当前位置:首页>文档>第02讲平面向量的数量积及其应用(八大题型)(练习)(解析版)_2025年新高考资料_一轮复习_2025年高考数学一轮复习讲练测(新教材新高考,含2024高考真题)_第五章平面向量与复数

第02讲平面向量的数量积及其应用(八大题型)(练习)(解析版)_2025年新高考资料_一轮复习_2025年高考数学一轮复习讲练测(新教材新高考,含2024高考真题)_第五章平面向量与复数

  • 2026-04-16 21:27:49 2026-04-16 05:19:17

文档预览

第02讲平面向量的数量积及其应用(八大题型)(练习)(解析版)_2025年新高考资料_一轮复习_2025年高考数学一轮复习讲练测(新教材新高考,含2024高考真题)_第五章平面向量与复数
第02讲平面向量的数量积及其应用(八大题型)(练习)(解析版)_2025年新高考资料_一轮复习_2025年高考数学一轮复习讲练测(新教材新高考,含2024高考真题)_第五章平面向量与复数
第02讲平面向量的数量积及其应用(八大题型)(练习)(解析版)_2025年新高考资料_一轮复习_2025年高考数学一轮复习讲练测(新教材新高考,含2024高考真题)_第五章平面向量与复数
第02讲平面向量的数量积及其应用(八大题型)(练习)(解析版)_2025年新高考资料_一轮复习_2025年高考数学一轮复习讲练测(新教材新高考,含2024高考真题)_第五章平面向量与复数
第02讲平面向量的数量积及其应用(八大题型)(练习)(解析版)_2025年新高考资料_一轮复习_2025年高考数学一轮复习讲练测(新教材新高考,含2024高考真题)_第五章平面向量与复数
第02讲平面向量的数量积及其应用(八大题型)(练习)(解析版)_2025年新高考资料_一轮复习_2025年高考数学一轮复习讲练测(新教材新高考,含2024高考真题)_第五章平面向量与复数
第02讲平面向量的数量积及其应用(八大题型)(练习)(解析版)_2025年新高考资料_一轮复习_2025年高考数学一轮复习讲练测(新教材新高考,含2024高考真题)_第五章平面向量与复数
第02讲平面向量的数量积及其应用(八大题型)(练习)(解析版)_2025年新高考资料_一轮复习_2025年高考数学一轮复习讲练测(新教材新高考,含2024高考真题)_第五章平面向量与复数
第02讲平面向量的数量积及其应用(八大题型)(练习)(解析版)_2025年新高考资料_一轮复习_2025年高考数学一轮复习讲练测(新教材新高考,含2024高考真题)_第五章平面向量与复数
第02讲平面向量的数量积及其应用(八大题型)(练习)(解析版)_2025年新高考资料_一轮复习_2025年高考数学一轮复习讲练测(新教材新高考,含2024高考真题)_第五章平面向量与复数
第02讲平面向量的数量积及其应用(八大题型)(练习)(解析版)_2025年新高考资料_一轮复习_2025年高考数学一轮复习讲练测(新教材新高考,含2024高考真题)_第五章平面向量与复数
第02讲平面向量的数量积及其应用(八大题型)(练习)(解析版)_2025年新高考资料_一轮复习_2025年高考数学一轮复习讲练测(新教材新高考,含2024高考真题)_第五章平面向量与复数
第02讲平面向量的数量积及其应用(八大题型)(练习)(解析版)_2025年新高考资料_一轮复习_2025年高考数学一轮复习讲练测(新教材新高考,含2024高考真题)_第五章平面向量与复数
第02讲平面向量的数量积及其应用(八大题型)(练习)(解析版)_2025年新高考资料_一轮复习_2025年高考数学一轮复习讲练测(新教材新高考,含2024高考真题)_第五章平面向量与复数
第02讲平面向量的数量积及其应用(八大题型)(练习)(解析版)_2025年新高考资料_一轮复习_2025年高考数学一轮复习讲练测(新教材新高考,含2024高考真题)_第五章平面向量与复数
第02讲平面向量的数量积及其应用(八大题型)(练习)(解析版)_2025年新高考资料_一轮复习_2025年高考数学一轮复习讲练测(新教材新高考,含2024高考真题)_第五章平面向量与复数
第02讲平面向量的数量积及其应用(八大题型)(练习)(解析版)_2025年新高考资料_一轮复习_2025年高考数学一轮复习讲练测(新教材新高考,含2024高考真题)_第五章平面向量与复数
第02讲平面向量的数量积及其应用(八大题型)(练习)(解析版)_2025年新高考资料_一轮复习_2025年高考数学一轮复习讲练测(新教材新高考,含2024高考真题)_第五章平面向量与复数
第02讲平面向量的数量积及其应用(八大题型)(练习)(解析版)_2025年新高考资料_一轮复习_2025年高考数学一轮复习讲练测(新教材新高考,含2024高考真题)_第五章平面向量与复数
第02讲平面向量的数量积及其应用(八大题型)(练习)(解析版)_2025年新高考资料_一轮复习_2025年高考数学一轮复习讲练测(新教材新高考,含2024高考真题)_第五章平面向量与复数
第02讲平面向量的数量积及其应用(八大题型)(练习)(解析版)_2025年新高考资料_一轮复习_2025年高考数学一轮复习讲练测(新教材新高考,含2024高考真题)_第五章平面向量与复数
第02讲平面向量的数量积及其应用(八大题型)(练习)(解析版)_2025年新高考资料_一轮复习_2025年高考数学一轮复习讲练测(新教材新高考,含2024高考真题)_第五章平面向量与复数
第02讲平面向量的数量积及其应用(八大题型)(练习)(解析版)_2025年新高考资料_一轮复习_2025年高考数学一轮复习讲练测(新教材新高考,含2024高考真题)_第五章平面向量与复数
第02讲平面向量的数量积及其应用(八大题型)(练习)(解析版)_2025年新高考资料_一轮复习_2025年高考数学一轮复习讲练测(新教材新高考,含2024高考真题)_第五章平面向量与复数
第02讲平面向量的数量积及其应用(八大题型)(练习)(解析版)_2025年新高考资料_一轮复习_2025年高考数学一轮复习讲练测(新教材新高考,含2024高考真题)_第五章平面向量与复数
第02讲平面向量的数量积及其应用(八大题型)(练习)(解析版)_2025年新高考资料_一轮复习_2025年高考数学一轮复习讲练测(新教材新高考,含2024高考真题)_第五章平面向量与复数
第02讲平面向量的数量积及其应用(八大题型)(练习)(解析版)_2025年新高考资料_一轮复习_2025年高考数学一轮复习讲练测(新教材新高考,含2024高考真题)_第五章平面向量与复数
第02讲平面向量的数量积及其应用(八大题型)(练习)(解析版)_2025年新高考资料_一轮复习_2025年高考数学一轮复习讲练测(新教材新高考,含2024高考真题)_第五章平面向量与复数
第02讲平面向量的数量积及其应用(八大题型)(练习)(解析版)_2025年新高考资料_一轮复习_2025年高考数学一轮复习讲练测(新教材新高考,含2024高考真题)_第五章平面向量与复数
第02讲平面向量的数量积及其应用(八大题型)(练习)(解析版)_2025年新高考资料_一轮复习_2025年高考数学一轮复习讲练测(新教材新高考,含2024高考真题)_第五章平面向量与复数
第02讲平面向量的数量积及其应用(八大题型)(练习)(解析版)_2025年新高考资料_一轮复习_2025年高考数学一轮复习讲练测(新教材新高考,含2024高考真题)_第五章平面向量与复数
第02讲平面向量的数量积及其应用(八大题型)(练习)(解析版)_2025年新高考资料_一轮复习_2025年高考数学一轮复习讲练测(新教材新高考,含2024高考真题)_第五章平面向量与复数
第02讲平面向量的数量积及其应用(八大题型)(练习)(解析版)_2025年新高考资料_一轮复习_2025年高考数学一轮复习讲练测(新教材新高考,含2024高考真题)_第五章平面向量与复数
第02讲平面向量的数量积及其应用(八大题型)(练习)(解析版)_2025年新高考资料_一轮复习_2025年高考数学一轮复习讲练测(新教材新高考,含2024高考真题)_第五章平面向量与复数
第02讲平面向量的数量积及其应用(八大题型)(练习)(解析版)_2025年新高考资料_一轮复习_2025年高考数学一轮复习讲练测(新教材新高考,含2024高考真题)_第五章平面向量与复数
第02讲平面向量的数量积及其应用(八大题型)(练习)(解析版)_2025年新高考资料_一轮复习_2025年高考数学一轮复习讲练测(新教材新高考,含2024高考真题)_第五章平面向量与复数
第02讲平面向量的数量积及其应用(八大题型)(练习)(解析版)_2025年新高考资料_一轮复习_2025年高考数学一轮复习讲练测(新教材新高考,含2024高考真题)_第五章平面向量与复数
第02讲平面向量的数量积及其应用(八大题型)(练习)(解析版)_2025年新高考资料_一轮复习_2025年高考数学一轮复习讲练测(新教材新高考,含2024高考真题)_第五章平面向量与复数
第02讲平面向量的数量积及其应用(八大题型)(练习)(解析版)_2025年新高考资料_一轮复习_2025年高考数学一轮复习讲练测(新教材新高考,含2024高考真题)_第五章平面向量与复数

文档信息

文档格式
docx
文档大小
2.225 MB
文档页数
35 页
上传时间
2026-04-16 05:19:17

文档内容

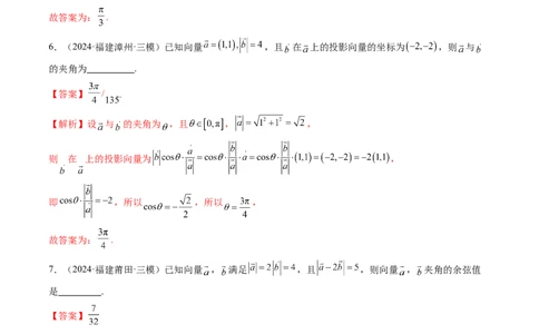
第 02 讲 平面向量的数量积及其应用 目录 01 模拟基础练......................................................................................................................................2 题型一:平面向量的数量积运算........................................................................................................2 题型二:平面向量的夹角问题............................................................................................................3 题型三:平面向量的模长....................................................................................................................5 题型四:平面向量的投影、投影向量................................................................................................6 题型五:平面向量的垂直问题............................................................................................................7 题型六:建立坐标系解决向量问题....................................................................................................8 题型七:平面向量的实际应用..........................................................................................................11 题型八:向量回路恒等式..................................................................................................................14 02 重难创新练....................................................................................................................................15 03 真题实战练....................................................................................................................................24题型一:平面向量的数量积运算 1.(2024·陕西西安·模拟预测)已知平行四边形 中, ,则 的值为( ) A. B. C. D. 【答案】B 【解析】平行四边形 中,由 ,得 , 由 ,得 , 因此 , 整理得 ,即 ,所以 . 故选:B 2.(2024·陕西·模拟预测)如图是某人设计的正八边形八角窗,若O是正八边形ABCDEFGH的中心, ,则 . 【答案】【解析】 故答案为: 3.(2024·重庆·三模)已知单位正方形ABCD,点E是BC边上一点,若 ,则 . 【答案】 【解析】因为在单位正方形ABCD,点E是BC边上一点,又 , 所以 , , 所以 , 故答案为: 题型二:平面向量的夹角问题 4.(2024·陕西铜川·三模)已知点 为 外接圆的圆心,且 ,则 . 【答案】 / 【解析】由 ,得 ,由 为 外接圆的圆心,得 ,如图, 结合向量加法的几何意义知,四边形 为菱形,且 ,故 .故 . 故答案为: 5.(2024·福建宁德·三模)已知 是两个单位向量,若 在 上的投影向量为 ,则 与 的夹 角为 . 【答案】【解析】由题意可得 ,即 , , 则 , 故 与 的夹角为 . 故答案为: . 6.(2024·福建漳州·三模)已知向量 ,且 在 上的投影向量的坐标为 ,则 与 的夹角为 . 【答案】 / 【解析】设 与 的夹角为 ,且 , , 则 在 上的投影向量为 , 即 ,所以 ,所以 , 故答案为: . 7.(2024·福建莆田·三模)已知向量 , 满足 ,且 ,则向量 , 夹角的余弦值 是 . 【答案】 【解析】因为 ,所以 ,所以 . 因为 ,所以 ,所以 , 则 . 故答案为:8.已知 均为单位向量,且 ,则 与 的夹角的余弦值为 . 【答案】 / 【解析】 , 则 与 的夹角的余弦值为 . 故答案为: . 题型三:平面向量的模长 9.已知向量 ,且 ,则 . 【答案】 【解析】 , 因为 ,所以 ,解得 , 所以 . 故答案为: . 10.若向量 满足 , , ,则 . 【答案】 【解析】由 ,有 ,即 ,得 . 又 ,得 . 故答案为: . 11.(2024·陕西渭南·模拟预测)已知向量 , 均为单位向量,且 , ,则实数 . 【答案】【解析】由题意知 , ,故 ,且 , 即 ,故 , 故答案为: 12.已知向量 , ,满足 ,则 . 【答案】 / 或 / 或 【解析】因为 , , 所以 , , 得 . 故答案为: 题型四:平面向量的投影、投影向量 13.(2024·河北张家口·三模)已知向量 ,若 ,则 在 上的投影向量为 . 【答案】 【解析】因为 ,所以 , 又 ,所以 ,解得 , 因为 ,所以 在 上的投影向量为 . 故答案为: 14.(2024·浙江绍兴·三模)若非零向量 , 满足 ,则 在 方向上的投影向量为 ( ) A. B. C. D. 【答案】B 【解析】根据题意 可得 ,所以 ,则 所以 , 则 在 方向上的投影向量为 . 故选:B 15.(2024·宁夏银川·三模)已知 是单位向量,且 与 垂直, 与 的夹角为135°,则 在 上 的投影数量为 . 【答案】 【解析】因为 与 垂直, 所以 ,即 , 解得 , 又因为 与 的夹角为135°, 所以 ,解得 , 所以 在 上的投影数量为 , 故答案为: 16.(2024·山东泰安·模拟预测)已知单位向量 满足 ,则 在 方向上的投影向量为( ) A. B. C. D. 【答案】A 【解析】因为 是单位向量,所以 ,由 得 ,则 ,得 , 设 与 的夹角为 ,则 在 方向上的投影向量为 . 故选:A题型五:平面向量的垂直问题 17.(2024·湖北黄冈·模拟预测)已知向量 , , ,若 ,则 ( ) A. B. C. D. 【答案】B 【解析】由题意知, , 则 ,又 , 所以 故选:B 18.(2024·海南·模拟预测)已知向量 ,若 ,则 ( ) A.-1 B.0 C.1 D.2 【答案】B 【解析】 , , 由 得: , 则 ,所以 , 故选:B. 19.(2024·陕西·模拟预测)已知两个向量 ,且 ,则 的值为( ) A. B. C. D. 【答案】B 【解析】由 ,得 ,则 ,即 , 因此 ,所以 . 故选:B 题型六:建立坐标系解决向量问题 20.如图,在矩形ABCD中, ,点E为BC的中点,若 ,则 .【答案】14 【解析】以A为原点,AB为x轴建立平面直角坐标系 则A(0,0),B(3,0),C(3,4),D(0,4), 因为点E为BC的中点,且 , 所以E(3,2),F(2,4), 故 , 所以 故答案为: . 21.在 中,AB=4,AC=3,∠BAC=90°,D在边BC上(与B、C不重合),延长射线AD到P, 使得AP=9,若 (m为常数),则DB的长度为 . 【答案】 /1.4 【解析】如图,以A为坐标原点,分别以AB,AC所在直线为x,y轴建立平面直角坐标系, 则B(4,0),C(0,3), 由若 ,得 , 整理得: . 由AP=9,得 ,解得 或 . 当 时,可得 ,所以点 的坐标为 ,所以直线PA的方程为 ,直线BC的方程为 , 联立两直线方程可得点D的坐标为 ,, 所以 , 当 时,此时 ,所以 三点共线,点 在直线 上,所以 三点共线,又 三点共线,所以可知D与C重合(舍去), BD的长度是 . ∴ 故答案为: . 22.如图在平面四边形 中, ,点 在线段 上满足 ,若 ,则 . 【答案】 / 【解析】以A为原点,建立如图所示的平面直角坐标系,不妨设 , 则有 , ,过D作 轴于F, , ,所以 , , , , 因为 , 所以,所以, ,解得: , 则 的值为 . 故答案为: . 题型七:平面向量的实际应用 23.加强体育锻炼是青少年生活学习中非常重要的组成部分.某学生做引体向上运动,处于如图所示的平 衡状态时,若两只胳膊的夹角为 ,每只胳膊的拉力大小均为350N,则该学生的体重(单位:kg)约为 ( ) (参考数据:取重力加速度大小为 m/s2, ) A.55 B.61 C.66 D.71 【答案】B 【解析】如图, , , 作平行四边形 ,则 是菱形, , , 所以 , 因此该学生体重为 (kg).故选:B. 24.(2024·高三·福建厦门·期末)长江某地南北两岸平行,一艘游船南岸码头 出发航行到北岸.假设游船 在静水中的航行速度 的大小为 ,水流的速度 的大小为 .设 和 的夹角为 ,北岸的点 在 的正北方向,则游船正好到达 处时, ( ) A. B. C. D. 【答案】D 【解析】设船的实际速度为 , 与南岸上游的夹角为 ,如图所示, 要使得游船正好到达 处,则 ,即 , 又因为 ,所以 , 故选:D. 25.(2024·江西南昌·二模)如图,一条河的两岸平行,河的宽度d=0.6 km,一艘客船从码头A出发匀速 驶往河对岸的码头B.已知AB=1km,水的流速为2 ,若客船从码头A驶到码头B所用的时间为6min, 则客船在静水中的速度为( )A. B.8 C. D.10 【答案】A 【解析】设客船在静水中的速度大小为 ,水流速度为 ,则 , 则船实际航行的速度 , ,由题意得 . 把船在静水中的速度正交分解为 ,即 , km/h,而 与 同向,即 , ∵ ∴ . ∴故选:A. 26.质点P在平面上作匀速直线运动,速度向量 (即点P的运动方向与 相同,且每秒移动的距 离为 个单位).设开始时点P的坐标为 ,则5秒后点P的坐标为( ) A. B. C. D. 【答案】C【解析】设 ,5秒后P点的坐标为 ,则 , 由题意有 . 即 所以 解得 故选: C 27.点 在平面上以速度 作匀速直线运动,若4秒后点 的坐标为 ,则点 的初始坐标为 ( ) A. B. C. D. 【答案】B 【解析】根据题意,列出方程组 ,即可求解.设点 的初始坐标为 , 因为点 在平面上以速度 作匀速直线运动,若4秒后点 的坐标为 , 可得 ,解得 ,即点 的初始坐标为 . 故选:B. 题型八:向量回路恒等式 28.如图,在平面四边形 中, , ,则 . 【答案】 【解析】由题意得, , , 因为 , , 从而 .故答案为: . 29.如图,在平面四边形 中,若 , ,则 . 【答案】 【解析】由题意可得: , 故 ,则 ,即 . 故答案为: . 1.(2024·甘肃兰州·三模)已知向量 ,设 与 的夹角为 ,则 ( ) A. B. C. D. 【答案】D 【解析】因为 , 所以 , , 所以 , 因为 为 与 的夹角,所以 . 故选:D 2.(2024·湖北武汉·一模)已知向量 , ,且 ,则 ( )A. B. C. D.8 【答案】A 【解析】因为 所以 ,所以 , 因为 ,所以 . 故选:A. 3.(2024·江西宜春·模拟预测)已知向量 , 满足 , , ,则 ( ) A.5 B. C.6 D.8 【答案】B 【解析】由 , , ,得 ,则 , 因此 , 所以 . 故选:B 4.(2024·江苏泰州·模拟预测)若 , , ,则 与 的夹角为( ) A. B. C. D. 【答案】A 【解析】因为 ,所以 , 又 ,所以 ,解得 , 所以 , 设 与 的夹角为 , 所以 ,又 ,所以 . 故选:A 5.(2024·黑龙江大庆·模拟预测)已知 的三个内角 , , 的对边分别为 , , , , , , ,则线段 的长为( ) A. B. C. D. 【答案】B 【解析】因为 ,所以 ,整理得 ,即 , 所以 , 所以 故选:B. 6.(2024·辽宁沈阳·二模)已知向量 ,则“ ”是“ ”的( ) A.充分不必要条件 B.必要不充分条件 C.充分必要条件 D.既不充分也不必要条件 【答案】A 【解析】因为 , , 所以 , , 当 时, ,即 解得 所以“ ”是 的充分不必要条件. 故选:A. 7.(2024·陕西安康·模拟预测)若平面向量 满足 ,则向量 夹角的余弦值 为( ) A. B. C. D. 【答案】A 【解析】设向量 夹角为 , 两边平方得则 , 又 , 即 ,解得 . 故选:A. 8.(2024·江西新余·二模)已知 , ,若 与 的夹角为 ,则 ( ) A.-1 B.1 C. D.【答案】A 【解析】因为 , , 所以 , , , 因为 , 又 , 所以 , 解得 或 , 因为 ,所以 , 解得 , 所以 . 故选: . 9.(多选题)(2024·浙江·模拟预测)已知向量 , 的夹角为 ,且 , ,则( ) A. B. C. D. 在 的方向上的投影向量为 【答案】AB 【解析】 , ,故A正确; ,所以 ,故B正确; ,所以 , 又因为 ,所以 ,故C错误; 在 上的投影向量为 ,故D错误; 故选:AB. 10.(多选题)(2024·江苏南京·二模)已知 内角 , , 的对边分别为 , , , 为的重心, , ,则( ) A. B. C. 的面积的最大值为 D. 的最小值为 【答案】ABC 【解析】 延长 交 于点 . 因为 是 的重心, 所以点 是 中点, , 则 . 对于选项A:因为 ,故选项A正确; 对于选项B:由 得: , 所以 ,当且仅当 时等号成立. 又因为 ,即 , , 所以 , 即 ,当且仅当 时等号成立,故选项B正确; 对于选项C:因为 ,当且仅当 时等号成立, , 所以 ,故选项C正确; 对于选项D:由 , ,得 , 所以由余弦定理 可得: ,即 ,当且仅当 时 等号成立, 所以 的最小值是 ,故选项D错误. 故选:ABC. 11.(多选题)(2024·江西鹰潭·三模)已知向量 , , ,则( ) A.若 ,则 B. 在 方向上的投影向量为 C.存在 ,使得 在 方向上投影向量的模为1 D. 的取值范围为 【答案】ACD 【解析】对于A,若 ,则 , 则 ,即 ,所以 ,故 A正确; 对于B, 在 方向上的投影向量为 ,故B错误; 对于C, 在 方向上的投影向量的模为 , 若 ,则 , 即 ,其中 , , 所以 , 所以存在 ,使得 在 方向上的投影向量的模为1,故C正确. 对于D, , 因为 所以 ,所以 ,所以 ,故D正确. 故选:ACD. 12.(多选题)(2024·广东广州·二模)在梯形 中, ,则( ) A. B. C. D. 【答案】ABD 【解析】在 中, , 则 , 由正弦定理知 , 即 ,故A正确; , , ,故B正确; ,故C错误;, 故 ,即 ,故D正确. 故选:ABD 13.(2024·天津南开·二模)已知在平行四边形 中, , ,记 , , 用 和 表示 ;若 , ,则 值为 . 【答案】 / 【解析】因为 ,所以 , 所以 ; 因为 ,所以 , 所以 , 故 ,即 , 又 , 故 ,即 , 因为 , , 所以 . 故答案为: ; . 14.(2024·湖南长沙·三模)在 ,已知 , .则 . 【答案】【解析】设 , , , 由 得 ,所以 . 又 ,因此 , . 由 ,得 ; 于是 , 所以 , ∴ ,即 . ∵ ,∴ ,∴ , ∴ 或 ,∴ 或 . 又∵ ,∴ , , ,则 . 故答案为: 15.(2024·广东江门·二模)设向量 ,则 的最小值为 . 【答案】 / 【解析】 ,令 ,则 , 所以 , 当 ,即 时, 取得最小值,且最小值为 . 故答案为: 16.已知向量 , , , 【答案】【解析】因为向量 , , , 所以 , 因此, . 故答案为: . 1.(2023年高考全国乙卷数学(文)真题)正方形 的边长是2, 是 的中点,则 ( ) A. B.3 C. D.5 【答案】B 【解析】方法一:以 为基底向量,可知 , 则 , 所以 ; 方法二:如图,以 为坐标原点建立平面直角坐标系, 则 ,可得 , 所以 ; 方法三:由题意可得: , 在 中,由余弦定理可得 , 所以 . 故选:B.2.(2023年高考全国甲卷数学(文)真题)已知向量 ,则 ( ) A. B. C. D. 【答案】B 【解析】因为 ,所以 , 则 , , 所以 . 故选:B. 3.(2023年高考全国甲卷数学(理)真题)已知向量 满足 ,且 ,则 ( ) A. B. C. D. 【答案】D 【解析】因为 ,所以 , 即 ,即 ,所以 . 如图,设 ,由题知, 是等腰直角三角形, AB边上的高 , 所以 , , . 故选:D. 4.(2023年高考全国乙卷数学(理)真题)已知 的半径为1,直线PA与 相切于点A,直线PB与 交于B,C两点,D为BC的中点,若 ,则 的最大值为( ) A. B. C. D. 【答案】A 【解析】如图所示, ,则由题意可知: , 由勾股定理可得当点 位于直线 异侧时或PB为直径时,设 , 则: ,则 当 时, 有最大值 . 当点 位于直线 同侧时,设 , 则: ,,则 当 时, 有最大值 . 综上可得, 的最大值为 . 故选:A. 5.(2023年新课标全国Ⅰ卷数学真题)已知向量 ,若 ,则( ) A. B. C. D. 【答案】D 【解析】因为 ,所以 , , 由 可得, , 即 ,整理得: . 故选:D. 6.(2022年新高考全国II卷数学真题)已知向量 ,若 ,则 ( ) A. B. C.5 D.6 【答案】C 【解析】 , ,即 ,解得 , 故选:C 7.(2022年高考全国乙卷数学(文)真题)已知向量 ,则 ( ) A.2 B.3 C.4 D.5 【答案】D 【解析】因为 ,所以 . 故选:D 8.(2022年高考全国乙卷数学(理)真题)已知向量 满足 ,则 ( ) A. B. C.1 D.2 【答案】C 【解析】∵ ,又∵ 9 , ∴∴ 故选:C. 9.(2022年新高考北京数学高考真题)在 中, .P为 所在平面内的 动点,且 ,则 的取值范围是( ) A. B. C. D. 【答案】D 【解析】依题意如图建立平面直角坐标系,则 , , , 因为 ,所以 在以 为圆心, 为半径的圆上运动, 设 , , 所以 , , 所以 ,其中 , , 因为 ,所以 ,即 ; 故选:D 10.(多选题)(2022年新高考全国II卷数学真题)已知O为坐标原点,过抛物线 焦点F的直线与C交于A,B两点,其中A在第一象限,点 ,若 ,则( ) A.直线 的斜率为 B. C. D. 【答案】ACD 【解析】对于A,易得 ,由 可得点 在 的垂直平分线上,则 点横坐标为 , 代入抛物线可得 ,则 ,则直线 的斜率为 ,A正确; 对于B,由斜率为 可得直线 的方程为 ,联立抛物线方程得 , 设 ,则 ,则 ,代入抛物线得 ,解得 ,则 , 则 ,B错误; 对于C,由抛物线定义知: ,C正确; 对于D, ,则 为钝角, 又 ,则 为钝角, 又 ,则 ,D正确. 故选:ACD.11.(2024年天津高考数学真题)在边长为1的正方形 中,点 为线段 的三等分点, ,则 ; 为线段 上的动点, 为 中点,则 的最小 值为 . 【答案】 【解析】解法一:因为 ,即 ,则 , 可得 ,所以 ; 由题意可知: , 因为 为线段 上的动点,设 , 则 , 又因为 为 中点,则 , 可得 , 又因为 ,可知:当 时, 取到最小值 ;解法二:以B为坐标原点建立平面直角坐标系,如图所示, 则 , 可得 , 因为 ,则 ,所以 ; 因为点 在线段 上,设 , 且 为 中点,则 , 可得 , 则 , 且 ,所以当 时, 取到最小值为 ; 故答案为: ; . 12.(2023年天津高考数学真题)在 中, , ,记 ,用 表示 ;若 ,则 的最大值为 . 【答案】 【解析】空1:因为 为 的中点,则 ,可得 , 两式相加,可得到 ,即 ,则 ; 空2:因为 ,则 ,可得 , 得到 , 即 ,即 . 于是 . 记 , 则 , 在 中,根据余弦定理: , 于是 , 由 和基本不等式, , 故 ,当且仅当 取得等号, 则 时, 有最大值 . 故答案为: ; . 13.(2023年新课标全国Ⅱ卷数学真题)已知向量 , 满足 , ,则 . 【答案】 【解析】法一:因为 ,即 , 则 ,整理得 , 又因为 ,即 , 则 ,所以 .法二:设 ,则 , 由题意可得: ,则 , 整理得: ,即 . 故答案为: . 14.(2022年新高考天津数学高考真题)在 中, ,D是AC中点, ,试用 表示 为 ,若 ,则 的最大值为 【答案】 【解析】方法一: , , ,当且仅当 时取等号,而 ,所以 . 故答案为: ; . 方法二:如图所示,建立坐标系: , ,,所以点 的轨迹是以 为圆心,以 为半径 的圆,当且仅当 与 相切时, 最大,此时 . 故答案为: ; . 15.(2022年高考全国甲卷数学(文)真题)已知向量 .若 ,则 . 【答案】 / 【解析】由题意知: ,解得 . 故答案为: . 16.(2022年高考全国甲卷数学(理)真题)设向量 , 的夹角的余弦值为 ,且 , ,则 . 【答案】 【解析】设 与 的夹角为 ,因为 与 的夹角的余弦值为 ,即 , 又 , ,所以 , 所以 . 故答案为: .