当前位置:首页>文档>专题17数列综合大题归类:求和,放缩不等式(解析版)_02高考数学_2025年新高考资料_一轮复习_上好课2025年高考数学一轮复习知识清单3246850_题型必备·冲高分

专题17数列综合大题归类:求和,放缩不等式(解析版)_02高考数学_2025年新高考资料_一轮复习_上好课2025年高考数学一轮复习知识清单3246850_题型必备·冲高分

  • 2026-04-12 09:32:42 2026-04-12 08:01:19

文档预览

专题17数列综合大题归类:求和,放缩不等式(解析版)_02高考数学_2025年新高考资料_一轮复习_上好课2025年高考数学一轮复习知识清单3246850_题型必备·冲高分
专题17数列综合大题归类:求和,放缩不等式(解析版)_02高考数学_2025年新高考资料_一轮复习_上好课2025年高考数学一轮复习知识清单3246850_题型必备·冲高分
专题17数列综合大题归类:求和,放缩不等式(解析版)_02高考数学_2025年新高考资料_一轮复习_上好课2025年高考数学一轮复习知识清单3246850_题型必备·冲高分
专题17数列综合大题归类:求和,放缩不等式(解析版)_02高考数学_2025年新高考资料_一轮复习_上好课2025年高考数学一轮复习知识清单3246850_题型必备·冲高分
专题17数列综合大题归类:求和,放缩不等式(解析版)_02高考数学_2025年新高考资料_一轮复习_上好课2025年高考数学一轮复习知识清单3246850_题型必备·冲高分
专题17数列综合大题归类:求和,放缩不等式(解析版)_02高考数学_2025年新高考资料_一轮复习_上好课2025年高考数学一轮复习知识清单3246850_题型必备·冲高分
专题17数列综合大题归类:求和,放缩不等式(解析版)_02高考数学_2025年新高考资料_一轮复习_上好课2025年高考数学一轮复习知识清单3246850_题型必备·冲高分
专题17数列综合大题归类:求和,放缩不等式(解析版)_02高考数学_2025年新高考资料_一轮复习_上好课2025年高考数学一轮复习知识清单3246850_题型必备·冲高分
专题17数列综合大题归类:求和,放缩不等式(解析版)_02高考数学_2025年新高考资料_一轮复习_上好课2025年高考数学一轮复习知识清单3246850_题型必备·冲高分
专题17数列综合大题归类:求和,放缩不等式(解析版)_02高考数学_2025年新高考资料_一轮复习_上好课2025年高考数学一轮复习知识清单3246850_题型必备·冲高分
专题17数列综合大题归类:求和,放缩不等式(解析版)_02高考数学_2025年新高考资料_一轮复习_上好课2025年高考数学一轮复习知识清单3246850_题型必备·冲高分
专题17数列综合大题归类:求和,放缩不等式(解析版)_02高考数学_2025年新高考资料_一轮复习_上好课2025年高考数学一轮复习知识清单3246850_题型必备·冲高分
专题17数列综合大题归类:求和,放缩不等式(解析版)_02高考数学_2025年新高考资料_一轮复习_上好课2025年高考数学一轮复习知识清单3246850_题型必备·冲高分
专题17数列综合大题归类:求和,放缩不等式(解析版)_02高考数学_2025年新高考资料_一轮复习_上好课2025年高考数学一轮复习知识清单3246850_题型必备·冲高分
专题17数列综合大题归类:求和,放缩不等式(解析版)_02高考数学_2025年新高考资料_一轮复习_上好课2025年高考数学一轮复习知识清单3246850_题型必备·冲高分
专题17数列综合大题归类:求和,放缩不等式(解析版)_02高考数学_2025年新高考资料_一轮复习_上好课2025年高考数学一轮复习知识清单3246850_题型必备·冲高分
专题17数列综合大题归类:求和,放缩不等式(解析版)_02高考数学_2025年新高考资料_一轮复习_上好课2025年高考数学一轮复习知识清单3246850_题型必备·冲高分
专题17数列综合大题归类:求和,放缩不等式(解析版)_02高考数学_2025年新高考资料_一轮复习_上好课2025年高考数学一轮复习知识清单3246850_题型必备·冲高分
专题17数列综合大题归类:求和,放缩不等式(解析版)_02高考数学_2025年新高考资料_一轮复习_上好课2025年高考数学一轮复习知识清单3246850_题型必备·冲高分
专题17数列综合大题归类:求和,放缩不等式(解析版)_02高考数学_2025年新高考资料_一轮复习_上好课2025年高考数学一轮复习知识清单3246850_题型必备·冲高分
专题17数列综合大题归类:求和,放缩不等式(解析版)_02高考数学_2025年新高考资料_一轮复习_上好课2025年高考数学一轮复习知识清单3246850_题型必备·冲高分
专题17数列综合大题归类:求和,放缩不等式(解析版)_02高考数学_2025年新高考资料_一轮复习_上好课2025年高考数学一轮复习知识清单3246850_题型必备·冲高分
专题17数列综合大题归类:求和,放缩不等式(解析版)_02高考数学_2025年新高考资料_一轮复习_上好课2025年高考数学一轮复习知识清单3246850_题型必备·冲高分
专题17数列综合大题归类:求和,放缩不等式(解析版)_02高考数学_2025年新高考资料_一轮复习_上好课2025年高考数学一轮复习知识清单3246850_题型必备·冲高分
专题17数列综合大题归类:求和,放缩不等式(解析版)_02高考数学_2025年新高考资料_一轮复习_上好课2025年高考数学一轮复习知识清单3246850_题型必备·冲高分
专题17数列综合大题归类:求和,放缩不等式(解析版)_02高考数学_2025年新高考资料_一轮复习_上好课2025年高考数学一轮复习知识清单3246850_题型必备·冲高分
专题17数列综合大题归类:求和,放缩不等式(解析版)_02高考数学_2025年新高考资料_一轮复习_上好课2025年高考数学一轮复习知识清单3246850_题型必备·冲高分
专题17数列综合大题归类:求和,放缩不等式(解析版)_02高考数学_2025年新高考资料_一轮复习_上好课2025年高考数学一轮复习知识清单3246850_题型必备·冲高分
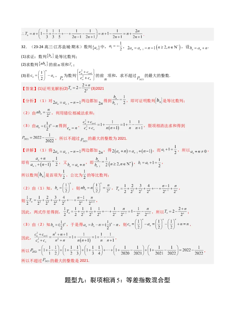
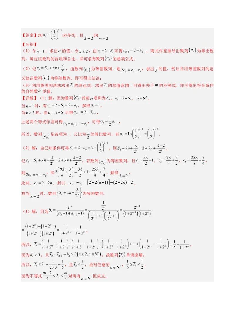
专题17数列综合大题归类:求和,放缩不等式(解析版)_02高考数学_2025年新高考资料_一轮复习_上好课2025年高考数学一轮复习知识清单3246850_题型必备·冲高分
专题17数列综合大题归类:求和,放缩不等式(解析版)_02高考数学_2025年新高考资料_一轮复习_上好课2025年高考数学一轮复习知识清单3246850_题型必备·冲高分
专题17数列综合大题归类:求和,放缩不等式(解析版)_02高考数学_2025年新高考资料_一轮复习_上好课2025年高考数学一轮复习知识清单3246850_题型必备·冲高分
专题17数列综合大题归类:求和,放缩不等式(解析版)_02高考数学_2025年新高考资料_一轮复习_上好课2025年高考数学一轮复习知识清单3246850_题型必备·冲高分
专题17数列综合大题归类:求和,放缩不等式(解析版)_02高考数学_2025年新高考资料_一轮复习_上好课2025年高考数学一轮复习知识清单3246850_题型必备·冲高分
专题17数列综合大题归类:求和,放缩不等式(解析版)_02高考数学_2025年新高考资料_一轮复习_上好课2025年高考数学一轮复习知识清单3246850_题型必备·冲高分
专题17数列综合大题归类:求和,放缩不等式(解析版)_02高考数学_2025年新高考资料_一轮复习_上好课2025年高考数学一轮复习知识清单3246850_题型必备·冲高分
专题17数列综合大题归类:求和,放缩不等式(解析版)_02高考数学_2025年新高考资料_一轮复习_上好课2025年高考数学一轮复习知识清单3246850_题型必备·冲高分
专题17数列综合大题归类:求和,放缩不等式(解析版)_02高考数学_2025年新高考资料_一轮复习_上好课2025年高考数学一轮复习知识清单3246850_题型必备·冲高分
专题17数列综合大题归类:求和,放缩不等式(解析版)_02高考数学_2025年新高考资料_一轮复习_上好课2025年高考数学一轮复习知识清单3246850_题型必备·冲高分
专题17数列综合大题归类:求和,放缩不等式(解析版)_02高考数学_2025年新高考资料_一轮复习_上好课2025年高考数学一轮复习知识清单3246850_题型必备·冲高分
专题17数列综合大题归类:求和,放缩不等式(解析版)_02高考数学_2025年新高考资料_一轮复习_上好课2025年高考数学一轮复习知识清单3246850_题型必备·冲高分
专题17数列综合大题归类:求和,放缩不等式(解析版)_02高考数学_2025年新高考资料_一轮复习_上好课2025年高考数学一轮复习知识清单3246850_题型必备·冲高分
专题17数列综合大题归类:求和,放缩不等式(解析版)_02高考数学_2025年新高考资料_一轮复习_上好课2025年高考数学一轮复习知识清单3246850_题型必备·冲高分
专题17数列综合大题归类:求和,放缩不等式(解析版)_02高考数学_2025年新高考资料_一轮复习_上好课2025年高考数学一轮复习知识清单3246850_题型必备·冲高分
专题17数列综合大题归类:求和,放缩不等式(解析版)_02高考数学_2025年新高考资料_一轮复习_上好课2025年高考数学一轮复习知识清单3246850_题型必备·冲高分
专题17数列综合大题归类:求和,放缩不等式(解析版)_02高考数学_2025年新高考资料_一轮复习_上好课2025年高考数学一轮复习知识清单3246850_题型必备·冲高分
专题17数列综合大题归类:求和,放缩不等式(解析版)_02高考数学_2025年新高考资料_一轮复习_上好课2025年高考数学一轮复习知识清单3246850_题型必备·冲高分
专题17数列综合大题归类:求和,放缩不等式(解析版)_02高考数学_2025年新高考资料_一轮复习_上好课2025年高考数学一轮复习知识清单3246850_题型必备·冲高分
专题17数列综合大题归类:求和,放缩不等式(解析版)_02高考数学_2025年新高考资料_一轮复习_上好课2025年高考数学一轮复习知识清单3246850_题型必备·冲高分
专题17数列综合大题归类:求和,放缩不等式(解析版)_02高考数学_2025年新高考资料_一轮复习_上好课2025年高考数学一轮复习知识清单3246850_题型必备·冲高分
专题17数列综合大题归类:求和,放缩不等式(解析版)_02高考数学_2025年新高考资料_一轮复习_上好课2025年高考数学一轮复习知识清单3246850_题型必备·冲高分
专题17数列综合大题归类:求和,放缩不等式(解析版)_02高考数学_2025年新高考资料_一轮复习_上好课2025年高考数学一轮复习知识清单3246850_题型必备·冲高分
专题17数列综合大题归类:求和,放缩不等式(解析版)_02高考数学_2025年新高考资料_一轮复习_上好课2025年高考数学一轮复习知识清单3246850_题型必备·冲高分

文档信息

文档格式
docx
文档大小
3.682 MB
文档页数
52 页
上传时间
2026-04-12 08:01:19

文档内容

专题 17 数列综合大题归类:求和,放缩不等式 目录 题型一:分组求和:公式法.................................................................................................................................................1 题型二:分组求和:奇偶分段型.........................................................................................................................................3 题型三:分组求和:正负相间型.........................................................................................................................................5 题型四:倒序求和型.............................................................................................................................................................7 题型五:裂项相消1:函数型..............................................................................................................................................9 题型六:裂项相消2:指数型............................................................................................................................................12 题型七:裂项相消3:无理根号型....................................................................................................................................14 题型八:裂项相消4:分子分母齐次分离型....................................................................................................................17 题型九:裂项相消5:等差指数混合型............................................................................................................................20 题型十:裂项相消6:正负相间裂和型............................................................................................................................22 题型十一:裂项相消7:三角函数型................................................................................................................................26 题型十二:裂项型证明数列不等式...................................................................................................................................28 题型十三:三角函数型数列不等式证明...........................................................................................................................30 题型十四:先求和再放缩证明数列不等式.......................................................................................................................35 题型十五:先放缩再求和证明数列不等式.......................................................................................................................39 题型十六:利用导数不等式证明数列不等式...................................................................................................................43 题型一:分组求和:公式法 等差等比求和是求和的基础。等差等比求和公式: 等差:前n项和公式:S=na+d=. n 1 等比:前n项和公式:S= n 1.(23-24高三·河北唐山·模拟)已知数列 , , . (1)证明:数列 , 为等比数列; (2)求数列 的通项公式; (3)求数列 的前n项和 . 【答案】(1)证明见解析(2) (3) 【分析】(1)根据已知条件得到 , ,即可证明答案. (2)根据题意得到 ,再解方程组即可. (3)利用分组求和的方法求解即可.【详解】(1)因为 , , 所以 , . 而 , ,所以 , , .所以数列 是以首项 ,公比为 的等比数列. 数列 是以首项 ,公比为 的等比数列. (2)由(1)知: , . (3)因为 ,所以 . 2.(2024·山东·二模)已知数列 , 中, , , 是公差为1的等差数列,数列 是公比为2的等比数列. (1)求数列 的通项公式; (2)求数列 的前 项和 . 【答案】(1) (2) 【分析】(1)先根据题意及等差数列的通项公式计算出数列 的通项公式,再根据等比数列的通项公式 计算出数列 的通项公式,即可计算出数列 的通项公式; (2)根据数列 的通项公式的特点运用分组求和法,以及等差数列和等比数列的求和公式即可计算出前 项和 . 【详解】(1)由题意,可得 , 故 , , 数列 是公比为2的等比数列,且 , , , . (2)由题意及(1),可得 ,则 . 3.(23-24高三·重庆九龙坡·模拟)已知等差数列 的前n项和为 ,且满足 . (1)求数列 的通项公式; (2)设 求数列 的前n项和 . 【答案】(1) (2) 【分析】(1)利用等差数列的概念计算公差,再求通项即可; (2)利用等差数列、等比数列的求和公式,分组求和计算即可. 【详解】(1)由题意可知 ,所以 , 设 的公差为d,则 ,所以 ; (2)由题意知, ,易知 , 故 . 4.(22-23高三·河南郑州·期中)已知数列 的前n项和为 ,且满足 (1)求证:数列 为等比数列; (2)求数列 的前n项和 . 【答案】(1)证明见解析(2) 【分析】(1)由 和 的关系式消去 得递推式 ,由此构造等比数列 ; (2)法一、由(1)求出数列通项,再分组求和;法二、由(1)求出数列通项,代入已知式,整理即得. 【详解】(1)当 时, ,解得 因 ①, 当 时, ② ①-②得, ,即 , 则 ,即 , ,又 所以 是以2为首项,2为公比的等比数列. (2)法一、由(1)可得 ,即 , 法二、由(1)可知 ,即 , 又由题知: 代入可得 题型二:分组求和:奇偶分段型 分组求和法: 1.形如a= ,用分组求和法,分别求和而后相加减 n 2.形如a= ,用分组求和法,分别求和而后相加减 n 3.形如a= ,用分组求和法,分别求和而后相加减 n 如果涉及到分段数列,则.要注意处理好奇偶数列对应的项: (1)可构建新数列;(2)可“跳项”求和 1.(23-24高三·江苏泰州·模拟)已知等差数列{a }中, ,前n项和为 ,{b }为各项均为正数的等 n n 比数列, ,且 , .(1)求 与 ; (2)定义新数列 满足 , ,求 前20项的和 . 【答案】(1) (2)【分析】(1)设出公差和公比,根据等差数列和等比数列的基本量运算,列出方程组,解之即得数列通 项; (2)根据数列 的奇偶性特征,运用分组求和法计算 ,利用等差数列和等比数列的求和公式计算即 得. 【详解】(1)设数列{a }的公差为 ,数列{b }的公比为 , n n 则由 可得, ,解得: 故 (2)由(1)得, , , 则 2.(2024·山西·三模)已知等差数列 的公差 ,前 项和为 ,且 , . (1)求数列 的通项公式; (2)若 ,求数列 的前 项和 . 【答案】(1) (2) 【分析】(1)依题意得到关于 、 的方程组,解得 、 ,即可求出通项公式; (2)由(1)可得 ,利用分组求和法计算可得. 【详解】(1)因为 , , 所以 ,解得 或 , 因为 ,所以 ,则 ; (2)由(1)可得 , 所以 . 3.(23-24高三下·广东·模拟)已知数列{a }是公差不为0的等差数列,其前n项和为 , , , , n 成等比数列. (1)求{a }的通项公式; n (2)若 , ,求数列{b }的前100项和 . n 【答案】(1) (2) 【分析】(1)根据等差数列基本量的计算可得公差和首项,即可求解通项, (2)利用等差等比求和公式,结合分组求和即可求解.【详解】(1)设数列{a }的首项为 ,公差为 ,根据题意得 即 n 解得 或 .又因 ,所以 .所以{a }的通项公式为 . n (2)由(1)得 .即数列{b }的偶数项是以4为首项,4为公差的等差数列, n 奇数项是以 为首项,16为公比的等比数列. 数列{b }的前100项中偶数项有50项,奇数项有50项, n 数列{b }的前100项和 . n , . 所以 . 4.(23-24高三·江苏盐城·期末)已知等差数列 的首项为1,公差 .数列 为公比 的等比数 列,且 成等差数列. (1)求数列 和数列 的通项公式; (2)若 ,求数列 的前 项和 . 【答案】(1) , (2) 【分析】(1)直接根据等差数列,等比数列基本量的运算即可得结果; (2)分为奇数项和偶数项结合等差数列和等比数列的前 项和即可得结果. 【详解】(1)由于等差数列 的首项为1,公差 所以 , 由数列 为公比是2的等比数列且 成等差数列, 知 ,解得 ,所以 . (2)由(1)知, , . 题型三:分组求和:正负相间型正负相间求和: 1.奇偶项正负相间型求和,可以两项结合构成“常数数列”。 2.如果需要讨论奇偶,一般情况下,先求偶,再求奇。求奇时候,直接代入偶数项公式,再加上最后的 奇数项通项。 1.(24-25高三·全国·练习)已知数列 ,求数列 的前 项和 . 【答案】 【分析】分奇偶讨论,结合分组(并项)求和即可. 【详解】若 是偶数,则 . 若 是奇数,则 . 综上所述, 2.(2023·广西南宁·模拟预测)已知数列 的前n项和为 , , . (1)求 的通项公式; (2)设 , ,求数列 的前n项和 . 【答案】(1) (2) 【分析】(1)根据 与 的关系直接求通项公式即可; (2)根据(1)中{a }的通项公式得到 ,分奇偶讨论 并整合即可得到答案. n 【详解】(1)由题意,当 时, , 当 时, ,当 时,上式也符合, 所以{a }的通项公式为 . n (2)由(1)得, ,所以 , . (ⅰ)当n为偶数时, ;(ⅱ)当n为奇数时, ; 综上所述, . 3.(2024·辽宁沈阳·模拟预测)已知数列 满足 , , 是数列 的前 项和,对任意 ,有 (1)求数列 的通项公式; (2)设 ,求 的前100项的和. 【答案】(1) ;(2) 【分析】(1)根据 作差得到 ,从而得到 , 结合等差数列的定义计算可得; (2)由(1)可得 ,记 ,则 ,利用并项求和法计算可得. 【详解】(1)由 , , 两式相减得 ,即 , 因为 ,所以 ,即 , 故 是首项为 ,公差为 的等差数列,所以 ; (2)由(1)知 ,所以 , 记 ,则 , 4.(23-24高三·广东深圳·期末)已知等差数列 的前 项和为 , ,且 , , 成 等比数列. (1)求数列 的通项公式; (2)若 , , 是数列 的前 项和.求 【答案】(1) 或 (2) 【分析】(1)设出公差,根据条件求解公差,即可求出通项公式; (2)利用并项求和法求解即可. 【详解】(1) 为等差数列,设公差为 , , , , , 成等比数列, , 即 ,整理得 ,解得 或 , 当 时, , ,当 时, , , 数列 的通项公式为 或 ; (2) ,由(1)知, , ,, .故 . 题型四:倒序求和型 倒序求和: 倒序求和,多是具有中心对称的“函数型”,此类函数具有“和定”的特征,满足“和定”特征的还有 组合数。 1.(2022高三·全国·模拟)设 是函数 的图象上任意两点,且 ,已知点 的横坐标为 . (1)求证: 点的纵坐标为定值; (2)若 且 求 ; 【答案】(1)证明见解析;(2) . 【分析】(1)利用中点坐标公式的表示,得到 ,然后代入求中点的纵坐标的过程,根据对数运 算法则,可以得到常数; (2)利用(1)中所求,当 时, ,可以采用倒序相加法,求和即可. 【详解】(1)证明:设 ,因为 ,故可得 , 由 知 ,故 , 故 . 故 点的纵坐标为定值 . (2)由(1)知 ,两式相加得: , 故 . 2.(20-21高三·全国·模拟)已知函数 ,数列 的前 项和为 ,点 均在 函数 的图象上. (1)求数列 的通项公式;(2)若函数 ,令 ,求数列 的前2020项和 . 【答案】(1) ;(2) . 【分析】(1)由题意可得 ,然后利用 可求出数列 的通项公式; (2)由题意可得 ,然后利用倒序相加法可求得结果 【详解】(1)∵点 均在函数 的图象上,∴ . 当 时, ; 当 时, ,适合上式,∴ . (2)∵ ,∴ .又由(1)知 ,∴ . ∴ ,① 又 ,② ①+②, ,∴ . 3.(20-21高三·江苏苏州·期中)已知 (1)若 ,求 ; (2)若 ,求 除以5的余数 【答案】(1) ;(2)余数为1. 【分析】(1)根据倒序相加法,结合二项式系数和公式进行求解即可; (2)根据二项式定理进行求解即可. 【详解】(1)因为 所以 , (2)因为 . 除以5余数为1,所以 除以5的余数为1. 4.(23-24高三·四川成都·模拟)已知数列 满足: ,数列 满足 .(1)求数列 的通项公式; (2)求 的值; (3)求 的值. 【答案】(1) (2) (3)【分析】(1)根据题意,当 时,可得 ,两式相减,求得 ,再由 ,得到 ,即可求得数列{a }的通项公式. n (2)由(1)得 ,结合指数幂的运算法则,即可求得 的值;. (3)由(2)知 ,结合倒序相加法,即可求解. 【详解】(1)由数列{a }满足: ,当 时,可得 n , 两式相减,可得 ,所以 ,当 ,可得 ,所以 ,适合上式, 所以数列{a }的通项公式为 . n (2)由数列{b }满足 , n 则 . (3)由(2)知 , 可得 , 则 , 两式相加可得 ,所以 . 题型五:裂项相消 1:函数型 函数型,指的是 (1)f(n)=t(q-p),差型; (2)f(n)是分离常数型; 1.(24-25高三·广东·开学考试)已知数列 的各项均为正数, 为 的前 项和,且 . (1)求 的通项公式; (2)设 ,记 的前 项和为 ,求证: . 【答案】(1) (2)证明见解析【分析】(1)由题意知,当 时, ,代入题干表达式可得 ,通过计算 数列 的通项公式即可计算出前 项和 的表达式,最后结合公式 ,即可计算出数 列{a }的通项公式; n (2)由(1)计算出数列{b }的通项公式,再运用裂项相消法计算出前 项和 的表达式,最后根据不等 n 式的性质即可证明结论成立. 【详解】(1)由 ,得 ,即 ; 又 , 所以 是以1为首项,2为公差的等差数列, 所以 ,又{a }是正项数列,所以 . n 当 时, ,又当 时, 不符合 时 的形式. 所以 (2)证明: , . 2.(23-24高三·江西·模拟)已知数列 满足 . (1)求 的通项公式; (2)设 ,记数列 的前 项和为 ,证明: . 【答案】(1) (2)证明见解析 【分析】(1)利用作差法得到 ,即可求出 的通项公式; (2)由(1)可得 ,利用裂项相消法求和即可得证. 【详解】(1)因为 ,当 时 ,所以 ; 当 时 , 所以 ,所以 ,经检验当 时 也成立, 所以 . (2)由(1)可得 , 所以 ,当 时, ,且 , 所以 单调递增,所以 . 3.(2024·陕西西安·模拟预测)设数列 的前 项和为 ,且 . (1)求数列 的通项公式; (2)若 ,数列 的前 项和为 恒成立,求实数 的最小值. 【答案】(1) (2) 【分析】(1)根据条件,利用 与 间的关系,得到 ,再利用累积法,即可求出结果; (2)根据(1)中结果得到 ,利用裂项相消法得到 ,即可求出结果. 【详解】(1)因为 ①,所以当 时, ②, 由① ②得到 ,整理得到 ,又 ,所以 ,得到 , 所以当 时, , 当 ,满足 ,所以 . (2)由(1)知 , 所以 , 因为 ,且 ,所以 是关于 的递增数列,由 恒成立,得到 , 所以实数 的最小值为 . 4.(23-24高三·河北石家庄·模拟)已知等差数列{a }的前n项的和为 成等差数列,且 n 成等比数列. (1)求{a }的通项公式; n (2)若 ,数列{b }的前n项的和为 ,试比较 与 的大小,并证明你的结论. n 【答案】(1) (2) ,证明见解析 【分析】(1)根据题意,利用等差中项和等比中项列出方程组,即可解出首项和公差,进而求出{a }的通 n 项公式; (2)将 化简,利用裂项相消法求和,即可得 ,从而判断 . 【详解】(1)设 的公差为 ,由题意得 ,即 ,解得 , 所以 . (2) , 所以 , 因为 ,所以 ,即 . 题型六:裂项相消 2:指数型 指数型,类似函数型的列项思维 形如 1.(23-24高三·河南·模拟)已知数列 满足 . (1)求 的通项公式; (2)若 ,记数列 的前 项和为 ,求证: . 【答案】(1) ;(2)证明见解析. 【分析】(1)构造等比数列 ,结合等比数列的通项公式,即可求得结果; (2)根据(1)中所求 ,利用裂项求和法,求得 ,再证明即可. 【详解】(1)因为 ,所以 又 , 所以 , 所以 是以9为首项,3为公比的等比数列, 所以 ,所以 . (2)由(1)知 , 所以 ,又 ,所以 . 2.(23-24高三下·河南·模拟)已知数列 满足 (1)求证: 为等比数列;(2)数列 的前n项和为 ,求数列 的前n项和 . 【答案】(1)证明见解析;(2) 【分析】(1)变形给定等式,再利用等比数列定义判断得解. (2)由(1)求出数列 的通项公式及前n项和,再利用裂项相消法求和即得. 【详解】(1)数列{a }中, ,则 , n 而 ,即 , 所以数列 是以2为首项,3为公比的等比数列. (2)由(1)知, , , , , 所以数列 的前n项和 . 3.(23-24高三·云南曲靖·模拟)设等差数列 的前 项和为 ,且 , . (1)求数列 的通项公式; (2)若 ,求数列 的前 项和 . 【答案】(1) (2) 【分析】(1)设数列 的公差为 ,然后由已知条件列方程组求出 ,从而可求出其通项公式; (2)由(1)得 ,再利用裂项相消法求和. 【详解】(1)设数列 的公差为 ,由题意可得 ,解得 ; (2)由(1)可知 , . 4.(23-24高三·湖北武汉·模拟)如图形状出现在南宋数学家杨辉所著的《详解九章算法商功》中,后人 称为“三角垛”.“三角垛”的最上层有1个球,第二层有3个球,第三层有6个球……,设各层球数构 成一个数列{a } n(1)求数列{a }的通项公式; n (2)若数列{b }的前 项和 ,数列 满足 ,求数列 的前 项和 n 【答案】(1) ;(2) . 【分析】(1)根据给定条件,可得当 时, , ,再利用累加法求出 的通项. (2)利用(1)的结论,结合 求出 ,再利用裂项相消法求和即得. 【详解】(1)依题意,当 时, , , , 满足上式, 所以数列 的通项公式是 . (2)由(1)知, ,当 时, ,而 满足上式, 于是 , , 因此 ,所以数列 的前 项和 . 题型七:裂项相消 3:无理根号型 无理根式型裂项: 一般情况下,无理型裂项相消满足: 1.(23-24高三·四川南充·期末)已知数列 是等差数列,且 是数列 的前 项 和. (1)求数列 的通项公式; (2)设 ,数列 的前 项和 ,求证: . 【答案】(1) (2)答案见解析【分析】(1)运用等差数列的公式和性质求解即可; (2)先求出 ,再求出 ,后裂项相消,求出 ,结合不等式性质证明即可. 【详解】(1)由于 则 , 则 ,因此 ,故数列 的通项公式为 . (2)由(1)知, ,则 , 则 ,即 . ,由于 ,则 ,故 成立. 2.(23-24高三·辽宁本溪·期末)设正项数列 是公差为 的等差数列,其前 项和为 ,已知 . (1)求 的通项公式; (2)求数列 的前 项和 . 【答案】(1) ;(2) . 【分析】(1)根据条件式结合等差数列的前n项和公式,得出 ,进一步得出 的二元一次 方程,解出即可求得{a }的通项公式; n (2)由(1)可得 ,进一步得出 ,再采用裂项法即可求得 . 【详解】(1)由 ,得 , 又 ,所以 ,当 时, ,当 时, ,解得 , 所以 ,故{a }的通项公式为 . n (2)由(1)可知 ,所以 , 故 . 3.(2024·湖南邵阳·三模)已知函数 , . (1)若 在 处取得极值,讨论 的单调性; (2)设曲线 在点 处的切线为 ,证明:除点 外,曲线段 总在 的下方; (3)设 ,证明: . 【答案】(1)答案见解析(2)证明见解析(3)证明见解析 【分析】(1)由 在 处取极值待定 ,再求导函数 ,根据导函数的单调性与零点确定符号 变化区间,从而讨论 的单调性;(2)构造函数将命题转化为 在区间[0,2]恒成立,通过二次求导方法,逐次观 察新的导函数零点与探究单调性,再通过连锁讨论回归分析原函数值的范围即可; (3)应用第(2)问结论赋值 得 ,由此放缩后运算求和即可得证. 【详解】(1) ,x∈R, , 由 在 处取得极值,得 ,解得 . 当 时, , 设 ,则 在R上单调递减,且 . 则当 时, ,即 ,故 在 单调递增; 当 时, ,即 ,故 在 单调递减; 故 在 处取到极大值,满足题意. 在 单调递增; 在 单调递减. (2) ,x∈R, , 曲线y=f (x)在点 处的切线 的斜率为 , . 故切线方程为 ,即 ; 构造函数 , ,即 ,其中 , 则 ,x∈R设 ,其中 , 则 ,令 ,得 ,当 时, ,故 在 单调递减; 当 时, ,故 在 单调递增; 所以 在[0,2]单调递减,且 , . 故当 时, ,即 ,则 在 单调递增; 当 时, ,即 ,则 在 单调递减; 故 在 处取极大值,且极大值为 ,当且仅当 时, . 所以当x∈[0,2]时, 恒成立.即 恒成立, 故除点 外,曲线段 总在 的下方,命题得证. (3)由(2)结论,任意 , , 恒成立. 又由 可知, 单调递减, 则 ,故 恒成立, 令 ,则 恒成立.又由 所以 .故 , 故 .即 成立,命题得证. 【点睛】关键点点睛:应用导数证明不等式,解决的关键点有三个:一是函数重构,如第(2)问中将图 象问题转化为不等式问题,进而构造差函数再利用导数研究单调性;二是多次求导连锁反应,一次求导不 能明确问题解决的方向,借助观察零点、导数运算、符号判断等手段发现二次求导的可行性,进而继续求 导研究导函数性质,直至新的导函数符号可判断,再依次连锁回归分析即可;三是结论借用,本题第 (3)问解决的关键在于应用第(2)问所证明的切线放缩结论,进行赋值构造,再结合所求证结论中的特 殊取值加以猜想赋值,值得注意的是赋值一定要先研究参变量需要满足的取值范围,不能盲目入手导致错 误. 4.(2024·福建三明·三模)已知数列 满足 . (1)求数列 的通项公式; (2)设数列 的前n项和为 ,若不等式 对任意的 恒成立,求实数t的取值范围; (3)记 ,求证: . 【答案】(1) (2) (3)证明见解析 【分析】(1)当 时求出 , 时,用 ,即可求解; (2)由 得出 ,由 得 ,根据对勾函数的单调性及 的值,即可求 出 得范围; (3)由(1)得 ,则 ,根据放缩法得 即可证明. 【详解】(1)当 时, , 当 时, , 时成立, 所以 . (2)由 得, ,显然 时, 单调递增, , 由 得, ,又 ,当且仅当 时,即 时 等号成立,因为 , ,且 , , , 所以当 时, ,解得 ,当 时, ,解得 , 所以 .(3)证明:由(1)得 , , 因为 所以 . 题型八:裂项相消 4:分子分母齐次分离型 分离常数型 分式型,如果分子分母都是一次,或者分子二次分母一次,如果不能裂项,可以考虑通过分离常数, 把分子次幂降下来。 1.(23-24高三·浙江丽水·期中)设数列 为等差数列,前 项和为 . (1)求数列 的通项公式; (2)设 的前 项和为 ,证明: . 【答案】(1) (2)证明见解析 【分析】(1)根据等差数列的性质和前n项求和公式求出公差和首项,结合等差数列的通项公式即可求解; (2)由(1)可得 ,根据裂项相消法计算可得 ,即可证明. 【详解】(1) , 由 , 所以 , 所以 . (2) 所以 2.(2024·河北沧州·模拟预测)设正项数列{a }的前n项和为 ,已知 . n (1)求数列{a }的通项公式; n(2)设 ,求数列{b }的前n项和 . n 【答案】(1) (2) 【分析】(1)由 和 关系作差得 ,再求出首项结合等差数列通项公式即可得到答案; (2)求出 ,代入化简得 ,最后利用裂项相消求和法即可. 【详解】(1)由 ,得 ①, 当 时, ,解得 (负值舍去).当 时, ②, ① ②,得 ,化为 , 因为 , ,解得 ,所以数列{a }是首项为3、公差为2的等差数列, n 所以 ,即 . (2)由(1)知 ,所以 , 从而 , 则 , ,…, , 以上n个式子相加,得 . 3.(23-24高三·安徽芜湖·模拟)设 是正项数列,且其前 项和为 ,已知 . (1)求数列 的通项公式; (2)令 ,求 的前 项和 . 【答案】(1) (2) 【分析】(1)首先求得 的值,然后结合递推关系式整理可得数列{a }为等差数列,结合等差数列通项公 n 式可得数列{a }的通项公式; n (2)由(1)可得 ,利用分组法与裂项相消法求和即可. 【详解】(1)当 时, ,解得: , 当 且 时, ,∴ , 整理可得: ,∵ ,∴ ,∴ , ∴数列{a }以2为首项,4为公差的等差数列,∴ . n (2) ,. 32.(23-24高三·江苏盐城·期末)数列 中, , ,设 . (1)求证:数列 是等比数列; (2)求数列 的前 项和 ; (3)若 , 为数列 的前 项和,求不超过 的最大的整数. 【答案】(1)证明见解析(2) (3)2021 【分析】(1)对 两边都加 得到 ,即可证明数列{b }是等比数列; n (2)由 ,利用错位相减法求和; (3)由 得到 , ,裂项相消法求和得到 ,所以不超过 的最大的整数为2021. 【详解】(1)将 两边都加 ,得 ,而 ,所以 , 即有 ,又 ,即 , , 所以数列{b }是首项为 ,公比为 的等比数列; n (2)由(1)知, ,则 , , 则 , 因此,两式作差得到, ,所以 ; (3)由(2)知 ,于是得 ,则 , 因此, , 所以 , 所以不超过 的最大的整数是2021. 题型九:裂项相消 5:等差指数混合型, 注意凑配“同构”形式以裂项达到相消的目的 1.(2024·全国·模拟预测)已知正项数列 的前 项和为 ,且满足 . (1)求数列 的通项公式. (2)记 ,求数列 的前 项和 . 【答案】(1) (2) . 【分析】(1)由题意进行因式分解,求得 ,再根据 与 的关系式求得通项公式; (2)由 代入求得 ,结合裂项相消法求和得出结果. 【详解】(1)由题意,得 ,又 ,所以 ,从而 . 当 时, .由于 不符合上式, 故 (2)由(1)知 当 时, , 所以当 时, .又 也适合上式,所以 . 2.(2024·山西临汾·二模)已知数列 满足 . (1)计算 ,并求数列 的通项公式; (2)设数列 满足 ,求数列 的前 项和 . 【答案】(1) , , (2) 【分析】(1)由 ,可得 ,可得 ,法一:可得 为常数列,可求数列{a }的通项公式;法二:可得 n,利用累乘法可求数列{a }的通项公式; n (2)由(1)可得 ,进而由裂项相消法可求 的前 项和 . 【详解】(1)由题可知, , 令 , ,得 ;令 ,得 . 由已知 ,可得 , 两式相减得 . 解法一:整理得: .又 满足上式.从而 对 均成立. 因此 为常数列,即有 ,故 . 解法二: 整理得: .又 满足上式.故 . 即 .当 时符合上式,故 . (2)由(1)可知 ,所以 .因此 = . 3.(2024高三·全国·模拟)已知等差数列 的前n项和为 ,数列 是等比数列, , , . (1)求 与 ; (2)设 ,求数列 的前n项和 . 【答案】(1) , (2) 【分析】(1)根据等差、等比数列的通项公式和前n项求和公式建立方程组,解之即可求解; (2)由(1)可得 ,进而 ,结合裂项相消求和法计算即可求解. 【详解】(1)设数列 的公差为d,数列 的公比为 , 则由 , , ,得 , , 两式相除得 ,所以 , , 所以 , . (2)由(1)得 , ,所以 ,所以 , 所以 . 4.(23-24高三·江苏连云港·期中)已知数列 的前 项和为 ,且满足: , .(1)求数列 的通项公式 ; (2)设 ,求数列 的前 项和 ; (3)设数列 的通项公式为 ,问:是否存在正整数 ,使得 成等差数列? 若存在,求出 和 的值;若不存在,请说明理由. 【答案】(1) ;(2) ;(3)存在, , 取值见解析. 【分析】(1)利用 的关系求得递推公式 ,变形可得 为常数列,然后可得通 项; (2)由 ,根据裂项相消法可得; (3)根据等差中项列式整理可得 ,由 和 都为正整数可解. 【详解】(1)由 ①,当 时, , 当 时, ②, ①-②得 ,即 , 所以 ,所以 ,当 时, ,上式也成立, 所以数列 为常数列, , 所以 . (2)由 , ,则 , 所以{b }的前 项和为 . n (3)由(1)知 .要使 成等差数列,则 , 即 ,整理得 , 因为 , 为正整数,所以 只能取2,3,5. 当 时, ;当 时, ;当 时, . 故存在正整数 ,使得 成等差数列. 【点睛】关键点点睛:本题第二问关键在于将 分裂为 ,然后根据裂项相消法即可 得解. 题型十:裂项相消 6:正负相间裂和型正负型:等差裂和型 1.(23-24高三·湖北武汉·期中)已知数列 的首项 ,且满足 ,数列 的前 项和 满足 ,且 . (1)求证: 是等比数列; (2)求数列 的通项公式; (3)设 ,求数列 的前 项和 . 【答案】(1)证明见解析(2) (3) 【分析】(1)由递推关系借助等比数列的定义进行证明; (2)利用当 时, ,求出数列 是首项为1,公差为2的等差数列,可得通项公式; (3)由 ,利用裂项相消法求和. 【详解】(1) 所以 是以 为首项, 为公比的等比数列.所以 . (2)当 时, ,得 ; 当 时, ,整理得 , 因为 ,所以 ,则 , 故数列 是首项为1,公差为2的等差数列,从而 , 所以数列 的通项公式为 . (3)由 , 设数列 的前 项和为 ,当当 时, 综上: . 2.(2024·四川·模拟预测)已知 为正项数列 的前 项和, 且 . (1)求数列 的通项公式; (2)若 ,求 的前10项和 . 【答案】(1) (2) 【分析】(1)已知 与 的关系求通项公式,用退位作差,再利用平方差公式进行化简,最后对 时 进行检验,得到数列 是等差数列,从而写出通项公式; (2)根据 得到 ,观察数列通项公式特点,裂项,进而得到前10项和 . 【详解】(1)由题意知: ,即 , 当 时, ,两式相减,可得 , 因为 ,可得 . 又因为 ,当 时, ,即 , 解得 或 (舍去),所以 (符合), 从而 ,所以数列 表示首项为3,公差为2的等差数列. 所以数列 的通项公式为 . (2)由题意得 , 所以 ,所以 . 3.(23-24高三·海南省直辖县级单位·模拟)设数列 的前 项和为 .若对任意的正整数 ,总存在正 整数 ,使得 ,则称 是“ 数列”. (1)若 ,判断数列 是否是“ 数列”; (2)设 是等差数列,其首项 ,公差 ,且 是“ 数列”, ①求 的值; ②设 为数列 的前 项和,证明: 【答案】(1) 是“ 数列”(2)① ;②证明见解析【分析】(1)首先求出 ,再根据所给定义判断即可; (2)①当 时,设{b }的前 项和为 ,根据 得到方程,解得 ,又 , 为正整 n 数,故只有 时才满足要求,再利用数学归纳法进行证明;②由①可得 , , 利用裂项相消法求出 ,即可证明. 【详解】(1)因为 ,当 时, , 当 时, , 又 ,即 也满足 ,综上可得 , 当 时存在 或 使得 (即 或 ), 对于任意的正整数 ,总存在正整数 ,此时 , 综上可得对于任意的正整数 ,总存在正整数 ,此时 , 故{a }是“ 数列”; n (2)①因为{b }是等差数列,其首项 ,公差 ,设{b }的前 项和为 , n n 故 , ,对任意的正整数 ,总存在正整数 ,使得 , 即 ,当 时, ,此时只需 , 当 时, ,解得 , 又 ,故 ,又 为正整数,故 ,此时 ; 当 时, ,下面证明 恒为正偶数, 当 时, ,满足要求,假设当 时, 为正偶数, 则当 时, , 由于 和 均为正偶数,故 为正偶数,满足要求, 所以 恒为正偶数,证毕,所以 . ②由①可得 ,所以 , 所以 ,因为 , 所以 单调递减且 ,所以 ,所以 .4.(23-24高三·湖北·期中)已知等差数列{a }的前 项和为 ,且 n (1)求数列{a }的通项公式; n (2)设 ,求数列{b }的前 项和为 . n 【答案】(1) (2) 【分析】(1)由等差数列的通项公式以及前n项和公式构成方程组即可求得 的通项公式; (2)将原式变形为 ,再利用裂项相消法即可求得答案. 【详解】(1)设等差数列{a }的首项为 ,公差为 . n 因为 ,所以 , 化简得 ,所以 所以数列{a }的通项公式为 ; n (2) ,整理得 , 所以 , 整理得 题型十一:裂项相消 7:三角函数型 1.(2024高三·全国·模拟)已知在数列{a }中, . n (1)求数列{a } 的通项公式; n (2)若数列{b }满足 ,求数列 的前2024项和 . n 【答案】(1) (2) 【分析】(1)根据题意,化简得到 ,结合裂项法求和法,即可求解; (2)由(1)知, ,结合 ,即可求解. 【详解】(1)解:因为 ,可得 , 所以,当 时, , 即 ,又因为 ,则 ; 当 时, 成立,所以 . (2)解:由(1)知, , 所以, 因为 , 于是 , , 所以 ,所以数列{b }的前 项的和为 . n 2.(23-24高三下·河南·模拟)已知数列 的前n项和为 , , , (1)求 ; (2)若 ,求数列 的前1012项和 . 【答案】(1) (2) . 【分析】(1)根据求和的定义,整理可得数列的递推公式,结合等差数列的基本概念,可得答案; (2)由(1)整理通项公式,利用裂项相消,可得答案. 【详解】(1)当 时,因为 ,所以 , 即 .又 ,所以{a }是首项为1,公差为2的等差数列, n 所以 . (2)由(1)知, , , 而 所以 . 3.(2024·福建泉州·二模)已知数列{a }和{b }的各项均为正,且 ,{b }是公比3的等比数列.数 n n n 列{a }的前n项和 满足 . n (1)求数列{a },{b }的通项公式; n n (2)设 ,求数列 的前n项和 . 【答案】(1) , (2) 【分析】(1)利用递推公式可证得数列{a }是等差数列,可求出数列{a }的通项;利用等比数列的性质, n n 可求出{b }通项; n (2)根据裂项相消和分组求和法求解即可; 【详解】(1)由题设,当 时 或 (舍), 由 ,知 , 两式相减得 ,(舍)或 ,即 , ∴数列{a }是首项为2,公差为2的等差数列, . n 又 . (2) 则 当n为偶数时, ;当n为奇数时, . 所以 . 4.(2023·安徽安庆·模拟预测)已知 . (1)求 ; (2)证明: 是等差数列,并求出 ; (3)设 ,求 的前 项和 . 【答案】(1) ;(2)证明见解析, ;(3) 【分析】(1)根据数列递推公式计算即可; (2)根据等差数列定义即可证明,根据等差数列通项公式计算可得数列 通项公式; (3)由 ,根据裂项相消计算即可. 【详解】(1) . (2) ,故 是以1为首项1为公差的等差数列.故 . (3)因为 ,所以 题型十二:裂项型证明数列不等式裂项型证明数列不等式: 1. 裂项求和。 2. 求和后的函数数列式子,具有放缩和单调性两方面的特征。 3. 一些求和后的式子,还可以通过构造新函数,求导证明 45.(23-24高三·江苏常州·模拟)已知数列 的前 项和为 ,满足: ,且 . (1)求证:数列 为等差数列,并求其通项公式; (2)记 ,数列 的前 项和为 ,若不等式 对一切 恒成 立,求 的取值范围. 【答案】(1)证明见解析, (2) 【分析】(1)利用数列 中 与 的关系结合等差数列的定义证明求解; (2)利用裂项相消法求和以及等差数列的前 项和公式求解即可. 【详解】(1)因为 ,所以 ①, ②, ② ①得 ,即 ③,则 ④, ④ ③得 ,化简得 ,所以 , 所以数列 为等差数列, 由 ,当 时 ,解得 , 因为 ,所以数列 以1为首项,2为公差,所以 . (2)由(1)可得 ,设 的前 项和中,奇数项的和为 ,偶数项的和为 , 所以 , , 当 为奇数时, , 所以 , 当 为偶数时, , 所以 , 由 ,得 ,即 , 当 为偶数时, 对一切偶数成立, 当 时, 有最小值为5,,所以 , 当 为奇数时, 对一切奇数成立,即 对一切奇数成立, 当 时, 有最大值为 ,所以此时 , 综上,对一切 恒成立,则 的取值范围是 . 2.(23-24高三·安徽·期中)已知数列{a }的前n项和为 ,满足 , , . n(1)求数列 的通项公式; (2)若数列 的前n项和为 ,证明:当 时 . 【答案】(1) (2)证明见解析 【分析】(1)利用公式 时, ,得到关于数列 的递推关系式,法一,转化为 ,利用累乘法求通项公式,法二,转化为 ,判断数列 是常数列,即 可求通项公式; (2)首先根据(1)的结果求数列 的通项公式,并放缩为 ,利用裂项相消 法求和,即可证明. 【详解】(1)根据题意,当 时, 法一: ∴ 当 时, ,也满足 . 法二:可得 ,所以数列 是常数列, . (2) , , 首项 满足,所以 ,所以 ,设数列 , 数列 前n项和为 , 分析可得,数列 从第2项开始放缩成 ,设数列 数列 前n项和为 ,所以 . 3.(23-24高三·山西·期中)已知数列 满足 ,且 . (1)求数列 的通项公式; (2)若数列 满足 ,记数列 的前 项和为 ,求证: . 【答案】(1) (2)证明见解析 【分析】(1)对已知等式进行去分母变形,利用累加法,结合等差数列前 项和公式进行求解即可; (2)利用裂项相消法进行证明即可. 【详解】(1)由题可得 ,则 ,…, , , 将这 项相加,可得 , 所以 ,经检验 成立,所以 .(2)由题可得, ,当 时, ,又因为当 时, , 所以 . 4.(23-24高一下·上海·期中)设 是数列 的前 项和,且 是 和2的等差中项. (1)求数列 的通项公式; (2)记 ; 求数列 的前 项和 ; ① 设 ,是否存在常数 ,使 对 恒成立?若存在,求出 的 ②最小值;若不存在,说明理由. 【答案】(1) (2)① ;②存在, 【分析】(1)由等差中项的性质可得 ,再由 可证得数列 是首项为2, 公比为2的等比数列,即可求出数列 的通项公式; (2) 由等比数列的前 项和公式求解即可; 由裂项相消法可求出 ,再结合 的单调性即可求出答案. ① 【详解】(1) 是 和2的等差中项, , ② 当 时, ,当 时, , ① - 得: , , 数列 ②是首项为2,公比为2的等比数列, ① ② . (2) , ① 由 可得: , ② ① , 由于 单调递增,可得 ,即 ,则存在常数 ,使 对 恒成 立, 可得 ,即 的最小值为 . 题型十三:三角函数型数列不等式证明三角函数数列不等式: 1. 利用三角函数的周期型。 2. 利用三角函数正余弦函数的有界性。 3. 一些题型,可以借助泰勒公式等导数形式证明的结论 1.(23-24高三·湖北·期中)18世纪早期英国牛顿学派最优秀代表人物之一的数学家泰勒(Brook Taylor) 发现的泰勒公式(又称麦克劳林公式)有如下特殊形式:当 在 处的 阶导数都存在时, .其中,f″(x)表示 的二阶导数, 即为f'(x)的导数, 表示 的 阶导数. (1)根据公式估计 的值;(结果保留两位有效数字) (2)由公式可得: ,当 时,请比较 与 的大小, 并给出证明;(3)已知 ,证明: . 【答案】(1) (2) ,证明见解析(3)证明见解析 【分析】(1)根据泰勒公式求得 ,赋值即可求得近似值; (2)构造函数 ,利用导数判断其单调性和最值,即可证明; (3)根据(2)中所得结论,将目标式放缩为 ,再 裂项求和即可证明. 【详解】(1)记 ,则 , ,所以 , 因为 , 所以 且 , , .(2)令 ,则 , 恒成立, 在 递增, 在 递增, 在 递增, ,即 . (3)由题, ,则 ,则 , 令 , 易得 在 上递增,在 上递减,从而 , 即 当且仅当 时取等号), ,即 , , ,得证. 【点睛】本题第三问的处理关键是能够利用第二问结论,将原式放缩为 ,再利用裂项求和法证明,对学生已知条件的利用能 力以及综合应用能力提出了较高的要求,属综合困难题. 2.(2024·甘肃张掖·模拟预测)泰勒公式是一个非常重要的数学定理,它可以将一个函数在某一点处展开 成无限项的多项式.当 在 处的 阶导数都存在时,它的公式表达式如下: .注: 表示函数 在原点处的一阶导 数, 表示在原点处的二阶导数,以此类推, 表示在原点处的 阶导数. (1)根据公式估算 的值,精确到小数点后两位; (2)当 时,比较 与 的大小,并证明; (3)设 ,证明: . 【答案】(1) (2) ,证明见解析(3)证明见解析【分析】(1)根据泰勒公式求得 ,赋值即可求得近似值; (2)构造函数 ,利用导数判断其单调性和最值,即可证明; (3)根据(2)中所得结论,将目标式左边的通项放缩为 ,再裂项求和即可证明. 【详解】(1)由公式可得 ,所以 . (2)由(1)得 ,得到结论:当 时, 下面给出证明:令 ,则 , 令 ,则 , 所以函数ℎ(x)在(0,+∞)上单调递增,即当 时, , 所以 在(0,+∞)上恒成立,所以函数 在(0,+∞)上单调递增, 即当 时, ,故当 时, . (3)因为 ,所以 ,则 , 由(2)可得: 且 ,故 , 即 , , , ,所以, . 【点睛】关键点点睛:本题第三问的处理关键是能够利用第二问结论,将原式左边的通项放缩为 ,再裂项求和即可证明. 3.(2024高三·全国·模拟)已知函数 .(1)证明: ; (2)求证: . 【答案】(1)证明见解析;(2)证明见解析. 【分析】(1)利用导数求出函数 的最小值即可得解. (2)由 结合放缩法,转化证明 ,即可推理得解. 【详解】(1)函数 的定义域为 ,则 , 当 时, ,当 时, ,函数 在 上递减,在 上递增, 所以 . (2)先证 ,设 ,求导得 , 即函数 在区间 上单调递减,则 ,即 , 于是 , 再证 ,由(1)知 ,当 时等号成立, 令 ,则 ,即 , 所以 , , , 累加可得 ,所以 . 4.(23-24高三·四川成都·期中)意大利画家达·芬奇提出:固定项链的两端,使其在重力的作用下自然下 垂,那么项链所形成的曲线是悬链线.1691年,莱布尼茨等得出悬链线可为双曲余弦函数 的 图象,类似的可定义双曲正弦函数 .它们与正、余弦函数有许多类似的性质. (1)类比正弦函数的二倍角公式,请写出(不证明)双曲正弦函数的一个正确的结论: ________; (2)当 时,比较 与 的大小,并说明理由; (3)证明: 【答案】(1) (2) ,理由见解析(3)证明见解析 【分析】(1)利用双曲正、余弦函数的定义,结合指数运算即可得解; (2)构造函数 , ,利用导数确定函数的单调性,即可得出结论; (3)利用导数先证明当 时, 成立,令 , 且 ,可得 ,再 结合 ,和前面的解答过程可得,即可得证. 【详解】(1) . (2) ,理由如下: 构造函数 , ,故 , , 而 ,得 ,所以 为增函数,此时 ,故 . (3)下面证明:当 时, 成立, 令 ,则 , , 因此 在 上递增;所以 ,即有 , 所以 在 上递增,所以 , 所以当 时, 成立,(1)令 , 且 ,可得 , 即 , 由题意 ,令 , 且 ,可得 , 由前面解答过程得当 时, , , , 所以 , 所以 ,所以可得 , 可得 , . 【点睛】方法点睛:解决新概念问题,关键是读懂题意,理解新概念的本质,把新情境下的概念、法则、 运算化归到常规的数学背景中,结合已知结论求解. 题型十四:先求和再放缩证明数列不等式 1.(24-25高三·辽宁·开学考试)已知 为数列 的前 项和, 为数列 的前 项和,. (1)求 的通项公式; (2)若 ,求 的最大值; (3)设 ,证明: . 【答案】(1) (2) (3)证明见解析 【分析】(1)根据递推公式得出等差数列再应用基本量运算得出通项公式; (2)分组求和分别求出 ,再计算化简结合指数函数单调性计算求解; (3)先根据 得出 ,再证明 ,结合等比数列求和证明右侧不等式 【详解】(1)由 ,得 ,所以数列 为等差数列, 所以 ,所以 .又 ,所以 , 设 的公差为d,即 解得 所以 的通项公式是 . (2)由(1)知 ,所以 , , 令 ,得 ,设 ,则数列 是递增数列. 又 , ,所以n的最大值为5. (3)由(2)知 ,设 是 的前n项和,则 ,所以 是递 增数列,所以 成立.又 , 所以当 时, ,所以 , 得 , 所以 .综上, . 2.(23-24高三·江西南昌·模拟)已知数列 的前 项和为 , , . (1)求数列 的通项公式; (2)是否存在实数 ,使数列 为等差数列?若存在,求出 的值:若不存在,请说明理由; (3)已知数列 , ,其前 项和为 ,求使得 对所有 都成立的自 然数 的值.【答案】(1) (2)存在,且 (3) 【分析】 (1)令 ,求出 的值,令 ,由 可得 ,两式作差推导出数列 为等比数 列,确定该数列的首项和公比,即可求得数列 的通项公式; (2)记 ,由数列 为等差数列,则 ,求出 的值,然后利用等差数列的定 义验证数列 为等差数列,即可得出结论; (3)利用裂项相消法求出 的表达式,求出 的取值范围,可得出关于 的不等式,即可得出符合条件 的自然数 的值. 【详解】(1)解:因为数列 的前 项和为 , , , 当 时,有 ,解得 , 当 时,由 可得 , 上述两个等式作差可得 ,可得 , 所以,数列 是首项为 ,公比为 的等比数列,则 . (2)解:由已知条件可得 ,则 , 记 ,若数列 为等差数列,且 , , , 则 ,即 ,解得 , 此时, ,所以, , 故当 时,数列 为等差数列. (3)解:因为 , 所以, , 因为 ,且 ,故数列 单调递增, 所以, ,且 ,故对任意的 , , 因为不等式 对所有 恒成立,所以, ,解得 ,因为 ,则 的值为 . 3.(23-24高三·浙江·模拟)已知数列 满足 , . (1)若 ,求数列 的前n项和 ; (2)若 ,设数列 的前n项和为 ,求证: . 【答案】(1) (2)证明见解析 【分析】(1)由数列{a }递推公式可得其通项公式,再由错位相减法求数列 的前n项和; n (2)若 ,可得 ,从而 ,利用裂项相消法推导出前n项和为 , 再由 的单调性可证明不等式成立. 【详解】(1)当 时,则 ,得 ,所以 , 所以数列{a }是以 为首项,公差为1的等差数列. n 所以 ,则 ,所以 , ,两式相减得 ,所以 . (2)当 时,由 ,得 ,所以 , 所以数列{a }单调递增,因为 ,所以 ,又由 ,可得 , n 所以 ,即 , 则 , 所以 ,易知 为递增数列,且 , 所以 ,即: . 【点睛】数列求和的常用方法: (1)对于等差等比数列,利用公式法直接求和; (2)对于 型数列,其中{a }是等差数列,{b }是等比数列,利用错位相减法求和; n n (3)对于 型数列,利用分组求和法; (4)对于 型数列,其中{a }是公差为 的等差数列,利用裂项相消法求和. n4.(23-24高三·河北承德·期末)已知正项数列 满足 ,数列 的前n项和为 ,且 . (1)求 的通项公式; (2)证明: . 【答案】(1) , (2)证明见解析 【分析】(1)利用对数运算,得 ,再运用累乘法可求 ,由 与 的关系可得 ,则 时,数列 是以 为首项的常数列,可求{b }的通项公式; n (2)利用错位相减法求 ,从而得证. 【详解】(1)因为 ,且 ,所以 , 所以 ,即 ,所以 . 当 时,所以 ,所以 . 因为 ,所以 ,所以 . 也符合上式,所以 . 当 时, . 因为 ,所以当 时, , 所以当 时, ,即 , 所以当 时,数列 是以 为首项的常数 列,即 ( ),所以 ( ),所以{b }的通项公式为 n (2)因为 , 所以 , 两式相减得 ,所以 . 【点睛】数列求和的常用方法: (1)对于等差等比数列,利用公式法直接求和; (2)对于 型数列,其中{a }是等差数列,{b }是等比数列,利用错位相减法求和; n n (3)对于 型数列,利用分组求和法; (4)对于 型数列,其中{a }是公差为 的等差数列,利用裂项相消法求和. n 题型十五:先放缩再求和证明数列不等式先放缩后裂项,放缩的目的是为了“求和”,这也是凑配放缩形式的目标。对于递推公式,不放缩难以 求和,所以放缩成能求和的形式。 1.(23-24高三·天津北辰·模拟)已知数列 为等差数列, , ,数列 的前 项和为 , 且S =2b −2(n∈N*), n n (1)求 的通项公式. { a b ,n为奇数 n n (2)已知 c n = (3a n −4)b n,n为偶数 ,求数列 的前 项和 . a a n n+2 (3)求证: . 【答案】(1) , (2) (3)证明见解析 【分析】(1)根据等差数列的项求公差,即可求数列{a }的通项公式,由 ,作差得到 n ,从而得到{b }是以 为首项, 为公比的等比数列,即可求出其通项公式; n (2)分 为奇数和偶数,求数列 的通项公式,再根据列项相消法和错位相减法求和; (3)由 ,再进行放缩,利用列项相消法求和,证明不等式. 【详解】(1)设等差数列{a }的公差为 ,则 , n 所以 , 因为 ,当 时 ,解得 , 当 时 ,所以 , 即 ,所以 , 即{b }是以 为首项, 为公比的等比数列,所以 . n (2)因为 ,当 是奇数时, , 当 是偶数时, , 则 ①, ②, ①-②得:即 , 化简得 . ,所以 . (3)因为 ,当 时 , 当 时, , 所以 , 因为 ,所以 ,故 . 【点睛】关键点点睛:本题考查等差和等比数列,以及求和,不等式和放缩法的综合应用,第二位问的关 键是当 为偶数时,列项相消法求和,第三问的关键放缩后进行求和. 4.(2024·山东·二模)记 为数列 的前 项和, . (1)求 和 的通项公式; (2)设数列 的前 项和为 ,证明: . 【答案】(1) ; .(2)答案见解析 【分析】(1)分别取 和 即可求得 的值,对 进行分奇偶讨论,即可得到 的通项公式; (2)根据题意化简得到 ,再对该式进行两次放缩,分别求和即可证明不等式. 【详解】(1)因为 ,所以当 时, ,所以 ; 当 时, ,所以 ,所以 . 又因为 ,所以 . 当 为奇数时, ,所以 , , 作差, ,所以 . 当 为偶数时, ,所以 , ,作差, ,所以 . 所以, . (2)由第1小问得, ,所以令 , 所以 . 所以 .下面证明 :因为 , 所以 . 下面证明 :因为 ,所以 , 所以 .所以 . 【点睛】方法点睛:本题考查数列的求通项、求和与放缩问题。求通项时要进行奇偶讨论,通项公式也要 写成分段函数的形式,放缩用到了两个不等式 和 ,放缩之后再进行求和,即可证 明不等式. 3.(2024·广东肇庆·一模)已知数列{a }为等差数列,数列{b }为等比数列,且 , , n n , .(1)求 ; (2)已知 ,求数列 的前 项和 ;(3)求证: . 【答案】(1) (2) (3)证明见解析 【分析】(1)设等差数列{a }的公差为 ,等比数列{b }的公比为 ,由已知条件求出{a }和{b }的通项, n n n n 利用等比数列前 项和公式求 ; (2) 为奇数和 是偶数时,分别求 的通项,利用分组求和求数列 的前 项和 ; (3)利用放缩和等比数列前 项和公式证明不等式. 【详解】(1)设等差数列{a }的公差为 ,等比数列{b }的公比为 , n n 由 , ,得 ,解得 , 则 , 由 , ,得 , ,解得 ,则 , 所以 . (2)当 是奇数时, , 当 是偶数时, , 则 , 于是 , 两式相减,得 , 所以 , , 所以 . (3)证明:由(1)知, ,当且仅当 时取等号, 则 ,所以 . 【点睛】方法点睛: 1.使用裂项法求和时,要注意正负项相消时消去了哪些项,保留了哪些项,切不可漏写未被消去的项,未 被消去的项有前后对称的特点,实质上造成正负相消是此法的根源与目的. 2.一般地,如果数列{a }是等差数列,{b }是等比数列,求数列 的前n项和时,可采用错位相减法求 n n 和,一般是和式两边同乘以等比数列{b }的公比,然后作差求解. n 4.(23-24高三·辽宁·期末)已知函数 ,数列{a }满足 正整 n 数 (1)求 的最大值; (2)求证: ; (3)求证: . 【答案】(1)最大值为0;(2)证明见解析(3)证明见解析 【分析】(1)借助导数,研究函数单调性,进而得到极值最值; (2)借助前面证明,运用对数的性质进行裂项,再累加求和即可;(3) ,所以 ,得 ,适当放缩后,再累加即可. 【详解】(1)因为 的定义域为 ,所以 当 时, , 在 上递增, 当 时, , 在 上递减, 所以 在 时有最大值,所以 ,即 的最大值为0; (2)由(1)知, ,所以 , 所以 ,即 , 所以 , , , 累加得 ,即 . (3)因为 ,所以 ,得 , , , ,所以 ,即 ,所以 , 所以 , , ,所以 , ,所以 得证. 【点睛】关键点点睛:第一问借助导数研究即可,第二问主要是要借助第一问的结论 , 得到 ,再用对数性质,裂项累加求和;第三问关键要用 ,两边平方,得到 ,再放缩后,累加求和.转化思想要求很高,属于难题. 题型十六:利用导数不等式证明数列不等式 1.(2024·全国·模拟预测)设整数 , 且 ,函数 . (1)证明: ; (2)设 ,证明: ; (3)设 ,证明: . 【答案】(1)证明见解析;2)证明见解析;(3)证明见解析 【分析】(1)通过求导数得到函数的单调性,从而得到函数的最小值 ,从而 ; (2)构造函数 ,求导数得到函数的单调性,从而得到函数的最大值 ,从 而g(x)<0,所以 ; (3)利用(1)(2)中的结论, , ,得到 ,放缩证明. 【详解】(1) .因为 , ,所以 单调 递增. 因此,当 时,f'(x)<0, 单调递减;当 时,f'(x)>0, 单调递增,所以 . (2)设 ,则 ,所以 在 上单调递减, 故 ,从而当 时, . (3)由(1)知 ,所以 ,再利用 , 于是 因此, . 【点睛】方法点睛:常见的放缩公式 ; ; ; 2.(24-25高三·四川成都·开学考试)已知 . (1)求 的定义域; (2)若 恒成立,求 能够取得的最大整数值; (3)证明: . 【答案】(1) (2)1(3)证明见解析 【分析】(1)根据函数有意义,得到不等式组 ,构造函数 ,通过求导推出 ,即可得到函数的定义域; (2)由题设不等式恒成立等价转化为 , 恒成立,讨论函数 得 ,则须使 ,令 得其 当且仅当 时取到最小值,得解. (3)利用(2)中得到的不等式进行放缩得到 ,取 ,推得 再对 进行赋值相加即可得证. 【详解】(1)要使函数 有意义,需满足 ,令 ,则 ,令 解得 ,当 时, 在 上单调递 减, 当 时, 在 上单调递增, ∴f (x)的定义域为(0,+∞); (2)由 恒成立得, ,当 时,不等式恒成立; 下面说明当 且为整数时不等式成立的情况.当 时,不等式显然成立, 当 时,等价于 恒成立,此时 恒成立, 令 ,则 ,令 得 , 当 即 且 为整数时,无解; 当 即 且 为整数时, 若 ,则 ,若 ,则 ,即ℎ(x)在 上单调递增,在 上单调递 减, 则要使不等式恒成立,须使 恒成立, 令 则 故 单调递增, 从而 ,当且仅当 时取等号,此时恰有原不等式恒成立, 综上所述, 能够取得的最大整数值是1; (3)由(2)可知,当 时, 恒成立,即 ,即 , 当 时, ,即 , 令 ,则有 即 于是, ,得证.. 3.(24-25高三·河北·开学考试)已知函数 . (1)求证 ; (2)求方程 解的个数; (3)设 ,证明 . 【答案】(1)证明见解析(2)有两个解(3)证明见解析 【分析】(1)作差构造函数,结合导数求出构造函数的最小值即可得解; (2)作差构造函数,将方程的解个数问题转化为了函数的零点个数问题,结合导数求出构造函数的极值 点和单调区间,即可得解;(3)借助第1小问的结论 ,通过换元转化为 ,设 得 ,等价于 然后利用裂项相消法进行计算即可 得证. 【详解】(1)令 ,所以 , 所以 ,当且仅当 ,即 时,等号成立, 所以当 时, 单调递增,则 ,所以 得证. (2)由 得 ,即 , 令 , 所以函数 的零点个数,即为方程 解的个数, ,令 ,即 ,解得 , - 0 + 单调递减 单调递增 因为 ,所以 在 上有唯一一个零点, 又 ,所以 在 上有唯一一个零点. 综上所述,方程 有两个解. (3)由(1)知, , 令 ,则 ,即 , 设 ,则满足 ,所以 ,即 ,所以 所以 即 . 【点睛】关键点点睛:第(1)、(2)小问是通过转化化归,构造函数进行处理,第(3)问的关键是借 助第(1)问的结论,进行等价变形,然后进行裂项处理,结合数列的裂项相消求和即可得解. 4.(23-24高三·山东日照·期中)已知数列 满足 ,且对任意正整数 都有 . (1)写出 ,并求数列 的通项公式;(2)设数列 的前 项和为 ,若存在正整数 ,使得 ,求 的值; (3)设 是数列 的前 项和,求证: . 【答案】(1) , , (2)2 (3)证明见解析 【详解】(1)因为对任意正整数 都有 , 故 , , 令 ,可得 , 所以 . 当 时, , 当 时, ,符合上式,所以 ; (2)由(1)得 ,当 为偶数时, 当 为奇数时, 为偶数, . 综上所述, ; 若 为偶数,则 为奇数,由 ,得 , 解得 (舍去)或 ; 若 为奇数,则 为偶数,由 ,得 ,方程无解, 不合题意,舍去. 综上,所求 的值为2. (3)由 现在我们来证明 时, , 令 ,求导得 , 所以 在(0,+∞)上单调递增,所以 , 结合当 时, ,有 ,所以 .故 【点睛】关键点点睛:问题的第三问,先化简 ,得 ,再证明 时, , 利用结论,对数列{b }进行放缩,得到 ,可证结论. n