当前位置:首页>文档>第41练椭圆及其性质(精练:基础+重难点)一轮复习讲义2024年高考数学高频考点题型归纳与方法总结(新高考通用)原卷版_2.2025数学总复习_2024年新高考资料_1.2024一轮复习

第41练椭圆及其性质(精练:基础+重难点)一轮复习讲义2024年高考数学高频考点题型归纳与方法总结(新高考通用)原卷版_2.2025数学总复习_2024年新高考资料_1.2024一轮复习

  • 2026-04-03 14:42:53 2026-03-25 18:22:20

文档预览

第41练椭圆及其性质(精练:基础+重难点)一轮复习讲义2024年高考数学高频考点题型归纳与方法总结(新高考通用)原卷版_2.2025数学总复习_2024年新高考资料_1.2024一轮复习
第41练椭圆及其性质(精练:基础+重难点)一轮复习讲义2024年高考数学高频考点题型归纳与方法总结(新高考通用)原卷版_2.2025数学总复习_2024年新高考资料_1.2024一轮复习
第41练椭圆及其性质(精练:基础+重难点)一轮复习讲义2024年高考数学高频考点题型归纳与方法总结(新高考通用)原卷版_2.2025数学总复习_2024年新高考资料_1.2024一轮复习
第41练椭圆及其性质(精练:基础+重难点)一轮复习讲义2024年高考数学高频考点题型归纳与方法总结(新高考通用)原卷版_2.2025数学总复习_2024年新高考资料_1.2024一轮复习
第41练椭圆及其性质(精练:基础+重难点)一轮复习讲义2024年高考数学高频考点题型归纳与方法总结(新高考通用)原卷版_2.2025数学总复习_2024年新高考资料_1.2024一轮复习
第41练椭圆及其性质(精练:基础+重难点)一轮复习讲义2024年高考数学高频考点题型归纳与方法总结(新高考通用)原卷版_2.2025数学总复习_2024年新高考资料_1.2024一轮复习
第41练椭圆及其性质(精练:基础+重难点)一轮复习讲义2024年高考数学高频考点题型归纳与方法总结(新高考通用)原卷版_2.2025数学总复习_2024年新高考资料_1.2024一轮复习
第41练椭圆及其性质(精练:基础+重难点)一轮复习讲义2024年高考数学高频考点题型归纳与方法总结(新高考通用)原卷版_2.2025数学总复习_2024年新高考资料_1.2024一轮复习
第41练椭圆及其性质(精练:基础+重难点)一轮复习讲义2024年高考数学高频考点题型归纳与方法总结(新高考通用)原卷版_2.2025数学总复习_2024年新高考资料_1.2024一轮复习
第41练椭圆及其性质(精练:基础+重难点)一轮复习讲义2024年高考数学高频考点题型归纳与方法总结(新高考通用)原卷版_2.2025数学总复习_2024年新高考资料_1.2024一轮复习
第41练椭圆及其性质(精练:基础+重难点)一轮复习讲义2024年高考数学高频考点题型归纳与方法总结(新高考通用)原卷版_2.2025数学总复习_2024年新高考资料_1.2024一轮复习
第41练椭圆及其性质(精练:基础+重难点)一轮复习讲义2024年高考数学高频考点题型归纳与方法总结(新高考通用)原卷版_2.2025数学总复习_2024年新高考资料_1.2024一轮复习
第41练椭圆及其性质(精练:基础+重难点)一轮复习讲义2024年高考数学高频考点题型归纳与方法总结(新高考通用)原卷版_2.2025数学总复习_2024年新高考资料_1.2024一轮复习
第41练椭圆及其性质(精练:基础+重难点)一轮复习讲义2024年高考数学高频考点题型归纳与方法总结(新高考通用)原卷版_2.2025数学总复习_2024年新高考资料_1.2024一轮复习

文档信息

文档格式
docx
文档大小
0.816 MB
文档页数
14 页
上传时间
2026-03-25 18:22:20

文档内容

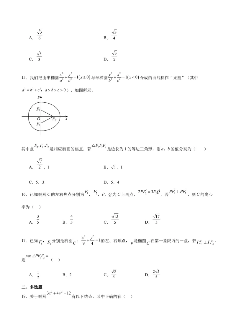
【一轮复习讲义】2024年高考数学高频考点题型归纳与方法总结(新高考通用) 第 41 练 椭圆及其性质(精练) 【A组 在基础中考查功底】 一、单选题 1.椭圆 的焦点坐标为( ) A. B. C. D. 2.已知椭圆 的离心率为 ,则( ) A. B. C. D. 3.已知焦点在 轴上的椭圆 的焦距为2,则 的值为( ) A. B. C.5 D.3 4.如果椭圆 上一点 到焦点 的距离等于6,那么点 到另一个焦点 的距离是( ). A.4 B.14 C.12 D.8 5.若点 满足方程 ,则动点M的轨迹方程为( ) A. B. C. D. 6.已知 是椭圆 的一个焦点,则实数 ( ) A.6 B. C.24 D. 7.已知椭圆 的焦点在 轴上,则实数 的取值范围是( ) A. B. C. D.8.已知椭圆 的左、右焦点分别为 ,点 在椭圆 上,则 的周长为( ) A. B. C. D. 9.设椭圆 , 的离心率分别为 , ,若 ,则 ( ) A.1 B.2 C. D. 10.已知 为椭圆 的两个焦点,过 的直线交椭圆于A,B两点,若 ,则 ( ) A.8 B.6 C.4 D.2 11.直线 与椭圆 总有公共点,则m的取值范围是( ) A. B. C. D. 12.已知椭圆 : 的离心率 ,短轴的右端点为 , 为线段 的中点, 则椭圆的标准方程为( ) A. B. C. D. 13.椭圆 的两焦点分别为 , 是椭圆 上一点,当 的面积取得最大 值时, ( ) A. B. C. D. 14.已知椭圆E: 与直线 相交于A,B两点,O是坐标原点,如果 是等边 三角形,那么椭圆E的离心率等于( )A. B. C. D. 15.我们把由半椭圆 与半椭圆 合成的曲线称作“果圆”(其中 ),如图所示, 其中点 是相应椭圆的焦点.若 是边长为1的等边三角形,则a,b的值分别为( ) A. ,1 B. ,1 C.5,3 D.5,4 16.已知椭圆C的左右焦点分别为 , ,P,Q为C上两点, ,若 ,则C的离心 率为( ) A. B. C. D. 17.已知 , 分别是椭圆 : 的左、右焦点, 是椭圆 在第一象限内的一点,若 , 则 ( ) A. B.2 C. D. 二、多选题 18.关于椭圆 有以下结论,其中正确的有( )A.离心率为 B.长轴长是 C.焦距2 D.焦点坐标为 19.已知方程 表示椭圆,下列说法正确的是( ) A.m的取值范围为 B.若该椭圆的焦点在y轴上,则 C.若 ,则该椭圆的焦距为4 D.若 ,则该椭圆经过点 20.已知 是椭圆 上一点, 是左、右焦点,下列选项中正确的是( ) A.椭圆的焦距为2 B.椭圆的离心率 C. D. 的面积的最大值是2 21.已知 是椭圆 的两个焦点,点P在椭圆E上,则( ) A.点 在x轴上 B.椭圆E的长轴长为4 C.椭圆E的离心率为 D.使得 为直角三角形的点P恰有6个 22.已知椭圆 , 为C的左、右焦点,P为C上一点,且 ,若 交C点于点 Q,则( ) A. 周长为8 B. C. 面积为 D. 23.设椭圆 的左、右焦点分别为 , , 是椭圆 上的动点,则下列结论正确的是( ) A.以线段 为直径的圆与直线 相切 B.△ 面积的最大值为C. D.离心率 三、填空题 24.写出一个焦距为3的椭圆的标准方程: . 25.在平面直角坐标系中,点 到点 、 的距离之和为 ,则点 的轨迹方程是 . 26.已知椭圆 的离心率为 ,则长轴与短轴的比值为 . 27.若椭圆 的离心率为 ,则椭圆 的长轴长为 . 28.已知 是椭圆 上一点,则离心率 . 29.椭圆 的内接正方形的周长为 . 30.一椭圆的短半轴长是 ,离心率是 ,焦点为 ,弦AB过 ,则 的周长为 . 31.已知 分别是双曲线 的左右焦点, 是 上的一点,且 ,则 的周长是 . 32.已知椭圆 , 是它的右焦点, 是它的左顶点, 为直线 上一点, 是底角为 的等腰三角形,则 的离心率为 . 33.椭圆 的四个顶点 构成菱形的内切圆恰好过焦点,则椭圆的离心率 . 34.已知 分别为椭圆 的左、右焦点,点P在椭圆上, (O为坐标原点) 是面积为 的正三角形,则此椭圆的方程为 . 35.椭圆的一个焦点到长轴两端点的距离之比为 ,短轴长为8,则椭圆的标准方程为 .36.设 和 为椭圆 的两个焦点,点 在椭圆上,且满足 ,则 的面积是 . 37.已知 是等边三角形, 、 分别是边 和 的中点.若椭圆以 、 为焦点,且经过 、 ,则椭圆的离心率等于 . 38.已知椭圆 的左、右两个顶点分别为A,B,点P是椭圆C上异于A,B的任意一点,则直 线PA,PB的斜率之积为 . 【B组 在综合中考查能力】 一、单选题 1.已知椭圆 的左,右两焦点为 和 ,P为椭圆上一点,且 ,则 ( ) A.8 B.12 C.16 D.64 2.已知点 ,动点 到直线 的距离为 ,则 的周长为( ) A.4 B.6 C. D. 3.设椭圆 的左、右焦点分别为 , , 是 上的动点,则下列四个结论正确的个数( ) ① ; ②离心率 ; ③ 面积的最大值为 ; ④以线段 为直径的圆与直线 相切. A.1 B.2 C.3 D.4 4.已知椭圆 的右焦点为 ,过点 的直线交椭圆于 两点,若 ,且 ,则 的方程为( ) A. B. C. D. 5.已知点 , 是椭圆 上关于原点对称的两点, , 分别是椭圆 的左、右焦点,若 ,则 ( ) A.1 B.2 C.4 D.5 6.已知椭圆 的右焦点为 ,过原点的直线 与 交于 两点,若 ,且 ,则 的离心率为( ) A. B. C. D. 7.已知椭圆E: 的右焦点为 ,左顶点为 ,若E上的点P满足 轴, ,则E的离心率为( ) A. B. C. D. 8.椭圆 的左右焦点为 , ,点P为椭圆上不在坐标轴上的一点,点M,N满足 , ,若四边形 的周长等于 ,则椭圆C的离心率为 ( ) A. B. C. D. 9.设点 、 分别是椭圆 的左、右焦点,点 、 在 上( 位于第一象限)且点 、 关于原点对称,若 , ,则 的离心率为( ) A. B. C. D. 二、多选题 10.已知 , 是椭圆 的左、右焦点,点 是椭圆上任意一点,则下列说法正确的是( ) A. B.椭圆的焦距为 C.点 到左焦点 距离的最大值为 D. 的最大值为 11.已知椭圆 ,若 在椭圆 上, 是椭圆 的左、右焦点,则下列说法正确的有 ( ) A.若 ,则 B. 面积的最大值为 C. 的最大值为 D.满足 是直角三角形的点 有 个 12.已知椭圆 的左、右焦点分别为 ,点 在 上,且 的最大值为3,最 小值为1,则( ) A.椭圆 的离心率为 B. 的周长为4 C.若 ,则 的面积为3 D.若 ,则 13. , 为椭圆 的两个焦点,椭圆 上存在点 ,使得 ,则椭圆 的方程可以是 ( ) A. B. C. D. 14.设点 , , 的坐标分别为 , , ,动点 满足:,给出下列四个命题: ①点 的轨迹方程为 ;② ; ③存在4个点 ,使得 的面积为 ;④ . 则正确命题的有( ) A.① B.② C.③ D.④ 15.已知 , 分别是椭圆C: 的左、右焦点,P是椭圆C上一点,则( ) A.当 时,满足 的点P有2个 B. 的周长一定小于 C. 的面积可以大于 D.若 恒成立,则C的离心率的取值范围是 16.已知椭圆 : ( ), , 分别为其左、右焦点,椭圆 的离心率为 ,点 在椭圆 上,点 在椭圆内部,则以下说法正确的是( ) A.离心率 的取值范围为 B.不存在点 ,使得 C.当 时, 的最大值为 D. 的最小值为1 17.已知双曲线 的焦点分别为 ,则下列结论正确的是( )A.渐近线方程为 B.双曲线 与椭圆 的离心率互为倒数 C.若双曲线 上一点 满足 ,则 的周长为28 D.若从双曲线 的左、右支上任取一点,则这两点的最短距离为6 三、填空题 18.过点 且与椭圆 有相同焦点的椭圆的标准方程为 . 19.已知椭圆 的左、右焦点分别为F,F,点P在椭圆上,若线段PF 的中点在y轴上,|PF| 1 2 1 1 -|PF|= . 2 20.设P是椭圆 上任意一点,F为C的右焦点, 的最小值为 ,则椭圆C的长 轴长为 . 21.已知椭圆的焦距不小于短轴长,则椭圆的离心率的取值范围为 . 22.已知 , 为椭圆 : 的两个焦点,P,Q为C上关于坐标原点对称的两点,且 ,则四边形 的面积为 . 23.已知椭圆 的右焦点为 ,过原点 的直线与椭圆 交于 、 两点,则 的最小 值为 . 24.已知椭圆 的方程为 分别为其左右焦点, 两点在椭圆上,且满足 ,若直线 的倾斜角为 ,且四边形 的面积为 ,则椭圆 的离心率为 . 25.已知椭圆 的左、右焦点分别为 , ,点 为 上关于坐标原点对称的两点,且 ,且四边形 的面积为 ,则 的离心率为 . 26.已知 是椭圆 的左,右焦点, 是椭圆上任意一点,过 引 的外角平分线的垂 线,垂足为 ,则 与短轴端点的最近距离为 . 27.设 , 分别是椭圆 的左,右焦点,过点 的直线交椭圆 于 , 两点,若 ,且 ,则椭圆 的离心率为 . 【C组 在创新中考查思维】 一、单选题 1.已知 为坐标原点,椭圆 : ,平行四边形 的三个顶点A, , 在椭圆 上,若直线 和 的斜率乘积为 ,四边形 的面积为 ,则椭圆 的方程为( ) A. B. C. D. 2.已知椭圆 , 为两个焦点,O为原点,P为椭圆上一点, ,则 ( ) A. B. C. D. 3.设椭圆 ( )的右焦点为F,椭圆C上的两点A、B关于原点对称,且满足 , ,则椭圆C的离心率的取值范围是( )A. B. C. D. 4.若椭圆 上存在一点 ,使得函数 图象上任意一点关于点 的对称 点仍在 的图象上,且椭圆 的长轴长大于2,则 的离心率的取值范围是( ) A. B. C. D. 5.椭圆 的内接四边形 的对角线 交于点 ,满足 , ,若直线 的斜率为 ,则椭圆的离心率等于( ) A. B. C. D. 6.动点 分别到两定点 连线的斜率的乘积为 ,设 的轨迹为曲线 分 别为曲线 的左、右焦点,则下列命题中错误是( ) A.曲线 的焦点坐标为 B.若 ,则 C. 的内切圆的面积的最大值为 D.设 ,则 的最小值为 二、多选题 7.已知正方形 中, , 是平面 外一点.设直线 与平面 所成角为 ,设三棱锥 的体积为 ,则下列命题正确的是( ) A.若 ,则 的最大值是 B.若 ,则 的最大值是C.若 ,则 的最大值是 D.若 ,则 的最大值是 8.已知椭圆 的短轴长为2,上顶点为A,左顶点为B, , 分别是椭圆的左、右焦 点,且 的面积为 ,点P为椭圆上的任意一点,则 的取值可以为( ). A.1 B. C. D. 9.已知P是椭圆 上的一动点,离心率为e,椭圆与x轴的交点分别为A、B,左、 右焦点分别为 , ,下列关于椭圆的四个结论中正确的是( ) A.若PA、PB的斜率存在且分别为 , ,则 B.若椭圆C上存在点M使 , C.若 的面积最大时, ,则 D.根据光学现象知道:从 发出的光线经过椭圆一次反射后恰好经过 .若一束光线从 发出经椭圆 反射,当光线第n次到达 时,光线通过的总路程为 三、填空题 10.已知椭圆 : 的左、右焦点分别为 , ,过点 且倾斜角为 的直线 与 交于A,B两点.若 的面积是 面积的2倍,则 的离心率为 .11.已知 、 为椭圆 的左、右焦点,点 为该椭圆上一点,且满足 , 若 的外接圆面积是其内切圆面积的64倍,则该椭圆的离心率为 . 12.已知椭圆 : 的左、右焦点分别为 , ,点 是椭圆 上任意一点,且 的取值范围为 .当点 不在 轴上时,设 的内切圆半径为 ,外接圆半径为 ,则 的最大值为 . 13.已知椭圆 的两个焦点为 .点 为 上关于坐标原点对称的两点,且 , 的面积 ,则 的离心率的取值范围为 .