当前位置:首页>文档>第43练双曲线及其性质(精练:基础+重难点)一轮复习讲义2024年高考数学高频考点题型归纳与方法总结(新高考通用)解析版_2.2025数学总复习_2024年新高考资料_1.2024一轮复习

第43练双曲线及其性质(精练:基础+重难点)一轮复习讲义2024年高考数学高频考点题型归纳与方法总结(新高考通用)解析版_2.2025数学总复习_2024年新高考资料_1.2024一轮复习

  • 2026-04-02 02:17:23 2026-03-25 18:46:26

文档预览

第43练双曲线及其性质(精练:基础+重难点)一轮复习讲义2024年高考数学高频考点题型归纳与方法总结(新高考通用)解析版_2.2025数学总复习_2024年新高考资料_1.2024一轮复习
第43练双曲线及其性质(精练:基础+重难点)一轮复习讲义2024年高考数学高频考点题型归纳与方法总结(新高考通用)解析版_2.2025数学总复习_2024年新高考资料_1.2024一轮复习
第43练双曲线及其性质(精练:基础+重难点)一轮复习讲义2024年高考数学高频考点题型归纳与方法总结(新高考通用)解析版_2.2025数学总复习_2024年新高考资料_1.2024一轮复习
第43练双曲线及其性质(精练:基础+重难点)一轮复习讲义2024年高考数学高频考点题型归纳与方法总结(新高考通用)解析版_2.2025数学总复习_2024年新高考资料_1.2024一轮复习
第43练双曲线及其性质(精练:基础+重难点)一轮复习讲义2024年高考数学高频考点题型归纳与方法总结(新高考通用)解析版_2.2025数学总复习_2024年新高考资料_1.2024一轮复习
第43练双曲线及其性质(精练:基础+重难点)一轮复习讲义2024年高考数学高频考点题型归纳与方法总结(新高考通用)解析版_2.2025数学总复习_2024年新高考资料_1.2024一轮复习
第43练双曲线及其性质(精练:基础+重难点)一轮复习讲义2024年高考数学高频考点题型归纳与方法总结(新高考通用)解析版_2.2025数学总复习_2024年新高考资料_1.2024一轮复习
第43练双曲线及其性质(精练:基础+重难点)一轮复习讲义2024年高考数学高频考点题型归纳与方法总结(新高考通用)解析版_2.2025数学总复习_2024年新高考资料_1.2024一轮复习
第43练双曲线及其性质(精练:基础+重难点)一轮复习讲义2024年高考数学高频考点题型归纳与方法总结(新高考通用)解析版_2.2025数学总复习_2024年新高考资料_1.2024一轮复习
第43练双曲线及其性质(精练:基础+重难点)一轮复习讲义2024年高考数学高频考点题型归纳与方法总结(新高考通用)解析版_2.2025数学总复习_2024年新高考资料_1.2024一轮复习
第43练双曲线及其性质(精练:基础+重难点)一轮复习讲义2024年高考数学高频考点题型归纳与方法总结(新高考通用)解析版_2.2025数学总复习_2024年新高考资料_1.2024一轮复习
第43练双曲线及其性质(精练:基础+重难点)一轮复习讲义2024年高考数学高频考点题型归纳与方法总结(新高考通用)解析版_2.2025数学总复习_2024年新高考资料_1.2024一轮复习
第43练双曲线及其性质(精练:基础+重难点)一轮复习讲义2024年高考数学高频考点题型归纳与方法总结(新高考通用)解析版_2.2025数学总复习_2024年新高考资料_1.2024一轮复习
第43练双曲线及其性质(精练:基础+重难点)一轮复习讲义2024年高考数学高频考点题型归纳与方法总结(新高考通用)解析版_2.2025数学总复习_2024年新高考资料_1.2024一轮复习
第43练双曲线及其性质(精练:基础+重难点)一轮复习讲义2024年高考数学高频考点题型归纳与方法总结(新高考通用)解析版_2.2025数学总复习_2024年新高考资料_1.2024一轮复习
第43练双曲线及其性质(精练:基础+重难点)一轮复习讲义2024年高考数学高频考点题型归纳与方法总结(新高考通用)解析版_2.2025数学总复习_2024年新高考资料_1.2024一轮复习
第43练双曲线及其性质(精练:基础+重难点)一轮复习讲义2024年高考数学高频考点题型归纳与方法总结(新高考通用)解析版_2.2025数学总复习_2024年新高考资料_1.2024一轮复习
第43练双曲线及其性质(精练:基础+重难点)一轮复习讲义2024年高考数学高频考点题型归纳与方法总结(新高考通用)解析版_2.2025数学总复习_2024年新高考资料_1.2024一轮复习
第43练双曲线及其性质(精练:基础+重难点)一轮复习讲义2024年高考数学高频考点题型归纳与方法总结(新高考通用)解析版_2.2025数学总复习_2024年新高考资料_1.2024一轮复习
第43练双曲线及其性质(精练:基础+重难点)一轮复习讲义2024年高考数学高频考点题型归纳与方法总结(新高考通用)解析版_2.2025数学总复习_2024年新高考资料_1.2024一轮复习
第43练双曲线及其性质(精练:基础+重难点)一轮复习讲义2024年高考数学高频考点题型归纳与方法总结(新高考通用)解析版_2.2025数学总复习_2024年新高考资料_1.2024一轮复习
第43练双曲线及其性质(精练:基础+重难点)一轮复习讲义2024年高考数学高频考点题型归纳与方法总结(新高考通用)解析版_2.2025数学总复习_2024年新高考资料_1.2024一轮复习
第43练双曲线及其性质(精练:基础+重难点)一轮复习讲义2024年高考数学高频考点题型归纳与方法总结(新高考通用)解析版_2.2025数学总复习_2024年新高考资料_1.2024一轮复习
第43练双曲线及其性质(精练:基础+重难点)一轮复习讲义2024年高考数学高频考点题型归纳与方法总结(新高考通用)解析版_2.2025数学总复习_2024年新高考资料_1.2024一轮复习
第43练双曲线及其性质(精练:基础+重难点)一轮复习讲义2024年高考数学高频考点题型归纳与方法总结(新高考通用)解析版_2.2025数学总复习_2024年新高考资料_1.2024一轮复习
第43练双曲线及其性质(精练:基础+重难点)一轮复习讲义2024年高考数学高频考点题型归纳与方法总结(新高考通用)解析版_2.2025数学总复习_2024年新高考资料_1.2024一轮复习
第43练双曲线及其性质(精练:基础+重难点)一轮复习讲义2024年高考数学高频考点题型归纳与方法总结(新高考通用)解析版_2.2025数学总复习_2024年新高考资料_1.2024一轮复习
第43练双曲线及其性质(精练:基础+重难点)一轮复习讲义2024年高考数学高频考点题型归纳与方法总结(新高考通用)解析版_2.2025数学总复习_2024年新高考资料_1.2024一轮复习
第43练双曲线及其性质(精练:基础+重难点)一轮复习讲义2024年高考数学高频考点题型归纳与方法总结(新高考通用)解析版_2.2025数学总复习_2024年新高考资料_1.2024一轮复习
第43练双曲线及其性质(精练:基础+重难点)一轮复习讲义2024年高考数学高频考点题型归纳与方法总结(新高考通用)解析版_2.2025数学总复习_2024年新高考资料_1.2024一轮复习
第43练双曲线及其性质(精练:基础+重难点)一轮复习讲义2024年高考数学高频考点题型归纳与方法总结(新高考通用)解析版_2.2025数学总复习_2024年新高考资料_1.2024一轮复习
第43练双曲线及其性质(精练:基础+重难点)一轮复习讲义2024年高考数学高频考点题型归纳与方法总结(新高考通用)解析版_2.2025数学总复习_2024年新高考资料_1.2024一轮复习
第43练双曲线及其性质(精练:基础+重难点)一轮复习讲义2024年高考数学高频考点题型归纳与方法总结(新高考通用)解析版_2.2025数学总复习_2024年新高考资料_1.2024一轮复习
第43练双曲线及其性质(精练:基础+重难点)一轮复习讲义2024年高考数学高频考点题型归纳与方法总结(新高考通用)解析版_2.2025数学总复习_2024年新高考资料_1.2024一轮复习
第43练双曲线及其性质(精练:基础+重难点)一轮复习讲义2024年高考数学高频考点题型归纳与方法总结(新高考通用)解析版_2.2025数学总复习_2024年新高考资料_1.2024一轮复习
第43练双曲线及其性质(精练:基础+重难点)一轮复习讲义2024年高考数学高频考点题型归纳与方法总结(新高考通用)解析版_2.2025数学总复习_2024年新高考资料_1.2024一轮复习
第43练双曲线及其性质(精练:基础+重难点)一轮复习讲义2024年高考数学高频考点题型归纳与方法总结(新高考通用)解析版_2.2025数学总复习_2024年新高考资料_1.2024一轮复习
第43练双曲线及其性质(精练:基础+重难点)一轮复习讲义2024年高考数学高频考点题型归纳与方法总结(新高考通用)解析版_2.2025数学总复习_2024年新高考资料_1.2024一轮复习
第43练双曲线及其性质(精练:基础+重难点)一轮复习讲义2024年高考数学高频考点题型归纳与方法总结(新高考通用)解析版_2.2025数学总复习_2024年新高考资料_1.2024一轮复习
第43练双曲线及其性质(精练:基础+重难点)一轮复习讲义2024年高考数学高频考点题型归纳与方法总结(新高考通用)解析版_2.2025数学总复习_2024年新高考资料_1.2024一轮复习
第43练双曲线及其性质(精练:基础+重难点)一轮复习讲义2024年高考数学高频考点题型归纳与方法总结(新高考通用)解析版_2.2025数学总复习_2024年新高考资料_1.2024一轮复习
第43练双曲线及其性质(精练:基础+重难点)一轮复习讲义2024年高考数学高频考点题型归纳与方法总结(新高考通用)解析版_2.2025数学总复习_2024年新高考资料_1.2024一轮复习
第43练双曲线及其性质(精练:基础+重难点)一轮复习讲义2024年高考数学高频考点题型归纳与方法总结(新高考通用)解析版_2.2025数学总复习_2024年新高考资料_1.2024一轮复习
第43练双曲线及其性质(精练:基础+重难点)一轮复习讲义2024年高考数学高频考点题型归纳与方法总结(新高考通用)解析版_2.2025数学总复习_2024年新高考资料_1.2024一轮复习
第43练双曲线及其性质(精练:基础+重难点)一轮复习讲义2024年高考数学高频考点题型归纳与方法总结(新高考通用)解析版_2.2025数学总复习_2024年新高考资料_1.2024一轮复习
第43练双曲线及其性质(精练:基础+重难点)一轮复习讲义2024年高考数学高频考点题型归纳与方法总结(新高考通用)解析版_2.2025数学总复习_2024年新高考资料_1.2024一轮复习
第43练双曲线及其性质(精练:基础+重难点)一轮复习讲义2024年高考数学高频考点题型归纳与方法总结(新高考通用)解析版_2.2025数学总复习_2024年新高考资料_1.2024一轮复习
第43练双曲线及其性质(精练:基础+重难点)一轮复习讲义2024年高考数学高频考点题型归纳与方法总结(新高考通用)解析版_2.2025数学总复习_2024年新高考资料_1.2024一轮复习
第43练双曲线及其性质(精练:基础+重难点)一轮复习讲义2024年高考数学高频考点题型归纳与方法总结(新高考通用)解析版_2.2025数学总复习_2024年新高考资料_1.2024一轮复习
第43练双曲线及其性质(精练:基础+重难点)一轮复习讲义2024年高考数学高频考点题型归纳与方法总结(新高考通用)解析版_2.2025数学总复习_2024年新高考资料_1.2024一轮复习
第43练双曲线及其性质(精练:基础+重难点)一轮复习讲义2024年高考数学高频考点题型归纳与方法总结(新高考通用)解析版_2.2025数学总复习_2024年新高考资料_1.2024一轮复习
第43练双曲线及其性质(精练:基础+重难点)一轮复习讲义2024年高考数学高频考点题型归纳与方法总结(新高考通用)解析版_2.2025数学总复习_2024年新高考资料_1.2024一轮复习
第43练双曲线及其性质(精练:基础+重难点)一轮复习讲义2024年高考数学高频考点题型归纳与方法总结(新高考通用)解析版_2.2025数学总复习_2024年新高考资料_1.2024一轮复习
第43练双曲线及其性质(精练:基础+重难点)一轮复习讲义2024年高考数学高频考点题型归纳与方法总结(新高考通用)解析版_2.2025数学总复习_2024年新高考资料_1.2024一轮复习
第43练双曲线及其性质(精练:基础+重难点)一轮复习讲义2024年高考数学高频考点题型归纳与方法总结(新高考通用)解析版_2.2025数学总复习_2024年新高考资料_1.2024一轮复习
第43练双曲线及其性质(精练:基础+重难点)一轮复习讲义2024年高考数学高频考点题型归纳与方法总结(新高考通用)解析版_2.2025数学总复习_2024年新高考资料_1.2024一轮复习
第43练双曲线及其性质(精练:基础+重难点)一轮复习讲义2024年高考数学高频考点题型归纳与方法总结(新高考通用)解析版_2.2025数学总复习_2024年新高考资料_1.2024一轮复习
第43练双曲线及其性质(精练:基础+重难点)一轮复习讲义2024年高考数学高频考点题型归纳与方法总结(新高考通用)解析版_2.2025数学总复习_2024年新高考资料_1.2024一轮复习
第43练双曲线及其性质(精练:基础+重难点)一轮复习讲义2024年高考数学高频考点题型归纳与方法总结(新高考通用)解析版_2.2025数学总复习_2024年新高考资料_1.2024一轮复习
第43练双曲线及其性质(精练:基础+重难点)一轮复习讲义2024年高考数学高频考点题型归纳与方法总结(新高考通用)解析版_2.2025数学总复习_2024年新高考资料_1.2024一轮复习
第43练双曲线及其性质(精练:基础+重难点)一轮复习讲义2024年高考数学高频考点题型归纳与方法总结(新高考通用)解析版_2.2025数学总复习_2024年新高考资料_1.2024一轮复习
第43练双曲线及其性质(精练:基础+重难点)一轮复习讲义2024年高考数学高频考点题型归纳与方法总结(新高考通用)解析版_2.2025数学总复习_2024年新高考资料_1.2024一轮复习
第43练双曲线及其性质(精练:基础+重难点)一轮复习讲义2024年高考数学高频考点题型归纳与方法总结(新高考通用)解析版_2.2025数学总复习_2024年新高考资料_1.2024一轮复习
第43练双曲线及其性质(精练:基础+重难点)一轮复习讲义2024年高考数学高频考点题型归纳与方法总结(新高考通用)解析版_2.2025数学总复习_2024年新高考资料_1.2024一轮复习
第43练双曲线及其性质(精练:基础+重难点)一轮复习讲义2024年高考数学高频考点题型归纳与方法总结(新高考通用)解析版_2.2025数学总复习_2024年新高考资料_1.2024一轮复习
第43练双曲线及其性质(精练:基础+重难点)一轮复习讲义2024年高考数学高频考点题型归纳与方法总结(新高考通用)解析版_2.2025数学总复习_2024年新高考资料_1.2024一轮复习
第43练双曲线及其性质(精练:基础+重难点)一轮复习讲义2024年高考数学高频考点题型归纳与方法总结(新高考通用)解析版_2.2025数学总复习_2024年新高考资料_1.2024一轮复习
第43练双曲线及其性质(精练:基础+重难点)一轮复习讲义2024年高考数学高频考点题型归纳与方法总结(新高考通用)解析版_2.2025数学总复习_2024年新高考资料_1.2024一轮复习
第43练双曲线及其性质(精练:基础+重难点)一轮复习讲义2024年高考数学高频考点题型归纳与方法总结(新高考通用)解析版_2.2025数学总复习_2024年新高考资料_1.2024一轮复习
第43练双曲线及其性质(精练:基础+重难点)一轮复习讲义2024年高考数学高频考点题型归纳与方法总结(新高考通用)解析版_2.2025数学总复习_2024年新高考资料_1.2024一轮复习
第43练双曲线及其性质(精练:基础+重难点)一轮复习讲义2024年高考数学高频考点题型归纳与方法总结(新高考通用)解析版_2.2025数学总复习_2024年新高考资料_1.2024一轮复习
第43练双曲线及其性质(精练:基础+重难点)一轮复习讲义2024年高考数学高频考点题型归纳与方法总结(新高考通用)解析版_2.2025数学总复习_2024年新高考资料_1.2024一轮复习
第43练双曲线及其性质(精练:基础+重难点)一轮复习讲义2024年高考数学高频考点题型归纳与方法总结(新高考通用)解析版_2.2025数学总复习_2024年新高考资料_1.2024一轮复习
第43练双曲线及其性质(精练:基础+重难点)一轮复习讲义2024年高考数学高频考点题型归纳与方法总结(新高考通用)解析版_2.2025数学总复习_2024年新高考资料_1.2024一轮复习
第43练双曲线及其性质(精练:基础+重难点)一轮复习讲义2024年高考数学高频考点题型归纳与方法总结(新高考通用)解析版_2.2025数学总复习_2024年新高考资料_1.2024一轮复习
第43练双曲线及其性质(精练:基础+重难点)一轮复习讲义2024年高考数学高频考点题型归纳与方法总结(新高考通用)解析版_2.2025数学总复习_2024年新高考资料_1.2024一轮复习
第43练双曲线及其性质(精练:基础+重难点)一轮复习讲义2024年高考数学高频考点题型归纳与方法总结(新高考通用)解析版_2.2025数学总复习_2024年新高考资料_1.2024一轮复习
第43练双曲线及其性质(精练:基础+重难点)一轮复习讲义2024年高考数学高频考点题型归纳与方法总结(新高考通用)解析版_2.2025数学总复习_2024年新高考资料_1.2024一轮复习
第43练双曲线及其性质(精练:基础+重难点)一轮复习讲义2024年高考数学高频考点题型归纳与方法总结(新高考通用)解析版_2.2025数学总复习_2024年新高考资料_1.2024一轮复习
第43练双曲线及其性质(精练:基础+重难点)一轮复习讲义2024年高考数学高频考点题型归纳与方法总结(新高考通用)解析版_2.2025数学总复习_2024年新高考资料_1.2024一轮复习
第43练双曲线及其性质(精练:基础+重难点)一轮复习讲义2024年高考数学高频考点题型归纳与方法总结(新高考通用)解析版_2.2025数学总复习_2024年新高考资料_1.2024一轮复习
第43练双曲线及其性质(精练:基础+重难点)一轮复习讲义2024年高考数学高频考点题型归纳与方法总结(新高考通用)解析版_2.2025数学总复习_2024年新高考资料_1.2024一轮复习
第43练双曲线及其性质(精练:基础+重难点)一轮复习讲义2024年高考数学高频考点题型归纳与方法总结(新高考通用)解析版_2.2025数学总复习_2024年新高考资料_1.2024一轮复习
第43练双曲线及其性质(精练:基础+重难点)一轮复习讲义2024年高考数学高频考点题型归纳与方法总结(新高考通用)解析版_2.2025数学总复习_2024年新高考资料_1.2024一轮复习
第43练双曲线及其性质(精练:基础+重难点)一轮复习讲义2024年高考数学高频考点题型归纳与方法总结(新高考通用)解析版_2.2025数学总复习_2024年新高考资料_1.2024一轮复习
第43练双曲线及其性质(精练:基础+重难点)一轮复习讲义2024年高考数学高频考点题型归纳与方法总结(新高考通用)解析版_2.2025数学总复习_2024年新高考资料_1.2024一轮复习
第43练双曲线及其性质(精练:基础+重难点)一轮复习讲义2024年高考数学高频考点题型归纳与方法总结(新高考通用)解析版_2.2025数学总复习_2024年新高考资料_1.2024一轮复习
第43练双曲线及其性质(精练:基础+重难点)一轮复习讲义2024年高考数学高频考点题型归纳与方法总结(新高考通用)解析版_2.2025数学总复习_2024年新高考资料_1.2024一轮复习
第43练双曲线及其性质(精练:基础+重难点)一轮复习讲义2024年高考数学高频考点题型归纳与方法总结(新高考通用)解析版_2.2025数学总复习_2024年新高考资料_1.2024一轮复习

文档信息

文档格式
docx
文档大小
4.895 MB
文档页数
89 页
上传时间
2026-03-25 18:46:26

文档内容

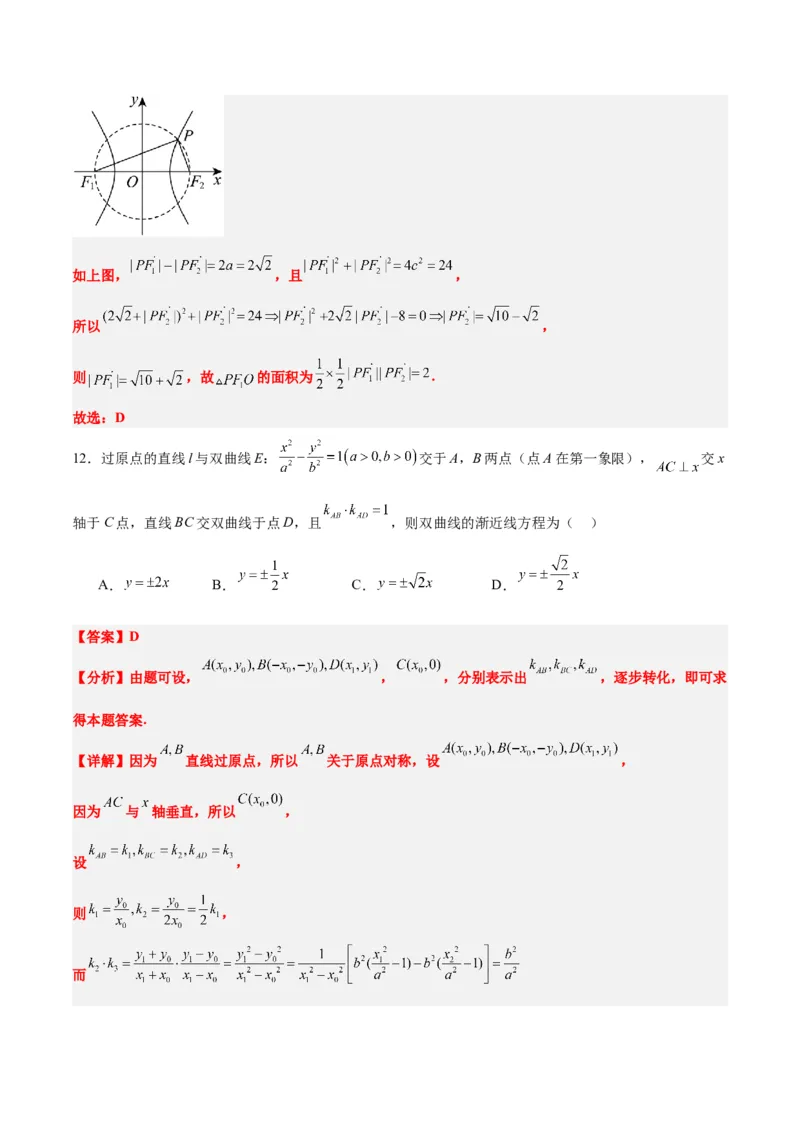
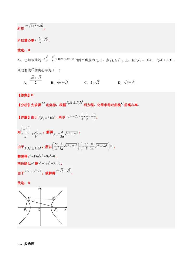
【一轮复习讲义】2024年高考数学高频考点题型归纳与方法总结(新高考通用) 第 43 练 双曲线及其性质(精练) 刷真题 明导向 一、单选题 1.(2023·天津·统考高考真题)双曲线 的左、右焦点分别为 .过 作其中一 条渐近线的垂线,垂足为 .已知 ,直线 的斜率为 ,则双曲线的方程为( ) A. B. C. D. 【答案】D 【分析】先由点到直线的距离公式求出 ,设 ,由 得到 , .再由 三角形的面积公式得到 ,从而得到 ,则可得到 ,解出 ,代入双曲线的方程即可得到答 案. 【详解】如图, 因为 ,不妨设渐近线方程为 ,即 ,所以 , 所以 . 设 ,则 ,所以 ,所以 . 因为 ,所以 ,所以 ,所以 , 所以 , 因为 , 所以 , 所以 ,解得 , 所以双曲线的方程为 故选:D 2.(2022·天津·统考高考真题)已知抛物线 分别是双曲线 的左、右焦 点,抛物线的准线过双曲线的左焦点 ,与双曲线的渐近线交于点A,若 ,则双曲线的标准方 程为( ) A. B. C. D. 【答案】C 【分析】由已知可得出 的值,求出点 的坐标,分析可得 ,由此可得出关于 、 、 的方程组,解出这三个量的值,即可得出双曲线的标准方程. 【详解】抛物线 的准线方程为 ,则 ,则 、 , 不妨设点 为第二象限内的点,联立 ,可得 ,即点 , 因为 且 ,则 为等腰直角三角形, 且 ,即 ,可得 , 所以, ,解得 ,因此,双曲线的标准方程为 . 故选:C. 3.(2021·北京·统考高考真题)若双曲线 离心率为 ,过点 ,则该双曲线的方程为 ( ) A. B. C. D. 【答案】B 【分析】分析可得 ,再将点 代入双曲线的方程,求出 的值,即可得出双曲线的标准方程. 【详解】 ,则 , ,则双曲线的方程为 , 将点 的坐标代入双曲线的方程可得 ,解得 ,故 , 因此,双曲线的方程为 . 故选:B 4.(2021·全国·高考真题)点 到双曲线 的一条渐近线的距离为( ) A. B. C. D.【答案】A 【分析】首先确定渐近线方程,然后利用点到直线距离公式求得点到一条渐近线的距离即可. 【详解】由题意可知,双曲线的渐近线方程为: ,即 , 结合对称性,不妨考虑点 到直线 的距离: . 故选:A. 5.(2021·全国·统考高考真题)已知 是双曲线C的两个焦点,P为C上一点,且 ,则C的离心率为( ) A. B. C. D. 【答案】A 【分析】根据双曲线的定义及条件,表示出 ,结合余弦定理可得答案. 【详解】因为 ,由双曲线的定义可得 , 所以 , ; 因为 ,由余弦定理可得 , 整理可得 ,所以 ,即 . 故选:A 【点睛】关键点睛:双曲线的定义是入手点,利用余弦定理建立 间的等量关系是求解的关键. 二、多选题 6.(2022·全国·统考高考真题)双曲线C的两个焦点为 ,以C的实轴为直径的圆记为D,过 作D 的切线与C交于M,N两点,且 ,则C的离心率为( )A. B. C. D. 【答案】AC 【分析】依题意不妨设双曲线焦点在 轴,设过 作圆 的切线切点为 ,利用正弦定理结合三角变换、 双曲线的定义得到 或 ,即可得解,注意就 在双支上还是在单支上分类讨论. 【详解】[方法一]:几何法,双曲线定义的应用 情况一 M、N在双曲线的同一支,依题意不妨设双曲线焦点在 轴,设过 作圆 的切线切点为B, 所以 ,因为 ,所以 在双曲线的左支, , , ,设 ,由即 ,则 , 选A 情况二若M、N在双曲线的两支,因为 ,所以 在双曲线的右支, 所以 , , ,设 , 由 ,即 ,则 , 所以 ,即 , 所以双曲线的离心率 选C [方法二]:答案回代法 特值双曲线 , 过 且与圆相切的一条直线为 , 两交点都在左支, ,, 则 , 特值双曲线 , 过 且与圆相切的一条直线为 , 两交点在左右两支, 在右支, , , 则 , [方法三]: 依题意不妨设双曲线焦点在 轴,设过 作圆 的切线切点为 , 若 分别在左右支, 因为 ,且 ,所以 在双曲线的右支, 又 , , , 设 , , 在 中,有 , 故 即 , 所以 , 而 , , ,故 ,代入整理得到 ,即 , 所以双曲线的离心率 若 均在左支上, 同理有 ,其中 为钝角,故 , 故 即 , 代入 , , ,整理得到: , 故 ,故 , 故选:AC. 三、填空题 7.(2023·北京·统考高考真题)已知双曲线C的焦点为 和 ,离心率为 ,则C的方程为. 【答案】 【分析】根据给定条件,求出双曲线 的实半轴、虚半轴长,再写出 的方程作答. 【详解】令双曲线 的实半轴、虚半轴长分别为 ,显然双曲线 的中心为原点,焦点在x轴上,其半 焦距 , 由双曲线 的离心率为 ,得 ,解得 ,则 , 所以双曲线 的方程为 . 故答案为: 8.(2023·全国·统考高考真题)已知双曲线 的左、右焦点分别为 .点 在 上,点 在 轴上, ,则 的离心率为 . 【答案】 【分析】方法一:利用双曲线的定义与向量数积的几何意义得到 关于 的表达式, 从而利用勾股定理求得 ,进而利用余弦定理得到 的齐次方程,从而得解. 方法二:依题意设出各点坐标,从而由向量坐标运算求得 , ,将点 代入双曲线 得到关于 的齐次方程,从而得解; 【详解】方法一: 依题意,设 ,则 , 在 中, ,则 ,故 或 (舍去), 所以 , ,则 , 故 ,所以在 中, ,整理得 , 故 . 方法二: 依题意,得 ,令 , 因为 ,所以 ,则 , 又 ,所以 ,则 , 又点 在 上,则 ,整理得 ,则 , 所以 ,即 , 整理得 ,则 ,解得 或 , 又 ,所以 或 (舍去),故 . 故答案为: . 【点睛】关键点睛:双曲线过焦点的三角形的解决关键是充分利用双曲线的定义,结合勾股定理与余弦定 理得到关于 的齐次方程,从而得解.9.(2022·浙江·统考高考真题)已知双曲线 的左焦点为F,过F且斜率为 的直线交 双曲线于点 ,交双曲线的渐近线于点 且 .若 ,则双曲线的离心率 是 . 【答案】 【分析】联立直线 和渐近线 方程,可求出点 ,再根据 可求得点 ,最后根据 点 在双曲线上,即可解出离心率. 【详解】过 且斜率为 的直线 ,渐近线 , 联立 ,得 ,由 ,得 而点 在双曲线上,于是 ,解得: ,所以离心率 . 故答案为: . 10.(2022·全国·统考高考真题)记双曲线 的离心率为e,写出满足条件“直线 与C无公共点”的e的一个值 .【答案】2(满足 皆可) 【分析】根据题干信息,只需双曲线渐近线 中 即可求得满足要求的e值. 【详解】解: ,所以C的渐近线方程为 , 结合渐近线的特点,只需 ,即 , 可满足条件“直线 与C无公共点” 所以 , 又因为 ,所以 , 故答案为:2(满足 皆可) 11.(2022·全国·统考高考真题)若双曲线 的渐近线与圆 相切,则 . 【答案】 【分析】首先求出双曲线的渐近线方程,再将圆的方程化为标准式,即可得到圆心坐标与半径,依题意圆 心到直线的距离等于圆的半径,即可得到方程,解得即可. 【详解】解:双曲线 的渐近线为 ,即 , 不妨取 ,圆 ,即 ,所以圆心为 ,半径 , 依题意圆心 到渐近线 的距离 , 解得 或 (舍去). 故答案为: .12.(2022·北京·统考高考真题)已知双曲线 的渐近线方程为 ,则 . 【答案】 【分析】首先可得 ,即可得到双曲线的标准方程,从而得到 、 ,再跟渐近线方程得到方程,解得 即可; 【详解】解:对于双曲线 ,所以 ,即双曲线的标准方程为 , 则 , ,又双曲线 的渐近线方程为 , 所以 ,即 ,解得 ; 故答案为: 13.(2021·全国·统考高考真题)若双曲线 的离心率为2,则此双曲线的渐近线方程 . 【答案】 【分析】根据离心率得出 ,结合 得出 关系,即可求出双曲线的渐近线方程. 【详解】解:由题可知,离心率 ,即 , 又 ,即 ,则 , 故此双曲线的渐近线方程为 . 故答案为: . 14.(2021·全国·统考高考真题)已知双曲线 的一条渐近线为 ,则C的焦 距为 . 【答案】4 【分析】将渐近线方程化成斜截式,得出 的关系,再结合双曲线中 对应关系,联立求解 ,再由关系式求得 ,即可求解. 【详解】由渐近线方程 化简得 ,即 ,同时平方得 ,又双曲线中 ,故 ,解得 (舍去), ,故焦距 . 故答案为:4. 【点睛】本题为基础题,考查由渐近线求解双曲线中参数,焦距,正确计算并联立关系式求解是关键. 15.(2021·全国·统考高考真题)双曲线 的右焦点到直线 的距离为 . 【答案】 【分析】先求出右焦点坐标,再利用点到直线的距离公式求解. 【详解】由已知, ,所以双曲线的右焦点为 , 所以右焦点 到直线 的距离为 . 故答案为: 【A组 在基础中考查功底】 一、单选题 1.设 是双曲线 左支上的动点, 分别为左右焦点,则 ( ) A. B. C.4 D. 【答案】A 【分析】利用双曲线的方程的特点和双曲线的定义即可求解. 【详解】由 ,得 解得 . 因为 是双曲线 左支上的动点, 所以 .由双曲线的定义可知 . 故选:A. 2.已知双曲线 的离心率为 ,则渐近线方程是( ) A. B. C. D. 【答案】B 【分析】由离心率求得 即得渐近线方程. 【详解】 , , , 故选:B 3.双曲线 的实轴长是虚轴长的3倍,则m的值为( ) A.9 B.-9 C. D. 【答案】C 【分析】根据双曲线的方程,求得 ,结合题意,列出方程,即可求解. 【详解】由双曲线 ,可得 ,且 , 因为双曲线的实轴长是虚轴长的3倍,可得 ,即 ,解得 . 故选:C. 4.若双曲线 的焦点与椭圆 的长轴端点重合,则 的值为( ) A.2 B.4 C. D. 【答案】A 【分析】根据椭圆以及双曲线的几何性质即可求解. 【详解】椭圆 的长轴端点为 , 所以双曲线的焦点为 ,故 , 故选:A5.已知动点 满足 ,则动点 的轨迹是( ) A.射线 B.直线 C.椭圆 D.双曲线的一支 【答案】A 【分析】利用两点间的距离公式分析条件的几何意义可得. 【详解】设 ,由题意知动点M满足 |,故动点M的轨迹是射线. 故选:A. 6.双曲线 的渐近线方程为 ,则该双曲线的离心率为( ) A.5 B. C. D. 【答案】D 【分析】根据渐近线方程得到 ,再利用 的关系和离心率公式即可得到答案. 【详解】由双曲线的渐近线方程为 ,可知 ,即 . 又 ,所以 ,即 . 故选:D. 7.双曲线 : 的右顶点为A,点A到直线 距离为 ,则 的离心率为( ) A. B. C. D. 【答案】C 【分析】根据已知可得出 , .然后根据 的关系解出 的值,即可得出答案. 【详解】由已知可得, ,且 ,所以 . 又 ,所以 , , 所以, . 故选:C. 8.双曲线 的两条渐近线的夹角为( ) A. B. C. D. 【答案】C 【分析】根据题意求得双曲线的渐近线方程,进而求得其夹角. 【详解】由双曲线 ,可得 , 所以双曲线的渐近线的方程为 , 所以两渐近线 的夹角为 . 故选:C. 9.已知双曲线 的离心率为2.则 ( ) A. B.1 C. D.3 【答案】A 【分析】利用离心率求出 ,再由 即求. 【详解】由 ,则 ,因为 , ,解得 , 故选:A. 10.定义:既是中心对称,也是轴对称的曲线称为“尚美曲线”,下是方程所表示的曲线中不是“尚美曲 线”的是( ) A. B. C. D. 【答案】D 【分析】利用圆、椭圆、双曲线、抛物线的性质,根据条件,对各个选项逐一分析判断即可得出结果. 【详解】选项A, 表示圆心在原点,半径为2的圆,由圆的性质知, 的对称中心为 ,对称轴为 轴, 轴,即 既是中心对称,也是轴对称,所以选项A错误; 选项B,由椭圆的性质知, 的对称中心为 ,对称轴为 轴, 轴,即 既是中心对 称,也是轴对称,所以选项B错误; 选项C,由双曲线的性质知, 的对称中心为 ,对称轴为 轴, 轴,即 既是中心 对称,也是轴对称,所以选项C错误; 选项D,由 ,得到 ,由抛物线性质知, 关于 轴对称,无对称中心,所以选项D正 确. 故选:D. 11.“ ”是“双曲线 的离心率大于2”的( ) A.充分不必要条件 B.必要不充分条件 C.充要条件 D.既不充分也不必要条件 【答案】C 【分析】根据离心率求出参数的取值范围,即可判断. 【详解】若双曲线 的离心率大于 ,则 ,解得 ,所以“ ”是“双曲线 的离心率大于 ”的充要条件; 故选:C 12.若双曲线 的焦点到渐近线的距离等于实轴长,则双曲线的离心率为( ) A. B. C. D.2 【答案】A 【分析】利用点到直线距离公式求得焦点到渐近线的距离为 ,由 计算可得离心率为 . 【详解】根据题意不妨取焦点 ,渐近线方程为 ,如下图所示: 可得焦点到渐近线的距离为 ,即 ; 则离心率 . 故选:A 13.直线 与双曲线 的交点个数是( ) A.0 B.1 C.2 D.3 【答案】A 【分析】方法一:列方程组求解,方法二:求出双曲线的渐近线进行判断 【详解】方法一:联立直线 与双曲线 的方程,,得 ,方程组无解,说明直线与双曲线没有交点. 方法二:由 ,得 ,所以双曲线的渐近线方程为 , 因为直线 是双曲线 的一条渐近线,因此交点个数为0. 故选:A 14.已知双曲线C: 的一条渐近线方程为 ,且与椭圆 有公共焦 点,则C的方程为( ) A. B. C. D. 【答案】D 【分析】由题意可得 ,结合渐近线方程列式求 ,进而可得结果. 【详解】设双曲线C的半焦距为 ,由椭圆 可得 , 由题意可得 ,解得 , 所以双曲线C: ,即 . 故选:D. 15.已知直线 是双曲线 的一条渐近线,且点 在双曲线 上,则双 曲线 的方程为( ) A. B.C. D. 【答案】C 【分析】根据双曲线的方程表示出渐近线方程,结合题意,建立方程,代入点,可得答案. 【详解】由双曲线 ,则其渐近线方程为 , 由题意可得: ,整理可得 , 将 代入双曲线方程可得: ,解得 , , 所以双曲线 . 故选:C. 16.已知双曲线 : ( , ), 、 分别为左、右焦点,点 在双曲线上, , 到左焦点 的距离是 到右焦点 的距离的3倍,则双曲线的离心率是( ) A. B. C.2 D. 【答案】B 【分析】根据题意结合双曲线的定义和离心率运算求解即可. 【详解】设双曲线 的半焦距为 , 由题意可知: ,则 , 可得 , 因为 ,则 ,即 ,整理得 , 所以双曲线的离心率是 . 故选:B. 17.已知双曲线 的两条渐近线的夹角为 ,则此双曲线的离心率 为( )A.2或 B. C. D. 或2 【答案】A 【分析】由双曲线的性质求解. 【详解】由题意得双曲线的渐近线为 , 而两条渐近线的夹角为 ,故 的倾斜角为 或 ,故 或 , 或2, 故选:A 18.设双曲线 , 的离心率分别为 , ,若 ,则 ( ) A.1 B.2 C. D. 【答案】A 【分析】分别求得双曲线 的离心率,结合 ,列出方程,即可求解. 【详解】由双曲线 ,可得其离心率为 , 又由双曲线 ,可得其离心率为 , 因为 ,可得 ,解得 . 故选:A. 19.设椭圆 的离心率为 ,焦点在 轴上且长轴长为26,若曲线 上的点到椭圆 的两个焦点的距离 的差的绝对值等于8,则曲线 的标准方程为( ) A. B. C. D.【答案】A 【分析】根据椭圆和双曲线中 的关系,结合双曲线定义可解. 【详解】在椭圆 中,由题知 ,解得 , 所以椭圆 的焦点为 , , 因为曲线 上的点到 , 的距离的差的绝对值等于8,且 , 所以曲线 是以 , 为焦点,实轴长为8的双曲线, 所以曲线 的虚半轴长为 , 故 的标准方程为: . 故选:A. 20.已知双曲线 : 的左顶点为 ,右焦点为 ,焦距为6,点 在双曲线 上, 且 , ,则双曲线 的实轴长为( ) A.2 B.4 C.6 D.8 【答案】A 【分析】运用代入法,结合已知等式进行求解即可. 【详解】把 代入 中,得 ,即 , 因为 , , 所以 , 又 ,所以 ,解得 , 舍去,则 . 故选:A 21.已知双曲线 的两条渐近线与抛物线 的准线分别交于A,B两点.O为坐标原点,若 的面积为 ,则双曲线的离心率为( ). A. B.2 C. D.3 【答案】B 【分析】根据题意,分别求得双曲线的渐近线和抛物线的准线方程,结合 的面积为 ,求得 , 结合离心率的定义,即可求解. 【详解】由抛物线 ,可得其准线方程为 , 因为双曲线 的两条渐近线的方程为 , 因为双曲线的渐近线与抛物线的准线交于 两点,且 的面积为 , 可得 ,即 , 所以双曲线的离心率为 . 故选:B. 22.已知 为双曲线 的右焦点, 为双曲线的一条渐近线, 到直线 的距离为 , 过 且垂直于 轴的直线交双曲线 于 两点,若 长为10,则 的离心率为( ) A.2 B. C.4 D.6 【答案】B 【分析】根据已知条件求得 ,由此求得双曲线的离心率. 【详解】双曲线的一条渐近线方程为 , 所以焦点 到渐近线 的距离为 . 由 令 得 , 所以 ,所以 ,所以 , 所以离心率 . 故选:B 23.已知双曲线 的两个焦点为 ,点 在 上,且 , , 则双曲线 的离心率为( ) A. B. C. D. 【答案】B 【分析】先求得 点坐标,根据 列方程,化简求得双曲线 的离心率. 【详解】由于 ,所以 , 则 ,解得 , 由于 ,所以 , 整理得 , 两边除以 得 , 由于 ,故解得 . 故选:B 二、多选题24.已知双曲线C: ,则下列说法正确的是( ) A.双曲线C的实轴长为2 B.若双曲线C的两条渐近线相互垂直,则 C.若 是双曲线C的一个焦点,则 D.若 ,则双曲线C上的点到焦点距离最小值为2 【答案】BC 【分析】由双曲线方程、几何性质和参数关系判断A、C、D;写出渐近线方程,结合垂直关系求参数m 判断B. 【详解】由双曲线C: 且 ,则实轴长为 ,A错; 由渐近线为 ,若相互垂直,则 ,B对; 由 为焦点,则 ,则 ,C对; 若 ,则双曲线C: ,故双曲线C上的点到焦点距离最小值为 ,D错. 故选:BC 25.已知双曲线 的渐近线方程为 ,则该双曲线的方程可以是( ) A. B. C. D. 【答案】BC 【分析】分别根据各项双曲线的方程,求出渐近线方程,即可得出答案. 【详解】对于A项, 的渐近线方程为 ,故A项错误; 对于B项, 的渐近线方程为 ,故B项正确; 对于C项, 的渐近线方程为 ,故C项正确;对于D项, 的渐近线方程为 ,故D项错误. 故选:BC. 26.下列命题中正确的是( ) A.双曲线 与直线 有且只有一个公共点 B.平面内满足 的动点P的轨迹为双曲线 C.若方程 表示焦点在y轴上的双曲线,则 D.已知双曲线的焦点在y轴上,焦距为4,且一条渐近线方程为 ,则双曲线的标准方程为 【答案】AC 【分析】A选项,联立求出双曲线 与直线 只有一个交点,A正确;B选项,举出反例; C选项,根据焦点在 轴上,得到不等式组,求出 ;D选项,由双曲线焦距和渐近线方程,得到 , ,得到双曲线方程. 【详解】对于A,解方程组 得唯一解 , 所以双曲线 与直线 有且只有一个公共点,所以A对; 对于B,当 时,满足 的动点P的轨迹为两条射线,不是双曲线,所以B错; 对于C,若方程 表示焦点在y轴上的双曲线, 则 且 ,解得 ,所以C对; 对于D,设双曲线标准方程为 ,由 ,则 , 渐近线方程为 ,即 ,由 ,解得 , ,双曲线的标准方程为 ,所以D错. 故选:AC 27.已知 ,则方程 表示的曲线的形状可以是( ) A.两条直线 B.圆 C.焦点在 轴上的椭圆 D.焦点在 轴上的双曲线 【答案】ABD 【分析】分类讨论 , , 与 四种情况,结合直线、圆、椭圆与双曲线方程的 特点即可判断. 【详解】对于方程 , 当 时, ,方程为 表示圆心在原点,半径为1的圆; 当 时, ,则 , 此时方程 ,即 表示焦点在 轴的椭圆; 当 时, ,此时方程 ,即 ,表示两条直线; 当 时, ,则 , 此时方程 ,即 表示焦点在 轴的双曲线. 综上可得符合依题意的有ABD. 故选:ABD. 28.双曲线 的离心率为 ,双曲线 的离心率为 ,则 的值不可能是( ) A. B. C. D. 【答案】CD【分析】根据双曲线的离心率表示 ,利用基本不等式即可得出范围, 求得所求范围. 【详解】 , 当且仅当 即 时取等号, 所以 . 故选:CD. 29.已知双曲线 的右焦点为 ,过 且垂直于 轴的直线与双曲线交于 两点.若 以 为直径的圆恰好经过双曲线的左顶点,则( ) A.双曲线的渐近线方程为 B.双曲线的渐近线方程为 C.双曲线的离心率为 D.双曲线的离心率为2 【答案】BD 【分析】根据题意,由 为等腰直角三角形,列出方程求得 及 ,结合双曲线的几何性 质,即可求解. 【详解】如图所示,设双曲线的左顶点为 , 因为以 为直径的圆恰好经过双曲线的左顶点,可得 为等腰直角三角形, 又因为过 且垂直于 轴的直线与双曲线交于 两点,可得 ,所以 ,因为 ,所以 ,解得 , 所以双曲线的离心率为 ,所以D正确; 由 ,可得双曲线的渐近线方程为 ,所以B正确. 故选:BD. 三、填空题 30.双曲线 的渐近线方程为 ,则 . 【答案】3 【分析】根据双曲线的渐近线方程即可求解. 【详解】 的渐近线方程为 ,所以 , 故答案为:3 31.写出一个同时满足下列条件①②的双曲线的标准方程 . ①焦点在x轴上;②渐近线方程为 . 【答案】 (答案不唯一) 【分析】根据双曲线焦点所在坐标轴以及渐近线方程写出双曲线的标准方程. 【详解】双曲线的焦点在 轴上,所以双曲线的标准方程为 , 由于双曲线的渐近线方程为 ,所以 , . 所以可取 ,此时双曲线的一个标准方程为 . 故答案为: (答案不唯一)32.已知直线 是双曲线 ( )的一条渐近线,则 的离心率为 . 【答案】 【分析】根据渐近线方程得到 ,然后代入离心率公式求解. 【详解】因为直线 是双曲线 的一条渐近线, 所以 ,所以C的离心率为 . 故答案为: 33.若双曲线 的实轴长等于虚轴长的一半,则 . 【答案】4 【分析】直接利用双曲线的方程求出实轴长和虚轴长,列出方程即可求解. 【详解】由已知条件得 双曲线 ( )的标准方程为 ( ), 则 , , 所以实轴长为 ,虚轴长为 , 由题意得 ,解得 . 故答案为: . 34.双曲线 经过两点 , ,则双曲线 的标准方程是 . 【答案】【分析】设双曲线的方程为 ,根据题意列式求解 即可. 【详解】设双曲线的方程为 , 由题意可得: ,解得 , 所以双曲线 的标准方程是 . 故答案为: . 35.若双曲线C与双曲线 有相同的渐近线,且经过点 ,则双曲线C的标准方程是 . 【答案】 【分析】设双曲线C的方程为 ,根据双曲线 经过的点求得 ,从而求得双曲线 的标准方程. 【详解】由双曲线C与双曲线 有相同的渐近线, 可设双曲线C的方程为 ,又C过点 , 所以 , , 整理得双曲线C的标准方程是 . 故答案为: 36.已知 ,双曲线 的两个焦点为 , ,若椭圆 的两个焦点是线段 的三等分点,则该双曲线的渐近线方程为 . 【答案】 【分析】由已知条件求出 与 的关系,即可得双曲线的渐近线方程. 【详解】由题意可知,双曲线的焦距是椭圆焦距的3倍,则有 ,化简得 ,则有 , 所以该双曲线的渐近线方程为 . 故答案为: 37.已知动圆 与圆 ,圆 中的一个外切、一个内切,求动圆圆心 的 轨迹方程为 【答案】 【分析】设动圆圆心 的坐标为 ,半径为 ,根据圆与圆的位置关系,得到 ,结合双 曲线的定义,即可求解. 【详解】设动圆圆心 的坐标为 ,半径为 , 由圆 ,可得圆心 ,半径 , 圆 ,可得圆心 ,半径 . 根据题意,可得 或 , 所以 或 ,可得 又因为 ,可得 , 根据双曲线的定义,可得点 的轨迹为以 为焦点的双曲线, 且 ,所以 ,则 , 所以所求曲线的轨迹方程为 . 故答案为: .38.设点P在双曲线 上, , 为双曲线的两个焦点,且 ,则 的周长等 于 . 【答案】22 【分析】根据双曲线方程可求得 ,结合双曲线定义以及 可求得 ,即可得答 案. 【详解】由题意知 , , 又 , ∴ , , 故 的周长为 , 故答案为:22 39.椭圆 的两顶点为 ,左焦点为F,在 中, ,则椭圆的 离心率为 . 【答案】 【分析】先求出F的坐标,求出直线AB和BF的斜率,两直线垂直可知两斜率相乘得 ,进而求得a和c 的关系式,进而求得e. 【详解】依题意可知点 ,又 直线AB斜率为: ,直线BF的斜率为: , ∵ , ∴ ,即 . 整理得 , 即 , 解得 或 , ∵ ,∴ . 故答案为: . 40.已知斜率为 的直线 经过双曲线 的上焦点 ,且与双曲线的上、下两支都相交,则双曲线 的离心率 的取值范围是 . 【答案】 【分析】根据已知直线的斜率,求出渐近线的斜率范围,推出 , 的关系,然后求出离心率的范围. 【详解】由题意可得双曲线的渐近线方程为 , 过双曲线上焦点 且平行于渐近线 的方程为 ,此直线只与双曲线的上支有一个交点,要 使斜率为 的直线 经过双曲线的上焦点 的直线 与与双曲线的上、下两支相交,则 ,所 以 ,因此 , 故答案为: 41.设 是双曲线 的左、右焦点, 是坐标原点.过 作双曲线 的一条渐近 线的垂线,垂足为 .若 ,则双曲线 的离心率为 .【答案】 【分析】由 与 互补,得到两角的余弦值互为相反数,两次利用余弦定理得到关于 的方程 进行求解. 【详解】如图所示: 设双曲线的一条渐近线方程为 ,因为焦点 到渐近线的距离为 ,所以 , 则 ,所以 , 因为 ,所以 , 解得: . 故答案为: . 42.设双曲线 的左、右焦点分别为 , , 为双曲线右支上一点,且 ,则 的大小为 . 【答案】 【分析】根据双曲线方程求出 、 、 ,再由双曲线的定义求出 、 ,最后由余弦定理计算可得. 【详解】因为双曲线 ,则 , ,所以 , 因为 为双曲线右支上一点,所以 ,又 ,所以 , , , 由余弦定理 , 即 ,解得 ,又 , 所以 . 故答案为: 43.已知双曲线方程为 ,左焦点 关于一条渐近线的对称点在另一条渐近线上,则 该双曲线的离心率为 . 【答案】2 【分析】根据对称性求出渐近线的倾斜角,再根据渐近线的斜率得 ,再根据离心率公式可求出结果. 【详解】如图:设 关于渐近线 对称的点 在渐近线 上, 的中点 在渐近线 上, 则 ,又 , 所以 , 所以 ,所以 . 故答案为: .44.已知双曲线 的左、右焦点分别为 , ,双曲线上一点A关于原点O对称的 点为B,且满足 , ,则该双曲线的渐近线方程为 . 【答案】 【分析】根据垂直关系以及双曲线的对称性可得四边形 为矩形,即可结合双曲线的定义求解 ,进而可求. 【详解】由 可得 , 由于 关于原点 对称, , 关于原点 对称, 所以四边形 为矩形,故 , 由于 又 , 所以 ,因此 , 故 ,进而可得 , 所以渐近线方程为: 故答案为: 45.已知双曲线的右焦点为 ,点P,Q为双曲线上关于原点O对称的两点,若 ,且的面积为4,则双曲线的离心率 . 【答案】 【分析】根据 的面积可得 ,由垂直关系得 ,结合双曲线的对称性以及 定义即可求解 . 【详解】∵双曲线的右焦点 , ,设其左焦点为 , ,P,Q关于原点O对称, ,由 的面积为4, ,得 ,又 , 故 . 又由双曲线的对称性可得 , , ,故离心率 . 故答案为: 【B组 在综合中考查能力】 一、单选题 1.已知双曲线 的离心率为 ,若点 与点 都在双曲线上,则该双曲线的渐 近线方程为( ) A. B. C. D.【答案】B 【分析】根据给定条件,列出方程组,结合离心率的意义求出 作答. 【详解】由点 在双曲线 上,得 , 则 ,即 ,整理得 ,解得 或 , 当 时, ,此时方程 无解, 当 时, ,而 ,解得 , 所以该双曲线的渐近线方程为 . 故选:B 2.已知 , 是双曲线 的左、右焦点,若双曲线上存在点P满足 , 则双曲线离心率的最小值为( ) A. B. C.2 D. 【答案】D 【分析】设P的坐标,代入双曲线的方程,利用数量积的坐标表示,结合双曲线离心率的计算公式求解即 得. 【详解】设 ,双曲线的半焦距为c,则有 , , , 于是 , 因此 , 当且仅当 时取等号,则 ,即 ,离心率 , 所以双曲线离心率的最小值为 . 故选:D3.若椭圆 与双曲线 有相同的焦点 , ,P是两曲线的一个 交点,则 的面积是( ) A. B.t C.2t D.4t 【答案】B 【分析】设 , ,再根据椭圆与双曲线的定义列式,化简可得 ,可得 是直角三角形,再根据 可得面积. 【详解】设 , ,不妨设交点P在第一象限, 分别为左右焦点, 则 ①, ②, , 可得① ②2: , ∴ 是直角三角形, ① ② : , . 故选:B 4.设 、 分别为双曲线 的左右焦点, 为坐标原点,过左焦点 作直线 与圆 切于点 ,与双曲线右支交于点 ,且 ,则双曲线的离心率为( ) A. B. C. D. 【答案】A 【详解】因为直线 与圆 切于点 ,则 , 又 ,所以 ,所以 为 的中点,而 为 中点,于是 ,有 , 且 ,则 ,令双曲线焦距为 ,由 , 得 ,即 ,所以 , 所以双曲线的离心率 . 故选:A 5.双曲线 的离心率为2,则此双曲线的渐近线倾斜角可以是( ) A. B. C. D. 【答案】B 【分析】由双曲线的渐近线的斜率与双曲线的离心率的关系,以及直线斜率与倾斜角的关系即可求解. 【详解】由于双曲线 的渐近线为 , 且注意到双曲线的离心率为 , 又在双曲线中有平方关系: , 所以离心率为 , 又由题意 , 所以有 ,解得 , 即双曲线的渐近线的斜率为 ,由直线斜率和倾斜角的关系可知此双曲线的渐近线的倾斜角可以是 或 . 故选:B. 6.过双曲线 的左焦点F作C的其中一条渐近线的垂线l,垂足为M,l与C的另 一条渐近线交于点N,且 ,则C的渐近线方程为( ) A. B. C. D. 【答案】B 【分析】根据题意及图形可求出渐进线的倾斜角,即可得答案. 【详解】如图,设双曲线右焦点为 ,OM,ON为双曲线的两条渐进线. 由题意可知, ,又 ,则M为FN中点,则 为等腰三角形, 则 ,又 ,则 . 所以双曲线的渐进线方程为: . 故选:B 7.已知 、 分别是双曲线 的左、右焦点, 为双曲线 上的动点, , ,点 到双曲线 一条渐近线的距离为 ,则下列选项不正确的有( ) A.B.双曲线 的离心率为 C. 的最小值为2 D.双曲线 的实轴长为3 【答案】D 【分析】先根据题意求得双曲线 的方程,从而可直接判断BD;再利用点到直线的距离公式判断A选项; 利用两点距离公式与配方法判断C选项. 【详解】因为 ,则 , 又由双曲线的定义可得 ,可得 , 所以 ,则双曲线 的方程为 , 对于D选项:双曲线 的实轴长为 ,D不正确; 对于B选项:双曲线 的离心率为 ,B正确; 对于A选项:双曲线 的渐近线方程为 ,即 , 所以,双曲线 的焦点 到渐近线 的距离为 ,A正确. 对于C选项:因为 ,故点 在双曲线 的右支上, 设点 ,则 ,易知点 ,且 ,可得 , 所以, ,当且仅当 时,等号成立,C正确. 故选: D. 8.双曲线C: 的离心率为 ,直线 与C的两条渐近线分别交于点A,B,若点 满足 ,则 ( ) A. B.-1 C.1 D.3 【答案】C 【分析】由离心率求出 ,即可得渐近线方程,求两直线交点得 的坐标,设AB的中点为P,根据 即可求解. 【详解】由离心率为 ,有 ,故双曲线的渐近线方程为 . 由 解出 ;由 解出 . 设AB的中点为P,则点P的坐标为 ,且 , 于是 ,解出 . 故选:C. 9.双曲线C: 的右顶点为 ,点 均在C上,且关于y轴对称.若直线AM,AN 的斜率之积为 ,则 的离心率为( ) A. B. C. D.【答案】A 【分析】根据已知条件列方程,化简求得 ,进而求得双曲线的离心率. 【详解】依题意 ,设 ,则 , 且 , 而 , , , 所以 . 故选:A 10.设 是双曲线 的左、右焦点,过点 作双曲线的一条渐近线的垂线,垂足为 .若 ,则双曲线 的离心率为( ) A. B. C. D. 【答案】A 【分析】根据题意,先求得焦点 到渐近线的距离为 ,在直角 中,求得 ,再在 中,利用余弦定理求得 ,结合 和离心率的定义,即可求解. 【详解】由双曲线 ,可得 ,渐近线方程为 , 如图所示,则焦点 到渐近线 的距离为 , 在直角 中,可得 ,在 中,由余弦定理得 , 即 ,所以 , 又由 ,所以 ,可得 , 所以双曲线的离心率为 . 故选:A. 11.设 、 分别是双曲线 : 的左、右两个焦点, 为坐标原点,点 在 上且 ,则 的面积为( ) A.4 B. C.3 D.2 【答案】D 【分析】由题设可得 ,进而确定 的位置,易知 为直角三角形,最后利用双曲线 定义求直角边,即可求面积. 【详解】由 , 所以 是以原点为圆心, 为半径的圆与双曲线 的交点, 又 ,即它们也在 点所在的圆上,且 为直径, 所以 为直角三角形, ,如上图, ,且 , 所以 , 则 ,故 的面积为 . 故选:D 12.过原点的直线l与双曲线E: 交于A,B两点(点A在第一象限), 交x 轴于C点,直线BC交双曲线于点D,且 ,则双曲线的渐近线方程为( ) A. B. C. D. 【答案】D 【分析】由题可设, , ,分别表示出 ,逐步转化,即可求 得本题答案. 【详解】因为 直线过原点,所以 关于原点对称,设 , 因为 与 轴垂直,所以 , 设 , 则 , 而所以, , 所以, 所以渐近线方程为 . 故选:D 13.已知双曲线C: 的左、右焦点分别为 , ,O为坐标原点,过 作C的一条 渐近线的垂线,垂足为M,且 ,则C的离心率为( ) A. B.2 C. D. 【答案】C 【分析】根据点到直线距离公式、余弦定理,双曲线的离心率公式进行求解即可. 【详解】双曲线C的左焦点 ,渐近线 的方程为 , 由点到直线的距离公式可得 , 由勾股定理得 , 在 中, ,所以 , 在 中, , , , ,由余弦定理得 , 化简得 ,即 ,因此,双曲线C的离心率为 , 故选:C 【点睛】关键点睛:本题的关键是利用互补两角的余弦值为零,进而运用余弦定理. 14.设 , 分别是双曲线 的左、右焦点, 为坐标原点,过左焦点 作直线 与圆 切于点E,与双曲线右支交于点P,且满足 ,则双曲线的离心率为 ( ) A. B. C.2 D. 【答案】D 【分析】由题意 ,再结合平面向量的性质与双曲线的定义可得 , ,再根据勾股 定理列式求解决即可. 【详解】∵ 为圆 上的点, , ,∴ 是 的中点, 又 是 的中点, ,且 , 又 , , 是圆的切线, ,又 , , 故 ,离心率 . 故选:D 15.已知双曲线 的上焦点为 ,点P在双曲线的下支上,若 ,且 的 最小值为7,则双曲线E的离心率为( ) A.2或 B.3或 C.2 D.3 【答案】D 【分析】根据双曲线定义将 转化为 ,数形结合即可求解. 【详解】设双曲线 的下焦点为 ,可知 , 则 ,即 , 则 , 当且仅当 三点共线时,等号成立, 由题意可得 ,且 , 因为 在 上单调递增,且 , 所以方程 ,且 ,解得 , 则 ,所以双曲线E的离心率为 .故选:D. 16.设 , 是双曲线 的左、右焦点,过 的直线 交双曲线的左支于 , 两点,若直 线 为双曲线的一条渐近线, ,则 的值为( ) A.11 B.12 C.14 D.16 【答案】C 【分析】根据双曲线的标准方程可得 ,再由双曲线的定义可得 , 得到 ,再根据 得到答案. 【详解】根据双曲线的标准方程 , 得 ,由直线 为双曲线的一条渐近线, 得 ,解得 ,得 . 由双曲线的定义可得 ①, ②, ① ②可得 , 因为过双曲线的左焦点 的直线 交双曲线的左支于 , 两点,所以 ,得 . 故选:C. 二、多选题 17.已知双曲线 的焦点分别为 ,则下列结论正确的是( ) A.渐近线方程为 B.双曲线 与椭圆 的离心率互为倒数 C.若双曲线 上一点 满足 ,则 的周长为28 D.若从双曲线 的左、右支上任取一点,则这两点的最短距离为6 【答案】CD 【分析】根据椭圆和双曲线的定义及性质一一判定即可. 【详解】由题意可得 ,令 ,故A错误; 易知双曲线和椭圆的离心率分别为 , 显然它们不互为倒数,故B错误; 由双曲线的定义可知 , 若 ,则 , 又 ,故 的周长为 ,故C正确; 由双曲线的图象可知左右两支上距离最近的两点为左右顶点,故D正确.故选:CD 18.已知方程 表示的曲线为C,则下列四个结论中正确的是( ) A.当 时,曲线C是椭圆 B.当 或 时,曲线C是双曲线 C.若曲线C是焦点在x轴上的椭圆,则 D.若曲线C是焦点在y轴上的椭圆,则 【答案】BC 【分析】根据给定条件,利用椭圆、双曲线方程的特征逐项判断作答. 【详解】对于A,当 时, ,则曲线 是圆,A错误; 对于B,当 或 时, ,曲线 是双曲线,B正确; 对于C,若曲线 是焦点在 轴上的椭圆,则 ,解得 ,C正确; 对于D,若曲线 是焦点在 轴上的椭圆,则 ,解得 ,D错误. 故选:BC. 19.(多选)已知点 , 是双曲线 : 的左、右焦点, 是双曲线 位于第一象限内 一点,若 , ,则下列结论正确的是( ) A. 的面积为 B.双曲线 的离心率为 C.双曲线 的渐近线方程为 D.若双曲线 的焦距为 ,则双曲线 的方程为 【答案】BD 【分析】由题意 并结合双曲线定义 可知 , ,结合 ,即 ,又 ,具体分析逐个选项即可. 【详解】对于选项A:由定义可得 ,因为 ,所以 , , 由已知 ,所以 的面积为 ,故A错误; 对于选项B:由勾股定理得 ,即 , 所以 ,故B正确; 对于选项C:因为 ,所以 ,即 , 所以双曲线的渐近线方程为: ,故C错误; 对于选项D:由双曲线 的焦距为 得 ,从而 , , 所以双曲线 的方程为 ,故D正确. 故选:BD. 20.已知双曲线 的左、右焦点分别为 ,过点 的直线 与圆 相切, 且与 交于 两点,若 ,则 的离心率可能为( ) A. B. C. D. 【答案】AD 【分析】讨论 同时在双曲线 的左支上和点 在双曲线的两支上两种情况,求出 之间的关系, 结合离心率的计算公式,即可得答案. 【详解】当点 同时在双曲线 的左支上时,设切点为 ,则 , . 作 交 于点 ,则 ,而O为 的中点,则P为 的中点,故 , 因为 , 为锐角,故 所以 , , 所以 ,则 , 故双曲线 的离心率 . 当点 在双曲线的两支上时,仍有 , 因为 , 为锐角,故 所以 ,, 所以 ,则 , 故双曲线 的离心率 , 故选:AD 21.已知双曲线 的左、右焦点分别是 , 为双曲线 右支上的动点, ,则 下列说法正确的是( ) A.双曲线 的离心率 B.双曲线 与双曲线 共渐近线 C.若点 的横坐标为3,则直线 的斜率与直线 的斜率之积为 D.若 ,则 的内切圆半径为 【答案】AC 【分析】根据题意,求得双曲线的方程为 ,其中 ,结合双曲线的定义和几 何性质,逐项判定,即可求解. 【详解】由题意,可得 ,所以 ,则 , 所以双曲线 ,其中 , 对于A中,由双曲线 的离心率 ,所以A正确; 对于B中,由双曲线 的渐近线方程为 , 又由双曲线 的渐近线方程为 ,故B错误;对于 中,由点 的横坐标为 ,不妨记 在第一象限,则 , 因为 ,可得 ,所以C正确; 对于D中,设 ,则 , 在 中,由余弦定理得 , 即 ,解得 或 (舍去), 所以 的周长为 , 又由 的面积为 , 所以 的内切圆半径为 ,所以D错误. 故选:AC. 三、填空题 22.已知双曲线 的一条渐近线方程为 ,则该双曲线的离心率e= . 【答案】 或 【分析】根据焦点在 轴和 轴分类讨论得出 的值,然后再计算离心率. 【详解】设双曲线的实半轴,虚半轴长为 , 当双曲线的焦点在x轴上时, 因为渐近线方程为 ,所以 ,所以离心率 ; 当双曲线的焦点在y轴上时,因为渐近线方程为 ,所以 ,这时 ,同理得离心率, 故答案为: 或 . 23.已知圆 ,圆 ,圆 与圆 、圆 外切,则圆心 的轨迹方程为 . 【答案】 【分析】设圆 的半径为 ,根据题意可得 ,两式相减,再结合双曲线的定义即可得 解. 【详解】设圆 的半径为 , 圆 的圆心 ,半径 , 圆 的圆心 ,半径 , 因为圆 与圆 、圆 外切, 则 , 所以 , 所以点 的轨迹是以 为焦点的双曲线的右支, 又 ,则 , 所以其轨迹方程为 . 故答案为: . 24.已知双曲线 的离心率为 ,其中一条渐近线与圆 交于 两 点,则 .【答案】 【分析】利用双曲线的离心率,求解渐近线方程,然后求解圆的圆心到直线的距离,转化求解 即可. 【详解】双曲线 的离心率为 , 可得 ,所以 , 所以双曲线的渐近线方程为: , 一条渐近线与圆 交于 , 两点,圆的圆心 ,半径为1, 圆的圆心到直线 的距离为: , 所以 . 故答案为: . 25.已知点 是双曲线 上一点, 分别是双曲线 的左、右焦点, 的周长为 ,则 的面积为 . 【答案】 【分析】利用双曲线的定义以及 的周长可求出 ,再利用余弦定理可求出 ,再 利用同角三角函数基本关系求出 ,进而求出结果. 【详解】根据对称性,不妨设 在双曲线 的右支上,则 . 因为 的周长为 ,所以 , 所以 .在 中, ,则 , 所以 的面积为 . 故答案为: . 26.已知 是双曲线 的左焦点, 是双曲线右支上的动点,则 的最小值为 . 【答案】 【分析】利用双曲线定义将 转化,用 到右焦点的距离表示,由点 与右焦点位于双曲线右支异侧, 利用两点之间线段最短可得最小值. 【详解】由题意知, . 设双曲线的右焦点为 , 由 是双曲线右支上的点,则 , 则 , 当且仅当 三点共线时,等号成立. 又 ,则 . 所以, 的最小值为 .故答案为: . 27.已知双曲线 和椭圆 有相同的焦点,则 的最小值为 . 【答案】9 【分析】先运用椭圆与双曲线的基本量的关系,依据椭圆与双曲线的焦点相同得到 ,最后利用基 本不等式中“1”的妙用,将 化为积定的形式,运用基本不等式求出最小值. 【详解】先根据椭圆的基本量关系式得到椭圆 的焦点分别为点 与点 , 于是点 与点 也是双曲线 的两个焦点, 因此 ,最后使用基本不等式中“1”的代换, 于是就有 (当且仅当 时取等号), 因此 的最小值为9. 故答案为:9 28.已知双曲线 : 的右焦点为 ,过 分别作 的两条渐近线的平行线与 交于 , 两点,若 ,则 的离心率为 【答案】 【分析】设直线方程为 与双曲线方程 联立,根据 求解. 【详解】解:如图所示:设直线方程为 与双曲线方程 联立, 解得 , 因为 , 所以 , 即 ,即 , 解得 , 故答案为: 29.已知双曲线 的左、右焦点分别为 , ,离心率为 , 为双曲线右支上一点, 且满足 ,则 的周长为 . 【答案】 【分析】由离心率求出 、 ,再由双曲线定义结合已知可得 ,从而求出 的周长. 【详解】由题意可得 , , , , ,为双曲线右支上一点, , 又 , , 则 的周长为 . 故答案为: . 30.椭圆 与渐近线为 的双曲线有相同的焦点 ,P为它们的一个公共 点,且 ,则椭圆的离心率为 . 【答案】 【分析】根据椭圆与双曲线共用一对焦点,设双曲线方程,根据椭圆与双曲线的定义可得 , ,再根据 可得勾股定理,结合 化简求解即可. 【详解】设 ,在双曲线 中,渐近线为 , 即 ,故 , , ,不妨设P在第一象限,则由椭圆定义可得: ,由双曲线定义可得: , 因为 ,∴ , 而 , 代入可得: ,∴ . 故答案为: 31.已知双曲线 的焦点为F,O为坐标原点,P为C上一点,且 为正三角 形,则双曲线的离心率为 . 【答案】 【分析】依题意画出图形,根据余弦定理与双曲线的定义建立 等量关系求解离心率. 【详解】由对称性,不妨设F为右焦点,则 在右支上,设双曲线左焦点为 , 依题意,三角形 为正三角形, 则 ,连接 , 在 中, , 由余弦定理得, , 可得 ,又 ,即 , 所以 .故答案为: . 32.已知双曲线 的一个焦点为 ,点 到双曲线 的一条渐近线 的距离为1,则双曲线 的标 准方程是 . 【答案】 或 【分析】分焦点在 轴和 轴上时,分别列方程求解计算即可. 【详解】点 到双曲线 的一条渐近线的距离为 当焦点在 轴上时,设双曲线方程为 ,则其渐近线方程为 , 点 到双曲线 的一条渐近线 的距离为1,即 ,则 , 所以此时双曲线 的标准方程为 ; 当焦点在 轴上时,设双曲线方程为 ,则其渐近线方程为 , 点 到双曲线 的一条渐近线 的距离为1,即 ,则 , 所以此时双曲线 的标准方程为 .综上,双曲线 的标准方程为 或 . 故答案为: 或 33.已知双曲线 的左、右焦点分别为 , ,过点 的直线与双曲线的右支相 交于A,B两点, ,且 的周长为10,则双曲线C的焦距为 . 【答案】 【分析】根据双曲线的定义,解得 ,然后根据 的周长为10,解得各边长,最后根据余弦 定理求解即可; 【详解】 设 , , , 根据双曲线的定义可知: , 可得 , 有 ,解得 , 在 和 中,由余弦定理有 , 解得 ,可得双曲线的焦距为 . 故答案为: . 【C组 在创新中考查思维】 一、单选题 1.已知双曲线 : 的右焦点为 ,关于原点对称的两点A、B分别在双曲线的左、 右两支上, , ,且点C在双曲线上,则双曲线的离心率为( ) A. B. C. D. 【答案】B 【分析】由 ,令 且 , ,则 ,根据题设有 、 、 ,进而有 ,将它们整理为关于 的齐次方程求离心率即可. 【详解】由题设 ,令 且 , ,则 ,且 ①, 由 ,即 ②, 由 ,即 , 又C在双曲线上,则 ③,由①得: ,代入③并整理得: , 由①②及 得: , 所以 ,即 , 显然 ,则 . 故选:B 【点睛】关键点点睛:设 且 , ,结合已知得到关于 的齐次方程为关键. 2.已知点 , 分别是双曲线 : 的左、右焦点,过 作斜率为 的直线 与双曲线 的左、右两支分别交于 , 两点,且 ,则双曲线的离心率为( ) A. B. C. D. 【答案】B 【分析】取MN中点A,连AF2,令 ,由双曲线定义及所给条件可得 ,再借助直线斜率为 即可求解作答. 【详解】取MN中点A,连 ,令 ,则 ,如图, 因点M,N为双曲线左右两支上的点,由双曲线定义得 ,, 则 ,令双曲线半焦距为c, 中, , 中, , 则有 ,即 , 因直线 的斜率为 ,即 ,而 ,即 , 于是有 ,解得 ,因此 , 所以双曲线 的离心率为 . 故选:B 【点睛】求双曲线的离心率(或离心率的取值范围),常见方法:①求出a,c,代入公式 ; ②根据给定条件得到关于a,b,c的齐次式,结合 转化为a,c的齐次式,然后等式(不等式)两 边分别除以a或 转化为关于e的方程(不等式),解方程(不等式)即可得e(e的取值范围). 3.已知 , 分别为双曲线C: 的左右焦点,且 到渐近线的距离为1,过 的直线 与C的左、右两支曲线分别交于 两点,且 ,则下列说法正确的为( ) A. 的面积为2 B.双曲线C的离心率为 C. D. 【答案】D 【分析】利用已知条件求出b的值,对于A:利用勾股定理结合双曲线的定义求出 的面积,对于 B:利用双曲线的离心率公式运算求解;对于C:先求 ,再利用平面向量数量积的运算性质运算求解;对于D:根据双曲线的定义结合勾股定理求出 ,代值计算即可. 【详解】设双曲线C的半焦距为 , 因为双曲线C的焦点在x轴上,且 , 则其中一条渐近线方程为 ,即 ,且 , 则 到渐近线的距离 ,可得 . 对于选项A:因为 ,且 , 可得 ,解得 , 所以 的面积为 ,故A错误; 对于选项B:双曲线C的离心率为 ,故B错误; 对于选项C:因为 ,可得 , 所以 ,故C错误; 对于选项D:设 ,则 , 因为 ,即 ,解得 , 所以 ,故D正确; 故选:D. 【点睛】方法点睛:1.双曲线离心率(离心率范围)的求法 求双曲线的离心率或离心率的范围,关键是根据已知条件确定a,b,c的等量关系或不等关系,然后把b 用a,c代换,求e的值. 2.焦点三角形的作用 在焦点三角形中,可以将圆锥曲线的定义,三角形中边角关系,如正余弦定理、勾股定理结合起来.4.已知双曲线 ( )的左焦点为F,过F的直线交E的左支于点P,交E的渐近线 于点M,N,且P,M恰为线段FN的三等分点,则双曲线E的离心率为( ) A.2 B. C. D. 【答案】D 【分析】根据题意可得 为线段 的中点, 为线段 的中点,设 ,从而可得出 的 坐标,再根据点 在渐近线 上,求出 ,再根据点 在双曲线 ,得出 的齐次式 即可得解. 【详解】由题意,点 在渐近线 上,点 在渐近线 上, 设 , 因为P,M恰为线段FN的三等分点, 所以 为线段 的中点, 为线段 的中点, 则 ,则 ,即 , 又点 在渐近线 上, 所以 ,所以 , 故 , 因为点 在双曲线 , 所以 ,所以 , 所以 . 故选:D.【点睛】关键点点睛:设 ,由 为线段 的中点, 为线段 的中点,得出 的坐标, 再根据点 在渐近线 上,求出 ,是解决本题的关键. 5.已知双曲线 的右焦点为F,过点F的直线与两条渐近线的交点分别为P,Q 两点,且 ,又过点F作 于E(点O为坐标原点),且 ,则双曲线C的渐近 线方程为( ) A. B. C. D. 【答案】A 【分析】设 , ,有已知可推出 .进而得到 ,从而有 , 即可得出 ,进而得出答案. 【详解】双曲线 的渐近线方程为 . 不妨设 , , , 则 , . 由 ,得 ,解得 . 又点F到直线 的距离 , , 所以 ,则 . 又 ,所以 , 所以 ,即 , , 所以双曲线C的渐近线方程为 . 故选:A. 【点睛】思路点睛:设出点 的坐标,根据 可得出点 的坐标.进而根据 ,即可 得出 之间的关系. 6.线段 是圆 的一条直径,离心率为 的双曲线 以A,B为焦点,若P是圆 与双曲线 的一个公共点,则 ( ) A. B. C. D. 【答案】D【分析】首先通过计算得到圆的半径为 ,则由题意得到 ,通过离心率计算出 值,再利用双 曲线定义得到与直径所对圆周角为直角得到 ,则有 , ,最终得到和值. 【详解】∵圆 的半径 , 线段 是圆 的一条直径, 离心率为 的双曲线 以A,B为焦点, ∴双曲线 的焦距 , ∵P是圆 与双曲线 的一个公共点, ∴ , ∴ , ∵ , ∴ , ∴ , ∴ , ∴ .故选:D. 【点睛】本题难点在于所考查的是非标准双曲线,但是实际上并没有超纲,我们通过双曲线的定义得到 ,再结合点在圆上得到 ,然后利用完全平方式之间的转化得到 ,最终 ,求出其之和为 ,所以其本质上 还是双曲线定义的灵活运用. 二、多选题 7.已知双曲线 的左、右焦点分别为 , ,左、右顶点分别为M,N,O为坐标原点.直线 交双曲线C的右支于P,Q两点(不同于右顶点),且与双曲线C的两条渐近线分别交于A,B两点,则 ( ) A. 为定值 B. C.点P到两条渐近线的距离之和的最小值为 D.存在直线 使 【答案】BC 【分析】对于A,根据 ,取垂直于x轴的直线,结合条件可判断A;对于 B,设直线 的方程为 ,利用韦达定理可得 ,联立直线与渐近线方程,可分别解得 , ,结合弦长公式可判断B;对于C,设 ,可得P到两渐近线距离可判断C;由题可得 恒成立可判断D. 【详解】双曲线 的渐近线为 ,对于A:因为 , 作直线 , ,且 ,分别交 轴上方渐近线于 , ,交 轴下方渐近线于 , , 有对称性可知: , 此时 , 又因为 为定值,所以 即 不是定值,故A错误; 对于B,由题意可知:直线 不与y轴垂直,设直线 的方程为 , 联立得 得, ,所以 , 联立 ,得 ,联立 ,得 , 所以 ,则 , 结合弦长公式可得 , 即 ,故B正确; 对于C,设 ,则 ,渐近线为 , 所以P到两渐近线距离为: ,故C正确;对于D,设 ,则 ,可得 , 由图可得 ,即 恒成立, 故不存在直线 使 ,故D错误. 故选:BC. 8.已知双曲线 : ,点 为双曲线右支上的一个动点,过点 分别作两条渐近线的垂线,垂 足分别为 , 两点,则下列说法正确的是( ) A.双曲线的离心率为 B.存在点 ,使得四边形 为正方形 C.直线 , 的斜率之积为2 D.存在点 ,使得 【答案】AB 【分析】根据双股曲线方程求出离心率判断A;取特殊点判断B;设 ,求出 的坐标,进而求 出直线 , 的斜率之积,判断C;利用两点间距离公式表示出 ,令其等于 ,结合双曲 线方程可判断D. 【详解】对于A,由双曲线 : ,得 , 故 ,A正确; 对于B,双曲线 : 的渐近线为 , 则四边形 为矩形,又双曲线右顶点为 , 到直线 的距离均为 , 故矩形 为正方形, 即存在点 ,即M为双曲线右顶点时,使得四边形 为正方形,B正确; 对于C,设 ,不妨设A在第一象限,B在第四象限, 由于 ,故可得 的方程为 , 联立 ,可得 ,则 , 同理 ,可得 的方程为 , 联立 ,可得 ,则 , 故 ,而 , 故 ,C错误; 对于D,由以上分析可知 , 同理 , 故 ,根据双曲线的对称性,不妨假设M在第一象限,则 , 故 ,令 , 将 代入 ,即有 ,显然不可能, 即双曲线上不存在点 ,使得 ,D错误, 故选:AB 【点睛】难点点睛:本题综合考查了双曲线性质的应用,解答的难点在于选项D的判断,解答时要注意根 据点的坐标表示出 的表达式,进而结合方程推出矛盾,判断该选项错误. 9.已知双曲线 的左、右焦点分别为 、 ,左、右顶点分别为 、 , 为双 曲线右支上的一点,且直线 与 的斜率之积等于 ,则下列说法正确的是( ) A.双曲线 的渐近线方程为 B.若 ,且 ,则 C.分别以线段 、 为直径的两个圆内切 D. 【答案】ACD 【分析】通过 求得 ,从而求得双曲线的渐近线方程,由此判断A选项的正确性;结合三角 形 的面积以及双曲线的定义求得 ,由此判断B选项的正确性;通过圆心距和两个圆半径间的关系 判断C选项的正确性;结合二倍角的正切公式来判断D选项的正确性. 【详解】对于A选项,设点 ,则 ,因为 、 ,所以 , 由 ,得 ,故双曲线 的渐近线方程为 ,A对; 对于B选项,因为 ,所以 , 根据双曲线的定义可得 , 又因为 ,所以 ,整理得 . 由 ,可得 , 即 ,解得 ,B错; 对于C,设 的中点为 , 为原点.因为 、 分别为 、 的中点, 所以 , 则可知以线段 、 为直径的两个圆内切,C对; 对于D,当点 在第一象限时,设点 ,则 , . 因为渐近线方程为 ,所以 , . 当 时,即当 轴时,则 , 所以, ,可得 ,所以, , 此时, 为等腰直角三角形,则 ,满足 ; 当 时, , , 所以 , 因为 ,所以 ; 当点 在第四象限时,同理可得 , 综上可知,D对. 故选:ACD. 【点睛】方法点睛:求定值问题常见的方法有两种: (1)从特殊入手,求出定值,再证明这个值与变量无关; (2)直接推理、计算,并在计算推理的过程中消去变量,从而得到定值. 三、填空题 10.已知 、 分别为双曲线 的左、右焦点,若点 到该双曲线的渐近线的距离为2, 点 在双曲线上,且 ,则三角形 的面积为 .【答案】 【分析】由点 到该双曲线的渐近线的距离为2,可得 的值,再依据双曲线定义和 ,可得 的值,由三角形面积公式可得三角形 的面积. 【详解】双曲线 的渐近线的方程为 ,右焦点 由点 到该双曲线的渐近线的距离为2可得, ,则 由 ,可得 则三角形 的面积为 故答案为: 11.已知双曲线 : 的左右焦点分别为 , ,点 在 上,满足 为直角三 角形,作 于点 (其中 为坐标原点),且有 ,则 的离心率为 . 【答案】 【分析】根据题意分析可得 ,根据双曲线的定义结合通径以及三角形相似列式求解即可. 【详解】由题意可知:显然 , 若 ,则 // , 因为 为 的中点,则点 为 的中点,这与 相矛盾,不合题意; 所以 ,可得 ,因为 ,则 ,即 , 整理得 ,解得 或 (舍去), 所以 的离心率为 . 故答案为: . 【点睛】方法点睛:双曲线离心率(离心率范围)的求法 求双曲线的离心率或离心率的范围,关键是根据已知条件确定a,b,c的等量关系或不等关系,然后把b 用a,c代换,求e的值. 12.在直角平面坐标系 中, 分别是双曲线 的左、右焦点,过点 作圆 的切线,与双曲线左、右两支分别交于点 ,若 ,则 的值是 . 【答案】 【分析】根据双曲线的定义可得 ,在△ 中应用余弦定理可得 ,注意其符 号判断c的范围,再根据直线与圆相切可得 ,构造方程求参数c,进而求b. 【详解】由题设, ,又 ,则 ,在△ 中 ,则 ,即 , 又直线 与 相切,则 , 综上, ,解得 ,而 ,则 , 所以 ,可得 . 故答案为: . 【点睛】关键点点睛:注意应用余弦定理求 关于椭圆参数的表达式,再由直线与圆的相切关系 得到另一个 关于椭圆参数的表达式,联立求参数. 13.设直线 与双曲线 两条渐近线分别交于点 , ,若点 满足 ,则该双曲线的渐近线方程是 . 【答案】 【分析】如图,取 的中点 ,利用 得到直线 是 直线 的垂直平分线,又由于 , 两点在 渐近线上,可以运用点差法求出直线 的斜率表达式,再分别运用点 在直线 上以及 直线 与直线 的斜率乘积为 , 得出 的值,进而求得渐近线方程. 【详解】 如图,由双曲线 得到渐近线的方程为 ; 即双曲线的两条渐近线合并为 ; 设 , 的中点为 , 则 , ; 两式相减可得 ,即 ; …………… ① 又点 在直线 上,则 ……… ② 由 ,则 ,则 …………… ③ 联立②,③可得 , ; 将 代入①可得 ; 所以渐近线的方程为 ; 故答案为: .14.已知 , 分别是双曲线 , 的左、右焦点,双曲线上有一点 ,满足 ,且 ,则该双曲线离心率的取值范围是 【答案】 . 【分析】根据题意,通过双曲线的定义和余弦定理求出 的关系,进而根据离心率的定义求得答案. 【详解】如示意图, 设 ,由双曲线的定义可得: ,而 ,由余弦定理: ,于是 . 记 ,而 ,由对勾函数的性质可知, 函数 在 上单调递减,则函数 在 上单调递增,所以, ,即 . 故答案为: . 15.已知 分别为双曲线 的两个焦点, 上的点 到原点的距离为 ,且 ,则双曲线 的渐近线方程为 . 【答案】 【分析】作出图像结合图像分析,由 及正弦定理,双曲线定义可得 ,根据图形得 ,将余弦值表示出来化简即可得出得 ,进而 得双曲线 的渐近线方程. 【详解】解:由 及正弦定理可得 根据双曲线定义可得 又 ,所以 在 中由余弦定理可得 化简得 ,所以 ,所以双曲线 的渐近线方程为 故答案为:【点睛】求解双曲线离心率、渐近线、标准方程问题策略: (1)求双曲线的离心率时,将提供的双曲线的几何关系转化为关于双曲线基本量 的方程或不等式, 利用 和 转化为关于 的方程(或不等式),通过解方程(或不等式)求得离心率的值(或范围); (2)求渐近线时,利用 转化为关于 的方程.双曲线渐近线的斜率与离心率的关系: ; (3)求双曲线的方程时,将已知条件中的双曲线的几何性质和几何关系转化为关于 的关系式,结合 ,列出未知参数的方程,解方程后即可求出双曲线方程.