【答案】(1) , :(2) ,( 为参数),直线l与圆 没有公共点。 【分析】(1)根据消参法可得曲线C的普通方程,利用极坐标与直角坐标之间的转化公式可得直线的直 角坐标方程. (2)设 ,设 ,根据 ,即可求得P的轨迹 的参数方程,表示圆,计算圆心到直线的距离,即可判断断l与 是否有公共点. 【详解】(1)因为曲线C的参数方程为 ( 为参数), 所以 ,即曲线C的普通方程为: , 因为 ,由 ,可得l的方程为: . (2)设 ,设 , 因为 , 所以 , 则 ,( 为参数), 故P的轨迹 的参数方程为 ,( 为参数), 所以曲线 为以 为圆心,半径为4的圆,而圆心 到直线l的距离为 , 因为 ,所以直线l与圆 相离,故直线l与圆 没有公共点. 2.在直角坐标系xOy中,曲线C的参数方程为 (t为参数),以坐标原点为极点,x轴正半轴为 极轴建立极坐标系,直线l的极坐标方程为 . (1)写出直线l的直角坐标方程; (2)设曲线C与x轴的交点为A,B(点A在点B的左侧),若直线l上存在点M,满足 ,求实 数m的取值范围. 【答案】(1) (2) 【分析】(1)利用三角函数的差角公式,整理直线方程,根据极坐标与直角坐标的转换公式,可得答案; (2)将参数方程整理为普通方程,求得 ,由题意,建立方程,将问题转化为直线与圆的位置问题, 可得答案. 【详解】(1)∵ ,∴ , 即 .又∵ , , ∴ ,即直线l的直角坐标方程为 ; (2)由 ,且 ,则曲线C的普通方程为 , 其与x轴的交点分别为 , . 设点 ,由 ,得 , 即 , ∴ ,它表示圆心为 ,半径为 的圆. ∵点 既在直线l上,又在圆E上,∴ ,即 ,∴ ,即实数m的取值范围为 . 考点八、参数方程(参数点型) 1.已知直线 过点 且倾斜角为150°,以坐标原点为极点, 轴的正半轴为极轴建立极坐标系,圆 C的极坐标方程为 . (1)求圆C的直角坐标方程; (2)点 是直线 与圆面 的公共点,求 的取值范围. 【答案】(1) (2) 【分析】(1)利用极坐标与直角坐标的互化公式直接求解即可, (2)设 ,圆C的圆心为 ,半径为2,将直线 的参数方程代入 得 , 而直线 过圆心 ,圆C的半径为2,从而可求出范围 (1)由 ,得 , 所以 ,即 (2)由(1)得圆C的圆心为 ,半径为2, 因为直线 过点 且倾斜角为150°, 所以直线 的参数方程为 ,即 ,( 为参数) 设 ,则 , 因为直线 过圆心 ,圆C的半径为2,点 是直线 与圆面 的公共点, 所以 ,所以 ,所以 ,所以 的取值范围为 2.在直角坐标系xOy中,曲线C的参数方程为 ,(t为参数). (1)求C的直角坐标方程; (2)点 是曲线C上在第一象限内的一动点,求 的最小值. 【答案】(1) (2) 【分析】(1)消去参数,求出普通方程,注意 ;(2)设出点P的三角函数坐标,其中 ,利用三角函数的运算得到 ,结合单调性,求出最小值. (1)由题可知 , ,所以 因为 .因为 , 所以C的直角坐标方程为 . (2)点P(x,y) 是曲线C上在第一象限内的一动点, 令 , , , 则 , 因为上式在 上单调递减,故当 时,取得最小值 . 1.在平面直角坐标系 中,以原点 为极点, 轴的非负半轴为极轴,建立极坐标系,曲线 的参数方 程为 为参数). (Ⅰ)求曲线 的极坐标方程; (Ⅱ)若曲线 向左平移一个单位,再经过伸缩变换 得到曲线 ,设 为曲线 上任一点,求 的最小值,并求相应点M的直角坐标. 【答案】(I) ;(Ⅱ) , 的坐标为 或 . 【详解】试题分析:(I)消参得曲线 的普通方程为 曲线 的极坐标方程为 ;(Ⅱ)利用变换公式求得曲线 的直角坐标方程为 ,再利用参数法结合三角函数求得最值及 相应坐标. 试题解析: (I)由 ( 为参数)得曲线 的普通方程为 得曲线 的极坐标方程为 . (Ⅱ) ,向左平移一个单位再经过伸缩变换 得到曲线 的直角坐标方程为 ,设 ,则当 时, 的最小值为 , 此时点 的坐标为 或 . 2.已知在平面直角坐标系 中,椭圆 的方程为 ,以 为极点, 轴非负半轴为极轴,取相 同的长度单位建立极坐标系,直线 的极坐标方程为 . (1)求直线 的直角坐标方程和椭圆 的参数方程; (2)设 为椭圆 上任意一点,求 的最大值. 【答案】(1)直线 的直角坐标方程为 ,椭圆 的参数方程为 为参数);(2)9. 【详解】试题分析:(1)根据题意,由参数方程的定义可得椭圆的参数方程,对直线 的极坐标方程利用 两角和的正弦展开,将 , 代入可得直线 的普通方程;(2)根据题意,设 ,进而分析可得 ,由三角函数的性质 分析可得答案. 试题解析:(1)由 ,得 , 将 代入,得直线 的直角坐标方程为 . 椭圆 的参数方程为 为参数). (2)因为点 在椭圆 上,所以设 , 则 , 当且仅当 时,取等号,所以 . 考点九、参数方程(最值 求参) 1.在直角坐标系 中,曲线 的参数方程为 ,直线 的参数方程为 .(1)若 ,求 与 的交点坐标; (2)若 时,曲线 上的点到 距离的最大值为 ,求 . 【答案】(1) , (2)8 【分析】(1)将曲线 化为标准方程,直线 的参数方程化为一般方程,联立方程可以求得交点坐标. (2)曲线 上的点可以表示成 ,应用点到直线的距离公式可以表示出 到直线 的距离, 再结合距离最大值为 进行分析,即可求出 的值. (1)曲线 的普通方程为 .当 时,直线 的普通方程为 . 由 解得 或 从而 与 的交点坐标为 , . (2)直线 的普通方程为 , 故 上的点 到 的距离为 . 当 时, 的最大值为 .由题设得 ,所以 . 2.在直角坐标系中,直线l的参数方程为 (t为参数).以直角坐标系的原点O为极点,x轴的非 负半轴为极轴建立极坐标系.在极坐标系中,曲线S的极坐标方程为 . (1)①求直线l的普通方程; ②当曲线S过极坐标系中的点 时,求曲线S的直角坐标方程. (2)若直线l与曲线S交于A、B两点,定点 ,且 .求m的值. 【答案】(1)① ;② (2) 【分析】(1)①两式相加消去参数t即可;②将点 代入,求出 ,再化成直角坐标方程; (2) 将曲线S的极坐标方程为化为直角坐标方程,再将直线的参数方程化成标准形式,联立可得 ,求解即可. (1) 解:①两式相加消去参数t,得直线l的普通方程为 ②将 , 代入 ,得 ,∴ ,得 ∴曲线S的极坐标方程为 ,将 , 代入, 得曲线S的直角坐标方程为 . (2)将曲线S的极坐标方程为 化为直角坐标方程为 . 将直线l的参数方程 (t为参数)转化成标准形式为 将此式代入 整理得 由 .解得 或 设A、B在直线l上对应的参数分别是 、 ,则 , 由 , ∵ ∴ , 整理得 (*)当 时由(*)得 或 , 当 时由(*)得 (舍去)故 . 1.在直角坐标系 中,曲线 的参数方程是 ( 为参数).以坐标原点为极点,x轴的 正半轴为极轴建立极坐标系,曲线 的极坐标方程为 , (1)求曲线 的直角坐标方程, (2)设A,B分别在曲线 上运动,若 的最小值是1,求m的值. 【答案】(1) , (2) 或 【分析】(1)利用三角消参得到曲线 的直角坐标方程;利用 得到 的直角坐标方 程; (2)利用几何法表示出最值,解得 或 . (1)由 消去参数,得 , 所以曲线 的直角坐标方程为 由 ,整理得 , 而 , 所以 ,即 的直角坐标方程为 . (2) 由(1)知曲线 是圆心为 ,半径 的圆, 则圆心 到直线 的距离为 . 所以 ,解得 或 .2.在平面直角坐标系中,已知直线l: .以平面直角坐标系的原点O为极点,x轴 的正半轴为极轴,建立极坐标系,圆C的极坐标方程为 . (1)求直线l的极坐标方程和圆C的一个参数方程; (2)若直线l与圆C交于A,B两点,且 ,求m的值. 【答案】(1) , ; (2) . 【分析】(1)根据极坐标与直角坐标转化公式即可求出直线极坐标方程,由极坐标与直角坐标转化公式 可得圆的直角坐标方程,再转化为参数方程即可; (2)求出圆心到直线的距离,再由半径、半弦长、弦心距间的关系列出方程求解即可. (1) 将 代入 得: 即直线l的极坐标方程为 . 由圆C的极坐标方程为 可得: 故圆C的参数方程为 . (2) 点 到直线l: 的距离 , 则 . 考点十、参数方程(复杂参数型最值与范围) 1.在平面直角坐标系xOy中有一点 ,圆C的方程为 点 为C上的动点, M为PQ的中点.以坐标原点为极点,x轴正半轴为极轴建立极坐标系. (1)求点M的轨迹 的极坐标方程; (2)设点N的直角坐标为 ,若直线l经过点N且与曲线 交于点E,F,弦EF的中点为D,求 的最大值. 【答案】(1) ;(2)【分析】(1)设出 ,由 结合 即可求出点M的轨迹 的直角坐 标方程,再由公式法转化为极坐标方程即可; (2)先写出直线l的参数方程,由直线l与曲线 交于点E,F求出倾斜角的范围,将参数方程代入 的 直角坐标方程,由参数的几何意义表示出 ,再由倾斜角的范围求出最大值即可. (1) 因为圆C的方程为 ,且点Q为C上的动点,所以点 满足 .设 , 因为M为PO的中点,所以 ,即有 ,所以 , 整理得 的轨迹方程为 ,又 ,则点M的轨迹 的极坐标方程为 ; (2) 直线l过点 ,设直线l的参数方程为 ( 为参数), 为直线l的倾斜角,如图, 当直线l与 相切于 点时, 易得 , ,由直线l与曲线 交于点E,F可得 ,将直线l的参数方程代入 的直 角坐标方程 得 ,设E,F对应的参数为 ,则D对应的参数为 ,所以 , , 故 ,即当 时, 的最大值为 . 2.在平面直角坐标系 中,已知直线 的参数方程为 ( 为参数),以坐标原点 为极点, 轴正半轴为极轴,建立极坐标系,曲线 的极坐标方程为 . (1)求直线 的普通方程和曲线 的直角坐标方程;(2)设点 ,直线 与曲线 的交点为 , ,求 的值. 【答案】(1) , (2) 【分析】(1)直接消去参数,将直线 的方程化为普通方程,利用互化公式将曲线 的极坐标方程转化 为直角坐标方程 (2)将直线的参数方程代入曲线 的普通方程,得到 ,得到 ,化简 ,代入韦达定理,即可得到答案 (1) 直线 的参数方程为 ( 为参数),消去参数 可得 的普通方程为 . 曲线 的极坐标方程为 ,即 ,根据 ,可得 . ∴曲线 的直角坐标方程为 (2)在直线 的参数方程 ( 为参数)中,设点 , 对应的参数分别为 , , 将直线 的参数方程 ( 为参数),代入 ,得 , ∴ , .∴ 1.在直角坐标系 中,以坐标原点为极点,x轴的正半轴为极轴建立极坐标系,已知点A的极坐标为 ,将点A按逆时针方向旋转 得到点B,按顺时针方向转 得到点C. (1)求点B和点C的极坐标,并求点B和点C的直角坐标; (2)设P为坐标系中的任意一点,求 的最小值. 【答案】(1)点B和点C的极坐标分别为 , ,点B和点C的直角坐标分别为 , (2)15 【分析】(1)根据极坐标的定义求出点B和点C的极坐标,再利用极坐标与直角坐标的互化公式可求出 其直角坐标,(2)设P的直角坐标为 ,然后表示出 ,化简配方后可得结果 (1) 由极坐标的定义可得点B和点C的极坐标分别为 , , 则点B和点C的直角坐标分别为 , . (2)因为A的极坐标为 ,所以A的直角坐标为 . 设P的直角坐标为 ,则 ,当 , 时, 取得最小值,且最小值为15. 2.已知曲线 ,直线 为参数). (Ⅰ)写出曲线 的参数方程,直线 的普通方程; (Ⅱ)过曲线 上任意一点 作与直线 夹角为 的直线,交 于点 ,求 的最大值与最小值. 【答案】(Ⅰ) , 为参数, ;(Ⅱ)最小值为 ,最大值为 . 【分析】(Ⅰ)由椭圆方程可得椭圆的参数形式,消参数 可得直线 的普通方程;(Ⅱ)由与直线 夹角 为 的直线过点 可得 的值为 到直线 的距离的2倍,再由点到直线的距离公式及三角函数的取值 范围可得 的最值 【详解】解:(Ⅰ)若 ,则曲线 , 为参数 由题意,消参数 可得直线 的普通方程: ; (Ⅱ)∵ 是曲线C上任意一点,且过P作与直线 夹角为 的直线,易知 是点 到直线 的距离的 两倍 ∴ ,其中 即可知: 的最小值为 ,最大值为 考点十一、参数方程(取得最值时求对应点的坐标型) 1.在平面直角坐标系xOy中,曲线 方程为: (t为参数),以坐标原点O为极点,x轴的 正半轴为极轴建立极坐标系,曲线 的极坐标方程为:(1)求曲线 的直角坐标方程; (2)已知点P、点Q分别是曲线 和 上的动点,求 的最小值以及取得最小值时P点坐标. 【答案】(1) ;(2)最小值 , . 【分析】(1)由极坐标方程,应用公式法得到直角坐标方程; (2)设 ,利用点线距离公式及对勾函数的性质求 最小值,并确定P点坐标. (1) 由 ,而 , 所以 的直角坐标方程为 . (2) 设 ,则P到 的距离为: , ∵ 或 ,则 , ∴ ,即 ,此时 则 . 2.在直角坐标系xOy中,直线l的参数方程为 (t为参数),以坐标原点为极点,x轴正半轴为极 轴建立极坐标系,曲线C的极坐标方程为ρ2+2ρcos θ+4ρsin θ+4=0. (1)求l的普通方程和C的参数方程; (2)已知点M是曲线C上任一点,求点M到直线l距离的最大值,并求出此时点M的坐标. 【答案】(1) ; (α为参数). (2)点M到直线l距离的最大值为 +1,此时点M的坐标为 . 【分析】(1)利用消元法求出l的普通方程;先求出C的普通方程,再化为参数方程; (2)利用参数方程求出点M到直线l距离的最大值,进而得到点M的坐标. (1) 因为直线l的参数方程为 (t为参数),两式相加消去t可得: ; 因为 ,所以ρ2+2ρcos θ+4ρsin θ+4=0可化为: ,化为参数方程为: (α为参数). (2)可设 ,则点M到直线l的距离为:所以 ,当且仅当 ,即 时取得,此时 ,所以 . 所以点M到直线l距离的最大值为 +1,此时点M的坐标为 . 1.已知曲线 的参数方程为 ( 为参数),直线 的极坐标方程为 ,以 坐标原点 为极点, 轴的正半轴为极轴建立极坐标系. (1)求曲线 的普通方程和直线 的直角坐标方程; (2)设点 在曲线 上,点 在直线 上,求 的最小值及此时点 的坐标. 【答案】(1) ; .(2) ,点 的坐标为 . 【分析】(1)根据消参法可得曲线 的普通方程,根据极坐标与直角坐标的转化公式可得直线 的直角坐 标方程; (2)设点 的坐标为 ,利用点到直线的距离公式可表示点 到直线 的距离,结合三角 函数的性质可求得答案. (1) 由曲线 的参数方程 ( 为参数),得 , , 所以曲线 的普通方程为 . 由直线 的极坐标方程 ,得 . 将 , 代入上式,得直线 的直角坐标方程为 . (2) 由题意,可设点 的坐标为 , , 则点 到直线 的距离 . 当 时, ,所以 ,此时点 的坐标为 . x3x 2.在直角坐标系 中,曲线 经过伸缩变换 后得到曲线 ,以原点O为极点,x轴 y y C 2 π 的正半轴为极轴建立极坐标系,直线l的极坐标方程为:sin 2 2.  6 (1)写出曲线C 的参数方程和直线l的直角坐标方程; 2 (2)已知点P为曲线C 上一动点,求点P到直线l距离的最小值,并求出取最小值时点P的直角坐标. 2 x3cos, 【答案】(1) ( 为参数), (2)最小值 ,此时点P的坐标为 ysin,  x 3y4 2 0 2 2 3  3 3 1  ,  2 2   【分析】(1)根据伸缩变换的公式,结合两角和的正弦公式、直角坐标方程与极坐标方程互化公式进行 求解, (2)根据参数方程,利用点到直线距离公式,结合辅助角公式进行求解 xcos, x3x 【详解】(1)由题意,曲线 的参数方程为 ( 为参数),经过伸缩变换 , C 1 ysin,  y y x3cos,  π  3 1  曲线 C 的参数方程为 ysin, (  为参数),由sin   6   2 2得:   2 sin 2 cos   2 2, 2 化为直角坐标方程为x 3y4 2 0 (2)设P(3cos,sin),[0,2π),点P到直线l的距离为  π 2 3sin 4 2 |3cos 3sin4 2|  3 , d   2 2  π π 3π 当sin 1时,即  ,得 7π 时,点P到直线l的距离d取到最小值 ,  3 3 2 6 2 2 3  3 3 1 此时,点P的坐标为 , . 2 2   考点十二、参数方程(交点求参数型)  3 x2a t  2 1.在平面直角坐标系 中,直线 的参数方程为 ( 为参数),以 为极点, 轴的非负  1 y t xOy l  2 t O x 4 半轴为极轴建立极坐标系,曲线 的极坐标方程为2  . C 13sin2 (1)求直线l和曲线C的直角坐标方程;  x x (2)若曲线 经过伸缩变换 2得到曲线 ,若直线 与与曲线 有公共点,试求 的取值范围. C  y y C l C a x2 【答案】(1) l:x 3y2a0 , 4 y2 1(2)1,1 4 【分析】(1)消去参数 即可得直线的方程, 2  可整理为 ,从而得 t 13sin2 2cos242sin24到曲线C的直角坐标方程; x2x x2 (2)由已知可推得 ,代入 y2 1可得,曲线 的方程是 ,该方程表示的轨迹为圆, y y 4 C x2y2 1 根据直线与圆的位置关系即可得到a的取值范围.  3 x2a t  2 【详解】(1)由题 ( 为参数),消去参数 得直线 ;  1 y t  2 t t l:x 3y2a0 4 4 2  ,即2  ,即 , 13sin2 cos24sin2 2cos242sin24 x2 化为直角坐标方程可得, ,即 y2 1, x24y2 4 4 x2 即曲线 的直角坐标方程为 y2 1. C 4  x x (2)由 2得x2x ,又x2 ,所以2x2 ,即 ,  y y  y y 4 y2 1 4 y2 1 x2 y2 1 所以曲线C的方程是x2y2 1,轨迹为圆,圆心为 0,0 ,半径为1, 则直线l与与曲线C有公共点,需满足圆心 0,0 到直线l:x 3y2a0的距离d 1,即 2a d  1 ,即 , 12( 3)2 a 1 解得1a1.所以a的取值范围是 1,1 . xcos2 2.在直角坐标系xOy中,曲线C的参数方程为 ( 为参数),以坐标原点为极点,x轴正半轴 y2sin   π 为极轴建立极坐标系,已知直线l的极坐标方程为cos m.  6 (1)写出曲线C和直线l的直角坐标方程; (2)若m0,且直线l与曲线C没有公共点,求m的取值范围. y2 【答案】(1)曲线C的直角坐标方程为x 11x1;直线l的直角坐标方程为 ;(2) 2 3xy2m0 7 3    , . 12   【分析】(1)结合余弦的二倍角公式消去参数,可得曲线C的直角坐标方程,将直线l的极坐标方程化 简后利用极坐标与直角坐标的互化公式可求得直线l的直角坐标方程; (2)将曲线C的参数方程代入到直线l的直角坐标方程化简得2 3sin22sin2m 30,则由题意 得2m2 3sin22sin 3无解,令sina, f a2 3a22a 3 1a1,利用二次函数的 性质求出 f a 的最值,再结合m0可求得结果. y y2 【详解】(1)由题知,sin ,又 ,所以x12sin21 , 2 cos212sin2 2y2   即曲线C的直角坐标方程为x 11x1.因为直线l的极坐标方程为cos m, 2  6 3 1 所以 cos sinm0,又因为 , 2 2 sin y cosx 3 1 所以直线l的直角坐标方程为 x ym0,即 . 2 2 3xy2m0 xcos2 (2)联立l与C的方程,将 代人 中, y2sin 3xy2m0 可得2 3sin22sin2m 30,要使l与C没有公共点,则2m2 3sin22sin 3无解. 3 令 , f a2 3a22a 3 1a1,其对称轴为a ,开口向下, sina 6  3 7 3 所以 f a max  f    6     6 , f a  f 12 3 .因为 m0 ,所以2m 7 6 3 ,即m 7 12 3 ,所 min 7 3  以m的取值范围为  , . 12   xtcossin 1.在直角坐标系 中,曲线 的参数方程为 ( 为参数, )以 为极点, 轴 xOy C  ytcossin  t0 O x   正半轴为极轴建立极坐标系,直线 的极坐标方程为sin 2 2 0. l  4 (1)若t1,写出曲线C普通方程和直线l的直角坐标方程; (2)若l与C恰一个公共点,求t的值. 【答案】(1)x2 y2 2,xy40(2)t 2或t 2 【分析】(1)消参法求曲线方程,根据xcos,ysin可得l方程; (2)曲线C是一个圆,直线与圆只有一个交点即圆心到直线的距离为半径可求得t. xcossin 【详解】(1)若 ,则曲线 的参数方程为 ( 为参数, ) t1 C ycossin  t0 2cosxy  ,两式平方相加,消参数 得曲线 的普通方程为 , 2sin yx  C x2 y2 2  π 由sin 2 2 0化简得 ∵ , ,  4 cossin40 xcos ysin ∴直线l的直角坐标方程为xy40. xtcossin (2)曲线 的参数方程为 ( 为参数, ), C  ytcossin  t0 普通方程为x2y2 2t2是圆心在原点,半径为 2t 的圆, 若l与C恰一个公共点,即直线与圆相切, 4 原点到直线 的距离为d   2 t ,解得 或 . xy40 2 t 2 t 2x 3cos 2.在直角坐标系 中,曲线C的参数方程为 (θ为参数, ),以坐标原点为极点, xOy ysin 0  π 2 x轴正半轴为极轴建立极坐标系,已知直线 的极坐标方程为sin  m. l  4 2 (1)求直线l的直角坐标方程; (2)若l与C有公共点,求m的取值范围. 【答案】(1)xym0(2) 3m2 2 2 2 【分析】(1)展开方程为 sin cos m,根据 , ,代入即可求解; 2 2 2 sin y cos x  π (2)联立 与C的方程可得2sin m0,转化交点问题为方程有解问题,根据 范围求得 l  3   π 2sin 范围,即可求解.  3  π 2 【详解】(1)因直线 的极坐标方程为:sin  m, l  4 2 2 2 2 所以 sin cos m,又因为 , , 2 2 2 sin y cos x 2 2 2 所以直线 的直角坐标方程为 x y m,即 . l 2 2 2 xym0 x 3cos (2)联立 与C的方程,即将 ( 为参数, )代入 的直角坐标方程 中, l ysin  0π l xym0  π   可得 ,即2sin m0.要使 与 有公共点,则2sin m0π 有解, 3cossinm0  3 l C  3 π π 4π 3  π 因为 ,所以   ,所以 sin 1, 0π 3 3 3 2  3  π 所以 32sin 2 所以 .  3  3m2 【基础过关】 1.(2022年高考全国乙卷数学(文)真题)在直角坐标系 中,曲线C的参数方程为 ,(t 为参数),以坐标原点为极点,x轴正半轴为极轴建立极坐标系,已知直线l的极坐标方程为 . (1)写出l的直角坐标方程; (2)若l与C有公共点,求m的取值范围. 【答案】(1) (2) 【分析】(1)根据极坐标与直角坐标的互化公式处理即可; (2)方法一:联立l与C的方程,采用换元法处理,根据新设a的取值范围求解m的范围即可.【详解】(1)因为l: ,所以 , 又因为 ,所以化简为 , 整理得l的直角坐标方程: (2)[方法一]:【最优解】参数方程 联立l与C的方程,即将 , 代入 中, 可得 , 化简为 , 要使l与C有公共点,则 有解, 令 ,则 ,令 , , 对称轴为 ,开口向上, , , ,即m的取值范围为 . [方法二]:直角坐标方程 由曲线 的参数方程为 , 为参数,消去参数 ,可得 , 联立 ,得 ,即 ,即有 ,即 , 的取值范围是 . 【整体点评】方法一:利用参数方程以及换元,转化为两个函数的图象有交点,是该题的最优解; 方法二:通过消参转化为直线与抛物线的位置关系,再转化为二次函数在闭区间上的值域,与方法一本质 上差不多,但容易忽视 的范围限制而出错. 2.(2019年全国统一高考数学试卷(文科)(新课标Ⅰ))在直角坐标系xOy中,曲线C的参数方程为 (t为参数),以坐标原点O为极点,x轴的正半轴为极轴建立极坐标系,直线l的极坐标方程 为 . (1)求C和l的直角坐标方程; (2)求C上的点到l距离的最小值. 【答案】(1) ; ;(2) 【分析】(1)利用代入消元法,可求得 的直角坐标方程;根据极坐标与直角坐标互化原则可得 的直角 坐标方程;(2)利用参数方程表示出 上点的坐标,根据点到直线距离公式可将所求距离表示为三角函 数的形式,从而根据三角函数的范围可求得最值. 【详解】(1)由 得: ,又整理可得 的直角坐标方程为: 又 , 的直角坐标方程为: (2)设 上点的坐标为: 则 上的点到直线 的距离 当 时, 取最小值 则 【点睛】本题考查参数方程、极坐标方程与直角坐标方程的互化、求解椭圆上的点到直线距离的最值问题. 求解本题中的最值问题通常采用参数方程来表示椭圆上的点,将问题转化为三角函数的最值求解问题. 3.(2014年全国普通高等学校招生统一考试理科数学(新课标Ⅰ))已知曲线 ,直线 : ( 为参数). (I)写出曲线 的参数方程,直线 的普通方程; (II)过曲线 上任意一点 作与 夹角为 的直线,交 于点 , 的最大值与最小值. 【答案】(I) ;(II)最大值为 ,最小值为 . 【详解】试题分析:(I)由椭圆的标准方程设 ,得椭圆的参数方程为 ,消去 参数 即得直线的普通方程为 ;(II)关键是处理好 与角 的关系.过点 作与 垂直的 直线,垂足为 ,则在 中, ,故将 的最大值与最小值问题转化为椭圆上的点 , 到定直线 的最大值与最小值问题处理. 试题解析:(I)曲线C的参数方程为 ( 为参数).直线 的普通方程为 . (II)曲线C上任意一点 到 的距离为 .则 .其中 为锐角,且 . 当 时, 取到最大值,最大值为 . 当 时, 取到最小值,最小值为 .4.(2023年四川省模拟数学理科试题)在直角坐标系 中,曲线M的参数方程为 ( 为参数, ),曲线N的方程为 ,以坐标原点O为极点, 轴的正半轴为极轴,建立极坐标 系. (1)求曲线M,N的极坐标方程; (2)若射线 与曲线M交于点A(异于极点),与曲线N交于点B,且 ,求 . 【答案】(1) , (2) 【分析】(1)先化成直角坐标方程,然后由 即可化为极坐标方程. (2)把 分别代入(1)中所求得的表达式得 ,结合已知即可求解. 【详解】(1)由题意曲线M的参数方程为 ( 为参数, ), 可得 ,即 , 又由 ,可得 , 所以曲线M的极坐标方程为 , 由 ,可得 ,即 , 即曲线N的极坐标方程为 . (2)将 代入 ,可得 , 将 代入 ,可得 则 , 因为 ,所以 , 又因为 ,所以 .5.(2023年河南省名校教研联盟押题考试理科数学试题)在极坐标系Ox中,圆 , 直线 . (1)在以O为原点,极轴为x轴的正半轴建立的直角坐标系xOy中,求C的标准方程和l的方程; (2)以M为圆心的圆与圆C外切,且与l也相切,求M轨迹的极坐标方程. 【答案】(1)C的标准方程为 ,l的方程为 ; (2) 【分析】(1)利用 和 ,得到C的标准方方程和l的方程; (2)设 ,由相切关系得到方程,求出M的轨迹方程为 ,转化为极坐标方程即可. 【详解】(1)分别将 和 ,代入 , 得 ,C的标准方程为 . 因为直线 ,所以l的方程为 . (2)设 ,且易知 ,则 , 所以 ,即 . 故M的轨迹方程为 , 所以M轨迹的极坐标方程为 . 6.(2024届陕西省联考模拟预测文科数学试题)在平面直角坐标系 中,直线 的参数方程为 ( 为参数),以 为极点, 轴的正半轴为极轴建立极坐标系,曲线 的极坐标方程为 . (1)求直线 的极坐标方程; (2)若直线 与曲线 交于 两点,求 的值. 【答案】(1) ;(2) ; 【分析】(1)将直线的参数方程化为普通方程,可知直线 过原点,且倾斜角 ,即可求得直线 的极 坐标方程为 ; (2)联立直线和曲线 的极坐标方程解得 ,根据极径的几何意义即可求得 . 【详解】(1)消去直线 参数方程中的参数 得 ,即 ,显然直线 过原点,倾斜角 满足 ,且 ,可得 , 所以直线 的极坐标方程为 . (2)把 代入 得 , 解得 , 由极坐标几何意义可得 , 所以 . 7.(2023年陕西省模拟理科数学试题)在直角坐标系 中,直线 的参数方程为 为参数). 以坐标原点 为极点, 轴的正半轴为极轴建立极坐标系,曲线 的极坐标方程为 . (1)求 的普通方程和 的直角坐标方程; (2)当 与 有公共点时,求实数 的取值范围. 【答案】(1) ; ;(2) ; 【分析】(1)由直线 的参数方程消去参数 ,得到直线 的普通方程,再由极坐标与直角坐标的互化公式, 即可求得曲线的 的直角坐标方程; (2)由(1),结合直线 与曲线 有公共点,得到 ,即可求解. 【详解】(1)解:由直线 的参数方程为 为参数 ,消去参数 ,可得 , 所以直线 的普通方程为 . 又由曲线 的极坐标方程 , 根据极坐标与直角的互化公式 ,可得 0, 即 , 所以曲线 的直角坐标方程为 . (2)解:由(1)知曲线 的直角坐标方程为 , 因为 ,所以曲线 表示圆心为 ,半径为 的圆. 要使直线 与曲线 有公共点,必须满足:圆心到直线 的距离 ,解得 ,即实数 的取值范围为 . 8.(2024届四川省高考适应性考试(零诊)文科数学试题)在直角坐标系 中,曲线 的参数方程为 ( 为参数),以原点为极点, 轴正半轴为极轴建立极坐标系,直线 的极坐标方程为 . (1)求曲线 的普通方程和直线 的直角坐标方程; (2)已知点 的直角坐标为 ,曲线 与直线 交于 , 两点,求 的值. 【答案】(1) , ;(2)4; 【分析】(1)根据曲线的参数方程与直线的极坐标方程转化为普通方程即可; (2)根据题意写出直线 的参数方程,再将其代入曲线 的普通方程中,化简后,利用参数的几何意义即 可求解. 【详解】(1)由 ,得 ,代入 ,得 , 所以曲线 的普通方程为 , 由 , 得 ,即 , 所以直线 的直角坐标方程为 . (2)由点 在直线 上, 则设直线 的参数方程为 ( 为参数), 代入 中,得 , 设点 , 对应的参数分别为 , ,则 , , 所以 .9.(2023年陕西省三模理科数学试题)已知曲线 的参数方程为 ( 为参数),以直角坐标 原点O为极点,x轴的正半轴为极轴建立极坐标系.曲线 的极坐标方程 . (1)求 的直角坐标方程; (2)若曲线 与曲线 、曲线 分别交于A,B两点,点 ,求 的面积. 【答案】(1) ;(2) ; 【分析】(1)由参数方程消参计算即可,注意取值范围; (2)将 方程化为极坐标方程,分别求交点 的坐标,由三角形面积公式计算即可. 【详解】(1)由 消去参数 ,得 , 因为 , 所以曲线 的直角坐标方程为 ; (2)因为 ,所以曲线 的极坐标方程为 ; 由 得: ,所以曲线 与曲线 交于点 , 由 得: ,所以曲线 与曲线 : 交于点 , 则 . 10.(2024届陕西省、青海省部分名校联考理科数学试题)在平面直角坐标系 中,曲线 的参数方程 为 ( 为参数),直线 的方程为 .以O为极点,以x轴非负半轴为极轴建立极 坐标系. (1)求曲线 和直线 的极坐标方程; (2)若直线 与曲线 交于M,N两点,求 的值. 【答案】(1) : ; : ;(2)4; 【分析】(1)根据同角的三角函数关系式中平方和关系,结合极坐标与直角坐标互化公式进行求解即可; (2)根据一元二次方程根与系数的关系进行求解即可.【详解】(1)曲线 的参数方程为 ( 为参数), 其普通方程为 ,即 , 则 的极坐标方程为 . 直线 的方程为 , 所以直线 的极坐标方程为 . (2)设 , , 将 代入 , 得 , 所以 , 所以 . 11.在直角坐标系 中,过定点 且倾斜角为 的直线 与曲线 ( 为 参数)相交于不同两点 、 ,以坐标原点为极点, 轴非负半轴为极轴建立极坐标系. (1)写出直线 的参数方程和曲线 的极坐标方程; (2)若 ,求曲线 中心到直线 的距离. 【答案】(1) ( 为参数), ;(2) ; 【分析】(1)利用直线的参数方程可得出直线 的参数方程,将曲线 的参数方程化为普通方程,再利用 普通方程与极坐标方程之间的转换关系可得出曲线 的极坐标方程; (2)将直线 的参数方程代入曲线 的普通方程,由 结合韦达定理可求出 的值,可求 得直线 的斜率,再利用点到直线的距离公式可求得结果. 【详解】(1)解:因为直线 过定点 且倾斜角为 , 则直线 的参数方程为 ( 为参数), 在曲线 的参数方程中消去参数 可得 , 利用普通方程与极坐标方程之间的转换关系可得出 的极坐标方程为 ,所以,曲线 的极坐标方程为 . (2)解:将直线 的参数方程代入曲线 的普通方程可得 , 可得 ,则 , 设点 、 在直线 上对应的参数分别为 、 , 所以, ,可得 ,则 , 所以,直线 的斜率 满足 , 则直线 的方程为 ,即 , 因此,曲线 的中心 (坐标原点)到直线 的距离为 . 12.(2023年陕西省校模考(一)数学(文)试题)在直角坐标系 中,曲线 的参数方程为 ( 为参数),以坐标原点为极点, 轴的正半轴为极轴建立极坐标系,已知直线 的极坐 标方程为 ,且直线 与两坐标轴围成的三角形的面积为2. (1)求直线 的直角坐标方程; (2)若直线 与曲线 交于 , 两点,求 . 【答案】(1) ;(2) ; 【分析】(1)变形得到 ,由 得到 的直角坐标方程为 , 利用其与两坐标轴围成的三角形面积求出 ,得到答案; (2)消去参数得到曲线 的普通方程,联立直线方程 ,求出 坐标,求出 . 【详解】(1)直线 的极坐标方程为 , 即 , 因为 ,所以 , 令 得 ,令 得 , 故直线 与两坐标系围成的三角形的面积为 ,解得 或 (舍去), 故直线 的直角坐标方程为 ; (2)由于 ,故曲线 的普通方程为 , 联立 与 得 ,解得 或4, 当 时, ,当 时, , 不妨设 , . 13.(2023年四川省全真模拟考试(二)理科数学试题)在平面直角坐标系 中,曲线 的参数方程为: ( 为参数).以坐标原点 为极点, 轴的非负半轴为极轴,取相同的长度单位,建立 极坐标系,曲线 的极坐标方程为: ,且曲线 与曲线 相交于A,B两点. (1)求实数 的取值范围; (2)若 ,求实数 的值和直线AB的极坐标方程. 【答案】(1) ;(2) ; 或 ; 【分析】(1)先将曲线 的参数方程和曲线 的极坐标方程转华为直角坐标方程,进而结合圆和圆的位 置关系求解即可; (2)将曲线 与曲线 的直角坐标方程相减可得直线AB的直角坐标方程,进而求出曲线 的圆心 到直线AB的距离,结合勾股定理列出方程即可求解. 【详解】(1)因为 ,所以 , 即 ,圆心为 ,半径为2, 又因为曲线 的极坐标方程为 , 所以 ,即 , 即 ,圆心为 ,半径为2, 又曲线 与曲线 相交于A,B两点, 所以 ,即 , 则实数 的取值范围为 .(2)将曲线 与曲线 的直角坐标方程相减,可得 , 则直线AB的直角坐标方程为 . 又因为曲线 的圆心 到直线AB的距离为 , 又 ,所以 ,解得 , 则直线AB的直角坐标方程为 , 所以直线AB的极坐标方程为 或 . 14.(2023年河南省部分名校仿真模拟理科数学试题)在直角坐标系 中,曲线 的参数方程为 ( 为参数),以坐标原点为极点, 轴正半轴为极轴建立极坐标系,直线 的极坐标方程为 . (1)求曲线 的普通方程和直线 的直角坐标方程; (2)求 上的动点到直线 距离的取值范围. 【答案】(1) , (2) 【分析】(1)根据参数方程化普通方程、极坐标方程与直角坐标方程的互化原则直接化简整理即可; (2)设动点为 ,利用点到直线距离公式可将所求距离转化为与正弦型函数有关的值域求解 问题,由此可求得结果. 【详解】(1)由 得: ,即曲线 的普通方程为 ; 由 得: , , ,即直线 的直角坐标方程为 . (2)由曲线 的参数方程可知: 上动点坐标可写为 , 则该动点到直线 的距离 ,则当 时, ;当 时, ; 上的动点到直线 距离的取值范围为 . 15.(2023年陕西省模拟理科数学试题)在直角坐标系 中,曲线 的参数方程为 ( 为参数).以坐标原点 为极点, 轴的正半轴为极轴建立极坐标系,直线 的极坐标方程是 . (1)求 的普通方程和 的直角坐标方程; (2)已知点 ,直线 与 交于 两点,求 的面积. 【答案】(1) , ;(2) ; 【分析】(1)根据参数方程化普通方程、极坐标与直角坐标互化原则直接转化即可; (2)利用垂径定理可求得 ,利用点到直线距离公式可求得点 到直线 的距离,代入三角形面积公式 即可. 【详解】(1)由 得: ,即 的普通方程为: ; 由 得: ,即 的直角坐标方程为: . (2)由(1)知:曲线 是以 为圆心, 为半径的圆, 圆心到直线 的距离 , ; 又点 到直线 的距离 , . 16.(2023年四川省考前冲刺模拟(二)理科数学试题)在平面直角坐标系 中,直线 的参数方程为 (其中 为参数, ).以直角坐标系的原点为极点, 轴正半轴为极轴建立极坐标系,曲线 的极坐标方程为 . (1)求直线 的普通方程和曲线 的直角坐标方程; (2)设直线 与曲线 交于 、 两点,曲线 与 轴正半轴交于点 ,若 的面积是 ,求 . 【答案】(1) , ;(2) 或 ; 【分析】(1)利用参数方程与普通方程之间的抓换关系可得出直线 的普通方程,利用极坐标方程与直角 坐标方程之间的转换关系可得出曲线 的直角坐标方程;(2)设点 ,其中 ,利用三角形的面积公式结合 可求出 的值, 进而可求得 的值,结合两点间点的距离公式可求得 的值. 【详解】(1)解:在直线 的参数方程中消去参数 可得 ,即直线 的普通方程为 , 因为曲线 的极坐标方程为 ,即 ,即 , 故曲线 的直角坐标方程为 . (2)解:曲线 的参数方程为 ( 为参数,且 ), 设点 ,其中 , 易知,直线 过原点,则 、 关于原点对称,易知点 , 所以, , 又因为 ,可得 , 所以, , 所以, , 当 时, ;当 时, . 综上所述, 或 . 17.在同一平面直角坐标系中,已知伸缩变换 (1)求点 经过 变换得到的点 的坐标; (2)点B经过 变换得到点 ,求点B 的坐标. 【答案】(1) ;(2) ; 【分析】根据题意结合 变换的定义运算求解即可. 【详解】(1)由题意可得 ,则 ,可得 ,所以点 的坐标为 . (2)由题意可得 ,则 ,可得 , 所以点B 的坐标为 . 【能力提升】  x 2 2t, 1.在直角坐标系 中,直线 的参数方程为 ( 为参数),以坐标原点 为极点, 轴为 xOy l y 2t t O x 正半轴建立极坐标,椭圆C的极坐标方程为2cos222sin24,其右焦点为F ,直线l与椭圆C交于 A,B两点. (1)求|FA||FB|的值; (2)若点P是椭圆上任意一点,求PAB的面积最大值. 8 4( 31) 【答案】(1) (2) 3 3 【分析】(1)根据极坐标方程可得椭圆C的标准方程,又直线l经过点椭圆焦点F ,将直线参数方程代入 椭圆方程,得坐标关系,即可得|FA||FB|的值; (2)设点P坐标为(2cos, 2sin),直线l的直角坐标方程为xy 2 0,由点到直线的距离,结合三 角函数的图象性质求得距离最大值,即可求得PAB的面积最大值. x2 y2 【详解】(1)由 得椭圆 的方程为  1,其焦点 坐标为 , 2cos222sin24 C 4 2 F ( 2,0)  x 2 2t 由题意得直线 经过点 ,其参数方程为 ( 为参数), l F y 2t t 2 1 代入椭圆 的方程整理得 ,所以t t  ,tt  , C 3t22t10 1 2 3 12 3 所以 FA  FB   x  2 2 y2   x  2 2 y2 2t 2t 2t t 2 t t 24tt 2 4 4 1  8 . 1 1 1 1 1 2 1 2 1 2 12 9 3 3 x2 y2 (2)由椭圆方程  1,可设点P坐标为 , 4 2 (2cos, 2sin) 又直线l的直角坐标方程为xy 2 0, |2cos 2sin 2| | 6cos() 2| 2 ∴点P到直线l的距离d   ,其中tanφ , 2 2 2 1 8 所以 ,因为S  |AB|d,|AB||FA||FB| , d  31 △PAB 2 3 max 4( 31) 所以 的面积最大值为 . PAB 3 x 3(sincos) 2.在平面直角坐标系 中,曲线C的参数方程为 ( 为参数),以坐标原点 为 xOy y 2(sincos)  O  π 2 极点, 轴正半轴为极轴建立极坐标系,直线 的极坐标方程为cos  . x l  4 2 (1)求直线l和曲线C的直角坐标方程; 12 1 (2)从原点 引一条射线分别交曲线 和直线 于 两点,求  的最大值. O C l M,N |OM |2 |ON |2 x2 y2 7 5 【答案】(1)直线 的直角坐标方程为: ,曲线 的直角坐标方程为:  1.(2) l xy10 C 6 4 2 【分析】(1)消去参数可得曲线C的直角坐标方程;利用两角和的余弦公式和cosx,sin y 可得直线l的直角坐标方程; (2)设射线方程为(0,0π),将曲线C的直角坐标方程化为极坐标方程,并将代入可 12 1 得 ,将 代入 可得 ,再利用辅助角公式可求出  的最大值. |OM |  cossin10 |ON| |OM |2 |ON |2  x 3(sincos) x2 y2 【详解】(1)由 ,得  (sincos)2(sincos)2 , y 2(sincos) 3 2 2 x2 y2 即  1, 6 4 x2 y2 所以曲线 的直角坐标方程为:  1. C 6 4  π 2 π π 2 由cos  ,得coscos sinsin  ,  4 2 4 4 2 2 2 2 得 cos sin ,即 , 2 2 2 cossin10 将cosx,sin y代入得xy10, 所以直线l的直角坐标方程为:xy10. x2 y2 综上所述:直线 的直角坐标方程为: ,曲线 的直角坐标方程为:  1. l xy10 C 6 4 (2)设射线方程为(0,0π), x2 y2 2cos2 2sin2 将 , 代入  1,得  1, cosx sin y 6 4 6 4 1 cos2 sin2 得   , 2 6 4 1 cos2 sin2 1 cos2 sin2 1 cos2 sin2 将 代入   ,得   ,得   ,  2 6 4 2 6 4 |OM |2 6 4  π 2 1 π 由cos  ,得  2cos( ),  4 2  4 1 π 1 π π 5π 1 π 将 代入  2cos( ),得  2cos( )([0, )( ,2π)),,得 2cos2( ),所   4  4 4 4 |ON|2 4 12 1 π 以  2cos23sin22cos2( ) |OM |2 |ON |2 4 2 2 2cos23sin22(cos sin )2 2 2 2cos23sin2(cossin)22cos23sin2cos22sincossin23sin2sin2 1cos2 1 7 5 5 2 5 7 3 sin2 cos2sin2  (cos2 sin2 ) 2 2 2 2 5 5 2 5 7 2 5 5  cos(2) (其中sin ,cos , ), 2 2 5 5 tan2 π 5π π 5π 因为[0, )( ,2π),所以2[0, )( ,4π), 4 4 2 2 π π π 又 (0, ),所以2( , )(2π,4π),  2 2 2 3  2 5 5 所以当 时,即 ,即 π (其中sin ,cos , )时, cos(2)1 2 3π 2 2 5 5 tan2 12 1 7 5  取得最大值 . |OM |2 |ON |2 2 x2tcos, 3.面直角坐标系 中,直线 的参数方程为 (t为参数, ),曲线 的参数方 xOy C ytsin, 0π C 1 2 x1sin2, 程为 ( 为参数),以坐标原点 为极点,以 轴正半轴为极轴建立极坐标系.  y2sincos,  O x (1)求曲线C 的极坐标方程; 2 (2)若点P2,0 ,直线C 与曲线C x0 交于A,B两点,且 PA 2 PB ,求直线C 的普通方程. 1 2 1 【答案】(1)sin24cos,cos0,2 (2)2xy40或2xy40 【分析】(1)根据参数方程与普通方程,直角坐标方程与极坐标方程的互化公式互化求解即可; (2)根据直线参数方程几何意义求解即可. x1sin2, 【详解】(1)因为曲线 的参数方程为 ( 为参数), C  y2sincos,  2 所以消去参数得曲线C 的普通方程为y2 4x,x0,2 , 2 所以,由xcos,ysin得2sin24cos,即sin24cos,cos0,2 , 所以,曲线C 的极坐标方程为sin24cos,cos0,2 . 2 x2tcos, (2)根据题意,将 代入 得 , ytsin, y2 4x t2sin24tcos80 设A,B两点对应的参数分别为t ,t , 1 2 则sin20,16cos232sin21616sin20. 4cos 8 所以,t t  ,tt  . 1 2 sin2 12 sin2 因为 PA 2 PB ,所以,|t |2|t |, 1 2 8 又因为tt  0,所以 , 12 sin2 t 2t 1 2 2 所以t  , 2 sin 2 4cos 所以,当t  时,代入t t  得 ,此时 的普通方程 ,即 2 sin 1 2 sin2 tan=- 2 C 1 y2(x2) 2xy40;2 4cos 当t  时,代入t t  得 ,此时 的普通方程 ,即 ; 2 sin 1 2 sin2 tan2 C y2(x2) 2xy40 1 所以,直线C 的普通方程为2xy40或2xy40 1  2sin2 x1 ,  cos2sin2 4.在平面直角坐标系xOy中,曲线C的参数方程为 (α为参数),以坐标原点为极  2sincos y  cos2sin2 π 点,x轴正半轴为极轴建立极坐标系,直线 的极坐标方程为 R. l 6 (1)求C的普通方程与l的直角坐标方程; (2)求l与C交点的极坐标. 3  π  7π 【答案】(1)C的普通方程为 , 的直角坐标方程为y x;(2)2, ,2, . x22y2 1 l 3  6  6  【分析】(1)结合三角函数恒等变换消去参数可得C的普通方程,利用xcos,ysin将极坐标方 程转化为普通方程; (2)联立方程组求交点的直角坐标,再将其转化为极坐标.  2sin2  1   x1 cos2sin2 ,   x cos2 ①, 【详解】(1)因为 所以  2sincos  2 y , y tan2②,  cos2sin2  2 1 sin22 得x22y2   1,.. ①22②2 cos22 cos22 π 3 sin 3 3 3 3 由 ,得tan ,  ,sin cos,所以sin cos,所以y x, 6 3 cos 3 3 3 3 3 所以C的普通方程为 ,l的直角坐标方程为y x. x22y2 1 3 x22y2 1  (2)联立 3 得 x 3或 x 3,所以l与C交点的直角坐标分别为 , ,设   y 3 x  y1  y1  3,1    3,1    点 3,1 的极坐标为,,0,0,2π, 1 1 1 1 3 1 π 则 ,cos  ,sin  ,所以 , ,  312 1 2 1 2 2 1 6 1 1  π  7π 所以点 3,1 的极坐标为2, ,同理可得点  3,1 的极坐标为2, ,  6  6   π  7π 故 与 交点的极坐标为2, ,2, . l C  6  6   1 x 5.在直角坐标系xOy中,已知直线l的方程为 ,曲线C的参数方程为 cos(α为参 2x 2y10  ytan 数).以O为极点,x轴的正半轴为极轴建立极坐标系. (1)求直线l的极坐标方程和曲线C的普通方程; 1 1 1 (2)设直线ykxk 0与曲线C相交于点A,B,与直线l相交于点C,求 |OA|2  |OB|2  |OC|2 的最大值.【答案】(1)直线l的极坐标方程: 2cos 2sin10,曲线C的普通方程:x2y2 1 (2)2 24. xcos 【分析】(1)利用公式 、 以及消参的方法求解. ysin sin2cos21 (2)利用方程联立、两点间的距离公式、换元法以及函数进行计算求解. xcos 【详解】(1)因为直线l的方程为 , , 2x 2y10 ysin 所以直线l的极坐标方程: 2cos 2sin10,  1  sin2cos2 x x2  1tan2 曲线C的参数方程为 cos,所以 cos2 ,  ytan  ytan 消去参数有:x2 1y2,所以曲线C的普通方程:x2y2 1. (2)因为直线ykxk 0 与曲线C相交于点A,B,由(1)有:曲线Cx2y2 1, x2y2 1 1 k2 由  ykx ,得 k21  x210 ,解得x2  1k2 ,y2  1k2 , 1 1 1k2 所以 OA2 OB2 , 4  k21  0 ,解得 0k 1 ,所以 OA2  OB2  1k2 ,  2x 2y10 又直线 与与直线l相交于点C,由 得, ykxk 0  ykx x2  1 y2  k2 1 41k2 k 1 , 21k2 , 21k2 ,所以 OC2  1k2 , 1 1 1 2  1k2 41k2 2  1k2 4k4 4k1 所以      2 , |OA|2 |OB|2 |OC|2 1k2 1k2 1k2 1k2 4k1 4t 4   令 由 有: ,所以 1k2 t222t 2 , t 2 t k1, 0k 1 1t2 t 4   4,2 22 因为 ,所以 t 2 2 2,3 ,所以 t 2 2 , 1t2 t  t 所以2 4k1   6,2 24,所以 1  1  1 的最大值为 1k2  |OA|2 |OB|2 |OC|2 2 24. xcossin 6.在平面直角坐标系 中,曲线C的参数方程为 ( 为参数),以O为极点,x轴的 xOy ycossin   π 正半轴为极轴建立极坐标系,直线l的极坐标方程为cos  3.  6 (1)求曲线C的普通方程和直线l的直角坐标方程;  (2)P为l上一点,过P作曲线C的两条切线,切点分别为A,B,若APB ,求点P横坐标的取值范围. 3 3 5 3 5 【答案】(1) ; (2) ,  x2 y2 2 3xy2 30  2 2  【分析】(1)把曲线C的方程两边平方相加可求曲线C的普通方程,利用两角和的余弦公式可求直线l的 直角坐标方程;(2)设P(x, 3x2 3),由题意可得|OP|2|OA|,计算可求点P横坐标的取值范围. xcossin 【详解】(1)由曲线 的参数方程为 ( 为参数), C ycossin  可得x2y2 cos22sincossin2cos22sincossin22  π π π 由cos  3,得coscos sinsin  3,  6 6 6 3 1  x y 3,即 , 2 2 3xy2 30 曲线C的普通方程为x2 y2 2,直线l的直角坐标方程为 3xy2 30 (2)设P(x, 3x2 3),连接OA,OB,易得OA AP,OBBP, π π 若APB ,则APO , 3 6 1 |OA| 1 sinAPO ,在 中,  , 2 Rt△OAP |OP| 2 |OP|2|OA|2 2,  x2( 3x2 3)2 2 2,两边平方得4x212x40, 3 5 3 5 解得 x , 2 2 3 5 3 5 点 横坐标的取值范围为 ,  2 2  P   7.(2023年河南省信息押题卷理科数学试题)在平面直角坐标系 中,曲线 的参数方程为 ( 为参数),以 为极点, 轴正半轴为极轴建立极坐标系,曲线 的极坐标方程为 ,曲线 , 相交于 , 两点,曲线 经过变换 后得到曲线 . (1)求曲线 的普通方程和线段 的长度; (2)设点 是曲线 上的一个动点,求 的面积的最大值. 【答案】(1) : , ;(2) ;【分析】(1)公式法求 的普通方程,消参法求 普通方程,应用几何法求直线与圆相交弦长即可; (2)由已知变换关系得 的一般方程为 ,设 ,应用点线距离公式、辅助 角公式及正弦函数性质求 到 距离最大值,再由三角形面积公式求最大面积. 【详解】(1)由题设, 为 , 消去参数t得: 为 , 由 圆心为 ,半径为2,则圆心到 距离 , 所以 . 综上, 的普通方程为 ,线段 的长度为 . (2)由 经过变换 后得到曲线 , 则 , 所以 的一般方程为 ,设 , 所以 到 距离 , 所以 , 的面积的最大值为 . 8.(2023年江西省质量检测理科数学试题)如图,在极坐标系 中,圆 的半径为 ,半径均为 的两 个半圆弧 所在圆的圆心分别为 , , 是半圆弧 上的一个动点, 是半圆弧 上的一个动点.(1)若 ,求点 的极坐标; (2)若点 是射线 与圆 的交点,求 面积的取值范围. 【答案】(1) ;(2) ; 【分析】(1)根据图形关系可确定 ,极角 ,由此可得点 的极坐标; (2)利用 表示出 和 ,代入三角形面积公式,结合三角恒等变换知识可化简得到 ,结合正弦型函数值域可求得结果. 【详解】(1)由 知: , , 点 的极角为 , 点 的极坐标为 . (2) 由题意知: , , , , , , , .9.(2023年新疆维吾尔自治区适应性检测理科数学试题)已知曲线 的参数方程为 (t为参 数),以坐标原点为极点,x轴的正半轴为极轴建立极坐标系,曲线 的极坐标方程为 . (1)求 , 在直角坐标系下的普通方程; (2)设M是 上的任意一点,求M到 的距离最大时M的坐标. 【答案】(1) 的普通方程为 , 的直角坐标方程为 ;(2) ; 【分析】(1)用消元法可得 的普通方程,利用公式 得 的直角坐标方程; (2)用三角换元法设出 上点 的坐标 , ,由点到直线距离公式得距离,然后结 合三角函数性质得最大值,从而得 点坐标. 【详解】(1)由 得 ,代入 得 的普通方程为 . 由 得 ,因为 , , 所以 的直角坐标方程为 . (2)设曲线 上的任意一点的坐标为 , , 则M到 的距离 , 其中 , . 当 时,M到 的距离最大,此时 , , , , 故所求M的坐标为 . 10.(2023年陕西省二轮复习联考(一)文科数学试题)在平面直角坐标系xOy中,直线 的参数方程为(t为参数, ),曲线 的参数方程为 (β为参数),以坐标 原点O为极点,以x轴正半轴为极轴建立极坐标系. (1)求曲线 的极坐标方程; (2)若点 ,直线 与曲线 所在抛物线交于A,B两点,且 ,求直线 的普通方程. 【答案】(1) , (2) 或 . 【分析】(1)由 将曲线 的参数方程化为普通方程,再根据极坐标和直角坐标 的转化公式即可得出答案; (2)将直线的参数方程代入曲线 的普通方程,可得根与系数的关系式,结合根与系数的关系式化简可 求得 的值,即可求出直线 的斜率,再由点斜式即可得出答案. 【详解】(1)因为 , 由 , 所以曲线 的普通方程为 , , , ,所以 ,即 . 所以曲线 的极坐标方程为 , . (2)设A,B两点对应的参数分别为 , 将 代入 得 , 由题知 , , 所以 , . 因为 ,所以 , 又 ,所以 ,故 . 当 时,代入 得 , 此时 的普通方程为 ,即 . 当 时,代入 得 ,此时 的普通方程为 ,即 , 联立 可得 ,即 , 解得: 或 , 所以直线 的普通方程为 或 . 11.在平面直角坐标系 中,以坐标原点为极点,x轴正半轴为极轴建立极坐标系,已知曲线C的极坐 标方程为 ,直线l的参数方程为 (t为参数). (1)若直线 平行于直线l,且与曲线C只有一个公共点,求直线 的方程; (2)若直线l与曲线C交于两点P,Q,求线段 的长度. 【答案】(1) ;(2) ; 【分析】(1)消去参数可得直线l的直角坐标方程,再根据直线平行斜率相等可设直线 的方程为 ,化简曲线C的极坐标可得 ,根据直线 与曲线C只有一个公共点可联立方程根据 判别式为0求解即可; (2)联立直线l的标准参数方程与曲线C的直角坐标方程,再根据直线参数的几何意义求解即可. 【详解】(1)直线l的参数方程为 ,则 ,即 , 又直线 平行于直线l,故直线 的斜率为2,设方程为 又曲线C的极坐标方程为 ,即 , , 故 ,即 ,化简可得 . 因为直线 与曲线C只有一个公共点,则联立 ,则 . 故 ,故 ,解得 . 故直线 的方程为 ,即 . (2)由(1)可得曲线C的直角坐标方程为 ,直线l的标准参数方程为 (t为参 数),联立可得 ,即 . 设 对应的参数分别为 ,则 , 所以 12.(2023年宁夏回族自治区二模文科数学试题)在直角坐标系 中,曲线 : 经过伸缩变 换 后得到曲线 ,以原点 为极点, 轴的正半轴为极轴建立极坐标系,直线 的极坐标方程为: . (1)写出曲线 的参数方程和直线 的直角坐标方程; (2)若点 在曲线 上,求点 到直线 距离的最小值以及此时点 的坐标. 【答案】(1) ( 为参数); ; (2)最小值 , . 【分析】(1)根据伸缩变换的公式,结合两角和的正弦公式、直角坐标方程与极坐标方程互化公式进行 求解. (2)根据参数方程,利用点到直线距离公式,结合辅助角公式进行求解. 【详解】(1)由题意,曲线 的参数方程为 ( 为参数),经过伸缩变换 后, 曲线 的参数方程为 ( 为参数),由 得: , 化为直角坐标方程为 . (2)设 ,点 到直线 的距离为 ,(其中, , ), 当 时,即 , 时,点 到直线 的距离 取到最小值 , 此时 , ,, ,所以此时点 的坐标为 . 13.(2023年甘肃省一模理科数学试题)在直角坐标系 中,直线 的参数方程为 ( 为 参数),以坐标原点 为极点, 轴的正半轴为极轴建立极坐标系,曲线 的极坐标方程为 . (1)求直线 的普通方程和曲线 的直角坐标方程; (2)若直线 与 轴的交点为 ,与曲线 的交点为 , ,求 的值. 【答案】(1) , ;(2) ; 【分析】(1)根据题意,由参数方程与普通方程的互化以及极坐标方程与普通方程的互化,代入计算, 即可得到结果; (2)根据题意,将直线 的参数方程代入曲线 的方程,结合韦达定理,代入计算,即可得到结果. 【详解】(1)将直线 的参数方程 ( 为参数)化为普通方程,得 , 因为 ,所以 ,所以 , 即曲线 的直角坐标方程为 . (2)把直线 的参数方程 代入曲线 的方程 , 得 ,化简得 . 设 , 对应的参数分别为 , ,则 , , 所以 , , 可得 .14.在直角坐标系 中,曲线 的参数方程为 ( 为参数), 为曲线 上的动点,点 满足 ,点 轨迹为曲线 ,以 为极点, 轴的非负半轴为极轴建立极坐标系,直线 的极 坐标方程为 (1)求直线 的直角坐标方程和曲线 的普通方程; (2)设直线 与曲线 的交点为 、 ,求 面积的最大值. 【答案】(1)直线 的直角坐标方程为 ,曲线 的普通方程为 (2)10 【分析】(1)变换得到 ,代入公式得到直线方程,根据向量确定 ,代入 化简得到答案. (2)根据圆的圆心和半径确定 ,设点 到直线 的距离为 ,确定 ,得到面积最值. 【详解】(1)由 得 ,即 , 又 ,故直线 的直角坐标方程为 ; 设 , ,则 ( 为参数), 由 得: ,故 ( 为参数),消去 得: , 故直线 的直角坐标方程为 ,曲线 的普通方程为 . 另解: 由 得: ,即 , 又 ,故直线 的直角坐标方程为 ; 由 消去 得: , 设 , ,则 , 由 得: 代入 ,消去 , 得: , 故直线 的直角坐标方程为 ,曲线 的普通方程为 .(2)由(1)知:曲线 是以 圆心,2为半径的圆,直线 过圆 的圆心 , 故 , 设点 到直线 的距离为 ,则 , 当且仅当 , 取等号, ,即 的面积的最大值为10, 另解: 由(1)知:曲线 是以 圆心,2为半径的圆,直线 过圆 的圆心 , 故 又因为曲线 方程为 ,圆心为 , 由点到直线的距离公式,得点 到直线 的距离为: , 设点 到直线 的距离为 ,则由圆的性质知: , 故 . 15.(2023年河南省模拟文科数学试题)在直角坐标系 中,曲线 的参数方程为 ( , 为参数).直线 的参数方程为 ( 为参数). (1)求曲线 和直线 的普通方程; (2)直线 与曲线 相交于不同的两点 , , ,过 且与直线 平行的直线 ,与 相交于 , 两点,求 的值. 【答案】(1)答案见解析; (2) ; 【分析】(1)消参求曲线 的普通方程,讨论 或 、 或 并消参求直线方程; (2)由题设排除 或 的情况,将两直线的参数方程代入曲线普通方程,结合韦达定理求目标式的 值.【详解】(1)由 ,则曲线 的普通方程为 , 由 , 若 或 时 ,则直线 的普通方程为 , 若 或 时 ; 综上,曲线 的普通方程为 ,直线 的普通方程为 ( 或 ),或 ( 或 ). (2)若 或 ,将 代入 ,则 , 整理得 ,令 ,则 , 可设直线 为 代入 ,则 , 整理得 ,令 ,则 , 此时 ; 若 或 ,此时直线 与直线 重合,均为 ,不满足题设; 综上, . 16.(2023年江西省一模数学(理)试题)数学中有许多美丽的曲线,如在平面直角坐标系xOy中,曲线 E: (如图),称这类曲线为心形曲线.以坐标原点O为极点,x轴的正半轴 为极轴建立极坐标系,当 时,(1)求E的极坐标方程; (2)已知P,Q为曲线E上异于O的两点,且 ,求 的面积的最大值. 【答案】(1) (2) 【分析】(1)将 , 代入曲线E,化简可得答案; (2)不妨设 , , , ,则 的面积 ,令 ,可得 ,再利用配方计算可得答案. 【详解】(1)将 , 代入曲线E, 得 ,即 , 所以,E的极坐标方程为 ; (2)不妨设 , , 即 , , 则 的面积 由于 , 令 , 则 , , 则 , 故当 时, ,即 的面积的最大值为 . 17.(2023年河南省三模文科数学试题)直角坐标系xOy中,曲线 的参数方程为 ( 为 参数),曲线 的参数方程为 (t为参数, ),以原点为极点,x轴正半轴为极轴建立 极坐标系. (1)写出 、 的极坐标系方程,并说明曲线 、 是哪种曲线? (2)直线 的极坐标方程为 , 满足 时, 、 的交点在 上,求此时a的值. 【答案】(1)答案见解析 (2)1 【分析】(1)消去参数得到曲线 和 的一般方程,并利用 化一般方程为极坐标方程,并得 到曲线 、 是哪种曲线; (2)联立 、 的极坐标方程,根据交点在直线 ,得到 ,化简 后代入 ,求出 ,得到a的值. 【详解】(1) 变形得到 ,平方相加得到 , 故曲线 的一般方程为: , 因为 ,所以 ,化简得 , 故曲线 的极坐标系方程为 ,曲线 是以 为圆心,以2为半径的圆. 变形得到 ,平方后相加得到 , 曲线 的一般方程为: , 因为 ,所以 , 故极坐标系方程为 ,故曲线 是以 为圆心,以a为半径的圆. (2)求曲线 、 的交点 , 根据题意交点在直线 ,所以有 ,∵ , ∴ 可化为 , 即 , 将 代入得 ,又 ,所以 . 18.(2024届宁夏回族自治区模拟数学(文)试题)如图,在平面直角坐标系 中,以坐标原点为极点, 极轴所在的直线为 轴建立极坐标系,曲线 是经过极点且圆心在极轴上的直径为 的圆,曲线 是著名 的笛卡尔心形曲线,它的极坐标方程为 . (1)求曲线 的极坐标方程,并求曲线 和曲线 的交点(异于极点)的极径; (2)若曲线 的参数方程为 ( 为参数),且曲线 和曲线 相交于除极点以外的 、 两点, 求线段 的长度. 【答案】(1) , ,两曲线交点的极径长为 . (2) 【分析】(1)写出曲线 的普通方程,利用普通方程与极坐标方程之间的转换关系可得出曲线 的极坐 标方程,再将曲线 和曲线 的极坐标方程联立,即可得出两曲线交点的极径长; (2)写出曲线 的极坐标方程,将曲线 、 的极坐标方程联立,得出点 、 的极坐标,即可得出 的值. 【详解】(1)在平面直角坐标系 中,由题意可知,曲线 是以点 为圆心,半径为 的圆, 曲线 的直角坐标方程为 ,即 , 将 , 代入并化简得 的极坐标方程为 , ,由 消去 ,并整理得 , 即 ,解得 (舍)或 , 所以所求异于极点的交点的极径为 . (2)因为曲线 的参数方程为 ( 为参数), 所以,曲线 是过原点,且倾斜角为 的直线, 所以,曲线 的极坐标方程为 和 , 由 得 ,由 得 , 则曲线 与曲线 两交点的极坐标为 、 , 所以 ( 为极点). 19.(2023年四川省全真模拟考试(一)文科数学试题)在平面直角坐标系xOy中,曲线 的参数方程为 ( 为参数),直线l的参数方程为 (t为参数),以坐标原点为极点,x轴的 非负半轴为极轴,取相同的长度单位,建立极坐标系,曲线 的极坐标方程为 . (1)求曲线 的普通方程和曲线 的直角坐标方程; (2)已知点P的极坐标为 ,直线l与曲线 相交于E,F两点,直线l与曲线 相交于A,B两点,且 ,求实数m的值. 【答案】(1) , (2) 【分析】(1)由消参法可得曲线 的普通方程,根据极坐标和直角坐标之间的转化公式可得曲线 的直 角坐标方程;(2)求得点P直角坐标,判断点P位置,结合曲线 方程,求得 ,利用直线的参数方程中参数的几 何意义求得 的值,结合 ,即可求得答案. 【详解】(1)曲线 的参数方程为 ( 为参数), 则 , 即曲线 的普通方程为 . 因为 ,所以 , 则曲线 的直角坐标方程为 . (2)因为点P的极坐标为 ,所以点P的直角坐标为 ,则点P在直线l上, 且点P为曲线 : 的圆心,所以 . 因为直线l的标准参数方程为 (s为参数), 将其代入曲线 的直角坐标方程中,得 , , 设A,B两点对应的参数分别为 , ,则 , 则 , ,故 . 又 ,所以 .【真题感知】 1.(2023年高考全国甲卷数学(理)真题)已知点 ,直线 (t为参数), 为 的 倾斜角,l与x轴正半轴,y轴正半轴分别交于A,B两点,且 . (1)求 ; (2)以坐标原点为极点,x轴正半轴为极轴建立极坐标系,求l的极坐标方程. 【答案】(1) (2) 【分析】(1)根据 的几何意义即可解出; (2)求出直线 的普通方程,再根据直角坐标和极坐标互化公式即可解出. 【详解】(1)因为 与 轴, 轴正半轴交于 两点,所以 , 令 , ,令 , , 所以 ,所以 , 即 ,解得 , 因为 ,所以 . (2)由(1)可知,直线 的斜率为 ,且过点 , 所以直线 的普通方程为: ,即 , 由 可得直线 的极坐标方程为 . 2.(2023年高考全国乙卷数学(理)真题)在直角坐标系 中,以坐标原点 为极点, 轴正半轴为 极轴建立极坐标系,曲线 的极坐标方程为 ,曲线 : ( 为参数, ). (1)写出 的直角坐标方程; (2)若直线 既与 没有公共点,也与 没有公共点,求 的取值范围. 【答案】(1)(2) 【分析】(1)根据极坐标与直角坐标之间的转化运算求解,注意 的取值范围; (2)根据曲线 的方程,结合图形通过平移直线 分析相应的临界位置,结合点到直线的距离 公式运算求解即可. 【详解】(1)因为 ,即 ,可得 , 整理得 ,表示以 为圆心,半径为1的圆, 又因为 , 且 ,则 ,则 , 故 . (2)因为 ( 为参数, ), 整理得 ,表示圆心为 ,半径为2,且位于第二象限的圆弧, 如图所示,若直线 过 ,则 ,解得 ; 若直线 ,即 与 相切,则 ,解得 , 若直线 与 均没有公共点,则 或 , 即实数 的取值范围 . 3.(2022年全国高考甲卷数学(理)试题)在直角坐标系 中,曲线 的参数方程为 (t为 参数),曲线 的参数方程为 (s为参数). (1)写出 的普通方程;(2)以坐标原点为极点,x轴正半轴为极轴建立极坐标系,曲线 的极坐标方程为 ,求 与 交点的直角坐标,及 与 交点的直角坐标. 【答案】(1) ; (2) 的交点坐标为 , , 的交点坐标为 , . 【分析】(1)消去 ,即可得到 的普通方程; (2)将曲线 的方程化成普通方程,联立求解即解出. 【详解】(1)因为 , ,所以 ,即 的普通方程为 . (2)因为 ,所以 ,即 的普通方程为 , 由 ,即 的普通方程为 . 联立 ,解得: 或 ,即交点坐标为 , ; 联立 ,解得: 或 ,即交点坐标为 , . 4.(2022年全国高考乙卷数学(理)试题)在直角坐标系 中,曲线C的参数方程为 , (t为参数),以坐标原点为极点,x轴正半轴为极轴建立极坐标系,已知直线l的极坐标方程为 . (1)写出l的直角坐标方程; (2)若l与C有公共点,求m的取值范围. 【答案】(1) (2) 【分析】(1)根据极坐标与直角坐标的互化公式处理即可; (2)方法一:联立l与C的方程,采用换元法处理,根据新设a的取值范围求解m的范围即可. 【详解】(1)因为l: ,所以 , 又因为 ,所以化简为 ,整理得l的直角坐标方程: (2)[方法一]:【最优解】参数方程 联立l与C的方程,即将 , 代入 中, 可得 , 化简为 , 要使l与C有公共点,则 有解, 令 ,则 ,令 , , 对称轴为 ,开口向上, , , ,即m的取值范围为 . [方法二]:直角坐标方程 由曲线 的参数方程为 , 为参数,消去参数 ,可得 , 联立 ,得 ,即 ,即有 ,即 , 的取值范围是 . 【整体点评】方法一:利用参数方程以及换元,转化为两个函数的图象有交点,是该题的最优解; 方法二:通过消参转化为直线与抛物线的位置关系,再转化为二次函数在闭区间上的值域,与方法一本质 上差不多,但容易忽视 的范围限制而出错. 5.(2021年全国高考甲卷数学(理)试题)在直角坐标系 中,以坐标原点为极点,x轴正半轴为极轴 建立极坐标系,曲线C的极坐标方程为 . (1)将C的极坐标方程化为直角坐标方程; (2)设点A的直角坐标为 ,M为C上的动点,点P满足 ,写出Р的轨迹 的参数方程, 并判断C与 是否有公共点. 【答案】(1) ;(2)P的轨迹 的参数方程为 ( 为参数),C与没有公共点. 【分析】(1)将曲线C的极坐标方程化为 ,将 代入可得; (2)方法一:设 ,设 ,根据向量关系即可求得P的轨迹 的参数方程, 求出两圆圆心距,和半径之差比较可得. 【详解】(1)由曲线C的极坐标方程 可得 , 将 代入可得 ,即 , 即曲线C的直角坐标方程为 ; (2) [方法一]【最优解】 设 ,设 , , 则 ,即 , 故P的轨迹 的参数方程为 ( 为参数) 曲线C的圆心为 ,半径为 ,曲线 的圆心为 ,半径为2, 则圆心距为 , , 两圆内含, 故曲线C与 没有公共点. [方法二]: 设点 的直角坐标为 , , ,因为 , 所以 , , , 由 , 即 , 解得 ,所以 , ,代入 的方程得 , 化简得点 的轨迹方程是 ,表示圆心为 , ,半径为2的圆; 化为参数方程是 , 为参数; 计算 , 所以圆 与圆 内含,没有公共点. 【整体点评】本题第二问考查利用相关点法求动点的轨迹方程问题, 方法一:利用参数方程的方法,设出 的参数坐标,再利用向量关系解出求解点 的参数坐标,得到参数 方程. 方法二:利用代数方法,设出点 的坐标,再利用向量关系将 的坐标用点 的坐标表示,代入曲线C的 直角坐标方程,得到点 的轨迹方程,最后化为参数方程. 6.(2021年全国高考乙卷数学(文)试题)在直角坐标系 中, 的圆心为 ,半径为1. (1)写出 的一个参数方程; (2)过点 作 的两条切线.以坐标原点为极点,x轴正半轴为极轴建立极坐标系,求这两条切线 的极坐标方程. 【答案】(1) ,( 为参数); (2) 和 . 【分析】(1)直接利用圆心及半径可得的圆的参数方程; (2)先求得过(4,1)的圆的切线方程,再利用极坐标与直角坐标互化公式化简即可. 【详解】(1)由题意, 的普通方程为 , 所以 的参数方程为 ,( 为参数) (2)[方法一]:直角坐标系方法 ①当直线的斜率不存在时,直线方程为 ,此时圆心到直线的距离为 ,故舍去. ②当切线斜率存在时,设其方程为 ,即 . 故 ,即 ,解得 . 所以切线方程为 或 .两条切线的极坐标方程分别为 和 . 即 和 . [方法二]【最优解】:定义求斜率法 如图所示,过点F作 的两条切线,切点分别为A,B. 在 中, ,又 轴,所以两条切线 的斜率分别 和 . 故切线的方程为 , ,这两条切线的极坐标方程为 和 . 即 和 . 【整体点评】(2) 方法一:直角坐标系中直线与圆相切的条件求得切线方程,再转化为极坐标方程, 方法二:直接根据倾斜角求得切线的斜率,得到切线的直角坐标方程,然后转化为极坐标方程,在本题中巧 妙的利用已知圆和点的特殊性求解,计算尤其简洁,为最优解.