当前位置:首页>文档>专题02不等式(教师版)_02高考数学_通用版(老高考)复习资料_2024年复习资料_完备战2024年高考数学一轮复习考点帮(全国通用)_核心考点讲练

专题02不等式(教师版)_02高考数学_通用版(老高考)复习资料_2024年复习资料_完备战2024年高考数学一轮复习考点帮(全国通用)_核心考点讲练

  • 2026-05-06 00:12:06 2026-04-07 10:31:45

文档预览

专题02不等式(教师版)_02高考数学_通用版(老高考)复习资料_2024年复习资料_完备战2024年高考数学一轮复习考点帮(全国通用)_核心考点讲练
专题02不等式(教师版)_02高考数学_通用版(老高考)复习资料_2024年复习资料_完备战2024年高考数学一轮复习考点帮(全国通用)_核心考点讲练
专题02不等式(教师版)_02高考数学_通用版(老高考)复习资料_2024年复习资料_完备战2024年高考数学一轮复习考点帮(全国通用)_核心考点讲练
专题02不等式(教师版)_02高考数学_通用版(老高考)复习资料_2024年复习资料_完备战2024年高考数学一轮复习考点帮(全国通用)_核心考点讲练
专题02不等式(教师版)_02高考数学_通用版(老高考)复习资料_2024年复习资料_完备战2024年高考数学一轮复习考点帮(全国通用)_核心考点讲练
专题02不等式(教师版)_02高考数学_通用版(老高考)复习资料_2024年复习资料_完备战2024年高考数学一轮复习考点帮(全国通用)_核心考点讲练
专题02不等式(教师版)_02高考数学_通用版(老高考)复习资料_2024年复习资料_完备战2024年高考数学一轮复习考点帮(全国通用)_核心考点讲练
专题02不等式(教师版)_02高考数学_通用版(老高考)复习资料_2024年复习资料_完备战2024年高考数学一轮复习考点帮(全国通用)_核心考点讲练
专题02不等式(教师版)_02高考数学_通用版(老高考)复习资料_2024年复习资料_完备战2024年高考数学一轮复习考点帮(全国通用)_核心考点讲练
专题02不等式(教师版)_02高考数学_通用版(老高考)复习资料_2024年复习资料_完备战2024年高考数学一轮复习考点帮(全国通用)_核心考点讲练
专题02不等式(教师版)_02高考数学_通用版(老高考)复习资料_2024年复习资料_完备战2024年高考数学一轮复习考点帮(全国通用)_核心考点讲练
专题02不等式(教师版)_02高考数学_通用版(老高考)复习资料_2024年复习资料_完备战2024年高考数学一轮复习考点帮(全国通用)_核心考点讲练
专题02不等式(教师版)_02高考数学_通用版(老高考)复习资料_2024年复习资料_完备战2024年高考数学一轮复习考点帮(全国通用)_核心考点讲练
专题02不等式(教师版)_02高考数学_通用版(老高考)复习资料_2024年复习资料_完备战2024年高考数学一轮复习考点帮(全国通用)_核心考点讲练
专题02不等式(教师版)_02高考数学_通用版(老高考)复习资料_2024年复习资料_完备战2024年高考数学一轮复习考点帮(全国通用)_核心考点讲练
专题02不等式(教师版)_02高考数学_通用版(老高考)复习资料_2024年复习资料_完备战2024年高考数学一轮复习考点帮(全国通用)_核心考点讲练
专题02不等式(教师版)_02高考数学_通用版(老高考)复习资料_2024年复习资料_完备战2024年高考数学一轮复习考点帮(全国通用)_核心考点讲练
专题02不等式(教师版)_02高考数学_通用版(老高考)复习资料_2024年复习资料_完备战2024年高考数学一轮复习考点帮(全国通用)_核心考点讲练
专题02不等式(教师版)_02高考数学_通用版(老高考)复习资料_2024年复习资料_完备战2024年高考数学一轮复习考点帮(全国通用)_核心考点讲练
专题02不等式(教师版)_02高考数学_通用版(老高考)复习资料_2024年复习资料_完备战2024年高考数学一轮复习考点帮(全国通用)_核心考点讲练
专题02不等式(教师版)_02高考数学_通用版(老高考)复习资料_2024年复习资料_完备战2024年高考数学一轮复习考点帮(全国通用)_核心考点讲练
专题02不等式(教师版)_02高考数学_通用版(老高考)复习资料_2024年复习资料_完备战2024年高考数学一轮复习考点帮(全国通用)_核心考点讲练
专题02不等式(教师版)_02高考数学_通用版(老高考)复习资料_2024年复习资料_完备战2024年高考数学一轮复习考点帮(全国通用)_核心考点讲练
专题02不等式(教师版)_02高考数学_通用版(老高考)复习资料_2024年复习资料_完备战2024年高考数学一轮复习考点帮(全国通用)_核心考点讲练
专题02不等式(教师版)_02高考数学_通用版(老高考)复习资料_2024年复习资料_完备战2024年高考数学一轮复习考点帮(全国通用)_核心考点讲练
专题02不等式(教师版)_02高考数学_通用版(老高考)复习资料_2024年复习资料_完备战2024年高考数学一轮复习考点帮(全国通用)_核心考点讲练
专题02不等式(教师版)_02高考数学_通用版(老高考)复习资料_2024年复习资料_完备战2024年高考数学一轮复习考点帮(全国通用)_核心考点讲练
专题02不等式(教师版)_02高考数学_通用版(老高考)复习资料_2024年复习资料_完备战2024年高考数学一轮复习考点帮(全国通用)_核心考点讲练
专题02不等式(教师版)_02高考数学_通用版(老高考)复习资料_2024年复习资料_完备战2024年高考数学一轮复习考点帮(全国通用)_核心考点讲练
专题02不等式(教师版)_02高考数学_通用版(老高考)复习资料_2024年复习资料_完备战2024年高考数学一轮复习考点帮(全国通用)_核心考点讲练
专题02不等式(教师版)_02高考数学_通用版(老高考)复习资料_2024年复习资料_完备战2024年高考数学一轮复习考点帮(全国通用)_核心考点讲练

文档信息

文档格式
docx
文档大小
1.521 MB
文档页数
27 页
上传时间
2026-04-07 10:31:45

文档内容

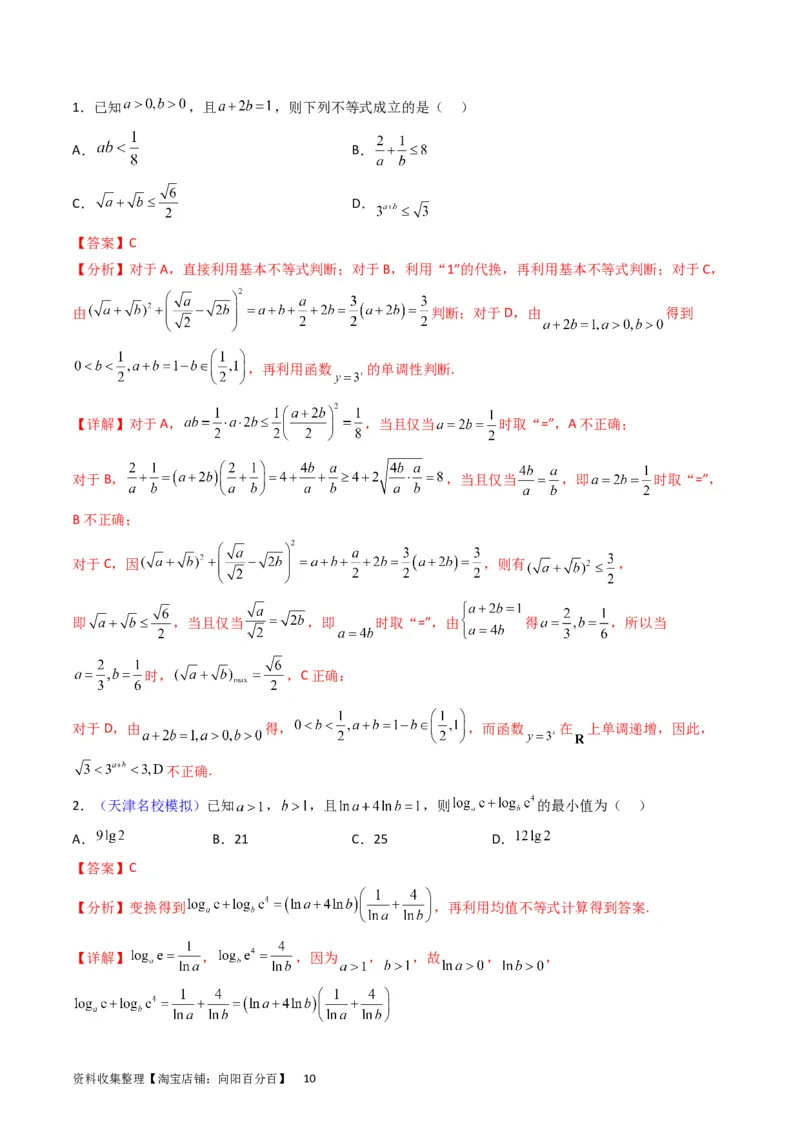
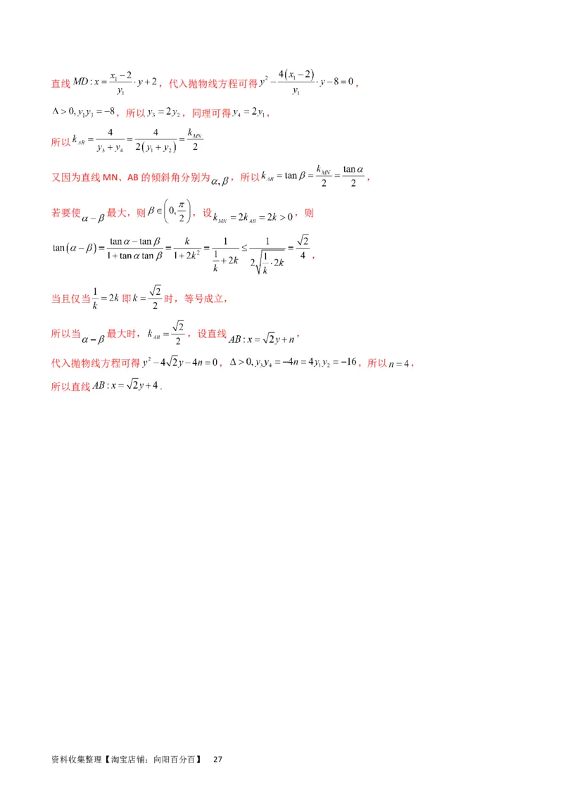
专题 02 不等式(核心考点精讲精练) 1. 5年真题考点分布 集合5年考情 考题示例 考点分析 关联考点 2022年全国甲,第16题,5分 基本不等式求最值 余弦定理 2022年全国甲,第20题第2问,12分 基本不等式 抛物线 2022年全国乙,第9题,5分 基本不等式 立体几何 2023年全国甲,第14题,5分 线性规划:“截距型” 无 2023年全国乙,第14题,5分 线性规划:“截距型” 无 2. 命题规律及备考策略 【命题规律】1.本节内容在高考题中多作为载体考查其它知识点,结合不等式的解法考查集合的关系与运 算、求函数的定义域与值域等;结合基本不等式解决最值和恒成立问题。 2.考查线性规划问题:“截距型”、“斜率型”、“距离型”的目标函数最值; 【备考策略】1.掌握不等式的性质,能通过不等式的性质进行化简求值; 2.会解一元二次不等式、分式不等式、含绝对值的不等式、函数不等式等; 3.能结合基本不等式解决最值和恒成立问题; 4.能够利用作差法、作商法比较大小; 5.能够解决线性规划的三个常见问题:“截距型”、“斜率型”、“距离型”的目标函数最 值。 【命题预测】1.考查线性规划问题:“截距型”、“斜率型”、“距离型”的目标函数最值; 2.结合函数的图像与性质、三角函数、数列、圆锥曲线等知识进行综合运用; 3.能结合基本不等式解决最值和恒成立问题; 资料收集整理【淘宝店铺:向阳百分百】 1知识讲解 一、不等式的性质 一、比较两个实数的基本事实 {a-b>0⇔a > b, a-b=0⇔a=b, a-b<0⇔a < b. a { >1⇔a > b(a∈R,b>0), b a =1⇔a=b(a∈R,b≠0), b a <1⇔a < b(a∈R,b>0). b 二、等式与不等式的性质 等式的性质 不等式的性质 a=b⇔b=a 性质1:a>b⇔bb,b>c⇒a>c a=b⇔a±c=b±c 性质3:a>b⇔a+c>b+c a=b⇒ac=bc; 性质4:a>b,c>0⇒ac>bc; a b a=b,c≠0⇒ = a>b,c<0⇒acb,c>d⇒a+c>b+d a=b,c=d⇒ac=bd 性质6:a>b>0,c>d>0⇒ac>bd 资料收集整理【淘宝店铺:向阳百分百】 2a=b>0⇒an=bn 性质7:a>b>0⇒an>bn(n∈N*,n≥2) a=b>0⇒√n a=√n b 性质8:a>b>0⇒√n a>√n b(n∈N*,n≥2) 1.倒数的性质 1 1 (1)a>b,ab>0⇒ < . a b 1 1 (2)a<0b>0,0 . c d 1 1 1 (4)0b>0,m>0,则 b b+m b b-m (1) < ; > (b-m>0). a a+m a a-m a a+m a a-m (2) > ; < (b-m>0). b b+m b b-m 3.分式不等式的转化 f (x) (1) >0(<0)⇔f(x)·g(x)>0(<0). g(x) f (x) (2) ≥0(≤0)⇔f(x)·g(x)≥0(≤0)且g(x)≠0. g(x) 以上两式的核心意义是将分式不等式转化为整式不等式. 4.比较大小的常用方法 (1)作差法:①作差;②变形;③定号;④得出结论. (2)作商法:①作商;②变形;③判断商与1的大小关系;④得出结论. (3)构造函数,利用函数的单调性比较大小. 二、基本不等式 a+b √ab ≤ 2 a2+b2≥ 2 a b (a,b∈R)(当且仅当a=b时,等号成立). 1.基本不等式成立的条件: a > 0 , b > 0 . 2.等号成立的条件:当且仅当 a= b 时,等号成立. a+b 3.其中 叫作正数a,b的 算术平均数 ,√ab叫作正数a,b的 几何平均数 . 2 利用基本不等式求最大值、最小值 1.如果x,y∈(0,+∞),且xy=P(定值),那么当 x= y 时,x+y有最小值2√P.(简记:积定和最小) S2 2.如果x,y∈(0,+∞),且x+y=S(定值),那么当x=y时,xy有最大值 .(简记:和定积最大) 4 b a 1. + ≥2(a,b同号且均不为0),当且仅当a=b时取等号. a b 资料收集整理【淘宝店铺:向阳百分百】 3(a+b) 2 a2+b2 2.ab≤ ≤ (当且仅当a=b时取等号). 2 2 2 a+b √a2+b2 3.1 1≤√ab≤ ≤ (a>0,b>0,当且仅当a=b时取等号). + 2 2 a b 4.连续使用基本不等式求最值时要求每次等号成立的条件一致. 1.拼凑法求最值:拼凑法就是将相关代数式进行适当的变形,通过添项、拆项等方法凑成和为定值或积为 定值的形式,然后利用基本不等式求解最值的方法.拼凑法的实质在于代数式的灵活变形,拼系数、凑常数是 关键. 2.拼凑法求解最值应注意的问题 (1)拼凑的技巧,以整式为基础,注意利用系数的变化以及等式中常数的调整,做到等价变形; (2)代数式的变形以拼凑出和或积的定值为目标; (3)拆项、添项应注意检验是否满足利用基本不等式的条件. 1.常数代换法的运用技巧 常数代换的实质是x×1=x,所以关键是找到常数,从而找到结果为1的式子,然后通过乘积的运算,利用基本 不等式解题. 2.用常数代换法求最值时应注意的两个方面 (1)注意目标代数式的结构特征,看是否需要整体乘以“1”的“替身”; (2)注意常数的获得方式,要根据已知代数式的结构特征灵活处理. 三、线性规划问题 1、二元一次不等式所表示的平面区域的判断: 法一:取点定域法: AxByC 0 AxByC 由于直线 的同一侧的所有点的坐标代入 后所得的实数的符号相同.所以,在 实际判断时,往往只需在直线某一侧任取一特殊点(x ,y )(如原点),由Ax By C 的正负即可判断 0 0 0 0 AxByC 0 ( 0) 出 或 表示直线哪一侧的平面区域. 即:直线定边界,分清虚实;选点定区域,常选原点. 法二:根据AxByC 0 (或0),观察B的符号与不等式开口的符号,若同号,AxByC 0 ( 0) 或 表示直线上方的区域;若异号,则表示直线上方的区域.即:同号上方,异号下方. 2、二元一次不等式组所表示的平面区域 不等式组表示的平面区域是各个不等式所表示的平面区域的公共部分. z  AxBy (A,B 3、利用线性规划求目标函数 为常数)的最值: 法一:角点法: 如果目标函数z  AxBy (x、y即为公共区域中点的横坐标和纵坐标)的最值存在,则这些最值都在 该公共区域的边界角点处取得,将这些角点的坐标代入目标函数,得到一组对应z 值,最大的那个数为目 标函数z 的最大值,最小的那个数为目标函数z 的最小值 资料收集整理【淘宝店铺:向阳百分百】 4法二:画——移——定——求: 第一步,在平面直角坐标系中画出可行域;第二步,作直线l :AxBy 0 ,平移直线l (据可行域, 0 0 将直线l 平行移动)确定最优解;第三步,求出最优解(x,y);第四步,将最优解(x,y)代入目标函数 0 z  AxBy 即可求出最大值或最小值 . 第二步中最优解的确定方法: A z z 利用 的几何意义:y  x , 为直线的纵截距. z B B B ①若B0,则使目标函数z  AxBy所表示直线的纵截距最大的角点处,z 取得最大值,使直线的纵截 距最小的角点处,z 取得最小值; ②若B0,则使目标函数z  AxBy所表示直线的纵截距最大的角点处,z 取得最小值,使直线的纵截 距最小的角点处,z 取得最大值. 4、常见的目标函数的类型: ①“截距”型:z  AxBy; y yb ②“斜率”型:z  或z  ; x xa ③“距离”型:z  x2  y2或z  x2  y2; z (xa)2 (yb)2或z  (xa)2 (yb)2. 在求该“三型”的目标函数的最值时,可结合线性规划与代数式的几何意义求解,从而使问题简单化. 四、二次函数与一元二次不等式 1、一元二次不等式 一般地,我们把只含有一个未知数,并且未知数的最高次数是 2 的不等式,称为一元二次不等式,其一般 形式为ax2+bx+c>0或 a x 2 +bx+c< 0 (a≠0). 2、一元二次不等式的解法步骤 (1).将不等式化为右边为零,左边为二次项系数大于零的不等式ax2+bx+c>0(a>0)或ax2+bx+c<0(a>0). (2).求出相应的一元二次方程的根. (3).利用二次函数的图象与x轴的交点确定一元二次不等式的解集. 二次项系数为正的一元二次不等式的解集求法为“大于取两边,小于取中间”. 3、一元二次不等式与相应的二次函数及一元二次方程的关系 判别式 Δ>0 Δ=0 Δ<0 Δ=b2-4ac 二次函数 y=ax2+bx+c(a>0) 的图象 有两个相等 一元二次 有两个相异 实数根x = 方程ax2+bx+c=0 实数根x , 1 没有实数根 1 b (a>0)的根 x (x 0(a>0) { x|xx } { x|x ≠ x } R 的解集 1 2 1 ax2+bx+c<0(a>0) { x|x 0 a>0,Δ<0 ax2+bx+c≥0 a>0,Δ≤0 ax2+bx+c<0 a<0,Δ<0 ax2+bx+c≤0 a<0,Δ≤0 (2).能成立问题的转化:a>f(x)能成立⇒a>f(x) ;a≤f(x)能成立⇒a≤f(x) . min max 5、根据方程根的正负情况求解参数 (1).开口向上 两个负根 两个正根 一正根一负根 分布情况 (x1<0,x2<0) (x1>0,x2>0) (x1<00, Δ>0, { { 得出的结 - b <0, - b >0, f(0)<0 论 2a 2a f(0)>0 f(0)>0 (2).开口向下,可将方程的二次项系数转化为正数,或者模仿上表自行推导求解. 6、根据方程的根与实数k(k≠0)的大小关系求解参数 (1).开口向上 分布 两根都小于k 两根都大于k 一根小于k,一根大于k(x1k,x2>k) 大致 图象 x=k x=k x=k Δ>0, Δ>0, { { 得出的 - b k, f(k)<0 结论 2a 2a f(k)>0 f(k)>0 (2).开口向下,可将方程的二次项系数转化为正数,或者模仿上表自行推导求解. 7、根据方程的根所在区间求解参数 (1).开口向上 两根仅有一根在(m,n)内(有 一根在(m,n)内,另一根在(p,q) 分布情况 两根都在(m,n)内 两种情况,只画了一种) 内,m0, { { f(m)>0, f(m)>0, f(n)<0, 得出的结论 f(n)>0, f(m)f(n)<0 f(p)<0, b m<− 0 2a (2).开口向下,可将方程的二次项系数转化为正数,或者模仿上表自行推导求解. 考点一、 不等式的性质 1.对于实数a,b,c,下列命题正确的是( ) A.若 ,则 B.若 ,则 C.若 ,则 D.若 ,则 . 【答案】C 【分析】ABD选项,由做差法可判断大小;C选项,分 三种情况讨论即 可判断大小. 【详解】A选项, ,故A错误; B选项, ,因不清楚 的正负情况,故B错误; C选项,当 时, ; 当 时, , 当 时, , 综上 ,故C正确; D选项, ,故D错误. 2.(德州模拟)已知 ,则( ) A. B. C. D. 【答案】B 【分析】移项可得, ,根据函数 的单调性可得 ,再根据指对幂函数 的单调性即可判断各选项的真假. 资料收集整理【淘宝店铺:向阳百分百】 7【详解】由题可得, ,设 , ,所以 , 即函数 在 上递增,所以由 可得: . 对于A,由函数 在 上递减,所以当 时, ,A错误; 对于B,易知函数 在 上递增,所以当 时, ,即 ,B正确; 对于C,当 时,若 ,则 ,C错误; 对于D,因为函数 在 上递增,所以当 时, ,D错误. 3.(北京名校模拟)已知 ,则 的取值范围为__________. 【答案】 【分析】利用待定系数法设 ,得到方程组,解出 ,再根据不等式基本性质 即可得到答案. 【详解】设 ,则 解得 故 ,由 ,故 , 由 ,故 ,所以 . 1.设 、 、 为实数,且 ,则下列不等式正确的是( ) A. B. C. D. 【答案】D 【分析】根据不等式的性质判断A、D,利用特例说明B,利用作差法判断C. 【详解】因为 、 、 为实数,且 , 所以 , , , ,故A错误,D正确; 当 时 ,故B错误, 资料收集整理【淘宝店铺:向阳百分百】 8因为 ,所以 ,故C错误; 2.下列结论中,所有正确的结论是( ) A.若 ,则 B.命题 的否定是: C.若 且 ,则 D.若 ,则实数 【答案】A 【分析】对A,根据不等式的性质推导即可;对B,根据特称命题的否定为全称命题判断即可;对C,利用 作差法判断即可;对D,举反例判断即可. 【详解】对A, ,则 ,又 ,则 , ,故A正确; 对B,命题 的否定是: ,故B错误; 对C, ,因为 且 , 故 ,即 ,故C错误; 对D,当 , 时, 不成立,故D错误; 3.若实数x、y满足 , ,则 的取值范围为__________. 【答案】 【分析】根据题意以 整体,结合不等式的性质分析运算. 【详解】设 , 由题意可得 ,解得 , 所以 , 由 ,可得 , 所以 ,即 , 考点二、 基本不等式 资料收集整理【淘宝店铺:向阳百分百】 91.已知 ,且 ,则下列不等式成立的是( ) A. B. C. D. 【答案】C 【分析】对于A,直接利用基本不等式判断;对于B,利用“1”的代换,再利用基本不等式判断;对于C, 由 判断;对于D,由 得到 ,再利用函数 的单调性判断. 【详解】对于A, ,当且仅当 时取“=”,A不正确; 对于B, ,当且仅当 ,即 时取“=”, B不正确; 对于C,因 ,则有 , 即 ,当且仅当 ,即 时取“=”,由 得 ,所以当 时, ,C正确: 对于D,由 得, ,而函数 在 上单调递增,因此, 不正确. 2.(天津名校模拟)已知 , ,且 ,则 的最小值为( ) A. B.21 C.25 D. 【答案】C 【分析】变换得到 ,再利用均值不等式计算得到答案. 【详解】 , ,因为 , ,故 , , 资料收集整理【淘宝店铺:向阳百分百】 10, 当且仅当 时,即 时等号成立. 所以 的最小值为 . 3.(浙江名校模拟)已知在 中,角A,B,C,所对的边为a,b,c,若 , 且 ,则 面积的最大值为__________. 【答案】 【分析】利用正弦定理边角变换得到 ,再利用余弦定理即可求的C; 代入所得数据得到 ,再利用基本不等式得到 ,从而利用三角形面积公式即可得解. 【详解】由正弦定理及 得 , 由余弦定理得 ,又因为 ,所以 . 又 ,所以由 得 , 因为 ,即 ,所以 , 当且仅当 时,等号成立,所以 , 故 的面积最大值为 . 1.已知 , ,且 ,则( ) A. B. C. D. 【答案】D 【分析】根据公式 即可判断选项A,B,C错误; 根据不等式 可判断选项D正确. 【详解】因为 ,当且仅当 时等号成立, 所以 ,当且仅当 时等号成立, 即 ,所以 ,故选项A,B,C错误; 资料收集整理【淘宝店铺:向阳百分百】 11因为 ,当且仅当 时等号成立, 所以 ,即 ,当且仅当 时等号成立,因为 , 所以 ,当且仅当 时等号成立,故选项D正确. 2.若 ,则 的最小值是 ( ) A. B.1 C.2 D. 【答案】C 【分析】根据给定等式,利用均值不等式变形,再解一元二次不等式作答. 【详解】 ,当且仅当 时取等号, 因此 ,即 ,解得 , 所以当 时, 取得最小值2. 3.已知 , . (1)若不等式 恒成立,求 的最大值; (2)若 ,求 的最小值. 【答案】(1)12; (2)4. 【分析】(1)对给定不等式分离参数,再利用1的妙用求出最小值作答. (2)变形给定等式,利用均值不等式建立并解一元二次不等式作答. 【详解】(1)因为 , ,则 , 而 ,当且仅当 ,即 时取等号, 依题意,不等式 恒成立,于是 所以m的最大值为12. (2)若 , , ,则 , 当且仅当 ,即 , 时取等号, 于是 ,而 ,解得 , 所以 的最小值为4. 考点三、 线性规划 资料收集整理【淘宝店铺:向阳百分百】 121.(2023年全国甲卷(理科)第14题)设x,y满足约束条件 ,设 ,则z的最大 值为____________. 【命题意图】 本题考察线性规划“截距”型问题,由约束条件作出可行域, 求目标函数最值,难度:容易 【答案】15 【详解】作出可行域,如图, 由图可知,当目标函数 过点 时, 有最大值, 由 可得 ,即 , 所以 . 2.(内蒙古名校模拟)已知x,y满足约束条件 ,则 的最小值为( ) A.1 B. C.-2 D. 【答案】D 【分析】由约束条件作出可行域,数形结合求出 的最小值. 【详解】 由约束条件作出可行域如图, 表示可行域内 的点与点 连线的斜率, 联立方程 ,得交点坐标 , 由图得,当过点 时,斜率最小为 ,所以 的最小值为 . 3.(江西省新八校模拟)已知x,y满足约束条件 ,则 的最小值为________. 【答案】 / 资料收集整理【淘宝店铺:向阳百分百】 13【分析】画出可行域, 表示可行域中一点 与原点 之间距离的平方,由图找到最小值, 由点到直线的距离公式求解即可. 【详解】画出可行域如下图阴影部分, 表示可行域中一点 与 原点 之间距离的平方, 由图可知,原点到直线 的距离最小, 为 , 则 的最小值为 . 1.若 , 满足约束条件 则 的最大值为( ) A.0 B.2 C.14 D.16 【答案】C 【分析】画出不等式组对应的可行域,再利用数形结合分析解答. 【详解】画出不等式组对应的可行域(如图所示), 由题得 ,它表示斜率为 纵截距为 的平行直线系, 当直线经过点 时,直线的纵截距 最小, 最大. 联立直线方程得 . 此时 的最大值为 . 2.已知实数x,y满足约束条件 ,则 的最大值是( ) A.2 B. C.3 D.4 【答案】C 【分析】作出可行域,根据 的几何意义,即可求得答案. 资料收集整理【淘宝店铺:向阳百分百】 14【详解】画出不等式组表示的可行域,如图所示(阴影部分), 解方程组 ,得 ,故 , 解 ,可得 ,故 , 表示的是可行域内的点与原点 连线的斜率, , 根据 的几何意义可知 的最大值为2, 的最大值为 . 3.已知实数 、 满足 ,若 恒成立,则实数 的取值范围为( ) A. B. C. D. 【答案】B 【分析】作出可行域,找出使得 取的最大值时对应的最优解,求出 的最大值,即可 得出实数 的取值范围. 【详解】作出不等式组 所表示的可行域如下图所示: 记点 、 ,则 , 联立 可得 ,即点 , 同理可得 、 ,因为 , , , 所以,当点 与点 重合时, 取最大值,且 , 所以, 的最大值为 ,故 . 资料收集整理【淘宝店铺:向阳百分百】 15考点 四 、 二次函数与一元二次不等式 1.(镇江中学模拟)已知全集 ,则 ( ) A. B. C. D. 【答案】A 【分析】先化简集合 ,再根据补集和交集运算法则进行计算即可. 【详解】由题意得, , ,则 , 所以 . 2.(信阳市模拟)已知条件 ,条件 ,若p是q的必要而不充分 条件,则实数a的取值范围为( ) A. B. C. D. 【答案】C 【分析】求解命题 中涉及的不等式,根据题意可得相应集合的包含关系,列出不等式组,即可求得答 案. 【详解】由 ,得 ,所以 , 由 ,得 ,所以 , 因为p是q的必要而不充分条件,所以  ,则 , 解得 , 3.已知集合 , ,若 ,且 ,则实数 的取值范围是( ) A. B. C. D. 【答案】B 【分析】先求出集合 ,然后根据 的关系,结合 进行分析即可. 【详解】因为 或 , 资料收集整理【淘宝店铺:向阳百分百】 16所以 或 ,由 ,所以当 时, 不成立, 所以集合 为空集, 满足题意, 当 时, ,由 ,所以 , 所以有 ,综上所述实数 的取值范围是 , 1.设 ,则“ ”是“ ”的( ) A.充分不必要条件 B.必要不充分条件 C.充要条件 D.既不充分也不必要条件 【答案】B 【分析】解不等式求出不等式的解集,根据 为 的真子集,得到答案. 【详解】解不等式 得 ,不等式 化为 ,所以 , 因为 为 的真子集,所以“ ”是“ ”的必要不充分条件. 2.已知集合 ,若 ,则实数 a的取值范围为 . 【答案】 【分析】解不等式 , 化简集合A,B, 后由 可得 时 的范围 . 【详解】 , 注意到 ,则 或 ; ,则 或 , , 若 ,则 或 , 则 时,a的范围集合为 时a的范围集合关于 的补集,即为 . 资料收集整理【淘宝店铺:向阳百分百】 173.已知集合 , ,若“ ”是“ ”的充分非必要条件,则实数 的 取值范围是( ) A. B. C. D. 【答案】B 【分析】首先解一元二次不等式求出集合 ,依题意可得 ,即可得到 ,再求出集合 ,即可求 出参数的取值范围. 【详解】由 ,解得 ,所以 , 因为 ,所以不等式 ,等价于 , 因为“ ”是“ ”的充分非必要条件,所以 , 所以 ,则 ,所以不等式 ,即 ,解得 , 所以 ,又 ,所以 . 【基础过关】 1.设P=2a2-4a+3,Q=(a-1)(a-3),a∈R,则有( ). A.P≥Q B.P>Q C.P0;② > ;③bc>ad.则以其中两个不等式为条件,剩下的一个不等 a b 式为结论,能得到的真命题的个数是( ). A.0 B.1 C.2 D.3 【答案】D c d 【详解】由ab>0,在bc>ad两边同除以ab,得 > ,故①③⇒②成立; a b c d 由ab>0,在 > 的两边同乘以ab,得bc>ad,故①②⇒③成立; a b c d bc−ad 由 > ,移项通分得 >0,结合bc>ad,得分母ab>0,故②③⇒①成立. a b ab 资料收集整理【淘宝店铺:向阳百分百】 18综上所述,以其中两个作条件,余下的一个作结论,可组成3个真命题. 9 3.(2023·宿州模拟)已知函数y=x-4+ (x>-1),当x=a时,y取得最小值b,则2a+3b=( ). x+1 A.9 B.7 C.5 D.3 【答案】 B 9 9 √ 9 9 【详解】 因为x>-1,所以x+1>0,所以y=x-4+ =x+1+ -5≥2 (x+1)· -5=1,当且仅当x+1= , x+1 x+1 x+1 x+1 即x=2时取等号,所以y取得最小值b=1,此时x=a=2,所以2a+3b=7. 5 1 4.已知x< ,则f(x)=4x-2+ 的最大值为 . 4 4x−5 【答案】 1 5 【详解】 ∵x< ,∴5-4x>0, 4 1 ( 1 ) √ 1 则f(x)=4x-5+ +3=- 5−4x+ +3≤-2 (5-4x)· +3=-2+3=1, 4x−5 5−4x 5−4x 1 3 当且仅当5-4x= ,即x=1或x= (舍去)时,取等号. 5−4x 2 1 故f(x)=4x-2+ 的最大值为1. 4x−5 2 3 5.已知不等式2x+m+ >0对一切x∈ ,+∞ 恒成立,则实数m的取值范围是 . x−1 2 【答案】(-6,+∞) 2 3 3 2 2 【详解】 由题意知,-m<2x+ 对一切x∈ ,+∞ 恒成立,又x≥ 时,x-1>0,则2x+ =2(x-1)+ +2≥2 x−1 2 2 x−1 x−1 √ 2 2 2(x−1)· +2=6,当且仅当2(x-1)= ,即x=2时,等号成立,∴-m<6,即m>-6. x−1 x−1 2 1 6.(2023·重庆模拟)已知a>0,b>0,且a+b=2,则 + 的最小值是( ). a 2b 9 9 A.1 B.2 C. D. 4 2 【答案】C a+b 【详解】因为a>0,b>0,且a+b=2,所以 =1, 2 2 1 1 (2 1 ) 1(2b a 5) 1 ( 5) 9 4 2 所以 + = (a+b) + = + + ≥ × 2+ = ,当且仅当a= ,b= 时,等号成立. a 2b 2 a 2b 2 a 2b 2 2 2 4 3 3 1 1 7.已知a>1,b>0,a+b=2,则 + 的最小值为 . a−1 2b 3 【答案】 +√2 2 资料收集整理【淘宝店铺:向阳百分百】 191 1 1 1 1 a−1 b 【详解】已知a>1,b>0,a+b=2,可得(a-1)+b=1,又a-1>0,则 + =[(a-1)+b] + =1+ + + ≥ a−1 2b a−1 2b 2 2b a−1 3 √a−1 b 3 a−1 b 1 1 3 +2 · = +√2,当且仅当 = ,即a=3-√2,b=√2-1时取等号,则 + 的最小值为 + 2 2b a−1 2 2b a−1 a−1 2b 2 √2. 8.(2023 河南省部分名校模拟)若 , 满足约束条件 则 的最大值为 ( ) A.0 B.2 C.14 D.16 【答案】C 【分析】画出不等式组对应的可行域,再利用数形结合分析解答. 【详解】画出不等式组对应的可行域(如图所示), 由题得 ,它表示斜率为 纵截距为 的平行直线系, 当直线经过点 时,直线的纵截距 最小, 最大. 联立直线方程得 . 此时 的最大值为 . 9.(2023 赣州市名校模拟)设实数 , 满足约束条件 ,则 的最小值为 ( ) A. B. C.5 D. 【答案】B 【分析】由题意画出可行域, 表示可行域中一点 与 之间距离的平方,由图可知 到直 线 的距离的平方为 的最小值,求解即可. 【详解】由题意画出可行域,如下图, , 表示可行域中一点 与 之间距离的平方, 则 到直线 的距离的平方为 的最小值, 资料收集整理【淘宝店铺:向阳百分百】 20则 ,所以 . 10.设 满足约束条件 ,则 的最小值为________. 【答案】 /0.5 【分析】作出线性区域,由图分析求目标函数的最小值即可. 【详解】作出线性区域如图所示: ,所以 表示可行域中的点 到原点连线的斜率,由图可知,点 与原点连线斜率最小, 所以 的最小值为: 11.设 ,则“ ”是“ ”的( ) A.充分不必要条件 B.必要不充分条件 C.充要条件 D.既不充分也不必要条件 【答案】B 【分析】解不等式求出不等式的解集,根据 为 的真子集,得到答案. 【详解】解不等式 得 , 不等式 化为 ,所以 , 因为 为 的真子集, 所以“ ”是“ ”的必要不充分条件. 1 12.不等式 +2≥0的解集为 . x−1 { | 1} 【答案】 x x>1或x≤ 2 2x−1 {(2x-1)(x-1)≥0, 1 【详解】可将原不等式变为 ≥0,即 解得x>1或x≤ . x−1 x−1≠0, 2 13.已知关于 x 的方程 x2+2(a+2)x+a2-1=0.当该方程有一个正根和一个负根时,实数 a 的取值范围是 . 【答案】 (-1,1) 【详解】关于x的方程x2+2(a+2)x+a2-1=0有一个正根和一个负根,只需其对应的 二次函数f(x)=x2+2(a+2)x+a2-1满足f(0)<0,即a2-1<0,解得-1-1,b>0,则 + 的最小值为( ). a+1 b 3 4 2 A. B.1 C. D. 2 3 3 【答案】 C 1 1 1 1 1 1 b 【详解】 由a+b=2,得a+1+b=3.因为a>-1,所以a+1>0,所以 + = (a+1+b) + = 2+ + a+1 b 3 a+1 b 3 a+1 a+1 1 √ b a+1 4 b a+1 1 3 ≥ 2+2 · = ,当且仅当 = ,即a= ,b= 时,等号成立, b 3 a+1 b 3 a+1 b 2 2 1 1 4 所以 + 的最小值为 . a+1 b 3 3.(2020年江苏卷)已知5x2y2+y4=1(x,y∈R),则x2+y2的最小值是 . 4 【答案】 5 1 y2 1 4 y2 √ 1 4 y2 4 1 4 y2 【详解】 (法一)由5x2y2+y4=1得x2= - ,则x2+y2= + ≥2 · = ,当且仅当 = ,即 5 y2 5 5 y2 5 5 y2 5 5 5 y2 5 1 4 y2= 时取等号,则x2+y2的最小值是 . 2 5 (5x2+ y2)+4 y2 25 4 3 1 (法二)4=(5x2+y2)·4y2≤[ ]2= (x2+y2)2,则x2+y2≥ ,当且仅当5x2+y2=4y2=2,即x2= ,y2= 时取 2 4 5 10 2 4 等号,所以x2+y2的最小值是 . 5 S +10 4.(2023·河南模拟)已知在等差数列{a }中,a3=7,a =19,S 为数列{a }的前n项和,则 n 的最小值为 n 9 n n a +1 n . 【答案】 3 a -a 19−7 n(3+2n+1) 【详解】 ∵a =7,a =19,∴d= 9 3 = =2,∴a =a +(n-3)d=7+2(n-3)=2n+1,∴S = =n(n+2), 3 9 9−3 6 n 3 n 2 资料收集整理【淘宝店铺:向阳百分百】 22因此 S n +10 = n(n+2)+10 = 1 [(n+1)+ 9 ]≥ 1 ×2 √ (n+1)· 9 =3, a +1 2n+2 2 n+1 2 n+1 n S +10 n 当且仅当n=2时取等号.故 的最小值为3. a +1 n 5.(兰州市名校模拟)已知x,y满足约束条件 ,若 的最大值为4,则 ______. 【答案】2 【分析】作出不等式组对应的平面区域,利用目标函数的几何意义,利用数形结合确定 的最大值. 【详解】作出 , 满足约束条件 对应的平面区域如图:(阴影部分)则 , 若 取得最大值为4,即目标函数在 轴的最大截距为4, 目标函数经过 时,取最大值,则 ,解得 , 6.已知实数x,y满足不等式组 ,则 的最小值为______. 【答案】-1 【分析】作出可行域,由图求目标函数的最小值即可. 【详解】作出可行域如图中阴影部分所示 易得 , 的几何意义为可行域内的点 和定点 连线的斜率.由图可知,当点P与点A重合时, z最小, . 7.已知单位向量 ,若对任意实数x, 恒成立,则向量 的夹角的取值范围为( ) A. B. C. D. 【答案】A 【分析】利用平面向量数量积与模长的关系结合一元二次不等式恒成立的解法计算即可. 【详解】设向量 的夹角为θ,因为 ,所以 , 资料收集整理【淘宝店铺:向阳百分百】 23则 ,即 恒成立. 所以 ,解得 , 故 的夹角的取值范围是 . 8.解关于x的不等式12x2-ax>a2(a∈R). 【详解】原不等式可化为12x2-ax-a2>0, a a 即(4x+a)(3x-a)>0,令(4x+a)(3x-a)=0,解得x =- ,x = . 1 4 2 3 ( a) (a ) 当a>0时,不等式的解集为 -∞,- ∪ ,+∞ ; 4 3 当a=0时,不等式的解集为(-∞,0)∪(0,+∞); ( a) ( a ) 当a<0时,不等式的解集为 -∞, ∪ - ,+∞ . 3 4 9.(2023·江苏模拟)已知关于x的一元二次不等式ax2+bx+c<0的解集为{x|10的解集是 . { 1 } 【答案】 x|x>− 或x<−1 3 【详解】 因为关于x的一元二次不等式ax2+bx+c<0的解集为{x|10,且方程ax2+bx+c=0的解为x =1,x =3,则- =4, =3,所以b=-4a,c=3a, 1 2 a a 1 故不等式cx2-bx+a>0可化为3ax2+4ax+a>0,则3x2+4x+1>0,解得x>- 或x<-1, 3 { 1 } 所以cx2-bx+a>0的解集是 x|x>− 或x<−1 . 3 10.若不等式(a-2)x2+2(a-2)x-4<0对一切x∈R恒成立,则实数a的取值范围是( ). A.(-∞,2] B.[-2,2] C.(-2,2] D.(-∞,-2) 【答案】 C 【详解】 当a-2=0,即a=2时,不等式为-4<0,对一切x∈R恒成立;当a≠2时, { a-2<0, {a-2<0, 有 即 解得-20恒成立,则x的取值范围为( ). A.(-∞,2)∪(3,+∞) B.(-∞,1)∪(2,+∞) C.(-∞,1)∪(3,+∞) D.(1,3) 【答案】 C 【详解】 把不等式的左端看成关于a的一次函数,记f(a)=(x-2)a+x2-4x+4, 则由f(a)>0对于任意的a∈[-1,1]恒成立,得f(-1)=x2-5x+6>0,且f(1)=x2-3x+2>0成立即可, {x2-5x+6>0, 解不等式组 得x<1或x>3. x2-3x+2>0, 2 12.(2023·无锡模拟)已知实数a,b满足如下两个条件:(1)关于x的方程3x2-2x-ab=0有两个异号的实根;(2) + a 1 =1.若对于上述的一切实数a,b,不等式a+2b>m2+2m恒成立,则实数m的取值范围是( ). b 资料收集整理【淘宝店铺:向阳百分百】 24A.(-4,2) B.(-2,4) C.(-∞,-4]∪[2,+∞) D.(-∞,-2]∪[4,+∞) 【答案】 A ab 【详解】 设方程3x2-2x-ab=0的两个异号的实根分别为x ,x ,则x x =- <0,∴ab>0. 1 2 1 2 3 2 1 2 1 a 4b √a 4b 又 + =1,∴a>0,b>0,则a+2b=(a+2b)( + )=4+ + ≥4+2 · =8(当且仅当a=4,b=2时取“=”), a b a b b a b a 由不等式a+2b>m2+2m恒成立,得m2+2m<8,解得-4