当前位置:首页>文档>第42练直线与椭圆(精练:基础+重难点)一轮复习讲义2024年高考数学高频考点题型归纳与方法总结(新高考通用)解析版_2.2025数学总复习_2024年新高考资料_1.2024一轮复习

第42练直线与椭圆(精练:基础+重难点)一轮复习讲义2024年高考数学高频考点题型归纳与方法总结(新高考通用)解析版_2.2025数学总复习_2024年新高考资料_1.2024一轮复习

  • 2026-04-03 15:22:47 2026-03-25 18:33:48

文档预览

第42练直线与椭圆(精练:基础+重难点)一轮复习讲义2024年高考数学高频考点题型归纳与方法总结(新高考通用)解析版_2.2025数学总复习_2024年新高考资料_1.2024一轮复习
第42练直线与椭圆(精练:基础+重难点)一轮复习讲义2024年高考数学高频考点题型归纳与方法总结(新高考通用)解析版_2.2025数学总复习_2024年新高考资料_1.2024一轮复习
第42练直线与椭圆(精练:基础+重难点)一轮复习讲义2024年高考数学高频考点题型归纳与方法总结(新高考通用)解析版_2.2025数学总复习_2024年新高考资料_1.2024一轮复习
第42练直线与椭圆(精练:基础+重难点)一轮复习讲义2024年高考数学高频考点题型归纳与方法总结(新高考通用)解析版_2.2025数学总复习_2024年新高考资料_1.2024一轮复习
第42练直线与椭圆(精练:基础+重难点)一轮复习讲义2024年高考数学高频考点题型归纳与方法总结(新高考通用)解析版_2.2025数学总复习_2024年新高考资料_1.2024一轮复习
第42练直线与椭圆(精练:基础+重难点)一轮复习讲义2024年高考数学高频考点题型归纳与方法总结(新高考通用)解析版_2.2025数学总复习_2024年新高考资料_1.2024一轮复习
第42练直线与椭圆(精练:基础+重难点)一轮复习讲义2024年高考数学高频考点题型归纳与方法总结(新高考通用)解析版_2.2025数学总复习_2024年新高考资料_1.2024一轮复习
第42练直线与椭圆(精练:基础+重难点)一轮复习讲义2024年高考数学高频考点题型归纳与方法总结(新高考通用)解析版_2.2025数学总复习_2024年新高考资料_1.2024一轮复习
第42练直线与椭圆(精练:基础+重难点)一轮复习讲义2024年高考数学高频考点题型归纳与方法总结(新高考通用)解析版_2.2025数学总复习_2024年新高考资料_1.2024一轮复习
第42练直线与椭圆(精练:基础+重难点)一轮复习讲义2024年高考数学高频考点题型归纳与方法总结(新高考通用)解析版_2.2025数学总复习_2024年新高考资料_1.2024一轮复习
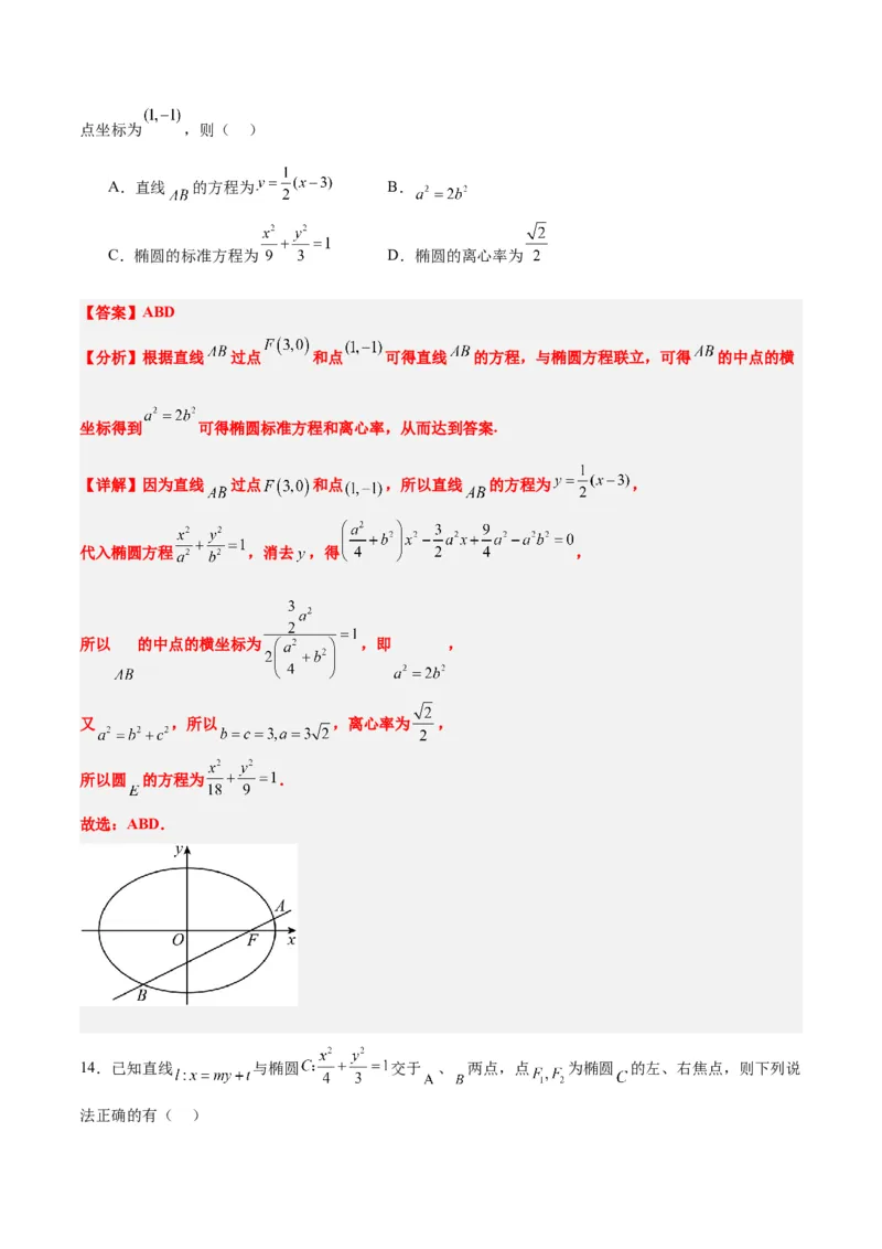
第42练直线与椭圆(精练:基础+重难点)一轮复习讲义2024年高考数学高频考点题型归纳与方法总结(新高考通用)解析版_2.2025数学总复习_2024年新高考资料_1.2024一轮复习
第42练直线与椭圆(精练:基础+重难点)一轮复习讲义2024年高考数学高频考点题型归纳与方法总结(新高考通用)解析版_2.2025数学总复习_2024年新高考资料_1.2024一轮复习
第42练直线与椭圆(精练:基础+重难点)一轮复习讲义2024年高考数学高频考点题型归纳与方法总结(新高考通用)解析版_2.2025数学总复习_2024年新高考资料_1.2024一轮复习
第42练直线与椭圆(精练:基础+重难点)一轮复习讲义2024年高考数学高频考点题型归纳与方法总结(新高考通用)解析版_2.2025数学总复习_2024年新高考资料_1.2024一轮复习
第42练直线与椭圆(精练:基础+重难点)一轮复习讲义2024年高考数学高频考点题型归纳与方法总结(新高考通用)解析版_2.2025数学总复习_2024年新高考资料_1.2024一轮复习
第42练直线与椭圆(精练:基础+重难点)一轮复习讲义2024年高考数学高频考点题型归纳与方法总结(新高考通用)解析版_2.2025数学总复习_2024年新高考资料_1.2024一轮复习
第42练直线与椭圆(精练:基础+重难点)一轮复习讲义2024年高考数学高频考点题型归纳与方法总结(新高考通用)解析版_2.2025数学总复习_2024年新高考资料_1.2024一轮复习
第42练直线与椭圆(精练:基础+重难点)一轮复习讲义2024年高考数学高频考点题型归纳与方法总结(新高考通用)解析版_2.2025数学总复习_2024年新高考资料_1.2024一轮复习
第42练直线与椭圆(精练:基础+重难点)一轮复习讲义2024年高考数学高频考点题型归纳与方法总结(新高考通用)解析版_2.2025数学总复习_2024年新高考资料_1.2024一轮复习
第42练直线与椭圆(精练:基础+重难点)一轮复习讲义2024年高考数学高频考点题型归纳与方法总结(新高考通用)解析版_2.2025数学总复习_2024年新高考资料_1.2024一轮复习
第42练直线与椭圆(精练:基础+重难点)一轮复习讲义2024年高考数学高频考点题型归纳与方法总结(新高考通用)解析版_2.2025数学总复习_2024年新高考资料_1.2024一轮复习
第42练直线与椭圆(精练:基础+重难点)一轮复习讲义2024年高考数学高频考点题型归纳与方法总结(新高考通用)解析版_2.2025数学总复习_2024年新高考资料_1.2024一轮复习
第42练直线与椭圆(精练:基础+重难点)一轮复习讲义2024年高考数学高频考点题型归纳与方法总结(新高考通用)解析版_2.2025数学总复习_2024年新高考资料_1.2024一轮复习
第42练直线与椭圆(精练:基础+重难点)一轮复习讲义2024年高考数学高频考点题型归纳与方法总结(新高考通用)解析版_2.2025数学总复习_2024年新高考资料_1.2024一轮复习
第42练直线与椭圆(精练:基础+重难点)一轮复习讲义2024年高考数学高频考点题型归纳与方法总结(新高考通用)解析版_2.2025数学总复习_2024年新高考资料_1.2024一轮复习
第42练直线与椭圆(精练:基础+重难点)一轮复习讲义2024年高考数学高频考点题型归纳与方法总结(新高考通用)解析版_2.2025数学总复习_2024年新高考资料_1.2024一轮复习
第42练直线与椭圆(精练:基础+重难点)一轮复习讲义2024年高考数学高频考点题型归纳与方法总结(新高考通用)解析版_2.2025数学总复习_2024年新高考资料_1.2024一轮复习
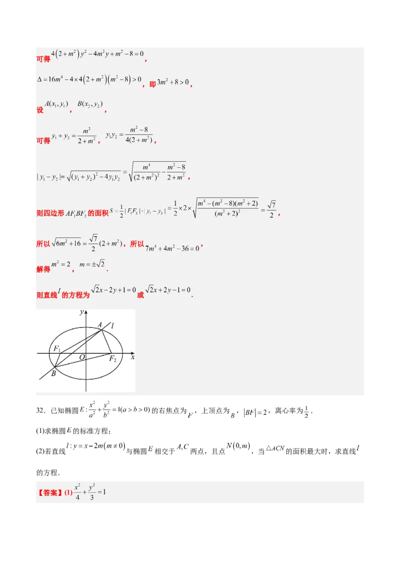
第42练直线与椭圆(精练:基础+重难点)一轮复习讲义2024年高考数学高频考点题型归纳与方法总结(新高考通用)解析版_2.2025数学总复习_2024年新高考资料_1.2024一轮复习
第42练直线与椭圆(精练:基础+重难点)一轮复习讲义2024年高考数学高频考点题型归纳与方法总结(新高考通用)解析版_2.2025数学总复习_2024年新高考资料_1.2024一轮复习
第42练直线与椭圆(精练:基础+重难点)一轮复习讲义2024年高考数学高频考点题型归纳与方法总结(新高考通用)解析版_2.2025数学总复习_2024年新高考资料_1.2024一轮复习
第42练直线与椭圆(精练:基础+重难点)一轮复习讲义2024年高考数学高频考点题型归纳与方法总结(新高考通用)解析版_2.2025数学总复习_2024年新高考资料_1.2024一轮复习
第42练直线与椭圆(精练:基础+重难点)一轮复习讲义2024年高考数学高频考点题型归纳与方法总结(新高考通用)解析版_2.2025数学总复习_2024年新高考资料_1.2024一轮复习
第42练直线与椭圆(精练:基础+重难点)一轮复习讲义2024年高考数学高频考点题型归纳与方法总结(新高考通用)解析版_2.2025数学总复习_2024年新高考资料_1.2024一轮复习
第42练直线与椭圆(精练:基础+重难点)一轮复习讲义2024年高考数学高频考点题型归纳与方法总结(新高考通用)解析版_2.2025数学总复习_2024年新高考资料_1.2024一轮复习
第42练直线与椭圆(精练:基础+重难点)一轮复习讲义2024年高考数学高频考点题型归纳与方法总结(新高考通用)解析版_2.2025数学总复习_2024年新高考资料_1.2024一轮复习
第42练直线与椭圆(精练:基础+重难点)一轮复习讲义2024年高考数学高频考点题型归纳与方法总结(新高考通用)解析版_2.2025数学总复习_2024年新高考资料_1.2024一轮复习
第42练直线与椭圆(精练:基础+重难点)一轮复习讲义2024年高考数学高频考点题型归纳与方法总结(新高考通用)解析版_2.2025数学总复习_2024年新高考资料_1.2024一轮复习
第42练直线与椭圆(精练:基础+重难点)一轮复习讲义2024年高考数学高频考点题型归纳与方法总结(新高考通用)解析版_2.2025数学总复习_2024年新高考资料_1.2024一轮复习
第42练直线与椭圆(精练:基础+重难点)一轮复习讲义2024年高考数学高频考点题型归纳与方法总结(新高考通用)解析版_2.2025数学总复习_2024年新高考资料_1.2024一轮复习
第42练直线与椭圆(精练:基础+重难点)一轮复习讲义2024年高考数学高频考点题型归纳与方法总结(新高考通用)解析版_2.2025数学总复习_2024年新高考资料_1.2024一轮复习
第42练直线与椭圆(精练:基础+重难点)一轮复习讲义2024年高考数学高频考点题型归纳与方法总结(新高考通用)解析版_2.2025数学总复习_2024年新高考资料_1.2024一轮复习
第42练直线与椭圆(精练:基础+重难点)一轮复习讲义2024年高考数学高频考点题型归纳与方法总结(新高考通用)解析版_2.2025数学总复习_2024年新高考资料_1.2024一轮复习
第42练直线与椭圆(精练:基础+重难点)一轮复习讲义2024年高考数学高频考点题型归纳与方法总结(新高考通用)解析版_2.2025数学总复习_2024年新高考资料_1.2024一轮复习
第42练直线与椭圆(精练:基础+重难点)一轮复习讲义2024年高考数学高频考点题型归纳与方法总结(新高考通用)解析版_2.2025数学总复习_2024年新高考资料_1.2024一轮复习
第42练直线与椭圆(精练:基础+重难点)一轮复习讲义2024年高考数学高频考点题型归纳与方法总结(新高考通用)解析版_2.2025数学总复习_2024年新高考资料_1.2024一轮复习
第42练直线与椭圆(精练:基础+重难点)一轮复习讲义2024年高考数学高频考点题型归纳与方法总结(新高考通用)解析版_2.2025数学总复习_2024年新高考资料_1.2024一轮复习
第42练直线与椭圆(精练:基础+重难点)一轮复习讲义2024年高考数学高频考点题型归纳与方法总结(新高考通用)解析版_2.2025数学总复习_2024年新高考资料_1.2024一轮复习
第42练直线与椭圆(精练:基础+重难点)一轮复习讲义2024年高考数学高频考点题型归纳与方法总结(新高考通用)解析版_2.2025数学总复习_2024年新高考资料_1.2024一轮复习
第42练直线与椭圆(精练:基础+重难点)一轮复习讲义2024年高考数学高频考点题型归纳与方法总结(新高考通用)解析版_2.2025数学总复习_2024年新高考资料_1.2024一轮复习
第42练直线与椭圆(精练:基础+重难点)一轮复习讲义2024年高考数学高频考点题型归纳与方法总结(新高考通用)解析版_2.2025数学总复习_2024年新高考资料_1.2024一轮复习
第42练直线与椭圆(精练:基础+重难点)一轮复习讲义2024年高考数学高频考点题型归纳与方法总结(新高考通用)解析版_2.2025数学总复习_2024年新高考资料_1.2024一轮复习
第42练直线与椭圆(精练:基础+重难点)一轮复习讲义2024年高考数学高频考点题型归纳与方法总结(新高考通用)解析版_2.2025数学总复习_2024年新高考资料_1.2024一轮复习
第42练直线与椭圆(精练:基础+重难点)一轮复习讲义2024年高考数学高频考点题型归纳与方法总结(新高考通用)解析版_2.2025数学总复习_2024年新高考资料_1.2024一轮复习
第42练直线与椭圆(精练:基础+重难点)一轮复习讲义2024年高考数学高频考点题型归纳与方法总结(新高考通用)解析版_2.2025数学总复习_2024年新高考资料_1.2024一轮复习
第42练直线与椭圆(精练:基础+重难点)一轮复习讲义2024年高考数学高频考点题型归纳与方法总结(新高考通用)解析版_2.2025数学总复习_2024年新高考资料_1.2024一轮复习
第42练直线与椭圆(精练:基础+重难点)一轮复习讲义2024年高考数学高频考点题型归纳与方法总结(新高考通用)解析版_2.2025数学总复习_2024年新高考资料_1.2024一轮复习
第42练直线与椭圆(精练:基础+重难点)一轮复习讲义2024年高考数学高频考点题型归纳与方法总结(新高考通用)解析版_2.2025数学总复习_2024年新高考资料_1.2024一轮复习
第42练直线与椭圆(精练:基础+重难点)一轮复习讲义2024年高考数学高频考点题型归纳与方法总结(新高考通用)解析版_2.2025数学总复习_2024年新高考资料_1.2024一轮复习
第42练直线与椭圆(精练:基础+重难点)一轮复习讲义2024年高考数学高频考点题型归纳与方法总结(新高考通用)解析版_2.2025数学总复习_2024年新高考资料_1.2024一轮复习
第42练直线与椭圆(精练:基础+重难点)一轮复习讲义2024年高考数学高频考点题型归纳与方法总结(新高考通用)解析版_2.2025数学总复习_2024年新高考资料_1.2024一轮复习
第42练直线与椭圆(精练:基础+重难点)一轮复习讲义2024年高考数学高频考点题型归纳与方法总结(新高考通用)解析版_2.2025数学总复习_2024年新高考资料_1.2024一轮复习
第42练直线与椭圆(精练:基础+重难点)一轮复习讲义2024年高考数学高频考点题型归纳与方法总结(新高考通用)解析版_2.2025数学总复习_2024年新高考资料_1.2024一轮复习
第42练直线与椭圆(精练:基础+重难点)一轮复习讲义2024年高考数学高频考点题型归纳与方法总结(新高考通用)解析版_2.2025数学总复习_2024年新高考资料_1.2024一轮复习
第42练直线与椭圆(精练:基础+重难点)一轮复习讲义2024年高考数学高频考点题型归纳与方法总结(新高考通用)解析版_2.2025数学总复习_2024年新高考资料_1.2024一轮复习
第42练直线与椭圆(精练:基础+重难点)一轮复习讲义2024年高考数学高频考点题型归纳与方法总结(新高考通用)解析版_2.2025数学总复习_2024年新高考资料_1.2024一轮复习
第42练直线与椭圆(精练:基础+重难点)一轮复习讲义2024年高考数学高频考点题型归纳与方法总结(新高考通用)解析版_2.2025数学总复习_2024年新高考资料_1.2024一轮复习
第42练直线与椭圆(精练:基础+重难点)一轮复习讲义2024年高考数学高频考点题型归纳与方法总结(新高考通用)解析版_2.2025数学总复习_2024年新高考资料_1.2024一轮复习
第42练直线与椭圆(精练:基础+重难点)一轮复习讲义2024年高考数学高频考点题型归纳与方法总结(新高考通用)解析版_2.2025数学总复习_2024年新高考资料_1.2024一轮复习
第42练直线与椭圆(精练:基础+重难点)一轮复习讲义2024年高考数学高频考点题型归纳与方法总结(新高考通用)解析版_2.2025数学总复习_2024年新高考资料_1.2024一轮复习
第42练直线与椭圆(精练:基础+重难点)一轮复习讲义2024年高考数学高频考点题型归纳与方法总结(新高考通用)解析版_2.2025数学总复习_2024年新高考资料_1.2024一轮复习
第42练直线与椭圆(精练:基础+重难点)一轮复习讲义2024年高考数学高频考点题型归纳与方法总结(新高考通用)解析版_2.2025数学总复习_2024年新高考资料_1.2024一轮复习
第42练直线与椭圆(精练:基础+重难点)一轮复习讲义2024年高考数学高频考点题型归纳与方法总结(新高考通用)解析版_2.2025数学总复习_2024年新高考资料_1.2024一轮复习
第42练直线与椭圆(精练:基础+重难点)一轮复习讲义2024年高考数学高频考点题型归纳与方法总结(新高考通用)解析版_2.2025数学总复习_2024年新高考资料_1.2024一轮复习
第42练直线与椭圆(精练:基础+重难点)一轮复习讲义2024年高考数学高频考点题型归纳与方法总结(新高考通用)解析版_2.2025数学总复习_2024年新高考资料_1.2024一轮复习
第42练直线与椭圆(精练:基础+重难点)一轮复习讲义2024年高考数学高频考点题型归纳与方法总结(新高考通用)解析版_2.2025数学总复习_2024年新高考资料_1.2024一轮复习
第42练直线与椭圆(精练:基础+重难点)一轮复习讲义2024年高考数学高频考点题型归纳与方法总结(新高考通用)解析版_2.2025数学总复习_2024年新高考资料_1.2024一轮复习
第42练直线与椭圆(精练:基础+重难点)一轮复习讲义2024年高考数学高频考点题型归纳与方法总结(新高考通用)解析版_2.2025数学总复习_2024年新高考资料_1.2024一轮复习
第42练直线与椭圆(精练:基础+重难点)一轮复习讲义2024年高考数学高频考点题型归纳与方法总结(新高考通用)解析版_2.2025数学总复习_2024年新高考资料_1.2024一轮复习
第42练直线与椭圆(精练:基础+重难点)一轮复习讲义2024年高考数学高频考点题型归纳与方法总结(新高考通用)解析版_2.2025数学总复习_2024年新高考资料_1.2024一轮复习
第42练直线与椭圆(精练:基础+重难点)一轮复习讲义2024年高考数学高频考点题型归纳与方法总结(新高考通用)解析版_2.2025数学总复习_2024年新高考资料_1.2024一轮复习
第42练直线与椭圆(精练:基础+重难点)一轮复习讲义2024年高考数学高频考点题型归纳与方法总结(新高考通用)解析版_2.2025数学总复习_2024年新高考资料_1.2024一轮复习
第42练直线与椭圆(精练:基础+重难点)一轮复习讲义2024年高考数学高频考点题型归纳与方法总结(新高考通用)解析版_2.2025数学总复习_2024年新高考资料_1.2024一轮复习
第42练直线与椭圆(精练:基础+重难点)一轮复习讲义2024年高考数学高频考点题型归纳与方法总结(新高考通用)解析版_2.2025数学总复习_2024年新高考资料_1.2024一轮复习
第42练直线与椭圆(精练:基础+重难点)一轮复习讲义2024年高考数学高频考点题型归纳与方法总结(新高考通用)解析版_2.2025数学总复习_2024年新高考资料_1.2024一轮复习
第42练直线与椭圆(精练:基础+重难点)一轮复习讲义2024年高考数学高频考点题型归纳与方法总结(新高考通用)解析版_2.2025数学总复习_2024年新高考资料_1.2024一轮复习
第42练直线与椭圆(精练:基础+重难点)一轮复习讲义2024年高考数学高频考点题型归纳与方法总结(新高考通用)解析版_2.2025数学总复习_2024年新高考资料_1.2024一轮复习
第42练直线与椭圆(精练:基础+重难点)一轮复习讲义2024年高考数学高频考点题型归纳与方法总结(新高考通用)解析版_2.2025数学总复习_2024年新高考资料_1.2024一轮复习
第42练直线与椭圆(精练:基础+重难点)一轮复习讲义2024年高考数学高频考点题型归纳与方法总结(新高考通用)解析版_2.2025数学总复习_2024年新高考资料_1.2024一轮复习
第42练直线与椭圆(精练:基础+重难点)一轮复习讲义2024年高考数学高频考点题型归纳与方法总结(新高考通用)解析版_2.2025数学总复习_2024年新高考资料_1.2024一轮复习
第42练直线与椭圆(精练:基础+重难点)一轮复习讲义2024年高考数学高频考点题型归纳与方法总结(新高考通用)解析版_2.2025数学总复习_2024年新高考资料_1.2024一轮复习
第42练直线与椭圆(精练:基础+重难点)一轮复习讲义2024年高考数学高频考点题型归纳与方法总结(新高考通用)解析版_2.2025数学总复习_2024年新高考资料_1.2024一轮复习
第42练直线与椭圆(精练:基础+重难点)一轮复习讲义2024年高考数学高频考点题型归纳与方法总结(新高考通用)解析版_2.2025数学总复习_2024年新高考资料_1.2024一轮复习
第42练直线与椭圆(精练:基础+重难点)一轮复习讲义2024年高考数学高频考点题型归纳与方法总结(新高考通用)解析版_2.2025数学总复习_2024年新高考资料_1.2024一轮复习
第42练直线与椭圆(精练:基础+重难点)一轮复习讲义2024年高考数学高频考点题型归纳与方法总结(新高考通用)解析版_2.2025数学总复习_2024年新高考资料_1.2024一轮复习
第42练直线与椭圆(精练:基础+重难点)一轮复习讲义2024年高考数学高频考点题型归纳与方法总结(新高考通用)解析版_2.2025数学总复习_2024年新高考资料_1.2024一轮复习
第42练直线与椭圆(精练:基础+重难点)一轮复习讲义2024年高考数学高频考点题型归纳与方法总结(新高考通用)解析版_2.2025数学总复习_2024年新高考资料_1.2024一轮复习
第42练直线与椭圆(精练:基础+重难点)一轮复习讲义2024年高考数学高频考点题型归纳与方法总结(新高考通用)解析版_2.2025数学总复习_2024年新高考资料_1.2024一轮复习
第42练直线与椭圆(精练:基础+重难点)一轮复习讲义2024年高考数学高频考点题型归纳与方法总结(新高考通用)解析版_2.2025数学总复习_2024年新高考资料_1.2024一轮复习
第42练直线与椭圆(精练:基础+重难点)一轮复习讲义2024年高考数学高频考点题型归纳与方法总结(新高考通用)解析版_2.2025数学总复习_2024年新高考资料_1.2024一轮复习
第42练直线与椭圆(精练:基础+重难点)一轮复习讲义2024年高考数学高频考点题型归纳与方法总结(新高考通用)解析版_2.2025数学总复习_2024年新高考资料_1.2024一轮复习
第42练直线与椭圆(精练:基础+重难点)一轮复习讲义2024年高考数学高频考点题型归纳与方法总结(新高考通用)解析版_2.2025数学总复习_2024年新高考资料_1.2024一轮复习
第42练直线与椭圆(精练:基础+重难点)一轮复习讲义2024年高考数学高频考点题型归纳与方法总结(新高考通用)解析版_2.2025数学总复习_2024年新高考资料_1.2024一轮复习
第42练直线与椭圆(精练:基础+重难点)一轮复习讲义2024年高考数学高频考点题型归纳与方法总结(新高考通用)解析版_2.2025数学总复习_2024年新高考资料_1.2024一轮复习
第42练直线与椭圆(精练:基础+重难点)一轮复习讲义2024年高考数学高频考点题型归纳与方法总结(新高考通用)解析版_2.2025数学总复习_2024年新高考资料_1.2024一轮复习
第42练直线与椭圆(精练:基础+重难点)一轮复习讲义2024年高考数学高频考点题型归纳与方法总结(新高考通用)解析版_2.2025数学总复习_2024年新高考资料_1.2024一轮复习
第42练直线与椭圆(精练:基础+重难点)一轮复习讲义2024年高考数学高频考点题型归纳与方法总结(新高考通用)解析版_2.2025数学总复习_2024年新高考资料_1.2024一轮复习
第42练直线与椭圆(精练:基础+重难点)一轮复习讲义2024年高考数学高频考点题型归纳与方法总结(新高考通用)解析版_2.2025数学总复习_2024年新高考资料_1.2024一轮复习
第42练直线与椭圆(精练:基础+重难点)一轮复习讲义2024年高考数学高频考点题型归纳与方法总结(新高考通用)解析版_2.2025数学总复习_2024年新高考资料_1.2024一轮复习
第42练直线与椭圆(精练:基础+重难点)一轮复习讲义2024年高考数学高频考点题型归纳与方法总结(新高考通用)解析版_2.2025数学总复习_2024年新高考资料_1.2024一轮复习
第42练直线与椭圆(精练:基础+重难点)一轮复习讲义2024年高考数学高频考点题型归纳与方法总结(新高考通用)解析版_2.2025数学总复习_2024年新高考资料_1.2024一轮复习
第42练直线与椭圆(精练:基础+重难点)一轮复习讲义2024年高考数学高频考点题型归纳与方法总结(新高考通用)解析版_2.2025数学总复习_2024年新高考资料_1.2024一轮复习
第42练直线与椭圆(精练:基础+重难点)一轮复习讲义2024年高考数学高频考点题型归纳与方法总结(新高考通用)解析版_2.2025数学总复习_2024年新高考资料_1.2024一轮复习
第42练直线与椭圆(精练:基础+重难点)一轮复习讲义2024年高考数学高频考点题型归纳与方法总结(新高考通用)解析版_2.2025数学总复习_2024年新高考资料_1.2024一轮复习
第42练直线与椭圆(精练:基础+重难点)一轮复习讲义2024年高考数学高频考点题型归纳与方法总结(新高考通用)解析版_2.2025数学总复习_2024年新高考资料_1.2024一轮复习
第42练直线与椭圆(精练:基础+重难点)一轮复习讲义2024年高考数学高频考点题型归纳与方法总结(新高考通用)解析版_2.2025数学总复习_2024年新高考资料_1.2024一轮复习
第42练直线与椭圆(精练:基础+重难点)一轮复习讲义2024年高考数学高频考点题型归纳与方法总结(新高考通用)解析版_2.2025数学总复习_2024年新高考资料_1.2024一轮复习
第42练直线与椭圆(精练:基础+重难点)一轮复习讲义2024年高考数学高频考点题型归纳与方法总结(新高考通用)解析版_2.2025数学总复习_2024年新高考资料_1.2024一轮复习
第42练直线与椭圆(精练:基础+重难点)一轮复习讲义2024年高考数学高频考点题型归纳与方法总结(新高考通用)解析版_2.2025数学总复习_2024年新高考资料_1.2024一轮复习
第42练直线与椭圆(精练:基础+重难点)一轮复习讲义2024年高考数学高频考点题型归纳与方法总结(新高考通用)解析版_2.2025数学总复习_2024年新高考资料_1.2024一轮复习
第42练直线与椭圆(精练:基础+重难点)一轮复习讲义2024年高考数学高频考点题型归纳与方法总结(新高考通用)解析版_2.2025数学总复习_2024年新高考资料_1.2024一轮复习
第42练直线与椭圆(精练:基础+重难点)一轮复习讲义2024年高考数学高频考点题型归纳与方法总结(新高考通用)解析版_2.2025数学总复习_2024年新高考资料_1.2024一轮复习
第42练直线与椭圆(精练:基础+重难点)一轮复习讲义2024年高考数学高频考点题型归纳与方法总结(新高考通用)解析版_2.2025数学总复习_2024年新高考资料_1.2024一轮复习
第42练直线与椭圆(精练:基础+重难点)一轮复习讲义2024年高考数学高频考点题型归纳与方法总结(新高考通用)解析版_2.2025数学总复习_2024年新高考资料_1.2024一轮复习
第42练直线与椭圆(精练:基础+重难点)一轮复习讲义2024年高考数学高频考点题型归纳与方法总结(新高考通用)解析版_2.2025数学总复习_2024年新高考资料_1.2024一轮复习
第42练直线与椭圆(精练:基础+重难点)一轮复习讲义2024年高考数学高频考点题型归纳与方法总结(新高考通用)解析版_2.2025数学总复习_2024年新高考资料_1.2024一轮复习
第42练直线与椭圆(精练:基础+重难点)一轮复习讲义2024年高考数学高频考点题型归纳与方法总结(新高考通用)解析版_2.2025数学总复习_2024年新高考资料_1.2024一轮复习
第42练直线与椭圆(精练:基础+重难点)一轮复习讲义2024年高考数学高频考点题型归纳与方法总结(新高考通用)解析版_2.2025数学总复习_2024年新高考资料_1.2024一轮复习
第42练直线与椭圆(精练:基础+重难点)一轮复习讲义2024年高考数学高频考点题型归纳与方法总结(新高考通用)解析版_2.2025数学总复习_2024年新高考资料_1.2024一轮复习
第42练直线与椭圆(精练:基础+重难点)一轮复习讲义2024年高考数学高频考点题型归纳与方法总结(新高考通用)解析版_2.2025数学总复习_2024年新高考资料_1.2024一轮复习
第42练直线与椭圆(精练:基础+重难点)一轮复习讲义2024年高考数学高频考点题型归纳与方法总结(新高考通用)解析版_2.2025数学总复习_2024年新高考资料_1.2024一轮复习
第42练直线与椭圆(精练:基础+重难点)一轮复习讲义2024年高考数学高频考点题型归纳与方法总结(新高考通用)解析版_2.2025数学总复习_2024年新高考资料_1.2024一轮复习
第42练直线与椭圆(精练:基础+重难点)一轮复习讲义2024年高考数学高频考点题型归纳与方法总结(新高考通用)解析版_2.2025数学总复习_2024年新高考资料_1.2024一轮复习
第42练直线与椭圆(精练:基础+重难点)一轮复习讲义2024年高考数学高频考点题型归纳与方法总结(新高考通用)解析版_2.2025数学总复习_2024年新高考资料_1.2024一轮复习
第42练直线与椭圆(精练:基础+重难点)一轮复习讲义2024年高考数学高频考点题型归纳与方法总结(新高考通用)解析版_2.2025数学总复习_2024年新高考资料_1.2024一轮复习
第42练直线与椭圆(精练:基础+重难点)一轮复习讲义2024年高考数学高频考点题型归纳与方法总结(新高考通用)解析版_2.2025数学总复习_2024年新高考资料_1.2024一轮复习
第42练直线与椭圆(精练:基础+重难点)一轮复习讲义2024年高考数学高频考点题型归纳与方法总结(新高考通用)解析版_2.2025数学总复习_2024年新高考资料_1.2024一轮复习
第42练直线与椭圆(精练:基础+重难点)一轮复习讲义2024年高考数学高频考点题型归纳与方法总结(新高考通用)解析版_2.2025数学总复习_2024年新高考资料_1.2024一轮复习
第42练直线与椭圆(精练:基础+重难点)一轮复习讲义2024年高考数学高频考点题型归纳与方法总结(新高考通用)解析版_2.2025数学总复习_2024年新高考资料_1.2024一轮复习
第42练直线与椭圆(精练:基础+重难点)一轮复习讲义2024年高考数学高频考点题型归纳与方法总结(新高考通用)解析版_2.2025数学总复习_2024年新高考资料_1.2024一轮复习
第42练直线与椭圆(精练:基础+重难点)一轮复习讲义2024年高考数学高频考点题型归纳与方法总结(新高考通用)解析版_2.2025数学总复习_2024年新高考资料_1.2024一轮复习
第42练直线与椭圆(精练:基础+重难点)一轮复习讲义2024年高考数学高频考点题型归纳与方法总结(新高考通用)解析版_2.2025数学总复习_2024年新高考资料_1.2024一轮复习
第42练直线与椭圆(精练:基础+重难点)一轮复习讲义2024年高考数学高频考点题型归纳与方法总结(新高考通用)解析版_2.2025数学总复习_2024年新高考资料_1.2024一轮复习
第42练直线与椭圆(精练:基础+重难点)一轮复习讲义2024年高考数学高频考点题型归纳与方法总结(新高考通用)解析版_2.2025数学总复习_2024年新高考资料_1.2024一轮复习
第42练直线与椭圆(精练:基础+重难点)一轮复习讲义2024年高考数学高频考点题型归纳与方法总结(新高考通用)解析版_2.2025数学总复习_2024年新高考资料_1.2024一轮复习
第42练直线与椭圆(精练:基础+重难点)一轮复习讲义2024年高考数学高频考点题型归纳与方法总结(新高考通用)解析版_2.2025数学总复习_2024年新高考资料_1.2024一轮复习
第42练直线与椭圆(精练:基础+重难点)一轮复习讲义2024年高考数学高频考点题型归纳与方法总结(新高考通用)解析版_2.2025数学总复习_2024年新高考资料_1.2024一轮复习
第42练直线与椭圆(精练:基础+重难点)一轮复习讲义2024年高考数学高频考点题型归纳与方法总结(新高考通用)解析版_2.2025数学总复习_2024年新高考资料_1.2024一轮复习
第42练直线与椭圆(精练:基础+重难点)一轮复习讲义2024年高考数学高频考点题型归纳与方法总结(新高考通用)解析版_2.2025数学总复习_2024年新高考资料_1.2024一轮复习
第42练直线与椭圆(精练:基础+重难点)一轮复习讲义2024年高考数学高频考点题型归纳与方法总结(新高考通用)解析版_2.2025数学总复习_2024年新高考资料_1.2024一轮复习
第42练直线与椭圆(精练:基础+重难点)一轮复习讲义2024年高考数学高频考点题型归纳与方法总结(新高考通用)解析版_2.2025数学总复习_2024年新高考资料_1.2024一轮复习
第42练直线与椭圆(精练:基础+重难点)一轮复习讲义2024年高考数学高频考点题型归纳与方法总结(新高考通用)解析版_2.2025数学总复习_2024年新高考资料_1.2024一轮复习
第42练直线与椭圆(精练:基础+重难点)一轮复习讲义2024年高考数学高频考点题型归纳与方法总结(新高考通用)解析版_2.2025数学总复习_2024年新高考资料_1.2024一轮复习
第42练直线与椭圆(精练:基础+重难点)一轮复习讲义2024年高考数学高频考点题型归纳与方法总结(新高考通用)解析版_2.2025数学总复习_2024年新高考资料_1.2024一轮复习
第42练直线与椭圆(精练:基础+重难点)一轮复习讲义2024年高考数学高频考点题型归纳与方法总结(新高考通用)解析版_2.2025数学总复习_2024年新高考资料_1.2024一轮复习
第42练直线与椭圆(精练:基础+重难点)一轮复习讲义2024年高考数学高频考点题型归纳与方法总结(新高考通用)解析版_2.2025数学总复习_2024年新高考资料_1.2024一轮复习
第42练直线与椭圆(精练:基础+重难点)一轮复习讲义2024年高考数学高频考点题型归纳与方法总结(新高考通用)解析版_2.2025数学总复习_2024年新高考资料_1.2024一轮复习
第42练直线与椭圆(精练:基础+重难点)一轮复习讲义2024年高考数学高频考点题型归纳与方法总结(新高考通用)解析版_2.2025数学总复习_2024年新高考资料_1.2024一轮复习
第42练直线与椭圆(精练:基础+重难点)一轮复习讲义2024年高考数学高频考点题型归纳与方法总结(新高考通用)解析版_2.2025数学总复习_2024年新高考资料_1.2024一轮复习
第42练直线与椭圆(精练:基础+重难点)一轮复习讲义2024年高考数学高频考点题型归纳与方法总结(新高考通用)解析版_2.2025数学总复习_2024年新高考资料_1.2024一轮复习
第42练直线与椭圆(精练:基础+重难点)一轮复习讲义2024年高考数学高频考点题型归纳与方法总结(新高考通用)解析版_2.2025数学总复习_2024年新高考资料_1.2024一轮复习
第42练直线与椭圆(精练:基础+重难点)一轮复习讲义2024年高考数学高频考点题型归纳与方法总结(新高考通用)解析版_2.2025数学总复习_2024年新高考资料_1.2024一轮复习
第42练直线与椭圆(精练:基础+重难点)一轮复习讲义2024年高考数学高频考点题型归纳与方法总结(新高考通用)解析版_2.2025数学总复习_2024年新高考资料_1.2024一轮复习
第42练直线与椭圆(精练:基础+重难点)一轮复习讲义2024年高考数学高频考点题型归纳与方法总结(新高考通用)解析版_2.2025数学总复习_2024年新高考资料_1.2024一轮复习
第42练直线与椭圆(精练:基础+重难点)一轮复习讲义2024年高考数学高频考点题型归纳与方法总结(新高考通用)解析版_2.2025数学总复习_2024年新高考资料_1.2024一轮复习
第42练直线与椭圆(精练:基础+重难点)一轮复习讲义2024年高考数学高频考点题型归纳与方法总结(新高考通用)解析版_2.2025数学总复习_2024年新高考资料_1.2024一轮复习
第42练直线与椭圆(精练:基础+重难点)一轮复习讲义2024年高考数学高频考点题型归纳与方法总结(新高考通用)解析版_2.2025数学总复习_2024年新高考资料_1.2024一轮复习
第42练直线与椭圆(精练:基础+重难点)一轮复习讲义2024年高考数学高频考点题型归纳与方法总结(新高考通用)解析版_2.2025数学总复习_2024年新高考资料_1.2024一轮复习
第42练直线与椭圆(精练:基础+重难点)一轮复习讲义2024年高考数学高频考点题型归纳与方法总结(新高考通用)解析版_2.2025数学总复习_2024年新高考资料_1.2024一轮复习
第42练直线与椭圆(精练:基础+重难点)一轮复习讲义2024年高考数学高频考点题型归纳与方法总结(新高考通用)解析版_2.2025数学总复习_2024年新高考资料_1.2024一轮复习
第42练直线与椭圆(精练:基础+重难点)一轮复习讲义2024年高考数学高频考点题型归纳与方法总结(新高考通用)解析版_2.2025数学总复习_2024年新高考资料_1.2024一轮复习
第42练直线与椭圆(精练:基础+重难点)一轮复习讲义2024年高考数学高频考点题型归纳与方法总结(新高考通用)解析版_2.2025数学总复习_2024年新高考资料_1.2024一轮复习

文档信息

文档格式
docx
文档大小
8.950 MB
文档页数
171 页
上传时间
2026-03-25 18:33:48

文档内容

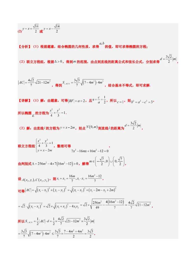
【一轮复习讲义】2024年高考数学高频考点题型归纳与方法总结(新高考通用) 第 42 练 直线与椭圆(精练) 刷真题 明导向 一、单选题 1.(2023·全国·统考高考真题)已知椭圆 的左、右焦点分别为 , ,直线 与C 交于A,B两点,若 面积是 面积的2倍,则 ( ). A. B. C. D. 【答案】C 【分析】首先联立直线方程与椭圆方程,利用 ,求出 范围,再根据三角形面积比得到关于 的方 程,解出即可. 【详解】将直线 与椭圆联立 ,消去 可得 , 因为直线与椭圆相交于 点,则 ,解得 , 设 到 的距离 到 距离 ,易知 , 则 , , ,解得 或 (舍去), 故选:C.二、填空题 2.(2022·全国·统考高考真题)已知直线l与椭圆 在第一象限交于A,B两点,l与x轴,y轴分 别交于M,N两点,且 ,则l的方程为 . 【答案】 【分析】令 的中点为 ,设 , ,利用点差法得到 ,设直线 , , ,求出 、 的坐标,再根据 求出 、 ,即可得解; 【详解】[方法一]:弦中点问题:点差法 令 的中点为 ,设 , ,利用点差法得到 , 设直线 , , ,求出 、 的坐标, 再根据 求出 、 ,即可得解; 解:令 的中点为 ,因为 ,所以 , 设 , ,则 , , 所以 ,即 所以 ,即 ,设直线 , , , 令 得 ,令 得 ,即 , ,所以 , 即 ,解得 或 (舍去), 又 ,即 ,解得 或 (舍去), 所以直线 ,即 ; 故答案为: [方法二]:直线与圆锥曲线相交的常规方法 解:由题意知,点 既为线段 的中点又是线段MN的中点, 设 , ,设直线 , , , 则 , , ,因为 ,所以 联立直线AB与椭圆方程得 消掉y得 其中 ,∴AB中点E的横坐标 ,又 ,∴ ∵ , ,∴ ,又 ,解得m=2 所以直线 ,即 3.(2021·全国·高考真题)已知 为椭圆C: 的两个焦点,P,Q为C上关于坐标原点对称 的两点,且 ,则四边形 的面积为 . 【答案】 【分析】根据已知可得 ,设 ,利用勾股定理结合 ,求出 ,四边形 面积等于 ,即可求解. 【详解】因为 为 上关于坐标原点对称的两点, 且 ,所以四边形 为矩形, 设 ,则 , 所以 , ,即四边形 面积等于 . 故答案为: . 三、解答题 4.(2023·北京·统考高考真题)已知椭圆 的离心率为 ,A、C分别是E的上、 下顶点,B,D分别是 的左、右顶点, . (1)求 的方程; (2)设 为第一象限内E上的动点,直线 与直线 交于点 ,直线 与直线 交于点 .求证:. 【答案】(1) (2)证明见解析 【分析】(1)结合题意得到 , ,再结合 ,解之即可; (2)依题意求得直线 、 与 的方程,从而求得点 的坐标,进而求得 ,再根据题意求得 ,得到 ,由此得解. 【详解】(1)依题意,得 ,则 , 又 分别为椭圆上下顶点, ,所以 ,即 , 所以 ,即 ,则 , 所以椭圆 的方程为 . (2)因为椭圆 的方程为 ,所以 , 因为 为第一象限 上的动点,设 ,则 , 易得 ,则直线 的方程为 , ,则直线 的方程为 ,联立 ,解得 ,即 , 而 ,则直线 的方程为 , 令 ,则 ,解得 ,即 , 又 ,则 , , 所以 , 又 ,即 , 显然, 与 不重合,所以 . 5.(2023·全国·统考高考真题)已知椭圆 的离心率是 ,点 在 上. (1)求 的方程; (2)过点 的直线交 于 两点,直线 与 轴的交点分别为 ,证明:线段 的中点为 定点. 【答案】(1) (2)证明见详解 【分析】(1)根据题意列式求解 ,进而可得结果; (2)设直线 的方程,进而可求点 的坐标,结合韦达定理验证 为定值即可.【详解】(1)由题意可得 ,解得 , 所以椭圆方程为 . (2)由题意可知:直线 的斜率存在,设 , 联立方程 ,消去y得: , 则 ,解得 , 可得 , 因为 ,则直线 , 令 ,解得 ,即 , 同理可得 , 则 , 所以线段 的中点是定点 .【点睛】方法点睛:求解定值问题的三个步骤 (1)由特例得出一个值,此值一般就是定值; (2)证明定值,有时可直接证明定值,有时将问题转化为代数式,可证明该代数式与参数(某些变量)无关; 也可令系数等于零,得出定值; (3)得出结论. 6.(2023·天津·统考高考真题)设椭圆 的左右顶点分别为 ,右焦点为 ,已知 . (1)求椭圆方程及其离心率; (2)已知点 是椭圆上一动点(不与端点重合),直线 交 轴于点 ,若三角形 的面积是三角形 面积的二倍,求直线 的方程. 【答案】(1)椭圆的方程为 ,离心率为 . (2) . 【分析】(1)由 解得 ,从而求出 ,代入椭圆方程即可求方程,再代入离心率公 式即求离心率.(2)先设直线 的方程,与椭圆方程联立,消去 ,再由韦达定理可得 ,从而得到 点和 点坐 标.由 得 ,即可得到关于 的方程,解出 ,代入直线 的方程即可得到答案. 【详解】(1)如图, 由题意得 ,解得 ,所以 , 所以椭圆的方程为 ,离心率为 . (2)由题意得,直线 斜率存在,由椭圆的方程为 可得 , 设直线 的方程为 , 联立方程组 ,消去 整理得: , 由韦达定理得 ,所以 , 所以 , . 所以 , , ,所以 , 所以 ,即 , 解得 ,所以直线 的方程为 . 7.(2022·天津·统考高考真题)椭圆 的右焦点为F、右顶点为A,上顶点为B,且满 足 . (1)求椭圆的离心率 ; (2)直线l与椭圆有唯一公共点M,与y轴相交于N(N异于M).记O为坐标原点,若 ,且 的面积为 ,求椭圆的标准方程. 【答案】(1) (2) 【分析】(1)根据已知条件可得出关于 、 的等量关系,由此可求得该椭圆的离心率的值; (2)由(1)可知椭圆的方程为 ,设直线 的方程为 ,将直线 的方程与椭圆方程联 立,由 可得出 ,求出点 的坐标,利用三角形的面积公式以及已知条件可求得 的 值,即可得出椭圆的方程. 【详解】(1)解: , 离心率为 . (2)解:由(1)可知椭圆的方程为 , 易知直线 的斜率存在,设直线 的方程为 ,联立 得 , 由 ,① , , 由 可得 ,② 由 可得 ,③ 联立①②③可得 , , ,故椭圆的标准方程为 . 8.(2022·北京·统考高考真题)已知椭圆 的一个顶点为 ,焦距为 . (1)求椭圆E的方程; (2)过点 作斜率为k的直线与椭圆E交于不同的两点B,C,直线AB,AC分别与x轴交于点M,N, 当 时,求k的值. 【答案】(1) (2) 【分析】(1)依题意可得 ,即可求出 ,从而求出椭圆方程; (2)首先表示出直线方程,设 、 ,联立直线与椭圆方程,消元列出韦达定理,由直线 、 的方程,表示出 、 ,根据 得到方程,解得即可; 【详解】(1)解:依题意可得 , ,又 , 所以 ,所以椭圆方程为 ;(2)解:依题意过点 的直线为 ,设 、 ,不妨令 , 由 ,消去 整理得 , 所以 ,解得 , 所以 , , 直线 的方程为 ,令 ,解得 , 直线 的方程为 ,令 ,解得 , 所以 , 所以 , 即 即 即整理得 ,解得 9.(2021·天津·统考高考真题)已知椭圆 的右焦点为 ,上顶点为 ,离心率为 , 且 . (1)求椭圆的方程; (2)直线 与椭圆有唯一的公共点 ,与 轴的正半轴交于点 ,过 与 垂直的直线交 轴于点 . 若 ,求直线 的方程. 【答案】(1) ;(2) . 【分析】(1)求出 的值,结合 的值可得出 的值,进而可得出椭圆的方程; (2)设点 ,分析出直线 的方程为 ,求出点 的坐标,根据 可得出 , 求出 、 的值,即可得出直线 的方程. 【详解】(1)易知点 、 ,故 , 因为椭圆的离心率为 ,故 , , 因此,椭圆的方程为 ; (2)设点 为椭圆 上一点, 先证明直线 的方程为 , 联立 ,消去 并整理得 , , 因此,椭圆 在点 处的切线方程为 .在直线 的方程中,令 ,可得 ,由题意可知 ,即点 , 直线 的斜率为 ,所以,直线 的方程为 , 在直线 的方程中,令 ,可得 ,即点 , 因为 ,则 ,即 ,整理可得 , 所以, ,因为 , ,故 , , 所以,直线 的方程为 ,即 . 【点睛】结论点睛:在利用椭圆的切线方程时,一般利用以下方法进行直线: (1)设切线方程为 与椭圆方程联立,由 进行求解; (2)椭圆 在其上一点 的切线方程为 ,再应用此方程时,首先应证明直线 与椭圆 相切. 10.(2021·北京·统考高考真题)已知椭圆 一个顶点 ,以椭圆 的四个顶 点为顶点的四边形面积为 . (1)求椭圆E的方程; (2)过点P(0,-3)的直线l斜率为k的直线与椭圆E交于不同的两点B,C,直线AB,AC分别与直线交交于点M,N,当|PM|+|PN|≤15时,求k的取值范围. 【答案】(1) ;(2) . 【分析】(1)根据椭圆所过的点及四个顶点围成的四边形的面积可求 ,从而可求椭圆的标准方程. (2)设 ,求出直线 的方程后可得 的横坐标,从而可得 ,联立 直线 的方程和椭圆的方程,结合韦达定理化简 ,从而可求 的范围,注意判别式的要求. 【详解】(1)因为椭圆过 ,故 , 因为四个顶点围成的四边形的面积为 ,故 ,即 , 故椭圆的标准方程为: . (2) 设 , 因为直线 的斜率存在,故 , 故直线 ,令 ,则 ,同理 . 直线 ,由 可得 , 故 ,解得 或 .又 ,故 ,所以 又 故 即 , 综上, 或 . 【A组 在基础中考查功底】 一、单选题 1.过椭圆 的右焦点且与椭圆长轴垂直的直线与椭圆相交于 两点,则 等于( ) A.4 B.2 C.1 D.4 【答案】C 【分析】根据椭圆的方程,求得椭圆的右焦点的坐标为 ,将 ,代入椭圆的方程,进而求得 弦长. 【详解】因为椭圆 ,可得 ,所以 , 所以椭圆的右焦点的坐标为 , 将 ,代入椭圆的方程,求得 ,所以 . 故选:C. 2.直线 与椭圆 的公共点的个数是( ) A.0 B.1C.2 D.无数个 【答案】C 【分析】联立直线与椭圆的方程消去y,再利用判别式判断作答. 【详解】由 消去y并整理得 ,显然 , 所以直线 与椭圆 相交,有2个公共点. 故选:C 3.直线 与椭圆 只有一个交点,则 的值为( ) A. B. C. D. 【答案】C 【分析】联立直线与椭圆的方程,消去 ,根据 即可求解. 【详解】由 ,消去 并整理得 , 因为直线 与椭圆 只有一个交点, 所以 ,得 . 故选:C. 4.椭圆 与直线 的位置关系是( ) A.相离 B.相交 C.相切 D.无法确定 【答案】B 【分析】根据定点判断直线和椭圆的位置关系. 【详解】直线过定点 在椭圆内,故直线与椭圆相交. 故选:B. 5.已知斜率为 的直线 与椭圆 交于 两点,线段 的中点为 ,直线 ( 为坐标原点)的斜率为 ,则 ( ) A. B. C. D. 【答案】D 【分析】设点 ,则 ,根据椭圆的方程,求得 ,结合斜率 公式,即可求解. 【详解】设点 ,则 , 因为 ,可得 , 又因为 ,所以 . 故选:D. 6.已知椭圆E: 与直线 相交于A,B两点,O是坐标原点,如果 是等边三 角形,那么椭圆E的离心率等于( ) A. B. C. D. 【答案】C 【分析】根据题意不妨设点B在第一象限, 则 ,结合直线OB的斜率运算求解即可. 【详解】联立方程 ,解得 ,不妨设点B在第一象限, 则 , 由题意可知:OB的倾斜角是 ,则 , 所以椭圆的离心率 . 故选:C. 7.已知直线 交椭圆 于 两点,若点 为 两点的中点,则直线 的斜率为 ( ) A. B. C. D. 【答案】D 【分析】利用点差法求得直线 的斜率. 【详解】椭圆 , 依题意可知直线 的斜率存在, 设 ,则 , 两式相减并化简得 , 即 , 所以直线 的斜率为 .故选:D 8.已知直线 与椭圆 交于A,B两点,线段 的中点为 ,则椭 圆C的离心率是( ) A. B. C. D. 【答案】A 【分析】由题意,利用点差法,整理方程,根据斜率公式和中点坐标公式,可得答案. 【详解】设 ,则 从而 , 故 .由题意可得 , 则 ,从而 ,故椭圆C的离心率 . 故选:A. 9.若直线 与焦点在x轴上的椭圆 总有公共点,则n的取值范围是( ) A. B. C. D. 【答案】C 【分析】由题得直线所过定点 在椭圆上或椭圆内,代入椭圆得到不等式,再结合椭圆焦点在 轴上即 可. 【详解】直线 恒过定点 ,若直线与椭圆总有公共点, 则定点 在椭圆上或椭圆内, ,解得 或 , 又 表示焦点在 轴上的椭圆,故 , , 故选:C.10.已知直线 过椭圆C; 的一个焦点,与C交于A,B两点,与 平行的 直线 与C交于M,N两点,若AB的中点为P,MN的中点为Q,且PQ的斜率为 ,则C的方程为( ) A. B. C. D. 【答案】C 【分析】运用点差法,结合直线斜率公式进行求解即可. 【详解】设 , 则 ,两式作差得 所以 若O为坐标原点,则 ,同理 ,所以O,P,Q三点共线, 即 ,所以 ,又 过点 ,即椭圆的焦点,所以 解得 ,所以C的方程为 故选:C 11.已知椭圆C: ,过点 的直线l与椭圆C交于A,B两点,若点P恰为弦AB的中点, 则直线l的斜率是( ) A. B. C. D. 【答案】C 【分析】设出 的坐标代入椭圆方程后,作差变形,根据斜率公式和中点坐标公式可得解.【详解】设 , ,则 , , 且 , , 作差得 ,所以 , 即直线l的斜率是 . 故选:C. 12.已知椭圆 的左、右顶点分别是 是坐标原点, 在椭圆 上,且 ,则 的面积是( ) A. B.4 C. D.8 【答案】A 【分析】设出点 ,利用条件直接求出点 纵坐标的绝对值,又易知 ,从而可求出结果. 【详解】设 ,因点 在椭圆上,且 ,则有 ,消去 ,得到 ,所以 , 又 ,故 的面积是 . 故选:A. 13.已知直线y=kx-1与焦点在x轴上的椭圆C: 总有公共点,则椭圆C的离心率取值范围 是( ) A. B. C. D. 【答案】D 【分析】根据直线过定点且与椭圆恒有公共点,结合椭圆的性质判定 的范围即可求离心率.【详解】 因为椭圆焦点在x轴上,所以b2<4,又因为b>0,所以0