当前位置:首页>文档>考点32平面向量的数量积(3种核心题型+基础保分练+综合提升练+拓展冲刺练)解析版_2.2025数学总复习_2025年新高考资料_一轮复习_2025年高考数学一轮复习核心题型讲与练(完结)

考点32平面向量的数量积(3种核心题型+基础保分练+综合提升练+拓展冲刺练)解析版_2.2025数学总复习_2025年新高考资料_一轮复习_2025年高考数学一轮复习核心题型讲与练(完结)

  • 2026-03-31 11:04:29 2026-03-27 12:20:02

文档预览

考点32平面向量的数量积(3种核心题型+基础保分练+综合提升练+拓展冲刺练)解析版_2.2025数学总复习_2025年新高考资料_一轮复习_2025年高考数学一轮复习核心题型讲与练(完结)
考点32平面向量的数量积(3种核心题型+基础保分练+综合提升练+拓展冲刺练)解析版_2.2025数学总复习_2025年新高考资料_一轮复习_2025年高考数学一轮复习核心题型讲与练(完结)
考点32平面向量的数量积(3种核心题型+基础保分练+综合提升练+拓展冲刺练)解析版_2.2025数学总复习_2025年新高考资料_一轮复习_2025年高考数学一轮复习核心题型讲与练(完结)
考点32平面向量的数量积(3种核心题型+基础保分练+综合提升练+拓展冲刺练)解析版_2.2025数学总复习_2025年新高考资料_一轮复习_2025年高考数学一轮复习核心题型讲与练(完结)
考点32平面向量的数量积(3种核心题型+基础保分练+综合提升练+拓展冲刺练)解析版_2.2025数学总复习_2025年新高考资料_一轮复习_2025年高考数学一轮复习核心题型讲与练(完结)
考点32平面向量的数量积(3种核心题型+基础保分练+综合提升练+拓展冲刺练)解析版_2.2025数学总复习_2025年新高考资料_一轮复习_2025年高考数学一轮复习核心题型讲与练(完结)
考点32平面向量的数量积(3种核心题型+基础保分练+综合提升练+拓展冲刺练)解析版_2.2025数学总复习_2025年新高考资料_一轮复习_2025年高考数学一轮复习核心题型讲与练(完结)
考点32平面向量的数量积(3种核心题型+基础保分练+综合提升练+拓展冲刺练)解析版_2.2025数学总复习_2025年新高考资料_一轮复习_2025年高考数学一轮复习核心题型讲与练(完结)
考点32平面向量的数量积(3种核心题型+基础保分练+综合提升练+拓展冲刺练)解析版_2.2025数学总复习_2025年新高考资料_一轮复习_2025年高考数学一轮复习核心题型讲与练(完结)
考点32平面向量的数量积(3种核心题型+基础保分练+综合提升练+拓展冲刺练)解析版_2.2025数学总复习_2025年新高考资料_一轮复习_2025年高考数学一轮复习核心题型讲与练(完结)
考点32平面向量的数量积(3种核心题型+基础保分练+综合提升练+拓展冲刺练)解析版_2.2025数学总复习_2025年新高考资料_一轮复习_2025年高考数学一轮复习核心题型讲与练(完结)
考点32平面向量的数量积(3种核心题型+基础保分练+综合提升练+拓展冲刺练)解析版_2.2025数学总复习_2025年新高考资料_一轮复习_2025年高考数学一轮复习核心题型讲与练(完结)
考点32平面向量的数量积(3种核心题型+基础保分练+综合提升练+拓展冲刺练)解析版_2.2025数学总复习_2025年新高考资料_一轮复习_2025年高考数学一轮复习核心题型讲与练(完结)
考点32平面向量的数量积(3种核心题型+基础保分练+综合提升练+拓展冲刺练)解析版_2.2025数学总复习_2025年新高考资料_一轮复习_2025年高考数学一轮复习核心题型讲与练(完结)
考点32平面向量的数量积(3种核心题型+基础保分练+综合提升练+拓展冲刺练)解析版_2.2025数学总复习_2025年新高考资料_一轮复习_2025年高考数学一轮复习核心题型讲与练(完结)
考点32平面向量的数量积(3种核心题型+基础保分练+综合提升练+拓展冲刺练)解析版_2.2025数学总复习_2025年新高考资料_一轮复习_2025年高考数学一轮复习核心题型讲与练(完结)
考点32平面向量的数量积(3种核心题型+基础保分练+综合提升练+拓展冲刺练)解析版_2.2025数学总复习_2025年新高考资料_一轮复习_2025年高考数学一轮复习核心题型讲与练(完结)
考点32平面向量的数量积(3种核心题型+基础保分练+综合提升练+拓展冲刺练)解析版_2.2025数学总复习_2025年新高考资料_一轮复习_2025年高考数学一轮复习核心题型讲与练(完结)
考点32平面向量的数量积(3种核心题型+基础保分练+综合提升练+拓展冲刺练)解析版_2.2025数学总复习_2025年新高考资料_一轮复习_2025年高考数学一轮复习核心题型讲与练(完结)
考点32平面向量的数量积(3种核心题型+基础保分练+综合提升练+拓展冲刺练)解析版_2.2025数学总复习_2025年新高考资料_一轮复习_2025年高考数学一轮复习核心题型讲与练(完结)
考点32平面向量的数量积(3种核心题型+基础保分练+综合提升练+拓展冲刺练)解析版_2.2025数学总复习_2025年新高考资料_一轮复习_2025年高考数学一轮复习核心题型讲与练(完结)
考点32平面向量的数量积(3种核心题型+基础保分练+综合提升练+拓展冲刺练)解析版_2.2025数学总复习_2025年新高考资料_一轮复习_2025年高考数学一轮复习核心题型讲与练(完结)
考点32平面向量的数量积(3种核心题型+基础保分练+综合提升练+拓展冲刺练)解析版_2.2025数学总复习_2025年新高考资料_一轮复习_2025年高考数学一轮复习核心题型讲与练(完结)
考点32平面向量的数量积(3种核心题型+基础保分练+综合提升练+拓展冲刺练)解析版_2.2025数学总复习_2025年新高考资料_一轮复习_2025年高考数学一轮复习核心题型讲与练(完结)
考点32平面向量的数量积(3种核心题型+基础保分练+综合提升练+拓展冲刺练)解析版_2.2025数学总复习_2025年新高考资料_一轮复习_2025年高考数学一轮复习核心题型讲与练(完结)
考点32平面向量的数量积(3种核心题型+基础保分练+综合提升练+拓展冲刺练)解析版_2.2025数学总复习_2025年新高考资料_一轮复习_2025年高考数学一轮复习核心题型讲与练(完结)
考点32平面向量的数量积(3种核心题型+基础保分练+综合提升练+拓展冲刺练)解析版_2.2025数学总复习_2025年新高考资料_一轮复习_2025年高考数学一轮复习核心题型讲与练(完结)
考点32平面向量的数量积(3种核心题型+基础保分练+综合提升练+拓展冲刺练)解析版_2.2025数学总复习_2025年新高考资料_一轮复习_2025年高考数学一轮复习核心题型讲与练(完结)
考点32平面向量的数量积(3种核心题型+基础保分练+综合提升练+拓展冲刺练)解析版_2.2025数学总复习_2025年新高考资料_一轮复习_2025年高考数学一轮复习核心题型讲与练(完结)
考点32平面向量的数量积(3种核心题型+基础保分练+综合提升练+拓展冲刺练)解析版_2.2025数学总复习_2025年新高考资料_一轮复习_2025年高考数学一轮复习核心题型讲与练(完结)
考点32平面向量的数量积(3种核心题型+基础保分练+综合提升练+拓展冲刺练)解析版_2.2025数学总复习_2025年新高考资料_一轮复习_2025年高考数学一轮复习核心题型讲与练(完结)
考点32平面向量的数量积(3种核心题型+基础保分练+综合提升练+拓展冲刺练)解析版_2.2025数学总复习_2025年新高考资料_一轮复习_2025年高考数学一轮复习核心题型讲与练(完结)
考点32平面向量的数量积(3种核心题型+基础保分练+综合提升练+拓展冲刺练)解析版_2.2025数学总复习_2025年新高考资料_一轮复习_2025年高考数学一轮复习核心题型讲与练(完结)
考点32平面向量的数量积(3种核心题型+基础保分练+综合提升练+拓展冲刺练)解析版_2.2025数学总复习_2025年新高考资料_一轮复习_2025年高考数学一轮复习核心题型讲与练(完结)
考点32平面向量的数量积(3种核心题型+基础保分练+综合提升练+拓展冲刺练)解析版_2.2025数学总复习_2025年新高考资料_一轮复习_2025年高考数学一轮复习核心题型讲与练(完结)
考点32平面向量的数量积(3种核心题型+基础保分练+综合提升练+拓展冲刺练)解析版_2.2025数学总复习_2025年新高考资料_一轮复习_2025年高考数学一轮复习核心题型讲与练(完结)
考点32平面向量的数量积(3种核心题型+基础保分练+综合提升练+拓展冲刺练)解析版_2.2025数学总复习_2025年新高考资料_一轮复习_2025年高考数学一轮复习核心题型讲与练(完结)
考点32平面向量的数量积(3种核心题型+基础保分练+综合提升练+拓展冲刺练)解析版_2.2025数学总复习_2025年新高考资料_一轮复习_2025年高考数学一轮复习核心题型讲与练(完结)
考点32平面向量的数量积(3种核心题型+基础保分练+综合提升练+拓展冲刺练)解析版_2.2025数学总复习_2025年新高考资料_一轮复习_2025年高考数学一轮复习核心题型讲与练(完结)
考点32平面向量的数量积(3种核心题型+基础保分练+综合提升练+拓展冲刺练)解析版_2.2025数学总复习_2025年新高考资料_一轮复习_2025年高考数学一轮复习核心题型讲与练(完结)
考点32平面向量的数量积(3种核心题型+基础保分练+综合提升练+拓展冲刺练)解析版_2.2025数学总复习_2025年新高考资料_一轮复习_2025年高考数学一轮复习核心题型讲与练(完结)
考点32平面向量的数量积(3种核心题型+基础保分练+综合提升练+拓展冲刺练)解析版_2.2025数学总复习_2025年新高考资料_一轮复习_2025年高考数学一轮复习核心题型讲与练(完结)
考点32平面向量的数量积(3种核心题型+基础保分练+综合提升练+拓展冲刺练)解析版_2.2025数学总复习_2025年新高考资料_一轮复习_2025年高考数学一轮复习核心题型讲与练(完结)
考点32平面向量的数量积(3种核心题型+基础保分练+综合提升练+拓展冲刺练)解析版_2.2025数学总复习_2025年新高考资料_一轮复习_2025年高考数学一轮复习核心题型讲与练(完结)
考点32平面向量的数量积(3种核心题型+基础保分练+综合提升练+拓展冲刺练)解析版_2.2025数学总复习_2025年新高考资料_一轮复习_2025年高考数学一轮复习核心题型讲与练(完结)
考点32平面向量的数量积(3种核心题型+基础保分练+综合提升练+拓展冲刺练)解析版_2.2025数学总复习_2025年新高考资料_一轮复习_2025年高考数学一轮复习核心题型讲与练(完结)
考点32平面向量的数量积(3种核心题型+基础保分练+综合提升练+拓展冲刺练)解析版_2.2025数学总复习_2025年新高考资料_一轮复习_2025年高考数学一轮复习核心题型讲与练(完结)
考点32平面向量的数量积(3种核心题型+基础保分练+综合提升练+拓展冲刺练)解析版_2.2025数学总复习_2025年新高考资料_一轮复习_2025年高考数学一轮复习核心题型讲与练(完结)
考点32平面向量的数量积(3种核心题型+基础保分练+综合提升练+拓展冲刺练)解析版_2.2025数学总复习_2025年新高考资料_一轮复习_2025年高考数学一轮复习核心题型讲与练(完结)
考点32平面向量的数量积(3种核心题型+基础保分练+综合提升练+拓展冲刺练)解析版_2.2025数学总复习_2025年新高考资料_一轮复习_2025年高考数学一轮复习核心题型讲与练(完结)
考点32平面向量的数量积(3种核心题型+基础保分练+综合提升练+拓展冲刺练)解析版_2.2025数学总复习_2025年新高考资料_一轮复习_2025年高考数学一轮复习核心题型讲与练(完结)
考点32平面向量的数量积(3种核心题型+基础保分练+综合提升练+拓展冲刺练)解析版_2.2025数学总复习_2025年新高考资料_一轮复习_2025年高考数学一轮复习核心题型讲与练(完结)
考点32平面向量的数量积(3种核心题型+基础保分练+综合提升练+拓展冲刺练)解析版_2.2025数学总复习_2025年新高考资料_一轮复习_2025年高考数学一轮复习核心题型讲与练(完结)
考点32平面向量的数量积(3种核心题型+基础保分练+综合提升练+拓展冲刺练)解析版_2.2025数学总复习_2025年新高考资料_一轮复习_2025年高考数学一轮复习核心题型讲与练(完结)
考点32平面向量的数量积(3种核心题型+基础保分练+综合提升练+拓展冲刺练)解析版_2.2025数学总复习_2025年新高考资料_一轮复习_2025年高考数学一轮复习核心题型讲与练(完结)
考点32平面向量的数量积(3种核心题型+基础保分练+综合提升练+拓展冲刺练)解析版_2.2025数学总复习_2025年新高考资料_一轮复习_2025年高考数学一轮复习核心题型讲与练(完结)
考点32平面向量的数量积(3种核心题型+基础保分练+综合提升练+拓展冲刺练)解析版_2.2025数学总复习_2025年新高考资料_一轮复习_2025年高考数学一轮复习核心题型讲与练(完结)
考点32平面向量的数量积(3种核心题型+基础保分练+综合提升练+拓展冲刺练)解析版_2.2025数学总复习_2025年新高考资料_一轮复习_2025年高考数学一轮复习核心题型讲与练(完结)
考点32平面向量的数量积(3种核心题型+基础保分练+综合提升练+拓展冲刺练)解析版_2.2025数学总复习_2025年新高考资料_一轮复习_2025年高考数学一轮复习核心题型讲与练(完结)
考点32平面向量的数量积(3种核心题型+基础保分练+综合提升练+拓展冲刺练)解析版_2.2025数学总复习_2025年新高考资料_一轮复习_2025年高考数学一轮复习核心题型讲与练(完结)
考点32平面向量的数量积(3种核心题型+基础保分练+综合提升练+拓展冲刺练)解析版_2.2025数学总复习_2025年新高考资料_一轮复习_2025年高考数学一轮复习核心题型讲与练(完结)
考点32平面向量的数量积(3种核心题型+基础保分练+综合提升练+拓展冲刺练)解析版_2.2025数学总复习_2025年新高考资料_一轮复习_2025年高考数学一轮复习核心题型讲与练(完结)
考点32平面向量的数量积(3种核心题型+基础保分练+综合提升练+拓展冲刺练)解析版_2.2025数学总复习_2025年新高考资料_一轮复习_2025年高考数学一轮复习核心题型讲与练(完结)

文档信息

文档格式
docx
文档大小
3.246 MB
文档页数
59 页
上传时间
2026-03-27 12:20:02

文档内容

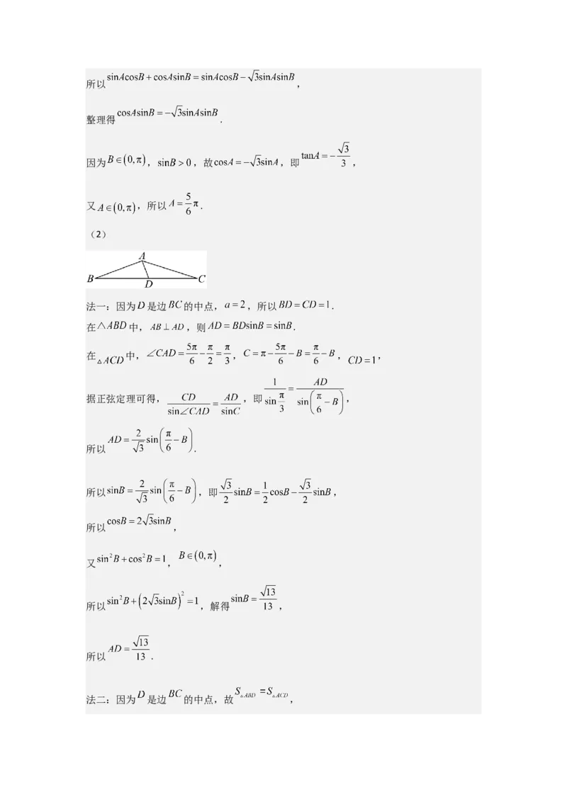
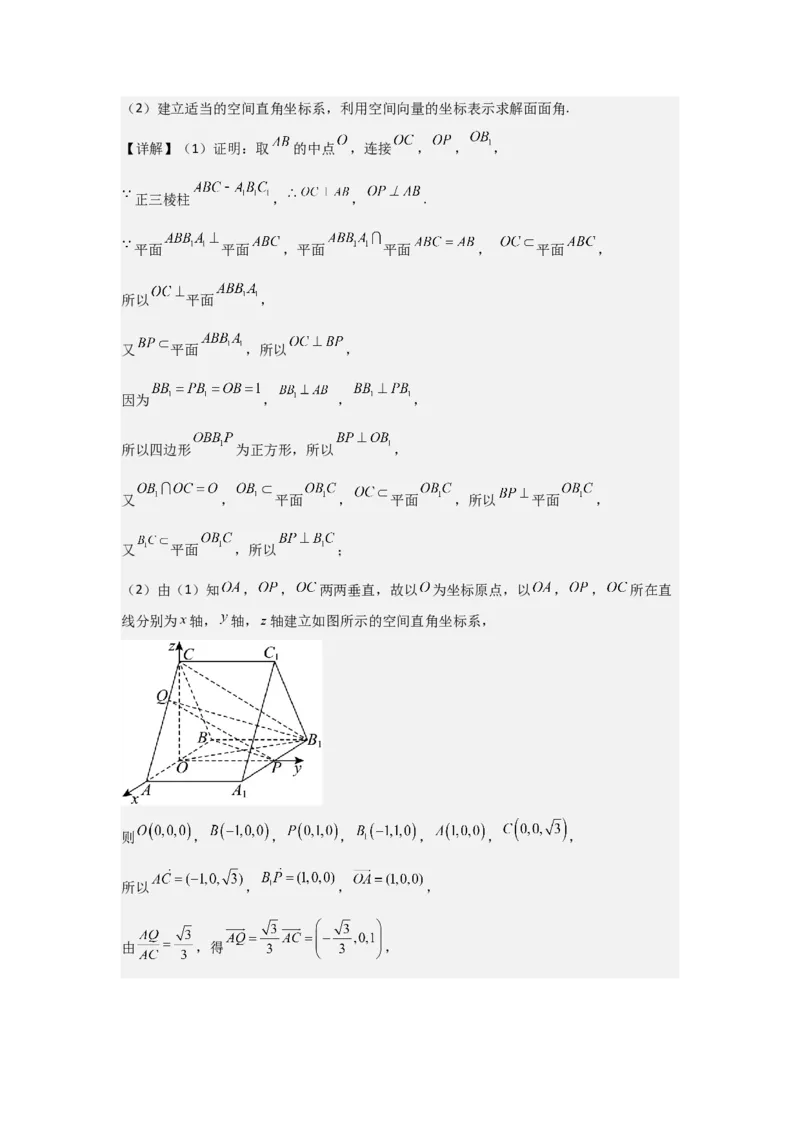
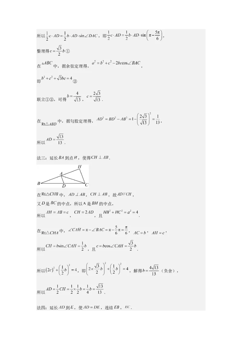
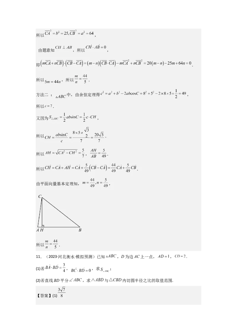
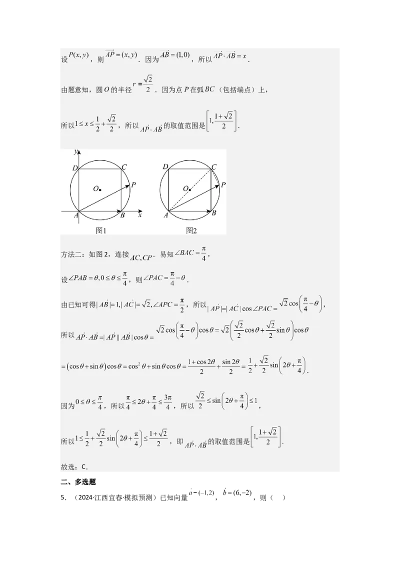
考点 32 平面向量的数量积(3 种核心题型+基础保分练+综 合提升练+拓展冲刺练) 【考试提醒】 1.理解平面向量数量积的含义及其几何意义. 2.了解平面向量的数量积与投影向量的关系. 3.掌握数量积的坐标表达式,会进行平面向量数量积的运算. 4.能运用数量积表示两个向量的夹角,会用数量积判断两个平面向量的垂直关系. 5.会用向量的方法解决某些简单的平面几何问题 【知识点】 1.向量的夹角 已知两个非零向量 a,b,O 是平面上的任意一点,作OA=a,OB=b,则 ∠ AOB = θ(0≤θ≤π)叫做向量a与b的夹角. 2.平面向量的数量积 已知两个非零向量a与b,它们的夹角为θ,我们把数量 | a | | b |cos θ 叫做向量a与b的数量积, 记作 a · b . 3.平面向量数量积的几何意义 设a,b是两个非零向量,它们的夹角是θ,e是与b方向相同的单位向量,AB=a,CD= b,过AB的起点A和终点B,分别作CD所在直线的垂线,垂足分别为A ,B ,得到A1B1, 1 1 我们称上述变换为向量a向向量b投影,A1B1叫做向量a在向量b上的投影向量.记为 | a | cos θ e . 4.向量数量积的运算律 (1)a·b= b · a . (2)(λa)·b= λ ( a · b ) = a ·( λ b ) . (3)(a+b)·c= a · c + b · c . 5.平面向量数量积的有关结论 已知非零向量a=(x,y),b=(x,y),a与b的夹角为θ. 1 1 2 2 几何表示 坐标表示数量积 a·b=|a||b|cos θ a·b=xx + yy 1 2 1 2 模 |a|= |a|= 夹角 cos θ= cos θ= a⊥b的充要条件 a·b=0 xx + yy = 0 1 2 1 2 |a·b|与|a||b|的关系 |a·b|≤|a||b| |xx+yy|≤ 1 2 1 2 常用结论 1.平面向量数量积运算的常用公式 (1)(a+b)·(a-b)=a2-b2; (2)(a±b)2=a2±2a·b+b2. 2.有关向量夹角的两个结论 (1)若a与b的夹角为锐角,则a·b>0;若a·b>0,则a与b的夹角为锐角或0. (2)若a与b的夹角为钝角,则a·b<0;若a·b<0,则a与b的夹角为钝角或π. 【核心题型】 题型一 平面向量数量积的基本运算 计算平面向量数量积的主要方法 (1)利用定义:a·b=|a||b|cos〈a,b〉. (2)利用坐标运算,若a=(x,y),b=(x,y),则a·b=xx+yy. 1 1 2 2 1 2 1 2 (3)利用基底法求数量积. (4)灵活运用平面向量数量积的几何意义 【例题1】(2024·陕西西安·模拟预测)已知平行四边形 中, ,则 的值为( ) A. B. C. D. 【答案】B 【分析】用向量 表示向量 ,再结合数量积的运算律计算即得. 【详解】平行四边形 中,由 ,得 , 由 ,得 , 因此 ,整理得 ,即 ,所以 . 故选:B 【变式1】(2024·浙江金华·三模)已知 , , ,则 ( ) A. B.16 C. D.9 【答案】B 【分析】由已知可得 ,可求得 ,进而计算可求 . 【详解】由 ,两边平方可得 , 所以 ,所以 . 故选:B. 【变式2】(2024·陕西西安·模拟预测)已知向量 的夹角为 ,若 ,则 . 【答案】4 【分析】对 化简结合已知条件可得答案. 【详解】因为向量 的夹角为 , , 所以 所以由 ,得 得 ,或 (舍去), 故答案为:4【变式3】(2024·辽宁丹东·一模)记 内角A,B,C的对边分别为a,b,c,已知 面积为S,且 . (1)求C; (2)若 , ,求S. 【答案】(1) (2) 【分析】(1)由余弦定理及面积公式可得结果. (2)根据向量数量积的定义及余弦定理可得结果. 【详解】(1)因为 ,即 , 整理得 ,即 ,所以 , 又 ,所以 . (2)因为 , , 即 ,又 ,所以 题型二 平面向量数量积的应用 (1)求平面向量的模的方法 ①公式法:利用|a|=及(a±b)2=|a|2±2a·b+|b|2; ②几何法:利用向量的几何意义. (2)求平面向量的夹角的方法 ①定义法:cos θ=; ②坐标法. (3)两个向量垂直的充要条件 a⊥b⇔a·b=0⇔|a-b|=|a+b|(其中a≠0,b≠0) 命题点1 向量的模 【例题2】(2024·江苏扬州·模拟预测)已知向量 , 满足 , ,且 与 的夹角为 ,则 ( ) A. B. C.1 D.13 【答案】B 【分析】根据 ,结合数量积运算求解. 【详解】根据题意, , 则 . 故选:B 【变式1】(2024·河北·三模)已知非零向量 , 的夹角为 , , , 则 ( ) A.1 B. C. D. 【答案】D 【分析】分析可知 ,向量 , 的夹角为 ,根据 结合数量积 的运算求解. 【详解】因为 ,则 , 且非零向量 , 的夹角为 , ,可知向量 , 的夹角为 ,则 , 所以 . 故选:D 【变式2】(2024·河南·三模)已知 的内角 , , 的对边分别为 , , , , ,若 为 中点,则 . 【答案】 【分析】根据余弦定理可得 ,即可利用向量的模长求解 . 【详解】由余弦定理, ,将 代入解得 , 因为 ,所以 ,所以 . 故答案为: 【变式3】(2023·福建福州·模拟预测)在 中,角 的对边分别是 ,且 . (1)求 ; (2)若 面积为 ,求 边上中线的长. 【答案】(1) (2) 【分析】(1)由正弦定理边化角即可得到角 ; (2)根据 ,得 ,结合三角形面积公式即可得到 ,再由正弦定理得边 c,以及 ,即可得到答案.【详解】(1) ,由正弦定理边化角得 , , , 或 (舍), 又 , ; (2) , , , , ,即 ,解得 , 由正弦定理 , 得 , 设 边的中点为 ,连接 ,如下图: ,即 , 即 , 解得 命题点2 向量的夹角 【例题3】(2024·北京·三模)若 ,则向量 与 的夹角为( ) A. B. C. D. 【答案】B 【分析】根据 ,得 ,结合数量积的运算律求出 ,再根据向量的 夹角公式即可得解.【详解】因为 ,所以 , 即 ,所以 , 所以 , 又 , 所以向量 与 的夹角为 . 故选:B 【变式1】(2024·江苏南通·三模)已知三个单位向量 满足 ,则向量 的夹 角为( ) A. B. C. D. 【答案】C 【分析】对等式两边同时平方即可得到 ,再利用向量数量积定义和向量夹角的范 围即可得到答案. 【详解】 ,即 , ,即 ,则 , 因为 , 的夹角为 , 故选:C 【变式2】(2024·江西·模拟预测)已知平面内非零向量 在向量 上的投影向量为 , 且 ,则 与 夹角的余弦值为 . 【答案】 【分析】利用投影向量公式计算即可.【详解】设 与 的夹角为 , 因为 , 即 ,又 , 则 ,即 . 故答案为: 【变式3】(2024·江西·模拟预测)如图,在正三棱柱 中, 是棱 的中点, 是棱 上一点,且 , . (1)求证: ; (2)求平面 与平面 的夹角的余弦值. 【答案】(1)证明见解析 (2) . 【分析】(1)取 的中点 ,连接 , , ,利用面面垂直证明 ,再证 明 平面 即可;(2)建立适当的空间直角坐标系,利用空间向量的坐标表示求解面面角. 【详解】(1)证明:取 的中点 ,连接 , , , 正三棱柱 , , . 平面 平面 ,平面 平面 , 平面 , 所以 平面 , 又 平面 ,所以 , 因为 , , , 所以四边形 为正方形,所以 , 又 , 平面 , 平面 ,所以 平面 , 又 平面 ,所以 ; (2)由(1)知 , , 两两垂直,故以 为坐标原点,以 , , 所在直 线分别为 轴, 轴, 轴建立如图所示的空间直角坐标系, 则 , , , , , , 所以 , , , 由 ,得 ,所以 , 所以 ,所以 , 设平面 的一个法向量 , 则 令 ,得 , ,所以 , 易知平面 的一个法向量为 , 设平面 与平面 的夹角为 , 所以 , 所以平面 与平面 的夹角的余弦值为 命题点3 向量的垂直 【例题4】(2024·江苏连云港·模拟预测)若向量 , 满足 , ,且 ,则 ( ) A.1 B. C. D.2 【答案】B 【分析】根据 求出 ,根据 即可求解. 【详解】因为 ,所以 , 所以 ,所以 ,其中 是 的夹角,所以 . 故选:B 【变式1】(2024·重庆·模拟预测)已知 ,且 与 不共线,若向量 与 互相垂直,则实数 的值为( ) A. B. C. D. 【答案】C 【分析】依题意可得 ,根据数量积的运算律计算可得. 【详解】因为向量 与 互相垂直, 所以 ,即 , 即 ,解得 . 故选:C 【变式2】(2024·宁夏银川·三模)已知 是单位向量,且 与 垂直, 与 的夹角为 135°,则 在 上的投影数量为 . 【答案】 【分析】由 与 垂直,结合 与 的夹角为135°,利用数量积的定义得到 ,再 利用 在 上的投影的定义求解. 【详解】解:因为 与 垂直, 所以 ,即 , 解得 ,又因为 与 的夹角为135°, 所以 ,解得 , 所以 在 上的投影数量为 , 故答案为: 【变式3】(2023高三·全国·专题练习)四面体 中, ,求证: . 【答案】证明见解析 【分析】根据题目条件,利用向量运算法则即可求得 ,即可证明 . 【详解】证明:如下图所示: 由条件得 ,即 , 则 , 移项得 , 即 ,即 , 所以 题型三 平面向量的实际应用 用向量方法解决实际问题的步骤【例题5】(2024·广东梅州·二模)如图,两根绳子把物体M吊在水平杆子AB上.已知物体 M的重力大小为20牛,且 ,在下列角度中,当角 取哪个值时,绳 承受 的拉力最小.( ) A. B. C. D. 【答案】C 【分析】由题意作出图形,在 中利用正弦定理列式,得到 的表达式,结合正 弦函数的性质算出 的最小值. 【详解】作出示意图,设与物体 平衡的力对应的向量为 ,则 , 以 为对角线作平行四边形 ,则 , 是绳 承受的拉力大小, 由 ,得 ,所以 , 中,由正弦定理得 ,即 ,可得 , 结合 ,可知当 时, 达到最小值10. 综上所述,当角 时,绳 承受的拉力最小. 故选:C 【变式1】(2020·宁夏中卫·二模)加强体育锻炼是青少年生活学习中非常重要的组成部分. 某学生做引体向上运动,处于如图所示的平衡状态时,若两只胳膊的夹角为 ,每只胳 膊的拉力大小均为 ,则该学生的体重(单位: )约为( ) (参考数据:取重力加速度大小为 ) A.63 B.69 C.75 D.81 【答案】B 【分析】根据平行四边形法则得到该学生的体重 ,利用余弦定理即可求出 得解. 【详解】 如图,设该学生的体重为 ,则 .由余弦定理得 . 所以 . 故选:B 【点睛】本题主要考查向量的平行四边形法则和余弦定理解三角形,意在考查学生对这些 知识的理解掌握水平 【变式2】(2024·全国·模拟预测)如图,某物体作用于同一点 的三个力 使物 体处于平衡状态,已知 , , 与 的夹角为 ,则 的大小为 .(牛顿 是物理的力学单位) 【答案】 【分析】根据三力平衡得到 ,然后通过平方将向量式数量化得到 ,代入数据即可得到答案. 【详解】由题意知三力平衡得 ,化简得 , 两边同平方得 ,即 , 即 ,解得 . 故答案为: 【变式3】(2022·内蒙古赤峰·三模)如图所示,把一个物体放在倾斜角为 的斜面上, 物体处于平衡状态,且受到三个力的作用,即重力 ,垂直斜面向上的弹力 ,沿着斜面向上的摩擦力 .已知: ,则 的大小为 . 【答案】 N 【分析】物体处于平衡状态,则重力 沿斜面上的分量与 方向相反,大小相同,即可求 值. 【详解】由题设, N, 故答案为: N. 【课后强化】 【基础保分练】 一、单选题 1.(2024·山西太原·模拟预测)已知单位向量 , 满足 ,则 与 的夹 角为( ) A. B. C. D. 【答案】D 【分析】根据题意结合数量积的运算律可得 ,进而可得 , ,结合夹角公式分析求解. 【详解】由题意可知: , 因为 ,解得 , 则 ,即 ,, 可得 , 且 ,所以 与 的夹角为 . 故选:D. 2.(2024·四川眉山·三模)已知向量 满足 ,且 ,则 ( ) A. B. C. D. 【答案】A 【分析】根据数量积的运算律求出 、 、 ,即可求出 、 、 ,再根据夹角公式计算可得. 【详解】由题意得 ,则 有 ,解得 , 又由 ,则 有 ,解得 , 同理可得 , 所以 , , , 所以 .故选:A 3.(2024·安徽合肥·模拟预测)记 的内角A,B,C的对边分别为a,b,c,若 , , ,则 可能是( ) A. B. C.1 D.2 【答案】C 【分析】利用余弦定理对 整理得到 ,即可得到动点 的轨迹, 然后利用正弦定理和平面向量得到 , 即可得到 是关于 的函数,最后根据函数 求 的范围即可. 【详解】 由余弦定理得 , 整理得 , 因为 ,所以 ,即 , 所以 , 因为 ,所以 , 又 ,则设 的外接圆圆心为 ,则动点 的轨迹为优弧 (不包括 、点 ). 设 ,在 中, ,, 则 , 由余弦定理得 ,则 是关于 的函数,且是增函数, 当 ,即B,O,M三点共线时, 最大,此时 , 当 时, ,即 ,所以 的取值范围为 . 故选:C. 4.(2024·重庆·模拟预测)如图,圆O内接边长为1的正方形 是弧 (包括端 点)上一点,则 的取值范围是( ) A. B. C. D. 【答案】C 【分析】法一:以A为坐标原点, 所在直线分别为x轴、y轴,建立平面直角坐标 系,应用向量的坐标运算即可求解;法二:连接 ,设 ,则 , ,即可求解. 【详解】方法一:如图1,以A为坐标原点, 所在直线分别为x轴、y轴,建立平 面直角坐标系,则 ).设 ,则 .因为 ,所以 . 由题意知,圆O的半径 .因为点P在弧 (包括端点)上, 所以 ,所以 的取值范围是 . 方法二:如图2,连接 .易知 , 设 ,则 . 由已知可得 ,所以 , 所以 . 因为 ,所以 ,所以 , 所以 ,即 的取值范围是 . 故选:C. 二、多选题 5.(2024·江西宜春·模拟预测)已知向量 , ,则( )A. B. C. 与 的夹角为 D. 在 上的投影向量为 【答案】ABD 【分析】A选项,根据 得到垂直关系;B选项,求出 ,根据模长 公式求出答案;C选项,根据 得到答案;D选项,利用 得到D正确. 【详解】A选项,因为 , . 所以 .则 .所以 .故A正确: B选项,因为 .所以 .故B正确; C选项,因为 .且 . 所以 .故C错误; 在 上的投影向量为 .故D正确. 故选:ABD. 6.(2024·浙江温州·模拟预测)已知单位向量 共面,则下列说法中正确的是( ) A.若 ,则 B.若 ,则 C.若 ,则 D.若 ,则 【答案】BD【分析】根据题意,结合向量的运算法则,以及向量的夹角公式,逐项判定,即可求解. 【详解】由 ,可得 ,即 , 可得 ,所以 ,所以A不正确,B正确; 因为向量 为单位向量,可得 , 又由 ,可得 ,则 ,即 , 可得 ,所以 , 因为 ,所以 ,所以C错误; 由 ,可得 ,则 ,可得 , 所以 ,因为 ,所以 ,所以D正确. 故选:BD. 三、填空题 7.(2024·辽宁丹东·二模)设向量 , 的夹角为 ,且 , ,则 . 【答案】9 【分析】法1:由数量积的几何意义可知 在向量 上的投影的数量为 ,可得 ,即 可求解; 法2:根据数量积的定义即可求解; 法3:根据题意设 , 的坐标,利用坐标运算即可求解. 【详解】法1:由向量数量积的几何意义得, 在向量 上的投影的数量为 , 所以 ,所以 ;法2:根据数量积定义有 , 所以 ; 法3:设 , , , 所以 . 故答案为: . 8.(2021·云南昆明·三模)两同学合提一捆书,提起后书保持静止,如图所示,则 与 大小之比为 . 【答案】 【分析】物体处于平衡状态,所以水平方向的合力为0,然后可算出答案. 【详解】物体处于平衡状态,所以水平方向的合力为0 所以 ,所以故答案为: 9.(2024·重庆·模拟预测)已知非零向量 、 满足 ,则向量 与 的 夹角为 . 【答案】 【分析】由向量垂直的数量积表示和数量积的定义式运算即可. 【详解】因为 , 设向量 与 的夹角为 , 又因为 , , 所以向量 与 的夹角为 . 故答案为: . 四、解答题 10.(23-24高三下·山东菏泽·阶段练习)记 的内角 , , 的对边分别为 , , ,向量 , 且 . (1)求角 的大小(2)若 的面积为 , ,求 . 【答案】(1) (2) 【分析】(1)利用向量垂直的坐标表示,结合正弦定理的边角变换与余弦定理即可得解; (2)利用三角形面积公式得到 ,利用三角函数的和差公式得到 ,再利用正弦 定理即可得解. 【详解】(1)因为 , , , 所以 , 由正弦定理得 ,化简得 , 所以 , 又 ,所以 . (2)由题意得 ,则 , 由 , 得 ,则 , 因为 ,所以 , 所以 . 11.(2024·江苏南通·模拟预测)在 中,角 , , 所对的边分别为 , , , 已知 , ,其中 为 的面积.(1)求角 的大小; (2)设 是边 的中点,若 ,求 的长. 【答案】(1) (2) 【分析】(1)由向量的数量积和三角形的面积公式以及正弦定理化简已知等式可得 ,再由两角和的正弦展开式结合特殊角的三角函数化简整理 即可; (2)法一:结合已知由正弦定理可得 ,代入数据化简后可得 ,再由两角差的正弦展开式和同角三角函数关系求出 ,即 可得到结果; 法二:由三角形的面积公式结合已知可得 ,再在 中,据余弦定理得 ,解出 ,然后在 中,据勾股定理解出结果即可; 法三:延长 到点 ,使得 ,由三角形中位线的性质结合勾股定理和三角函数 定义关系求出即可; 法四:延长 到 ,使 ,连结 , ,由已知结合三角函数的定义和勾股定 理解出即可; 【详解】(1)据 ,可得 , 即 , 结合正弦定理可得 . 在 中, ,所以 , 整理得 . 因为 , ,故 ,即 , 又 ,所以 . (2) 法一:因为 是边 的中点, ,所以 . 在 中, ,则 . 在 中, , , , 据正弦定理可得, ,即 , 所以 . 所以 ,即 , 所以 , 又 , , 所以 ,解得 , 所以 . 法二:因为 是边 的中点,故 ,所以 ,即 , 整理得 ① 在 中,据余弦定理得, , 即 ② 联立①②,可得 , . 在 中,据勾股定理得, , 所以 . 法三:延长 到点 ,使得 . 在 中, , ,故 , 又 是 的中点,所以 是 的中点, 所以 , ,且 . 在 中, , , , 所以 ,且 . 所以 ,即 ,解得 (负舍), 所以 . 法四:延长 到 ,使 ,连结 , .因为 是 的中点,且 , 故四边形 是平行四边形, . 又 ,所以 . 在 中, , , , , 所以 ,且 . 在 中, , , , , 据勾股定理 ,可得 , 将 代入上式,可得 (负舍), 所以 【综合提升练】 一、单选题 1.(2024·宁夏固原·一模)已知向量 ,若 ,则 ( ) A. B.1 C. D.2 【答案】B 【分析】根据给定条件,利用垂直关系的向量表示求出 ,再利用数量积与模的坐标表 示求解即得. 【详解】由题意知, , 由 ,得 ,解得 ,因此 ,解得 ,即 , 所以 . 故选:B 2.(2024·福建泉州·模拟预测)已知 , , ,则向量 与 的夹 角为( ) A. B. C. D. 【答案】A 【分析】首先求出 ,然后对 两边平方即可求出 的值,然后即可求出 的值,最后得出答案. 【详解】因为 ,所以 , 又 , , ,解得 , ,且 , , 即向量 与 的夹角为 . 故选:A. 3.(2024·吉林长春·模拟预测)已知两个向量 满足 , ,则 ( ) A.1 B. C. D.2 【答案】D 【分析】将 两边平方,结合数量积的运算律计算可得. 【详解】因为 , ,所以 ,即 ,解得 或 (舍去). 故选:D 4.(2024·浙江绍兴·二模)已知 , 是单位向量,且它们的夹角是 ,若 , ,且 ,则 ( ) A. B. C. D. 【答案】B 【分析】由 得 ,列出方程求解即可. 【详解】由 得, ,即 ,解得 , 故选:B. 5.(2024·河北衡水·模拟预测)在 中, ,则 ( ) A. B. C.9 D.18 【答案】C 【分析】将把 与 用 来表示,进而利用平面向量的数量积即可求解. 【详解】 , ,. 故选:C. 6.(2024·河南·模拟预测)已知向量 满足 ,又非零向量 满足 ,则 与 的夹角为( ) A. B. C. 或 D. 或 【答案】D 【详解】根据 求出 ,求出 ,根据 证明 , 根据向量证明 是等边三角形,据此即可求解. 【分析】由 ,可得 , 又 ,所以 ,又 , 所以 ,所以 ,如图,令 , , 则 ,易得 是等边三角形, 取 的中点 ,连接 ,则有 , 所以 与 共线,所以 与 的夹角为 或 . 故选:D. 7.(2024·湖北黄冈·二模)已知 为单位向量,向量 满足 ,则 的最 大值为( )A.9 B.3 C. D.10 【答案】C 【分析】根据条件得到 ,利用二次函数的性质,即可求 出结果. 【详解】根据条件得 , 得到 ,所以 ,即 的最大值为 , 故选:C. 8.(2024·云南曲靖·二模)已知 是 的外心, , ,则向量 在向量 上的投影向量为( ) A. B. C. D. 【答案】C 【分析】依题意可知 是 的中点,从而得到 , ,解法一:过点 作 ,垂足为 ,即可得到 ,结合投影向量的定义即可得解;解法二: 设 ,根据向量 在向量 上的投影向量等于 计算可得. 【详解】由 ,所以 是 的中点,又 是 的外心, 则 ,再由 , , 则 为正三角形, , 角度一:如图,过点 作 ,垂足为 ,则 , , 所以向量 在向量 上的投影向量等于 .角度二:设 ,则 ,所以 , 所以向量 在向量 上的投影向量等于 . 故选:C. 二、多选题 9.(2024·全国·模拟预测)已知向量 .若 , 则( ) A. B. C. 在 方向上的投影向量为 D.与 反向的单位向量是 【答案】ABC 【分析】利用平面向量的坐标运算及投影向量、单位向量的定义一一判定选项即可. 【详解】 . . ,即 . ,即 ,解得 ,则 . 对于A, ,故A正确; 对于B,因为 ,故B正确;对于C, 在 方向上的投影向量为 ,故 正确; 对于D,与 反向的单位向量是 ,故D错误. 故选:ABC. 10.(23-24高三下·山东菏泽·开学考试)已知单位向量 , 的夹角为 ,则下列结论正 确的有( ) A. B. 在 方向上的投影向量为 C.若 ,则 D.若 ,则 【答案】AB 【分析】由题意可得 ,根据 可判断A;根据 在 方向上 的投影向量为 可判断B;根据 可判断C;根据数量积的运算律可 判断D. 【详解】因为 , 都是单位向量,所以 , 所以 ,即 ,故A正确; 在 方向上的投影向量为 ,故B正确; 若 ,则 ,即 ,即 , 因为 ,所以 ,故C错误;若 ,则 , 所以 ,即 ,故D错误. 故选:AB 11.(2024·贵州黔东南·二模)拋物线 的焦点 到准线的距离为1,经 过点 的直线 与 交于 两点,则( ) A.当 时,直线 斜率的取值范围是 B.当点 与点 重合时, C.当 时, 与 的夹角必为钝角 D.当 时, 为定值( 为坐标原点) 【答案】BCD 【分析】根据条件,得到 , ,再结合各个选项的条件,联立直线与抛物线方 程,逐一分析判断,即可求出结果. 【详解】依题意可得 , 对于选项A,当 时,设直线 的方程为 ,代入 , 得 ,则 ,得到 且 , 所以 ,故选项A错误, 对于选项B,当点 与点 重合时,直线 的方程为 ,代入 , 得 ,设 ,则 , 则 ,所以选项B正确, 当 时,直线 的方程为 ,代入 , 得 ,则 , ,易知 异号,所以 ,则 , 所以 ,得到 ,所以选项 正确, 又当 时, 在 内,则 , 又 三点不可能共线,所以 与 的夹角必为钝角,所以选项C正确, 故选:BCD. 三、填空题 12.(2024·辽宁沈阳·三模)已知向量 满足 , ,则 . 【答案】 【分析】根据数量积的运算律得到 ,再由 计算可得. 【详解】因为 ,所以 ,又 , 所以 . 故答案为: 13.(2020·河北张家口·二模)如图,某班体重为70kg的体育老师在做引体向上示范动作, 两只胳膊的夹角为 ,拉力大小均为 ,若使身体能向上移动,则拉力 的最小整数值 为 N.(取重力加速度大小为 , ) 【答案】405 【分析】根据向量的加法运算,两个拉力的合力大于体重即可. 【详解】设 是两个拉力 ,合力为 ,由于 ,在菱形 中知 ,所以 , ,所以 的最小整数为405 . 故答案为:405. 【点睛】本题考查向量加法的物理意义,力的合成与向量加法是等价的. 14.(2024·吉林长春·模拟预测)在 中,已知 ,当边BC的中线时, 的面积为 . 【答案】 【分析】用两种方法表示 ,求得 ,代入面积公式中计算即可. 【详解】 因为边BC的中线 , ,所以 , , , 又 , 所以 , , . 故答案为: . 四、解答题 15.(2024·贵州·模拟预测)在 中, , , , 为 的中点, 的角平分线 交 于点 . (1)求 的长; (2)求 的面积. 【答案】(1) (2) 【分析】(1)利用余弦定理求出 ,再由 将两边平方,结合数量积的定 义及运算律计算可得;(2)首先求出 ,再由 且 计算可得. 【详解】(1)∵ , 即 , ∴ , ∴ , ∴ (舍)或 , ∵ 为 的中点, ∴ , ∴ , ∴ . (2)∵ , ∴ , ∵ ,且 , ∴ , ∴ . 16.(22-23高三上·河南安阳·阶段练习)已知 (1)若 且 时, 与 的夹角为钝角,求 的取值范围; (2)若 函数 ,求 的最小值. 【答案】(1) ; (2) . 【分析】(1)根据给定条件,利用向量数量积及共线向量的坐标表示列式,求出 范 围作答. (2)利用数量积的坐标表示求出函数 ,再利用换元法结合二次函数性质求解作答. 【详解】(1)当 时, , 与 的夹角为钝角, 于是 ,且 与 不共线, 则 ,解得 ,又 ,即 , 则有 ,又当 与 共线时, ,解得 , 因此 与 不共线时, ,所以 的取值范围是 . (2)依题意,当 时, , 令 ,则 , 于是 ,而函数 在 上为增函 数, 则当 时,y有最小值 , 所以 的最小值为 17.(2024·全国·模拟预测)在 中,内角 所对的边分别为 . (1)试判断 的形状,并说明理由; (2)若 ,点 在 内, , ,求 . 【答案】(1) 为直角三角形 (2) 【分析】(1)先利用正弦定理将题给条件转化为 ,再依 据诱导公式和两角和差正弦公式化简,解之即可得到 ,进而得到 为直角三角 形; (2)先由 ,得到 ,再利用正弦定理和题给条件得到 和 之间的关系,进而求得 的值.【详解】(1)由正弦定理 ,可将 化为 ,即 . 因为 , 所以 . 即 , 即 . 所以 或 .所以 或 . 又 ,即 ,所以 ,即 . 所以 ,则 为直角三角形. (2)因为 ,所以 . 因为 ,所以 . 在 中, , 所以 .所以 . 在Rt 中, ,所以 . 在 中,设 ,则 . 由正弦定理,知 ,即 . 化简,得 .所以 . 因为 ,所以 .18.(2024·福建宁德·三模)在 中,角 的对边分别为 .已知 ,且 . (1)若 ,垂足为 ,求BD的长; (2)若 ,求 的长. 【答案】(1) (2) 【分析】(1)根据题意,由余弦定理可得 ,再由正弦定理结合三角形的面积公式即 可得到结果; (2)根据题意,由数量积的定义以及三角形面积公式可得 ,即可得到 的值,从而得到结果. 【详解】(1)由 及余弦定理,得 由 及正弦定理, 得 , 因为 的面积 , 所以 . (2)由 得 ①. 因为 , 所以 ②, 由①②得 ,又 ,故 . 从而 . 得 , 所以 . 19.(2024·湖北·二模)已知 的内角A,B,C的对边分别为a,b, , . (1)求A; (2)者 , ,求 的取值范围. 【答案】(1) (2) 【分析】(1)借助正弦定理、三角形内角和与两角差的正弦公式计算即可得; (2)借助向量的模长与平方的关系,结合数量积公式计算可得 ,借助三角 函数的性质,可令 , ,结合余弦定理计算可得 ,即 可得解. 【详解】(1)由正弦定理得 , 则 , 则 , , . 即 或 ,解得 或 . 因为 ,所以 ,所以 舍去,即 ; (2)由 得 ,则 ,则 , 则 ,则 ,即 . 令 , ,因为 , ,所以 . 因为 ,所以 ,解得 . 由(1)得 ,则 , 又因为 .所以 ,所以 , 解得 ,所以 ,解得 , 所以 . 令 ,则 ,则 . 因为 ,所以 ,即 【拓展冲刺练】 一、单选题 1.(2024·江苏·模拟预测)已知向量 , 满足 , , ,则 与 的夹角等于( ) A. B. C. D. 【答案】D 【分析】根据平面向量数量积公式求出 ,进而由夹角余弦公式求出答案 【详解】 ,故 , 则 ,所以 与 的夹角等于 . 故选:D2.(2024·浙江·三模)已知单位向量 满足 ,则 ( ) A.0 B. C. D.1 【答案】B 【分析】计算出 , , ,利用向量夹角余弦公式求 出答案. 【详解】 , ,故 , ,故 , 所以 . 故选:B 3.(2024·陕西·模拟预测)已知两个向量 ,且 ,则 的值为( ) A. B. C. D. 【答案】B 【分析】利用垂直关系的向量表示,结合模的坐标表示求解即得. 【详解】由 ,得 ,则 ,即 , 因此 ,所以 . 故选:B 4.(2023高三·全国·专题练习)已知椭圆 , 为两个焦点,O为原点,P为 椭圆上一点, ,则 ( )A. B. C. D. 【答案】B 【分析】根据椭圆的定义结合余弦定理求出 的值,利用 ,根据向量模的计算即可求得答案. 【详解】由题意椭圆 , 为两个焦点,可得 , 则 ①,即 , 由余弦定理得 , ,故 ,② 联立①②,解得: , 而 ,所以 , 即 , 故选:B 【点睛】方法点睛:本题综合考查了椭圆和向量知识的结合,解答时要注意到O为 的 中点,从而可以利用向量知识求解 . 二、多选题5.(2024·贵州·模拟预测)已知 , ,则下列结论正确的是( ) A. B. C. 与 的夹角为 D. 在 方向上的投影向量是 【答案】AC 【分析】已知向量的坐标,证明向量垂直,求向量的模长、夹角、投影等都比较简单,根 据公式求解即可. 【详解】因为 , ,所以 , 则 ,所以 ,故A正确; 因为 ,所以 ,故B错误; ,因为 ,所以 ,故C正确; 在 方向上的投影向量是 ,故D错误. 故选:AC. 6.(2022·湖北·模拟预测)已知向量 , ,则下列说法正确的是( ) A.若 ,则 的值为 B.若 ,则 的值为 C.若 ,则 与 的夹角为锐角 D.若 ,则【答案】AB 【分析】根据向量共线和垂直的的坐标表示,向量数量积和向量的模的坐标表示及向量夹 角的坐标表示一一判断即可. 【详解】对于A:若 ,则 ,解得 ,故A正确; 对于B:若 ,则 ,解得 ,故B正确; 对于C:当 时, 与 同向,此时 与 的夹角为 ,故C错误; 对于D:若 ,则 ,即 ,即 , 解得 , 当 时, , , , ,显然 , 当 时, , , , ,此时 ,故D错误. 故选:AB. 三、填空题 7.(2024·四川绵阳·模拟预测)已知非零向量 满足 ,且 ,则 的 夹角大小为 . 【答案】 【分析】由向量垂直的数量积表示和数量积的定义式运算即可. 【详解】因为 ,设向量 与 的夹角为6, 所以 , 又因为 , 所以 ,所以 .因为 ,所以 . 所以向量 的夹角大小为 . 故答案为: . 8.(2024·安徽合肥·三模)在 中,若 ,则 . 【答案】 【分析】根据题意,求得 和 ,设 为线段 上靠近 的 四等分点,得到 ,设 ,求得 ,即可求解. 【详解】由 ,可得 , 即 ,可得 ,所以 , 又由 ,可得 ,即 , 设 为线段 上靠近 的四等分点,则 , 设 ,则 , 所以 ,则 , 所以 . 故答案为: .9.(2023·上海闵行·二模)平面上有一组互不相等的单位向量 , ,…, ,若存 在单位向量 满足 ,则称 是向量组 , , …, 的平衡向量.已知 ,向量 是向量组 , , 的平衡向 量,当 取得最大值时, 值为 . 【答案】 【分析】设 ,结合题意可得 ,为使 最大, 则 两向量的方向相同,即 两向量的方向相同,也即 ,设直线 与直线 交于点 ,再分如图所示两种情况讨论即可得解. 【详解】设 , 由 ,得 ,即 , 由题意可得 , 即 ,即 , 为使 最大,则 两向量的方向相同,即 两向量的方向相同, 也即 ,所以 , 设直线 与直线 交于点 ,, 则 , 因为 ,所以 , 如图 所示, , 所以 , 即 , 如图 所示, , 所以 , 即 , 综上所述, . 故答案为: . . 【点睛】关键点睛:设 ,结合题意可得 ,根据最大,说明 两向量的方向相同,即 ,是解决本题的关键所在. 四、解答题 10.(2024·山东枣庄·一模)在 中,角 的对边分别为 ,且 . (1)求 ; (2)若 是边 上的高,且 ,求 . 【答案】(1) (2) 【分析】(1)由 ,利用正弦定理边化角,再切化弦由倍角公式化简,得 ,可求 的值. (2)以 为基底,由 ,代入数据运算得 的关系;或利用余弦定理和 勾股定理,求出 ,由平面向量基本定理求 的值. 【详解】(1) 中, ,由正弦定理和同角三角函数的商数关系, 得 ,由倍角公式得 . 又因为 为 的内角,所以 , , 所以 . 所以 , , 则有 ,得 . (2)方法一 : , , ,所以 , 由题意知 ,所以 , 即 . 所以 ,所以 . 方法二 : 中,由余弦定理得 , 所以 . 又因为 , 所以 . 所以 , . 所以 . 由平面向量基本定理知, , 所以 . 11.(2023·河北衡水·模拟预测)已知 ,D为边AC上一点, , . (1)若 , ,求 ; (2)若直线BD平分 ,求 与 内切圆半径之比的取值范围. 【答案】(1)(2) 【分析】(1)先利用平面向量的加减运算得到 ,再利用平面向量的数量 积运算法则求得 ,又利用余弦定理与数量积运算求得 ,由此利用三角形 面积公式即可得解; (2)先由角平分线性质定理得到 ,再利用余弦定理与数量积运算求得 ,从而利用三角形面积公式与内切圆的性质得到 , 进而利用换元法与不等式的性质求得 的范围,由此得解. 【详解】(1)如图1, , , 所以 , 因为 , , 所以 , 故 ,则 ,即 , 又 ,则 ,故 , 不妨记 , ,则 , 因为 , 所以 ,解得 ,则 ,因为 ,所以 , 所以 . . (2)如图2,不妨设 与 内切圆的半径分别为 与 , 因为直线BD平分 , 所以由角平分线性质定理得 ,记 ,则 , 记 ,则 , 因为 , 所以 , 因为 ,即 ,则 , 所以 ,即 , 因为 ( 为顶点 到 的距离), 又 , ,所以 ,则 , 令 ,则 , , 所以 , 因为 ,所以 ,则 ,故 , 所以 ,即 , 所以 ,故 , 所以 与 内切圆半径之比的取值范围为 .