当前位置:首页>文档>第41讲椭圆及其性质(精讲)一轮复习讲义2024年高考数学高频考点题型归纳与方法总结(新高考通用)解析版_新高考复习资料_2024年新高考资料_一轮复习资料

第41讲椭圆及其性质(精讲)一轮复习讲义2024年高考数学高频考点题型归纳与方法总结(新高考通用)解析版_新高考复习资料_2024年新高考资料_一轮复习资料

  • 2026-04-24 00:26:14 2026-04-24 00:26:14

文档预览

第41讲椭圆及其性质(精讲)一轮复习讲义2024年高考数学高频考点题型归纳与方法总结(新高考通用)解析版_新高考复习资料_2024年新高考资料_一轮复习资料
第41讲椭圆及其性质(精讲)一轮复习讲义2024年高考数学高频考点题型归纳与方法总结(新高考通用)解析版_新高考复习资料_2024年新高考资料_一轮复习资料
第41讲椭圆及其性质(精讲)一轮复习讲义2024年高考数学高频考点题型归纳与方法总结(新高考通用)解析版_新高考复习资料_2024年新高考资料_一轮复习资料
第41讲椭圆及其性质(精讲)一轮复习讲义2024年高考数学高频考点题型归纳与方法总结(新高考通用)解析版_新高考复习资料_2024年新高考资料_一轮复习资料
第41讲椭圆及其性质(精讲)一轮复习讲义2024年高考数学高频考点题型归纳与方法总结(新高考通用)解析版_新高考复习资料_2024年新高考资料_一轮复习资料
第41讲椭圆及其性质(精讲)一轮复习讲义2024年高考数学高频考点题型归纳与方法总结(新高考通用)解析版_新高考复习资料_2024年新高考资料_一轮复习资料
第41讲椭圆及其性质(精讲)一轮复习讲义2024年高考数学高频考点题型归纳与方法总结(新高考通用)解析版_新高考复习资料_2024年新高考资料_一轮复习资料
第41讲椭圆及其性质(精讲)一轮复习讲义2024年高考数学高频考点题型归纳与方法总结(新高考通用)解析版_新高考复习资料_2024年新高考资料_一轮复习资料
第41讲椭圆及其性质(精讲)一轮复习讲义2024年高考数学高频考点题型归纳与方法总结(新高考通用)解析版_新高考复习资料_2024年新高考资料_一轮复习资料
第41讲椭圆及其性质(精讲)一轮复习讲义2024年高考数学高频考点题型归纳与方法总结(新高考通用)解析版_新高考复习资料_2024年新高考资料_一轮复习资料
第41讲椭圆及其性质(精讲)一轮复习讲义2024年高考数学高频考点题型归纳与方法总结(新高考通用)解析版_新高考复习资料_2024年新高考资料_一轮复习资料
第41讲椭圆及其性质(精讲)一轮复习讲义2024年高考数学高频考点题型归纳与方法总结(新高考通用)解析版_新高考复习资料_2024年新高考资料_一轮复习资料
第41讲椭圆及其性质(精讲)一轮复习讲义2024年高考数学高频考点题型归纳与方法总结(新高考通用)解析版_新高考复习资料_2024年新高考资料_一轮复习资料
第41讲椭圆及其性质(精讲)一轮复习讲义2024年高考数学高频考点题型归纳与方法总结(新高考通用)解析版_新高考复习资料_2024年新高考资料_一轮复习资料
第41讲椭圆及其性质(精讲)一轮复习讲义2024年高考数学高频考点题型归纳与方法总结(新高考通用)解析版_新高考复习资料_2024年新高考资料_一轮复习资料
第41讲椭圆及其性质(精讲)一轮复习讲义2024年高考数学高频考点题型归纳与方法总结(新高考通用)解析版_新高考复习资料_2024年新高考资料_一轮复习资料
第41讲椭圆及其性质(精讲)一轮复习讲义2024年高考数学高频考点题型归纳与方法总结(新高考通用)解析版_新高考复习资料_2024年新高考资料_一轮复习资料
第41讲椭圆及其性质(精讲)一轮复习讲义2024年高考数学高频考点题型归纳与方法总结(新高考通用)解析版_新高考复习资料_2024年新高考资料_一轮复习资料
第41讲椭圆及其性质(精讲)一轮复习讲义2024年高考数学高频考点题型归纳与方法总结(新高考通用)解析版_新高考复习资料_2024年新高考资料_一轮复习资料
第41讲椭圆及其性质(精讲)一轮复习讲义2024年高考数学高频考点题型归纳与方法总结(新高考通用)解析版_新高考复习资料_2024年新高考资料_一轮复习资料
第41讲椭圆及其性质(精讲)一轮复习讲义2024年高考数学高频考点题型归纳与方法总结(新高考通用)解析版_新高考复习资料_2024年新高考资料_一轮复习资料
第41讲椭圆及其性质(精讲)一轮复习讲义2024年高考数学高频考点题型归纳与方法总结(新高考通用)解析版_新高考复习资料_2024年新高考资料_一轮复习资料
第41讲椭圆及其性质(精讲)一轮复习讲义2024年高考数学高频考点题型归纳与方法总结(新高考通用)解析版_新高考复习资料_2024年新高考资料_一轮复习资料
第41讲椭圆及其性质(精讲)一轮复习讲义2024年高考数学高频考点题型归纳与方法总结(新高考通用)解析版_新高考复习资料_2024年新高考资料_一轮复习资料
第41讲椭圆及其性质(精讲)一轮复习讲义2024年高考数学高频考点题型归纳与方法总结(新高考通用)解析版_新高考复习资料_2024年新高考资料_一轮复习资料
第41讲椭圆及其性质(精讲)一轮复习讲义2024年高考数学高频考点题型归纳与方法总结(新高考通用)解析版_新高考复习资料_2024年新高考资料_一轮复习资料
第41讲椭圆及其性质(精讲)一轮复习讲义2024年高考数学高频考点题型归纳与方法总结(新高考通用)解析版_新高考复习资料_2024年新高考资料_一轮复习资料
第41讲椭圆及其性质(精讲)一轮复习讲义2024年高考数学高频考点题型归纳与方法总结(新高考通用)解析版_新高考复习资料_2024年新高考资料_一轮复习资料
第41讲椭圆及其性质(精讲)一轮复习讲义2024年高考数学高频考点题型归纳与方法总结(新高考通用)解析版_新高考复习资料_2024年新高考资料_一轮复习资料
第41讲椭圆及其性质(精讲)一轮复习讲义2024年高考数学高频考点题型归纳与方法总结(新高考通用)解析版_新高考复习资料_2024年新高考资料_一轮复习资料
第41讲椭圆及其性质(精讲)一轮复习讲义2024年高考数学高频考点题型归纳与方法总结(新高考通用)解析版_新高考复习资料_2024年新高考资料_一轮复习资料
第41讲椭圆及其性质(精讲)一轮复习讲义2024年高考数学高频考点题型归纳与方法总结(新高考通用)解析版_新高考复习资料_2024年新高考资料_一轮复习资料
第41讲椭圆及其性质(精讲)一轮复习讲义2024年高考数学高频考点题型归纳与方法总结(新高考通用)解析版_新高考复习资料_2024年新高考资料_一轮复习资料
第41讲椭圆及其性质(精讲)一轮复习讲义2024年高考数学高频考点题型归纳与方法总结(新高考通用)解析版_新高考复习资料_2024年新高考资料_一轮复习资料
第41讲椭圆及其性质(精讲)一轮复习讲义2024年高考数学高频考点题型归纳与方法总结(新高考通用)解析版_新高考复习资料_2024年新高考资料_一轮复习资料
第41讲椭圆及其性质(精讲)一轮复习讲义2024年高考数学高频考点题型归纳与方法总结(新高考通用)解析版_新高考复习资料_2024年新高考资料_一轮复习资料
第41讲椭圆及其性质(精讲)一轮复习讲义2024年高考数学高频考点题型归纳与方法总结(新高考通用)解析版_新高考复习资料_2024年新高考资料_一轮复习资料
第41讲椭圆及其性质(精讲)一轮复习讲义2024年高考数学高频考点题型归纳与方法总结(新高考通用)解析版_新高考复习资料_2024年新高考资料_一轮复习资料
第41讲椭圆及其性质(精讲)一轮复习讲义2024年高考数学高频考点题型归纳与方法总结(新高考通用)解析版_新高考复习资料_2024年新高考资料_一轮复习资料
第41讲椭圆及其性质(精讲)一轮复习讲义2024年高考数学高频考点题型归纳与方法总结(新高考通用)解析版_新高考复习资料_2024年新高考资料_一轮复习资料
第41讲椭圆及其性质(精讲)一轮复习讲义2024年高考数学高频考点题型归纳与方法总结(新高考通用)解析版_新高考复习资料_2024年新高考资料_一轮复习资料
第41讲椭圆及其性质(精讲)一轮复习讲义2024年高考数学高频考点题型归纳与方法总结(新高考通用)解析版_新高考复习资料_2024年新高考资料_一轮复习资料
第41讲椭圆及其性质(精讲)一轮复习讲义2024年高考数学高频考点题型归纳与方法总结(新高考通用)解析版_新高考复习资料_2024年新高考资料_一轮复习资料
第41讲椭圆及其性质(精讲)一轮复习讲义2024年高考数学高频考点题型归纳与方法总结(新高考通用)解析版_新高考复习资料_2024年新高考资料_一轮复习资料
第41讲椭圆及其性质(精讲)一轮复习讲义2024年高考数学高频考点题型归纳与方法总结(新高考通用)解析版_新高考复习资料_2024年新高考资料_一轮复习资料
第41讲椭圆及其性质(精讲)一轮复习讲义2024年高考数学高频考点题型归纳与方法总结(新高考通用)解析版_新高考复习资料_2024年新高考资料_一轮复习资料
第41讲椭圆及其性质(精讲)一轮复习讲义2024年高考数学高频考点题型归纳与方法总结(新高考通用)解析版_新高考复习资料_2024年新高考资料_一轮复习资料
第41讲椭圆及其性质(精讲)一轮复习讲义2024年高考数学高频考点题型归纳与方法总结(新高考通用)解析版_新高考复习资料_2024年新高考资料_一轮复习资料
第41讲椭圆及其性质(精讲)一轮复习讲义2024年高考数学高频考点题型归纳与方法总结(新高考通用)解析版_新高考复习资料_2024年新高考资料_一轮复习资料
第41讲椭圆及其性质(精讲)一轮复习讲义2024年高考数学高频考点题型归纳与方法总结(新高考通用)解析版_新高考复习资料_2024年新高考资料_一轮复习资料

文档信息

文档格式
docx
文档大小
2.400 MB
文档页数
46 页
上传时间
2026-04-24 00:26:14

文档内容

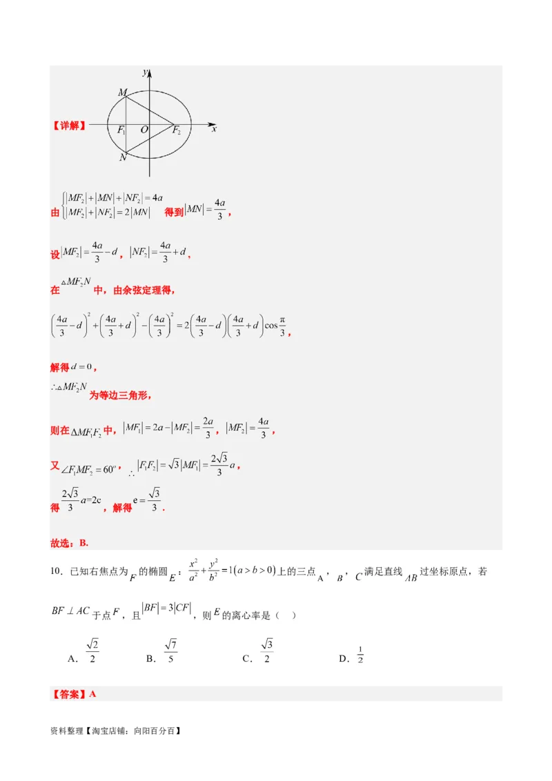
【一轮复习讲义】2024年高考数学高频考点题型归纳与方法总结(新高考通用) 第 41 讲 椭圆及其性质(精讲) 题型目录一览 ①椭圆的定义及其应用 ②求椭圆的标准方程 ③椭圆的几何性质 ④椭圆的离心率 一、知识点梳理 一、椭圆的定义 平面内与两个定点 的距离之和等于常数 ( )的点的轨迹叫做椭圆,这两个定点叫做椭 圆的焦点,两焦点的距离叫做椭圆的焦距,记作 ,定义用集合语言表示为: 注意:当 时,点的轨迹是线段;当 时,点的轨迹不存在. 二、椭圆的方程、图形与性质 焦点的位 焦点在 轴上 焦点在 轴上 置 图形 标准方程 统一方程 参数方程 资料整理【淘宝店铺:向阳百分百】第一定义 到两定点 的距离之和等于常数2 ,即 ( ) 范围 且 且 、 、 顶点 、 、 轴长 长轴长 ,短轴长 长轴长 ,短轴长 对称性 关于 轴、 轴对称,关于原点中心对称 焦点 、 、 焦距 离心率 对于过椭圆上一点 的切线方程,只需将椭圆方程中 换为 , 换为 可得 焦半径最大值 ,最小值 【常用结论】 过椭圆的焦点与椭圆的长轴垂直的直线被椭圆所截得的线段称为椭圆的通径,其长为 . 1. ①椭圆上到中心距离最小的点是短轴的两个端点,到中心距离最大的点是长轴的两个端点. ②椭圆上到焦点距离最大和最小的点是长轴的两个端点. 距离的最大值为 ,距离的最小值为 . 2.椭圆的切线 ①椭圆 上一点 处的切线方程是 ; ②过椭圆 外一点 ,所引两条切线的切点弦方程是 ; ③椭圆 与直线 相切的条件是 . 二、题型分类精讲 题型 一 椭圆的定义及其应用 策略方法 椭圆定义的应用类型及方法 资料整理【淘宝店铺:向阳百分百】(1)探求轨迹:确认平面内与两定点有关的轨迹是不是椭圆. (2)应用定义转化:涉及焦半径的问题,常利用|PF |+|PF |=2a实现等量转换. 1 2 (3)焦点三角形问题:常把正、余弦定理同椭圆定义相结合,求焦点、三角形的面积等问题. 【典例1】(单选题)椭圆 的两个焦点分别为 ,过 的直线交椭圆于A、B两点,则 的周长是( ) A.10 B.12 C.16 D.20 【答案】D 【分析】根据椭圆定义进行求解. 【详解】由题意得 , 由椭圆定义可知, , 所以 的周长为 . 故选:D 【题型训练】 一、单选题 资料整理【淘宝店铺:向阳百分百】1.方程 的化简结果是( ) A. B. C. D. 【答案】C 【分析】由方程的几何意义及椭圆定义得出结果即可. 【详解】方程的几何意义为动点 到定点 和 的距离和为10,并且 , 所以动点的轨迹为以两个定点为焦点,定值为 的椭圆,所以 , , 根据 ,所以椭圆方程为 . 故选:C. 2.已知点P为椭圆 上的一点, , 为该椭圆的两个焦点,若 ,则 ( ) A. B. C.1 D.3 【答案】C 【分析】利用椭圆的定义进行求解. 【详解】因为点P为椭圆 上的一点,所以 ,因为 ,所以 . 故选:C. 3.椭圆 的两个焦点分别为 ,过 的直线交椭圆于A、B两点,则 的周长是( ) A.10 B.12 C.16 D.20 【答案】D 【分析】根据椭圆定义进行求解. 【详解】由题意得 , 由椭圆定义可知, , 所以 的周长为 . 资料整理【淘宝店铺:向阳百分百】故选:D 4.已知椭圆 为两个焦点, 为椭圆 上一点,若 的周长为4,则 ( ) A.2 B.3 C. D. 【答案】D 【分析】根据椭圆的方程可得 的关系,结合 的周长,列方程求解,即得答案. 【详解】设椭圆 的焦距为 ,则 , 的周长为 ,解得 , 故选:D 5.已知 是椭圆 的两个焦点,点M在C上,则 的最大值为( ) A.8 B.9 C.16 D.18 【答案】C 【分析】利用椭圆的定义和基本不等式求解. 【详解】由椭圆的定义可得 , 资料整理【淘宝店铺:向阳百分百】所以由基本不等式可得 , 当且仅当 时取得等号, 故选:C. 6.已知 的顶点 在椭圆 上,顶点 是椭圆的一个焦点,且椭圆的另外一个焦点在 边上,则 的周长是( ) A.12 B. C.16 D.10 【答案】C 【分析】利用椭圆的定义求解即可. 【详解】设椭圆的另外一个焦点为 ,如图, 则 的周长为 , 故选:C. 7.已知椭圆 的左、右焦点分别为 , ,点P是椭圆C上的动点, , , 则 的最小值为( ) A. B. C. D. 【答案】A 【分析】根据椭圆定义得 ,再利用基本不等式求解最值即可. 资料整理【淘宝店铺:向阳百分百】【详解】因为点P是椭圆 上的动点, , ,所以 , 所以 , 当且仅当 即 时,等号成立. 故选:A. 8.已知椭圆C: 的左、右焦点分别为 , ,A是C上一点, ,则 的最大值 为( ) A.7 B.8 C.9 D.11 【答案】A 【分析】根据椭圆的定义可得 ,利用 可求 的最大 值. 【详解】 设椭圆的半焦距为 ,则 , , 如图,连接 ,则 , 而 ,当且仅当 共线且 在 中间时等号成立, 故 的最大值为 . 故选:A. 9.已知 是椭圆 的左焦点,点 在 上, 在 上,则 的 最大值是( ) 资料整理【淘宝店铺:向阳百分百】A. B. C. D. 【答案】A 【分析】求得圆心坐标和半径,利用椭圆得到定义转化为 ,结合圆的性质, 求得 ,进而得到答案. 【详解】由 ,可得 , 可得圆 的圆心坐标为 ,半径 , 由椭圆 ,可得 , 设椭圆的右焦点为 ,根据椭圆的定义可得 , 所以 ,又由 , 如图所示,当点 四点共线时,即 时, 取得最小值, 最小值为 , 所以 . 故选:A. 二、填空题 资料整理【淘宝店铺:向阳百分百】10.若 , ,点P到 , 的距离之和为10,则点P的轨迹方程是 【答案】 【分析】根据椭圆的第一定义,得到 ,得到 ,进而计算求解,可 得答案. 【详解】因为 ,所以点 的轨迹是以 , 为焦点的椭圆,其中 ,故点P的轨迹方程为 . 故答案为: 11.已知椭圆 的左、右焦点分别为 , ,过 的直线交椭圆于A,B两点,若 ,则 . 【答案】10 【分析】根据椭圆的定义可得 ,结合题意即可求解. 【详解】因为 , , , 两式相加得 . 又 ,所以 . 故答案为:10. 12.已知椭圆 的左、右焦点分别为 、 ,若椭圆上的点 满足 ,则 【答案】 【分析】根据椭圆定义,得到 ,再由题中条件,即可得出结果. 【详解】由题意,在椭圆 中, , 资料整理【淘宝店铺:向阳百分百】又 ,所以 ,因此 . 故答案为: 【点睛】本题主要考查椭圆上的点到焦点的距离,熟记椭圆的定义即可,属于基础题型. 13.已知椭圆 的左、右焦点分别为F,F,点P在椭圆上,若线段PF 的中点在y轴上,|PF| 1 2 1 1 -|PF|= . 2 【答案】 【分析】因为线段 的中点在y轴上得 的长,进而求得 . 【详解】因为线段 的中点在y轴上,可得 轴,所以 轴, 所以 , , 所以 . 故答案为: . 14.设 是椭圆 的左焦点,P为椭圆上任一点,点Q的坐标为 ,则 的最大值为 . 【答案】11 【分析】先确定焦点的坐标,再利用椭圆的定义转化,结合线段差的特点可得答案. 【详解】由题意可得 , , 所以 , 因为 , 所以 ; 因为 , 资料整理【淘宝店铺:向阳百分百】所以 . 故答案为:11. 题型二 求椭圆的标准方程 策略方法 待定系数法求椭圆标准方程的一般步骤 【典例1】写出适合下列条件的椭圆的标准方程: (1)两个焦点在坐标轴上,且经过A( ,-2)和B(-2 ,1)两点; (2)a=4,c= ; (3)过点P(-3,2),且与椭圆 有相同的焦点. 【答案】(1) ;(2) 或 ;(3) . 【分析】(1)利用待定系数法求得椭圆方程; (2)求得 ,根据焦点所在坐标轴写出椭圆方程; 资料整理【淘宝店铺:向阳百分百】(3)首先求得 ,然后利用 点坐标求得 ,由此求得椭圆方程. 【详解】(1)设所求椭圆方程为mx2+ny2=1(m>0,n>0,m≠n), 由 和 两点在椭圆上可得 ,即 , 解得 . 故所求椭圆的标准方程为 . (2)因为a=4, 所以b2=a2-c2=1, 所以当焦点在x轴上时,椭圆的标准方程是 ;当焦点在y轴上时,椭圆的标准方程是 . (3)因为所求的椭圆与椭圆 的焦点相同,所以其焦点在x轴上,且c2=5. 设所求椭圆的标准方程为 . 因为所求椭圆过点P(-3,2),所以有 ① 又a2-b2=c2=5,② 由①②解得a2=15,b2=10. 故所求椭圆的标准方程为 . 【题型训练】 一、单选题 1.“ ”是“方程 表示椭圆”的( ) A.充分不必要条件 B.必要不充分条件 C.充要条件 D.既不充分也不必要条件 资料整理【淘宝店铺:向阳百分百】【答案】B 【分析】根据方程表示椭圆的条件求解. 【详解】方程 表示椭圆 , 所以“ ”是“方程 表示椭圆”的必要不充分条件, 故选:B. 2.设椭圆 的左、右焦点分别为 ,上顶点为B.若 ,则该椭圆的 方程为( ) A. B. C. D. 【答案】A 【分析】根据题意和椭圆的几何性质,得到 ,进而求得 的值,即可求解. 【详解】由椭圆的几何性质,因为 ,可得 , 所以 , ,则 ,所以椭圆的方程为 . 故选:A. 3.已知椭圆C的中心为坐标原点,焦点在y轴上,F,F 为C的两个焦点,C的短轴长为4,且C上存在 1 2 一点P,使得|PF|=6|PF|,则C的方程可能为( ) 1 2 A. + =1 B. + =1 C. + =1 D. + =1 【答案】A 【分析】由题 ,由 得a的取值范围,选出椭圆的方程. 【详解】因为 , ,可得 , 又因为 ,所以 ,平方可得 , 资料整理【淘宝店铺:向阳百分百】由题 ,所以 . 故选:A. 4.已知椭圆 的左、右焦点分别为 ,M为C上一点,若 的中点为 , 且 的周长为 ,则C的标准方程为( ) A. B. C. D. 【答案】A 【分析】根据 的周长可得 ,由 的中点坐标求得M坐标,代入椭圆方程可得 关系式,解方程可得 的值,即可求得答案 【详解】因为 的周长为 ,所以 ,则 , 又 , 的中点为 ,所以M的坐标为 , 故 ,则 , 结合 , ,解得 , 所以椭圆C的标准方程为 , 故选:A 5.已知椭圆C的焦点为 , .过点 的直线与C交于A,B两点.若 的周长为12, 则椭圆C的标准方程为( ) A. B. C. D. 【答案】B 【分析】根据已知条件求得 ,由此求得椭圆 的标准方程. 资料整理【淘宝店铺:向阳百分百】【详解】依题意 ,解得 , 由于椭圆的焦点在 轴上, 所以椭圆 的标准方程为 . 故选:B 6.已知直线 经过焦点在坐标轴上的椭圆的两个顶点,则该椭圆的方程为( ) A. B. C. D. 【答案】C 【分析】求出直线 与两坐标轴的焦点为 , .根据 ,可设椭圆的方程为 ,求出 即可. 【详解】令 ,可得 ;令 ,可得 . 则由已知可得,椭圆的两个顶点坐标为 , . 因为 ,所以椭圆的焦点在 轴上. 设椭圆的方程为 ,则 , , 所以椭圆的方程为 . 故选:C. 7.已知椭圆 : 右焦点为 ,其上下顶点分别为 , ,点 , ,则该椭圆的标准方程为( ) 资料整理【淘宝店铺:向阳百分百】A. B. C. D. 【答案】D 【分析】由椭圆的几何性质可知上下顶点坐标,再由向量数量积可得 ,即可得到答案. 【详解】根据题意可知, , ; 所以 , , 又 ,所以 ,可得 在椭圆中, ,又 ,所以 即椭圆的标准方程为 . 故选:D. 8.若椭圆 的中心为坐标原点、焦点在 轴上;顺次连接 的两个焦点、一个短轴顶点构成等边三角形, 顺次连接 的四个顶点构成四边形的面积为 ,则 的方程为( ) A. B. C. D. 【答案】A 【分析】由题可知, ,解之即可得a和b的值,从而求得椭圆的方程; 【详解】设椭圆的标准方程为 , 由题可知, ,解得 , , 故椭圆的标准方程为 . 资料整理【淘宝店铺:向阳百分百】故选:A. 9.阿基米德(公元前287年—公元前212年)不仅是著名的物理学家,也是著名的数学家,他利用“逼近 法”得到椭圆的面积除以圆周率等于椭圆的长半轴与短半轴的乘积.若椭圆C的对称轴为坐标轴,焦点在 y轴上,且椭圆C的离心率为 ,面积为 ,则椭圆C的方程为( ) A. B. C. D. 【答案】C 【分析】利用待定系数法求椭圆的标准方程. 【详解】可设椭圆 的方程为 , 由题意可得: ,解得: , 所以椭圆 的方程为 . 故选:C 二、填空题 10.已知椭圆C: + =1(a>b>0),若长轴长为6,且两焦点恰好将长轴三等分,则此椭圆的标 准方程为 . 【答案】 + =1 【分析】根据题意求得a=3,两焦点恰好将长轴三等分,求得c=1,从而写出椭圆方程. 【详解】椭圆长轴长为6,即2a=6,得a=3, ∵两焦点恰好将长轴三等分, ∴2c= ·2a=2,得c=1, 资料整理【淘宝店铺:向阳百分百】∴b2=a2-c2=9-1=8, ∴此椭圆的标准方程为 + =1. 故答案为: 11.若椭圆的两焦点分别为 , ,点P在椭圆上,且三角形 的面积的最大值为12,则 此椭圆方程是 . 【答案】 / 【分析】根据三角形 的面积的最大值求得 ,进而求得 ,从而求得椭圆方程. 【详解】依题意 ,椭圆焦点在 轴上, 三角形 的面积的最大值为 , 所以 , 所以椭圆方程为 . 故答案为: 12.若一个椭圆的长轴长2a,短轴长2b,焦距2c成等差数列,则 = . 【答案】 【分析】根据等差数列的性质和椭圆中 的关系列式,解关于a,c的方程得 ,从而 ,即 可得出答案. 【详解】 长轴长2a,短轴长2b,焦距2c成等差数列 ,即 ,平方得 ,即 化简得 ,即 ,解得 ,从而 因此, . 故答案为: . 资料整理【淘宝店铺:向阳百分百】13.已知 , 两点在对称轴为坐标轴的椭圆上,则椭圆的标准方程为 . 【答案】 【分析】讨论焦点在 轴和在 轴上两种情况,设出椭圆的标准方程,再利用条件建立方程组,求出 , 即可得到结果. 【详解】当焦点在 轴上时,设椭圆的标准方程为 , 又因 , 在椭圆上,所以 ,解得 , , 此时, ,故舍弃. 当焦点在 轴上时,设椭圆的标准方程为 , 又因 , 在椭圆上,所以 ,解得 , ,所以椭圆的标准方程为 . 故答案为: . 三、解答题 14.根据下列条件求椭圆的标准方程 (1)两个焦点的坐标分别是 、 ,椭圆上一点P到两焦点距离的和等于10; (2)两个焦点的坐标分别是 、 ,并且椭圆经过点 ; 资料整理【淘宝店铺:向阳百分百】(3)椭圆经过两点 , ; (4)离心率为 且过点 ; 【答案】(1) (2) (3) (4) 或 【分析】(1)依题意可得 、 ,即可求出 ,从而得解; (2)依题意可得 ,根据椭圆的定义及两点的距离公式求出 ,即可求出 ,从而得解; (3)设椭圆方程为 ,代入点的坐标得到方程组,求出参数的值,即可得解; (4)分焦点在 轴、 轴两种情况讨论,分别计算可得. 【详解】(1)依题意 、 ,所以 ,则 , 所以椭圆方程是 . (2)依题意椭圆的焦点在 轴上, .又椭圆经过点 , , 所以 ,则 , 椭圆方程是 . (3)设椭圆方程为 , 依题意可得 ,解得 ,所以椭圆方程是 . 资料整理【淘宝店铺:向阳百分百】(4)若焦点在 轴上,则 ,又离心率 ,所以 , 则 ,所以椭圆方程为 ; 若焦点在 轴上,则 ,又离心率 , , 解得 ,所以椭圆方程为 ; 综上可得,所求椭圆方程为 或 . 题型三 椭圆的几何性质 策略方法 利用椭圆几何性质求值或范围的思路 (1)将所求问题用椭圆上点的坐标表示,利用坐标范围构造函数或不等关系. (2)将所求范围用a,b,c表示,利用a,b,c自身的范围、关系求解. 【典例1】(单选题)已知 、 为椭圆 的左、右焦点,M为 上的点,则 面积的 最大值为( ) A. B.2 C. D.4 【答案】A 【分析】由于 为定值,所以当点 到 的距离最大时, 面积取得最大值,即当 与短轴 的一个端点重合时, 面积的最大 【详解】由 ,得 , 所以 , 由椭圆的性质可知当 与短轴的一个端点重合时, 面积的最大, 所以 面积的最大值为 资料整理【淘宝店铺:向阳百分百】, 故选:A 【题型训练】 一、单选题 1.椭圆 的短半轴长为( ) A. B. C. D. 【答案】B 【分析】根据椭圆方程确定短半轴长即可. 【详解】由椭圆方程知: ,即短半轴长为 . 故选:B 2.椭圆 的焦点坐标是( ) A. B. C. D. 【答案】C 【分析】由椭圆的标准方程求解即可. 【详解】由于椭圆标准方程为: . , ,所以 ,则 . 又 ,所以焦点在 轴上,故焦点坐标为: . 故选:C. 3.已知椭圆 : 的一个焦点的坐标为 ,则 ( ) A.1 B.2 C.5 D.9 【答案】A 【分析】根据焦点坐标得 ,根焦点在 轴,可以判断 , ,根据 可得. 资料整理【淘宝店铺:向阳百分百】【详解】由题意得, , 因焦点在 轴,所以 , , 由 得 ,解得 . 故选:A 4.国家体育场(又名鸟巢)将再次承办奥运会开幕式.在手工课上,张老师带领同学们一起制作了一个 近似鸟巢的金属模型,其俯视图可近似看成是两个大小不同,扁平程度相同的椭圆,已知大椭圆的长轴长 为40cm,短轴长为20cm,小椭圆的短轴长为10cm,则小椭圆的长轴长为( )cm A.30 B.10 C.20 D. 【答案】C 【分析】大椭圆的离心率等于小椭圆的离心率,据此即可求解. 【详解】在大椭圆中, , ,则 , . ∵两椭圆扁平程度相同,∴离心率相等,∴在小椭圆中, , 结合 ,得 ,∴小椭圆的长轴长为20. 故选:C 5.已知椭圆 的左,右焦点分别为 , , , 两点都在 上,且 , 关于坐标原点对 称,下列说法错误的是( ) A. 的最大值为 B. 为定值 C. 的焦距是短轴长的2倍 D.存在点 ,使得 资料整理【淘宝店铺:向阳百分百】【答案】C 【分析】由椭圆方程,结合椭圆的对称性、定义及余弦定理判断各项的正误即可. 【详解】由题意, , , ,所以 , , , 而 , ,所以A正确,C错误; 由椭圆的对称性知, ,所以B正确; 当 在 轴上时, ,则 为锐角, 所以存在点 ,使得 ,所以D正确. 故选:C 6.已知 是椭圆 上一点, 、 分别是椭圆的左、右焦点,若 的周长为 , 且椭圆的离心率为 ,则椭圆上的点到椭圆焦点的最小距离为( ) A. B. C. D. 【答案】B 【分析】由焦点三角形周长、椭圆离心率列方程求椭圆参数,结合椭圆性质即可确定椭圆上的点到椭圆焦 点的最小距离. 【详解】设椭圆的焦距为 ,且 的周长为 ,所以 , 椭圆的离心率为 ,则 , 综上, ,解得 ,则椭圆上的点到椭圆焦点的最小距离为 . 资料整理【淘宝店铺:向阳百分百】故选:B 7.已知椭圆 的左右焦点分别为 ,过 的直线交 于 两点,直线 交 轴于点 ,若 ,则椭圆 的焦距为( ) A. B. C. D. 【答案】A 【分析】由 且 ,得到 为 的中点,得出 轴,进而得到 为等边 三角形,求得 ,即可求解. 【详解】如图所示,因为 且 ,所以 为 的中点, 又因为 为 的中点, 轴,所以 轴, 所以 为等边三角形,所以 ,可得 ,解得 , 所以椭圆 的焦距为 . 故选:A. 8.点 在以 为焦点的椭圆 上,若线段 的中点在 轴上,则 是 的( ) A.3倍 B.4倍 C.5倍 D.7倍 【答案】D 资料整理【淘宝店铺:向阳百分百】【分析】根据线段 的中点M在y轴上,推出 轴,由此可设 ,代入椭圆方程求出 ,再 根据两点间的距离公式求出 和 可得解. 【详解】 由 可知 , ,所以 , 所以 , ∵线段 的中点M在y轴上,且原点O为线段 的中点, 所以 ,所以 轴 ∴可设 , 把 代入椭圆 ,得 . ∴ , . ∴ . 故选:D. 二、多选题 9.如图所示,“嫦娥五号”月球探测器飞行到月球附近时,首先在以月球球心F为圆心的圆形轨道Ⅰ上 绕月球飞行,然后在P点处变轨进入以F为一个焦点的椭圆轨道Ⅱ绕月球飞行,最后在Q点处变轨进入以 F为圆心的圆形轨道Ⅲ绕月球飞行,设圆形轨道Ⅰ的半径为R,圆形轨道Ⅲ的半径为r,则( ) 资料整理【淘宝店铺:向阳百分百】A.轨道Ⅱ的长轴长为 B.轨道Ⅱ的焦距为 C.若 不变, 越小,轨道Ⅱ的短轴长越大 D.若 不变, 越大,轨道Ⅱ的离心率越小 【答案】AB 【分析】根据椭圆中一个焦点与长轴两顶点的距离分别为 ,分别结合圆的半径R和r分析选项即 可求解. 【详解】设椭圆长轴 ,短轴 ,焦距 , 对于B,由椭圆的性质知, ,解得 , ,故A、B正确; 对于C,由上知 , 若R不变, 越小, 越小,轨道Ⅱ的短轴长越小,故C错误; 对于D,因为 , 若r不变,R越大,则 越小,所以 越大,轨道Ⅱ的离心率越大,故D错误. 故选:AB 10.如图所示,用一个与圆柱底面成θ( )角的平面截圆柱,截面是一个椭圆.若圆柱的底面圆 半径为2, ,则( ) 资料整理【淘宝店铺:向阳百分百】A.椭圆的长轴长等于4 B.椭圆的离心率为 C.椭圆的标准方程可以是 D.椭圆上的点到一个焦点的距离的最小值为 【答案】BCD 【分析】根据给定图形,求出椭圆长短半轴长a,b,再逐项计算、判断作答. 【详解】解:设椭圆的长半轴长为a,短半轴长为b,半焦距为c,椭圆长轴在圆柱底面上的投影为圆柱底 面圆直径, 则由截面与圆柱底面成锐二面角 得: ,解得a=4,A不正确; 显然b=2,则 ,离心率 ,B正确; 当以椭圆长轴所在直线为x轴,短轴所在直线为y轴建立平面直角坐标系时,椭圆的标准方程 , C正确; 椭圆上的点到焦点的距离的最小值为 ,D正确. 故选:BCD. 三、填空题 11.已知椭圆 的离心率为 ,则椭圆 的长轴长为 . 资料整理【淘宝店铺:向阳百分百】【答案】 【分析】根据椭圆的标准方程以及其离心率的定义,可得答案. 【详解】由椭圆 ,显然 ,则 , , , 由题意可得 ,解得 , 所以椭圆 的长轴长 . 故答案为: . 12.已知椭圆 的焦点在x轴上,且长轴长是短轴长的2倍,则 . 【答案】4 【分析】先将椭圆方程化为标准方程,然后求出长轴长和短轴长,再根据题意列方程可求得结果. 【详解】将椭圆方程化为标准形式为 ,所以长轴长为2,短轴长为 , 由题意得 ,解得 . 故答案为:4 13.设P是椭圆 上任意一点,F为C的右焦点, 的最小值为 ,则椭圆C的长 轴长为 . 【答案】 【分析】 的最小值为 ,即 ,解得答案. 【详解】 的最小值为 ,即 ,解得 ,长轴长为 . 故答案为: 14.椭圆 的内接正方形的周长为 . 资料整理【淘宝店铺:向阳百分百】【答案】 【分析】根据椭圆以及正方形的对称性可设一个顶点为 ,代入椭圆方程即可求解 ,进而可求周长. 【详解】根据椭圆和正方形的对称性,不妨设椭圆的内接正方形在第一象限的一个顶点为 , 则 ,所以周长为 , 故答案为: 15.椭圆 的四个顶点所围成的四边形的面积是 . 【答案】40 【分析】利用椭圆方程可写出四个顶点的坐标,即可求出围成的四边形的面积. 【详解】由椭圆方程可得椭圆的四个顶点分别为 , 故这四个顶点围成的四边形为菱形, 所以面积 . 故答案为:40 16.已知点(m,n)在椭圆8x2+3y2=24上,则m的取值范围是 . 【答案】 【分析】先把椭圆方程变为标准方程,再根据椭圆的范围求解. 【详解】因为点(m,n)在椭圆8x2+3y2=24上,即在椭圆 上, 资料整理【淘宝店铺:向阳百分百】所以点(m,n)满足椭圆的范围 , 因此 ,即 . 故答案为: . 17.在手工课上,王老师带领同学们一起制作了一个近似鸟巢的金属模型,其俯视图可近似看成是两个大 小不同、扁平程度相同的椭圆.已知大椭圆的长轴长为40 cm,短轴长为20 cm,小椭圆的短轴长为10 cm,则小椭圆的长轴长为 cm. 【答案】 【分析】根据两个椭圆的离心率相同列方程,化简求得正确答案. 【详解】设小椭圆的长半轴长为 , , 依题意, , 则 ,解得 , 所以小椭圆的长轴长为 . 故答案为: 题型四 椭圆的离心率 策略方法 求椭圆离心率或其范围的方法 解题的关键是借助图形建立关于a,b,c的关系式(等式或不等式),转化为e的关系式,常用 方法如下: (1)直接求出a,c,利用离心率公式e=求解. (2)由a与b的关系求离心率,利用变形公式e=求解. (3)构造a,c的齐次式.离心率e的求解中可以不求出a,c的具体值,而是得出a与c的关 系,从而求得e. 【典例1】(单选题)已知椭圆 ,其上顶点为 ,左、右焦点分别为 ,且三 资料整理【淘宝店铺:向阳百分百】角形 为等边三角形,则椭圆 的离心率为( ) A. B. C. D. 【答案】A 【分析】根据题意,结合椭圆离心率的定义,即可求求解. 【详解】如图所示,椭圆 ,其上顶点为 ,左、右焦点分别为 , 为等边三角形, 则椭圆 的离心率为 . 故选:A. 【题型训练】 一、单选题 1.已知椭圆 经过点 ,则椭圆 的离心率为( ) A. B. C. D. 【答案】A 【分析】将点 的坐标代入椭圆 的方程,求出 的值,可得出 、 、 ,由此可得出椭圆 的离心 率的值. 【详解】因为圆 经过点为 ,则 ,解得 , 故椭圆 的标准方程为 ,所以, , ,则 , 资料整理【淘宝店铺:向阳百分百】因此,椭圆 的离心率为 . 故选:A. 2.已知椭圆 的离心率为 ,则( ) A. B. C. D. 【答案】A 【分析】根据离心率的公式即可求解. 【详解】由 可得离心率为 ,又 ,所以 , 故选:A 3.直线l经过椭圆的两个顶点,若椭圆中心到l的距离为其长轴长的 ,则该椭圆的离心率为( ) A. B. C. D. 【答案】D 【分析】根据椭圆的性质求得直线l为 ,利用点线距离公式列方程求离心率即可. 【详解】不妨设椭圆为 且 , , 由椭圆对称性,令 过 ,则 ,即 , 所以 ,则 ,即 ,故 . 故选:D 4.已知椭圆 的焦点在 轴上,若焦距为4,则该椭圆的离心率为( ) A. B. C. D. 【答案】B 【分析】根据椭圆的焦点在 轴上,焦距为4,结合a,b,c之间的关系以及离心率公式可得答案. 资料整理【淘宝店铺:向阳百分百】【详解】由题得 ,即 , 由焦距为4得 ,解得 , 可得椭圆方程为 ,所以 , , 所以离心率为 . 故选:B. 5.已知 是椭圆 的左焦点,若过 的直线 与圆 相切,且 的倾斜角为 ,则椭圆的离心率是( ) A. B. C. D. 【答案】A 【分析】根据直线与圆相切的位置关系可构造 的齐次方程,结合椭圆 关系可求得离心率 . 【详解】由题意知: ,则直线 ,即 , 与圆 相切, ,即 , , , 椭圆的离心率 . 故选:A. 6.已知椭圆 的上顶点、右顶点、左焦点恰好是等腰三角形的三个顶点,则椭圆的 离心率为( ) A. B. C. D. 【答案】B 【分析】设椭圆 的上顶点、右顶点、左焦点分别为 ,依题意可得 ,结合 即 资料整理【淘宝店铺:向阳百分百】可求得椭圆的离心率. 【详解】设椭圆 的上顶点、右顶点、左焦点分别为 , 则 ,且 , 所以 , , , 依题意 为等腰三角形, , 所以 ,化简得 ,又 , 所以 ,即 , 解得 ,又 ,所以 , 即椭圆的离心率为 . 故选:B 7.已知椭圆 为椭圆的对称中心, 为椭圆的一个焦点, 为椭圆上一点, 轴, 与椭圆的另一个交点为点 为等腰直角三角形,则椭圆的离心率为( ) A. B. C. D. 【答案】B 【分析】根据题意确定 ,进而可得 ,即可求椭圆的离心率. 资料整理【淘宝店铺:向阳百分百】【详解】 如图,不妨设 , 因为点 在椭圆上,所以 ,解得 , 所以 , 又因为 为等腰直角三角形,所以 , 即 ,即 ,所以 , 解得 或 (舍), 故选:B. 8.已知椭圆 的左右焦点分别是 ,过 的直线交椭圆于 两点, 若 ( 为坐标原点), ,则椭圆 的离心率为( ) A. B. C. D. 【答案】B 【分析】首先根据题意设 ,得到 .根据 ,得到 ,根据勾股定理得 到 ,再求离心率即可. 【详解】如图所示: 资料整理【淘宝店铺:向阳百分百】设 ,因为 ,所以 . 又因为 ,所以 ,即 . 因为 ,所以 . 因为 ,所以 . 在 中, ,解得 , 即 ,所以 ,即 . 所以 , . 故选:B 9.已知椭圆C: 的左右焦点为 ,过 的直线与 交于 两点,若满足 成等差数列,且 ,则C的离心率为( ) A. B. C. D. 【答案】B 【分析】由椭圆定义可得 ,结合已知条件可得 ,在 中,由余弦定 理得 为等边三角形,在 中,可得 ,得解. 资料整理【淘宝店铺:向阳百分百】【详解】 由 得到 , 设 , , 在 中,由余弦定理得, , 解得 , 为等边三角形, 则在 中, , , 又 , , 得 ,解得 . 故选:B. 10.已知右焦点为 的椭圆 : 上的三点 , , 满足直线 过坐标原点,若 于点 ,且 ,则 的离心率是( ) A. B. C. D. 【答案】A 资料整理【淘宝店铺:向阳百分百】【分析】根据椭圆的对称性,结合平行四边形的判定定理和性质、椭圆的定义、勾股定理、椭圆的离心率 公式进行求解即可. 【详解】设椭圆左焦点为 ,连接 , , , 设 , ,结合椭圆对称性得 , 由椭圆定义得 , ,则 . 因为 , , 则四边形 为平行四边形, 则 ,而 ,故 , 则 ,即 , 整理得 ,在 中, , 即 ,即 , ∴ ,故 . 故选:A 【点睛】关键点睛:本题的关键是利用椭圆的对称性和定义. 11.椭圆 : 的左顶点为 ,点 , 是 上的任意两点,且关于 轴对称.若直线 , 的斜率之积为 ,则 的离心率为( ) 资料整理【淘宝店铺:向阳百分百】A. B. C. D. 【答案】C 【分析】设 ,则 ,根据斜率公式结合题意可得 ,再结合 可求出离 心率. 【详解】由题意得 ,设 , 因为点 , 是 上的任意两点,且关于 轴对称, 所以 , , 所以 , 所以 , 因为 ,所以 , 所以 , 所以离心率 , 故选:C 二、填空题 12.已知椭圆的一个焦点为 ,长轴长为 ,中心在坐标原点,则此椭圆的离心率为 . 资料整理【淘宝店铺:向阳百分百】【答案】 【分析】根据给定条件,利用椭圆离心率的定义计算作答. 【详解】依题意,椭圆的半焦距 ,长半轴长 , 所以该椭圆的离心率 . 故答案为: 13.已知椭圆 的三个顶点 构成等边三角形,则椭圆 的离心率是 . 【答案】 【分析】首先确定三个顶点的位置,再根据几何关系,建立方程,即可求离心率. 【详解】因为 ,所以三个顶点 应是两个短轴端点,一个长轴端点, 即 ,即 ,则 ,得 . 故答案为: 14.如图所示,F是椭圆的左焦点,P是椭圆上的一点, 轴, ∥ ,则椭圆的离心率为 . 【答案】 【分析】根据题意可得点P的坐标为 ,法一:由平行关系可得直线OP的方程为 ,代入 点P的坐标运算求解即可;法二:由平行关系可得 ,运算求解即可. 资料整理【淘宝店铺:向阳百分百】【详解】因为P是椭圆上一点,且 轴,则P点的坐标为 , 法一:设椭圆方程为 ,则 , , 可得 , 因为 ∥ ,则直线OP的斜率为 ,可得其方程为 , 可得 ,整理得 , 所以椭圆的离心率 ; 法二:设椭圆方程为 , , , 因为 ∥ ,则 , 可得 ,即 ,整理得 , 所以椭圆的离心率 . 故答案为: . 15.在以O为中心, 、 为焦点的椭圆上存在一点M,满足 ,则该椭圆的离心率 为 . 【答案】 【分析】根据题意结合椭圆定义可得 ,进而利用余弦定理列式求解. 【详解】因为 ,所以 , 因为 与 互补,且 , 资料整理【淘宝店铺:向阳百分百】由余弦定理可得 , 可得 ,所以 . 故选:C. 16.已知 , 为椭圆C: 的两个焦点,P,Q为C上关于坐标原点对称的两点,且 , ,则C的离心率为 . 【答案】 【分析】先利用题给条件列出关于 的齐次方程,解之即可求得椭圆C的离心率. 【详解】因为 , , 所以 , . 由 及椭圆的对称性可知,四边形 为矩形, 所以 ,则 , 化简得 ,则椭圆C的离心率 . 资料整理【淘宝店铺:向阳百分百】故答案为: 17.已知点F是椭圆 的右焦点,点P在椭圆上, 且 的最小值为3, 则椭圆C的离心率是 . 【答案】 【分析】若 是椭圆左焦点,数形结合及椭圆定义可得 ,结合已知和两点距离公式求椭 圆参数,进而可得离心率. 【详解】由 ,则 在椭圆内,若 是椭圆左焦点, 所以 , 仅当 共线且 在 之间时取等号,故 ,即 , 而 且 ,则 ,故 , 此时 ,故 . 故答案为: 资料整理【淘宝店铺:向阳百分百】18.已知 是椭圆 的左,右焦点, 上两点 满足 , 则 的离心率为 . 【答案】 【分析】根据所给线段的长度关系及椭圆的定义,求出 的边长,利用余弦定理求 ,在 中再由余弦定理即可求出离心率. 【详解】如图, 因为 ,所以可设 , 又 ,所以 , 由椭圆定义, ,即 , 又 ,即B点为短轴端点, 所以在 中, , 又在 中, , 解得 或 (舍去). 资料整理【淘宝店铺:向阳百分百】故答案为: 资料整理【淘宝店铺:向阳百分百】