当前位置:首页>文档>第44练直线与双曲线(精练:基础+重难点)一轮复习讲义2024年高考数学高频考点题型归纳与方法总结(新高考通用)解析版_02高考数学_2024年新高考资料_1.2024一轮复习

第44练直线与双曲线(精练:基础+重难点)一轮复习讲义2024年高考数学高频考点题型归纳与方法总结(新高考通用)解析版_02高考数学_2024年新高考资料_1.2024一轮复习

  • 2026-04-19 03:17:09 2026-04-19 03:17:09

文档预览

第44练直线与双曲线(精练:基础+重难点)一轮复习讲义2024年高考数学高频考点题型归纳与方法总结(新高考通用)解析版_02高考数学_2024年新高考资料_1.2024一轮复习
第44练直线与双曲线(精练:基础+重难点)一轮复习讲义2024年高考数学高频考点题型归纳与方法总结(新高考通用)解析版_02高考数学_2024年新高考资料_1.2024一轮复习
第44练直线与双曲线(精练:基础+重难点)一轮复习讲义2024年高考数学高频考点题型归纳与方法总结(新高考通用)解析版_02高考数学_2024年新高考资料_1.2024一轮复习
第44练直线与双曲线(精练:基础+重难点)一轮复习讲义2024年高考数学高频考点题型归纳与方法总结(新高考通用)解析版_02高考数学_2024年新高考资料_1.2024一轮复习
第44练直线与双曲线(精练:基础+重难点)一轮复习讲义2024年高考数学高频考点题型归纳与方法总结(新高考通用)解析版_02高考数学_2024年新高考资料_1.2024一轮复习
第44练直线与双曲线(精练:基础+重难点)一轮复习讲义2024年高考数学高频考点题型归纳与方法总结(新高考通用)解析版_02高考数学_2024年新高考资料_1.2024一轮复习
第44练直线与双曲线(精练:基础+重难点)一轮复习讲义2024年高考数学高频考点题型归纳与方法总结(新高考通用)解析版_02高考数学_2024年新高考资料_1.2024一轮复习
第44练直线与双曲线(精练:基础+重难点)一轮复习讲义2024年高考数学高频考点题型归纳与方法总结(新高考通用)解析版_02高考数学_2024年新高考资料_1.2024一轮复习
第44练直线与双曲线(精练:基础+重难点)一轮复习讲义2024年高考数学高频考点题型归纳与方法总结(新高考通用)解析版_02高考数学_2024年新高考资料_1.2024一轮复习
第44练直线与双曲线(精练:基础+重难点)一轮复习讲义2024年高考数学高频考点题型归纳与方法总结(新高考通用)解析版_02高考数学_2024年新高考资料_1.2024一轮复习
第44练直线与双曲线(精练:基础+重难点)一轮复习讲义2024年高考数学高频考点题型归纳与方法总结(新高考通用)解析版_02高考数学_2024年新高考资料_1.2024一轮复习
第44练直线与双曲线(精练:基础+重难点)一轮复习讲义2024年高考数学高频考点题型归纳与方法总结(新高考通用)解析版_02高考数学_2024年新高考资料_1.2024一轮复习
第44练直线与双曲线(精练:基础+重难点)一轮复习讲义2024年高考数学高频考点题型归纳与方法总结(新高考通用)解析版_02高考数学_2024年新高考资料_1.2024一轮复习
第44练直线与双曲线(精练:基础+重难点)一轮复习讲义2024年高考数学高频考点题型归纳与方法总结(新高考通用)解析版_02高考数学_2024年新高考资料_1.2024一轮复习
第44练直线与双曲线(精练:基础+重难点)一轮复习讲义2024年高考数学高频考点题型归纳与方法总结(新高考通用)解析版_02高考数学_2024年新高考资料_1.2024一轮复习
第44练直线与双曲线(精练:基础+重难点)一轮复习讲义2024年高考数学高频考点题型归纳与方法总结(新高考通用)解析版_02高考数学_2024年新高考资料_1.2024一轮复习
第44练直线与双曲线(精练:基础+重难点)一轮复习讲义2024年高考数学高频考点题型归纳与方法总结(新高考通用)解析版_02高考数学_2024年新高考资料_1.2024一轮复习
第44练直线与双曲线(精练:基础+重难点)一轮复习讲义2024年高考数学高频考点题型归纳与方法总结(新高考通用)解析版_02高考数学_2024年新高考资料_1.2024一轮复习
第44练直线与双曲线(精练:基础+重难点)一轮复习讲义2024年高考数学高频考点题型归纳与方法总结(新高考通用)解析版_02高考数学_2024年新高考资料_1.2024一轮复习
第44练直线与双曲线(精练:基础+重难点)一轮复习讲义2024年高考数学高频考点题型归纳与方法总结(新高考通用)解析版_02高考数学_2024年新高考资料_1.2024一轮复习
第44练直线与双曲线(精练:基础+重难点)一轮复习讲义2024年高考数学高频考点题型归纳与方法总结(新高考通用)解析版_02高考数学_2024年新高考资料_1.2024一轮复习
第44练直线与双曲线(精练:基础+重难点)一轮复习讲义2024年高考数学高频考点题型归纳与方法总结(新高考通用)解析版_02高考数学_2024年新高考资料_1.2024一轮复习
第44练直线与双曲线(精练:基础+重难点)一轮复习讲义2024年高考数学高频考点题型归纳与方法总结(新高考通用)解析版_02高考数学_2024年新高考资料_1.2024一轮复习
第44练直线与双曲线(精练:基础+重难点)一轮复习讲义2024年高考数学高频考点题型归纳与方法总结(新高考通用)解析版_02高考数学_2024年新高考资料_1.2024一轮复习
第44练直线与双曲线(精练:基础+重难点)一轮复习讲义2024年高考数学高频考点题型归纳与方法总结(新高考通用)解析版_02高考数学_2024年新高考资料_1.2024一轮复习
第44练直线与双曲线(精练:基础+重难点)一轮复习讲义2024年高考数学高频考点题型归纳与方法总结(新高考通用)解析版_02高考数学_2024年新高考资料_1.2024一轮复习
第44练直线与双曲线(精练:基础+重难点)一轮复习讲义2024年高考数学高频考点题型归纳与方法总结(新高考通用)解析版_02高考数学_2024年新高考资料_1.2024一轮复习
第44练直线与双曲线(精练:基础+重难点)一轮复习讲义2024年高考数学高频考点题型归纳与方法总结(新高考通用)解析版_02高考数学_2024年新高考资料_1.2024一轮复习
第44练直线与双曲线(精练:基础+重难点)一轮复习讲义2024年高考数学高频考点题型归纳与方法总结(新高考通用)解析版_02高考数学_2024年新高考资料_1.2024一轮复习
第44练直线与双曲线(精练:基础+重难点)一轮复习讲义2024年高考数学高频考点题型归纳与方法总结(新高考通用)解析版_02高考数学_2024年新高考资料_1.2024一轮复习
第44练直线与双曲线(精练:基础+重难点)一轮复习讲义2024年高考数学高频考点题型归纳与方法总结(新高考通用)解析版_02高考数学_2024年新高考资料_1.2024一轮复习
第44练直线与双曲线(精练:基础+重难点)一轮复习讲义2024年高考数学高频考点题型归纳与方法总结(新高考通用)解析版_02高考数学_2024年新高考资料_1.2024一轮复习
第44练直线与双曲线(精练:基础+重难点)一轮复习讲义2024年高考数学高频考点题型归纳与方法总结(新高考通用)解析版_02高考数学_2024年新高考资料_1.2024一轮复习
第44练直线与双曲线(精练:基础+重难点)一轮复习讲义2024年高考数学高频考点题型归纳与方法总结(新高考通用)解析版_02高考数学_2024年新高考资料_1.2024一轮复习
第44练直线与双曲线(精练:基础+重难点)一轮复习讲义2024年高考数学高频考点题型归纳与方法总结(新高考通用)解析版_02高考数学_2024年新高考资料_1.2024一轮复习
第44练直线与双曲线(精练:基础+重难点)一轮复习讲义2024年高考数学高频考点题型归纳与方法总结(新高考通用)解析版_02高考数学_2024年新高考资料_1.2024一轮复习
第44练直线与双曲线(精练:基础+重难点)一轮复习讲义2024年高考数学高频考点题型归纳与方法总结(新高考通用)解析版_02高考数学_2024年新高考资料_1.2024一轮复习
第44练直线与双曲线(精练:基础+重难点)一轮复习讲义2024年高考数学高频考点题型归纳与方法总结(新高考通用)解析版_02高考数学_2024年新高考资料_1.2024一轮复习
第44练直线与双曲线(精练:基础+重难点)一轮复习讲义2024年高考数学高频考点题型归纳与方法总结(新高考通用)解析版_02高考数学_2024年新高考资料_1.2024一轮复习
第44练直线与双曲线(精练:基础+重难点)一轮复习讲义2024年高考数学高频考点题型归纳与方法总结(新高考通用)解析版_02高考数学_2024年新高考资料_1.2024一轮复习
第44练直线与双曲线(精练:基础+重难点)一轮复习讲义2024年高考数学高频考点题型归纳与方法总结(新高考通用)解析版_02高考数学_2024年新高考资料_1.2024一轮复习
第44练直线与双曲线(精练:基础+重难点)一轮复习讲义2024年高考数学高频考点题型归纳与方法总结(新高考通用)解析版_02高考数学_2024年新高考资料_1.2024一轮复习
第44练直线与双曲线(精练:基础+重难点)一轮复习讲义2024年高考数学高频考点题型归纳与方法总结(新高考通用)解析版_02高考数学_2024年新高考资料_1.2024一轮复习
第44练直线与双曲线(精练:基础+重难点)一轮复习讲义2024年高考数学高频考点题型归纳与方法总结(新高考通用)解析版_02高考数学_2024年新高考资料_1.2024一轮复习
第44练直线与双曲线(精练:基础+重难点)一轮复习讲义2024年高考数学高频考点题型归纳与方法总结(新高考通用)解析版_02高考数学_2024年新高考资料_1.2024一轮复习
第44练直线与双曲线(精练:基础+重难点)一轮复习讲义2024年高考数学高频考点题型归纳与方法总结(新高考通用)解析版_02高考数学_2024年新高考资料_1.2024一轮复习
第44练直线与双曲线(精练:基础+重难点)一轮复习讲义2024年高考数学高频考点题型归纳与方法总结(新高考通用)解析版_02高考数学_2024年新高考资料_1.2024一轮复习
第44练直线与双曲线(精练:基础+重难点)一轮复习讲义2024年高考数学高频考点题型归纳与方法总结(新高考通用)解析版_02高考数学_2024年新高考资料_1.2024一轮复习
第44练直线与双曲线(精练:基础+重难点)一轮复习讲义2024年高考数学高频考点题型归纳与方法总结(新高考通用)解析版_02高考数学_2024年新高考资料_1.2024一轮复习
第44练直线与双曲线(精练:基础+重难点)一轮复习讲义2024年高考数学高频考点题型归纳与方法总结(新高考通用)解析版_02高考数学_2024年新高考资料_1.2024一轮复习
第44练直线与双曲线(精练:基础+重难点)一轮复习讲义2024年高考数学高频考点题型归纳与方法总结(新高考通用)解析版_02高考数学_2024年新高考资料_1.2024一轮复习
第44练直线与双曲线(精练:基础+重难点)一轮复习讲义2024年高考数学高频考点题型归纳与方法总结(新高考通用)解析版_02高考数学_2024年新高考资料_1.2024一轮复习
第44练直线与双曲线(精练:基础+重难点)一轮复习讲义2024年高考数学高频考点题型归纳与方法总结(新高考通用)解析版_02高考数学_2024年新高考资料_1.2024一轮复习
第44练直线与双曲线(精练:基础+重难点)一轮复习讲义2024年高考数学高频考点题型归纳与方法总结(新高考通用)解析版_02高考数学_2024年新高考资料_1.2024一轮复习
第44练直线与双曲线(精练:基础+重难点)一轮复习讲义2024年高考数学高频考点题型归纳与方法总结(新高考通用)解析版_02高考数学_2024年新高考资料_1.2024一轮复习
第44练直线与双曲线(精练:基础+重难点)一轮复习讲义2024年高考数学高频考点题型归纳与方法总结(新高考通用)解析版_02高考数学_2024年新高考资料_1.2024一轮复习
第44练直线与双曲线(精练:基础+重难点)一轮复习讲义2024年高考数学高频考点题型归纳与方法总结(新高考通用)解析版_02高考数学_2024年新高考资料_1.2024一轮复习
第44练直线与双曲线(精练:基础+重难点)一轮复习讲义2024年高考数学高频考点题型归纳与方法总结(新高考通用)解析版_02高考数学_2024年新高考资料_1.2024一轮复习
第44练直线与双曲线(精练:基础+重难点)一轮复习讲义2024年高考数学高频考点题型归纳与方法总结(新高考通用)解析版_02高考数学_2024年新高考资料_1.2024一轮复习
第44练直线与双曲线(精练:基础+重难点)一轮复习讲义2024年高考数学高频考点题型归纳与方法总结(新高考通用)解析版_02高考数学_2024年新高考资料_1.2024一轮复习
第44练直线与双曲线(精练:基础+重难点)一轮复习讲义2024年高考数学高频考点题型归纳与方法总结(新高考通用)解析版_02高考数学_2024年新高考资料_1.2024一轮复习
第44练直线与双曲线(精练:基础+重难点)一轮复习讲义2024年高考数学高频考点题型归纳与方法总结(新高考通用)解析版_02高考数学_2024年新高考资料_1.2024一轮复习
第44练直线与双曲线(精练:基础+重难点)一轮复习讲义2024年高考数学高频考点题型归纳与方法总结(新高考通用)解析版_02高考数学_2024年新高考资料_1.2024一轮复习
第44练直线与双曲线(精练:基础+重难点)一轮复习讲义2024年高考数学高频考点题型归纳与方法总结(新高考通用)解析版_02高考数学_2024年新高考资料_1.2024一轮复习
第44练直线与双曲线(精练:基础+重难点)一轮复习讲义2024年高考数学高频考点题型归纳与方法总结(新高考通用)解析版_02高考数学_2024年新高考资料_1.2024一轮复习
第44练直线与双曲线(精练:基础+重难点)一轮复习讲义2024年高考数学高频考点题型归纳与方法总结(新高考通用)解析版_02高考数学_2024年新高考资料_1.2024一轮复习
第44练直线与双曲线(精练:基础+重难点)一轮复习讲义2024年高考数学高频考点题型归纳与方法总结(新高考通用)解析版_02高考数学_2024年新高考资料_1.2024一轮复习
第44练直线与双曲线(精练:基础+重难点)一轮复习讲义2024年高考数学高频考点题型归纳与方法总结(新高考通用)解析版_02高考数学_2024年新高考资料_1.2024一轮复习
第44练直线与双曲线(精练:基础+重难点)一轮复习讲义2024年高考数学高频考点题型归纳与方法总结(新高考通用)解析版_02高考数学_2024年新高考资料_1.2024一轮复习
第44练直线与双曲线(精练:基础+重难点)一轮复习讲义2024年高考数学高频考点题型归纳与方法总结(新高考通用)解析版_02高考数学_2024年新高考资料_1.2024一轮复习
第44练直线与双曲线(精练:基础+重难点)一轮复习讲义2024年高考数学高频考点题型归纳与方法总结(新高考通用)解析版_02高考数学_2024年新高考资料_1.2024一轮复习
第44练直线与双曲线(精练:基础+重难点)一轮复习讲义2024年高考数学高频考点题型归纳与方法总结(新高考通用)解析版_02高考数学_2024年新高考资料_1.2024一轮复习
第44练直线与双曲线(精练:基础+重难点)一轮复习讲义2024年高考数学高频考点题型归纳与方法总结(新高考通用)解析版_02高考数学_2024年新高考资料_1.2024一轮复习
第44练直线与双曲线(精练:基础+重难点)一轮复习讲义2024年高考数学高频考点题型归纳与方法总结(新高考通用)解析版_02高考数学_2024年新高考资料_1.2024一轮复习
第44练直线与双曲线(精练:基础+重难点)一轮复习讲义2024年高考数学高频考点题型归纳与方法总结(新高考通用)解析版_02高考数学_2024年新高考资料_1.2024一轮复习
第44练直线与双曲线(精练:基础+重难点)一轮复习讲义2024年高考数学高频考点题型归纳与方法总结(新高考通用)解析版_02高考数学_2024年新高考资料_1.2024一轮复习
第44练直线与双曲线(精练:基础+重难点)一轮复习讲义2024年高考数学高频考点题型归纳与方法总结(新高考通用)解析版_02高考数学_2024年新高考资料_1.2024一轮复习
第44练直线与双曲线(精练:基础+重难点)一轮复习讲义2024年高考数学高频考点题型归纳与方法总结(新高考通用)解析版_02高考数学_2024年新高考资料_1.2024一轮复习
第44练直线与双曲线(精练:基础+重难点)一轮复习讲义2024年高考数学高频考点题型归纳与方法总结(新高考通用)解析版_02高考数学_2024年新高考资料_1.2024一轮复习
第44练直线与双曲线(精练:基础+重难点)一轮复习讲义2024年高考数学高频考点题型归纳与方法总结(新高考通用)解析版_02高考数学_2024年新高考资料_1.2024一轮复习
第44练直线与双曲线(精练:基础+重难点)一轮复习讲义2024年高考数学高频考点题型归纳与方法总结(新高考通用)解析版_02高考数学_2024年新高考资料_1.2024一轮复习
第44练直线与双曲线(精练:基础+重难点)一轮复习讲义2024年高考数学高频考点题型归纳与方法总结(新高考通用)解析版_02高考数学_2024年新高考资料_1.2024一轮复习
第44练直线与双曲线(精练:基础+重难点)一轮复习讲义2024年高考数学高频考点题型归纳与方法总结(新高考通用)解析版_02高考数学_2024年新高考资料_1.2024一轮复习
第44练直线与双曲线(精练:基础+重难点)一轮复习讲义2024年高考数学高频考点题型归纳与方法总结(新高考通用)解析版_02高考数学_2024年新高考资料_1.2024一轮复习
第44练直线与双曲线(精练:基础+重难点)一轮复习讲义2024年高考数学高频考点题型归纳与方法总结(新高考通用)解析版_02高考数学_2024年新高考资料_1.2024一轮复习
第44练直线与双曲线(精练:基础+重难点)一轮复习讲义2024年高考数学高频考点题型归纳与方法总结(新高考通用)解析版_02高考数学_2024年新高考资料_1.2024一轮复习
第44练直线与双曲线(精练:基础+重难点)一轮复习讲义2024年高考数学高频考点题型归纳与方法总结(新高考通用)解析版_02高考数学_2024年新高考资料_1.2024一轮复习
第44练直线与双曲线(精练:基础+重难点)一轮复习讲义2024年高考数学高频考点题型归纳与方法总结(新高考通用)解析版_02高考数学_2024年新高考资料_1.2024一轮复习
第44练直线与双曲线(精练:基础+重难点)一轮复习讲义2024年高考数学高频考点题型归纳与方法总结(新高考通用)解析版_02高考数学_2024年新高考资料_1.2024一轮复习
第44练直线与双曲线(精练:基础+重难点)一轮复习讲义2024年高考数学高频考点题型归纳与方法总结(新高考通用)解析版_02高考数学_2024年新高考资料_1.2024一轮复习
第44练直线与双曲线(精练:基础+重难点)一轮复习讲义2024年高考数学高频考点题型归纳与方法总结(新高考通用)解析版_02高考数学_2024年新高考资料_1.2024一轮复习
第44练直线与双曲线(精练:基础+重难点)一轮复习讲义2024年高考数学高频考点题型归纳与方法总结(新高考通用)解析版_02高考数学_2024年新高考资料_1.2024一轮复习
第44练直线与双曲线(精练:基础+重难点)一轮复习讲义2024年高考数学高频考点题型归纳与方法总结(新高考通用)解析版_02高考数学_2024年新高考资料_1.2024一轮复习
第44练直线与双曲线(精练:基础+重难点)一轮复习讲义2024年高考数学高频考点题型归纳与方法总结(新高考通用)解析版_02高考数学_2024年新高考资料_1.2024一轮复习
第44练直线与双曲线(精练:基础+重难点)一轮复习讲义2024年高考数学高频考点题型归纳与方法总结(新高考通用)解析版_02高考数学_2024年新高考资料_1.2024一轮复习
第44练直线与双曲线(精练:基础+重难点)一轮复习讲义2024年高考数学高频考点题型归纳与方法总结(新高考通用)解析版_02高考数学_2024年新高考资料_1.2024一轮复习
第44练直线与双曲线(精练:基础+重难点)一轮复习讲义2024年高考数学高频考点题型归纳与方法总结(新高考通用)解析版_02高考数学_2024年新高考资料_1.2024一轮复习
第44练直线与双曲线(精练:基础+重难点)一轮复习讲义2024年高考数学高频考点题型归纳与方法总结(新高考通用)解析版_02高考数学_2024年新高考资料_1.2024一轮复习
第44练直线与双曲线(精练:基础+重难点)一轮复习讲义2024年高考数学高频考点题型归纳与方法总结(新高考通用)解析版_02高考数学_2024年新高考资料_1.2024一轮复习
第44练直线与双曲线(精练:基础+重难点)一轮复习讲义2024年高考数学高频考点题型归纳与方法总结(新高考通用)解析版_02高考数学_2024年新高考资料_1.2024一轮复习
第44练直线与双曲线(精练:基础+重难点)一轮复习讲义2024年高考数学高频考点题型归纳与方法总结(新高考通用)解析版_02高考数学_2024年新高考资料_1.2024一轮复习
第44练直线与双曲线(精练:基础+重难点)一轮复习讲义2024年高考数学高频考点题型归纳与方法总结(新高考通用)解析版_02高考数学_2024年新高考资料_1.2024一轮复习
第44练直线与双曲线(精练:基础+重难点)一轮复习讲义2024年高考数学高频考点题型归纳与方法总结(新高考通用)解析版_02高考数学_2024年新高考资料_1.2024一轮复习
第44练直线与双曲线(精练:基础+重难点)一轮复习讲义2024年高考数学高频考点题型归纳与方法总结(新高考通用)解析版_02高考数学_2024年新高考资料_1.2024一轮复习
第44练直线与双曲线(精练:基础+重难点)一轮复习讲义2024年高考数学高频考点题型归纳与方法总结(新高考通用)解析版_02高考数学_2024年新高考资料_1.2024一轮复习
第44练直线与双曲线(精练:基础+重难点)一轮复习讲义2024年高考数学高频考点题型归纳与方法总结(新高考通用)解析版_02高考数学_2024年新高考资料_1.2024一轮复习
第44练直线与双曲线(精练:基础+重难点)一轮复习讲义2024年高考数学高频考点题型归纳与方法总结(新高考通用)解析版_02高考数学_2024年新高考资料_1.2024一轮复习
第44练直线与双曲线(精练:基础+重难点)一轮复习讲义2024年高考数学高频考点题型归纳与方法总结(新高考通用)解析版_02高考数学_2024年新高考资料_1.2024一轮复习
第44练直线与双曲线(精练:基础+重难点)一轮复习讲义2024年高考数学高频考点题型归纳与方法总结(新高考通用)解析版_02高考数学_2024年新高考资料_1.2024一轮复习
第44练直线与双曲线(精练:基础+重难点)一轮复习讲义2024年高考数学高频考点题型归纳与方法总结(新高考通用)解析版_02高考数学_2024年新高考资料_1.2024一轮复习
第44练直线与双曲线(精练:基础+重难点)一轮复习讲义2024年高考数学高频考点题型归纳与方法总结(新高考通用)解析版_02高考数学_2024年新高考资料_1.2024一轮复习
第44练直线与双曲线(精练:基础+重难点)一轮复习讲义2024年高考数学高频考点题型归纳与方法总结(新高考通用)解析版_02高考数学_2024年新高考资料_1.2024一轮复习
第44练直线与双曲线(精练:基础+重难点)一轮复习讲义2024年高考数学高频考点题型归纳与方法总结(新高考通用)解析版_02高考数学_2024年新高考资料_1.2024一轮复习
第44练直线与双曲线(精练:基础+重难点)一轮复习讲义2024年高考数学高频考点题型归纳与方法总结(新高考通用)解析版_02高考数学_2024年新高考资料_1.2024一轮复习
第44练直线与双曲线(精练:基础+重难点)一轮复习讲义2024年高考数学高频考点题型归纳与方法总结(新高考通用)解析版_02高考数学_2024年新高考资料_1.2024一轮复习
第44练直线与双曲线(精练:基础+重难点)一轮复习讲义2024年高考数学高频考点题型归纳与方法总结(新高考通用)解析版_02高考数学_2024年新高考资料_1.2024一轮复习
第44练直线与双曲线(精练:基础+重难点)一轮复习讲义2024年高考数学高频考点题型归纳与方法总结(新高考通用)解析版_02高考数学_2024年新高考资料_1.2024一轮复习
第44练直线与双曲线(精练:基础+重难点)一轮复习讲义2024年高考数学高频考点题型归纳与方法总结(新高考通用)解析版_02高考数学_2024年新高考资料_1.2024一轮复习
第44练直线与双曲线(精练:基础+重难点)一轮复习讲义2024年高考数学高频考点题型归纳与方法总结(新高考通用)解析版_02高考数学_2024年新高考资料_1.2024一轮复习
第44练直线与双曲线(精练:基础+重难点)一轮复习讲义2024年高考数学高频考点题型归纳与方法总结(新高考通用)解析版_02高考数学_2024年新高考资料_1.2024一轮复习
第44练直线与双曲线(精练:基础+重难点)一轮复习讲义2024年高考数学高频考点题型归纳与方法总结(新高考通用)解析版_02高考数学_2024年新高考资料_1.2024一轮复习
第44练直线与双曲线(精练:基础+重难点)一轮复习讲义2024年高考数学高频考点题型归纳与方法总结(新高考通用)解析版_02高考数学_2024年新高考资料_1.2024一轮复习
第44练直线与双曲线(精练:基础+重难点)一轮复习讲义2024年高考数学高频考点题型归纳与方法总结(新高考通用)解析版_02高考数学_2024年新高考资料_1.2024一轮复习
第44练直线与双曲线(精练:基础+重难点)一轮复习讲义2024年高考数学高频考点题型归纳与方法总结(新高考通用)解析版_02高考数学_2024年新高考资料_1.2024一轮复习
第44练直线与双曲线(精练:基础+重难点)一轮复习讲义2024年高考数学高频考点题型归纳与方法总结(新高考通用)解析版_02高考数学_2024年新高考资料_1.2024一轮复习
第44练直线与双曲线(精练:基础+重难点)一轮复习讲义2024年高考数学高频考点题型归纳与方法总结(新高考通用)解析版_02高考数学_2024年新高考资料_1.2024一轮复习
第44练直线与双曲线(精练:基础+重难点)一轮复习讲义2024年高考数学高频考点题型归纳与方法总结(新高考通用)解析版_02高考数学_2024年新高考资料_1.2024一轮复习
第44练直线与双曲线(精练:基础+重难点)一轮复习讲义2024年高考数学高频考点题型归纳与方法总结(新高考通用)解析版_02高考数学_2024年新高考资料_1.2024一轮复习
第44练直线与双曲线(精练:基础+重难点)一轮复习讲义2024年高考数学高频考点题型归纳与方法总结(新高考通用)解析版_02高考数学_2024年新高考资料_1.2024一轮复习
第44练直线与双曲线(精练:基础+重难点)一轮复习讲义2024年高考数学高频考点题型归纳与方法总结(新高考通用)解析版_02高考数学_2024年新高考资料_1.2024一轮复习
第44练直线与双曲线(精练:基础+重难点)一轮复习讲义2024年高考数学高频考点题型归纳与方法总结(新高考通用)解析版_02高考数学_2024年新高考资料_1.2024一轮复习
第44练直线与双曲线(精练:基础+重难点)一轮复习讲义2024年高考数学高频考点题型归纳与方法总结(新高考通用)解析版_02高考数学_2024年新高考资料_1.2024一轮复习
第44练直线与双曲线(精练:基础+重难点)一轮复习讲义2024年高考数学高频考点题型归纳与方法总结(新高考通用)解析版_02高考数学_2024年新高考资料_1.2024一轮复习
第44练直线与双曲线(精练:基础+重难点)一轮复习讲义2024年高考数学高频考点题型归纳与方法总结(新高考通用)解析版_02高考数学_2024年新高考资料_1.2024一轮复习
第44练直线与双曲线(精练:基础+重难点)一轮复习讲义2024年高考数学高频考点题型归纳与方法总结(新高考通用)解析版_02高考数学_2024年新高考资料_1.2024一轮复习
第44练直线与双曲线(精练:基础+重难点)一轮复习讲义2024年高考数学高频考点题型归纳与方法总结(新高考通用)解析版_02高考数学_2024年新高考资料_1.2024一轮复习
第44练直线与双曲线(精练:基础+重难点)一轮复习讲义2024年高考数学高频考点题型归纳与方法总结(新高考通用)解析版_02高考数学_2024年新高考资料_1.2024一轮复习
第44练直线与双曲线(精练:基础+重难点)一轮复习讲义2024年高考数学高频考点题型归纳与方法总结(新高考通用)解析版_02高考数学_2024年新高考资料_1.2024一轮复习
第44练直线与双曲线(精练:基础+重难点)一轮复习讲义2024年高考数学高频考点题型归纳与方法总结(新高考通用)解析版_02高考数学_2024年新高考资料_1.2024一轮复习
第44练直线与双曲线(精练:基础+重难点)一轮复习讲义2024年高考数学高频考点题型归纳与方法总结(新高考通用)解析版_02高考数学_2024年新高考资料_1.2024一轮复习
第44练直线与双曲线(精练:基础+重难点)一轮复习讲义2024年高考数学高频考点题型归纳与方法总结(新高考通用)解析版_02高考数学_2024年新高考资料_1.2024一轮复习
第44练直线与双曲线(精练:基础+重难点)一轮复习讲义2024年高考数学高频考点题型归纳与方法总结(新高考通用)解析版_02高考数学_2024年新高考资料_1.2024一轮复习
第44练直线与双曲线(精练:基础+重难点)一轮复习讲义2024年高考数学高频考点题型归纳与方法总结(新高考通用)解析版_02高考数学_2024年新高考资料_1.2024一轮复习
第44练直线与双曲线(精练:基础+重难点)一轮复习讲义2024年高考数学高频考点题型归纳与方法总结(新高考通用)解析版_02高考数学_2024年新高考资料_1.2024一轮复习
第44练直线与双曲线(精练:基础+重难点)一轮复习讲义2024年高考数学高频考点题型归纳与方法总结(新高考通用)解析版_02高考数学_2024年新高考资料_1.2024一轮复习
第44练直线与双曲线(精练:基础+重难点)一轮复习讲义2024年高考数学高频考点题型归纳与方法总结(新高考通用)解析版_02高考数学_2024年新高考资料_1.2024一轮复习
第44练直线与双曲线(精练:基础+重难点)一轮复习讲义2024年高考数学高频考点题型归纳与方法总结(新高考通用)解析版_02高考数学_2024年新高考资料_1.2024一轮复习
第44练直线与双曲线(精练:基础+重难点)一轮复习讲义2024年高考数学高频考点题型归纳与方法总结(新高考通用)解析版_02高考数学_2024年新高考资料_1.2024一轮复习
第44练直线与双曲线(精练:基础+重难点)一轮复习讲义2024年高考数学高频考点题型归纳与方法总结(新高考通用)解析版_02高考数学_2024年新高考资料_1.2024一轮复习
第44练直线与双曲线(精练:基础+重难点)一轮复习讲义2024年高考数学高频考点题型归纳与方法总结(新高考通用)解析版_02高考数学_2024年新高考资料_1.2024一轮复习
第44练直线与双曲线(精练:基础+重难点)一轮复习讲义2024年高考数学高频考点题型归纳与方法总结(新高考通用)解析版_02高考数学_2024年新高考资料_1.2024一轮复习
第44练直线与双曲线(精练:基础+重难点)一轮复习讲义2024年高考数学高频考点题型归纳与方法总结(新高考通用)解析版_02高考数学_2024年新高考资料_1.2024一轮复习
第44练直线与双曲线(精练:基础+重难点)一轮复习讲义2024年高考数学高频考点题型归纳与方法总结(新高考通用)解析版_02高考数学_2024年新高考资料_1.2024一轮复习
第44练直线与双曲线(精练:基础+重难点)一轮复习讲义2024年高考数学高频考点题型归纳与方法总结(新高考通用)解析版_02高考数学_2024年新高考资料_1.2024一轮复习

文档信息

文档格式
docx
文档大小
6.860 MB
文档页数
150 页
上传时间
2026-04-19 03:17:09

文档内容

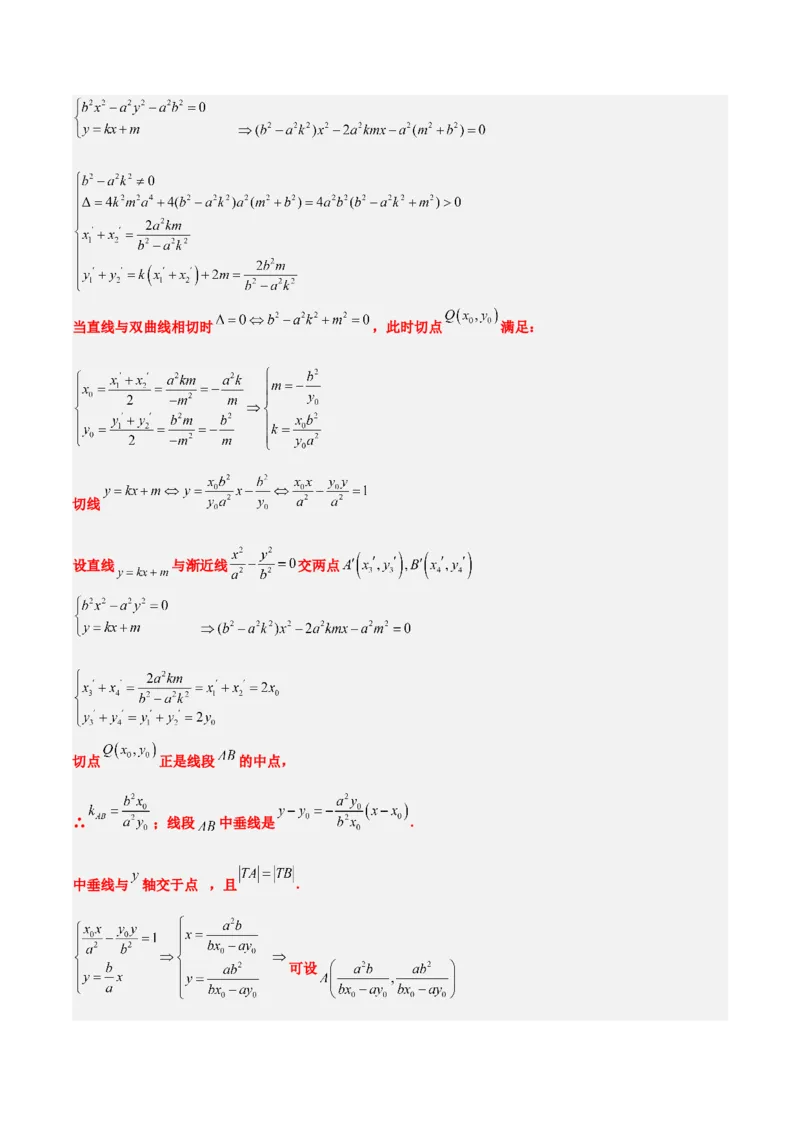
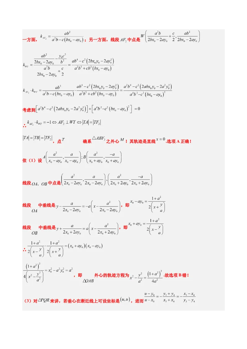
【一轮复习讲义】2024年高考数学高频考点题型归纳与方法总结(新高考通用) 第 43 练 直线与双曲线(精练) 刷真题 明导向 一、填空题 1.(2022·全国·统考高考真题)已知直线l与椭圆 在第一象限交于A,B两点,l与x轴,y轴分 别交于M,N两点,且 ,则l的方程为 . 【答案】 【详解】[方法一]:弦中点问题:点差法 令 的中点为 ,设 , ,利用点差法得到 , 设直线 , , ,求出 、 的坐标, 再根据 求出 、 ,即可得解; 解:令 的中点为 ,因为 ,所以 , 设 , ,则 , , 所以 ,即 所以 ,即 ,设直线 , , , 令 得 ,令 得 ,即 , , 所以 ,即 ,解得 或 (舍去), 又 ,即 ,解得 或 (舍去),所以直线 ,即 ; 故答案为: [方法二]:直线与圆锥曲线相交的常规方法 解:由题意知,点 既为线段 的中点又是线段MN的中点, 设 , ,设直线 , , , 则 , , ,因为 ,所以 联立直线AB与椭圆方程得 消掉y得 其中 , ∴AB中点E的横坐标 ,又 ,∴ ∵ , ,∴ ,又 ,解得m=2 所以直线 ,即 二、解答题 2.(2023·全国·统考高考真题)已知双曲线C的中心为坐标原点,左焦点为 ,离心率为 . (1)求C的方程;(2)记C的左、右顶点分别为 , ,过点 的直线与C的左支交于M,N两点,M在第二象限,直线 与 交于点P.证明:点 在定直线上. 【答案】(1) (2)证明见解析. 【分析】(1)由题意求得 的值即可确定双曲线方程; (2)设出直线方程,与双曲线方程联立,然后由点的坐标分别写出直线 与 的方程,联立直线方程, 消去 ,结合韦达定理计算可得 ,即交点的横坐标为定值,据此可证得点 在定直线 上. 【详解】(1)设双曲线方程为 ,由焦点坐标可知 , 则由 可得 , , 双曲线方程为 . (2)由(1)可得 ,设 , 显然直线的斜率不为0,所以设直线 的方程为 ,且 , 与 联立可得 ,且 , 则 ,直线 的方程为 ,直线 的方程为 , 联立直线 与直线 的方程可得: , 由 可得 ,即 , 据此可得点 在定直线 上运动. 【点睛】关键点点睛:求双曲线方程的定直线问题,意在考查学生的计算能力,转化能力和综合应用能力, 其中根据设而不求的思想,利用韦达定理得到根与系数的关系可以简化运算,是解题的关键. 3.(2022·全国·统考高考真题)已知双曲线 的右焦点为 ,渐近线方程为 . (1)求C的方程; (2)过F的直线与C的两条渐近线分别交于A,B两点,点 在C上,且 . 过P且斜率为 的直线与过Q且斜率为 的直线交于点M.从下面①②③中选取两个作为条件,证明另 外一个成立: ①M在 上;② ;③ . 注:若选择不同的组合分别解答,则按第一个解答计分. 【答案】(1) (2)见解析 【分析】(1)利用焦点坐标求得 的值,利用渐近线方程求得 的关系,进而利用 的平方关系求得 的值,得到双曲线的方程;(2)先分析得到直线 的斜率存在且不为零,设直线AB的斜率为k, M(x0,y0),由③|AM|=|BM|等价分析 得到 ;由直线 和 的斜率得到直线方程,结合双曲线的方程,两点间距离公式得到 直线PQ的斜率 ,由② 等价转化为 ,由① 在直线 上等价于 , 然后选择两个作为已知条件一个作为结论,进行证明即可. 【详解】(1)右焦点为 ,∴ ,∵渐近线方程为 ,∴ ,∴ ,∴ ,∴ ,∴ . ∴C的方程为: ; (2)由已知得直线 的斜率存在且不为零,直线 的斜率不为零, 若选由①②推③或选由②③推①:由②成立可知直线 的斜率存在且不为零; 若选①③推②,则 为线段 的中点,假若直线 的斜率不存在,则由双曲线的对称性可知 在 轴 上,即为焦点 ,此时由对称性可知 、 关于 轴对称,与从而 ,已知不符; 总之,直线 的斜率存在且不为零. 设直线 的斜率为 ,直线 方程为 , 则条件① 在 上,等价于 ; 两渐近线的方程合并为 , 联立消去y并化简整理得: 设 ,线段中点为 ,则 , 设 , 则条件③ 等价于 ,移项并利用平方差公式整理得: , ,即 , 即 ; 由题意知直线 的斜率为 , 直线 的斜率为 , ∴由 , ∴ , 所以直线 的斜率 , 直线 ,即 , 代入双曲线的方程 ,即 中, 得: , 解得 的横坐标: , 同理: , ∴ ∴ , ∴条件② 等价于 ,综上所述: 条件① 在 上,等价于 ; 条件② 等价于 ; 条件③ 等价于 ; 选①②推③: 由①②解得: ,∴③成立; 选①③推②: 由①③解得: , , ∴ ,∴②成立; 选②③推①: 由②③解得: , ,∴ , ∴ ,∴①成立. 【A组 在基础中考查功底】 一、单选题 1.直线 与双曲线 有两个交点为 , ,则 ( ) A.2 B. C.4 D. 【答案】C 【解析】直线方程与双曲线方程联立方程组,直接解得交点坐标,再计算两点间距离. 【详解】由 ,得 , , ∴ . 故选:C.2.直线 与双曲线 交点的个数是( ) A.0 B.1 C.2 D.4 【答案】B 【分析】根据已知直线和渐近线平行即可得答案. 【详解】由题知,双曲线 的渐近线方程为 , 所以直线 与双曲线的一条渐近线平行, 由图可知,直线l与双曲线有且只有一个交点. 故选:B 3.双曲线 的两焦点为F,F,P点在双曲线上,且满足 ,则△PFF 的面积为 1 2 1 2 ( ) A.2 B.1 C.4 D.3 【答案】B 【分析】利用焦点三角形的性质结合题设条件可得 ,从而可得焦点三角形为 直角三角形,从而可求其面积. 【详解】不妨设点P在双曲线右支上. 由双曲线的定义可得 ,又 ,两式联立得 . 又 ,所以 ,即 为直角三角形, 所以 . 故选:B 4.过双曲线 左、右焦点 分别作倾斜角为 的直线与双曲线 相交于 轴上方 两 点,则 ( ) A. B. C. D. 【答案】C 【分析】 的方程为 ,解得 得到 ,同理计算 得到答案. 【详解】 ,则 的方程为: ,联立方程 , 解得 ,(舍去负值),故 ; 同理可得: ,故 . 故选:C. 5.已知双曲线 的左右焦点分别是 、 ,过 的直线 与双曲线相交于 、 两点,则满足 的直线 有 A. 条 B. 条 C. 条 D. 条 【答案】C 【分析】根据双曲线 ,过 的直线 垂直于 轴时, ,双曲线两个顶点的距离为 ,即可得出结论. 【详解】双曲线 ,过 的直线 垂直于 轴时, ; 双曲线两个顶点的距离为 , 满足 的直线 有 条, 一条是通径所在的直线,另两条与右支相交. 故选:C 【点睛】本题考查了直线与双曲线相交的弦长问题,考查了通径的求法,属于基础题. 6.已知直线 与双曲线 没有公共点,则 的取值范围是( ) A. B. C. D. 【答案】C 【分析】将直线方程与双曲线方程联立,消去 ,利用判别式研究即可. 【详解】联立 ,消去 得 , 当 时,方程有解,即直线 与双曲线 有公共点; 当 时, ,解得 或 . 故选:C. 7.双曲线的标准方程为 ,则下列说法正确的是( ) A.该曲线两顶点的距离为B.该曲线与双曲线 有相同的渐近线 C.该曲线上的点到右焦点距离的最小值为1 D.该曲线与直线 有两个公共点 【答案】C 【分析】对A、B、C:根据双曲线的方程与性质逐项分析判断;对D:联立直线与双曲线的方程求解判断 交点个数,即可判断. 【详解】由双曲线的标准方程 可得 ,且焦点在x轴上, 对A:该曲线两顶点为 ,则两顶点间的距离 ,A错误; 对B:双曲线 的渐近线为 , 由双曲线的标准方程 可得 ,且焦点在y轴上,则其渐近线为 ,B错误; 对C:当点在双曲线的右支时,该点到右焦点距离的最小值为 ; 当点在双曲线的左支时,该点到右焦点距离的最小值为 ; 综上所述:该曲线上的点到右焦点距离的最小值为1,C正确; 对D:联立方程 ,消去y得 ,解得 , 故该曲线与直线 有且仅有1个公共点,D错误. 故选:C. 8.若双曲线 的一个顶点为A,过点A的直线 与双曲线只有一个公共点, 则该双曲线的焦距为( ) A. B. C. D.【答案】D 【分析】根据双曲线渐近线的性质即可求解. 【详解】 斜率为 , 过点A的直线 与双曲线只有一个公共点, 则该直线与双曲线的渐近线 平行,且过双曲线右顶点(a,0), 故 = ,且a-3=0,解得a=3,b=1,故c= ,故焦距为2c= . 故选:D. 9.过点 作直线l与双曲线 交于点A,B,若P恰为AB的中点,则直线l的条数为( ) A.0 B.1 C.2 D.不能确定 【答案】A 【分析】根据一元二次方程根与系数的关系,结合一元二次方程根的判别式进行判断即可. 【详解】设直线l: ,由 , 得 ,(※) 设 , ,则 ,由 ,即 ,得 ,此时,(※)式为 ,由于 ,所以直线l与双曲线无公共点,这样的直线不存在. 故选:A 10.已知直线 过双曲线 的左焦点 ,且与C的渐近线平行,则l的 倾斜角为( ) A. B. C. D. 【答案】D 【分析】由双曲线焦点坐标求出双曲线的标准方程,然后写出双曲线的渐近线,然后分析所求直线所过的点可知它和双曲线的那一条渐近线平行即可. 【详解】由双曲线方程为: , 所以 ,由左焦点为 , 所以 ,由 , 所以 , 所以该双曲线的标准方程为: , 所以渐近线方程为: , 直线 恒过点 , 且 ,且过 , 所以直线 与渐近线 平行, 故 , 设直线l的倾斜角为 , 则 , 又 , 所以 , 故选:D. 11.设A,B为双曲线 右支上的两点,若线段AB的中点为 ,则直线AB的方程是( ) A. B. C. D. 【答案】C 【分析】利用点差法,结合一元二次方程根与系数关系进行求解判断即可. 【详解】设 , 则有 ,两式相减,得 ,因为线段AB的中点为 , 所以 , 因此由 , 即直线AB的斜率为 ,方程为 , 代入双曲线方程中,得 , 因为 , 所以线段AB存在, 故选:C 12.直线 与双曲线 的左、右两支各有一个交点,则 的取值范围为( ) A. 或 B. C. D. 【答案】D 【分析】已知直线 与双曲线 的左、右两支各有一个交点,将直线 与双曲线 两个方程联立,得到的一元二次方程有一正一负根,即可得出结论. 【详解】联立 ,消y得, . 因为直线 与双曲线 的左、右两支各有一个交点, 所以方程 有一正一负根, 所以 ,整理得 ,解得 . 所以 的取值范围为 . 故选:D.13.过双曲线 : ( , )的焦点且斜率不为0的直线交 于A, 两点, 为 中 点,若 ,则 的离心率为( ) A. B.2 C. D. 【答案】D 【分析】先设出直线AB的方程,并与双曲线 的方程联立,利用设而不求的方法及条件 得到 关于 的关系,进而求得双曲线 的离心率 【详解】不妨设过双曲线 的焦点且斜率不为0的直线为 ,令 由 ,整理得 则 , 则 ,由 ,可得 则有 ,即 ,则双曲线 的离心率 故选:D 二、多选题 14.若直线 与双曲线 有两个交点,则 的值可以是( ) A.1 B.2 C.3 D.4 【答案】CD 【分析】把 代入双曲线方程,由方程有两解求出a的范围作答. 【详解】把 代入双曲线 ,得 , 依题意,关于y的方程有两个不等实根,则 ,解得 或 , 选项AB不满足,CD满足.故选:CD 15.直线 与双曲线 的左、右两支各有一个交点,则 的可能取值为( ) A. B. C. D. 【答案】AD 【分析】联立直线与双曲线的方程,由韦达定理结合方程根的情况列出不等式,求解可得 的范围,判断 选项即可. 【详解】联立 ,消去y得, . 因为直线 与双曲线 的左、右两支各有一个交点, 所以方程 有一正一负根, 所以 ,整理得 ,解得 . 所以 的取值范围为 ,故A,D符合题意. 故选:AD. 16.已知直线 经过双曲线 ( , )的左焦点,且与C交于A,B两点,若存在两条 直线,使得 的最小值为4,则下列四个点中,C经过的点为( ) A. B. C. D. 【答案】ACD 【分析】根据最短弦长确定双曲线方程,再把点代入验证得出结果. 【详解】若直线 与C的两支交于顶点A、B,则 , 若直线 与C的一支交于A,B两点,则通径最短, ,由题意得 ,解得 , 则C的方程为 , 把选项ABCD分别代入方程,则B选项表示的点不在双曲线上,ACD选项表示的点在双曲线上. 故选:ACD. 三、填空题 17.已知直线 与双曲线 有且只有一个公共点,则C的离心率等于 . 【答案】 【分析】由题意可得直线 与双曲线的一条渐近线平行,从而可求出 的值,进而可求出双曲线的 离心率 【详解】双曲线 的渐近线方程为 , , 因为直线 与双曲线 有且只有一个公共点, 所以直线 与渐近线 平行, 所以 , 所以 , 所以双曲线的离心率为 , 故答案为: 18.直线 与双曲线 有且只有一个公共点,但直线与双曲线不相切,则实数 的值是 . 【答案】 【分析】根据双曲线的图形可知,直线与双曲线有且只有一个公共点,直线与双曲线的渐近线平行,求出 双曲线的渐近线方程即可求解.【详解】∵直线 与双曲线 有且只有一个公共点,但直线与双曲线不相切, ∴直线 与双曲线 的渐近线平行, ∵双曲线 的渐近线为 , ∴ . 【点睛】本题考查双曲线的图形性质,结合图形是关键. 19.双曲线 : 的离心率为2,其渐近线与圆 相切,则该双曲线的方 程为 . 【答案】 【详解】由题意知, ,即 ,则 ,由圆的方程可知,其圆心坐标为 ,半径 , 不妨取双曲线渐近线 ,则 ,即 ,所以 ,则 ,故所求双曲线 的方程为 . 点睛:此题主要考查了双曲线的方程、离心率、渐近线,以及直线与圆的位置关系,点到直线的距离公式 的应用等方面的知识与运算技能,属于中档题型,也是常考题.在解决此类问题的过程中,常结合数形结合 法进行研究,通过已知条件作出图形,尽可能地去挖掘图中隐含的信息量,寻找与问题的衔接处,从而解 决问题. 20.双曲线 的左、右焦点分别为 ,已知焦距为8,离心率为2,过右焦点 作 垂直于 轴的直线 与双曲线 的右支交于 两点,则 . 【答案】12 【分析】根据双曲线的焦距和离心率求得双曲线方程,根据题意可令 ,即可求得答案. 【详解】由题意双曲线 ,则半焦距 ,又离心率为2,则 ,故 , 则双曲线方程为 , 过右焦点 作垂直于 轴的直线 与双曲线 的右支交于 两点, 则令 ,故 , 故 , 故答案为:12. 21.过双曲线 的右焦点的直线被双曲线所截得的弦长为 ,这样的直线有 条. 【答案】1 【解析】求得过右焦点的通径,得到交点都在右支上的弦长最小值,根据方程求得实轴长得到交点在两支 上的弦长最小值,由此可以作出判定. 【详解】依题意得右焦点 ,所以过F且垂直x轴的直线是 ,代入 ,得 ,所 以此时弦长为 ; 当不垂直于x轴时,如果直线与双曲线有两个交点,则弦长一定比 长.因为两顶点间距离为 , 即左右两支上的点的最短距离是 , 所以如果交于两支的话,弦长不可能为 ,故只有一条. 故答案为:1. 【点睛】双曲线过焦点的直线与双曲线相交所得线段可以分为两类:第一类,端点均在同支上,最短的为 通径,第二类,端点分别在两支,最短为实轴. 22.设直线l: 与双曲线C: 相交于不同的两点A,B,则k的取值范围为 . 【答案】【分析】直线与双曲线有两个交点即联立方程后判别式要大于0,且直线不与渐近线平行. 【详解】联立 消去y: , , 得到 ,又直线 不与渐近线 平行, 所以 . 故答案为: . 23.双曲线 的左、右顶点分别为A,B,右支上有一点M,且 ,则 的面积为 . 【答案】3 【解析】求出 的坐标后可求三角形的面积. 【详解】因为 , ,故直线 的方程为 , 代入 ,整理得 ,解得 或 , 故 ,故 . 故答案为:3. 24.已知双曲线 ,过 作直线 与双曲线 交于A、 两点,且 为弦 的中点,则 直线 的方程为 . 【答案】 【分析】中点弦问题,可以用点差法进行求解. 【详解】设 ,则 , ∵A、B在双曲线上,∴ , ①-②得: ,即 即 , ∴ : ,即 , 由 ,∵ ,故 与双曲线有两个交点满足题意, 故l方程为: . 故答案为: . 25.在平面直角坐标系 中,双曲线 : ,一条倾斜角为 的直线经过 的一个顶 点及 上另外一点 ,则 的离心率为 . 【答案】 【分析】根据题意得到直线的斜率 ,当直线经过 的左顶点 ,求得 ;当直线经过 的右顶 点 ,求得 ,再 在双曲线 上,列出方程组,求得 的值,即可求解. 【详解】由题意,双曲线 : ,可得其顶点坐标为 , 因为直线的倾斜角为 ,可得直线的斜率 , 若直线经过 的左顶点 ,则斜率 ,解得 ; 若直线经过 的右顶点 ,则斜率 ,解得 ,(舍去), 综上可得,直线经过 的左顶点,所以 , 又由点 在双曲线 上,可得 ,解得 ,所以 的离心率为 . 故答案为:2. 26.已知双曲线 的右焦点为F,过点F且平行于双曲线的一条渐近线的直线与双曲线交于点P, M在直线PF上,且满足 ,则 . 【答案】 【分析】由已知分别求出点 的坐标,即可得出结论. 【详解】双曲线 , ,渐近线方程为 , 设过点F且平行于双曲线的一条渐近线方程为 , 代入双曲线的方程,可得 ,即 , 由直线 和直线 , 可得 ,即有 . 故答案为: . 【点睛】本题考查双曲线简单几何性质以及直线与双曲线的位置关系,考查计算求解能力,属于基础题. 27.若点 和点 分别为双曲线 的中心和左焦点,点 为双曲线右支上的任意一 点,则 的取值范围为 【答案】 【详解】试题分析:由 ,得 ,可设 ,又 ,另 ,则; , 时函数单增,则 的取值范围为; 考点:双曲线的性质及函数思想. 28.已知斜率为 的直线 与双曲线 交于 两点,若点 是线段 的中点, 则 的离心率等于 . 【答案】 【分析】根据点差法列式求解得 ,再利用 替换,即可得离心率. 【详解】设 ,则 ,得 ,即 ,因为点 是线段 的中点,所以 ,又因为直线 斜率为 ,所以 ,得 ,即 . 故答案为: 29.已知直线 与双曲线 ( , )的渐近线交于 , 两点,且过原点和线段 中点的直线的斜率为 ,则 的值为 . 【答案】 【分析】设 , ,利用点差法可求 的值. 【详解】设 , , 的中点为 ,故 ,所以 即 ,所以 . 因为过原点和线段 中点的直线的斜率为 ,故 . 由 可得 ,所以 , 所以 . 故答案为 . 【点睛】直线和圆锥曲线的位置关系中,如果涉及到弦的中点问题,可以考虑用点差法来简化计算. 四、解答题 30.已知双曲线 的离心率为 ,且其顶点到其渐近线的距离为 . (1)求双曲线的标准方程; (2)直线 : 与双曲线交于 , 两点,若 ,求 的值. 【答案】(1) ;(2) . 【分析】(1)根据题意建立关于 方程即可求解; (2)联立直线与双曲线方程,利用弦长公式即可求出. 【详解】(1)由题得顶点 到渐近线 ,即 的距离为 , 即 , 离心率 ,又 ,则可解得 , 故双曲线方程为 ; (2)设 , 联立 可得 , 则 ,解得 , 则 ,解得 . 31.已知双曲线 与双曲线 有相同的渐近线,且点 在 上. (1)求 的标准方程; (2)直线 与双曲线 交于 两点,求线段 的中点坐标. 【答案】(1) ;(2) . 【分析】(1)设 ,将 代入求出 ,即可得解; (2)联立直线与双曲线方程,消元、列出韦达定理,即可得到 中点的横坐标,再代入直线方程,即可 得到中点坐标; 【详解】(1)因为 与 的渐近线相同,可设 将 代入得 ,所以 的标准方程为 . (2)联立方程组 ,消去 可得 ,设 ,则 ,从而 中点的横坐标为 ,又因为 的中点在直线 上,因此其坐标为 . 32.已知双曲线的中心在原点,焦点 , 在坐标轴上,离心率为 ,且过点 (1)求双曲线 的方程; (2)设双曲线两条渐近线分别为 , 已知直线 交 , 于 两点,若直线 与轨迹 有且只 有一个公共点,求 的面积 【答案】(1) ;(2)2. 【解析】(1)设方程为 ,将点 代入方程即可求解. (2)求出直线 与 的交点 , 再求出 ,由 即可求解. 【详解】解:(1)因为双曲线的离心率为 , 故该双曲线为等轴双曲线, 设方程为 ,代入点 , 得 ,故双曲线的方程为 (2)在直线方程 中,令 ,得 , 故 ,联立 , 得 , 由题意得 ,故 , 联立 ,得 ;联立 ,得 , 因此33.已知双曲线 的离心率为 ,右准线方程为 (Ⅰ)求双曲线 的方程; (Ⅱ)已知直线 与双曲线C 交于不同的两点A,B,且线段AB的中点在圆 上,求 m的值. 【答案】(Ⅰ) , (Ⅱ) 【详解】试题分析:(1)因为双曲线 的离心率为 ,右准线方程为 ,所以 ,所以 , 所以双曲线C的方程为 (2)由 ,得 ,设 , 则 ,所以 ,所以 ,因为 线段AB的中点在圆 上,所以代入得 考点:双曲线的简单性质;双曲线的标准方程;直线与双曲线的综合应用. 点评:圆锥曲线与直线的综合应用,是考试中常考的内容.在解题时要注意双曲线性质的灵活应用,还有 注意别出现计算错误.属于中档题型. 34.已知双曲线 的其中一个焦点为 ,一条渐近线方程为 (1)求双曲线 的标准方程; (2)已知倾斜角为 的直线 与双曲线 交于 两点,且线段 的中点的纵坐标为4,求直线 的方 程.【答案】(1) (2) 【分析】(1)由题意,联立方程求出 ,即可得到双曲线方程; (2)利用点差法求出中点坐标,点斜式求出直线方程即可. 【详解】(1)由焦点可知 , 又一条渐近线方程为 所以 , 由 可得 ,解得 , , 故双曲线 的标准方程为 (2)设 ,AB中点的坐标为 则 ①, ②, ② ①得: , 即 ,又 , 所以 , 所以直线 的方程为 ,即 35.已知双曲线 ,焦点为 ,其中一条渐近线的倾斜角为 ,点 在双曲 线上,且 . (1)求双曲线 的标准方程; (2)若直线 交 于 两点,若 的面积为 ,求正实数 的值. 【答案】(1)(2) 【分析】(1)利用双曲线的定义和渐近线方程即可求得双曲线的标准方程. (2)联立双曲线和直线方程,利用韦达定理表示出弦长,即可得出答案. 【详解】(1)由条件知, , 故 . 即双曲线标准方程为 . (2)设 , 到直线 的距离为 , 联立 得 , 由 ,解得 , 又 ,故 , 而又由 , 故弦长 , , 又 , 解得 , , 又 ,故 . 36.已知等轴双曲线 的右焦点为 , 为坐标原点,过 作一条渐近线的垂线 且 垂足为 , (1)求等轴双曲线 的方程(2)假设过点 且方向向量为 的直线 交双曲线 于 两点,求 的值 【答案】(1) ;(2) 【分析】(1)根据双曲线方程得到渐近线方程和焦点坐标,利用点到直线距离公式求得 ,根据勾股定 理构造方程可求得 ,进而得到双曲线方程; (2)由直线方向向量可得直线方程,与双曲线联立得到韦达定理的形式;根据 ,代入韦达定理的结论可求得结果. 【详解】(1)由等轴双曲线方程知,渐近线方程为: , ,又 双曲线 的方程为: (2)由(1)知: ,则直线 方程为: 与双曲线方程联立得: 设 , ,则 , 【点睛】本题考查直线与双曲线综合应用问题,涉及到双曲线方程的求解、平面向量数量积的求解问题; 求解数量积的关键是能够将所求量转化为符合韦达定理的形式,通过直线与双曲线联立得到韦达定理的结 论,代入可整理出结果. 37.已知双曲线的中心在原点,焦点在 轴上,离心率 ,焦距为 . (1)求该双曲线方程. (2)是否定存在过点 的直线 与该双曲线交于 、 两点,且点 是线段 的中点若存在,请求 出直线 的方程,若不存在,说明理由. 【答案】(1) ;(2)不存在,理由见解析.【分析】(1)设出双曲线方程,由条件可得 ,再由离心率公式.可得 ,再由 , , 的关系,可得 , 进而得到双曲线方程; (2)假设存在,设过 的直线方程为: , , 两点的坐标为 , , , ,代入 双曲线方程,再相减,运用平方差公式和中点坐标公式,及斜率公式,即可得到所求直线的斜率,进而得 到直线方程,检验判别式即可判断. 【详解】解:(1)设双曲线方程为: 由离心率 ,焦距为 ,则 , , , 则双曲线方程为: ; (2)假设存在过点 的直线 与该双曲线交于 , 两点, 且点 是线段 的中点. 设过 的直线方程为: , , 两点的坐标为 , , , , 则 , , 相减可得, 由 为 的中点,则 , , 则 , 即有直线 的方程: ,即有 , 代入双曲线方程 ,可得, , 检验判别式为 ,方程无解. 故不存在过点 的直线 与该双曲线交于 , 两点, 且点 是线段 的中点. 38.已知双曲线 的焦点 到渐近线的距离为 ,右顶点为 . (1)求双曲线 的方程;(2)已知过点 的直线 与双曲线 只有一个公共点,求直线 的方程. 【答案】(1) (2) 或 【分析】(1)利用点到直线的距离求出b,再结合顶点求出a,从而求出双曲线方程; (2)设直线方程,联立双曲线,分类讨论,判别式法求解 【详解】(1)双曲线 的一条渐近线为 ,故焦点 到直线 的距离 为 ,所以 ,又 , 所以双曲线方程为 (2)由题知,直线 的斜率必存在. 设直线 方程为: 联立 ,消y得 ①当 时,上述方程只有一解,符合题意, 所以 ; ②当 时,为使上述方程只有一解即 , , 化解得: ,所以 , 所以 . 综上,直线 方程为: 或 . 39.已知双曲线 的方程为 ,离心率为2,右顶点为 .(1)求双曲线 的标准方程; (2)过 的直线 与双曲线 的一支交于 、 两点,求 的取值范围. 【答案】(1) (2) 【分析】(1)根据题意建立 的方程组即可求解; (2)利用韦达定理确定 的取值范围,再建立 之间的等量关系即可求解. 【详解】(1)由离心率 又 ,所以 , 又右顶点为 ,所以 ,所以 , 故双曲线的标准方程为 . (2)设直线 的方程为 ,设 , 则由 得 , 因为直线与双曲线一支交于 、 两点, 所以 ,解得 , 因此 , 因为 ,所以 , 所以 ,所以 , 故 .40.已知双曲线 ( , )中,离心率 ,实轴长为4 (1)求双曲线的标准方程; (2)已知直线 : 与双曲线交于 , 两点,且在双曲线存在点 ,使得 ,求 的 值. 【答案】(1) (2) 或 【分析】(1)根据离心率以及实轴长即可求解 的值,进而可求双曲线方程, (2)联立直线与曲线的方程,得韦达定理,进而结合向量满足的关系即可代入求值. 【详解】(1)因为双曲线的离心率 ,实轴长为4, ,解得 , 因为 所以双曲线的标准方程为 (2)将直线 与曲线 联立 得 , 设 , ,则 , , 设 ,由 得 , 即 ,又因为 ,解得 , 所以 或 . 41.已知双曲线的中心在原点,焦点 在坐标轴上,离心率为 且过点(1)求双曲线方程; (2)若过 斜率 的直线与该双曲线相交于M,N两点,且双曲线与 对应的顶点为T.试探讨直线MT与 直线NT的斜率之积是否为定值.若是定值,请求出该值;若不是定值,请说明理由. 【答案】(1) ; (2)是定值,定值为 . 【分析】(1)由题可设双曲线方程为 ,进而即得; (2)利用直线方程与双曲线方程联立,利用韦达定理法表示出直线MT和直线NT的斜率乘积,结合条件 即得. 【详解】(1)由题意,可设双曲线方程为 , 又双曲线过点 , 所以 ,即 , 故双曲线方程为 ; (2)由题知 ,设直线MN的方程为 ,且 , 则由 ,得 , 故 , 故直线MT和直线NT的斜率乘积即可表示为: ,即 , 故直线MT和直线NT的斜率乘积为定值且该定值为 . 42.已知双曲线 的一条渐近线方程为 ,焦距为 . (1)求双曲线C的标准方程; (2)若O为坐标原点,过 的直线l交双曲线C于A,B两点,且 的面积为 ,求直线l的方 程. 【答案】(1) (2) 或 【分析】(1)根据 , ,以及 ,求解即可; (2)设直线 的方程为 与椭圆联立,利用弦长公式表示 ,根据点到直线的距离公式求解 高,即可根据三角形面积公式进行求解. 【详解】(1)由题意得: , , , 解得: , , , 双曲线 的标准方程为 . (2)由题意可知,直线 的斜率一定存在, 设直线 的方程为 , , , , , 联立方程组 ,消去 整理得 ,则 , 原点到直线 的距离为 , 所以 , 解得 或 ,故 或 , 故直线方程为 或 43.已知双曲线 与 有相同的焦点,且经过点 . (1)求双曲线 的方程; (2)若直线 与双曲线 交于 两点,且 的中点坐标为 ,求直线 的斜率. 【答案】(1) (2)1 【分析】(1)找出焦点的坐标,根据已知条件建立方程组解出即可 (2)分析直线斜率存在且不为0,设直线方程联立方程组利用韦达定理,利用中点公式建立方程组解出即 可 【详解】(1)由 的焦点坐标为 由双曲线 与 有相同的焦点所以双曲线 的焦点坐标为 故 , 在双曲线中: ① 又双曲线 经过点 所以 ② 解得: 所以双曲线 的方程为: (2)由题知直线斜率存在且不为0, 设直线 的方程为: 由直线 与双曲线 交于 两点,设 所以 消去 整理得: 所以 所以 由 的中点坐标为 所以所以 . 【B组 在综合中考查能力】 一、单选题 1.过双曲线 的右焦点作一条斜率为 的直线交双曲线于 两点,则 A. B. C. D. 【答案】B 【分析】确定直线AB的方程,代入双曲线方程,利用弦长公式可求线段AB的长. 【详解】由双曲线的方程得F (﹣2 ,0),F (2 ,0),直线AB的方程为y= (x﹣2 )① 1 2 将其代入双曲线方程消去y得, , ,根据弦长公式得到 弦长为:8. 故答案为B. 【点睛】本题主要考查直线与圆锥曲线位置关系,所使用方法为韦达定理法:因直线的方程是一次的,圆 锥曲线的方程是二次的,故直线与圆锥曲线的问题常转化为方程组关系问题,最终转化为一元二次方程问 题,故用韦达定理及判别式是解决圆锥曲线问题的重点方法之一,尤其是弦中点问题,弦长问题,可用韦 达定理直接解决,但应注意不要忽视判别式的作用. 2.过双曲线 的左焦点作直线 ,与双曲线交于 两点,若 ,则这样的直线 有( ) A.1条 B.2条 C.3条 D.4条 【答案】D 【分析】设直线方程与双曲线联立,利用弦长公式解方程判断根的个数即可. 【详解】由题意得双曲线左焦点 ,当直线垂直于横轴时, 不符合题意,双曲线渐近线方 程为 ; 故可设 ,与双曲线联立可得 , , 由弦长公式知 , 则 或 . 故存在四条直线满足条件. 故选:D 3.已知双曲线 与椭圆 共焦点,且双曲线与直线 相切,则 ( ) A. B. C. D.1 【答案】D 【分析】根据椭圆与双曲线焦点的性质可 ,再联立直线与双曲线的方程,根据判别式为0得出等 式,代入 求解即可. 【详解】因为双曲线与椭圆共焦点,所以 ,即 . 又双曲线与直线 相切,由 ,化简得 , 所以 ,即 , 将 代入方程化简得 ,即 , , 故 ,解得 或 (舍去). 故选:D. 4.直线l交双曲线 于A,B两点,且 为AB的中点,则l的斜率为( )A.4 B.3 C.2 D.1 【答案】C 【分析】根据给定条件,利用“点差法”求出l的斜率,再验证作答. 【详解】设点 , ,因 为AB的中点,则有 , 又点A,B在双曲线上,则 ,即 , 则l的斜率 ,此时,直线l的方程: , 由 消去y并整理得: , ,即直线l与双曲线交 于两点, 所以l的斜率为2. 故选:C 5.已知O为坐标原点,A,B分别是双曲线 的左、右顶点,M是双曲线C上不同于A,B的 动点,直线AM,BM分别与y轴交于点P,Q,则 ( ) A.16 B.9 C.4 D.3 【答案】B 【分析】设动点 , ,由双曲线方程可得 , 的坐标,求出 , 所在直线方程,可得 与 的坐标,求得 ,再由动点 在双曲线 上,得 ,则 的值可求. 【详解】解:设动点 , ,由双曲线方程 得 , ,则 , , 所以直线 的方程为 ,直线 的方程为 , 由此得 , , 所以 . 因为动点 在双曲线 上,所以 , 所以 , 则 . 故选:B. 6.已知双曲线 : ,直线 经过点 ,若直线 与双曲线 的右支只有一个交点,则直线 的斜率的取值范围是( ) A. B. C. D. 【答案】D 【分析】以双曲线的两条渐近线作为边界条件,即可保证直线 与双曲线 的右支只有一个交点. 【详解】双曲线 : 的两条渐近线为 和 两渐近线的倾斜角分别为 和 由经过点 的直线 与双曲线 的右支只有一个交点, 可知直线 的倾斜角取值范围为 , 故直线 的斜率的取值范围是 故选:D7.已知双曲线 与直线 有唯一的公共点 ,过点 且与 垂直的直线分别交 轴、 轴于 两点.当点 运动时,点 的轨迹方程是( ) A. B. C. D. 【答案】D 【分析】根据直线 与双曲线相切,推出 , ,再求出 ,消去 可得结果. 【详解】因为双曲线 与直线 有唯一的公共点 , 所以直线 与双曲线相切, 联立 ,消去 并整理得 , 所以 ,即 , 将 代入 ,得 , 得 ,因为 , ,所以 , 所以 , ,即 , 由 可知 , 所以过点 且与 垂直的直线为 , 令 ,得 ,令 ,得 , 则 , ,由 ,得 , , 代入 ,得 ,即 , 故选:D 8.已知点 为双曲线 的虚轴的上顶点, 为双曲线的右焦点,存在斜率为 的直线交双 曲线于点 两点,且 的重心为点 ,则双曲线 的离心率为( ) A. B. C.2 D. 【答案】A 【分析】联立直线与双曲线方程,得 和 ,根据三角形重心坐标公式列式,得到 ,结 合 ,可求出离心率. 【详解】 ,设 , 设斜率为 的直线为 , 联立 ,消去 并整理得 , , ,即 , 设 , ,则 , , 因为 的重心为点 ,所以 , ,所以 , , 所以 , , 消去 得 ,得 ,得 , 得 ,得 ,得 , 得 , . 故选:A 9.双曲线 的被点 平分的弦所在的直线方程为( ) A. B. C. D.不存在 【答案】D 【分析】将直线方程代入双曲线方程并化简,进而通过根与系数的关系求得答案. 【详解】容易判断弦所在直线的斜率存在,故设方程为: ,则 …①, 设交点为 ,将直线代入双曲线方程得: , …②, 由①②得: …③, 因为点P为线段AB的中点,结合根与系数的关系可知: ,①代入得, ,容易验证不符合③,即该直线不存在. 故选:D. 10.已知双曲线H的两条渐近线互相垂直,过H右焦点F且斜率为3的直线与H交于A,B两点,与H的渐近线交于C,D两点.若 ,则 ( ) A.2 B. C. D.3 【答案】C 【分析】由已知条件可得渐近线方程为 ,双曲线方程 ,设出直线方程 代入双曲线方程中消去 ,利用根与系数的关系结合弦长公式列方程可求出 的值,从而可得渐近线方程 与直线方程联立可求出C,D两点的坐标,从而可求出结果 【详解】设双曲线方程为 ,则其渐近线方程为 , 因为双曲线H的两条渐近线互相垂直,所以 ,所以渐近线方程为 所以双曲线方程为 ,则右焦点 , 所以直线方程为 , 设 ,将 代入 化简得, , 所以 , 所以 , 解得 ,得 , 所以双曲线方程为 ,所以双曲线的右焦点为 , 直线方程为 , 由 ,得 ,由 ,得 , 所以 , 故选:C 11.已知点 , 在双曲线 上,线段 的中点 ,则 ( ) A. B. C. D. 【答案】D 【分析】先根据中点弦定理求出直线 的斜率,然后求出直线 的方程,联立后利用弦长公式求解 的长. 【详解】设 , ,则可得方程组: ,两式相减得: ,即 ,其中因为 的中点为 ,故 , 故 ,即直线 的斜率为 ,故直线 的方程为: ,联立 ,解得: ,由韦达定理得: , ,则 故选:D 12.已知直线 与双曲线 的两条渐近线分别交于点 , (不重 合), 的垂直平分线过点 ,则双曲线 的离心率为( ) A. B. C. D.【答案】D 【分析】首先求出 的垂直平分线的方程,即可求出 的中点坐标,设 , ,利用点差 法得到 ,最后利用离心率公式计算可得. 【详解】因为直线 ,所以 , 由题可知 的垂直平分线的方程为 , 将 与 联立可得 ,即 的中点坐标为 . 设 , ,则 ,且 , , 两式作差可得 , 即 ,所以 , 则双曲线 的离心率为 . 故选:D 13.已知双曲线C: 的焦点到渐近线的距离为 ,直线l与C相交于A,B两点,若线段 的中点为 ,则直线l的斜率为( ) A. B.1 C. D.2 【答案】B 【分析】先利用题目条件求出双曲线的标准方程,然后利用点差法即可求出直线 的斜率. 【详解】因为双曲线的标准方程为 , 所以它的一个焦点为 ,一条渐近线方程为 ,所以焦点到渐近线的距离 ,化简得 ,解得 , 所以双曲线的标准方程为 , 设 ,所以 ①, ②, ①-②得, , 化简得 ③, 因为线段 的中点为 ,所以 , 代入③,整理得 , 显然 ,所以直线 的斜率 . 故选:B 14.已知双曲线 ,过点 的直线 与该双曲线相交于 两点,若 是线段 的中点,则 直线 的方程为( ) A. B. C. D.该直线不存在 【答案】D 【分析】设 ,代入双曲线方程作差可得 ,若 是线段 的中点,则 ,则可得直线方程,检验直线方程与双曲线方程交点是否存在,即可 确定直线 的方程. 【详解】解:设 ,且 ,代入双曲线方程得 ,两式相减得:若 是线段 的中点,则 ,所以 ,即直线 的斜率为 , 所以直线 方程为: ,即 ; 但联立 ,得 ,则 ,方程无解,所以直线 不存在. 故选:D. 15.已知斜率为 的直线与双曲线 相交于 、 两点, 为坐标原点, 的中 点为 ,若直线 的斜率为 ,则双曲线 的离心率为( ) A. B. C. D. 【答案】A 【分析】利用点差法可求得 的值,结合 可求得双曲线 的离心率的值. 【详解】设 、 、 ,则 , 两式相减得 ,所以 . 因为 , ,所以 . 因为 , ,所以 ,故 , 故 . 故选:A.16.若双曲线 与直线 交于 、 两点,线段 中点的横坐标为 , 则 ( ) A. B. C. D. 【答案】C 【解析】求出 中点的纵坐标,设 代入双曲线方程,两式相减因式分解, 转化为中点坐标,求出直线 的斜率且等于 ,即可求解. 【详解】直线 交于 、 两点, 线段 中点的横坐标为 , 线段 中点的纵坐标为 , 设 代入双曲线方程有, 两式相减得, , . 故选:C. 【点睛】本题考查直线与双曲线的相交弦的中点,注意点差法的应用,考查计算能力,属于中档题. 17.已知直线l和双曲线 相交于A,B两点,线段AB的中点为M,设直线l的斜率为 ( ),直线OM的斜率为 (O为坐标原点),则 ( ) A. B. C. D. 【答案】C【解析】设 将 的坐标代入双曲线中,用点差法,可求解出答案. 【详解】设 , 则 所以 又 两点在双曲线上,则 , 将两式相减得: 即 即 故选:C 【点睛】本题考查双曲线的中点弦问题,解决这类问题常用点差法,属于中档题. 二、多选题 18.过双曲线C: 的左焦点 作直线l与双曲线C的右支交于点A,则( ) A.双曲线C的渐近线方程为 B.点 到双曲线C的渐近线的距离为4 C.直线l的斜率k取值范围是 D.若 的中点在y轴上,则直线l的斜率 【答案】ACD【分析】双曲线C的渐近线方程为 ,A正确,计算点到直线的距离得到B错误,根据渐近线得到 斜率k取值范围是 ,C正确,确定 的横坐标为 ,得到 或 ,计算斜率 得到D正确,得到答案. 【详解】对选项A:双曲线C的渐近线方程为 ,正确; 对选项B: ,取渐近线方程为 ,距离为 ,错误; 对选项C:渐近线方程为 ,故斜率k取值范围是 ,正确; 对选项D: 的中点在y轴上,则 的横坐标为 , ,得到 ,故 或 , ,斜率为 ,正确. 故选:ACD 19.已知 为双曲线 的右焦点,直线 与该双曲线相交于 两点(其中 在第一象 限),连接 ,下列说法中正确的是( ) A. 的取值范围是 B.若 ,则 C.若 ,则点 的纵坐标为 D.若双曲线的右支上存在点 ,满足 三点共线,则 的取值范围是 【答案】ABD 【分析】对于A,根据渐近线分析即可求解; 对于B,结合对称性,双曲线定义即可求解; 对于C,结合对称性可知 为直角三角形, ,结合双曲线定义及勾股定理,可得,进而求解; 对于D,根据临界情况,直线 的方程为: ,联立方程组,可得 ,进而求解. 【详解】对于A,双曲线的渐近线方程为 ,因为直线 与双曲线相交于 ,所以 的 取值范围是 ,故A正确; 对于B,设 为双曲线的左焦点,连接 , 由对称性知, ,又 , 所以 ,故B正确; 对于C,结合选项B,知 为直角三角形,且 , 所以 ,化简得 , 设点A的纵坐标为 ,则 ,故C不正确; 对于D,当直线 的斜率为 时,直线 的方程为: , 联立方程组 ,得 , 又 ,所以 , 所以双曲线的右支上存在点 ,满足 三点共线, 则 的取值范围是 ,故D正确. 故选:ABD.20.已知双曲线 : 的左,右焦点分别为 , ,过点 的直线 与双 曲线 的左支交于点 ,与双曲线 的其中一条渐近线在第一象限交于点 ,且 ( 是坐标 原点),下列结论正确的有( ) A. B.若 ,则双曲线 的离心率为 C. D. 【答案】ABD 【分析】根据 可得 ,根据勾股定理可判断A,根据向量共线可得 ,代 入双曲线方程可得离心率,进而判断B,根据双曲线的定义及三角形的三边关系即可判断C,根据点点距 离以及 的坐标的范围即可判断D. 【详解】由于 ,因此 ,则 ,故A 正确, 由于 ,因此易得 , ,则 ,由 ,则 ,进而 ,将 代入双曲线的方程中得 ,化简得 ,解得 ,由于 ,故 , 故B正确, 设直线 与双曲线的右支交于点 ,则由双曲线的定义可知: ,由三角形三边关系可得 ,则 ,故 ,故C错误, 设 , ,则 , 由于 ,所以 ,进而 , 故 ,故D正确, 故选:ABD 21.直线l交双曲线 于A、B两点,且 为AB的中点,则l的斜率不可能为( ) A.4 B.3 C.2 D.1 【答案】ABC 【分析】设出点A,B的坐标,利用“点差法”求出直线l的斜率,再验证作答. 【详解】设 , ,因点A,B在双曲线 上, 则 , ,两式相减得: ,因P为AB中点,则 , ,于是得 =1,即直线l的斜率为1, 此时,直线l的方程为: , 由 消去y并整理得: , , 即直线l与双曲线 交于两点, 所以直线l的斜率为1. 故选:ABC 22.已知双曲线 的右焦点为 ,过 的动直线 与 相交于 , 两点,则( ) A.曲线 与椭圆 有公共焦点 B.曲线 的离心率为 ,渐近线方程为 . C. 的最小值为1 D.满足 的直线 有且仅有4条 【答案】BC 【分析】求出双曲线和椭圆的焦点即可判断A;求出双曲线的离心率和渐近线可判断B;分别求 , 两 点位于双曲线的异支和同支时,弦长 的最小值可判断C;根据 的最小值可知直线 有多少条,可 判断D,进而可得正确选项. 【详解】对于A:由 知双曲线的焦点在 轴上,由 知椭圆的焦点在 轴上,所以焦点 不相同,故选项A不正确; 对于B:由双曲线 可得 , ,所以 , 所以双曲线的离心率为 ,渐近线方程为 ,即 ,故选项B正确; 对于C:当 , 两点位于双曲线的异支时,直线 的斜率为 时 最小,此时 , 两点分别为双曲 线的左右顶点,此时 , 当 , 两点位于双曲线的同支时,直线 的斜率不存在时 最小,直线 的方程为 代入 可得 ,所以 ,所以 的最小值为1,故选项C正确; 对于D:由选项C知,当 , 两点位于双曲线的异支时, ,此时只有一条, 当 , 两点位于双曲线的同支时, ,根据对称性可知,此时存在两条直线使得 ,所以 满足 的直线 有且仅有 条.故选项D不正确; 故选:BC. 23.已知双曲线 ,过其右焦点 的直线 与双曲线交于两点 、 ,则( ) A.若 、 同在双曲线的右支,则 的斜率大于 B.若 在双曲线的右支,则 最短长度为 C. 的最短长度为 D.满足 的直线有4条 【答案】BD 【分析】设直线 的方程为 ,设点 、 ,将直线 的方程与双曲线 的方程联立, 利用判别式、韦达定理、弦长公式可判断各选项的正误. 【详解】易知双曲线 的右焦点为 , 设点 、 ,设直线 的方程为 ,当 时,直线 的斜率为 , 联立 ,消去 并整理得 . 则 ,解得 . 对于A选项,当 时,直线 轴,则 、 两点都在双曲线的右支上,此时直线 的斜率不存在,A 选项错误; 对于B选项, ,B选项正确; 对于C选项,当直线 与 轴重合时, ,C选项错误; 对于D选项,当直线 与 轴重合时, ; 当直线 与 轴不重合时,由韦达定理得 , , 由弦长公式可得 ,解得 或 . 故满足 的直线有 条,D选项正确. 故选:BD. 【点睛】本题考查直线与双曲线的综合问题,考查了直线与双曲线的交点个数,弦长的计算,考查了韦达 定理设而不求法的应用,考查计算能力,属于中等题. 24.已知双曲线 ,点 , 在 上, 的中点为 ,则( ) A. 的渐近线方程为 B. 的右焦点为 C. 与圆 没有交点 D.直线 的方程为【答案】CD 【分析】对于AB,利用双曲线的性质即可求解;对于C,联立双曲线与圆的方程即可;对于D,利用点差 法出直线 的方程,再检验即可求解. 【详解】对于AB,由双曲线 可得 , 所以渐近线方程为 ,右焦点为 ,故AB不正确; 对于C,联立 消 可得 ,代入 ,解得 无实数根, 所以 与圆 没有交点,故正确; 对于D,设 ,则 , , 两式相减,得 , 因为 的中点为 ,所以等式可得 , 易得直线 的斜率存在,故可得 , 则直线为 即 , 联立双曲线 的方程和直线 ,消去x,可得 , 此时 ,则直线与双曲线有两个交点,符合题意, 故直线l的方程为 ,故正确. 故选:CD 25.过M(1,1)作斜率为2的直线与双曲线 相交于A、B两点,若M是AB的中点, 则下列表述正确的是( ) A.ba 【答案】CD【分析】根据M(1,1)是AB的中点,且斜率为2,利用点差法求解. 【详解】解:设 , 则 , 两式相减得 , 化简得 , 因为M(1,1)是AB的中点, 所以 ,即 , 所以 ,渐近线方程为 ,离心率为 , 故选:CD 三、填空题 26.设 为双曲线 的两个焦点,已知点 在此双曲线上,且 ,若此双曲线的离心 率等于 ,则点 到 轴的距离等于 . 【答案】 【详解】依题意,由 ,解得 ,根据双曲线焦点三角形面积公式有,解得 ,代入双曲线方程解得 . 27.已知双曲线 : 的右焦点为F,P为 右支上一点, 与 x 轴切于点 F 与 y 轴交于点 A,B, ,则 的离心率为 . 【答案】 【分析】不妨设点 P 在 x 轴的上方,由题可得 ,进而可得 ,即得. 【详解】不妨设点 P 在 x 轴的上方,因为 轴, 将 代入 ,得 , 因为 , , 则有 ,且 为等边三角形, 所以 ,即 , 所以 ,又 , 所以 . 故答案为: . 28.已知F 为双曲线 的左焦点,过点F 的直线l交双曲线C的左支于A,B两点,若 1 1 ,则直线l的斜率为 . 【答案】 【分析】设 ,由 ,得到 ,结合双曲线的方程,求得,利用斜率公式,即可得解. 【详解】设 , 由双曲线 ,可得 , 所以 , 因为 ,所以 ,所以 , 又因为 ,代入解得 , 所以直线 的斜率为 . 故答案为: . 29.已知双曲线 ,过点 作一直线交双曲线于 、 两点,并使 为 的中点,则直线 的斜率为 . 【答案】 【分析】设点 、 ,利用点差法可求得直线 的斜率. 【详解】设点 、 ,则 ,即 , 由已知条件可得 ,两个等式作差得 , 即 ,即 , 所以,直线 的斜率为 .故答案为: . 30.双曲线 的右焦点为 为双曲线 上的一点,且位于第一象限,直线 分 别交于曲线 于 两点,若 为正三角形,则直线 的斜率等于 . 【答案】 【分析】记双曲线左焦点为 ,根据题中条件,结合双曲线定义,得到 ;再设 , ,得到 ,由点差法求出 ,得到 ,进而可求出结果. 【详解】 记双曲线左焦点为 ,因为 为正三角形, ,所以 , 即 , , 则有 , , 由双曲线定义可得: , 设 , ,则 ,所以 ,两式作差可得 , 即 ,即 , 又 ,则 故答案为: . 31.已知双曲线 的左焦点为F,过F且斜率为 的直线交两渐近线于x轴上方的不同两点 C,D,且 ,则 . 【答案】 【分析】过焦点的直线方程可设为 ,再分别联立渐近线方程可得 , ,进而根据 求解即可. 【详解】根据题意,过焦点的直线方程可设为 ,与 联立得, , 与 联立得, ,如图, 又 ,由渐近线倾斜角互补,故 ,可得 ,即 ,解得 . 故答案为: 32.若过点P(0,1)作直线l,使l与双曲线 有且仅有一个公共点,则直线l的方程为 . 【答案】2x-y+1=0,2x+y-1=0, , 【分析】当直线 斜率不存在时,直线与双曲线没有交点.当直线 斜率存在时,设出直线 的方程,联立直 线 的方程和双曲线的方程,消去 得到 ,根据二次项系数和判别式进行分类讨论, 由此求得直线 的方程. 【详解】当直线 斜率不存在时,显然不合题意 所以可设直线 方程为 , 联立 ,得 , ①当 ,即 或 ,方程 只有一解, 直线 与双曲线 有且仅有一个公共点,此时,直线 方程为 , ②当 ,即 ,要使直线 与双曲线 有且仅有一个公共点, 则 ,解得 , 此时,直线 方程为 , 综上所述,直线 的方程为 或 . 故答案为:2x-y+1=0,2x+y-1=0, , . 33.已知双曲线 的离心率为 ,过左焦点 且斜率为 的直线交 的两支于 两点.若 ,则 . 【答案】【分析】由题意设双曲线的方程为 ,直线为 ,即 , 联立方程,设 ,由 ,得 ,由根与系数的关系求解即可 【详解】因为 , 所以 ,双曲线的方程为 , 设过左焦点 且斜率为 的直线为 ,即 , 与双曲线 联立得 , 设 ,则 , 因为 , 所以 , 所以 , 消去 得 , 化简得 ,即 , 因为 , 所以 , 故答案为: 34.已知双曲线 : 的左、右焦点分别为 , ,一条渐近线为 ,过点 且与 平 行的直线交双曲线C于点M,若 ,则渐近线 的方程为 .【答案】 【分析】用双曲线的半焦距c表示右焦点 ,再结合条件求出点M的坐标,并求出 ,然后借助双曲 线定义求出 即可作答. 【详解】令双曲线的半焦距为c,则 ,由双曲线对称性知,不妨令直线 的方程为: , 则过点 且与 平行的直线的方程为 , 由 消去y并整理得: ,解得点M的横坐标为 , 于是得 , , 由双曲线定义知: ,因此有 ,即 , 所以渐近线 的方程为: . 故答案为: 35.已知双曲线C: ( , )的焦距是椭圆 焦距的两倍,且它们的离心率互 为倒数,过双曲线C的右焦点F且倾斜角为120°的直线l交C于A,B两点,则 . 【答案】8 【分析】先求得双曲线的方程,再与直线l 联立求解. 【详解】因为椭圆方程 的焦距为 ,离心率为 , 所以双曲线C的焦距为 ,离心率为 , 故双曲线C的方程为 . 因为 ,直线l的斜率 ,所以直线l的方程为 , 代入双曲线C的方程 ,可得 . 设 , ,则 , . 因为 , , 所以 . 故答案为:8 36.过双曲线 : 的右焦点 作圆 : 的切线,此切线与 的右支交于 , 两点,则 . 【答案】 【解析】首先设出直线,利用直线与圆相切,求直线方程,再利用弦长公式求弦长 . 【详解】因为直线过双曲线的右焦点且与圆相切,所以直线的斜率存在, 设直线方程为 ( ),由直线与圆相切知 ,解得 或 , 当 时,双曲线的一条渐近线的斜率是 , ,该直线不与双曲线右支相交于两点,故舍去; 所以直线方程为 ,联立双曲线方程,消元得 . 设 , ,则 , , 所以 . 故答案为: 【点睛】易错点点睛:利用直线与圆相切,得到两个斜率 或 ,需舍去一个,否则出现增根.37.已知双曲线 : ,若直线 的倾斜角为60°,且与双曲线C的右支交于M,N两点,与x轴 交于点P,若 ,则点P的坐标为 . 【答案】 【分析】设直线 的方程为 ,与双曲线方程 联立,利用根与系数的关系及弦长公式列 式求解 的值,即可求出直线 的方程,令 即可得出答案. 【详解】双曲线双曲线 : 的渐近线方程为 , 而直线 的倾斜角为60°,则直线 的斜率为 ,可设直线 的方程为 , 与双曲线方程 联立,化简可得 , 由 ,得 或 . 设 , ,则 , , 则 ,所以 , ,解得: (舍去)或 , 所以直线 的方程为 ,令 ,可得 . 故点P的坐标为 . 故答案为: . 38.若双曲线 上存在两个点关于直线 对称,则实数 的取值范围为 .【答案】 【分析】设双曲线上两点 , , , ,直线 的方程是 ,代入双曲线方程化简得 , 的中点是 , ,利用判别式大于0,韦达定理结合 的中点 在直线 上,转化求解 的范围即可. 【详解】解:依题意,双曲线上两点 , , , , 若点A、B关于直线 对称,则 设直线 的方程是 ,代入双曲线方程 化简得: , 则 ,且 ,解得 ,且 又 ,设 的中点是 , , 所以 , . 因为 的中点 在直线 上, 所以 ,所以 ,又 所以 ,即 ,所以 所以 ,整理得 , 所以 或 , 实数 的取值范围为:故答案为: . 39.已知双曲线中心在原点且一个焦点为 ,直线 与其相交于 , 两点, 中点横坐 标为 ,则此双曲线的方程是 . 【答案】 【分析】设双曲线的标准方程为 ,利用点差法可求得 的值,再结合焦点的坐标 可求得 和 的值,由此可得出双曲线的标准方程. 【详解】设点 、 , 由题意可得 , , , 直线 的斜率为 , 则 ,两式相减得 , 所以 , 由于双曲线的一个焦点为 ,则 , , , 因此,该双曲线的标准方程为 . 故答案为: . 【点睛】本题考查双曲线标准方程的求解,涉及点差法的应用,考查计算能力,属于中等题. 40.已知双曲线 上存在两点A,B关于直线 对称,且线段 的中点在直线 上,则双曲线的离心率为 .【答案】2 【解析】联立 和 ,得到线段 的中点C的坐标为 , 由点差法得到 ,根据 斜率和C的坐标为 ,得到 之间的关系,从而得到离 心率. 【详解】点A,B关于直线 对称, 线段 的中点在直线 上 所以 得 , 设 ,所以 将 代入双曲线,则有 两式相减得 . ∵ ,∴ , ∴ . ∵点A,B关于直线 对称 ∴ , 所以 ,即 . ∴双曲线的离心率为 . 故答案为:【点睛】本题考查点关于直线对称,双曲线的方程与几何性质,双曲线弦中点问题,求双曲线的离心率, 属于中档题. 41.过点 作直线 与双曲线 交于 , 两点,若点 恰为线段 的中点,则实数 的取 值范围是 . 【答案】 【解析】根据中点坐标公式及点差法,可求得直线 的方程,结合直线与双曲线有两个不同的交点,可得 , 即可求得 的取值范围. 【详解】因为双曲线方程为 则 设 , 因为点 恰为线段 的中点 则 则 ,两式相减并化简可得 即直线 的斜率为2 所以直线 的方程为 ,化简可得 因为直线 与双曲线有两个不同的交点 所以 解得 且 所以 的取值范围为故答案为: 【点睛】本题考查了直线与双曲线的位置关系,中点弦问题,根据交点情况求参数的取值范围,属于中档题. 四、解答题 42.已知双曲线C的渐近线为 ,且过点 . (1)求双曲线C的方程; (2)若直线 与双曲线C相交于A,B两点,O为坐标原点,若OA与OB垂直,求a的值以及弦长 . 【答案】(1) (2) , 【分析】(1)根据渐近线方程可设双曲线方程为 ,代入 可求得 ,整理可得结果; (2)联立直线与双曲线的方程,设 , ,故可得 , ,利用 列等式可求得 ,然后利用弦长公式求 即可 【详解】(1)由双曲线渐近线方程为 ,可设双曲线方程为: , 又双曲线过点 , 双曲线的方程为: (2)设 , ,联立 ,化为 . ∵直线 与双曲线C相交于A,B两点,∴ ,化为 .∴ , (*) ∵ ,∴ .∴ , 又 , ,∴ , 把(*)代入上式得 ,化为 .满足 .∴ . 由弦长公式可得 43.已知双曲线 . (1)若离心率为 ,求b的值, 的顶点坐标、渐近线方程; (2)若 ,是否存在被点 平分的弦?如果存在,求弦所在的直线方程;如不存在,请说明理由. 【答案】(1) ,顶点坐标 ,渐近线 ; (2)不存在,理由见解析. 【分析】(1)根据离心率和a、b、c的关系即可求出b,根据双曲线的性质可求其顶点坐标和渐近线方程; (2)假设存在被M平分的弦,利用点差法求出弦的斜率和方程,将弦的方程代入双曲线方程判断是否有两 个解即可. 【详解】(1) , a=1,故双曲线顶点为 ,渐近线方程为 ; (2)当 时,双曲线为 , 假设双曲线存在被点 平分的弦,设弦的两个端点为 , , 则 , ,∵A、B在双曲线上,∴ , ①-②得: , 则 , ∴弦AB所在直线方程为: , 代入双曲线方程得 , ∵ ,故AB与双曲线无交点,假设不成立. 故不存在被点 平分的弦. 44.已知双曲线 的离心率为2,右焦点 到一条渐近线的距离为 . (1)求双曲线 的方程; (2)已知点 ,过点 作直线 与双曲线 相交于 两点,若 ,求直线 的方程. 【答案】(1) (2) , 或 . 【分析】(1)先利用焦点到渐近线的距离求得 ,再根据离心率求得 ,从而求出双曲线方程; (2)分类讨论,当直线 的斜率为0时, 满足题意,当直线 的斜率不为0时,设直线 的方程为 ,与双曲线联立,韦达定理,结合 及点 在直线 上求解方程即可. 【详解】(1)由题知 ,双曲线 的一条斩近线为 ,则 ,又 ,所以 ,所以双曲线 的方程为 . (2)由(1)知, , ,由题易知直线 的斜率存在, 当直线 的斜率为0时,直线 的方程为 , 此时直线 与双曲线 的交点为 和 ,满足 ,符合题意; 当直线 的斜率不为0时,设直线 的方程为 , 设 ,线段 的中点为 ,联立 , 整理得 ,所以 , 即 ,所以 , , , , 因为 ,所以 ,所以 , 所以 ,又点 在直线 上,所以 ,所以 , 解得 或 ,满足 , 所以直线 的方程为 或 . 综上,直线 的方程为 , 或 .45.已知焦点在x轴上的双曲线C的渐近线方程为 , (1)求双曲线C的离心率e (2)若直线 与C相交于不同的两点A,B,且 ,求双曲线C的方程. 【答案】(1) (2) 【分析】(1)由双曲线C的渐近线方程结合 即可求出双曲线C的离心率 ; (2)联立直线与双曲线C的方程,由弦长公式代入求解即可. 【详解】(1)可设双曲线C的方程为 ,则其渐近线方程为 , 所以 , 所以离心率 ; (2)设 ,则由 得 , 所以 , 因为 , 所以 ,得 ,故双曲线C的方程为 . 46.已知双曲线 的右焦点为 ,且C的一条渐近线经过点 . (1)求C的标准方程; (2)是否存在过点 的直线l与C交于不同的A,B两点,且线段AB的中点为P.若存在,求出直线l的方 程;若不存在,请说明理由. 【答案】(1) (2)不存在,理由见解析 【分析】(1)根据题意得到 ,得出 ,再由C的一条渐近线经过点 ,求得 , 联立方程组,求得 ,即可求解; (2)设直线 的斜率为 ,且 ,代入曲线方程得到 ,由 ,求得 ,得出直线 的方程为 ,联立方程组,结合方程没有实根,即可得 到答案. 【详解】(1)解:因为双曲线C的右焦点为 ,所以 ,可得 , 又因为双曲线C的一条渐近线经过点 ,可得 ,即 , 联立方程组 ,解得 , 所以双曲线C的标准方程为 . (2)解:假设存在符合条件的直线 ,易知直线l的斜率存在, 设直线 的斜率为 ,且 ,则 ,两式相减得 ,所以 , 因为 的中点为 ,所以 ,所以 ,解得 , 直线 的方程为 ,即 , 把直线 代入 ,整理得 , 可得 ,该方程没有实根,所以假设不成立, 即不存在过点 的直线 与C交于 两点,使得线段 的中点为 . 47.双曲线C的离心率为 ,且与椭圆 有公共焦点. (1)求双曲线C的方程. (2)双曲线C上是否存在两点A,B关于点(4,1)对称?若存在,求出直线AB的方程;若不存在,说 明理由. 【答案】(1) ;(2)存在,直线 的方程为 . 【分析】(1)结合双曲线的离心率和椭圆的焦点,求得双曲线对应的 ,由此求得双曲线方程. (2)利用点差法求得直线 的方程. 【详解】(1)椭圆 : , 所以双曲线 . 所以双曲线的方程为 . (2)画出图象如下图所示,设 , ,两式相减并化简得 ,即 , 所以直线 的方程为 . 48.已知双曲线 ,过点 ,离心率为 . (1)求双曲线C的标准方程; (2)已知点 ,过点N的直线交双曲线C于A、B两点,且 求直线AB的方程 【答案】(1) ;(2) . 【解析】(1)由离心率可得 关系,再将点 代入可求出方程; (2)设直线AB为 ,联立直线与双曲线方程,得出 ,由题可得 是AB 的中点,建立方程可求. 【详解】解:(1)由题意得 ,即 , 则 , 双曲线方程为 , 将点 代入 ,得 ,得 , 双曲线方程 . 由题意知直线AB的斜率存在. 设直线AB: ,代入 , 得令 , ,则 、 是方程 的两根, ,且 . , 是AB的中点, , , , 直线AB的方程为 . 【点睛】方法点睛:解决直线与圆锥曲线相交问题的常用步骤: (1)得出直线方程,设交点为 , ; (2)联立直线与曲线方程,得到关于 (或 )的一元二次方程; (3)写出韦达定理; (4)将所求问题或题中关系转化为 形式; (5)代入韦达定理求解. 49.已知双曲线 截直线 所得的弦 的长为 . (1)求 的值; (2)若 轴上有一点 ,使 的面积为 ,求点 的坐标. 【答案】(1) (2) , 【分析】(1)设 ,进而联立方程,结合弦长公式与韦达定理求解即可; (2)设 ,进而结合题意得 到直线 的距离为 ,再根据点到直线的距离公 式,分 和 讨论求解即可.【详解】(1)解:设 , 所以,联立方程 得 , 所以 ,即 , , 因为双曲线 截直线 所得的弦 的长为 , 所以 , 整理得 ,即 ,满足 , 所以,所求得 的值为 . (2)解:根据题意,设 ,其到直线 的距离为 , 因为 的面积为 , 所以 ,解得: , 所以,当 时, 到 的距离为 ,解得 或 ,即 或 ; 当 时, 到 的距离为 ,解得 或 ,即 或 ; 综上,点 的坐标为 , .50.已知双曲线 的一条渐近线方程为 ,且双曲线经过点 . (1)求双曲线 的方程; (2)过点 且斜率不为0的直线与 交于 两点(与点 不重合),直线 分别与直线 交 于点 ,求 的值. 【答案】(1) ; (2) . 【分析】(1)由题得 ,进而即得; (2)设直线 的方程为 ,联立双曲线方程,根据直线 , 的方程表示出 结合韦达 定理即得. 【详解】(1)由题意可知 , 解得 , 所以双曲线的方程为 . (2)设直线 的方程为 ,代入 中, 可得 ,设 , 则 .直线 的方程为 , 令 ,得点 的纵坐标为 , 直线 的方程为 , 令 ,得点 的纵坐标为 , 因为 , 所以 ,即 . 51.已知双曲线 : ( , )的左顶点为 , 到 的一条渐近线的距离为 . (1)求 的方程; (2)过点 的直线 与 交于 , 两点,求 的值. 【答案】(1) (2)0 【分析】(1)由题意知 ,取双曲线的一条渐近线,再根据点到直线的距离公式即可得到 与 关系式, 从而求得 ,进而可求得 的方程; (2)当直线 的斜率不存在时,直线 的方程为 ,则可得到 , 的坐标,进而可直接求解的值;当直线 的斜率存在时,设直线 的方程为 , , ,联立直线 的方程和 的方程可得到关于 的一元二次方程,从而可得到 , ,代入即可求解 的值,综上,即 可得到 的值. 【详解】(1)由题意知 , 的一条渐近线方程为 ,即 , 所以 到 的一条渐近线的距离为 ,所以 , 又 ,解得 ,所以 的方程为 . (2)当直线 的斜率不存在时,直线 的方程为 ,易得 , 或 , , 所以 ; 当直线 的斜率存在时,设直线 的方程为 , , , 联立 ,得 , 所以 ,解得 , 所以 , , 所以 . 综上, . 52.已知双曲线C: 的右焦点为F,过F的直线l与双曲线交于M,N两点,当轴时, . (1)求双曲线C的离心率e; (2)当l倾斜角为 时,线段MN垂直平分线交x轴于P,求 的值. 【答案】(1) (2) 【分析】(1)根据题意可得: ,也即 ,进而求出双曲线的离心率; (2)结合(1)的结论可得双曲线C的方程为 ,设直线MN的方程为 , 联立方程组,利用韦达定理和中点坐标公式可得MN的垂直平分线的方程为 ,进而得 到P的坐标为 ,计算可得 , ,进而求解. 【详解】(1)根据题意 . 所以 ,所以双曲线C的离心率 . (2)由(1)知 ,双曲线C的方程为 . 直线MN的方程为 , 联立方程组 ,得 , 设 , , , 则 , . 因为 ,所以MN的中点坐标为 .MN的垂直平分线的方程为 , 所以P的坐标为 , 所以 . 又 , 所以 . 53.已知双曲线 的左,右顶点分别为A,B,过点 且不与x轴重合的动直 线交双曲线C于P,Q两点,当直线PQ与x轴垂直时, . (1)求双曲线C的标准方程; (2)设直线AP,AQ和直线 分别交于点M,N,若 恒成立,求t的值. 【答案】(1) (2) 或 【分析】(1)由 可得 的值,再将点 代入即可求解; (2) 设直线PQ的方程为 ,与双曲线方程联立,利用韦达定理求出直线AP的方程,求出点 的坐标,利用 即可求出结果. 【详解】(1)由题知,当PQ与x轴垂直时, , 所以 , , 所以 ,解得 ,所以双曲线C的方程为 . (2)设直线PQ的方程为 , , ,由 ,得 , 所以 , . 直线AP的方程为 ,与 联立,解得 .同理可得 . 所以 , , 因为 恒成立,所以 恒成立, 又 所以 ,解得 或 . 54.已知双曲线C的方程为 . (1)直线 截双曲线C所得的弦长为 ,求实数m的值; (2)过点 作直线交双曲线C于P、Q两点,求线段 的中点M的轨迹方程. 【答案】(1) (2) 【分析】(1)联立直线与双曲线方程,得到韦达定理式,利用弦长公式即可求出 值; (2)设 , ,利用点差法结合中点公式即可得到 ,化简即可.【详解】(1)联立 ,得 , 直线 被双曲线 截得的弦长为 , , 设直线与双曲线交于 , 则 , 由弦长公式得 , 解得 . (2)设 , ,则 , , 上式作差得 , 当直线 的斜率不存在时,根据双曲线对称性知 , 当直线 的斜率存在时,但 时,此时直线 为直线 ,根据双曲线对称性知 , 当直线 的斜率存在时,且 时, , , ,化简得 ,其中 , 而点 , 适合上述方程, 则线段 的中点 的轨迹方程是 .55.已知点 , 依次为双曲线 的左、右焦点,且 ,令 . (1)设此双曲线经过第一、三象限的渐近线为 ,若直线 与直线 垂直,求双曲线的离心率; (2)若 ,以此双曲线的焦点为顶点,以此双曲线的顶点为焦点得到椭圆C,法向量为 的直线 与椭圆C交于两点M,N,且 ,求直线 的一般式方程. 【答案】(1) (2) 或 【分析】(1)根据垂直关系得到 ,确定 ,解得答案. (2)确定椭圆方程为 ,设直线方程为 ,联立方程,得到根与系数的关系,再利用 弦长公式计算得到答案. 【详解】(1)渐近线 , , ,则 , 直线 与直线 垂直,则 ,即 ,即 , 解得 ,(舍去负值). (2)直线 的法向量为 ,设直线方程为 ,设椭圆方程为 ,则 , , , , 故椭圆方程为 ,联立方程 ,即 , ,即 , 设 , , , ,解得 . 故直线方程为 或 . 56.已知双曲线 的实轴长为6,左右焦点分别为 , ,点 在双曲线 上, 轴,且 . (1)求双曲线 及其渐近线的方程; (2)如图,若过点 斜率为 的直线 与双曲线 及其两条渐近线从左至右依次交于 , , ,四点,且 ,求 . 【答案】(1) (2) 【分析】(1)根据题意可得 ,求出 ,再由双曲线的定义求出 ,即可得出方程; (2)设出直线的方程,联立直线与双曲线的方程,根据韦达定理及弦长公式求出 , 再联立直线与渐近线方程得出 的横坐标,再由弦长公式求出 ,再由 即可得解. 【详解】(1)由题意知, ,即 , 由 轴,可知 ,代入双曲线方程可得 , 又 ,即 ,解得 , 所以双曲线的方程为 . (2)由(1)可知, ,所以 , 设直线 方程为 , , , , , 由 ,可得 , , , , 由 可知双曲线的渐近线方程为 和 ,联立 可得 ,同理可得 由 可得, , 化简可得 ,即 , 整理得, ,解得 . 57.已知双曲线 : ( , )的左、右焦点为 , ,过点 作双曲线 一条渐近线的垂线,垂足为 ,且 . (1)求双曲线 的标准方程; (2)设双曲线 的左顶点为 ,过点 的直线 与双曲线 交于 , 两点,连接 , 分别交于 轴于点 , ,且 ,求直线 的方程及 的面积. 【答案】(1) (2)直线 的方程为 ; 的面积为 . 【分析】(1)由题意可得 ,再由 到双曲线一条渐近线的距离可得 ,进而得到双曲线方 程;(2)设直线 ,把直线方程带入双曲线方程整理可得: ,求得 方程,求得 两点坐标,再由 ,求出 ,即可求出 直线 的方程,最后由三角形面积公式求出 的面积. 【详解】(1)因为双曲线 的左、右焦点为 , , 所以 ,双曲线 : 的渐近线为 ,因为 , 所以 到双曲线一条渐近线的距离为: , 则 ,所以双曲线 : . (2)证明:由题意可得 , 设直线 , 由 ,消去 ,整理得: , , 可得 , , 设直线方程 ,可得 , 设直线 ,可得 , 所以 , 因为所以 , 又 所以 , 所以 ,即 , 所以直线 的方程为: . 则 . 58.已知双曲线C的焦点在y轴,对称中心O为坐标原点,焦距为 ,且过 (1)求C的方程 (2)若斜率为2的直线l与C交于P,Q两点,且 ,求|PQ|. 【答案】(1) ; (2) . 【分析】(1)根据双曲线上的点,结合双曲线的定义可求得 ,从而可得双曲线方程; (2)联立直线与双曲线方程,结合韦达定理可求得参数 ,再根据弦长公式即可求得|PQ|. 【详解】(1)由已知,可设焦点坐标为 , 根据双曲线的定义可知: ,即 ,解得: , 又 ,解得 , 故双曲线的方程为: . (2)设直线 , , 联立方程组 可得: , ,解得 , 则 , ∴ , ∵ ,∴ ,解得 , 因此 . 59.已知双曲线 : 经过点 ,焦点 到渐近线的距离为 . (1)求双曲线 的方程; (2)若直线 与双曲线 相交于 , 两点, 是弦 的中点,求 的长度. 【答案】(1) ; (2) . 【分析】(1)由焦点 到渐近线的距离为 ,可得 ,再代入点 ,即可求得双曲线方程; (2)由 的中点为 ,可求得直线 的方程为 ,联立直线 与双曲线 的方程可得,再由弦长公式计算即可. 【详解】(1)解:若焦点 ,其到渐近线 的距离 , 又因为双曲线 : 经过点 , 所以 ,解得 , 所以双曲线 的方程为 ; (2)解:设点 , , 因为 是弦 的中点, 则 . 由于 , 则 , 所以 , 从而直线 的方程为 , 即 . 联立 , 得 , 所以 ,从而 . 60.设P是双曲线 右支上任意一点,O为坐标原点. (1)过点P分别作两条渐近线的垂线,垂足分别是E、F,求 的值; (2)过点P的直线与两条渐近线分别交于A、B两点,且满足 ,求 的面积. 【答案】(1) ; (2)9. 【分析】(1)设 ,根据点到直线的距离公式求出 ,计算化简 即可; (2)设 ,由渐近线方程可得 ,根据同角三角函数的关系求出 , 设 ,如图,根据平面向量的坐标表示可得 ,代入 ,化简 计算求出 ,结合三角形面积公式计算即可. 【详解】(1)设 ,则 , 双曲线 的渐近线方程为 , 所以点P到直线 的距离为 , 点P到直线 的距离为 , 有 ; (2)双曲线的渐近线方程为 ,设 ( ),则 ,所以 , 因为 等价与P为 的内分点,故A、B、P在y轴右侧, 设 ( ),则 , 所以 ,又 , 由 ,得 且 , 有 ,代入 , 得 ,即 , 所以 ,故 , 即 的面积为9. 61.已知双曲线 的离心率为2,F为双曲线C的右焦点,M为双曲线C上的任 一点,且点M到双曲线C的两条渐近线距离的乘积为 , (1)求双曲线C的方程; (2)设过点F且与坐标轴不垂直的直线l与双曲线C相交于点P,Q,线段PQ的垂直平分线与x轴交于点B,求 的值. 【答案】(1) (2)1 【分析】(1)设 ,则有 ,即 ,由点M到双曲线C的两条渐近线距离 的乘积为 可得, ,结合离心率 ,可求出双曲线C 的方程; (2)设直线 的方程为 ,联立 ,化简得出 ,再求出 , 可得出结果. 【详解】(1)由题意可得,渐近线的方程为 , 设 ,则有 ,即 , 因为点M到双曲线C的两条渐近线距离的乘积为 , 所以 , 又离心率 ,即 ,所以 ,所以 , , 所以双曲线的方程为 ; (2)由(1)知, ,设直线 的方程为 , 联立 ,得 , 所以 , 若 , ,则 , ,所以 |, 所以 , 所以 的中点坐标为 , 所以线段 的垂直平分线的方程为 , 整理得 ,所以 , 则 ,所以 . 62.双曲线 的渐近线方程为 ,一个焦点到该渐近线的距离为2. (1)求C的方程; (2)是否存在直线l,经过点 且与双曲线C于A,B两点,M为线段AB的中点,若存在,求l的方程: 若不存在,说明理由. 【答案】(1) (2)存在; . 【分析】(1)根据双曲线方程得到渐近线方程,即可得到 ,再由点到线的距离公式求出 ,最后根 据 计算可得; (2)设 , ,直线 的斜率为 ,利用点差法计算可得; 【详解】(1)双曲线 的渐近线为 , 因为双曲线的一条渐近线方程为 ,所以 ,又焦点 到直线 的距离 ,所以 , 又 ,所以 , ,所以双曲线方程为 (2)假设存在,由题意知:直线的斜率存在,设 , ,直线 的斜率为 ,则 , , 所以 , , 两式相减得 ,即 即 ,所以 ,解得 , 所以直线 的方程为 ,即 , 经检验直线 与双曲线 有两个交点,满足条件, 所以直线 的方程为 . 63.已知双曲线 : 的左、右两焦点分别为 、 , 为 上一点, 且 . (1)求双曲线 的方程; (2)是否存在直线 ,使 被 所截得的弦 的中点坐标是 ?若存在,求出直线 的方程,若不存在, 请说明理由. 【答案】(1) ; (2)不存在,理由见解析. 【分析】(1)根据已知条件及两点间的距离公式,利用双曲线的定义即可求解. (2)根据已知条件及直线的斜截式方程,将直线与双曲线联立,利用韦达定理及中点坐标公式,结合点 在直线上及直线与双曲线的位置关系即可求解.【详解】(1)因为 , ,所以 , 由题意可知, , 所以 , ,解得 , , 所以 , 故双曲线 的方程为 . (2)因为 不在坐标轴上,所以直线 的斜率存在且不为零,假设存在直线 符合题意, 设直线 的方程为 ,则 ,消去 ,整理得 , 因为直线 与双曲线 相交于 , 所以 且 , , 所以 , 因为点 是线段 的中点, 所以 ,即 ,解得 , 所以 所以不存在这样的直线 . 64.已知点 、 为双曲线 的左、右焦点,过 作垂直于 轴的直线,在 轴的上方 交双曲线 于点 ,且 . (1)求双曲线 的方程;(2)若直线 过点 且与双曲线 交于A、 两点,若A、 中点的横坐标为1,求直线 的方程. 【答案】(1) (2) 【分析】(1)在直角三角形 中,根据 可以求出 的长,利用双曲线的定义得到等 式,可以求出 ,也就能求出 ,最后写出双曲线的方程即可. (2)设出直线l与点A,B,联立方程,利用韦达定理及中点横坐标求得k,根据判别式范围进行取舍即 可得解. 【详解】(1)在直角三角形 中,因为 所以有 , 解得 . 由双曲线的定义可知: ,∴ ,所以双曲线C的方程是 . (2)由题可知,直线 的斜率存在,设 : , , ∵A、B中点的横坐标为1,∴ 联立l与C, ,整理得 , 因为有两个交点,所以 且 , 解得 且 , ,化简为 , 解得 或 (舍), 所以 的方程为:65.已知双曲线 过点 ,焦距为 , . (1)求双曲线C的方程; (2)是否存在过点 的直线 与双曲线C交于M,N两点,使△ 构成以 为顶角的等腰三 角形?若存在,求出所有直线l的方程;若不存在,请说明理由. 【答案】(1) . (2)存在,直线 为 或 . 【分析】(1)根据焦距、双曲线上的点求双曲线参数,进而写出双曲线C的方程; (2)由题设有 ,设直线 为 , ,并联立双曲线方程,应用韦达定理、 中点坐标公式求M,N的中点坐标,由等腰三角形中垂线性质求参数k,进而可得直线l的方程. 【详解】(1)由题设, ,又 在双曲线上, ∴ ,可得 , ∴双曲线C的方程为 . (2)由(1)知: , 直线 的斜率一定存在,当直线斜率为0时,直线 : ,符合题意; 设直线 为 , , 联立双曲线方程可得: , 由题设 , ∴ , ,则 . 要使△ 构成以 为顶角的等腰三角形,则 ,∴ 的中点坐标为 , ∴ ,可得 或 , 当 时, ,不合题意,所以 ,直线l: , ∴存在直线 为 或 ,使△ 构成以 为顶角的等腰三角形. 66.已知点 、 ,为双曲线 的左、右焦点,过 作垂直于 轴的直线,在 轴的上 方交双曲线 于点 ,且 . (1)求双曲线 的方程; (2)若直线 过点(0,1)且与双曲线 交于 、 两点,若 、 中点的横坐标为1,求直线 的方程; (3)过双曲线 上任意一点 作该双曲线两条渐近线的垂直,垂足分别为 、 ,求证: 为定 值. 【答案】(1) ;(2) ;(3)为定值 ,证明见解答. 【分析】(1)由题意可得 ,由直角三角形的性质和双曲线的定义,解方程可得 ,即可得到双曲线 的方程; (2)设直线 的方程为 ,与双曲线的方程联立,运用韦达定理和判别式大于0,以及中点坐标公 式,解方程可得 ,进而得到直线 的方程; (3)设 ,则 ,求得双曲线的渐近线方程分别与相应的垂线方程联立,求得交点 , , 以及 、 的坐标,由向量数量积的坐标表示,化简整理,即可得证. 【详解】(1)由双曲线的方程可得 , 在直角三角形 中, , ,可得 ,且 , 解得 ,又 , 所以 , 则双曲线的方程为 ; (2)由题意可得直线 的斜率存在,设为 ,直线 的方程为 , 联立 ,可得 , ,解得 设 , 的横坐标分别为 , ,则 由 、 中点的横坐标为1,可得 , 解得 或 (舍去), 所以直线 的方程为 ; (3)证明:设 ,则 , 由 ,解得 , 由 ,解得 , 所以, 即 . 【C组 在创新中考查思维】 一、单选题 1.已知双曲线 的左顶点为 ,过 的直线 与 的右支交于点 ,若线段 的中 点在圆 上,且 ,则双曲线 的离心率为( ) A. B. C.2 D.3 【答案】A 【分析】设线段 的中点为 ,双曲线的右顶点为 ,连接 ,则可得 ,然后在 中利用余弦定理求得 ,则 ,从而可表示出 ,代入双曲线方程化 简可求出离心率. 【详解】设线段 的中点为 ,双曲线的右顶点为 ,左右焦点为 ,连接 , 因为线段 的中点 在圆 上,所以 , 所以 ≌ ,所以 , 因为 ,所以 , 在 中,由余弦定理得 , 因为 ,所以 ,所以 ,过 作 轴于 ,则 , 所以 , 所以 ,得 , 所以 , ,所以 , 所以离心率 , 故选:A 【点睛】关键点点睛:此题考查求双曲线的离心率,考查直线与双曲线的位置关系,解题的关键是由题意 求得 ,然后在 中利用余弦定理求出 ,从而可表示出点 的坐标,考查数形结 合的思想和计算能力,属于较难题. 2.已知直线 过双曲线 的左焦点 ,且与 的左、右两支分别交于 两点,设 为坐标原 点, 为 的中点,若 是以 为底边的等腰三角形,则直线 的斜率为( ) A. B. C. D. 【答案】D 【分析】由点差法得 ,由条件知直线 的倾斜角为 倾斜角的两倍,代入两直线的斜率关系 式 即可求得 的斜率. 【详解】设 ,由 均在 上, 为 的中点, 得 ,则 , ∴ , ∴ , 设直线 的倾斜角为 ,则 ,不妨设 为锐角, ∵ 是以 为底边的等腰三角形,∴直线 的倾斜角为 ,则 . ∴ , ∴ ,解得 , ∴由对称性知直线 的斜率为 . 3.已知双曲线 ,直线 过坐标原点并与双曲线交于 两点( 在第一象限), 过点 作 的垂线与双曲线交于另一个点 ,直线 交 轴于点 ,若点 的横坐标为点 横坐标的两倍, 则双曲线的离心率为( ) A. B. C. D. 【答案】C【分析】设 , ,根据垂直关系及 坐标可得直线 的方程,联立可求得 点坐标,代入双曲线方程中,结合 在双曲线上,可化简整理得到 ,由离心率 可求得 结果. 【详解】由题意知:直线 斜率存在且不为零,则可设直线 , 设 ,则 , , , ,则直线 , 又 , 直线 , 由 得: ,即 , 在双曲线 上, , 又 在双曲线 上,即 , , , 即 , , ,又 , , 双曲线离心率 . 故选:C.【点睛】关键点点睛:本题考查双曲线离心率的求解问题;解题关键是能够通过两直线方程联立的方式, 求得 点坐标,从而根据 点在双曲线上构造方程,化简整理得到 之间的关系. 4.如图,已知椭圆 和双曲线 具有相同的焦点 , ,A、B、C、D是它们的公共点,且 都在圆 上,直线 与x轴交于点P,直线 与双曲线 交于点 ,记直线 、 的斜率 分别为 、 ,若椭圆 的离心率为 ,则 的值为( ) A.2 B. C. D.4 【答案】B 【分析】根据已知条件依次求得 两点的坐标,由此可求得 的值. 【详解】设椭圆标准方程为 ,双曲线的标准方程为 , 则 ,由 , , 所以 ,所以椭圆方程可化为 , 由 ,两式相减得 , ,则 ,根据对称性可知 关于原点对称, 关于 轴对称. 则 , 直线 的方程为 . 将 代入 得 , 由 ,解得 或 , 而 , ,所以 , 所以 ,所以双曲线方程可化为 , 由 消去 并化简得 , 设 ,解得 ,所以 , 所以 . 故选:B 【点睛】本题中,涉及圆和双曲线、圆和椭圆、直线和双曲线等图象的“交点”,求交点的坐标,主要是 通过联立方程组来进行求解,要注意运算的准确性,另外也要注意运算的速度.在双曲线和椭圆中, 的关系是不相同的. 5.已知双曲线 的右焦点为F,过点F且斜率为 的直线l交双曲线于A、B两点,线段AB的中垂线交x轴于点D. 若 ,则双曲线的离心率取值范围是( ) A. B. C. D. 【答案】A 【分析】根据题意利用韦达定理求 以及线段AB的中垂线的方程,进而可求点D和 ,结合 运算求解即可. 【详解】设双曲线的右焦点为 ,则直线 , 联立方程 ,消去y得: , 则可得 , 则 , 设线段 的中点 ,则 , 即 , 且 ,线段 的中垂线的斜率为 , 则线段 的中垂线所在直线方程为 , 令 ,则 ,解得 , 即 ,则 , 由题意可得: ,即 ,整理得 ,则 , 注意到双曲线的离心率 , ∴双曲线的离心率取值范围是 . 故选:A. 【点睛】方法定睛:双曲线离心率(离心率范围)的求法 求双曲线的离心率或离心率的范围,关键是根据已知条件确定a,b,c的等量关系或不等关系,然后把b 用a,c代换,求 的值(或范围). 6.已知双曲线 ,以右顶点 为圆心, 为半径的圆上一点 ( 不在 轴上)处的切线与 交于 两点,且 为 中点,则 的取值范围为( ) A. B. C. D. 【答案】A 【分析】先求双曲线的渐近线,利用双曲线中点弦及切线斜率可得答案. 【详解】由题意得双曲线渐近线 , ,圆 , 切点 在双曲线左支和右支之间,由对称性,不妨设切点 在 轴的上方; 设 , , ,则 , 因为直线 的斜率 ,所以切线斜率 . 因为 ①, ②; ②—①得 , 可得 ,所以 , , ,故 . 又 在圆上, 所以 . 因为切点 在 轴的上方,切线与双曲线交于两点,一条渐近线的斜率为 , 所以有 ,代入 ,可得 , 故 , 即 . 故选:A 【点睛】关键点点睛:本题求解的关键有两个:一是利用点差法找到半径与 的关系式;二是利用直线 与双曲线的位置关系确定 的范围. 二、多选题 7.过双曲线 的右焦点作直线 与该双曲线交于 、 两点,则( ) A.存在四条直线 ,使 B.与该双曲线有相同渐近线且过点 的双曲线的标准方程为 C.若 、 都在该双曲线的右支上,则直线 斜率的取值范围是 D.存在直线 ,使弦 的中点为 【答案】BC【分析】由直线与双曲线相交,联立方程组,逐项判断即可. 【详解】对于A,由于 ,所以右焦点为 ,设直线 方程为: . 联立 得: , 恒成立. 所以 , ,则 , . 所以 . 所以 ,解得 ,所以只有两条,故A错误; 对于B,双曲线 的渐近线为 ,所以 , 过点 的双曲线的标准方程为 ,故B正确; 对于C,若 、 都在该双曲线的右支上,则 , 即 ,所以 ,解得 .故C正确; 对于D,假设存在直线 ,使弦 的中点为 , 设直线的方程为 ,与 联立得: , 恒成立. 所以 , 所以 ,所以直线方程为 ,但是由于 不在直线上,故不存在这样的直线 ,故D错误. 故选:BC. 8.双曲线E的一个焦点为 ,一条渐近线l的方程为 ,M,N是双曲线E上不同两点,则 ( ) A.渐近线l与圆 相切 B.M,N的中点与原点连线斜率可能为 C.当直线MN过双曲线E的右焦点时,满足 的直线MN只有3条 D.满足 的点M有且仅有2个 【答案】AC 【分析】求出圆心到直线的距离即可判断A;根据题意求出双曲线的方程,假设存在点 , 符合题意,利用点差法求出 ,即可判断B;求出通径及实轴长即可判断C;分别比较 与 的大小即可判断D. 【详解】圆 的圆心为 ,半径为1, 圆心 到曲线E的渐近线 的距离为 , 所以渐近线l与圆 相切,故A正确; 因 ,所以 ,即 , 又一条渐近线l的方程为 ,所以 , 可解得: , , 所以曲线E的方程为 ,假设存在点 , 符合题意, 则 的中点 , , 由 , , 相减得 , 所以 , 所以 共线,故直线 与渐近线 重合,矛盾,故B不正确; 双曲线E的焦距为 ,则直线MN过左右顶点时, ,符合题意, 令 ,则有 ,解得 , 所以双曲线的通径为 , 即直线MN过双曲线E的右焦点时, , 所以当直线 不过左右顶点时,满足 的线段有2条, 综上,满足 的线段包含实轴共有3条,故C正确; ,所以右支上有两点满足题意, ,所以左支上有两点满足题意, 满足 的点M有且仅有4个,D不正确. 故选:AC. 【点睛】结论点睛:①已知椭圆 的弦 的中点 ,则 ; ②已知双曲线 的弦 的中点 ,则 ; ③已知抛物线 的弦 的中点 ,则 . 9.双曲线 的虚轴长为2, 为其左右焦点, 是双曲线上的三点,过 作 的切线交其渐近线于 两点.已知 的内心 到 轴的距离为1.下列说法正确的是( ) A. 外心 的轨迹是一条直线 B.当 变化时, 外心的轨迹方程为 C.当 变化时,存在 使得 的垂心在 的渐近线上 D.若 分别是 中点,则 的外接圆过定点 【答案】AD 【分析】根据圆的性质,结合双曲线的渐近线方程、直线斜率的公式,通过解方程(组)、运用夹角公式 逐一判断即可. 【详解】因为已知 的内心 到 轴的距离为1,双曲线 的虚轴长为2, 所以 的内心 横坐标 ,双曲线方程: , ,渐近线 . 设 . 当点 在双曲线 上时: 设直线 与双曲线 交两点当直线与双曲线相切时 ,此时切点 满足: 切线 设直线 与渐近线 交两点 切点 正是线段 的中点, ∴ ;线段 中垂线是 . 中垂线与 轴交于点 ,且 . 可设一方面, ;另一方面,线段 中点是 考虑到 ∴ ,点 确系 之外心 !其轨迹是直线 .选项A正确! 依(1)设 线段 中点是 线段 中垂线是 ,即 线段 中垂线是 ,即 ∴ ,即 外心的轨迹方程为 .故选项B错! (3)对 来讲,若垂心在渐近线上可设坐标是 ,进而化简得 ∴ 把 代入 并化简得: 考虑到 不在渐近线上得 ,故 ∴ ,这不可能!垂心不能在 上,同理不能在 上,选项C错误; (4)设共圆! 的外接圆过定点原点,选项D对. 故选:AD 【点睛】关键点睛:正确地进行数学运算,应用夹角公式是解题的关键. 10.已知双曲线 : 与椭圆 有公共焦点, 的左、右焦点分别为 , , 且经过点 ,则下列说法正确的是( ) A.双曲线 的标准方程为 B.若直线 与双曲线 无交点,则 C.设 ,过点 的动直线与双曲线 交于 , 两点(异于点 ),若直线 与直线 的斜率存在,且分别记为 , ,则 D.若动直线 与双曲线 恰有1个公共点,且与双曲线 的两条渐近线分别交于点 , ,则 ( 为坐标原点)的面积为定值1 【答案】ACD 【分析】对A,根据椭圆与双曲线共焦点及双曲线过点T建立方程组解出a,b,进而得到答案; 对B,结合双曲线的渐近线即可判断B; 对C,设出动直线方程并代入双曲线方程,进而结合根与系数的关系求得答案; 对D,考虑动直线斜率存在和不存在两种情况,若斜率存在,设出直线的斜截式 ,并代 入双曲线方程,根据判别式为0得到 间的关系,然后解出点M的坐标,求出 和O到直线的距离, 最后求出面积.【详解】对于A选项,由题意 ,且 ,联立解得 ,所以双曲线 的标准 方程为 ,故A正确; 对于B选项,因为双曲线 的渐近线方程为 ,所以直线 与双曲线 无交点,则 ,故B 错误; 对于C选项,过点 的动直线斜率存在且不为0,故设该动直线为 .设 , , 联立 得 ,所以 解得 且 且 , , ,则 , 故C正确; 对于选项D,由于动直线 与双曲线 恰有1个公共点,且与双曲线 的两条渐近线分别交于点 , , 当直线 的斜率不存在时, : , , ;当动直线 的斜率存在时,且斜率 时,不妨设直线 : ,故由 ,从而 ,化简得 .又因为双曲线 的渐近线方程为 ,故由从而点 .同理可得, ,所以 ,又因为原点 到直线 : 的距离 ,所以 ,又由 ,所以 ,故 的面积 为定值1,故D正确. 故选:ACD. 【点睛】本题的选项D比较复杂,对于此类问题要注意两个方面:①设直线方程(斜截式结构简单)时一 定要考虑直线的斜率是否存在;②思路一定要直接,既然求三角形的面积,那么最直接的方法就是求出三 角形的底和高. 三、填空题 11.过双曲线 的右焦点F作倾斜角为 的直线,交双曲线于P、Q两点,则 的值为 . 【答案】 【分析】由题意,根据点斜式写出直线方程,联立双曲线方程,由韦达定理及弦长公式即可求解. 【详解】解:由题意, ,直线斜率 , 所以直线方程为 ,代入 得 , 设 ,则 , 又 ,, 故答案为: . 12.已知双曲线 : 的右焦点为 ,以 为圆心,以 为半径的圆交双曲线 的右 支于 , 两点( 为坐标原点), 的一个内角为 ,则双曲线 的离心率为 . 【答案】 【分析】由双曲线的对称性及 一内角为 可得 为等边三角形,进而求点P的坐标,再由P 在双曲线上,代入双曲线方程,由 代入化简即可求离心率e. 【详解】如下图所示: ,且 的一个内角为 , 则 为等边三角形,所以 连接 , ,则 , , 即 ,故 又因为P为双曲线 : 上一点 所以 ,即 解得【点睛】本题主要考查圆锥曲线的性质,是一道综合的题目.解决本类题目关键是要数形结合分析题意, 从图中挖掘条件. 13.设直线 与双曲线 两条渐近线分别交于点 , ,若点 满足 ,则该双曲线的渐近线方程是 . 【答案】 【分析】如图,取 的中点 ,利用 得到直线 是 直线 的垂直平分线,又由于 , 两点在 渐近线上,可以运用点差法求出直线 的斜率 表达式,再分别运用点 在直线 上以及 直线 与直线 的斜率乘积为 , 得出 的值,进而求得渐近线方程. 【详解】 如图,由双曲线 得到渐近线的方程为 ; 即双曲线的两条渐近线合并为 ; 设 , 的中点为 , 则 , ; 两式相减可得 ,即 ;…………… ① 又点 在直线 上,则 ……… ② 由 ,则 ,则 …………… ③ 联立②,③可得 , ; 将 代入①可得 ; 所以渐近线的方程为 ; 故答案为: . 14.已知双曲线方程为 ,直线 分别交双曲线左右两支于A,B两点,与 轴交于 点C,则 的范围是 . 【答案】 . 【分析】设 , , , ,联立直线与双曲线,根据韦达定理得 , ,求出 的取值范围,设 , ,根据 ,得 ,根据 的范围,解不等式可得 的范围. 【详解】联立 ,消去 并整理得 , 恒成立,设 , , , , 则 , , 所以 , 所以 , 所以 设 , , 则 , 所以 ,所以 ,所以 ,即 , 又因为 ,所以 ,所以 ,所以 , 所以 ,即 . 故答案为: . 【点睛】本题考查了直线与双曲线的位置关系,考查了韦达定理,考查了运算求解能力,属于较难题. 15.设双曲线 , 是它的左焦点,直线l通过它的右焦点 ,且与双曲线的右支交于A,B两点, 则 的最小值为 . 【答案】【分析】根据直线过右焦点,分斜率存在与不存在两种情况,当直线的斜率存在时,设直线的方程为 与双曲线方程联立,消去y 得 由韦达定理得 ,再用第二定义得 求解;当直线的斜率不存在时, , 由双曲线的第一定义得 ,所以 . 【详解】双曲线的右焦点为 当直线的斜率存在时,设直线的方程为 代入双曲线方程,消去y 得 设 由韦达定理得 根据双曲线的第二定义得: 当直线的斜率不存在时, 根据双曲线的第一定义得:综上: 的最小值为 故答案为: 【点睛】本题主要考查了直线与双曲线位置关系,双曲线的第二定义,第一定义,还考查了分类讨论,转 化化归,运算求解的能力,属于中档题. 四、解答题 16.已知直线 : 与双曲线 : 相交于两个不同的点 , ,线段 的垂直平分线 分别与 , 轴相交于 , 两点. (1)若 ,且点 , 都在双曲线的右支上,求 的取值范围; (2)若 ( 为坐标原点)的面积为 ,且 ,求 的取值范围. 【答案】(1) (2) 【分析】(1)通过联立方程组,利用判别式结合双曲线渐近线的位置,求 的取值范围; (2)设点设直线方程,利用韦达定理表示出线段 的垂直平分线方程,得到 , 两点坐标,由 的面积结合判别式求 的取值范围. 【详解】(1)双曲线 : 渐近线方程为 , 当 时,直线 的方程为 , 由 ,得 , 由 ,解得 , 因为点 , 都在右支上,所以 .所以 的取值范围为 . (2) 设 , ,把 代入 并整理得 , 由 ,得 , 设线段 的中点为 ,则 , , 所以线段 的垂直平分线的方程为 , 所以 点的坐标为 , 点的坐标为 , 因为 的面积为 ,所以 , 整理得 ,所以 , 所以 ,解得 或 , 所以 的取值范围为 . 【点睛】方法点睛: 解答直线与双曲线的题目时,时常把两个曲线的方程联立,消去x(或y)建立一元二次方程,然后借助根与 系数的关系,并结合题设条件建立有关参变量的等量关系.强化有关直线与双曲线联立得出一元二次方程 后的运算能力,重视根与系数之间的关系、弦长、斜率、三角形的面积等问题.17.已知双曲线 ,过点 作直线 交双曲线 的两支分别于 , 两点, (1)若点 恰为 的中点,求直线 的斜率; (2)记双曲线 的右焦点为 ,直线 , 分别交双曲线 于 , 两点,求 的取值范围. 【答案】(1) (2) 【分析】(1)根据题意,设 , ,再由点差法即可得到结果; (2)根据题意,设 , , ,然后联立直线与双曲线方程,结合韦达定理, 代入计算,即可得到结果. 【详解】(1)由题意可得,设 , , 由 ,得 ,即 ,即 其中 , , 所以 ,又 ,故 ; (2) 设 , , ,由 得 ,又 ,故 , 从而 ,同理有 , 另一方面, , 设 ,由 得 , 故 ,代入上式有 , 由直线 交双曲线于两支可知 ,令 , 故 ,当且仅当 时,即 时,取等号, 即 . 【点睛】关键点睛:本题主要考查了直线与双曲线相交问题,难度较难,解答本题的关键在于将直线 的方程设为 ,以及将三角形的面积比通过韦达定理转化,计算量较大. 18.设F是双曲线 : 的左焦点,经过F的直线与 相交于M,N两点.(1)若M,N都在双曲线的左支上,求 面积的最小值. (2)是否存在x轴上一点P,使得 为定值?若存在,求出点P的坐标;若不存在,说明理由. 【答案】(1) (2)存在这样的定点 【分析】(1)联立直线与双曲线方程,即可由弦长公式以及点到直线距离公式求解长度,利用面积公式 以及二次函数的性质即可求解, (2)由向量数量积的坐标运算,即可结合韦达定理化简求解. 【详解】(1)设直线MN的方程为 , , . 由 可得 , 由根与系数的关系可知 , ①. 此时 . 原点O到直线MN的距离为 , 此时 . 由M,N都在双曲线的左支上知 , ,得 , 令 ,则 , 由于 ,所以当 ,即 时,此时取最大值,则 , 当 ,即 时,等号成立.(2)假设存在这样的定点 . 当直线的斜率不为0时,由(1)知 ②. 将①代入②可得 , 此时要想 为定值,则 ,得 ,从而 . 即存在这样的定点 满足题意. 当直线的斜率为0时,易知 ,若 ,则 ,满足题意. 综上,存在 满足题意. 19.已知双曲线 的焦距为4,虚轴长为2,左右焦点分别为 和 .直线 与曲 线 交于不同的两点 . (1)求双曲线 的方程及其离心率 ;(2)如果直线 过点 且 ,求直线 的方程; (3)是否存在直线 使得 两点都在以 为圆心的圆上?如果存在,求 的取值范围;如果不存在, 请说明理由. 【答案】(1) , (2) 或 或 (3)存在, 可取不等于0的一切实数. 【分析】(1)利用焦距和虚轴长直接求出 ,从而求出双曲线方程; (2)联立方程,韦达定理,利用弦长公式即可求出直线的斜率,从而求出直线方程; (3)把 两点都在以 为圆心的圆上转化为 中点与D的直线与直线 垂直,分类讨论,当 时, 可取不等于0的一切实数,当 时,联立方程,韦达定理,求出 中点坐标,利用垂直关 系建立方程求解即可. 【详解】(1)由题意得, ,所以 ,所以 , 所以双曲线 的方程为 ,其离心率为 ; (2)设 ,联立 消y得: , 设 ,则 , , 所以 , 所以 ,解得 或 ,所以直线方程 或 或 ; (3)当 时, 可取不等于0的一切实数;当 时,联立方程 消y得: , 设 ,则 , , , 所以 中点 的横坐标为 ,代入直线 得 ,由题意 , 所以 , 化简得 ,代入 得: ,解得 或 , 又 ,所以 ,所以 或 ,即 , 综上, 可取不等于0的一切实数. 20.已知双曲线C以 为渐近线,其上焦点F坐标为 . (1)求双曲线C的方程; (2)不平行于坐标轴的直线l过F与双曲线C交于 两点, 的中垂线交y轴于点T,问 是否为定值, 若是,请求出定值,若不是,请说明理由. 【答案】(1) (2) 为定值 【分析】(1)根据双曲线渐近线可设双曲线方程为 ,利用焦点坐标,求得 ,即得答案. (2)设直线方程并联立双曲线方程,可得根与系数的关系式,求得 ,以及 的中点坐标,求出 的中垂线方程可得T点坐标,继而求得 ,化简即可得结论.【详解】(1)因为双曲线C以 为渐近线, 设双曲线方程为 ,即 , ∵ ,∴ ,即: , ∴ ,∴ ,即 ., 所以双曲线C的方程为: . (2)由题意可知直线l一定有斜率存在,设直线l: , , , , 化简得: , , 此方程的两根为 ,则 , ∴ ., 中点M坐标为 ,即 , ∴PQ中垂线方程为: ,令 ,∴ ,∴ , 则 , ∴ ,即 为定值,定值为 . 【点睛】难点点睛:解答此类直线和双曲线的位置关系类题目,涉及到定值问题,要设出直线方程并联立 双曲线方程,结合根与系数的关系式进行化简,解答的难点是计算比较复杂,计算量较大,比如计算弦长 或者其他线段长度,计算要十分细心. 21.已知曲线C为双曲线 的右支,斜率为k的直线l过双曲线右焦点 ,且与曲线C相交于A, B两点. (1)求斜率k的取值范围; (2)在x轴上是否存在点M使得 ,如果存在,求出点M的坐标;如果不存在,请说明理由. 【答案】(1) (2)存在,定点 【分析】(1)由双曲线方程,明确焦点坐标,设出直线方程,联立直线方程与双曲线方程,利用一元二 次方程有根问题,建立不等式组,可得答案; (2)设动点坐标,利用斜率计算公式,结合题意,建立方程,结合(1)所得到的韦达定理,整理方程, 可得答案. 【详解】(1)由题意得双曲线的右焦点为 , 设直线1的方程为: ,联立方程 ,整理得 , 因为直线 与曲线 有两个交点,设 , , 所以 , 解得 或 , 故斜率 的取值范围为 . (2)由(1)可得 , ,又 , , 则 , , 假设在 轴上存在点 满足 , 则 , , , 即 , 展开可得 即 . 因为斜率 的取值范围为 , 所以 ,即 , 整理可得 , 即 ,解得 ,所以 轴上存在点 使得 ,且 . 22.已知焦点在x轴上的双曲线C的一条渐近线 方程为 ,左焦点F到直线 的距离为1,右顶点为 A,直线 : 与双曲线相交于P、Q两点(P、Q不和双曲线的顶点重合). (1)求双曲线C的标准方程; (2)当 时,求PQ的长; (3)当 为何值时,以PQ为直径的圆经过点A. 【答案】(1) (2) (3) 【分析】(1)根据焦点位置确定渐近线方程,再根据左焦点F到直线 的距离为1用点到直线距离公式表 示出来,最后根据双曲线a、b、c关系即可求出双曲线方程; (2)联立方程,根据韦达定理和弦长公式即可求出PQ的长; (3)以PQ为直径的圆经过点A说明 ,联立直线与双曲线方程,利用 进行代数计算 即可. 【详解】(1)因为双曲线C的焦点在x轴上,设双曲线C方程为 ,所以双曲线C的渐近线方 程为 ,即 设左焦点F为 ,则左焦点F到直线 的距离为 ,解得 ,由 解得 故双曲线C的标准方程为 (2)当 时, ,联立方程 。 整理可得: ,根据韦达定理: , 设 , ,则PQ的长根据弦长公式得: (3)以PQ为直径的圆经过点A时需满足 ,由(2)可知 , 联立方程 ,整理可得: ,解得 ,因为P、Q不和双曲线的顶点重合,所以 根据韦达定理: , , 因为 ,解得 或 (舍去) 故当 为 时,以PQ为直径的圆经过点A. 23.已知双曲线 ( , )的渐近线方程为 ,焦点到渐近线的距离为 . (1)求双曲线 的方程;(2)设 , 是双曲线 右支上不同的两点,线段AB的垂直平分线 交AB于 ,点 的横坐标为2,则是 否存在半径为1的定圆 ,使得 被圆 截得的弦长为定值,若存在,求出圆 的方程;若不存在,请说明 理由. 【答案】(1) ; (2)存在,定圆 : 【分析】(1)设双曲线的右焦点 ,利用焦点到渐近线的距离求出 ,再根据渐近线方程及 ,求出 , ,即可得解; (2)先利用“点差法”写出直线 的方程,再写出 的中垂线 的方程,求出 所过的定点即为圆 的 圆心,然后写出圆的方程即可. 【详解】(1)设双曲线的右焦点 ,则点 到渐近线 的距离为 , 即 ,解得 ,又渐近线方程为 ,即 ,且 , 解得 , ,所以双曲线方程为 . (2)设 ,AB的中点为 , 由 中点的横坐标为2可得 , 因为 , 是双曲线 上不同的两点,所以 , 得 , 当 存在时, , 因为AB的中垂线为直线l,所以 ,即 ,所以 过定点 , 当 不存在时, , 关于 轴对称, 的中垂线 为 轴,此时 也过 , 所以存在定圆 : ,使得 被圆 截得的弦长为定值 . 【点睛】方法点睛:点差法是解决弦的中点问题的常用方法,设而不求法是解决直线与椭圆相交时交点坐 标相关问题的常用方法 24.已知双曲线 的实轴长为2,且双曲线 上任一点 到它的两条渐近线的距离之 积为 . (1)求双曲线 的标准方程; (2)已知过点 的直线 与双曲线 交于 两点. (i)当 时, 能否是线段 的中点?若能,求出 的方程;若不能,说明理由; (ii)若点 不是线段 的中点,写出 所满足的关系式(不要求证明) 【答案】(1) (2)(i)不能,理由见解析;(ii) 【分析】(1)由题意可知 ,利用任一点 到它的两条渐近线的距离之积为 可计算出 ,得出双 曲线 的标准方程; (2)(i)假设 是线段 的中点,利用点差法可求出直线方程,再根据直线和双曲线的位置关系得出 矛盾即可判断出结论;(ii)根据(i)中的证明可假设点 是线段 的中点求出 所满足的 关系式,即可得出结论. 【详解】(1)由双曲线实轴长为2可得 ,即 ; 则双曲线的两条渐近线为 ; 设 ,则满足 ,到两条渐近线的距离之积为 , 联立①②得 ,解得 所以双曲线 的标准方程为 (2)(i)由题意可知 ,假设 是线段 的中点, 设直线 与双曲线 的两点 , 则满足 ,两式相减整理得 ; 由 是线段 的中点可得 ,即 所以直线 的方程为 ,即 ; 联立直线 与双曲线 的方程 可得 , 此方程 ,此时直线与双曲线无交点, 这与直线 与双曲线 交于 两点矛盾, 所以 不能是线段 的中点. (ii)根据点和双曲线位置关系可知,假设点 是线段 的中点, 由点差法可知 的直线方程为 , 联立双曲线和直线 方程可得 当 时,即 ,此时方程只有一个根,即直线与双曲线仅有一个交点,与题意不符,此时 不是线段 的中点; 当 时,满足 即可得出 不是线段 的中点,即 ,整理得 , 此时方程只有一个根或无实数根,即直线与双曲线仅有一个交点或没有交点,与题意不符,此时 不是线 段 的中点; 综上可知, 所满足的关系式为 . 但若 为坐标原点时,总存在关于原点对称的两点 ,所以还需满足 , 因此 所满足的关系式为 .